Методические рекомендации по выполнению лабораторных работ по курсу 'Информатика'
КАЗПОТРЕБСОЮЗ
КАРАГАНДИНСКИЙ
ЭКОНОМИЧЕСКИЙ УНИВЕРСИТЕТ
Кафедра
ИВС
Лабораторный практикум
по
курсу: ИНФОРМАТИКА
для
студентов всех специальностей
Караганда
- 2010
Кафедра Информационно-вычислительных систем.
Автор: Муканова Ж.А., ст.преп. кафедры ИВС
Рецензент: Омарова Ш.Е., к.э.н., профессор
кафедры ИВС
Лабораторный практикум по курсу
«Информатика» обсужден на заседании учебно-методического семинара кафедры.
Протокол № 2 от 7 октября 2010 г.
Рекомендован к опубликованию научно-методическим
и редакционно-издательским Советом КЭУ.
Содержание
Тема 1. Информация и информационные процессы
Тема 2. Булева алгебра. Логические операции
Тема 3. Графы и деревья
Тема 4. Архитектура компьютера
Тема 5. Системы счисления
Тема 6. Организация машины. Хранение информации
Тема 7. Алгоритмы. Основы разработки алгоритмов
Тема 8. Структуры данных. Блок-схемы
Тема 9. Языки программирования
Тема 10. Парадигмы программирования
Тема 11. Основные элементы языка программирования Visual Basic for
Application (VBA)
Тема 12. Операторы, выражения, операции
Тема 13. Операторы управления
Тема 14. Программирование циклов
Тема 15. Основные элементы операционных систем
Тема 16. Утилиты
Тема 17. Текстовый редактор Word
Тема 18 Табличный процессор Exсel. Работа с таблицами
Тема 19 Функции в Exсel
Тема 20. Работа со списками данных в Exсel
Тема 21. СУБД Access. Создание таблиц в Access
Тема 22. Разработка запросов в Access
Тема 23. Разработка форм и отчетов в Access
Тема 24. Работа с пакетом PowerPoint
Тема 25. Локально-вычислительные сети
Тема 26. Глобальная сеть Internet
Тема 27. Графические системы
Тема 28. Работа с графическими приложениями
Тема 29. Работа в среде графической программы
Тема 30. Основы защиты информации
Лабораторное занятие 1 (1час)
Тема: Информация и информационные процессы
Цель занятия: Изучить
структуру информатики, виды и свойства информации, информационные процессы
Задание:
1. Рассмотреть информатику как единство
науки и технологии и изучить структуру информатики.
2. Ознакомиться с видами и свойствами
информации. Привести структуру информации
. Измерить объем информации
. Дать характеристику информационным
процессам. Произвести операции с данными
. Изучить носители данных
. Составить отчет
Теоретические сведения
Процессы, связанные с поиском, хранением,
передачей, обработкой и использованием информации, называются информационными
процессами.
Теперь остановимся на основных
информационных процессах.
1. Поиск
Поиск информации - это
извлечение хранимой информации.
Методы поиска информации:
· непосредственное
наблюдение;
· общение
со специалистами по интересующему вас вопросу;
· чтение
соответствующей литературы;
· просмотр
видео, телепрограмм;
· прослушивание
радиопередач, аудиокассет;
· работа в
библиотеках и архивах;
· запрос к
информационным системам, базам и банкам компьютерных данных;
· другие
методы.
Понять, что искать, столкнувшись с той или
иной жизненной ситуацией, осуществить процесс поиска - вот умения, которые
становятся решающими на пороге третьего тысячелетия.
2. Сбор и хранение
Сбор информации не является самоцелью. Чтобы
полученная информация могла использоваться, причем многократно, необходимо ее
хранить.
Хранение информации - это
способ распространения информации в пространстве и времени.
Способ хранения информации зависит от ее
носителя (книга- библиотека, картина- музей, фотография- альбом).
ЭВМ предназначен для компактного хранения
информации с возможностью быстрого доступа к ней.
3. Передача
В процессе передачи информации обязательно
участвуют источник и приемник информации: первый передает информацию, второй ее
получает. Между ними действует канал передачи информации - канал связи.
Канал связи - совокупность
технических устройств, обеспечивающих передачу сигнала от источника к
получателю.
Кодирующее устройство - устройство,
предназначенное для преобразования исходного сообщения источника к виду,
удобному для передачи.
Декодирующее устройство - устройство
для преобразования кодированного сообщения в исходное.
Деятельность людей всегда связана с
передачей информации.
В процессе передачи информация может
теряться и искажаться: искажение звука в телефоне, атмосферные помехи в радио,
искажение или затемнение изображения в телевидении, ошибки при передачи в
телеграфе. Эти помехи, или, как их называют специалисты, шумы, искажают
информацию. Наука, разрабатывающая способы защиты информации - криптология.
Рисунок 1.1 Процесс передачи информации
Каналы передачи сообщений характеризуются
пропускной способностью и помехозащищенностью.
Каналы передачи данных делятся на
симплексные (с передачей информации только в одну сторону (телевидение)) и
дуплексные (по которым возможно передавать информацию в оба направления
(телефон, телеграф)). По каналу могут одновременно передаваться несколько
сообщений. Каждое из этих сообщений выделяется (отделяется от других) с помощью
специальных фильтров. Например, возможна фильтрация по частоте передаваемых
сообщений, как это делается в радиоканалах.
Пропускная способность канала определяется
максимальным количеством символов, передаваемых ему в отсутствии помех. Эта
характеристика зависит от физических свойств канала.
Для повышения помехозащищенности канала
используются специальные методы передачи сообщений, уменьшающие влияние шумов.
Например, вводят лишние символы. Эти символы не несут действительного
содержания, но используются для контроля правильности сообщения при получении.
С точки зрения теории информации все то, что
делает литературный язык красочным, гибким, богатым оттенками, многоплановым,
многозначным,- избыточность. Например, как избыточно с таких позиций письмо
Татьяны к Онегину. Сколько в нем информационных излишеств для краткого и всем
понятного сообщения «Я Вас люблю!»
4. Обработка
Обработка информации - преобразование
информации из одного вида в другой, осуществляемое по строгим формальным
правилам.
Таблица 1.1
Примеры обработки информации
|
Примеры
|
Входная информация
|
Выходная информация
|
Правило
|
|
Таблица умножения
|
Множители
|
Произведение
|
Правила арифметики
|
|
Определение времени полета
рейса "Москва-Ялта"
|
Время вылета из Москвы и время
прилета в Ялту
|
Время в пути
|
Математическая формула
|
|
Отгадывание слова в игре
"Поле чудес"
|
Количество букв в слове и тема
|
Отгаданное слово
|
Формально не определено
|
|
Получение секретных сведений
|
Шифровка от резидента
|
Дешифрованный текст
|
Свое в каждом конкретном
случае
|
|
Постановка диагноза болезни
|
Жалобы пациента + результаты
анализов
|
Диагноз
|
Знание + опыт врача
|
Обработка информации по принципу «черного
ящика» - процесс, в котором пользователю важна и необходима лишь входная и
выходная информация, но правила, по которым происходит преобразование, его не
интересуют и не принимаются во внимание. «Черный ящик» - это система, в которой
внешнему наблюдателю доступны лишь информация на входе и на выходе этой
системы, а строение и внутренние процессы неизвестны.
Рисунок 1.2 Обработка информации по принципу
«черного ящика»
5. Использование
Информация используется при принятии
решений.
· Достоверность,
полнота, объективность полученной информации обеспечат вам возможность принять
правильное решение.
· Ваша
способность ясно и доступно излагать информацию пригодится в общении с
окружающими.
· Умение
общаться, то есть обмениваться информацией, становится одним главных умений
человека в современном мире.
Компьютерная грамотность предполагает:
· знание
назначения и пользовательских характеристик основных устройств компьютера;
· Знание
основных видов программного обеспечения и типов пользовательских интерфейсов;
· умение
производить поиск, хранение, обработку текстовой, графической, числовой
информации с помощью соответствующего программного обеспечения.
Информационная культура
пользователя включает в себя:
· понимание
закономерностей информационных процессов;
· знание
основ компьютерной грамотности;
· технические
навыки взаимодействия с компьютером;
· эффективное
применение компьютера как инструмента;
· привычку
своевременно обращаться к компьютеру при решении задач из любой области,
основанную на владении компьютерными технологиями;
· применение
полученной информации в практической деятельности.
6. Защита
Защитой информации
называется предотвращение:
· доступа
к информации лицам, не имеющим соответствующего разрешения
(несанкционированный, нелегальный доступ);
· непредумышленного
или недозволенного использования, изменения или разрушения информации.
Более подробно о защите информации мы
остановимся далее.
Под защитой информации, в более широком
смысле, понимают комплекс организационных, правовых и технических мер по
предотвращению угроз информационной безопасности и устранению их последствий.
Контрольные вопросы
1. Поиск, какой информации вы осуществляете
при работе со словарями: орфографическим, толковым, энциклопедическим?
2. Назовите, какие методы поиска
информации использовал Шерлок Холмс в своей работе?
. Является ли поиск решения
конкретной математической или физической задачи поиском информации?
. Опишите процедуру вашего поиска в
виде последовательности действий.
. Что такое эвристический метод
поиска информации?
. Как люди могут узнать о жизни своих
предков, живших много лет назад?
. Как хранится информация на
фотопленке? В каком виде представлена эта информация?
. Приведите примеры передачи
информации в природе и обществе.
. Приведите примеры из истории и
литературы, когда при передачи информация преднамеренно искажалась. К чему это
привело?
. На уроке информатики. Вовочка
(думает Очень хочется пить!») говорит Вера Ивановна, можно выйти?» Вера
Ивановна (думает Наверное, он не знает урока и надеется, что за оставшиеся 5
минут до конца урока я не успею его спросить».) говорит Вовочка к доске!»
Определите в данном примере источник информации, кодирование и декодирование,
канал связи, приемник информации, помехи и причину
их возникновения.
Лабораторное занятие 2 (1час)
Тема: Булева алгебра. Логические операции
Цель занятия:
рассмотреть основы дискретной математики (функции, отношения, множества, основы
логики, графы и деревья)
Задания:
1. Изучить функции, отношения, множества
2. Ознакомиться с основами логики
(булевой алгеброй), логикой высказываний, логическими связками, таблицей
истинности
. Произвести логические операции.
Рассмотреть формулы и их преобразование
. Составить отчет
Теоретические сведения
Используется аппарат алгебры логики.
Основные положения алгебры логики разработал в XIX в. английский математик
Джордж Буль. Алгебру логики называют также булевой алгеброй.
В булевой алгебре различают двоичные
переменные и переключательные функции.
Двоичные переменные могут принимать два
значения: 0 и 1. Они называются также логическими или булевыми переменными и
обозначаются символами х1,x2,х3,...
Переключательные функции (ПФ)
зависят от двоичных переменных. Они, как и аргументы, могут принимать лишь два
значения: 0 или 1. ПФ называют также логическими или булевыми функциями. Будем
обозначать ПФ в виде f(х1,x2,х3,...).
указывая в скобках аргументы, либо в виде y1,y2,y3,... .
ПФ в свою очередь могут служить аргументами еще более сложных логических
функций. Следовательно, можно построить ПФ любой заранее заданной сложности,
пользуясь ограниченным числом логических связей.
ПФ принято задавать таблицами истинности, в
которых для всех наборов переменных указываются соответствующие им значения ПФ.
Формирование значений ПФ в таблице истинности выполняется в соответствии с
логикой работы устройства (сумматора, сдвигателя, преобразователя кодов и т.
д.).
Набор переменных - это
совокупность значений двоичных переменных, каждая из которых может быть равна 0
или 1. Если число аргументов (независимых переменных) ПФ равно n (т.е. х1,x2,х3,...xn), то существует 2 различных сочетаний этих переменных,
т. е. наборов.
Таблица 2.1 представляет собой таблицу
истинности для некоторых ПФ f1 и f2, зависящих от двоичных
переменных х1,x2,х3.
Так как n = 3 (три переменных), таблица 2.1 содержит
8 строк, соответствующих 23 = 8 наборам переменных х1,x2,х3. Для каждого
набора в таблица 2.1 записаны значения ПФ f1 и f2, равные 0 или 1. По таблице
истинности записывается аналитическое выражение для ПФ.
Таблица 2.1
|
х1
|
х2
|
х3
|
f1
|
f2
|
|
0
|
0
|
0
|
0
|
1
|
|
0
|
0
|
1
|
1
|
0
|
|
0
|
1
|
0
|
0
|
1
|
|
0
|
1
|
1
|
1
|
0
|
|
1
|
0
|
0
|
0
|
0
|
|
1
|
0
|
1
|
1
|
0
|
|
1
|
1
|
0
|
0
|
1
|
|
1
|
1
|
1
|
0
|
1
|
Произвольная ПФ может быть выражена в форме
функции от двоичных переменных (либо от других ПФ) с помощью ограниченного
числа элементарных логических функций. Рассмотрим эти функции.
Логическое отрицание (функция
НЕ). Логическим отрицанием переменной х называется такая ПФ f1(x),
которая имеет значение 1, когда x = 0 и значение 0, когда
х= 1. ПФ НЕ обозначается в виде
и читается f1 есть (эквивалентно) не х».
Таблица 2.2 представляет собой таблицу
истинности логической функции НЕ.
Таблица 2.2
Логическое умножение
(конъюнкция). Конъюнкция двух (или любого другого числа)
переменных х1 и х2 принимает значение 1 только на наборе,
в котором все переменные имеют значения 1. На остальных наборах эта функция
имеет значение 0.
Таблица 2.3
|
x1
|
x2
|
f2
|
|
0
|
0
|
0
|
|
0
|
1
|
0
|
|
1
|
0
|
0
|
|
1
|
1
|
1
|
Таблица 2.3 представляет собой таблицу
истинности конъюнкции двух переменных х1 и x2. ПФ
конъюнкция обозначается в виде
и читается f2 есть (эквивалентно) х1
и x2».
Для обозначения конъюнкции можно
использовать символы
или &. Конъюнкция
называется также функцией И, так как она имеет значение 1, только если первый и
второй аргументы имеют значения 1.
Логическое сложение (дизъюнкция).
Дизъюнкция двух (или любого другого числа) переменных х1 и х2
имеет значение 0 только на наборе, в котором все переменные имеют значение 0.
Если хотя бы одна из переменных равна 1, функция будет иметь значение 1.
Таблица 2.4 есть таблица истинности для
дизъюнкции двух переменных х1 и х2. ПФ дизъюнкция
записывается в виде
и читается f3 есть
(эквивалентно) х1 или x2». Кроме
символа + , для дизъюнкции употребляется символ V.
Так как функция дизъюнкции имеет значение 1,
если первый или второй аргументы имеют значение 1, операция дизъюнкции
называется также операцией ИЛИ.
Таблица 2.4
|
x1x2f3
|
|
|
|
0
|
0
|
0
|
|
0
|
1
|
1
|
|
1
|
0
|
1
|
|
1
|
1
|
1
|
Элементарные логические функции НЕ, И, ИЛИ
являются основными логическими функциями. Имеется еще несколько логических
функций, производных от основных функций (т.е. выражающихся через функции НЕ,
И, ИЛИ), которые реализуются соответствующими электронными элементами и так
часто встречаются в схемотехнике ЭВМ, что им были даны собственные названия.
Рассмотрим эти функции.
Отрицание конъюнкции (операция И
- НЕ). Эта функция образуется путем отрицания результата, получаемого
при выполнении операции И. Таблица 2.5 есть таблица истинности операции И - НЕ
для двух переменных. Из сравнения таблиц 2.3 и 2.5 видно, что ПФ И - НЕ
является отрицанием (операцией НЕ) конъюнкции. ПФ И - НЕ записывается в виде
Таблица 2.5
|
x1x2f4
|
|
|
|
0
|
0
|
1
|
|
0
|
1
|
1
|
|
1
|
0
|
1
|
|
1
|
1
|
0
|
Отрицание дизъюнкции (операция
ИЛИ - НЕ). Эта операция образуется путем отрицания результата,
полученного при выполнении операции ИЛИ. Таблица 2.6 представляет собой таблицу
истинности операции ИЛИ - НЕ для двух переменных. Из сравнения таблиц 2.4 и 2.6
видно, что ПФ ИЛИ - НЕ является отрицанием (операцией НЕ) дизъюнкции. ПФ ИЛИ -
НЕ записывается в виде
Таблица 2.6
|
x1
|
x2
|
f5
|
|
0
|
0
|
1
|
|
0
|
1
|
1
|
|
1
|
0
|
1
|
|
1
|
1
|
0
|
ИСКЛЮЧАЮЩЕЕ ИЛИ (операция
НЕРАВНОЗНАЧНОСТЬ или СЛОЖЕНИЕ ПО МОДУЛЮ ДВА). Данная функция имеет
значение 1 на тех наборах переменных, в которых число единиц нечетно. Для двух
переменных операция НЕРАВНОЗНАЧНОСТЬ иллюстрируется таблицей истинности
(таблица 2.7). Эта операция записывается для двух переменных в виде
/
Операция НЕРАВНОЗНАЧНОСТЬ выражается через
операции НЕ, И, ИЛИ в виде
.
Таблица 2.7
|
x1
|
x2
|
f6
|
|
0
|
0
|
0
|
|
0
|
1
|
1
|
|
1
|
0
|
1
|
|
1
|
1
|
0
|
Операция ИСКЛЮЧАЮЩЕЕ ИЛИ - НЕ
(РАВНОЗНАЧНОСТЬ). Функция РАВНОЗНАЧНОСТЬ представляет собой отрицание
операции ИСКЛЮЧАЮЩЕЕ ИЛИ.
Данная операция имеет значение 1 на тех
наборах переменных, которые содержат четное число единиц. Для двух переменных
операция ИСКЛЮЧАЮЩЕЕ ИЛИ - НЕ представлена таблицей истинности (таблица 2.8).
Эта операция записывается для двух переменных в виде
Таблица 2.8
|
x1
|
x2
|
f6
|
|
0
|
0
|
1
|
|
0
|
1
|
0
|
|
1
|
0
|
0
|
|
1
|
1
|
1
|
Операция ИСКЛЮЧАЮЩЕЕ ИЛИ - НЕ выражается
через операции НЕ, И, ИЛИ в виде
.
Задания для самостоятельного
выполнения:
Даны двоичных числа А и В (данные в
таблице). Выполнить операции:
- отрицание
- логическое
сложение
- отрицание
ИЛИ
- логическое
умножение
- отрицание
И
- исключающее
ИЛИ
- отрицание
исключающего ИЛИ
|
Вариант
|
А
|
В
|
|
1.
|
1111
|
0101
|
|
2.
|
1011
|
0110
|
|
3.
|
1010
|
1011
|
|
4.
|
1101
|
|
5.
|
1101
|
1011
|
|
6.
|
0110
|
0110
|
|
7.
|
0001
|
1001
|
|
8.
|
1001
|
0010
|
|
9.
|
1010
|
1100
|
|
10.
|
1011
|
1101
|
|
11.
|
1001
|
0111
|
|
12.
|
1011
|
0011
|
|
13.
|
1001
|
1111
|
|
14.
|
0001
|
1010
|
|
15.
|
1101
|
1110
|
Лабораторное занятие 3 (1час)
Тема: Графы и деревья
Цель занятия:
изучить графы и деревья
Задание:
1. Рассмотреть графы и деревья
2. Изучить неориентированные и
ориентированные графы, стратегии обхода графов
. Привести примеры графов и деревьев
. Оформить отчет
Теоретические сведения
Граф - это
двойка <V, E>, где V - непустое множество вершин, а Е - множество ребер,
соединяющих эти вершины попарно. Две вершины, связанные между собой ребром,
равноправны, и именно поэтому такие графы называются неориентированными: нет
никакой разницы между «началом» и «концом» ребра.
Таблица 3.1
Примеры неориентированных графов
|
Граф
|
Вершины
|
Ребра
|
|
Семья
|
Люди
|
Родственные связи
|
|
Город
|
Перекрестки
|
Улицы
|
|
Домино
|
Костяшки
|
Возможность
|
Говоря простым языком, граф - это
множество точек (для удобства изображения - на плоскости) и попарно соединяющих
их линий (не обязательно прямых). В графе важен только факт наличия связи между
двумя вершинами. От способа изображения этой связи структура графа не зависит.
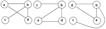
Например, три графа на рисунке 3.1
совпадают, а два графа на рисунке 3.2 - различны.
Из приведенного выше определения вытекает,
что в графах не бывает петель - ребер, соединяющих некоторую вершину саму с
собой (рисунок 3.3). Кроме того, в классическом графе не бывает двух различных
ребер, соединяющих одну и ту же пару вершин.
Рисунок 3.1 Три способа изображения одного
графа
Ребро е и вершина v называются инцидентными
друг другу, если вершина v является одним из концов ребра е.
Рисунок 3.2 Пример двух разных графов
Рисунок 3.3 Псевдограф
Любому ребру инцидентно ровно две
вершины, а вот вершине может быть инцидентно произвольное количество ребер, это
количество и определяет степень вершины. Изолированная вершина вообще не имеет
инцидентных ей ребер (ее степень равна 0).
Две вершины называются
смежными, если они являются разными концами одного ребра (иными словами,
эти вершины инцидентны одному ребру). Аналогично, два ребра называются
смежными, если они инцидентны одной вершине.
Путь в графе - это последовательность вершин
(без повторений), в которой любые две соседние вершины смежны. Например, в
графе, изображенном на рисунке 3.1, есть два различных пути из вершины a в
вершину с: adbc и abc.
Вершина v достижима из вершины u,
если существует путь, начинающийся в u и заканчивающийся в v.
Граф называется связным, если все его
вершины взаимно достижимы.
Компонента связности - это максимальный
связный подграф. В общем случае граф может состоять из произвольного количества
компонент связности. Заметим, что любая изолированная вершина является
отдельной компонентой связности. На рисунке 3.4 изображен граф, состоящий из
четырех компонент связности: [abhk], [gd], [c] и [f].
Длина пути -
количество ребер, из которых этот путь состоит. Например, длина уже упомянутых
путей adbc и abc (рисунок 3.1) - 3 и 2 соответственно.
Рисунок 3.4. Несвязный граф
Говорят, что вершина v принадлежит
k-му уровню относительно вершины u, если существует путь из u в v длиной ровно
k ребер. Одна и та же вершина может относиться к разным уровням. Например, в
графе, изображенном на рисунке 3.1, относительно вершины a существует 4 уровня:
0) a;
) b, d;
) b, d, c (пути adb, abd, abc);
3) c (путь adbc).
Расстояние между
вершинами u и v - это длина кратчайшего пути от u до v. Из этого
определения видно, что расстояние между вершинами a и c в графе на рисунке 3.1
равно 2.
Цикл - это
замкнутый путь. Все вершины в цикле, кроме первой и последней, должны быть
различны. Например, циклом является путь abda в графе на рисунке 3.1.
Эйлеров граф - это
граф, в котором существует цикл, содержащий все ребра графа (вершины могут
повторяться). Именно такие графы положительно решают упомянутую в начале лекции
задачу о кенигсбергских мостах. Например, граф на рисунке 3.5 является
Эйлеровым: искомым циклом в нем будет dbacfbcd.
Рисунок 3.5 Граф Эйлера
Гамильтонов граф - это
граф, в котором существует цикл (без повторений), содержащий все вершины графа
(рисунок 3.5; искомый цикл: abdfca).
Ориентированный граф (орграф)
- это граф, все ребра которого имеют направление. Такие направленные ребра
называются дугами. На рисунках дуги изображаются стрелочками (рисунок 3.6).
Рисунок 3.6 Орграф
В отличие от ребер, дуги соединяют две
неравноправные вершины: одна из них называется началом дуги (дуга из нее
исходит), вторая - концом дуги (дуга в нее входит). Можно сказать, что
любое ребро - это пара дуг, направленных навстречу друг другу.
Если в графе присутствуют и ребра, и дуги,
то его называют смешанным.
Все основные понятия, определенные для
неориентированных графов (инцидентность, смежность, достижимость, длина пути и
т.п.), остаются в силе и для орграфов - нужно лишь заменить слово «ребро»
словом «дуга». А немногие исключения связаны с различиями между ребрами и
дугами.
Степень вершины в орграфе - это не одно
число, а пара чисел: первое характеризует количество исходящих из вершины дуг,
а второе - количество входящих дуг.
Путь в орграфе - это
последовательность вершин (без повторений), в которой любые две соседние
вершины смежны, причем каждая вершина является одновременно концом одной дуги и
началом следующей дуги. Например, в орграфе на рисунке 3.6 нет пути, ведущего
из вершины 2 в вершину 5. «Двигаться» по орграфу можно только в направлениях,
заданных стрелками.
Таблица 3.2
Примеры ориентированных графов
|
Граф
|
Вершины
|
Дуги
|
|
Чайнворд
|
Слова
|
Совпадение последней и первой
букв (возможность связать два слова в цепочку)
|
|
Стройка
|
Работы
|
Необходимое предшествование
(например, стены нужно построить раньше, чем крышу, т. п.)
|
Взвешенный (другое
название: размеченный) граф (или орграф) - это граф (орграф),
некоторым элементам которого (вершинам, ребрам или дугам) сопоставлены числа.
Наиболее часто встречаются графы с помеченными ребрами. Числа-пометки носят
различные названия: вес, длина, стоимость.
Замечание: Обычный (не взвешенный) граф
можно интерпретировать как взвешенный, все ребра которого имеют одинаковый вес
1.
Длина пути во взвешенном (связном)
графе - это сумма длин (весов) тех ребер, из которых состоит путь. Расстояние
между вершинами - это, как и прежде, длина кратчайшего пути. Например,
расстояние от вершины a до вершины d во взвешенном графе, изображенном на
рисунке 3.7, равно 6.
Рисунок 3.7. Взвешенный граф
N-периферия вершины v - это множество
вершин, расстояние до каждой из которых (от вершины v) не меньше, чем N.
Таблица 3.3
Примеры взвешенных графов
|
Граф
|
Вершины
|
Вес вершины
|
Ребра (дуги)
|
Вес ребра (дуги)
|
|
Таможни
|
Государства
|
Площадь территории
|
Наличие наземной границы
|
Стоимость получения визы
|
|
Супер-чайнворд
|
Слова
|
-
|
Совпадение конца и начала
слов(возможность "сцепить" слова)
|
Длина пересекающихся частей
|
Существует довольно большое число
разнообразных способов представления графов. Однако мы изложим здесь только
самые полезные с точки зрения программирования.
Матрица смежности Sm
- это квадратная матрица размером NЧN (N - количество вершин в графе),
заполненная единицами и нулями по следующему правилу: Если в графе имеется
ребро e, соединяющее вершины u и v, то Sm[u,v] = 1, в противном
случае Sm[u,v] = 0.
Заметим, что данное определение подходит как
ориентированным, так и неориентированным графам: матрица смежности для
неориентированного графа будет симметричной относительно своей главной
диагонали, а для орграфа - несимметричной.
Задать взвешенный граф при помощи матрицы
смежности тоже возможно. Необходимо лишь внести небольшое изменение в
определение:
Если в графе имеется ребро e, соединяющее
вершины u и v, то Sm[u,v] = ves(e), в противном случае Sm[u,v]
= 0.
Небольшое затруднение возникнет в том
случае, если в графе разрешаются ребра с весом 0. Тогда придется хранить два
массива: один с нулями и единицами, которые служат показателем наличия ребер, а
второй - с весами этих ребер.
В качестве примера приведем матрицы
смежности для трех графов, изображенных на рисунке 3.5, рисунке 3.6 и рисунке
3.7.
Таблица 3.4
Примеры матриц смежности
|
Граф Эйлера (рисунок 3.5)
|
Орграф
(рисунок 3.6)
|
Взвешенный граф (рисунок 3.7)
|
|
a
|
b
|
c
|
d
|
f
|
|
1
|
2
|
3
|
4
|
5
|
|
a
|
b
|
c
|
d
|
|
a
|
0
|
1
|
1
|
0
|
0
|
1
|
0
|
1
|
0
|
1
|
0
|
a
|
0
|
1
|
10
|
0
|
|
b
|
1
|
0
|
1
|
1
|
0
|
2
|
0
|
0
|
0
|
0
|
0
|
b
|
1
|
0
|
2
|
10
|
|
c
|
1
|
1
|
0
|
1
|
1
|
3
|
1
|
1
|
0
|
0
|
1
|
c
|
10
|
2
|
0
|
3
|
|
d
|
0
|
1
|
1
|
0
|
1
|
4
|
0
|
0
|
1
|
0
|
0
|
d
|
0
|
0
|
3
|
0
|
|
f
|
0
|
0
|
1
|
1
|
0
|
5
|
0
|
0
|
0
|
0
|
0
|
|
|
|
|
|
Удобство матрицы смежности состоит в
наглядности и прозрачности алгоритмов, основанных на ее использовании. А
неудобство - в несколько завышенном требовании к памяти: если граф далек от
полного, то в массиве, хранящем матрицу смежности, оказывается много «пустых
мест» (нулей). Кроме того, для «общения» с пользователем этот способ
представления графов не слишком удобен: его лучше применять только для
внутреннего представления данных.
Список ребер - этот способ задания графов
наиболее удобен для внешнего представления входных данных. Пусть каждая строка
входного файла содержит информацию об одном ребре (дуге):
<номер_начальной_вершины>
<номер_конечной_вершины> [<вес_ребра>]
В качестве примера приведем списки ребер (дуг),
задающие те же три графа с рисунка 3.5, рисунка 3.6 и рисунка 3.7.
Таблица 3.5
Примеры списков ребер (дуг)
|
a b a
c b c b d c d c f f d b f
|
1 2 1 4 3 1 3 2 3 5 4 3
|
a b 1
a c 10 b c 2 b d 10 c d 3
|
Если задается ориентированный граф, то
номера вершин понимаются как упорядоченная пара, а если граф неориентированный
- как неупорядоченная.
Списки смежности - этот
способ задания графов подразумевает, что для каждой вершины будет указан список
всех смежных с нею вершин (для орграфа - список вершин, являющихся концами
исходящих дуг). Конкретный формат входного файла, содержащего списки смежности,
необходимо обговорить отдельно. Например, в нашем случае начальная вершина
отделена от списка смежности двоеточием:
<номер_начальной_вершины>:
<номера_смежных_вершин>
Наиболее естественно применять этот способ
для задания орграфов, однако и для остальных вариантов он тоже подходит.
В качестве примера приведем списки
смежности, задающие все те же три графа, изображенные на рисунке 3.5, рисунке
3.6 и рисунке 3.7.
Собственно, этот способ представления графов
является всего лишь внутренней реализацией списка смежности: в одном линейном
списке содержатся номера «начальных вершин», а в остальных - номера смежных
вершин или указатели на эти вершины.
Таблица 3.6
Примеры списков смежности
|
a: b c
b: c d f c: d f d: f1: 2 4 3: 1 2 5 4: 3b: a 1 c 2 d 10 c: a 10 d 3
|
|
|
Дерево - это
частный случай графа, наиболее широко применяемый в программировании.
Существует довольно много равносильных
определений деревьев, вот лишь некоторые из них.
1. Дерево - это
связный граф без циклов.
2. Дерево - это
связный граф, в котором при N вершинах всегда ровно N-1 ребро.
3. Дерево - это
граф, между любыми двумя вершинами которого существует ровно один путь.
Аналогичным образом определяется и ориентированное
дерево - как орграф, в котором между любыми двумя вершинами существует не более
одного пути.
Таблица 3.7
Примеры деревьев
|
Дерево
|
Вершины
|
Ребра (дуги)
|
|
Армия
|
Солдаты и офицеры
|
Иерархия (командир -
подчиненный)
|
|
Династия (родословная по мужской4
линии)
|
Монархи
|
Отношение "отец -
сын"
|
Рисунок 3.8 Корневое дерево высоты 3
Мы будем изучать и использовать только один
частный случай ориентированных деревьев - корневые деревья (рисунок 3.8).
Корневое дерево - это
ориентированное дерево, в котором можно выделить вершины трех видов: корень,
листья (другое их название: терминальные вершины) и остальные вершины
(нетерминальные); причем должны выполняться два обязательных условия:
1. из листьев не выходит ни одна дуга; из
других вершин может выходить сколько угодно дуг;
2. в корень не заходит ни одна дуга; во
все остальные вершины заходит ровно по одной дуге.
Традиционно в математике и в родственных ей
науках (в том числе и в теоретическом программировании) деревья «растут» вниз
головой: это делается просто для удобства наращивания листьев в случае
необходимости. Таким образом, на рисунках корень дерева оказывается самой
верхней вершиной, а листья - самыми нижними.
Предок вершины
v - это вершина, из которой исходит дуга, заходящая в вершину v. Потомок
вершины v - это вершина, в которую заходит дуга, исходящая из вершины v. В
этих терминах можно дать другие определения понятиям корень и лист: у корня нет
предков, у листа нет потомков.
Бинарное дерево - это
корневое дерево, каждая вершина которого имеет не более двух потомков. В таком
случае иногда говорят о левом потомке и правом потомке для текущей вершины.
Высота корневого
дерева - это максимальное количество дуг, отделяющих листья от корня. Если
дерево не взвешенное, то его высота - это просто расстояние от корня до самого
удаленного листа.
Поскольку любое дерево является графом, то
его можно задавать любым из способов, перечисленных выше.
Задания для самостоятельного
выполнения:
1. Построить неориентированный граф и вычислить
длину пути от одной из вершин ко всем остальным.
2. Построить ориентированный граф и
вычислить длину пути от одной из вершин ко всем остальным.
Лабораторное занятие 4 (1 час)
Тема: Архитектура компьютера
Цель занятия:
изучить представление данных в компьютере, логические элементы компьютера.
Задание:
1. Ознакомиться с историей архитектуры
компьютеров
2. Рассмотреть логические элементы
компьютера: вентили, триггеры, счетчики, регистры
. Изучить представление данных в
компьютере
. Освоить представления числовых и
нечисловых данных, знаковые представления и представления в дополнительном коде
. Привести примеры представления
данных
. Составить отчет
Теоретические сведения
Архитектурой компьютера называется
его описание на некотором общем уровне, включающее описание пользовательских
возможностей программирования, системы команд, системы адресации, организации
памяти и т.д. Архитектура определяет принципы действия, информационные связи и
взаимное соединение основных логических узлов компьютера: процессора,
оперативного ЗУ, внешних ЗУ и периферийных устройств. Общность архитектуры
разных компьютеров обеспечивает их совместимость с точки зрения пользователя.
Структура компьютера - это
совокупность его функциональных элементов и связей между ними. Элементами могут
быть самые различные устройства - от основных логических узлов компьютера до
простейших схем. Структура компьютера графически представляется в виде
структурных схем, с помощью которых можно дать описание компьютера на любом
уровне детализации.
История вычислительной техники началась едва
ли не раньше, чем окончательно сформировалась понятие числа. Неспроста в
некоторых языках слово "цифра" происходит от слова "палец"
- поначалу счет был неотделим от загибания пальцев. Пальцы стали первой
вычислительной техникой. Великий переворот в вычислительной технике произошел с
изобретением абака. Даже если вы не слышали этого слова, вы встречали, и
не раз, русскую разновидность этого прибора - счеты. Абак долгое время
играл особую роль в арифметике (как в геометрии - циркуль и линейка): задача
считалось решенной, только если было указано, как необходимые вычисления
выполнить на абаке. Существовала целая наука о счете на этой машине; особенно
большой вклад в ее развитие внес французский ученый Герберт (950-1003), под
конец жизни ставший папой римским Сильвестром II.
Но вычисления с развитием торговли,
банковского дела, техники становились все более трудоемкими, и мысль поручить
счет машине оставалось привлекательной. Многие умы занимались этой проблемой.
Около 1632 году немецкий ученый Вильгельм Шиккард, профессор математики
и восточных языков в Тюбингене, сконструировал первый в истории счетный
механизм. Вскоре, в 1642 году, великий французский ученый Блез Паскаль
(1623-1662) создал свою счетную машину, которая умела складывать и вычитать. Но
другой ученый Готфнид Вильгельм Лейбниц (1646-1716) создал машину
которая еще умела умножать и делить. Наконец, в первой половине XIX века
англичанин Чарльз Бэббидж (1791-1871) разработал конструкцию машины, во
многим причинам достойной называться первым компьютером.
Первый компьютер и был, и не был. Не был
потому, что его автор Чарльз Бэббидж не смог его построить: в то время
(он начал свою работу в 1834 году) подобная машина могла быть только
механической. Но точность изготовления деталей была слишком высока по их
меркам. Поэтому финансирование проекта прекратилась. Но все же первый компьютер
был - не осуществленный, но продуманный до мелочей и тщательно вычерченный.
Кроме чертежей, осталась еще и подробное словесное описание, составленной
сотрудницей Бэббиджа Августой Адой Лавлейс, разработанная ею язык
программирования и несколько первых в истории программ (перфокарты, машина
Бэббиджа была способна выполнять программы). Его основные части были теми же,
что и в каждом современном компьютере: устройства ввода данных (клавиатура);
запоминающее устройство, способное хранить исходные данные; арифметическое
устройство (-,+,·,:); устройство для вывода результата.
Дальнейшее развитие науки и техники
позволили в 1940-х годах построить первые вычислительные машины. В феврале 1944
на одном из предприятий IBM в сотрудничестве с учеными Гарвардского
университета по заказу ВМС США была создана машина "Марк-1".
Это был монстр весом около 35 тонн. "Марк-1" был основан на
использовании электромеханических реле и оперировал десятичными числами,
закодированными на перфоленте. Машина могла манипулировать числами длиной до 23
разрядов. Для перемножения двух 23-разрядных чисел ей было необходимо четыре
секунды. Но электромеханические реле работали недостаточно быстро. Поэтому уже
в 1943 американцы начали разработку альтернативного варианта - вычислительной
машины на основе электронных ламп. В 1946 была построена первая электронная
вычислительная машина ENIAC. Ее вес составлял 30 тонн, она требовала для
размещения 170 квадратных метров площади. Вместо тысяч электромеханических
деталей ENIAC содержал 18 тысяч электронных ламп. Считала машина в двоичной
системе и производила пять тысяч операций сложения или триста операций
умножения в секунду. Но лампы часто ломались и для их замены в 1947 американцы Джон
Бардин, Уолтер Браттейн и Уильям Брэдфорд Шокли предложили
использовать изобретенные ими стабильные переключающие полупроводниковые
элементы - транзисторы.
С активным внедрением транзисторов в 1950-х
годах связано рождение второго поколения компьютеров. Один транзистор был
способен заменить 40 электронных ламп. В результате быстродействие машин
возросло в 10 раз при существенном уменьшении веса и размеров. В компьютерах
стали применять запоминающие устройства из магнитных сердечников, способные
хранить большой объем информации. В 1959 были изобретены интегральные
микросхемы (чипы), в которых все электронные компоненты вместе с
проводниками помещались внутри кремниевой пластинки. Применение чипов в
компьютерах позволяет сократить пути прохождения тока при переключениях, и
скорость вычислений повышается в десятки раз. Существенно уменьшаются и
габариты машин. Появление чипа знаменовало собой рождение третьего поколения
компьютеров.
В середине 1970-х годов начинают
предприниматься попытки создания персонального компьютера - вычислительной
машины, предназначенной для частного пользователя. Во второй половине 1970-х
годов появляются наиболее удачные образцы микрокомпьютеров американской фирмы Эппл
(Apple), но широкое распространение персональные компьютеры получили с
созданием в августе 1981 фирмой IBM модели микрокомпьютера IBM PC. Применение
принципа открытой архитектуры, стандартизация основных компьютерных устройств и
способов их соединения привели к массовому производству клонов IBM PC, широкому
распространению микрокомпьютеров во всем мире.
В 1993 фирма Intel объявила о начале
промышленных поставок процессора Pentium с тактовой частотой 66 и 60
МГц. Системы, построенные на базе Pentium, полностью совместимы с персональными
компьютерами, использующими микропроцессоры ранних поколений i8088, i80286,
i80386, i80486. Новая микросхема содержала около 3,1 млн. транзисторов и
имела 32-разрядную адресную и 64-разрядную внешнюю шину данных. Архитектура
Pentium содержит два арифметико-логических устройства, благодаря чему две
команды могут быть выполнены за один такт синхронизации. Уже первый Pentium
имел два раздельных кэша по восемь килобайт: один для команд, другой - для
данных. Pentium стал первым массовым процессором Intel с суперскалярной
архитектурой и динамическим предсказанием переходов в исполняемых программах.
При разработке Pentium была существенно повышена производительность модуля
вычислений с плавающей запятой, добавлена аппаратная поддержка самотестирования,
текущего контроля производительности и расширенной отладки. Благодаря
встроенному в Pentium контроллеру прерываний многопроцессорных систем получили
распространение двухпроцессорные серверы и рабочие станции на его основе.
Первые Pentium выпускались до конца 1997. В дальнейшем фирма Интел производила
модификации этого микропроцессора - Pentium 2, Pentium 3, Pentium 4.
Существуют два основных формата
представления чисел в памяти компьютера. Один из них используется для
кодирования целых чисел, второй (так называемое представление числа в формате с
плавающей точкой) используется для задания некоторого подмножества
действительных чисел.
Множество целых чисел, представимых в
памяти ЭВМ, ограничено. Диапазон значений зависит от размера области памяти,
используемой для размещения чисел. В k-разрядной ячейке может храниться 2k
различных значений целых чисел.
Чтобы получить внутреннее представление
целого положительного числа N, хранящегося в k-разрядном машинном слове,
необходимо:
) перевести число N в двоичную систему
счисления;
) полученный результат дополнить слева
незначащими нулями до k разрядов.
Например, получим внутреннее представление
целого числа 1607 в 2-х байтовой ячейке. Переведем число в двоичную систему:
160710 = 110010001112. Внутреннее представление этого
числа в ячейке будет следующим: 0000 0110 0100 0111.
Для записи внутреннего представления целого
отрицательного числа (-N) необходимо:
) получить внутреннее представление
положительного числа N;
) обратный код этого числа заменой 0 на 1 и
1 на 0;
) полученному числу прибавить 1.
Например, получим внутреннее представление
целого отрицательного числа -1607. Воспользуемся результатом предыдущего
примера и запишем внутреннее представление положительного числа 1607: 0000 0110
0100 0111. Инвертированием получим обратный код: 1111 1001 1011 1000. Добавим
единицу: 1111 1001 1011 1001 - это и есть внутреннее двоичное представление
числа -1607.
Формат с плавающей точкой использует
представление вещественного числа R в виде произведения мантиссы m на основание
системы счисления n в некоторой целой степени p, которую называют порядком:
R = m * n p.
Представление числа в форме с плавающей
точкой неоднозначно. Например, справедливы следующие равенства: 12.345 =
0.0012345x104 = 1234.5x10-2 = 0.12345x102.
Чаще всего в ЭВМ используют нормализованное
представление числа в форме с плавающей точкой. Мантисса в таком представлении
должна удовлетворять условию: 0.1p <= m < 1p. Иначе
говоря, мантисса меньше 1 и первая значащая цифра не ноль (p - основание
системы счисления).
В памяти компьютера мантисса представляется
как целое число, содержащее только значащие цифры (0 целых и запятая не
хранятся), так для числа 12.345 в ячейке памяти, отведенной для хранения
мантиссы, будет сохранено число 12345. Для однозначного восстановления
исходного числа остается сохранить только его порядок, в данном примере - это
2.
Двоичная система счисления (двоичный код) -
код, в котором для представления информации используются цепочки бит. Для
представления целых чисел используются:
прямой код - знак кодируется нулем для
положительных и единицей для отрицательных. 510= 0 000101; -510= 1 000101
обратный код (или дополнительный -
дополненный до единицы) для положительных чисел совпадает с прямым кодом, а для
отрицательных получается из соответствующего прямого путем поразрядного
обращения каждого бита кроме знакового: -5=1 111010
Данный код позволяет унифицировать сложение
и вычитание с оговоркой, что если при суммировании чисел в обратном коде длина
результата превысит стандартную длину цепочки, то происходит циклический
перенос старшего разряда в младший, например: (+5) +(-3)=0000101+1111100=1
"0000001"= "0000010"=210.
Для умножения и деления обратный код менее
удобен, чем прямой. В основном обратный код нужен для получения
дополнительного.
Дополнительный код (или дополнение до двух)
для положительных чисел совпадает с прямым, а для отрицательных чисел
получается из обратного кода сложением с 1. Например: -5=1 111011.
Преимущества дополнительного кода перед
обратным кодом является упрощение суммирования, т.к. не возникает необходимости
в циклическом переносе из старшего разряда в младший.
Множество символов, используемых при записи
текста, называется алфавитом. Количество символов в алфавите называется
его мощностью.
Для представления текстовой информации в
компьютере чаще всего используется алфавит мощностью 256 символов. Один символ
из такого алфавита несет 8 бит информации, т. к. 28 = 256. Но 8 бит составляют
один байт, следовательно, двоичный код каждого символа занимает 1 байт памяти
ЭВМ.
Все символы такого алфавита пронумерованы от
0 до 255, а каждому номеру соответствует 8-разрядный двоичный код от 00000000
до 11111111. Этот код является порядковым номером символа в двоичной системе
счисления.
Для разных типов ЭВМ и операционных систем
используются различные таблицы кодировки, отличающиеся порядком размещения
символов алфавита в кодовой таблице. Международным стандартом на персональных
компьютерах является уже упоминавшаяся таблица кодировки ASCII.
Принцип последовательного
кодирования алфавита заключается в том, что в кодовой таблице ASCII
латинские буквы (прописные и строчные) располагаются в алфавитном порядке.
Расположение цифр также упорядочено по возрастанию значений.
Стандартными в этой таблице являются только
первые 128 символов, т.е. символы с номерами от нуля (двоичный код 00000000) до
127 (01111111). Сюда входят буквы латинского алфавита, цифры, знаки препинания,
скобки и некоторые другие символы. Остальные 128 кодов, начиная со 128
(двоичный код 10000000) и кончая 255 (11111111), используются для кодировки
букв национальных алфавитов, символов псевдографики и научных символов.
Сейчас существует несколько различных
кодовых таблиц для русских букв (КОИ-8, СР-1251, СР-866, Mac, ISO), причем
тексты, созданные в одной кодировке, могут неправильно отображаться в другой.
Решается такая проблема с помощью специальных программ перевода текста из одной
кодировки в другую.
Альтернативная кодировка не подошла для ОС
Windows. Пришлось передвинуть русские буквы в таблице на место псевдографики, и
получили кодировку Windows 1251 (Win-1251).
В течение долгого времени понятия
"байт" и "символ" были почти синонимами. Однако, в конце
концов, стало ясно, что 256 различных символов - это не так много. Математикам
требуется использовать в формулах специальные математические знаки,
переводчикам необходимо создавать тексты, где могут встретиться символы из
различных алфавитов, экономистам необходимы символы валют ($, Ј, Ґ). Для
решения этой проблемы была разработана универсальная система кодирования
текстовой информации - Unicode. В этой кодировке для каждого символа отводится
не один, а два байта, т.е. шестнадцать бит. Таким образом, доступно 65536 (216)
различных кодов. Этого хватит на латинский алфавит, кириллицу, иврит,
африканские и азиатские языки, различные специализированные символы:
математические, экономические, технические и многое другое. Главный недостаток
Unicode состоит в том, что все тексты в этой кодировке становятся в два раза
длиннее. В настоящее время стандарты ASCII и Unicode мирно сосуществуют.
Почти все создаваемые, обрабатываемые или
просматриваемые с помощью компьютера изображения можно разделить на две большие
части - растровую и векторную графику. Для представления графической информации
растровым способом используется так называемый точечный подход. На первом этапе
вертикальными и горизонтальными линиями делят изображение. Чем больше при этом
получилось элементов (пикселей), тем точнее будет передана информация об
изображении. Как известно из физики, любой цвет может быть представлен в виде суммы
различной яркости красного, зеленого и синего цветов. Поэтому надо закодировать
информацию о яркости каждого из трех цветов для отображения каждого пикселя. В видеопамяти
находится двоичная информация об изображении, выводимом на экран. Таким образом,
растровые изображения представляют собой однослойную сетку точек,
называемых пикселями (pixel, от англ. picture element), а код пикселя
содержит информацию о его цвете.
Для черно-белого изображения (без полутонов)
пиксель может принимать только два значения: белый и черный (светится - не
светится), а для его кодирования достаточно одного бита памяти: 1 - белый, 0 -
черный.
Пиксель на цветном дисплее может иметь
различную окраску, поэтому одного бита на пиксель недостаточно. Для кодирования
4-цветного изображения требуются два бита на пиксель, поскольку два бита могут
принимать 4 различных состояния. Может использоваться, например, такой вариант
кодировки цветов: 00 - черный, 10 - зеленый, 01 - красный, 11 - коричневый.
На RGB-мониторах все разнообразие цветов
получается сочетанием базовых цветов: красного (Red), зеленого (Green), синего
(Blue), из которых можно получить 8 основных комбинаций:
|
R
|
G
|
B
|
цвет
|
|
R
|
G
|
B
|
цвет
|
|
0
|
0
|
0
|
черный
|
|
1
|
0
|
красный
|
|
0
|
0
|
1
|
синий
|
|
1
|
0
|
1
|
пурпурный
|
|
0
|
1
|
0
|
зеленый
|
|
1
|
1
|
0
|
желтый
|
|
0
|
1
|
1
|
голубой
|
|
1
|
1
|
1
|
белый
|
Разумеется, если иметь возможность управлять
интенсивностью (яркостью) свечения базовых цветов, то количество различных
вариантов их сочетаний, порождающих разнообразные оттенки, увеличивается.
Количество различных цветов - К и количество битов для их кодировки - N связаны
между собой простой формулой: 2N = К.
В противоположность растровой графике
векторное изображение состоит из геометрических примитивов: линия,
прямоугольник, окружность и т.д. Каждый элемент векторного изображения является
объектом, который описывается с помощью специального языка (математических
уравнения линий, дуг, окружностей и т.д.). Сложные объекты (ломаные линии,
различные геометрические фигуры) представляются в виде совокупности
элементарных графических объектов.
Объекты векторного изображения, в отличие от
растровой графики, могут изменять свои размеры без потери качества (при
увеличении растрового изображения увеличивается зернистость).
Из курса физики известно, что звук - это
колебание частиц воздуха, непрерывный сигнал с меняющейся амплитудой.
При кодировании звука этот сигнал надо
представить в виде последовательности нулей и единиц. Как, например, это
происходит в микрофоне? Через равные промежутки времени, очень часто (десятки
тысяч раз в секунду) измеряется амплитуда колебаний. Каждое измерение
производится с ограниченной точностью и записывается в двоичном виде. Частота,
с которой записывается амплитуда, называется частотой дискретизации. Полученный
ступенчатый сигнал сначала сглаживается посредством аналогового фильтра, а
затем преобразуется в звук с помощью усилителя и динамика.

Рисунок 4.1
На качество воспроизведения закодированного
звука в основном влияют два параметра: частота дискретизации - количество измерений
амплитуды за секунду в герцах и глубина кодирования звука - размер в битах,
отводимый под запись значения амплитуды. Например, при записи на компакт-диски
(CD) используются 16-разрядные значения, а частота дискретизации равна 44032
Гц. Эти параметры обеспечивают превосходное качество звучания речи и музыки.
Для стереозвука отдельно записывают данные для левого и для правого канала.
Если преобразовать звук в электрический
сигнал (например, с помощью микрофона), мы увидим плавно изменяющееся с
течением времени напряжение. Для компьютерной обработки такой аналоговый сигнал
нужно каким-то образом преобразовать в последовательность двоичных чисел.
Поступим следующим образом. Будем измерять
напряжение через равные промежутки времени и записывать полученные значения в
память компьютера. Этот процесс называется дискретизацией (или
оцифровкой), а устройство, выполняющее его - аналого-цифровым
преобразователем (АЦП).

Рисунок 4.2
Для того чтобы воспроизвести закодированный
таким образом звук, нужно выполнить обратное преобразование (для него служит
цифро-аналоговый преобразователь - ЦАП), а затем сгладить получившийся
ступенчатый сигнал.
Чем выше частота дискретизации (т. е.
количество отсчетов за секунду) и чем больше разрядов отводится для каждого
отсчета, тем точнее будет представлен звук. Но при этом увеличивается и размер
звукового файла. Поэтому в зависимости от характера звука, требований,
предъявляемых к его качеству и объему занимаемой памяти, выбирают некоторые
компромиссные значения.
Описанный способ кодирования звуковой
информации достаточно универсален, он позволяет представить любой звук и
преобразовывать его самыми разными способами. Но бывают случаи, когда выгодней
действовать по-иному.
Человек издавна использует довольно
компактный способ представления музыки - нотную запись. В ней специальными
символами указывается, какой высоты звук, на каком инструменте и как сыграть.
Фактически, ее можно считать алгоритмом для музыканта, записанным на особом
формальном языке. В 1983 г. ведущие производители компьютеров и музыкальных
синтезаторов разработали стандарт, определивший такую систему кодов. Он получил
название MIDI.
Конечно, такая система кодирования позволяет
записать далеко не всякий звук, она годится только для инструментальной музыки.
Но есть у нее и неоспоримые преимущества: чрезвычайно компактная запись,
естественность для музыканта (практически любой MIDI-редактор позволяет
работать с музыкой в виде обычных нот), легкость замены инструментов, изменения
темпа и тональности мелодии.
Заметим, что существуют и другие, чисто
компьютерные, форматы записи музыки. Среди них следует отметить формат MP3,
позволяющий с очень большим качеством и степенью сжатия кодировать музыку. При
этом вместо 18-20 музыкальных композиций на стандартный компакт-диск (CD-ROM)
помещается около 200. Одна песня занимает примерно 3,5 Mb, что позволяет
пользователям сети Интернет легко обмениваться музыкальными композициями.
Контрольные вопросы
1. Как называется совокупность всех
символов, используемых для представления информации на некотором языке?
. Что такое кодирование информации и почему
в нем существует необходимость?
. Что такое алфавит системы счисления?
. Что общего у двоичной и десятичной систем
счисления и чем они отличаются?
. Для чего используются родственные системы
счисления?
. Что такое двоичная кодировка и почему она
применяется в компьютерах?
. Как представить двоичное число в
восьмеричной системе?
. В чем достоинства и недостатки кодировки
Unicode?
. Что общего в кодировании текста, графики и
звука в компьютерной системе?
. Что называют растром? Чем отличается
пиксель от точки экрана?
. Подготовьте доклад на тему «История
развития вычислительной техники»
Лабораторное занятие 5 (1 час)
Тема: Системы счисления
Цель занятия: изучить
правила перевода чисел из одной системы счисления в другую.
Задание:
1. Ознакомиться с системами счисление и
изучить правила перевода чисел из одной системы счисления в другую
2. Произвести арифметические операции в
двойной и восьмеричной системах счисления
. Составить отчет
Теоретические сведения
Система счисления есть
совокупность приемов обозначения (записи) чисел с помощью знаков.
Разнообразные системы счисления, которые
существовали раньше и которые используются в наше время, можно разделить на непозиционные
и позиционные системы счисления. Знаки, используемые при записи чисел,
называются цифрами.
В непозиционных системах счисления от
положения цифры в записи числа не зависит величина, которую она обозначает.
Примером непозиционной системы счисления является римская система, в которой в
качестве цифр используются латинские буквы:
|
I
|
V
|
X
|
L
|
C
|
D
|
M
|
|
1
|
5
|
10
|
50
|
100
|
500
|
1000
|
В числе цифры записываются слева направо в
порядке убывания. Величина числа определяется как сумма или разность цифр в
числе. Если меньшая цифра стоит слева от большей цифры, то она вычитается, если
справа - прибавляется. Например, VI = 5 + 1 = 6, а IX = 10 - 1 = 9,
СССXXVII=100+100+100+10+10+5+1+1=327.
В позиционных системах счисления
величина, обозначаемая цифрой в записи числа, зависит от ее позиции. Количество
используемых цифр называется основанием системы счисления. Место каждой
цифры в числе называется позицией.
|
Система счисления
|
Основание
|
Алфавит
|
|
Десятичная
|
10
|
0123456789
|
|
Двоичная
|
2
|
01
|
|
Троичная
|
3
|
012
|
|
Восьмеричная
|
8
|
01234567
|
|
Шестнадцатеричная
|
16
|
0123456789ABCDEF
|
Первая известная нам система, основанная на
позиционном принципе - шестидесятеричная вавилонская. Цифры в ней были двух
видов, одним из которых обозначались единицы, другим - десятки. Следы
вавилонской системы сохранились до наших дней в способах измерения и записи
величин углов и промежутков времени.
Однако наибольшую ценность для нас имеет
индо-арабская десятичная система. Индийцы первыми использовали ноль для
указания позиционной значимости величины в строке цифр. Эта система получила
название десятичной системы счисления, так как в ней десять цифр.
Для того чтобы лучше понять различие
позиционной и непозиционной систем счисления, рассмотрим пример сравнения двух
чисел. В позиционной системе счисления сравнение двух чисел происходит
следующим образом: в рассматриваемых числах слева направо сравниваются цифры,
стоящие в одинаковых позициях. Большая цифра соответствует большему значению
числа. Например, для чисел 123 и 234, 1 меньше 2, поэтому число 234 больше, чем
число 123. В непозиционной системе счисления это правило не действует. Примером
этого может служить сравнение двух чисел IX и VI. Несмотря на то, что I меньше,
чем V, число IX больше, чем число VI.
Далее мы будем рассматривать только
позиционные системы счисления.
Основание системы счисления, в которой
записано число, обычно обозначается нижним индексом. Например, 5557
- число, записанное в семеричной системе счисления. Если число записано в
десятичной системе, то основание, как правило, не указывается. Основание
системы - это тоже число, и его мы будем указывать в обычной десятичной
системе. Вообще, число x может быть представлено в системе с основанием p, как
x=an*pn+an-1*pn-1+ a1*p1+a0*p0,
где an...a0 - цифры в представлении данного числа.
Так, например
10=1*103+0*102+3*101+5*100;
2 = 1*23+0*22+1*21+0*20
= 10.
Наибольший интерес при работе на ЭВМ
представляют системы счисления с основаниями 2, 8 и 16. Вообще говоря, этих
систем счисления обычно хватает для полноценной работы, как человека, так и
вычислительной машины. Однако иногда в силу различных обстоятельств приходится
обращаться к другим системам счисления, например, к троичной, семеричной или
системе счисления по основанию 32.
Для того чтобы нормально оперировать с
числами, записанными в таких нетрадиционных системах, важно понимать, что
принципиально они ничем не отличаются от привычной нам десятичной системы
счисления. Сложение, вычитание, умножение в них осуществляется по одной и той
же схеме.
Почему же мы не пользуемся другими системами
счисления? В основном потому, что в повседневной жизни мы привыкли пользоваться
десятичной системой счисления, и нам не требуется никакая другая система
счисления. В вычислительных же машинах используется двоичная система счисления,
так как оперировать над числами, записанными в двоичном виде, довольно просто.
Часто в информатике используют
шестнадцатеричную систему, так как запись чисел в ней значительно короче записи
чисел в двоичной системе. Может возникнуть вопрос: почему бы не использовать
для записи очень больших чисел систему счисления, например по основанию 50? Для
такой системы счисления необходимы 10 обычных цифр плюс 40 знаков, которые
соответствовали бы числам от 10 до 49 и вряд ли кому-нибудь понравится работать
с этими сорока знаками. Поэтому в реальной жизни системы счисления по
основанию, большему 16, практически не используются.
Методику представления информации в двоичной
форме можно пояснить, проведя следующую игру. Нужно у собеседника получить
интересующую нас информацию, задавая любые вопросы, но получая в ответ только
одно из двух ДА либо НЕТ. Известным способом получения во время этого диалога
двоичной формы информации является перечисление всех возможных событий.
Рассмотрим простейший случай получения информации. Вы задаете только один
вопрос Идет ли дождь?". При этом условимся, что с одинаковой вероятностью
ожидаете ответ ДА" или "НЕТ". Легко увидеть, что любой из этих
ответов несет самую малую порцию информации. Эта порция определяет единицу
измерения информации, называемую битом. Благодаря введению понятия единицы
информации появилась возможность определения размера любой информации числом
битов. Образно говоря, если, например, объем грунта определяют в кубометрах, то
объем информации - в битах. Условимся каждый положительный ответ представлять цифрой
1, а отрицательный - цифрой 0. Тогда запись всех ответов образует многозначную
последовательность цифр, состоящую из нулей и единиц, например 0100.
Люди предпочитают десятичную систему,
вероятно, потому, что с древних времен считали по пальцам. Но, не всегда и не
везде люди пользовались десятичной системой счисления. В Китае, например,
долгое время применялась пятеричная система счисления. В ЭВМ используют
двоичную систему потому, что она имеет ряд преимуществ перед другими:
· для ее
реализации используются технические элементы с двумя возможными состояниями
(есть ток - нет тока, намагничен - ненамагничен);
· представление
информации посредством только двух состояний надежно и помехоустойчиво;
· возможно
применение аппарата булевой алгебры для выполнения логических преобразований
информации;
· двоичная
арифметика проще десятичной (двоичные таблицы сложения и умножения предельно
просты).
В двоичной системе счисления всего две
цифры, называемые двоичными (binary digits). Сокращение этого наименования привело
к появлению термина бит, ставшего названием разряда двоичного числа. Веса
разрядов в двоичной системе изменяются по степеням двойки. Поскольку вес
каждого разряда умножается либо на 0, либо на 1, то в результате значение числа
определяется как сумма соответствующих значений степеней двойки. Если
какой-либо разряд двоичного числа равен 1, то он называется значащим разрядом.
Запись числа в двоичном виде намного длиннее записи в десятичной системе
счисления.
При наладке аппаратных средств компьютера
или создании новой программы возникает необходимость "заглянуть
внутрь" памяти машины, чтобы оценить ее текущее состояние. Но там все
заполнено длинными последовательностями нулей и единиц двоичных чисел. Эти
последовательности очень неудобны для восприятия человеком, привыкшим к более
короткой записи десятичных чисел. Кроме того, естественные возможности
человеческого мышления не позволяют оценить быстро и точно величину числа,
представленного, например, комбинацией из 16 нулей и единиц.
Для облегчения восприятия двоичного числа
решили разбивать его на группы разрядов, например, по три или четыре разряда.
Эта идея оказалась очень удачной, так как последовательность из трех бит имеет
8 комбинаций, а последовательность из 4 бит - 16. Числа 8 и 16 являются степенями
двойки, поэтому легко находить соответствие с двоичными числами. Развивая эту
идею, пришли к выводу, что группы разрядов можно закодировать, сократив при
этом длину последовательности знаков. Для кодировки трех битов требуется восемь
цифр, поэтому взяли цифры от 0 до 7 десятичной системы. Для кодировки же
четырех битов необходимо шестнадцать знаков; для этого взяли 10 цифр десятичной
системы и 6 букв латинского алфавита: A, B, C, D, E, F. Полученные системы,
имеющие основания 8 и 16, назвали соответственно восьмеричной и
шестнадцатеричной.
В восьмеричной (octal) системе счисления
используются восемь различных цифр 0, 1, 2, 3, 4, 5, 6, 7. Основание системы -
8. При записи отрицательных чисел перед последовательностью цифр ставят знак
минус. Сложение, вычитание, умножение и деление чисел, представленных в
восьмеричной системе, выполняются весьма просто подобно тому, как это делают в
общеизвестной десятичной системе счисления. В различных языках программирования
запись восьмеричных чисел начинается с 0, например, запись 011 означает число
9.
В шестнадцатеричной (hexadecimal) системе
счисления применяется десять различных цифр и шесть первых букв латинского
алфавита. При записи отрицательных чисел слева от последовательности цифр
ставят знак минус. Для того чтобы при написании компьютерных программ отличить
числа, записанные в шестнадцатеричной системе, от других, перед числом ставят
0x. То есть 0x11 и 11 - это разные числа. В других случаях можно указать
основание системы счисления нижним индексом.
Шестнадцатеричная система счисления широко
используется при задании различных оттенков цвета при кодировании графической
информации (модель RGB). Так, в редакторе гипертекста Netscape Composer можно
задавать цвета для фона или текста как в десятичной, так и шестнадцатеричной
системах счисления.
Перевод чисел из одной системы счисления в другую
Представление чисел в развернутой форме
одновременно является способом перевода чисел в десятичную систему из любой
другой позиционной системы счисления. Достаточно подсчитать результат по
правилам десятичной арифметики.
Например, надо получить десятичные
эквиваленты чисел: 101,012; 673,28; 15AC16.
Перевод десятичного числа в другую систему
счисления может выполняться разными способами. При этом надо учитывать, что
алгоритмы перевода целых чисел и правильных дробей будут отличаться. Для
смешанного числа целая и дробная части переводятся отдельно по соответствующим
алгоритмам. В итоговой записи искомого они объединяются и разделяются запятой.
Так называемый метод поэтапного деления
заключается в последовательном целочисленном делении исходного числа и
получаемых неполных частных на основание той системы счисления, в которую
осуществляется перевод. Остатки от деления составляют искомое число.
Алгоритм перевода целого десятичного числа N
в позиционную систему с основанием p:
. Разделить нацело число N на p.
. Полученный остаток от деления дает цифру,
стоящую в нулевом разряде p-ичной записи числа N.
. Полученное частное снова разделить нацело
на p и снова запомнить полученный остаток - это цифра первого разряда, и т.д.
. Такое последовательное деление
продолжается до тех пор, пока частное не станет равным 0.
. Цифрами искомого числа являются остатки от
деления, выписанные слева направо начиная с последнего полученного остатка.
Для оформления записи перевода предлагается
один из возможных способов: слева от черты записываются неполные частные от
целочисленного деления на основание, а справа - остатки от деления.
Например, надо перевести десятичное число 26
в двоичную, троичную и шестнадцатеричную системы счисления.
Результат: 2610=110102,
2610=2223, 26=1A16.
Алгоритм перевода правильной десятичной
дроби N в позиционную систему с основанием p:
. Умножить данное число на новое основание
p.
. Целая часть полученного произведения
является цифрой старшего разряда искомой дроби.
. Дробная часть полученного произведения
вновь умножается на p, и целая часть результата считается следующей цифрой
искомой дроби.
. Операции продолжать до тех пор, пока
дробная часть не окажется равной нулю либо не будет достигнута требуемая
точность.
Например, надо перевести десятичную дробь
0,375 в двоичную, троичную и шестнадцатеричную систему счисления. Перевод
выполнить с точностью до третьего знака.
Результат: 0,37510=0,0112;
0,37510=0,1012; 0,37510=0,616.
Операция перевода в десятичную систему
выглядит гораздо проще, так как любое десятичное число можно представить в виде
x = a0*pn + a1*pn-1 + ... + an-1*p1
+ an*p0, где a0 ... an - это цифры
данного числа в системе счисления с основанием p.
Например, переведем число 4A3F в десятичную
систему. По определению, 4A3F= 4*163+A*162+3*16+F.
Заменив A на 10, а F на 15, получим 4*163+10*162+3*16+15=
19007.
Пожалуй, проще всего осуществляется перевод
чисел из двоичной системы в системы с основанием, равным степеням двойки (8 и
16), и наоборот. Для того чтобы целое двоичное число записать в системе
счисления с основанием 2n, нужно
· данное
двоичное число разбить справа налево на группы по n-цифр в каждой;
· если в
последней левой группе окажется меньше n разрядов, то дополнить ее нулями до
нужного числа разрядов;
· рассмотреть
каждую группу, как n-разрядное двоичное число, и заменить ее соответствующей
цифрой в системе счисления с основанием 2n.
Двоично-шестнадцатеричная таблица
|
2-ная
|
0000
|
0001
|
0010
|
0011
|
0100
|
0101
|
0110
|
0111
|
|
16-ная
|
0
|
1
|
2
|
3
|
4
|
5
|
6
|
7
|
|
2-ная
|
1000
|
1001
|
1010
|
1011
|
1100
|
1101
|
1110
|
1111
|
|
16-ная
|
8
|
9
|
A
|
B
|
C
|
D
|
E
|
F
|
Двоично-восьмеричная таблица
|
2-ная
|
000
|
001
|
010
|
011
|
100
|
101
|
110
|
111
|
|
8-ная
|
0
|
1
|
2
|
3
|
4
|
5
|
6
|
7
|
Например, надо перевести в восьмеричную и
шестнадцатеричную системы счисления число 1011000010,00110012.
Для этого разобьем исходное число на группы
по 3 цифры, начиная от десятичной запятой, и заменим триады восьмеричными
цифрами:
001 011
000 010 , 001 100 100 - 2-ичное число;
3 0 2 ,
1 4 4 - 8-ричное число.
Разобьем число на группы по 4 цифры, начиная
от десятичной запятой, и заменим тетрады шестнадцатеричными цифрами:
0010
1100 0010 , 0011 0010 - 2-ичное число;
С 2 , 3
2 - 16-ричное число.
Результат: 1011000010,00110012=1302,1448=2C2,3216
Арифметические операции в позиционных системах счисления
Арифметические операции в рассматриваемых
позиционных системах счисления выполняются по законам, известным из десятичной
арифметики. Двоичная система счисления имеет основание 2, и для записи чисел
используются всего две цифры 0 и 1 в отличие от десяти цифр десятичной системы
счисления.
Рассмотрим сложение одноразрядных чисел:
0+0=0, 0+1=1, 1+0=0. Эти равенства справедливы как для двоичной системы, так и
для десятичной системы. Чему же равно 1+1? В десятичной системе это 2. Но в
двоичной системе нет цифры 2!
Известно, что при десятичном сложении 9+1
происходит перенос 1 в старший разряд, так как старше 9 цифры нет. То есть
9+1=10. В двоичной системе старшей цифрой является 1. Следовательно, в двоичной
системе 1+1=10, так как при сложении двух единиц происходит переполнение
разряда и производится перенос в старший разряд. Переполнение разряда наступает
тогда, когда значение числа в нем становится равным или большим основания. Для
двоичной системы это число равно 2 (102=210).
Продолжая добавлять единицы, заметим: 102+1=112,
112+1=1002 - произошла "цепная реакция", когда
перенос единицы в один разряд вызывает перенос в следующий разряд.
Сложение многоразрядных чисел происходит по
этим же правилам с учетом возможности переносов из младших разрядов в старшие.
Вычитание многоразрядных двоичных чисел
производится с учетом возможных заёмов из старших разрядов.
Действия умножения и деления чисел в
двоичной арифметике можно выполнять по общепринятым для позиционных систем
правилам.
В основе правил арифметики любой позиционной
системы лежат таблицы сложения и умножения одноразрядных чисел.
Для двоичной системы счисления:
Аналогичные таблицы составляются для любой
позиционной системы счисления. Пользуясь такими таблицами, можно выполнять
действия над многозначными числами.
Задания для самостоятельного
выполнения
1. Перевести данное число из десятичной
системы счисления в двоичную, восьмеричную и шестнадцатеричную системы
счисления.
. Перевести данное число в десятичную
систему счисления.
. Сложить числа.
. Выполнить вычитание.
. Выполнить умножение.
. Выполнить деление.
Примечание. В заданиях 3-6 проверять
правильность вычислений переводом исходных данных и результатов в десятичную
систему счисления. В задании 1д получить пять знаков после запятой в двоичном
представлении.
Вариант 1
. а) 666(10); б) 305(10);
в) 153,25(10); г) 162,25(10); д) 248,46(10)
. а) 1100111011(2); б)
10000000111(2); в) 10110101,1(2); г) 100000110,10101(2);
д) 671,24(8); е) 41A,6(16).
. а) 10000011(2)+1000011(2);
б) 1010010000(2)+1101111011(2); в) 110010,101(2)+1011010011,01(2);
г) 356,5(8)+1757,04(8); д) 293,8(16)+3CC,98(16).
. а) 100111001(2)-110110(2);
б) 1111001110(2)-111011010(2); в) 1101111011,01(2)-101000010,0111(2);
г) 2025,2(8)-131,2(8); д) 2D8,4(16)-A3,B(16).
. а) 1100110(2)ґ 1011010(2);
б) 2001,6(8)ґ 125,2(8); в) 2C,4(16)ґ 12,98(16).
. а) 110011000(2) : 10001(2);
б) 2410(8) : 27(8); в) D4A(16) : 1B(16);
Вариант 2
. а) 164(10); б) 255(10);
в) 712,25(10); г) 670,25(10); д) 11,89(10)
. а) 1001110011(2); б) 1001000(2);
в) 1111100111,01(2); г) 1010001100,101101(2); д) 413,41(8);
е) 118,8C(16).
. а) 1100001100(2)+1100011001(2);
б) 110010001(2)+1001101(2); в) 111111111,001(2)+1111111110,0101(2);
г) 1443,1(8)+242,44(8); д) 2B4,C(16)+EA,4(16).
. а) 1001101100(2)-1000010111(2);
б) 1010001000(2)-1000110001(2); в) 1101100110,01(2)-111000010,1011(2);
г) 1567,3(8)-1125,5(8); д) 416,3(16)-255,3(16).
. а) 100001(2)ґ 1001010(2);
б) 1723,2(8)ґ 15,2(8); в) 54,3(16)ґ 9,6(16).
. а) 10010100100(2) : 1100(2);
б) 2760(8) : 23(8); в) 4AC(16) : 17(16);
Вариант 3
. а) 273(10); б) 661(10);
в) 156,25(10); г) 797,5(10); д) 53,74(10)
. а) 1100000000(2); б) 1101011111(2);
в) 1011001101,00011(2); г) 1011110100,011(2); д) 1017,2(8);
е) 111,B(16).
. а) 1110001000(2)+110100100(2);
б) 1001001101(2)+1111000(2); в) 111100010,0101(2)+1111111,01(2);
г) 573,04(8)+1577,2(8); д) 108,8(16)+21B,9(16).
. а) 1010111001(2)-1010001011(2);
б) 1110101011(2)-100111000(2); в) 1110111000,011(2)-111001101,001(2);
г) 1300,3(8)-464,2(8); д) 37C,4(16)-1D0,2(16).
. а) 1011010(2)ґ 1000010(2);
б) 632,2(8)ґ 141,34(8); в) 2A,7(16)ґ 18,8(16).
. а) 111010110(2) : 1010(2);
б) 4120(8) : 23(8); в) 4F8(16) : 18(16);
Вариант 4
. а) 105(10); б) 358(10);
в) 377,5(10); г) 247,25(10); д) 87,27(10)
. а) 1100001001(2); б) 1100100101(2);
в) 1111110110,01(2); г) 11001100,011(2); д) 112,04(8);
е) 334,A(16).
. а) 101000011(2)+110101010(2);
б) 111010010(2)+1011011110(2); в) 10011011,011(2)+1111100001,0011(2);
г) 1364,44(8)+1040,2(8); д) 158,A(16)+34,C(16).
. а) 1111111000(2)-100010011(2);
б) 1111101110(2)-11100110(2); в) 1001100100,01(2)-10101001,1(2);
г) 1405,3(8)-346,5(8); д) 3DD,4(16)-303,A(16).
. а) 1011100(2)ґ 1100100(2);
б) 347,2(8)ґ 125,64(8); в) 10,A8(16)ґ 35,4(16).
. а) 1000101000(2) : 1100(2);
б) 5101(8) : 31(8); в) D7A(16) : 1E(16);
Вариант 5
. а) 500(10); б) 675(10);
в) 810,25(10); г) 1017,25(10); д) 123,72(10)
. а) 1101010001(2); б) 100011100(2);
в) 1101110001,011011(2); г) 110011000,111001(2); д) 1347,17(8);
е) 155,6C(16).
. а) 1000101101(2)+1100000010(2);
б) 1111011010(2)+111001100(2); в) 1001000011,1(2)+10001101,101(2);
г) 415,24(8)+1345,04(8); д) 113,B(16)+65,8(16).
. а) 1101111100(2)-100100010(2);
б) 1011010110(2)-1011001110(2); в) 1111011110,1101(2)-1001110111,1(2);
г) 1333,2(8)-643,2(8); д) 176,7(16)-E5,4(16).
. а) 1101100(2)ґ 1010011(2);
б) 516,54(8)ґ 44,64(8); в) 61,8(16)ґ 48,9(16).
. а) 11000100000(2) : 10000(2);
б) 3074(8) : 25(8); в) 6D5(16) : 21(16);
Вариант 6
. а) 218(10); б) 808(10);
в) 176,25(10); г) 284,25(10); д) 253,04(10)
. а) 111000100(2); б) 1011001101(2);
в) 10110011,01(2); г) 1010111111,011(2); д) 1665,3(8);
е) FA,7(16).
. а) 11100000(2)+1100000000(2);
б) 110101101(2)+111111110(2); в) 10011011,011(2)+1110110100,01(2);
г) 1041,2(8)+1141,1(8); д) 3C6,8(16)+B7,5(16).
. а) 10110010(2)-1010001(2);
б) 1101000000(2)-10000000(2); в) 1100101111,1101(2)-100111000,1(2);
г) 1621,44(8)-1064,5(8); д) 1AC,B(16)-BD,7(16).
. а) 1000000(2)ґ 110110(2);
б) 714,34(8)ґ 133,4(8); в) 16,B(16)ґ 2B,6(16).
. а) 10001110011(2) : 10001(2);
б) 5456(8) : 33(8); в) 6FA(16) : 13(16);
Вариант 7
. а) 306(10); б) 467(10);
в) 218,5(10); г) 667,25(10); д) 318,87(10)
. а) 1111000111(2); б) 11010101(2);
в) 1001111010,010001(2); г) 1000001111,01(2); д) 465,3(8);
е) 252,38(16).
. а) 1000001101(2)+1100101000(2);
б) 1010011110(2)+10001000(2); в) 1100111,00101(2)+101010110,011(2);
г) 520,4(8)+635,4(8); д) 2DB,6(16)+15E,6(16).
. а) 1101000101(2)-111111000(2);
б) 11110101(2)-110100(2); в) 1011101011,001(2)-1011001000,01001(2);
г) 1034,4(8)-457,44(8); д) 239,A(16)-9C,4(16).
. а) 1101101(2)ґ 101010(2);
б) 310,2(8)ґ 40,5(8); в) 18,4(16)ґ 35,4(16).
. а) 10101001110(2) : 1110(2);
б) 5360(8) : 31(8); в) B80(16) : 20(16);
Вариант 8
. а) 167(10); б) 113(10);
в) 607,5(10); г) 828,25(10); д) 314,71(10)
. а) 110010001(2); б) 100100000(2);
в) 1110011100,111(2); г) 1010111010,1110111(2); д) 704,6(8);
е) 367,38(16).
. а) 10101100(2)+111110010(2);
б) 1000000010(2)+110100101(2); в) 1110111010,10011(2)+1011010011,001(2);
г) 355,2(8)+562,04(8); д) 1E5,18(16)+3BA,78(16).
. а) 1010110010(2)-1000000000(2);
б) 1111100110(2)-10101111(2); в) 1101001010,101(2)-1100111000,011(2);
г) 1134,54(8)-231,2(8); д) 2DE,6(16)-12A,4(16).
. а) 10101(2)ґ 11010(2);
б) 575,2(8)ґ 102,2(8); в) 55,4(16)ґ 6,5(16).
. а) 1110111000(2) : 1110(2);
б) 6457(8) : 33(8); в) AF0(16) : 1C(16);
Вариант 9
. а) 342(10); б) 374(10);
в) 164,25(10); г) 520,375(10); д) 97,14(10).
. а) 1000110110(2); б) 111100001(2);
в) 1110010100,1011001(2); г) 1000000110,00101(2); д)
666,16(8); е) 1C7,68(16).
. а) 1101010000(2)+1011101001(2);
б) 100000101(2)+1100001010(2); в) 1100100001,01001(2)+1110111111,011(2);
г) 242,2(8)+1153,5(8); д) 84,8(16)+27E,8(16).
. а) 1111110(2)-1111011(2);
б) 1111100000(2)-111110011(2); в) 1111011111,1001(2)-1010111100,01(2);
г) 1241,34(8)-1124,3(8); д) 15F,A(16)-159,4(16).
. а) 1001010(2)ґ 1101111(2);
б) 1616,3(8)ґ 61,3(8); в) 3A,38(16)ґ 64,4(16).
. а) 10100100000(2) : 10000(2);
б) 2756(8) : 26(8); в) D63(16) : 17(16);
Вариант 10
. а) 524(10); б) 222(10);
в) 579,5(10); г) 847,625(10); д) 53,35(10).
. а) 101111111(2); б) 1111100110(2);
в) 10011000,1101011(2); г) 1110001101,1001(2); д) 140,22(8);
е) 1DE,54(16).
. а) 1101010000(2)+11100100(2);
б) 100110111(2)+101001000(2); в) 1111100100,11(2)+1111101000,01(2);
г) 1476,3(8)+1011,1(8); д) 3E0,A(16)+135,8(16).
. а) 1010010100(2)-11101110(2);
б) 10000001110(2)-10011100(2); в) 1110100111,01(2)-110000001,1(2);
г) 1542,5(8)-353,24(8); д) 3EB,8(16)-3BA,8(16).
. а) 111000(2)ґ 100111(2);
б) 157,4(8)ґ 101,1(8); в) 19,7(16)ґ 58,78(16).
. а) 1111100000(2) : 10000(2);
б) 1760(8) : 22(8); в) A17(16) : 15(16);
Вариант 11
. а) 113(10); б) 875(10);
в) 535,1875(10); г) 649,25(10); д) 6,52(10).
. а) 11101000(2); б) 1010001111(2);
в) 1101101000,01(2); г) 1000000101,01011(2); д) 1600,14(8);
е) 1E9,4(16).
. а) 1000111110(2)+1011000101(2);
б) 1001000(2)+1101101001(2); в) 110110010,011(2)+1000011111,0001(2);
г) 620,2(8)+1453,3(8); д) 348,1(16)+234,4(16).
. а) 1100001010(2)-10000011(2);
б) 1101000001(2)-10000010(2); в) 110010110,011(2)-10010101,1101(2);
г) 1520,5(8)-400,2(8); д) 368,4(16)-239,6(16).
. а) 1100110(2)ґ 110010(2);
б) 177,4(8)ґ 23,4(8); в) 10,6(16)ґ 26,8(16).
. а) 1110010000(2) : 10000(2);
б) 4343(8) : 31(8); в) A3B(16) : 1B(16);
Вариант 12
. а) 294(10); б) 723(10);
в) 950,25(10); г) 976,625(10); д) 282,73(10).
. а) 10000011001(2); б) 10101100(2);
в) 1101100,01(2); г) 1110001100,1(2); д) 1053,2(8);
е) 200,6(16).
. а) 1000111110(2)+10111111(2);
б) 1111001(2)+110100110(2); в) 1001110101,00011(2)+1001001000,01(2);
г) 104,4(8)+1310,62(8); д) 2BD,3(16)+EB,C(16).
. а) 11110111(2)-11110100(2);
б) 1001100111(2)-101100111(2); в) 1100110111,001(2)-1010001101,0011(2);
г) 631,1(8)-263,2(8); д) 262,8(16)-1D6,88(16).
. а) 111101(2)ґ 1111(2);
б) 1751,2(8)ґ 77,24(8); в) 40,4(16)ґ 54,6(16).
. а) 100111000(2) : 1101(2);
б) 4120(8) : 23(8); в) 8F6(16) : 1F(16);
Вариант 13
. а) 617(10); б) 597(10);
в) 412,25(10); г) 545,25(10); д) 84,82(10).
. а) 110111101(2); б) 1110011101(2);
в) 111001000,01(2); г) 1100111001,1001(2); д) 1471,17(8);
е) 3EC,5(16).
. а) 1110100100(2)+1010100111(2);
б) 1100001100(2)+1010000001(2); в) 1100111101,10101(2)+1100011100,0011(2);
г) 750,16(8)+1345,34(8); д) 158,4(16)+396,8(16).
. а) 10000000010(2)-100000001(2);
б) 1110111111(2)-1010001(2); в) 1011001100,1(2)-100100011,01(2);
г) 1110,62(8)-210,46(8); д) 1D8,D8(16)-110,4(16).
. а) 11001(2)ґ 1011100(2);
б) 1440,4(8)ґ 17,6(8); в) 14,8(16)ґ 4A,3(16).
. а) 1010100100(2) : 1101(2);
б) 1375(8) : 21(8); в) 4C4(16) : 14(16);
Вариант 14
. а) 1047(10); б) 335(10);
в) 814,5(10); г) 518,625(10); д) 198,91(10).
. а) 1101100000(2); б) 100001010(2);
в) 1011010101,1(2); г) 1010011111,1101(2); д) 452,63(8);
е) 1E7,08(16).
. а) 1101100101(2)+100010001(2);
б) 1100011(2)+110111011(2); в) 1010101001,01(2)+10011110,11(2);
г) 1672,2(8)+266,2(8); д) 18B,A(16)+2E9,2(16).
. а) 1110111011(2)-100110111(2);
б) 1110000101(2)-1001110(2); в) 1011110100,0011(2)-101001011,001(2);
г) 1560,22(8)-1142,2(8); д) 1A5,8(16)-7D,A(16).
. а) 111100(2)ґ 111100(2);
б) 274,5(8)ґ 31,34(8); в) 13,4(16)ґ 38,48(16).
. а) 10011101100(2) : 1110(2);
б) 1436(8) : 23(8); в) CD6(16) : 1F(16);
Вариант 15
. а) 887(10); б) 233(10);
в) 801,5(10); г) 936,3125(10); д) 218,73(10).
. а) 1010100001(2); б)
10000010101(2); в) 1011110000,100101(2); г)
1000110001,1011(2); д) 1034,34(8); е) 72,6(16).
. а) 1010110101(2)+101111001(2);
б) 1111100100(2)+100110111(2); в) 111111101,01(2)+1100111100,01(2);
г) 106,14(8)+322,5(8); д) 156,98(16)+D3,2(16).
. а) 1111100100(2)-110101000(2);
б) 1110110100(2)-1101010101(2); в) 1100001,0101(2)-1011010,101(2);
г) 537,24(8)-510,3(8); д) 392,B(16)-149,5(16).
. а) 111100(2)ґ 1101001(2);
б) 1567,2(8)ґ 147,2(8); в) 44,8(16)ґ 13,6(16).
. а) 1111001100(2) : 10010(2);
б) 5050(8) : 31(8); в) 7EC(16) : 1A(16);
Вариант 16
. а) 969(10); б) 549(10);
в) 973,375(10); г) 508,5(10); д) 281,09(10).
. а) 10100010(2); б) 1110010111(2);
в) 110010010,101(2); г) 1111011100,10011(2); д) 605,02(8);
е) 3C8,8(16).
. а) 1111010100(2)+10000000010(2);
б) 101001011(2)+10000000010(2); в) 1011101001,1(2)+1110111,01(2);
г) 1053,34(8)+1513,2(8); д) 40A,E8(16)+92,7(16).
. а) 1001100011(2)-111111110(2);
б) 1110001000(2)-1011110(2); в) 10000010111,001(2)-1000010,01(2);
г) 553,2(8)-105,5(8); д) 298,9(16)-67,4(16).
. а) 1110000(2)ґ 1000101(2);
б) 436,2(8)ґ 57,14(8); в) 61,4(16)ґ 1E,B8(16).
. а) 10001001100(2) : 1010(2);
б) 5203(8) : 27(8); в) D58(16) : 1C(16);
Вариант 17
. а) 163(10); б) 566(10);
в) 694,375(10); г) 352,375(10); д) 288,61(10).
. а) 1010111011(2)+11001000(2);
б) 1111101010(2)+1101100100(2); в) 1100011100,1001(2)+10111100,1(2);
г) 1711,6(8)+1763,34(8); д) 30A,4(16)+89,48(16).
. а) 111100101(2)-1101101(2);
б) 1001011100(2)-110110101(2); в) 1110011001,1011(2)-1101101100,11(2);
г) 1617,4(8)-1442,6(8); д) 36C,2(16)-38,5(16).
. а) 1100001(2)ґ 1011100(2);
б) 104,54(8)ґ 66,3(8); в) 4D,A(16)ґ 69,6(16).
. а) 10110000010(2) : 1111(2);
б) 3316(8) : 32(8); в) A17(16) : 15(16);
Вариант 18
. а) 917(10); б) 477(10);
в) 74,5(10); г) 792,25(10); д) 84,33(10).
. а) 1110011100(2); б) 1111101111(2);
в) 111110100,101(2); г) 110011110,1000011(2); д) 1446,62(8);
е) 9C,D(16).
. а) 11100101(2)+1110111111(2);
б) 1101111(2)+1000010(2); в) 1000010100,011(2)+1111110111,011(2);
г) 1664,1(8)+501,3(8); д) 1F0,6(16)+34,4(16).
. а) 1011110110(2)-1001011001(2);
б) 1101101110(2)-1000111000(2); в) 1101110010,01(2)-111110110,01(2);
г) 1653,1(8)-415,6(8); д) 1B9,4(16)-1B4,6(16).
. а) 1010000(2)ґ 1101011(2);
б) 1605,14(8)ґ 22,04(8); в) 24,4(16)ґ 5E,4(16).
. а) 10010101111(2) : 1011(2);
б) 5366(8) : 27(8); в) 690(16) : 14(16);
Вариант 19
. а) 477(10); б) 182(10);
в) 863,25(10); г) 882,25(10); д) 75,2(10).
. а) 101011100(2); б) 1000010011(2);
в) 11100011,1(2); г) 100101010,00011(2); д) 1762,7(8);
е) 1B5,6(16).
. а) 1011010111(2)+1011110101(2);
б) 1110001001(2)+1110101011(2); в) 1100011000,101(2)+10000010100,1(2);
г) 1742,4(8)+456,1(8); д) 29E,3(16)+D8,4(16).
. а) 1000001000(2)-101110000(2);
б) 1111011010(2)-101001001(2); в) 1101101,1011(2)-111110,001(2);
г) 1026,66(8)-124,2(8); д) 3E0,2(16)-1EA,2(16).
. а) 1101101(2)ґ 100000(2);
б) 1355,5(8)ґ 125,64(8); в) 20,4(16)ґ 2F,4(16).
. а) 10000001000(2) : 1100(2);
б) 3060(8) : 20(8); в) 88B(16) : 1B(16);
Вариант 20
. а) 804(10); б) 157(10);
в) 207,625(10); г) 435,375(10); д) 30,43(10).
. а) 10010000(2); б) 11001010(2);
в) 1110101100,1011(2); г) 110110101,10111(2); д) 1164,36(8);
е) 1D5,C8(16).
. а) 1100010100(2)+1100011010(2);
б) 1001001(2)+1100010001(2); в) 1000110,101(2)+1010010001,001(2);
г) 433,4(8)+1774,2(8); д) F7,4(16)+178,4(16).
. а) 10111110(2)-1100010(2);
б) 1111110000(2)-100111011(2); в) 1011011100,011(2)-111011111,1(2);
г) 314,54(8)-77,14(8); д) 233,68(16)-DB,4(16).
. а) 1110010(2)ґ 1010111(2);
б) 242,2(8)ґ 73,2(8); в) 1D,A(16)ґ 8,4(16).
. а) 11101100000(2) : 10000(2);
б) 3366(8) : 22(8); в) A1E(16) : 25(16);
Лабораторное занятие 6 (1 час)
Тема: Организация машины. Хранение информации
Цель занятия:
рассмотреть организацию ПК, основной памяти и операции.
Задание:
1. Изучить принципы Фон-Неймана
2. Рассмотреть организацию основных
блоков компьютера: управляющее устройство, устройство памяти, устройство
ввода-вывода
. Изучить типы и системы команд
. Ознакомиться с иерархией памяти,
организацией основной памяти и операциями. Виртуальная память
. Составить отчет
Теоретические сведения
Архитектура фон Неймана (англ. von Neumann architecture) -
широко известный принцип совместного хранения программ и данных в памяти
компьютера. Вычислительные системы такого рода часто обозначают термином
«машина фон Неймана», однако, соответствие этих понятий не всегда однозначно. В
общем случае, когда говорят об архитектуре фон Неймана, подразумевают
физическое отделение процессорного модуля от устройств хранения программ и
данных.
Наличие заданного набора исполняемых команд
и программ было характерной чертой первых компьютерных систем. Сегодня подобный
дизайн применяют с целью упрощения конструкции вычислительного устройства. Так,
настольные калькуляторы, в принципе, являются устройствами с фиксированным
набором выполняемых программ. Их можно использовать для математических
расчётов, но невозможно применить для обработки текста и компьютерных игр, для
просмотра графических изображений или видео. Изменение встроенной программы для
такого рода устройств требует практически полной их переделки, и в большинстве
случаев невозможно. Впрочем, перепрограммирование ранних компьютерных систем
всё-таки выполнялось, однако требовало огромного объёма ручной работы по
подготовке новой документации, перекоммутации и перестройки блоков и устройств
и т. п.
Всё изменила идея хранения компьютерных
программ в общей памяти. Ко времени её появления использование архитектур,
основанных на наборах исполняемых инструкций, и представление вычислительного
процесса как процесса выполнения инструкций, записанных в программе, чрезвычайно
увеличило гибкость вычислительных систем в плане обработки данных. Один и тот
же подход к рассмотрению данных и инструкций сделал лёгкой задачу изменения
самих программ.
В 1946 году трое учёных - Артур Бёркс (англ.
Arthur Burks),
Герман Голдстайн (англ. Herman Goldstine) и Джон
фон Нейман - опубликовали статью «Предварительное рассмотрение логического
конструирования электронного вычислительного устройства». В статье
обосновывалось использование двоичной системы для представления данных в ЭВМ
(преимущественно для технической реализации, простота выполнения арифметических
и логических операций - до этого машины хранили данные в десятичном виде),
выдвигалась идея использования общей памяти для программы и данных. Имя фон
Неймана было достаточно широко известно в науке того времени, что отодвинуло на
второй план его соавторов, и данные идеи получили название «принципы фон
Неймана».
1. Принцип двоичности
Для представления данных и команд
используется двоичная система счисления.
2. Принцип программного
управления
Программа состоит из набора команд, которые
выполняются процессором друг за другом в определённой последовательности.
3. Принцип однородности памяти
Как программы (команды), так и данные
хранятся в одной и той же памяти (и кодируются в одной и той же системе
счисления - чаще всего двоичной). Над командами можно выполнять такие же
действия, как и над данными.
4. Принцип адресуемости памяти
Структурно основная память состоит из
пронумерованных ячеек; процессору в произвольный момент времени доступна любая
ячейка.
5. Принцип последовательного
программного управления
Все команды располагаются в памяти и
выполняются последовательно, одна после завершения другой.
6. Принцип условного перехода
Команды из программы не всегда выполняются
одна за другой. Возможно присутствие в программе команд условного перехода,
которые изменяют последовательность выполнения команд в зависимости от значений
данных. (Сам принцип был сформулирован задолго до фон Неймана Адой Лавлейс и Чарльзом
Бэббиджем, однако он логически включен в фоннеймановский набор как дополняющий
предыдущий принцип.)
Компьютеры, построенные на этих принципах,
относят к типу фоннеймановских.
Основная память представляет собой следующий
уровень иерархии памяти. Основная память удовлетворяет запросы кэш-памяти и
служит в качестве интерфейса ввода/вывода, поскольку является местом назначения
для ввода и источником для вывода. Для оценки производительности основной
памяти используются два основных параметра: задержка и полоса пропускания.
Традиционно задержка основной памяти имеет отношение к кэш-памяти, а полоса
пропускания или пропускная способность относится к вводу/выводу. В связи с
ростом популярности кэш-памяти второго уровня и увеличением размеров блоков у
такой кэш-памяти, полоса пропускания основной памяти становится важной также и
для кэш-памяти.
Задержка памяти традиционно оценивается
двумя параметрами: временем доступа (access time) и длительностью цикла памяти
(cycle time). Время доступа представляет собой промежуток времени между выдачей
запроса на чтение и моментом поступления запрошенного слова из памяти.
Длительность цикла памяти определяется минимальным временем между двумя
последовательными обращениями к памяти.
Основная память современных компьютеров реализуется
на микросхемах статических и динамических ЗУПВ (Запоминающее Устройство с
Произвольной Выборкой). Микросхемы статических ЗУВП (СЗУПВ) имеют меньшее время
доступа и не требуют циклов регенерации. Микросхемы динамических ЗУПВ (ДЗУПВ)
характеризуются большей емкостью и меньшей стоимостью, но требуют схем
регенерации и имеют значительно большее время доступа.
В процессе развития ДЗУВП с ростом их
емкости основным вопросом стоимости таких микросхем был вопрос о количестве
адресных линий и стоимости соответствующего корпуса. В те годы было принято
решение о необходимости мультиплексирования адресных линий, позволившее
сократить наполовину количество контактов корпуса, необходимых для передачи
адреса. Поэтому обращение к ДЗУВП обычно происходит в два этапа: первый этап
начинается с выдачи сигнала RAS - row-access strobe (строб адреса строки),
который фиксирует в микросхеме поступивший адрес строки, второй этап включает
переключение адреса для указания адреса столбца и подачу сигнала CAS -
column-access stobe (строб адреса столбца), который фиксирует этот адрес и
разрешает работу выходных буферов микросхемы. Названия этих сигналов связаны с
внутренней организацией микросхемы, которая как правило представляет собой
прямоугольную матрицу, к элементам которой можно адресоваться с помощью
указания адреса строки и адреса столбца.
Дополнительным требованием организации ДЗУВП
является необходимость периодической регенерации ее состояния. При этом все
биты в строке могут регенерироваться одновременно, например, путем чтения этой
строки. Поэтому ко всем строкам всех микросхем ДЗУПВ основной памяти компьютера
должны производиться периодические обращения в пределах определенного
временного интервала порядка 8 миллисекунд.
Это требование кроме всего прочего означает,
что система основной памяти компьютера оказывается иногда недоступной
процессору, так как она вынуждена рассылать сигналы регенерации каждой
микросхеме. Разработчики ДЗУПВ стараются поддерживать время, затрачиваемое на
регенерацию, на уровне менее 5% общего времени. Обычно контроллеры памяти
включают в свой состав аппаратуру для периодической регенерации ДЗУПВ.
В отличие от динамических, статические ЗУПВ
не требуют регенерации и время доступа к ним совпадает с длительностью цикла.
Для микросхем, использующих примерно одну и ту же технологию, емкость ДЗУВП по
грубым оценкам в 4 - 8 раз превышает емкость СЗУПВ, но последние имеют в 8 - 16
раз меньшую длительность цикла и большую стоимость. По этим причинам в основной
памяти практически любого компьютера, проданного после 1975 года,
использовались полупроводниковые микросхемы ДЗУПВ (для построения кэш-памяти
при этом применялись СЗУПВ). Естественно были и исключения, например, в
оперативной памяти суперкомпьютеров компании Cray Research использовались
микросхемы СЗУПВ.
Для обеспечения сбалансированности системы с
ростом скорости процессоров должна линейно расти и емкость основной памяти. В
последние годы емкость микросхем динамической памяти учетверялась каждые три
года, увеличиваясь примерно на 60% в год. К сожалению скорость этих схем за
этот же период росла гораздо меньшими темпами (примерно на 7% в год). В то же
время производительность процессоров начиная с 1987 года практически
увеличивалась на 50% в год.
Очевидно, согласование производительности
современных процессоров со скоростью основной памяти вычислительных систем
остается на сегодняшний день одной из важнейших проблем. Приведенные в
предыдущем разделе методы повышения производительности за счет увеличения
размеров кэш-памяти и введения многоуровневой организации кэш-памяти могут
оказаться не достаточно эффективными с точки зрения стоимости систем. Поэтому
важным направлением современных разработок являются методы повышения полосы
пропускания или пропускной способности памяти за счет ее организации, включая
специальные методы организации ДЗУПВ.
Хотя для организации кэш-памяти в большей
степени важно уменьшение задержки памяти, чем увеличение полосы пропускания.
Однако при увеличении полосы пропускания памяти возможно увеличение размера
блоков кэш-памяти без заметного увеличения потерь при промахах.
Основными методами увеличения полосы
пропускания памяти являются: увеличение разрядности или "ширины"
памяти, использование расслоения памяти, использование независимых банков
памяти, обеспечение режима бесконфликтного обращения к банкам памяти,
использование специальных режимов работы динамических микросхем памяти.
Задания для самостоятельного
выполнения
Проанализировать конфигурацию ПК на основе
примера.
Конфигурация ПК № _ПРИМЕР_
|
Позиция
|
Значение
|
Источник получения
|
|
тип процессора и его тактовая
частота
|
Intel Celeron 413MHz
|
POST, SysInfo
|
|
наличие арифметического
сопроцессора
|
Встроенный
|
POST
|
|
наличие КЭШ, объем
|
128 Kb
|
POST
|
|
объем ОЗУ и его тип
|
128
Mb, sync SDRAM
|
POST,
SysInfo, Dos Navigator
|
|
наличие высокоскоростных шин
передачи данных
|
ISA,
PCI
|
POST,
SysInfo
|
|
тип интерфейса дисковой
подсистемы; к какой шине подключен
|
IDE
mode LBA
|
POST,
SysInfo, Dos Navigator
|
|
количество твердых дисковых
накопителей (HDD - Hard Disk Drive) и объема памяти (общей и свободной)
|
1 диск : 4,00 Gb общей, 990 Mb свободной
|
POST,
SysInfo, Dos Navigator
|
|
скорость передачи данных и
время доступа для HDD
|
Нет данных
|
|
|
наличие накопителя на гибких
дисках (FDD - Floppy Disk Drive) и их размеры в дюймах и байтах
|
1 FDD
3.5” 1.44 Mb
|
POST,
SysInfo, Dos Navigator
|
|
перечень параллельных и
последовательных портов (LPT и COM)
|
1 параллельный LPT, 2 serial COM1 и COM2
|
POST,
SysInfo, Dos Navigator
|
|
тип видеокарты и объем памяти
|
Intel
740, 8Mb
|
POST, Windows 95: свойства «Мой компьютер»
|
|
тип монитора
|
Sumsung
SyncMaster 15GLe 15”
|
Windows 95:
свойства «Мой компьютер»
|
|
версию и производителя BIOS
|
Extention
V1.0A Award Software
|
|
|
версия операционной системы
|
Windows 98
|
Windows 98:
свойства «Мой компьютер»
|
|
перечень имеющегося
периферийного, сетевого и коммуникационного оборудования
|
Сканер, модем
|
Windows 98
свойства «Мой компьютер»
|
Лабораторное занятие 7 (1 час)
Тема: Алгоритмы. Основы разработки алгоритмов
Цель занятия:
изучить стратегию решения задач, алгоритмы, их свойства, стратегию реализации алгоритмов
Задание:
1. Рассмотреть стратегию решения задач,
алгоритмы и поиск решения
2. Дать характеристику свойствам
алгоритмов
. Изучить стратегию реализации
алгоритмов
. Решение задач на составление
алгоритмов
. Составить отчет
Теоретические сведения
Понятие алгоритма не есть в нашей жизни
что-то новое и необычное. Каждый из нас, не задумываясь, ежедневно использует
сотни различных алгоритмов. Например, правила сложения, вычитания, деления,
умножения чисел; правила преобразования алгебраических выражений;
грамматические правила правописания слов и предложений, а также различные
инструкции и правила, рецепты и указания - все это алгоритмы. Для решения любой
задачи надо знать, что дано и что следует получить, т.е. у задачи есть исходные
данные и искомые результаты. Для получения результатов необходимо знать способ
решения задачи, то есть располагать алгоритмом (инструкцией, правилом), в
котором указано, какие действия и в каком порядке следует выполнить, чтобы
решить задачу. Например, открывая дверь ключом, никто не размышляет над тем, в
какой последовательности выполнять действия. Однако, чтобы кого-нибудь научить
открывать дверь, придется четко указать и сами действия, и порядок их
выполнения. Алгоритм открытия двери может подразделяться на следующие этапы (действия):
1)достать ключ;
2)вставить ключ в замочную
скважину;
3)повернуть ключ 2 раза против
часовой стрелки;
4)вынуть ключ.
В алгоритме важен не только набор действий,
но и строгий порядок их выполнения. Если переставить второе и третье действия,
то получим:
1)достать ключ;
2)повернуть ключ 2 раза против
часовой стрелки;
3)вставить ключ в замочную
скважину;
4)вынуть ключ.
Этот алгоритм, конечно, тоже можно
выполнить. Но дверь вряд ли откроется. А если поменять местами 1 и 3 пункты во
втором алгоритме, то он станет вообще невыполнимым.
Любой алгоритм существует не сам по себе, а
предназначен для определенного исполнителя. Исполнитель - это объект, который
способен обрабатывать данные и исполнять набор определенных действий. Для
каждого исполнителя определена система команд. Система команд исполнителя есть
множество команд, которые он может выполнять исполнитель. Алгоритм описывается
в командах того исполнителя, который этот алгоритм будет выполнять. Объекты,
над которыми исполнитель может совершать действия, образуют так называемую
среду исполнителя. Исходные данные и результаты любого алгоритма всегда
принадлежат среде того исполнителя, для которого предназначен алгоритм.
Необходимо осознать, что исполнитель всегда четко следует командам алгоритма,
не «размышляя» над их содержанием. Например, при переходе улицы мы часто
пользуемся простым алгоритмом «посмотри налево, если машины нет, то дойди до
середины, посмотри направо и т.д.». Как должен поступить исполнитель в
ситуации, если машина слева есть, но она стоит сломанная, ей меняют колесо?
Исполнитель обязан стоять и ждать! Теперь сформулируем одно из возможных
неформальных определений алгоритма.
Алгоритм - это
точная конечная система правил, определяющая содержание и порядок действий
исполнителя над некоторыми объектами (исходными и промежуточными данными) для
получения искомого результата.
Из сказанного выше видно, что алгоритм не
существует сам по себе, а предназначен для исполнения кем-либо с использованием
чего-либо. Поэтому при решении задач соединяют эти понятия в алгоритмической
модели. Алгоритмическая модель - это совокупность данных, алгоритма и
исполнителя. Целью создания алгоритмической модели является получение
некоторого результата путем управления исполнителем. Данные подразделяются на
входные, промежуточные и выходные. Входные данные алгоритма - это
информация, необходимая для получения результата. Выходные данные - это
информация, представляющая результат выполнения алгоритма. Промежуточные данные
- это информация, которая получается на основании исходной и требуется для
получения результата. Например, для алгоритма решения квадратного уравнения
входными данными являются коэффициенты уравнения, к промежуточным относится
дискриминант, а выходными являются корни уравнения или сообщение об отсутствии
решения.
Построение алгоритма для решения задачи из
какой-либо области требует от человека глубоких знаний в этой области, бывает
связано с тщательным анализом поставленной задачи сложными, иногда очень
громоздкими рассуждениями. На поиски алгоритма решения некоторых задач ученые
затрачивают многие годы. Но когда алгоритм создан, решение задачи по готовому
алгоритму уже не требует каких-либо рассуждений и сводится только к строгому
выполнению его команд. Использование вычислительных машин в качестве
исполнителей алгоритмов предъявляет ряд требований к последним. Поэтому
познакомимся с основными свойствами, которыми должны обладать алгоритмы.
Понятность. Первое
свойство напрямую связано с понятием исполнителя. При составлении алгоритма
нужно обязательно учитывать «правила игры», т.е. систему предписаний (или
систему команд), которые понимает исполнитель. Поэтому, прежде чем составлять
алгоритм решения задачи, надо узнать, какие действия способен выполнять
выбранный нами исполнитель алгоритма. Например, нельзя задавать человеку
действия: перемножить 3 шестизначных числа в уме, а компьютеру: пройти 2
квартала прямо. Эти действия окажутся невыполнимы. При составлении алгоритма
можно использовать только допустимые действия. Например, чтобы решить уравнение
х2 -9х + 8 = 0, ученику 10 класса достаточно дать следующий
алгоритм:
1)решить уравнение;
2)сообщить результат.
А другому исполнителю - ученику пятого
класса, который не знает формулу корней квадратного уравнения, - придется
написать более развернутый алгоритм:
1)вычислить значение выражения 92
- 4 × 8 (дискриминант);
2)извлечь из полученного числа
квадратный корень и обозначить результат буквой d;
3)вычислить значения (9 + d)/2 и (9 -d)/2;
4)сообщить результат.
Ученик третьего класса тоже сможет решить
это уравнение, если для него составить еще более развернутый алгоритм,
содержащий только знакомые ему арифметические действия. Теперь ясно, что
алгоритм пишется для конкретного исполнителя. В данном случае говорят о
понятности алгоритма.
Свойство понятности алгоритма заключается в
том, что алгоритм не должен содержать команд, смысл которых не понятен
исполнителю.
Другими словами, алгоритм должен состоять
только из тех команд, которые входят в систему команд исполнителя.
Однозначность. Будучи
понятным, алгоритм не должен содержать предписаний, смысл которых может
восприниматься неоднозначно. Этими свойствами часто не обладают предписания и
инструкции, которые составляются для людей. Например, в рецепте приготовления
омлета сказано Разбить в эту смесь 3 яйца и все хорошо взбить». На бытовом
уровне нам понятно, что речь идет о трех куриных яйцах (а каких еще! - скажете
вы). Но яйца могут быть и голубиные, и утиные, и даже страусиные (все резко
отличаются по величине друг от друга). Здесь явно «закралась» неоднозначность.
Указания типа посолить по вкусу», «насыпать две-три ложки сахарного песку»,
«получил оценку 4 или 5», «жарить до готовности», «копать от забора до обеда»
не могут встречаться в алгоритмах. Очевидно, что понятные в определенных ситуациях
для человека предписания могут поставить в тупик компьютер. Кроме того, в
алгоритмах недопустимы такие ситуации, когда после выполнения очередного
предписания исполнителю неясно, какое из них должно выполняться на следующем
шаге.
Свойство однозначности алгоритма заключается
в том, что алгоритм не должен содержать предписаний, смысл которых может
восприниматься неоднозначно, и на каждом шаге выполнения алгоритма должно быть
известно, какую команду надо выполнить следующей.
Дискретность. Как мы
уже знаем, алгоритм задает полную последовательность действий, которые
необходимо выполнить для решения задачи. Выполнить действия следующего
предписания, можно лишь выполнив действия предыдущего. В сущности,
программирование - это процесс разложения сложной задачи на ряд простых
действий.
Свойство дискретности алгоритма заключается
в том, что процесс выполнения алгоритма можно разбить на последовательность
отдельных элементарных действий, каждое из которых должно быть закончено
исполнителем прежде, чем он приступит к исполнению следующего.
Массовость. Очень
важно, чтобы составленный алгоритм обеспечивал решение не одной частной задачи,
а мог выполнять решение широкого класса задач данного типа. Например,
необходимо решить конкретное квадратное уравнение х2 - Ах + 3 = 0.
Но ведь можно составить алгоритм решения любого квадратного уравнения вида ах +
bх + с = 0. Действительно, для случая, когда дискриминант D = b2 - Аас
> 0, корни квадратного уравнения можно найти по известным формулам, если же D < 0, то действительных корней не существует. Таким
образом, этот алгоритм можно использовать для любого квадратного уравнения.
Свойство массовости (универсальности)
алгоритма заключается в том, что он должен решать любую задачу из некоторого
класса задач.
Конечность. Свойство
конечности алгоритма заключается в том, что исполнитель должен завершить
выполнение алгоритма за конечное число шагов.
Результативность. По
определению алгоритма его выполнение должно приводить к получению определенных
результатов.
Нередко возникают ситуации, когда какие-либо
действия невозможно выполнить. В математике такие ситуации называют
неопределенностью. Например, деление числа на ноль, извлечение квадратного
корня из отрицательного числа, да и само понятие бесконечности неопределенно.
Если алгоритм задает бесконечную последовательность действий, то в этом случае
результат также считается неопределенным. В таких ситуациях необходимо указать
причину неопределенного результата, и тогда пояснения типа «на ноль делить
нельзя», «компьютер выполнить такое не в состоянии», «дискриминант меньше нуля,
корней нет», «задача решения не имеет» можно считать результатами выполнения
алгоритмов.
Свойство результативности алгоритма состоит
в том, чтобы во всех случаях можно было указать, что является результатом
выполнения алгоритма.
Нa практике
наиболее распространены следующие формы записи алгоритмов:
) словесная;
) формульно-словесная;
3) операторные схемы;
) графическая;
5) на псевдокоде;
6) на алгоритмическом языке.
Словесная форма записи алгоритма
представляет собой описание на естественном языке последовательных этапов
обработки данных
Словесный способ не имеет широкого
распространения, так как такие описания строго не формализуемы, страдают
многословностью записей, допускают неоднозначность толкования отдельных предписаний.
Например:
= 5*x
шаг 1: прочитать x
шаг 2: умножить x на 5
шаг 3: вывести y
Формульно-словесная форма задается с помощью
математических формул с пояснением.
Например:
шаг 1: прочитать x
шаг 2: вычислить 5*x - 1
шаг 3: вычислить
шаг 4: умножить 8*
шаг 5: шаг 2 разделить на шаг 4
шаг 6: вывести y
Операторные схемы - алгоритм представляется
с помощью операторов:
В - ввод исходных данных
А- арифметические операции
П - вывод
Р - логический оператор
Я - оператор остановки
Операторы имеют номера и индексы в
соответствии с порядком их следования. Логический оператор записывается как
функция, аргументом которой служит проверяемое условие: Р (x > 0). Операторы
выполняются последовательно. Только логический оператор может прервать эту
последовательность.
Пример: y =
|
№ п\п
|
Символ оператора
|
Содержание
|
|
1.
|
В1
|
Ввод исходных данных
|
|
2.
|
Р2( x > 0)
|
Проверка логического условия (
x > 0)
|
|
3.
|
A3
|
Вычисление y = x + 1
|
|
4.
|
A4
|
Вычисление y = x - 1
|
|
5.
|
П5
|
Печать вычисленного y
|
|
6.
|
Я6
|
Остановка
|
В1Р2( x > 0) A3;А4
П5Я6 _- операторная схема
Графическая форма записи, называемая также
схемой алгоритма (или блок-схемой) представляет собой изображение алгоритма в
виде последовательности связанных между собой функциональных блоков, каждый из
которых соответствует выполнению одного или нескольких действий.
Основные блоки:
Начало,
конец
Ввод,
вывод
Выполнение
различных операций
Логический
блок (выбор направления в зависимости от условий)
Ввод-вывод
данных, носителем которых служит бумага
Графическая запись является более компактной
и наглядной по сравнению со словесной. В схеме алгоритма каждому типу действий
соответствует геометрическая фигура. Фигуры соединяются линиями переходов,
определяющими очередность выполнения действий.
Псевдокод представляет собой систему
обозначений и правил, предназначенную для единообразной записи алгоритмов.
Алгоритм, записанный с помощью псевдокода,
представляет собой полуформализованное описание на условном алгоритмическом
языке, включающее как основные элементы языка программирования, так и фразы
естественного языка, общепринятые математические обозначения и другие.
Алгоритмический язык - язык, используемый
для формальной записи алгоритмов.
Большинство языков программирования
относятся к алгоритмическим языкам. Запись алгоритма на алгоритмическом языке
называют программой.
Задания для самостоятельного
выполнения
Вариант 1. Записать
алгоритм вычисления значения y, используя словесную форму описания алгоритма.
= (2x + 5)(3)
Вариант 2. Записать
алгоритм вычисления значения С, используя формульно-словесную форму описания
алгоритма.
С = Sinx+ x- 5
Вариант 3. Используя
формульно-словесную форму описания алгоритма, вычислить:
=
Вариант 4. Используя
словесную форму описания алгоритма, вычислить сумму 10-ти чисел.
Вариант 5. Используя
словесную форму описания алгоритма, вычислить произведение 5-ти чисел.
Вариант 6. Используя
формульно-словесную форму описания алгоритма, вычислить:
= 3x - tg x
Задание 7. Используя
операторную схему описания алгоритма, вычислить:
=
Вариант 8. Используя
словесную форму описания алгоритма, вычислить:
Вариант 9. Используя
формульно-словесную форму описания алгоритма, вычислить:
=
Вариант 10. Используя
операторную схему описания алгоритма, вычислить:=
Вариант 11. Используя
операторную форму описания алгоритма, вычислить:
Вариант 12. Используя
операторную схему описания алгоритма, вычислить:
К = ½x - ln x½
Вариант 13. Используя
словесную форму описания алгоритма, вычислить:
A = lnx +
Вариант 14. Используя операторную схему описания
алгоритма, вычислить:
=
Вариант 15. Используя операторную форму описания
алгоритма, вычислить:
= 3y + lny
Вариант 16. Используя словесную форму описания
алгоритма, вычислить:
= Cosx +
Вариант 17. Используя операторную форму описания
алгоритма, вычислить:
Вариант 18. Используя формульно-словесную форму
описания алгоритма, вычислить:=½cosx + sinx - tgx½
Вариант 19. Используя словесную форму описания
алгоритма, вычислить:
=
Вариант 20. Используя операторную форму описания
алгоритма, вычислить:
=
Лабораторное занятие 8 (1 час)
Тема: Структуры данных. Блок-схемы
Цель занятия:
рассмотреть структуры данных (типы, массивы, строки), построить блок-схемы на
различные типы алгоритмических структур, произвести анализ алгоритмов.
Задание:
1. Изучить структуры данных
2. Выполнить индивидуальные задания на
построение блок-схем различных видов алгоритмов
. Рассмотреть основные вычислительные
алгоритмы
. Осуществить анализ алгоритмов
. Составить отчет
Методические указания по
выполнению работы
В зависимости от особенностей своего
построения алгоритмы делятся на три основные группы:
1. Линейные;
2. Разветвляющиеся;
. Циклические.
Разнообразие алгоритмов определятся тем, что
любой алгоритм распадается на части, фрагменты и каждый фрагмент представляет
собой алгоритм одного из трёх указанных видов. Поэтому важно знать структуру
каждого из алгоритмов и принципы их составления.
Линейным называется
алгоритм, в котором все этапы решения задачи выполняются строго
последовательно. Т.е. линейный алгоритм выполняется в естественном порядке его
написания и не содержит разветвлений и повторений.
Структура такого алгоритма показана на
рисунке 8.1.
Рисунок 8.1 Линейный алгоритм
Рассмотрим составление схем линейных
алгоритмов на конкретных примерах.
Пример 1. Даны переменные А и В. Требуется
обменять их значения, т.е. переменная А должна получить значение В, а В -
значение А.
Решение.
1. Исходные данные: А, В. Вспомогательная
переменная DOP. Результат: А, В.
2. Метод решения задачи: В ЭВМ каждая
величина хранится в отдельном участке памяти (переменной). Поэтому задача
заключается в том, чтобы поменять местами содержимое двух ячеек.
Решение задачи распадается на три этапа.
Соответствующие им блоки и порядок их выполнения изображены на схеме алгоритма
(рисунок 8.2).
Рисунок 8.2 Алгоритм решения примера 1
Алгоритмом ветвящейся структуры будем
называть такой алгоритм, котором выбирается один из нескольких возможных путей
(вариантов) вычислительного процесса.
Ветвью алгоритма называется
каждый подобный путь.
Признаком разветвляющегося алгоритма
является наличие операций условного перехода, когда происходит проверка
истинности некоторого логического выражения (проверяемое условие) и в
зависимости от истинности или ложности проверяемого условия для выполнения
выбирается та или иная ветвь алгоритма. Алгоритм предполагает выполнение
Действия 1, если записанное условие истинно (выполняется), и выполнение
Действия 2 ( если условие ложно (не выполняется).
В частном случае может отсутствовать один из
блоков "Действие 1" или "Действие 2".
Пусть, например, В - проверяемое условие, а s1,
s2 - некоторые выполняемые инструкции (действия). Тогда:
Если условие В выполняется (истинно), то
выбрать для исполнения s1,
иначе
выбрать для исполнения s2
Блок-схема данного алгоритма представлена на
рисунке 8.3.
Рисунок 8.3 Блок-схема ветвящегося алгоритма
Существуют задачи связанные с вычислением
функций, заданных несколькими арифметическими выражениями (формулами). Приведём
пример такой задачи.
Пример 2. Найти максимальное из двух чисел
X,Z: Y = max{X,Z}.
Решение.
Исходные данные: X,Z.
Результат: Max.
Метод решения задачи: нужно сравнить два
числа и сделать вывод. Блок-схема алгоритма решения этой задачи выглядит
следующим образом:
Рисунок 8.4 Алгоритм решения примера 2
Циклический алгоритм реализует
повторение некоторых действий. Иными словами Циклические алгоритмы включают в
себя циклы.
Циклом называется
последовательность действий, выполняемых многократно, каждый раз при новых
значениях параметров.
Примеры циклических алгоритмов может служить
алгоритм покраски забора.
Действительно, рассмотрим этот алгоритм в
словесно-формульном виде:
Шаг I. Подготовить исходные данные (забор,
краску, кисть);
Шаг II. Подойти к забору;
Шаг III. Обмакнуть кисть в краску;
Шаг IV. Нанести краску кистью на поверхность
забора;
Шаг V. Если забор еще не весь окрашен, то
повторить алгоритм, начиная с пункта (Шаг III).
Существует несколько видов циклических
инструкций, с помощью которых можно организовать циклы.
. Инструкция "цикл с параметром"
(цикл с заданным количеством повторений).
Обозначим:- параметр цикла (является
счетчиком количества повторений);, b - соответственно начальные и конечные
значения параметра цикла;- шаг, с которым изменяется параметр цикла;- Оператор
(инструкция), повторяемый в цикле;
Общий вид структуры цикла с параметром
будет:
. Инструкция "цикл с предусловием"
(цикл-"пока"):
Обозначим:
В - некоторое проверяемое логическое
условие;- Оператор (инструкция), повторяемый в цикле;
Блок-схема такого цикла имеет вид:
. Инструкция "цикл с постусловием"
(цикл-"до"):
Блок-схема такого цикла имеет вид:
Пример 3. Дан массив А, состоящий из 20 - ти
чисел. Найти сумму элементов меньше Б.
Решение:
Решение.
Исходные данные: X,Z.
Результат: Max.
Метод решения задачи: нужно сравнить два
числа и сделать вывод. Блок-схема алгоритма решения этой задачи выглядит
следующим образом:
Рисунок 8.5 Алгоритм решения примера 3
Задания для самостоятельного
выполнения
Построить блок-схемы алгоритмов задач,
указанных в лабораторной работе 7
Лабораторное занятие 9
(1 час)
Тема: Языки программирования
Цель занятия: изучить
классификацию языков программирования, основные конструкции программирования
Задание:
1. Рассмотреть классификацию
современных языков программирования
2. Охарактеризовать
свойства языков программирования
. Изучить основные
кострукции программирования
. Привести примеры
программ на изученных ранее языках программирования
. Составить отчет
Теоретические сведения
Алфавитом -
называется произвольное конечное множество попарно различимых символов.
Язык - это
знаковая (семиотическая) система, обладающая определенными средствами выражения
знаний - алфавитом, словарем и грамматикой.
Как мы отмечали ранее, любой язык (тоже)
принадлежит множеству знаковых систем. Его знаками, являются слова и словосочетания.
Любой язык отражается в своей грамматике и словаре, и алфавите. Определение
алфавита:
Словарный состав или лексика языка - это
совокупность употребляемых в нем слов, т.е. правильных слов данного языка.
Грамматика определяет способы построения
изменения и сочетания слов.
Многозначность слов естественного языка не
позволяет использовать его в целом для формализации предоставления знаний об
окружающем мире, отдельных процессов и явлений, которые исследует человек с
помощью ЭВМ, моделирует на ЭВМ и так далее.
Для этого были созданы искусственные языки:
языки представления знаний (реляционные (основную роль в них играют
отношения)), языки исчисления предикатов (предикаты играют роль отношений,
позволяют получать логический вывод, то есть формальным путем получать одни
знания из других), а также алгоритмические языки (языки программирования) и
декларативные языки (языки фреймового типа).
Все эти языки называются еще и формальными.
Нас более всего интересуют алгоритмические языки, к которым относятся все
известные языки программирования.
Для решения задачи на ЭВМ составляется
алгоритм, обеспечивающий выполнение всех необходимых действий для получения
искомых результатов. Этот алгоритм описывается средствами формального языка,
понятного ЭВМ - языка программирования.
К таким средствам относятся элементы языка -
символы, цифры, специальные знаки, а также правила составления операторов для
описания действий по вводу - выводу и распределению памяти, управлению
ветвлением и организацией циклов, обращениям ко внешним устройствам, контролю и
отладке отдельных фрагментов и программы в целом, формированию выходных
документов и так далее. Каждая ЭВМ имеет свой собственный язык кодов команд,
называемый машинным, который обеспечивает непосредственное выполнение любой
последовательности машинных операций. Практически компьютер выполняет
программы, записанные только на машинном языке. Однако с помощью дополнительных
средств (системных программ) реализуются многоуровневые переводы (трансляции)
текстов программ с различных языков программирования на язык ЭВМ. Эти языки
программирования в отличие от машинных, называются языками высокого уровня, они
мало зависят от особенностей конфигурации конкретной ЭВМ, то есть эти языки
являются машинно-независимыми.
Рисунок 9.1 Классификация языков
программирования
В языке символического кодирования, в
отличие от машинного, цифровые коды заменены буквенными или буквенно-цифровыми
(мнемоническими) обозначениями. Это облегчает работу по составлению программы и
позволяет автоматизировать действия, связанные с размещениями программы и
данных в памяти ЭВМ. Каждой команде языка символического кодирования при
трансляции соответствует одна машинная команда. Такие языки называются
мнемокодами или языками ассемблеров.
Язык более высокого уровня - макроязык -
включает наряду с мнемоническими обозначениями машинных команд отдельные
макрокоманды, которые при трансляции заменяются группами команд машинного языка
(подпрограммами). Это сокращает запись исходной программы и упрощает
программирование, так как исключаются записи часто повторяющихся фрагментов
программы. В настоящее время все языки ассемблерного типа допускают
использование макросредств, то есть являются макроассемблерами.
Машинно-ориентированные языки содержат все
необходимые средства для программирования любых задач. Однако они применяются,
когда требуется создать особо быстродействующие программы при минимальных
объемах используемой памяти. В частности, на этих языках пишут программы
управления устройствами ЭВМ и предварительной обработки данных.
Большинство производственных задач решают с
помощью программ, написанных на процедурно - ориентированных языках. Средства
этих языков позволяют наиболее просто описать часто встречающиеся фрагменты
действий в соответствующих задачах. Процедурно-ориентированные языки
предполагают знания пользователя в области математических (численных) методов и
основ алгоритмизации (базовый язык для научно-технических расчетов ФОРТРАН,
БЕЙСИК (персональные ЭВМ - основной), современный ПАСКАЛЬ).
В процессе развития созданы многоцелевые
(универсальные) языки программирования, объединяющие основные средства и
возможности многих процедурно - ориентированных языков, например: ПЛ/1 -
используемый для решения задач обработки экономической и научно-технической
информации, задач управления объектами и т.п.; язык АДА - многоцелевой
стандартный язык, способный заменить множество других языков и на длительный
период обеспечить разработку и совершенствования программ обеспечения; язык
МОДУЛА - объединяет средства и особенности машинно-ориентированных и процедурно
- ориентированных языков; включает средства для написания подпрограмм
управления устройствами, управления потоками сообщений, для чего традиционно
использовались языки ассемблерного типа.
Для пользователей, не имеющих специальной
подготовки, но нуждающихся в оперативном использовании ЭВМ для решения
стереотипных задач, разрабатываются специальные проблемно - ориентированные языки
(непроцедурные), которые не требуют подробной записи алгоритма решения задачи.
На таком языке лишь формулируется задача и указывается последовательность
подзадач из готового набора с указанием исходных данных и форм требуемых
документов. Специальные средства программы-генераторы из готовых блоков
автоматически формируют программу для решения поставленной задачи. Эти языки
ещё более высокого уровня, т.е. удалены от машины более, чем процедурно -
ориентируемые языки. К ним относятся языки для задания и обработки таблиц
данных при решении экономических задач, а также языки моделирования сложных
систем СИМУЛА, НЕДИС и другие (СИМСКРИПТ).
Граница между проблемно - и процедурно -
ориентированными языками очерчена не очень чётко (условно). ЛИСП, ПРОЛОГ.
Вне зависимости от того, на каком
алгоритмическом языке создается программа, этапы подготовки и решения задач на
ЭВМ выглядят следующим образом:
1. Постановка задачи: подробная формулировка
задачи, выбор метода решения.
На этом этапе формируется т.н. содержательное
описание задачи, в которое входит описание целей, анализ исходной информации,
обоснование метода решения задачи.
2. Алгоритмизация задачи: формулировка и
составление алгоритма.
На этом этапе разрабатывается алгоритм
решения в виде блок - схем. Для сложной задачи составляется обобщенный алгоритм
решения и частные алгоритмы реализации выделенных процедур обработки данных.
Степень детализации описания алгоритма
ориентирована на язык программирования, чтобы символы - блоки алгоритма
достаточно просто реализовывались средствами выбранного языка.
. Составление программы.
Программа - это
представление алгоритма средствами языка программирования: замена блока на один
или несколько операторов языка.
4. Перенос программы на машинный носитель.
Для этого используют клавиатуру дисплея или
устройство подготовки данных на магнитных лентах или магнитных дисках.
На этом этапе происходит первоначальная
трансляция программы и её редактирование - исключение синтаксических ошибок.
5. Отладка программы:
На этом этапе происходит выполнение
программы с использованием контрольных (тестовых) исходных данных. По
полученным результатам пользователь делает вывод о правильности работы
программы. На этом этапе происходит обнаружение семантических ошибок.
Обнаруженные ошибки приводят к изменению текста программы, алгоритма, и,
следовательно, к повторению первоначальных этапов.
. Анализ результатов решения:
На этом этапе анализируются полученные
результаты, на основании этого анализа делаются выводы о правильности
выбранного метода решения и составлении алгоритма, вырабатываются рекомендации
по модернизации программы; составляются описание и инструкция по эксплуатации
программы.
Контрольные вопросы
1. Что такое алфавит?
2. Что такое язык?
. Что такое грамматика?
. Что такое машинно-ориентированные
языки программирования?
. Что такое
процедурно-ориентированные языки программирования?
. Что происходит в процессе
постановки задачи?
. Что происходит в процессе
составления программы?
. Что происходит в процессе отладки
программы?
. Что происходит в процессе анализа
результатов решения?
. Что происходит в процессе переноса
программы на машинный носитель?
Лабораторное занятие 10
(1 час)
Тема: Парадигмы программирования
Цель занятия: ознакомиться
с парадигмами программирования
Задание:
1. Изучить процедурное
программирование
2. Рассмотреть концепции
модульного и структурного программирования
. Ознакомиться с
обьектно-ориентированным программированием
. Привести примеры языков
программирования
. Составить отчет
Теоретические сведения
На сегодняшний день имеются четыре основные
парадигмы языков программирования, отражающие вычислительные модели, с помощью
которых описывается большинство существующих методов программирования:
Ø императивная;
Ø функциональная;
Ø декларативная;
Ø объектно-ориентированная.
Процедурное (императивное)
программирование является отражением архитектуры традиционных
ЭВМ, которая была предложена фон Нейманом в 1940-х годах. Теоретической моделью
процедурного программирования служит алгоритмическая система под названием
Машина Тьюринга.
Программа на процедурном языке
программирования состоит из последовательности операторов (инструкций),
задающих процедуру решения задачи. Основным является оператор присваивания,
служащий для изменения содержимого областей памяти. Концепция памяти как
хранилища значений, содержимое которого может обновляться операторами
программы, является фундаментальной в императивном программировании.
Выполнение программы сводится к
последовательному выполнению операторов с целью преобразования исходного
состояния памяти, то есть значений исходных данных, в заключительное, то есть в
результаты. Таким образом, с точки зрения программиста имеются программа и
память, причем первая последовательно обновляет содержимое последней.
Процедурный язык
программирования предоставляет возможность программисту
определять каждый шаг в процессе решения задачи. Особенность таких языков
программирования состоит в том, что задачи разбиваются на шаги и решаются шаг
за шагом. Используя процедурный язык, программист определяет языковые конструкции
для выполнения последовательности алгоритмических шагов.
Процедурные языки программирования
· Ada
(язык общего назначения)
· Basic
(версии начиная с Quick Basic до появления Visual Basic)
· Си
· КОБОЛ
· Фортран
· Модула-2
· Pascal
· ПЛ/1
· Рапира
· REXX
Модульное программирование является
развитием и совершенствованием процедурного программирования и библиотек
специальных программ. Основная черта модульного программирования -
стандартизация интерфейса между отдельными программными единицами. Модуль-
это отдельная функционально-законченная программная единица, которая структурно
оформляется стандартным образом по отношению к компилятору и по отношению к
объединению ее с другими аналогичными единицами и загрузке. Как правило, каждый
модуль содержит паспорт, в котором указаны все основные его характеристики:
язык программирования, объем, входные и выходные переменные, их формат,
ограничения на них, точки входа, параметры настройки и т.д. Объем модуля обычно
не превышает 1000 команд ЭВМ или операторов языка программирования. В противном
случае модуль становится громоздким и трудным к восприятию и использованию.
Модульное программирование - это
искусство разбиения задачи на некоторое число различных модулей, умение широко
использовать стандартные модули путем их параметрической настройки,
автоматизация сборки готовых модулей из библиотек, банков модулей.
Основные концепции модульного
программирования:
· каждый
модуль реализует единственную независимую функцию;
· каждый
модуль имеет единственную точку входа и выхода;
· размер
модуля по возможности должен быть минимизирован;
· каждый
модуль может быть разработан и закодирован различными членами бригады
программистов и может быть отдельно протестирован;
· вся
система построена из модулей;
· модуль
не должен давать побочных эффектов;
· каждый
модуль не зависит от того, как реализованы другие модули.
При таком подходе сложная система
разделяется на несколько частей, одновременно создаваемых различными
программистами. Каждый модуль реализует единственную функцию. Размер модуля
невелик, поэтому тестирование управляемо и может быть проведено тщательным
образом. После кодирования и тестирования всех модулей происходит их
интеграция, и тестируется вся система.
При сопровождении тестируется и отлаживается
только тот модуль, который плохо работает. Очевидны преимущества в облегчении
написания и тестирования программ, уменьшается стоимость их сопровождения.
Концепция модульного программирования
реализована в ряде языков, таких как Modula 2, Turbo Pascal 5.0 и выше, C, и др.
Отличие в реализации процедурного
программирования от модульного состоит в том, что модуль не виден программе. В
отличие от стандартных языков процедурного программирования, в модульных языках
лишние модули просто не прикомпановываются на этапе сборки.
Структурное программирование -
методология разработки программного обеспечения, в основе которой лежит
представление программы в виде иерархической структуры блоков. Предложена в
70-х годах XX века Э. Дейкстрой, разработана и дополнена Н. Виртом.
В соответствии с данной методологией
1. Любая программа представляет собой
структуру, построенную из трёх типов базовых конструкций:
o последовательное
исполнение - однократное выполнение операций в том порядке, в
котором они записаны в тексте программы;
o ветвление -
однократное выполнение одной из двух или более операций, в зависимости от
выполнения некоторого заданного условия;
o цикл -
многократное исполнение одной и той же операции до тех пор, пока выполняется
некоторое заданное условие (условие продолжения цикла).
В программе базовые конструкции могут быть
вложены друг в друга произвольным образом, но никаких других средств управления
последовательностью выполнения операций не предусматривается.
2. Повторяющиеся фрагменты программы (либо
не повторяющиеся, но представляющие собой логически целостные вычислительные
блоки) могут оформляться в виде т. н. подпрограмм (процедур или функций). В
этом случае в тексте основной программы, вместо помещённого в подпрограмму
фрагмента, вставляется инструкция вызова подпрограммы. При выполнении
такой инструкции выполняется вызванная подпрограмма, после чего исполнение
программы продолжается с инструкции, следующей за командой вызова подпрограммы.
3. Разработка программы ведётся
пошагово, методом «сверху вниз».
Сначала пишется текст основной программы, в
котором, вместо каждого связного логического фрагмента текста, вставляется
вызов подпрограммы, которая будет выполнять этот фрагмент. Вместо настоящих,
работающих подпрограмм, в программу вставляются «заглушки», которые ничего не
делают. Полученная программа проверяется и отлаживается. После того, как
программист убедится, что подпрограммы вызываются в правильной
последовательности (то есть общая структура программы верна),
подпрограммы-заглушки последовательно заменяются на реально работающие, причём
разработка каждой подпрограммы ведётся тем же методом, что и основной
программы. Разработка заканчивается тогда, когда не останется ни одной
«затычки», которая не была бы удалена. Такая последовательность гарантирует,
что на каждом этапе разработки программист одновременно имеет дело с обозримым
и понятным ему множеством фрагментов, и может быть уверен, что общая структура
всех более высоких уровней программы верна. При сопровождении и внесении
изменений в программу выясняется, в какие именно процедуры нужно внести
изменения, и они вносятся, не затрагивая части программы, непосредственно не
связанные с ними. Это позволяет гарантировать, что при внесении изменений и
исправлении ошибок не выйдет из строя какая-то часть программы, находящаяся в
данный момент вне зоны внимания программиста.
Задания для самостоятельного
выполнения
Подготовить доклад о современном языке
программирования
Лабораторное занятие 11
(1 час)
Тема: Основные элементы языка программирования Visual
Basic for Application (VBA)
Цель занятия: ознакомиться
с алфавитом и лексемами языка, рассмотреть элементы языка VBA
Задание:
1. Изучить основы синтаксиса и
семантики языка программирования VBA
2. Рассмотреть алфавит,
лексемы языка, переменные, константы, присваивание, типы данных
. Привести примеры
4. Составить отчет
Теоретические сведения
Программа, написанная на любом языке
программирования, представляет собой некий набор инструкций (команд),
описывающий процесс выполнения алгоритма решения задачи.
Команду можно пометить номером (целым
числом: 10, 20, 35 и т.п.) или меткой. Метка - это произвольное
обозначение, которое начинается с латинской буквы и заканчивается двоеточием,
например: а1:, ВС400:, vivod: - и
т.п. С помощью номера или метки можно ссылаться на помеченную команду в других
командах. В среде VBA все строки (как в старых версиях) нумеровать
необязательно.
Команды записываются в строках текстового
файла. Как правило, в одной строке записывают одну команду (такую программу
легче читать и проверять), однако в некоторых случаях для экономии места можно
в одной строке записать несколько команд. Команды, записываемые в одной строке,
отделяются одна от другой двоеточием, например:
А = 5 : В$ = «Символ Т» : rm = 1+exp(5.2)
Любую команду в программе можно снабдить
поясняющим текстом - комментарием, который можно записать двумя
способами:
) С помощью оператора REM:
REM произвольный_текст
) С помощью апострофа’:
’ произвольный_текст
VBA при
исполнении программы игнорирует комментарии.
Алфавит (набор
символов) языка VBA включает:
все латинские прописные и строчные буквы;
арабские цифры (0-9);
служебные знаки.
Служебные знаки используются в качестве
знаков операций (+,-,*,:,= и т.д.), специальных символов (. , : ; ?) и
суффиксов.
Данные можно представлять переменными и
константами.
Переменная - это
величина, которая в процессе выполнения программы может менять свое значение.
Имя переменной - это
произвольный набор символов, который может содержать от 1 до 40 символов,
причем первый символ должен быть латинской буквой, а остальные - латинскими
буквами или цифрами.
Константа (числовая
или символьная) - это величина, которая не меняет своего значения в ходе
программы. Значения констант записываются явно - числом или строкой символов,
или с помощью специального оператора, например:
a% = 1.2 : z$ = “Москва - Париж” или CONST P3 = 60, n% = 12
CONST имя_
константы = значение
Необходимо помнить, что значения символьных
констант заключаются в кавычки.
В Visual Basic переменные хранят информацию.
При их использовании Visual Basic резервирует область памяти в компьютере. Имена
переменных могут достигать 255 символов в длину. Начинаются они с буквы, за
которой могут следовать другие буквы, цифры или символы подчёркивания. Регистр
символов значения не имеет. В качестве имён новых переменных нельзя
использовать зарезервированные слова. Например: Print. Однако
такие слова могут присутствовать как часть имени переменной, например PrintIt.
Visual Basic работает с 14-стандартными типами переменных,
кроме того программист может определить собственный тип данных. Основными из
них являются:
String -
строковые переменные хранят символы. Один из способов обозначить данный тип
переменной состоит в добавлении символа «$» к концу его имени. Например - АВС$.
Такая переменная может содержать до 2 млрд. символов.
Integer -
целочисленные переменные могут хранить только относительно небольшие целые
числа в диапазоне от - 32768 до + 32767. Для обозначения такого типа
используется символ «%».
Например: А%=5.
Long Integer - в таких переменных
хранятся целые значения от - 2,15* 109 до +2,15* 109.
Обозначается символом «&». Например: В&=1234567
Single Precision -
идентификатор для данных чисел является символ «!». Данный тип позволяет
хранить дробные числа с точностью до 7 знаков. Это означает, что если
получается результат «12345678.97» то часть «8.97» не является точной.
Результат может быть равен, к примеру «12345670.01».
Действия выполняются медленнее, чем с
целочисленными переменными. Диапазон от -3,4*1038 до -1,4*10-45
для отрицательных чисел и от 1,4*10 -45 до 3,4*1038 для
положительных.
Double Precision -
переменные такого типа позволяют хранить числа с точностью до 16 цифр и длинной
до 300 символов. Идентификатором является символ «#». Скорость вычисления с
ними относительно не большая.
Currency - он
создан для того чтобы избежать ошибок при преобразовании десятичных чисел в
двоичную систему и наоборот. Данный тип может иметь до 4 цифр после запятой и
до 15 перед ней. Внутри данного диапазона вычисления будут точными.
Идентификатор представляет собой «@».
Date - этот
тип данных позволяет хранить значение времени и даты в промежутке от полуночи 1
января 100 года до полуночи 31 декабря 9999 года. Такие значения в тексте
программы обозначаются символами «#».
Например - Millenium = # January 1, 2001#
Byte - этот
тип предназначен для хранения целых чисел от 0 до 255. Его использование
позволяет сильно экономить оперативную память (1 байт) и уменьшить размер
массивов.
Boolean - булев
тип данных может хранить только два значения: True либо False.
Variant - может содержать данные любого типа. Visual Basic автоматически
производит необходимые преобразования данных. Использование такого типа как Variant замедляет работу программы, так как требует
время и ресурсы для операций преобразования типов.
Большинство людей предпочитают не
использовать идентификаторы для обозначения переменных. Вместо этого они
используют оператор Dim, такая
операция носит название - объявления. Например:
Dim A As Integer
Объявления переменных можно комбинировать в
одной строке.
Dim A As Integer, Name As
Integer
Общей ошибкой является использование
следующего выражения:
Dim X, Y, Z As Integer
В предположение того, все переменные будут
целочисленные. Фактически X и Y будут объявлены как Variant и
только Z как Integer. Чтобы
избежать этого, необходимо каждый раз использовать идентификатор типа. При
присвоении переменной типа Variant, можно
использовать оператор - Dim без
приставки - AS. Например:
Dim FOO
Одной из наиболее общих ошибок в программе
является использование необъявленных переменных. Проблема состоит в том, что Visual Basic позволяет
создать переменную, как только она один раз встречается в программе. Если
перепутать имя переменной Visual Basic создает новую с похожим именем и присваивает ей
значение по умолчанию, что тут же приводит к ошибке. Эту ошибку трудно
обнаружить, поскольку имена переменных очень похожи.
Простейший способ избежать подобной ошибки
состоит в принудительном объявлении всех переменных. Visual Basic при ошибке в имени выдаёт
сообщение. В Visual Basic предусмотрена
такая возможность, но по умолчанию она не используется. Оператор, необходимый
для этого называется Option Explicit.
Для общей проверки переменных в программе
необходимо оператор Option Explicit разместить в раздел General.
Для того
чтобы разместить данный оператор в разделе General необходимо:
) Открыть окно Code
) Выбрать объект General из
списка объектов в окне Object
3) Выбрать Declaration из списка Procedure
) Ввести Option Explicit.
Программисты применяют термин - область
видимости, когда хотят сказать о возможности использования переменной из
одной части программы в другой её части. В Visual Basic переменные объявление внутри
процедуры является изолированными друг от друга. В терминах программирования
это означает, что данные переменные являются локальными.
Кроме того, Visual Basic позволяет объявить переменные,
которые будут доступны для всех процедур формы. Такие переменные называют глобальными
переменными уровня формы, как и оператор Option Explicit - объявление переменных уровня
формы происходит в разделе Declaration
Задания для самостоятельной
работы
Подготовить вопросы для команды-соперника
Лабораторное занятие 12
(1 час)
Тема Операторы, выражения, операции»
Цель занятия: изучить
операторы, выражения и операции
Задание:
1. Рассмотреть операторы
присваивания в VBA
2. Изучить математические
операции, операции отношения, логические операции, операции для работы со
строками
3. Рассмотреть выражения
4. Привести примеры
5. Составить отчет
Теоретические сведения
Арифметические выражения - это
выражения, которые содержат числа в явном виде, переменные, константы, функции,
а также знаки арифметических действий (+, -, *, /, ^). Значением
арифметического выражения является число.
В VBA употребляются
еще два знака арифметических операций:
\ - целочисленное деление (дробная часть
отбрасывается);- вычисление остатка от деления.
Таблица 12.1
Математические функции
|
Название
|
Математический
вид
|
VBA
|
|
Синус
|
Sin x
|
SIN
(x)
|
|
Косинус
|
Cos x
|
COS
(x)
|
|
Тангенс
|
tg x
|
TAN
(x)
|
|
Арктангенс
|
arctg
x
|
ATN
(x)
|
|
Логарифм
натуральный
|
ln x
|
LOG (x)
|
|
Абсолютное
значение
|
|x|
|
ABS (x)
|
|
Корень
квадратный
|
√x
|
SQR
(x)
|
|
Экспонента
|
ex
|
EXP
(x)
|
FIX (арифм_выражение)
- возвращает целую часть арифм_выражения.
INT (арифм_выражение)
- возвращает наибольшее целое, которое меньше или равно значению
арифм_выражения.
CINT (арифм_выражение)
- округляет значение арифм_выражения по правилам арифметики.
Условные выражения -
выражения, содержащие числа, переменные, функции, строки символов, а также
знаки:
= (равно);
< > (не равно);
> (больше, чем);
< (меньше, чем);
>= (больше или равно);
<= (меньше или равно).
Условное выражение принимает логическое
значение: TRUE (истина) или FALSE (ложь). Условные выражения широко используются в
операциях ветвления и в организации циклов.
Логические выражения -
состоят из условных выражений, которые соединяются между собой знаками
логических операций
AND («и»,
конъюнкция)
OR («или», дизъюнкция)
NOT (отрицание)
Например, NOT (a > b)
Логическое выражение принимает логическое
значение: TRUE (истина) или FALSE (ложь). Так же, как и условные выражения,
логические выражения применяются в операциях ветвления и в организации циклов.
Символьные выражения - содержат строки символов.
Для этих выражений определена лишь одна операция - конкатенация (соединение) строк.
Знак этой операции - «+» (плюс), а результат операции - новая строка символов.
Например, значением выражения «Оболочка» + «Windows»
является строка символов «Оболочка Windows».
Символьные выражения могут использоваться в
условном выражении, т.е. допускается сравнение строк. Сравнение ведется
по кодам символов, входящих в сравниваемые строки. Большей будет являться та
переменная, которая начинается с символов, более близких к концу алфавита, т.е.
имеющих больший код, а если символы совпадают, то более длинное слово.
Сравнение символьных переменных осуществляется посимвольно, начиная с первого
символа. Если первые символы обеих переменных совпадают, то сравниваются вторые
и т.д. Операция сравнения позволяет сортировать символьные строки по алфавиту.
Например DOG"
> "CAT", "M16 ">"M16"
Самая главная и самая простая команда в
языке VBA (как и во всех других языках) -
операция присваивания. Формат команды:
Имя_переменной = выражение
Эта команда выполняется в два шага:
) Вычисляется значение выражения,
указанного в правой части команды;
) Это значение присваивается
переменной, записанной в левой части команды.
Обратите внимание: тип переменной в левой
части должен совпадать с типом выражения в правой части!
При выполнении вычислений существуют два
способа, позволяющих указать порядок, в котором должны происходить операции.
Первый состоит в применении скобок. Например, пример 5*(3+4), приоритет
операций в скобках дает результат 35.
Второй - это порядок иерархии в выполнении
арифметических операций:
. Возведение в степень.
. Изменение знака числа (с положительного на
отрицательный).
. Умножение и деление.
. Целочисленное деление.
. Операция Mod.
. Сложение и вычитание.Basic позволяет
производить преобразования из одного типа переменных в другие. Visual Basic
производит преобразование, если результат попадает в диапазон для нового типа
данных. в противном случае генерируется сообщение об ошибке. Основные формы
преобразования данных приведены в таблице 12.2.
Таблица 12.2
Основные формы преобразования данных
|
Функции
|
Результат
|
|
CInt
CLnq CSnq CDbl CCur CStr CVar CBool CByte CDate
|
Округляет число до целого
Округляет число до длинного целого Преобразует число с обычной точностью
Преобразует число с двойной точностью Преобразует число Currency Преобразует
любые выражения в строку Преобразует любое выражение к типу Variant
Преобразует число к типу Boolean Преобразует число к типу Byte Преобразует
подходящее выражение в дату.
|
Задания для самостоятельной
работы
Вариант 1. Даны х,
у, z. Вычислить а, b; если
Вариант 2. Дано
действительное число а. Не пользуясь никакими другими арифметическими
операциями, кроме умножения, получить
за три
операции.
Вариант 3. Даны х,
у, z. Вычислить а, b; если
Вариант 4. Дано
действительное число а. Не пользуясь никакими другими арифметическими
операциями, кроме умножения, получить
за три
операции.
Вариант 5. Даны х,
у, z. Вычислить а, b; если
Вариант 6. Дано
действительное число а. Не пользуясь никакими другими арифметическими
операциями, кроме умножения, получить
за
четыре операции.
Вариант 7. Даны х,
у, z. Вычислить а, b; если
Вариант 8. Дано
действительное число а. Не пользуясь никакими другими арифметическими
операциями, кроме умножения, получить
за
четыре операции.
Вариант 9. Даны х,
у, z. Вычислить а, b; если
Вариант 10. Дано
действительное число а. Не пользуясь никакими другими арифметическими
операциями, кроме умножения, получить
за пять
операции.
Вариант 11. Даны х, у,
z. Вычислить а, b; если
Вариант 12. Дано
действительное число а. Не пользуясь никакими другими арифметическими
операциями, кроме умножения, получить
за
четыре операции.
Вариант 13. Даны х,
у, z. Вычислить а, b; если
Вариант 14. Дано действительное
число x. Не пользуясь никакими другими
арифметическими операциями, кроме умножения, сложения и вычитания, вычислить
.
Разрешается использовать не более четырех умножений и четырех сложений и
вычитаний.
Вариант 15. Дано
действительное число а. Не пользуясь никакими другими арифметическими
операциями, кроме умножения, получить
за
шесть операции.
Вариант 16. Даны действительные
числа x и y. Не
пользуясь никакими другими арифметическими операциями, кроме умножения,
сложения и вычитания, вычислить
. Разрешается использовать не
более восьми умножений и восьми сложений и вычитаний.
Вариант 17. Дано
действительное число а. Не пользуясь никакими другими арифметическими
операциями, кроме умножения, получить
за пять
операции.
Вариант 18. Дано
действительное число а. Не пользуясь никакими другими арифметическими
операциями, кроме умножения, получить
за две
операции.
Вариант 19. Дано действительное
число x. Не пользуясь никакими другими
арифметическими операциями, кроме умножения, сложения и вычитания, вычислить
и
.
Разрешается использовать не более восьми операций.
Вариант 20. Дано
действительное число а. Не пользуясь никакими другими арифметическими
операциями, кроме умножения, получить
за
шесть операции.
Лабораторное занятие 13
(1 час)
Тема: Операторы управления
Цель занятия: рассмотреть
операторы управления в VBA
Задание:
1. Изучить операторы перехода и
операторы выбора
2. Привести примеры
составления программ на ветвящиеся алгоритмы
. Составить отчет
Теоретические сведения
Выражение If-Then-Else
Когда Visual Basic обрабатывает выражение If-Then-Else, то в случае успешного теста он выполняет
операторы, следующие за словом Then, а если
условие не выполняется, то работает ветвь Else. Блок
схема для выражения If-Then-Else представлена на рисунке 13.1.
Рисунок 13.1 Блок схема выражения
If-Then-Else
Синтаксис данного оператора следующий:
If <Выражение> Then
Группа операторов
Else
Группа операторов
End If
Кроме того, в выражении If-Then-Else
можно использовать зарезервированные слова And, Or, Not. Это
позволит проверять одновременно два условия одновременно. Например, необходимо
проверить принадлежит ли данное число диапазону чисел от 0 до 9.
If Digit>=0 And Digit<=9
Then.Print «Ok»
Else
Me.Print «No»
EndIf
Кроме того, можно использовать оператор Eqv (эквивалентности). Данный оператор проверяет,
имеют ли оба выражения одинаковое логическое значение (оба True или оба False).
If (X=True And Y=True) or
(X=False And Y=False) эквивалентно записи X Eqv Y
Другой полезный оператор Xor, («исключающее или»). Он соответствует фразе
«либо A либо B, но не
одновременно A и B».
Блок If-Then
Синтаксис данного оператора следующий:
If <условие> Then <сделать что либо>
Visual Basic реагирует на выражение If-Then, как на
обычную английскую фразу. Например, чтобы предупредить пользователя о том, что
вводимое число должно быть положительным, можно использовать следующее
выражение:
If x<0 Then MsgBox «Number
must be positive»
Когда Visual Basic встречает выражение If -Then он
сначала проверяет первую его часть (If) на
значении True. Если оно True, то компьютер выполняет группу операторов
следующих за Then, если данный тест не проходит,
то происходит переход к следующему оператору. Например:
A$<B$ Then Print A$; “comes
before”; B$
данная строка кода проверяет порядок
сортировки по таблице ANSI.
В программах возникает необходимость
проверять какое-либо выражения на совпадению с другим. Это можно сделать
используются операторы проверки условий (таблица 13.1) .
Таблица 13.1
|
Символ
|
Функциональное назначение
|
|
< > = > < > =
< =
|
Не равно Равенство Больше
Меньше Больше или равно Меньше или равно
|
Для текстов строк данные операторы проверяют
коды ANSI (Американский стандарт идентификации символов).
Это означает, что символ «А» находится перед
«В», но «В» расположен перед «а». Коды ANSI от 0 до 31 принадлежит различного
рода управляющим символами.
Задания для самостоятельного
выполнения
Вариант 1. Даны
действительные числа х, у. Получить:
а)max (х, у);
б)min(х, у).
Вариант 2. Даны
действительные числа а, b, с. Проверить,
исполняются ли неравенства a<b<c.
Вариант 3. Даны
действительные числа а, b, с. Удвоить этигасла,
если а³b³с, и заменить их абсолютными значениями, если это
не так.
Вариант 4. Даны
действительные числа х, у.
Вычислить
Вариант 5. Даны два
действительных числа. Вывести первое число, если оно больше второго, и оба
числа, если это не так.
Вариант 6. Даны два
действительных числа. Заменить первое число нулем, если оно меньше или равно
второму, и оставить числа без изменения в противном случае.
Вариант 7. Даны три
действительных числа. Выбрать из них те, которые принадлежат интервалу (1, 3).
Вариант 8. Даны
действительные числа х, у (х¹у).
Меньшее из этих двух чисел заменить их полусуммой, а большее - их удвоенным
произведением.
Вариант 9. Даны три
действительные числа. Возвести в квадрат те из них, значения которых
неотрицательны.
Вариант 10. Если
сумма трех попарно различных действительных чисел х, у, z меньше единицы, то
наименьшее из этих трех чисел заменить полусуммой двух других; в противном
случае заменить меньшее из х и у полусуммой двух оставшихся значений.
Вариант 11. Даны
действительные числа х, у, z. Вычислить:
a) max (х + у + z, хyz);
б) mm2(x + y+ z/2, хyz)+ 1.
Вариант 12. Даны
действительные числа х, у. Если х и у отрицательны, то каждое значение заменить
его модулем; если отрицательно только одно из них, то оба значения увеличить на
0.5; если оба значения неотрицательны и ни одно из них не принадлежит отрезку
[0.5, 2.0], то оба значения уменьшить в 10 раз; в остальных случаях х и у
оставить без изменения.
Вариант 13. Даны
действительные положительные числа х, у, z.
Выяснить, существует ли треугольник с длинами сторон х, у, z. Если треугольник
существует, то ответить - является ли он остроугольным.
Вариант 14. Даны
действительные числа а, b, с, d, s, t, и (s и t
одновременно не равны нулю). Известно, что точки (а,b) и (с,
d) не лежат на прямой k, заданной уравнением
. Прямая
k разбивает координатную плоскость на две полуплоскости.
Выяснить, верно ли, что точки (а, b) и (с,
d) принадлежат разным полуплоскостям
Вариант 15. Даны
действительные числа а, b, с, d, e, f, g, h. Известно, что точки (е, f) и (g, h) различны.
Известно также, что точки (а, b) и (с, d) не лежат на
прямой k, проходящей через точки (е, f) и (g, h). Прямая k разбивает
координатную плоскость на две полуплоскости. Выяснить, верно ли, что точки (а, b) и (с, d) принадлежат одной и той же полуплоскости.
Вариант 16. Даны
действительные числа х1, х2, х3, у1,
у2, у3. Принадлежит ли начало координат треугольнику с
вершинами (х1, у1), (х2, у2), (х3,
y3)?
Вариант 17. Даны
действительные числа х, у, z. Получить:
а)max(х, у, z);
б)min (х, у, z).
Вариант 18. Даны
действительные положительные числа а, b, с, d.
Выяснить, можно ли прямоугольник со сторонами а, b уместить
внутри прямоугольника со сторонами с, d так, чтобы каждая из сторон одного
прямоугольника была параллельна или перпендикулярна каждой стороне второго
прямоугольника.
Вариант 19. Даны
действительные положительные числа а, b, с, х,
у. Выяснить, пройдет ли кирпич с ребрами а, b, с в
прямоугольное отверстие со сторонами х и у. Просовывать кирпич в отверстие
разрешается только так, чтобы каждое из его ребер было параллельно или перпендикулярно
каждой из сторон отверстия.
Вариант 20. Даны
действительные положительные числа a, b, c (a¹0).
Полностью исследовать биквадратное уравнение
, т.е.
если действительных корней нет, то должно быть выдано сообщение об этом, иначе
должны быть выданы два или четыре.
Лабораторное занятие 14
(1 час)
Тема: Программирование циклов
Цель занятия: составление
программ в VBA циклических алгоритмов
Задание:
1. Изучить итеративные
операторы в VBA
2. Рассмотреть циклы со счетчиком
и циклы с условием
. Составить программы на
циклы в VBA
. Оформить отчет
Теоретические сведения
В программировании возможны варианты, когда
некоторые операции нужно повторять определённое количество раз или до тех пор,
пока не будут достигнуты определенные условия. В программировании первая
ситуация называется определённым циклом, а вторая неопределённым
циклом.
Допустим, необходимо напечатать числа от
одного до десяти в текущей форме в рамках процедуры обработки событий.
Простейший способ выглядит следующим образом:
For I% =1 To 10
Me.Print I %
Next I %
Слово For устанавливает
переменную счётчик. Сначала Visual Basic присваивает переменной-счетчику начальное
значение (в примере эта переменная I), затем
проверяет, превышает ли счетчик конечное значение. Если
нет, то Visual Basic обрабатывает
все операторы между строками For и Next, затем к значению счетчика добавляется единица и
цикл повторяется. Блок-схема работы определенного цикла представлена на рисунке
14.1.
Не всегда в программе требуется увеличить
счетчик на единицу. Для таких целей в цикле For - Next используется зарезервированное слово Step. Например:
I%=10 To 1 Step -1.Print I%I%.
Циклы, размещенные один в другом, называются
вложенными. Рассмотрим пример формирования таблицы умножения.
For I% =1 To 10.Print 2*I % I %.
Рисунок 14.1 Блок-схема цикла
For-Next
Данный фрагмент кода выдает таблицу
умножения на два. Чтобы сформировать полную таблицу умножения необходимо
вложить данный цикл внутрь другого.
For J% =2 To 10I% =1 To 10.Print
J%*I %I %..Print
Next J %.
Существует простое правило для вложенных
циклов: внутренний цикл должен всегда завершать работу до выполнения оператора
Next внешнего цикла. Вложенный цикл может тройной, четверной и тому подобное.
Циклы называются неопределенными,
если они выполняются нефиксированное количество раз.
Синтаксис для цикла Do - Until
выглядит следующим образом:
Do
Выражение Visual BasicUntil
проверка выполнения условия
Блок - схема для цикла Do - Until с
проверкой в конце цикла представлена ан рисунке 14.2.
При работе неопределенного цикла, в цикле
что-то должна меняться иначе будет бесконечный цикл. Для остановки бесконечного
цикла можно использовать комбинацию клавиш Ctrl + Break или пункт End из меню
Run или же просто закрыть приложение.
Рисунок 14.2 Блок-схема
цикла Do - Until
Приведем пример. Необходимо из списка
подсчитать количество слов до слова «ZZZ».
Sym=0$ = InputBox$(«Name»)= Sym
+ 1Until A$ = «ZZZ»
Print «Total»; Sym
Проблема состоит в том, что цикл
обрабатывается на один проход больше чем необходимо. Пользователь вводит первое
имя, и счетчик получит значение «1». Далее, поскольку проверка происходит в
конце цикла, счетчик увеличится ещё на одну единицу. Поэтому, когда цикл
завершается, значение счетчика становится равным двум вместо одного. Одним из
решений этой проблемы является уменьшение значение счетчика на единицу после
завершения его работы. Кроме того, Visual Basic для решения поставленной задачи
позволяет просто передвинуть проверку условия на начало цикла.
Sym = 0$ = InputBox$(«Name»)InputBox$
= «ZZZ»= Sym + 1$ =InputBox$(«Name»)
Loop
Теперь пользователь набирает первое значение
перед началом цикла. После этого в программе выполняются первая проверка. Цикл
начинает работу и к счетчику добавляется единица, если условие не было выполнено.
Еще одним неопределенным циклом является
цикл Do While. Данный цикл отличается от рассмотренных раннее
зарезервированным словом While вместо Until. Блок схема для цикла Do -While с
проверкой условия в начале цикла представлена на рисунке 14.3.
Рисунок 14.3 Блок-схема
цикла Do-While
Любой цикл Do-Until легко превратить в цикл
Do-While изменив логическое выражение на противоположное. Представленные ниже
выражения работают одинаковым образом.
Do
. . . . . .Until x$<> « » Loop While
x$= « ».
Кроме того, в выражении можно использовать
условия And, Or, Not. Например, предположим, что необходимо продолжить работу
цикла до тех пор, пока число больше нуля и поле ввода пустое.
Do While Number>0 And
Text1.Text= « ».
Задания для самостоятельной
работы
|
Вариант
|
Задание
|
Вариант
|
Задание
|
|
1
|
|
11
|
|
|
2
|
|
12
|
|
|
3
|
|
13
|
|
|
4
|
|
14
|
|
|
5
|
, где n - целое число
|
15
|
, где n - целое число
|
|
6
|
|
16
|
, где n - целое число, х - действительное число
|
|
7
|
|
17
|
, где n - целое число, х - действительное число
|
|
8
|
|
18
|
, где n - целое число
|
|
9
|
|
19
|
, где n - целое число
|
|
10
|
, где n - целое число, х - действительное число
|
20
|
, где n - целое число
|
Лабораторное занятие 15
(1 час)
Тема Основные элементы операционных систем»
Цель занятия: изучить
основные концепции операционных систем (ОС), функционирование ОС, методы
декомпозиции ОС
Задание:
1. Рассмотреть основные
концепции операционных систем
2. Изучить возможности ОС Windows, функционирование ОС
. Ознокомиться с методами
декомпозиции операционной системы
. Управление процессами.
Планирование и диспетчеризация.
. Составить отчет
Теоретические сведения
Операционная система (англ. operating system) -
базовый комплекс компьютерных программ, обеспечивающий интерфейс с
пользователем, управление аппаратными средствами компьютера, работу с файлами,
ввод и вывод данных, а также выполнение прикладных программ и утилит.
ОС позволяет абстрагироваться от деталей
реализации аппаратного обеспечения, предоставляя разработчикам программного
обеспечения минимально необходимый набор функций. С точки зрения обычных
пользователей компьютерной техники ОС включает в себя и программы
пользовательского интерфейса.
Основные функции (простейшие ОС):
· Загрузка
приложений в оперативную память и их выполнение;
· Стандартизованный
доступ к периферийным устройствам (устройства ввода-вывода);
· Управление
оперативной памятью (распределение между процессами, виртуальная память);
· Управление
доступом к данным на энергонезависимых носителях (таких как жёсткий диск,
компакт-диск и т. д.), как правило, с помощью файловой системы;
· Пользовательский
интерфейс;
· Сетевые
операции, поддержка стека протоколов
Дополнительные функции:
· Параллельное
или псевдопараллельное выполнение задач (многозадачность);
· Взаимодействие
между процессами: обмен данными, взаимная синхронизация;
· Защита
самой системы, а также пользовательских данных и программ от действий
пользователей (злонамеренных или по незнанию) или приложений;
· Разграничение
прав доступа и многопользовательский режим работы (аутентификация,
авторизация).
Существуют две группы определений ОС совокупность
программ, управляющих оборудованием» и «совокупность программ, управляющих
другими программами». Обе они имеют свой точный технический смысл, который,
однако, становится ясен только при более детальном рассмотрении вопроса о том,
зачем вообще нужны операционные системы.
Есть приложения вычислительной техники, для
которых ОС излишни. Напр., встроенные микрокомпьютеры содержатся сегодня во
многих бытовых приборах, автомобилях (иногда по десятку в каждом), сотовых
телефонах и т. п. Зачастую такой компьютер постоянно исполняет лишь одну
программу, запускающуюся по включении. И простые игровые приставки - также
представляющие собой специализированные микрокомпьютеры - могут обходиться без
ОС, запуская при включении программу, записанную на вставленном в устройство
«картридже» или компакт-диске. Тем не менее, некоторые микрокомпьютеры и
игровые приставки всё же работают под управлением особых собственных ОС. В
большинстве случаев, это UNIX-подобные системы (последнее особенно верно в
отношении программируемого коммутационного оборудования: фаерволов,
маршрутизаторов).
Операционные системы, в свою очередь, нужны,
если:
· вычислительная
система используется для различных задач, причём программы, исполняющие эти
задачи, нуждаются в сохранении данных и обмене ими. Из этого следует
необходимость универсального механизма сохранения данных; в подавляющем
большинстве случаев ОС отвечает на неё реализацией файловой системы.
Современные ОС, кроме того, предоставляют возможность непосредственно «связать»
вывод одной программы с вводом другой, минуя относительно медленные дисковые
операции;
· различные
программы нуждаются в выполнении одних и тех же рутинных действий. Напр.,
простой ввод символа с клавиатуры и отображение его на экране может потребовать
исполнения сотен машинных команд, а дисковая операция - тысяч. Чтобы не
программировать их каждый раз заново, ОС предоставляют системные библиотеки
часто используемых подпрограмм (функций);
· между
программами и пользователями системы необходимо распределять полномочия, чтобы
пользователи могли защищать свои данные от несанкционированного доступа, а
возможная ошибка в программе не вызывала тотальных неприятностей;
· необходима
возможность имитации «одновременного» исполнения нескольких программ на одном
компьютере (даже содержащем лишь один процессор), осуществляемой с помощью
приёма, известного как «разделение времени». При этом специальный компонент,
называемый планировщиком, «нарезает» процессорное время на короткие отрезки и
предоставляет их поочередно различным исполняющимся программам (процессам);
· наконец,
оператор должен иметь возможность, так или иначе, управлять процессами
выполнения отдельных программ. Для этого служат операционные среды, одна из
которых - оболочка и набор стандартных утилит - является частью ОС (прочие,
такие, как графическая операционная среда, образуют независимые от ОС
прикладные платформы). Таким образом, современные универсальные ОС можно
охарактеризовать, прежде всего, как
1. использующие файловые системы (с
универсальным механизмом доступа к данным),
2. многопользовательские (с разделением
полномочий),
. многозадачные (с разделением
времени).
Многозадачность и распределение полномочий
требуют определённой иерархии привилегий компонентов самой ОС. В составе ОС
различают три группы компонентов:
· ядро,
содержащее планировщик; драйверы устройств, непосредственно управляющие
оборудованием; сетевую подсистему, файловую систему;
· системные
библиотеки и
· оболочка
с утилитами.
Большинство программ, как системных
(входящих в ОС), так и прикладных, исполняются в непривилегированном
(«пользовательском») режиме работы процессора и получают доступ к оборудованию
(и, при необходимости, к другим ядерным ресурсам, а также ресурсам иных
программ) только посредством системных вызовов. Ядро исполняется в привилегированном
режиме: именно в этом смысле говорят, что ОС (точнее, её ядро) управляет
оборудованием.
В определении состава ОС значение имеет
критерий операциональной целостности (замкнутости): система должна позволять
полноценно использовать (включая модификацию) свои компоненты. Поэтому в полный
состав ОС включают и набор инструментальных средств (от текстовых редакторов до
компиляторов, отладчиков и компоновщиков).
Задания для самостоятельной
работы
Подготовить вопросы для команды-соперника
лабораторный
информатика тема задание
Лабораторное занятие 16
(1 час)
Тема Утилиты»
Цель занятия: рассмотреть
утилиты, драйверы, архиваторы.
Задание:
1. Изучить утилиты
2. Произвести сжатие файлов
с использованием архиваторов
. Рассмотреть драйверы
. Составить отчет
Теоретические сведения
Утилита (англ. utility или tool) -
программный продукт, предназначенный не для решения какой-либо прикладной
задачи, а для решения вспомогательных задач.
Компьютерные утилиты можно разделить на три
группы: утилиты сервисного обслуживания (УСО) компьютера, утилиты расширения
функциональности и информационные утилиты
К УСО относятся все виды сервисных программ,
такие как утилиты по: дефрагментации, проверке и исправлению структуры разделов
жёсткого диска, исправлению системных зависимостей, тонкой настройке системы и
т. д..
Поскольку типовой набор необходимых УСО
примерно одинаков для всех пользователей ПК, то большое распространение
получили заранее собранные пакеты утилит, наиболее ярким примером которых может
послужить пакет Norton Utilities (входящий в Norton System Works) от компании
Symantec.
Основные типы УСО
1. Дефрагментаторы проверяют степень фрагментации файлов и
свободного пространства на доступных системе разделах логических накопителей,
устраняют (снижают) её - дефрагментируют, а также могут перемещать файлы для
расположения в порядке, обеспечивающем оптимальное время доступа (минимальное -
к часто используемым файлам за счёт большего - к редко используемым).
2. Утилиты. Рассмотрим основные виды
утилит.
Утилиты по контролю ошибок и повреждений структуры
разделов и SMART-ревизоры проверяют на наличие ошибок файловую
систему, и устройство хранения данных (жёсткий диск, устройство на основе
Flash-памяти, дискету…). Также могут обращаться к SMART-модулю жёсткого диска
для контроля его служебной информации.
К ним относятся:
Для UNIX-подобных ОС
· fsck
(входит в утилиты для файловых систем в GNU/Linux)
Для Microsoft Windows и Windows NT
· Norton Disk Doctor (часть Norton
Utilities, входящих в свою очередь в Norton System Works от Symantec
Corporation)
· Chkdisk (часть Windows NT 5.x)
· Scandisk
(часть Windows 9x)
· SMART-мониторы,
и другие
Утилиты контроля целостности системы сканируют
конфигурационные файлы, символьные ссылки и/или ярлыки с целью поиска
некорректных записей, а также удалённых или перемещённых файлов.
Для Microsoft Windows и Windows NT
· Norton WinDoctor (часть Norton
Utilities, входящих в свою очередь в Norton System Works от Symantec
Corporation)
· JV16
Power Tools
· JV
RegCleaner
· CCleaner
· Reg
Organizer
Для UNIX-подобных ОС
· TIGER
(набор скриптов на GNU Bash)
· chkrootkit
· cruft,
deborphan, debfoster в Debian
· GConf-cleaner (для GConf в GNOME)
Утилиты расширения функциональности расширяют
функциональность существующих прикладных или системных средств, например,
утилиты автоматизации и переконвертации медиа-тегов (ID3 в MP3, Комментарии
Vorbis в Ogg), безопасного (невосстановимого) удаления файлов, утилиты
переконвертирования файлов различных форматов, утилиты системного менеджмента.
Утилиты-конвертеры занимаются переконвертированием
файлов, представляющих собой различное представление одного и того же типа
данных, но в разных форматах: аудио, видео, графические, конструкторские,
модельные, программные файлы.
К ним относятся:
· Конвертеры
программного кода, преобразующие исходные тексты с одного языка
программирования или его реализации (например, Borland C++ → Microsoft
Visual C++) на другой или же оптимизирующие исходный код в пределах одного
языка/реализации. (В принципе, компилятор тоже можно отнести к конвертерам - с
языка высокого уровня в машинный код)
· Конвертеры
мультимедийных файлов, перекодирующие закодированные в файлах по одному из
известных кодеков мультимедийные данные при помощи другого кодека, а так же,
опционально, меняющие разрешение, глубину кодирования и иные параметры
мультимедийного потока.
· Конвертеры
графических файлов, преобразующие между собой различные графические форматы, а
также выделяющие изображения из видеопотока.
Утилиты - редакторы мета-информации занимаются
сбором, записью и редактированием мета-информации файлов, такой как содержимое
тегов мультимедийных файлов, информация о медиасодержимом, данные EXIF тегов
цифровых изображений, и т. п. Обычно входят в состав так называемой
медиа-библиотеки.
Утилиты резервного копирования
· AzovSky
Version Safe
Утилиты системного менеджмента занимаются
расширенным управлением системой, таким как: работа с разделами дисков,
перепрограммирование (перепрошивка) памяти BIOS, установка расширенных
аппаратных настроек аппаратного обеспечения.
К ним относятся: В ОС Windows NT 4-5.1
большинство утилит системного менеджмента сгруппировано в Windows Management
Console вызываемой пунктом «Управление компьютером» контекстного меню значка
«Мой компьютер»
Утилиты по работе разделами
диска:
o Microsoft
fdisk - утилита по работе с разделами диска, часть ОС Microsoft Windows.
o Linux
fdisk - консольное приложение для работы с разделами диска под ОС на ядре Linux
o Disk
Druid - утилита по работе с разделами диска под ОС GNU/Linux с графическим
пользовательским интерфейсом.
o mdadm -
утилита GNU/Linux для управления RAID массивами (Linux Software Raid)
o PartitionMagic
- утилита для работы с разделами диска под ОС Windows или DOS с графическим
пользовательским интерфейсом.
o Оснастка
«Управление дисками» Windows Management Console
Утилиты тонкой настройки занимаются
тонкой (расширенной) настройкой существующих программ или ОС.
К ним относятся:
· Reg
Organizer
· Xteq-dotec
X-Setup
· OnTrack
WinCustomizer
Задания для самостоятельной
работы
Подготовить вопросы для команды-соперника
Лабораторное занятие 17
(1 час)
Тема Текстовый редактор Word
Цель занятия: получение
навыков редактирования, форматирования и изменения параметров текста
Задание
1. Загрузить Word
2. Создать документ и
напечатать текст. Сохранить документ
. Изменить параметры,
шрифта, абзацев
. Форматировать стили и
шаблоны
. Построить списки.
Пронумеровать заголовки
. Составить отчет
Теоретические сведенияWord (часто
- MS Word, WinWord или просто Word) - это текстовый
процессор, предназначенный для создания, просмотра и редактирования текстовых
документов, с локальным применением простейших форм таблично-матричных
алгоритмов. Текстовый процессор, выпускается корпорацией Microsoft в составе
пакета Microsoft Office.
Стартовое окно текстового редактора Word
2007 имеет следующий вид.
Рисунок 17.1 Окно текстового редактора Word
2007
В новой версии отсутствуют привычные панели
инструментов, которые можно было размещать в любом месте окна программы. Нет
здесь и раскрывающихся меню, за исключением кнопки «Office», иконка которой
расположена в левом верхнем углу окна.
Рисунок 17.2 Раскрывающееся меню кнопки «Office»
Всю верхнюю часть окна занимает лента
главного меню. Выбрав какой-либо его пункт, получаем в свое распоряжение
необходимые инструменты, представленные в виде значков. Следует сказать, что
добавить либо удалить значки на ленте главного меню не представляется
возможным.
Кнопки меню сгруппированы по функциональным
признакам. Например, Главное меню состоит из следующих групп:
· Буфер
обмена
· Шрифт
· Абзац
· Стили
· Редактирование
На панель вынесены наиболее часто
используемые кнопки. Если нужной кнопки не оказывается на панели, то ее можно
найти, нажав на небольшую стрелочку в правом нижнем углу определенной группы.
При этом изначально показывается всплывающая подсказка, которая информирует о
предназначении инструментов.
Рисунок 17.3 Панель инструментов
Кроме ленты и вкладок главного меню, во всех
приложениях Microsoft Office 2007 присутствует панель быстрого доступа.
По умолчанию она расположена рядом с кнопкой "Office" выше ленты. На
ней размещены кнопки часто выполнимых операций. По умолчанию это: Сохранить,
Отменить ввод, Повторить ввод. Настроить данную панель можно, нажав на
небольшую стрелочку, справа от панели.
Рисунок 17.4 Панель быстрого доступа
Чтобы изменить состав панели быстрого
доступа, выберите пункт меню «Другие команды..». Откроется окно настроек Ворд.
Нужный раздел «Настройка» при этом будет выбран по умолчанию. Для добавления
нужной команды в панель быстрого доступа необходимо ее выделить в левой части
списка и нажать кнопку "Добавить". Для удаления ненужной команды, ее
надо выделить в правом списке и нажать кнопку "Удалить". Кроме того,
здесь же можно указать, будет ли панель иметь заданный вид при открытии всех
документов, выбрав из списка пункт "Для всех документов", или только
для определенного документа.
В нижней части окна программы находится
строка состояния. По умолчанию в этой строке (в левой части) указываются
количество страниц и номер текущей страницы, количество слов, язык ввода
текста; (в правой части) - режим просмотра документа, масштаб. Чтобы изменить
набор отображаемых элементов, необходимо щелкнуть правой кнопкой мышки на
строке состояния. Снимая или устанавливая флажки соответствующих пунктов меню,
можно настроить вид строки состояния по своему желанию.
Все основные команды для операций с файлами
собраны в меню кнопки «Office». Для создания нового документа предназначен
самый первый пункт меню "Создать". При его выборе появляется окно
"Создание документа". В его левой части необходимо указать категорию
шаблонов, на основе которых будет создан документ. По умолчанию стоит вариант
"Пустые и последние". Для завершения создания нового документа
необходимо в правом нижнем углу нажать кнопку «Создать». Появится окно нового
пустого документа. Точно такое же окно всегда создается по умолчанию в момент
открытия самой программы Word 2007.
Рисунок 17.5 Окно «Создание документа»
Следует обратить внимание, что Word 2007 по
умолчанию сохраняет файлы в формате .docx. Этот формат не могут читать старые
версии программы. Поэтому, если вы хотите, чтобы документ был совместим с
предыдущими версиями Word, необходимо сохранять файл в «режиме ограниченной
функциональности». Это делается с помощью меню «Сохранить как..» кнопки
«Office».
Опять же, если вы откроете документ,
созданный старой версией Word, то файл будет запущен в режиме ограниченной
функциональности (об этом будет сигнализировать строка заголовка). В таком
режиме работы некоторые функции программы будут недоступны. Чтобы иметь
возможность использовать все функции Word 2007, необходимо конвертировать файл.
Для этой цели служит меню «Преобразовать» кнопки "Office".
Как вы уже знаете, чтобы произвести
какие-либо действия с уже набранным текстом, его надо выделить. Самый простой
способ - это выделение протяжкой мыши (при этом должна быть нажата левая кнопка
мыши). Эту же операцию можно проделать при помощи клавиш управления курсором
при нажатой кнопке Shift.
В Word 2007 существует специальный режим
выделения текста! Для переключения в этот режим необходимо нажать клавишу F8.
После этого текст можно выделять клавишами управления курсора (или щелчком мыши
в нужном месте) при этом использовать кнопку Shift не нужно. Для выхода из
этого режима необходимо нажать клавишу Escape. Несколько нажатий F8
последовательно выделяют слово, предложение, абзац, весь текст.
Форматирование
Основные инструменты
форматирования размещены на ленте вкладки «Главная»:
· Буфер
обмена
· Шрифт
· Абзац
· Стили
· Редактирование
Буфер обмена
На панели расположены четыре основные
кнопки:
· Вставить
· Вырезать
· Копировать
· Формат
по образцу
Следует иметь ввиду, что кнопка «Вставить»
активна лишь в том случае, если в буфере обмена есть какой-то объект.
Соответственно, кнопки "Вырезать" «Копировать» активны, если есть
какой-либо выделенный фрагмент текста, рисунок, диаграмма и проч. Надеюсь, что
останавливаться подробно на использовании этих кнопок нет необходимости.
Рисунок 17.6 Панель «Буфер обмена»
Шрифт
С помощью инструментов группы Шрифт можно
изменять размер, тип и начертание шрифта. При применении эффекта подчеркивания
можно сразу указать вид линии. Здесь же находятся кнопки, позволяющие
увеличить/уменьшить размер шрифта; применить эффект надстрочного/подстрочного
начертания; изменить регистр текста; его цвет; цвет выделенного фрагмента. Кнопка
"Очистить формат" позволяет удалять измененные параметры
форматирования.
Рисунок 17.7 Панель «Шрифт»
Если, все же, указанных кнопок
форматирования недостаточно для выполнения задачи, при помощи окна
"Шрифт" можно настроить дополнительные параметры форматирования.
Рисунок 17.8 Окно «Шрифт»
2007 предоставляет удобную возможность
быстрого форматирования текста. Когда выделяется какой-либо фрагмент текста,
рядом появляется прозрачное окно форматирования. При наведении курсора на это
окно оно приобретает нормальный цвет. Окно содержит наиболее часто
встречающиеся команды форматирования.
Абзац
Группа кнопок панели «Абзац» предназначена
для абзацного форматирования. Но, сюда, же вошли и кнопки для работы с
таблицами.
Рисунок 17.9 Панель «Абзац»
Первые три выпадающих списка в верхнем ряду
предназначены для работы с маркированными, нумерованными и многоуровневыми
списками.
Далее идут кнопки увеличения/уменьшения
абзацного отступа (так называемая "красная строка").
Следующая кнопка используется для сортировки
табличных значений по алфавиту.
Последняя кнопка в верхнем ряду
включает/выключает непечатаемые символы. Иногда они очень полезны для выявления
разнообразных погрешностей форматирования.
В нижнем ряду находятся кнопки выравнивания
текста в абзаце (по левому краю, по центру, по правому краю, по ширине).
За ними идет выпадающий список установки
междустрочного интервала.
Последние два выпадающих списка, опять же,
относятся большей частью к работе с таблицами: заливка ячеек и установка
видимых границ.
Кнопка вызова окна "Абзац"
позволяет производить более тонкие настройки форматирования абзаца.
Рисунок 17.10 Окно «Абзац»
Редактирование
Последняя панель Главного меню предназначена
для быстрого поиска (замены) нужного фрагмента текста. Подробно останавливаться
на ней не вижу смысла, т.к. все довольно понятно расписано в подсказках.
Параметры страницы
Кнопка «Поля» служит
для установки значений полей документа. Если из предложенных стандартных
вариантов ни один не подходит, необходимо воспользоваться пунктом меню
«Настраиваемые поля..». В появившемся окне можно произвести более тонкие
настройки полей документа.
Рисунок 17.11 Панель «Поля»
Кнопка «Ориентация» задает
расположение текста на листе: Книжная, Альбомная.
Кнопка «Размер» задает
размер бумаги при выводе на печать. Для выбора нестандартного размера служит
опция «Другие размеры страниц..».
Следующая кнопка «Колонки» служит для
разбивки текста страницы на несколько колонок (подобно газетной верстке). Опция
«Другие колонки..» служит для гибкой настройки колонок. Все функции настройки
интуитивно понятны, к тому же, в окне «Образец» сразу показано как будет
выглядеть страница.
Рисунок 17.12 Окно «Колонки»
Задания для самостоятельного
выполнения
Вариант 1. Создайте
документ «Жизненный цикл»
В жизненном цикле ЭИС можно укрупнено
выделить несколько этапов, относящихся к ее разработке, и период эксплуатации
системы. Разработкой (проектированием) ЭИС называется процесс составления
описания еще не существующей системы на разных языках и с различной степенью
детализации, в ходе которого осуществляется оптимизация проектных решений. В процессе
детализации описаний наступает момент, когда имеющиеся описания позволяют
создать действующую систему (изготовление изделия по имеющимся чертежам) и
наступает период эксплуатации ЭИС.
Проектирование разделяется на проектные
операции. Проектная операция включает выбор проектных решений и позволяет
определить значения параметров, характеризующих БД, вычислительную систему и
программное обеспечение.
Стадию эксплуатации можно охарактеризовать
как период стабильного функционирования ЭИС, не требующий изменения ранее
принятых проектных решений.
Под стадией модификации будем понимать
процесс корректировки проектных решений по отдельным компонентам ЭИС.
Более детальное описание работ на стадии
проектирования включает в себя следующие действия. 1. Обследование предметной
области:
• границы предметной области и возможности
ее расширения,
• перечень объектов предметной области,
• информационные потребности пользователей,
• необходимые процессы обработки данных с
указанием их периодичности.
Вариант 2. Создайте
документ «Ассортимент»
От состава и своевременного обновления
ассортимента товаров в магазинах в значительной мере зависят степень
удовлетворения спроса, издержки потребления населения, связанные с покупкой
товаров, количественные и качественные показатели хозяйственной деятельности
розничных торговых предприятий. Отсутствие в магазинах отдельных достаточных
товаров, их узкий, нестабильный или не соответствующий запросам покупателей
ассортимент порождают неудовлетворенный спрос, увеличивают затраты времени населения
на поиск нужных товаров, отрицательно сказываются на экономической
эффективности предприятия. Поэтому при формирования ассортимента товаров в
розничной торговой сети важнейшим требованием является максимальное
удовлетворение спроса покупателей при наименьших затратах времени на совершение
покупки и обеспечение эффективной работы торговых предприятий.
Процесс формирования ассортимента товаров в
магазинах складывается из этапов.
На первом этапе устанавливается
групповой ассортимент Товаров в магазине (тем самым определяется его
ассортиментный профиль). Эта работа проводится на основании маркетинговых
исследований в области целевого рынка. В зависимости от этого будут определены
место и роль магазина в общей системе торгового обслуживания населения города,
района и т. п.
Вариант 3.
Создайте документ «Товары»
Рассмотрим особенности формирования
ассортимента товаров в магазинах некоторых типов.
Так, в универмагах ассортимент товаров
рекомендуется строить по потребительским комплексам. При этом могут быть предусмотрены
следующие потребительские комплексы Товары для мужчин», «Товары для женщин»,
«Товары для детей», «Косметика и средства гигиены», «Сувениры, часы, ювелирные
изделия», «Товары для досуга», «Товары для письма и учебы», «Товары для шитья и
рукоделия», «Товары для дома».
Потребительские комплексы делятся на
микрокомплексы. Например, в комплексе «Товары для женщин» выделяются
микрокомплексы «Одежда», «Головные уборы и воротники», «Белье»,
«Чулочно-носочные изделия», «Предметы женского туалета», «Обувь» и др.
В состав каждого микрокомплекса входят
товары определенных наименований, которые, в свою очередь, делятся на
разновидности.
В универсамах выделяют продовольственные и
непродовольственные товары. Среди продовольственных товаров выделяются такие
товарные группы, как: хлеб и хлебобулочные изделия; бакалейные товары;
кондитерские изделия; консервы; гастрономические продукты; мясо, рыба; плоды,
овощи. Непродовольственные товары включают товарные группы: обувь домашняя;
чулочно-носочные изделия; галантерейные товары, парфюмерно-косметические
товары; школьно-письменные и канцелярские товары; игрушки; хозяйственные
товары.
Таким образом, при построении ассортимента
товаров в магазинах, торгующих непродовольственными товарами, исходят из
деления всей номенклатуры товаров на комплексы, микрокомплексы и наименования,
а в магазинах, торгующих продовольственными товарами, из магазинах «Товары
повседневного спроса» - на товарные группы и наименования. При этом каждое
наименование может быть представлено различным количеством его разновидностей в
зависимости от глубины ассортимента товаров.
Вариант 4.
Создайте документ «Политика»
Ассортиментная политика есть важная часть
общей розничной стратегии. Одни предприятия стремятся оптимизировать
ассортимент путем сужения его широты и уменьшения глубины, они торгуют лишь
самыми популярными и ходовыми товарными группами, а в пределах групп - самыми
популярными и быстрооборачивающимися товарами. Такая политика позволяет
уменьшить денежные средства, вложенные в товарные запасы, и ускорить их
товарооборачиваемость. Например, если руководители магазина обнаружат, что в
товарной группе, состоящей из 10 наименований, 80% оборота дают 4 наименования,
то весьма вероятно, что они вообще исключат из ассортимента остальные 6
наименований. Логика такого решения ясна: не стоит вкладывать средства и труд в
большую часть товарной группы, которая дает лишь 20% оборота; лучше
сосредоточить усилия на торговле быстрооборачивающимися товарами.
Решение сузить ассортимент в описанном
примере вполне логично, но это вовсе не единственно возможная коммерческая
логика. Другие магазины, напротив, непременно будут торговать всеми 10
наименованиями товаров, сколь бы малым спросом ни пользовались некоторые из
них. Это те розничные предприятия, которые доминирующей чертой образа своего
магазина сделали именно представление о чрезвычайно широком и глубоком, почти
исчерпывающем ассортименте у нас можно купить все, что вообще где-нибудь можно
купить».
Широта и глубина ассортимента должны
выбираться с учетом общих целей и задач, которые ставит перед собой розничная
организация, и, разумеется, предпочтений потребителей.
Проблемы, относящиеся к сбалансированности
ассортимента, значительно сложнее. Современная тенденция - продавать все товары
«под одной крышей». Поэтому зачастую приходится задумываться не о том,
соответствует ли данный товар или товарная группа общей целенаправленности
ассортимента, а о том, можно ли торговать ими рентабельно. Прибыльность
торговли можно увеличить ведь не только исключением товара из ассортимента, но
и добавлением новых товаров.
Вариант 5.
Создайте документ «Прибыльность»
Следует особо подчеркнуть, что
рентабельность торговли тем или иным товаром не следует понимать слишком узко -
как разницу между объемом реализации этого товара и его закупочной ценой вместе
с издержками обращения. Более широкий взгляд на прибыльность можно
сформулировать так: повысится ли рентабельность торговли товарного отдела в
целом, если будет принято решение включить (или не включать) данный товар в
ассортимент? И действительно, во многих случаях решения относительно широты,
глубины и согласованности ассортимента руководители торговли основывают именно
на таком широком и разумном подходе.
Все же на практике не всегда концепция общей
прибыльности играет надлежащую роль при решении вопросов, связанных с
ассортиментом. Очень часто решения о включении в ассортимент или исключении
того или иного товара руководители принимают исходя из привычки или традиции,
подражания конкурентам, а то и просто на основе интуиции. Но решения об
ассортименте отнюдь не должны основываться только на рентабельности,
прибыльности как на единственном критерии; такие решения должны быть
результатом всестороннего рассмотрения и анализа проблемы.
В универсальных магазинах применяют более
традиционные способы оценки прибыльности того или иного товара в общем
ассортименте: по оборачиваемости, по валовой прибыли и по валовой прибыли,
отнесенной к погонному или кубическому метру полок, стеллажей.
Вариант 6.
Создайте документ «Магазин»
На стадии внедрения товаров торговля ими
зачастую бывает убыточной и розничная организация принимает на себя большой
риск, выбрасывая на рынок новый товар; розничные цены на этой стадии, как
правило, высокие и товар может продаваться лишь в немногих магазинах. Другие
магазины обычно в этот период тоже экспериментируют с новым товаром, но с очень
небольшими его партиями. Но вот начинает расти спрос, товар продается все шире
и шире, усиливается рекламная деятельность, направленная на его продвижение.
Проходя стадию зрелости, товар постепенно становится чувствительным к цене, в
этот период данный товар иногда начинают продавать и по сниженным ценам. А
когда продукт вступает в стадию устаревания, его или вообще исключают из
ассортимента, или отправляют в подвальные помещения, где продается различное
уцененное старье.
Большинство розничных магазинов включают в
ассортимент товары, находящиеся на стадии роста или зрелости, однако стратегия
и образ других магазинов диктуют иную линию поведения; некоторые магазины
предпочитают закупать и включать в свой ассортимент больше товаров, находящихся
еще на стадии внедрения. Особенно это относится к модным, престижным магазинам,
которые, дорожат репутацией новаторов и в своем образе подчеркивают У нас
всегда последний крик моды». К таким розничным предприятиям относятся, в
частности магазины модной (и дорогой) одежды, салоны, Дома моделей. Есть и
магазины, которые стремятся включать в ассортимент товары, находящиеся в стадии
зрелости и даже устаревания. Их закупщики выискивают такие товары, закупают их
у промышленности и оптовых торговцев по льготным ценам и именно на торговле ими
строят свое розничное предложение.
Вариант 7.
Создайте документ «Стадии»
Стадия роста характеризуется быстрым
увеличением объема реализации, возрастанием прибыли; товар начинает предлагать
все большее число поставщиков. На этой стадии коммерсанты должны стремиться к
следующему:
§ снабжать
магазины большими партиями товаров и притом различных разновидностей (например,
разных цветов);
§ искать
новых поставщиков, чтобы за счет более широкого круга источников снабжения
обеспечить непрерывный завоз товара в магазины;
§ организовать
быстрый завоз через короткие интервалы времени (поскольку завозят товары
поставщики, закупщик настаивает на такой организации при заключении договоров),
§ установить
надежный контроль за всеми источниками снабжения (за вновь появляющимися
поставщиками), чтобы была возможность систематически оценивать новые
предложения и принимать лучшие из них;
§ сосредоточить
в магазинах достаточные запасы нового товара, чтобы полностью исключить случаи,
когда его нет в наличии.
Но вот товар вступает в стадию зрелости.
Темп роста объема его реализации начинит замедляться. Конкуренция становится
более острой, цены на товар снижаются, валовая прибыль, полагаемая при его
продаже, становится все меньше и меньше. В такой ситуации руководитель,
ответственный за формирование ассортимента, должен предпринять следующее:
§ потребовать
у поставщиков снижения оптовых или закупочных цен;
§ начинать
отказываться от услуг слабых поставщиков и внимательно следить за льготными
ценами и другими преимуществами, которые другие поставщики теперь уже начинают
предоставлять при закупках этого товара;
§ стараться
свести объем товарных запасов к минимально необходимому, с тем, чтобы в данном товаре
оказались связанными как можно меньшие финансовые средства;
§ стремиться
извлечь пользу из тех усовершенствовании товара и его упаковки, которые
осуществляют ведущие поставщики.
Вариант 8.
Создайте документ под именем «Товар»
Но вот товар вступает в стадию зрелости.
Темп роста объема его реализации начинит замедляться. Конкуренция становится
более острой, цены на товар снижаются, валовая прибыль, полагаемая при его
продаже, становится все меньше и меньше. В такой ситуации руководитель,
ответственный за формирование ассортимента, должен предпринять следующее:
§ потребовать
у поставщиков снижения оптовых или закупочных цен;
§ начинать
отказываться от услуг слабых поставщиков и внимательно следить за льготными
ценами и другими преимуществами, которые другие поставщики теперь уже начинают
предоставлять при закупках этого товара;
§ стараться
свести объем товарных запасов к минимально необходимому, с тем, чтобы в данном
товаре оказались связанными как можно меньшие финансовые средства;
§ стремиться
извлечь пользу из тех усовершенствовании товара и его упаковки, которые
осуществляют ведущие поставщики.
На последней стадии, в фазе устаревания,
товар дает все меньший и меньший вклад в общую прибыль товарного отдела или
магазина в целом. Промышленность начинает снимать товар с производства,
поставщики перестают его предлагать. На этом этапе руководителям розничной
торговли рекомендуется:
еще и еще раз пересмотреть требуемые объемы
товарных запасов;
распродать остатки запасов;
проанализировать всю «торговую биографию»
товара на протяжении его жизненного цикла.
Вариант 9.
Создайте документ «Жизненный цикл»
Жизненный цикл модных товаров. В розничной
торговле приято относить товары к одному из двух классов - к товарам основного
ассортимента или к товарам модного ассортимента. Товарами основного
ассортимента считаются те, с которыми потребитель не связывает представления о
модности, современности. Это - необходимые товары, требующиеся буквально всем,
а потому и пользующиеся постоянным устойчивым спросом. Товары основного
ассортимента являются как бы унифицированными; если они и изменяются, то
чрезвычайно медленно.
Особенностью товаров модного ассортимента
(или модных товаров) является то, что их фасон, цвет, дизайн, стиль и другие
характеристики меняются быстро и резко. Всем известна изменчивость моды - этого
сложного явления, которое пытаются понять социологи, психологи, экономисты, но
еще далеко не поняли и не объяснили. Мы не будем рассматривать их гипотезы.
Для управления розничной торговлей
достаточно знать, что мода - это объективное явление, она изменчива,
малопредсказуема и обладает некоторыми уже выявленными характеристиками.
Например, установлено, что основные мотивы модной женской одежды циклически
повторяются через каждые 30-40 лет. Впрочем, руководителей торговли больше
интересуют не эти длительные периоды, а жизненные циклы отдельных модных
товаров. Характер таких циклов подчиняется тем же общим закономерностям, что и
жизненный цикл любых товаров.
Вариант 10.
Создайте документ под именем «Тенденции»
Исследователи отмечают, что имеется четкая
тенденция перехода некоторых признаков модных товаров на товары основного
ассортимента. Ныне есть модные автомобили и модная одежда, модные дома и
мебель, холодильники и т. д. Так, домашние холодильники потребители часто покупают
не потому, что их старый холодильник отслужил свой срок, технически устарел,
стал хуже работать, но из-за того только, что на рынке появился новый, модный
дизайн.
Чтобы успешно торговать, непременно нужно
учитывать специфику модных (тем более остромодных) товаров, их жизненные циклы,
особенности распространения моды. Следует ориентироваться и на
социально-психологические аспекты следования моде. Например, розничные
предприятия, специализирующиеся на торговле товарами массового спроса,
реализуемыми по умеренным ценам, не могут брать на себя внедрение на рынок
новых модных товаров. Одна из основных причин состоит в том, что их целевые
рынки (контингенты потребителей, пользующихся услугами этих магазинов) привыкли
подражать моде, следовать ей, а вовсе не играть роль лидеров, законодателей
мод. Убедительным рекламным аргументом при обращении к этому целевому рынку
является утверждение, что данные товары теперь модны.
Есть торговые фирмы, целевые рынки которых
не могут себе позволить покупать и товары, пик моды на которые уже прошел. Они
не имеют материальных возможностей приобретать и просто устаревшие товары, а
ищут давно вышедшие из моды и уцененные, даже перенесенные из торговых залов в
подвальные помещения. Из всего сказанного следует, что есть категории
магазинов, подходящие для торговли модными товарами на всех стадиях их
жизненного цикла.
Вариант 11.
Создайте документ под именем «Предприятия»
Наряду с продажей товаров в розничных
торговых предприятиях немаловажное место в торговле занимают внемагазинные
формы торгового обслуживания. Особое значение внемагазинные формы имеют в
условиях сельской кооперативной торговли, которая организует торговое
обслуживание населенных пунктов, не имеющих стационарных торговых предприятий,
в местах проведения полевых работ, на животноводческих фермах и отгонных
пастбищах.
В городских населенных пунктах внемагазинные
формы выступают в качестве дополняющих форм магазинной торговли. Внемагазинные
формы продажи позволяют снизить нагрузку на магазины, приблизить продажу товаров
к потребителям, увеличить розничный товарооборот, повысить качество торгового
обслуживания покупателей.
К внемагазинным формам торгового
обслуживания относят: продажу товаров через сеть мелкорозничных предприятий,
передвижные средства торговли, розничную посылочную торговлю, торговые
автоматы, продажу товаров на ярмарках и базарах. Использование той или иной
формы торгового обслуживания зависит от численности жителей в населенном
пункте, наличия ассортиментного профиля торговых предприятий, производственных
условий, сезона и других обстоятельств.
Вариант 12.
Создайте документ «Торговля»
Продажа товаров через сеть мелкорозничных
предприятий занимает большое место в торговом обслуживании сельского населения.
Мелкорозничные предприятия, расположенные в населенных пунктах, где отсутствуют
магазины, имеют самостоятельное значение. В некоторых случаях они, не имея
самостоятельного значения, служат дополнением сети магазинов (например, в
период сезонной торговли).
Мелкорозничная торговая сеть представлена
палатками, ларьками, киосками и магазинами на дому. Они могут иметь различный
товарный профиль. Так, к числу мелкорозничных предприятий, торгующих
продовольственными товарами, относятся Продукты», «Кондитерские изделия»,
«Сельхозпродукты», «Мясо», «Молоко», «Овощи-фрукты», «Хлеб», «Соки - воды»,
«Мороженое» и др. Непродовольственными товарами торгуют Промтовары», «Книги»,
«Хозтовары», «Сувениры», «Канцтовары» и др. К этой же группе относятся
бензозаправочные станции. Довольно широко распространены мелкорозничные предприятия,
торгующие товарами повседневного спроса.
Наиболее распространенным типом
мелкорозничных предприятий являются «Продукты». Обычно в их ассортименте не
менее пяти товарных групп. При этом на предприятиях, оснащенных холодильным
оборудованием (обычно холодильными камерами ШХ-0,4 или ШХ-0,56), реализуют и
скоропортящиеся продовольственные товары.
Палатки и ларьки типа «Промтовары» торгуют
головными уборами, трикотажными изделиями, галантереей, парфюмерией,
хозяйственными и некоторыми другими товарами.
В палатках и ларьках «Товары повседневного
спроса» реализуют продовольственные товары и ограниченный ассортимент
непродовольственных товаров частого спроса.
Вариант 13.
Создайте документ «Товароснабжение»
Эффективность работы мелкорозничных
предприятии торговли во многом зависит от организации снабжения их товарами,
установленного режима работы. Товароснабжение их должно быть ритмичным, так как
большинство из них не имеют условий для хранения значительных запасов товаров.
Режим работы палаток, ларьков и киосков должен быть удобным для покупателей.
Его устанавливают с учетом, места расположения предприятий и контингента
обслуживаемых покупателей. Например, режим работы палаток и ларьков,
расположенных у кинотеатров, на рынках, вокзалах, в зонах отдыха и т. д.,
должен быть увязан с режимом работы этих предприятий, с интенсивностью
покупательских потоков, а режим работы предприятий, расположенных в малых
населенных пунктах, должен быть удобным для их жителей.
Для продажи товаров по месту работы сельских
жителей, а также жителям населенных пунктов, где отсутствует стационарная
торговая сеть, используют передвижные средства торговли. К ним относятся
автомагазины, автоприцепы и разные развозки.
Автомагазины выпускаются на базе автомобиля
«ГАЗ» или переоборудованных автобусов «ЛАЗ», «ИКАРУС» и др.
Салон автомагазина оснащают изотермическим
шкафом, горками, шкафами и подшкафниками со съемными дверцами с запорами и
прижимами, предохраняющими товары от смещения при транспортировании.
Вариант 14.
Создайте документ «Ассортимент»
В зависимости от ассортимента реализуемых
товаров различают следующие типы автомагазинов Продукты», «Промышленные
товары», «Товары повседневного спроса», «Книги».
Ассортимент товаров в автомагазине
«Продукты» состоит из следующих важнейших товарных групп: хлеб и хлебобулочные
изделия; кондитерские изделия; бакалейные товары; консервы; гастрономические
продукты; безалкогольные напитки; табачные изделия и спички; сопутствующие
непродовольственные товары.
В автомагазинах «Промышленные товары»
реализуют ткани, одежду, головные уборы, белье, обувь массового пошива,
галантерейные и парфюмерно-косметические товары, некоторые культтовары и
хозяйственные товары.
Продовольственными и непродовольственными
товарами примерно тех же групп торгуют и автомагазины «Товары повседневного
спроса», но ассортимент товаров в них отличается от ассортимента автомагазинов
первых двух типов как по широте, так и по глубине.
Автомагазины «Книги» имеют в своем
ассортименте литературу различных направлений, а также периодические издания и
сопутствующие (в основном канцелярские) товары.
Торгово-технологический процесс в
автомагазине состоит из следующих основных операций:
· отборка
и приемка товаров на оптовой базе;
· размещение
и укладка товаров в салоне автомагазина;
· выезд
автомагазина в пункты обслуживания;
· подготовка
автомагазина к торговле;
· предложение
и продажа товаров, включая расчетные операции;
· прием
предварительных заказов и оказание других услуг;
· возвращение
автомагазина на стоянку и его осмотр;
· санитарная
обработка кузова;
· опломбирование
автомагазина и сдача его под охрану;
Вариант 15.
Создайте документ «Товароснабжение»
Товароснабжение автомагазинов осуществляют
межрайонные оптовые базы, торговые базы и склады райпотребсоюзов и райпо,
склады объединений «Авторозница» и другие поставщики. При этом они должны
обеспечивать выделение автомагазинам максимального количества фасованных
товаров и первоочередную их загрузку, возможность предварительной отборки и
комплектования товаров по заявкам водителей-продавцов. Оптовые базы и склады,
снабжающие автомагазины, должны беспрепятственно принимать от них товары, не
нашедшие покупателя.
Хранение товаров в автомагазине должно
осуществляться с соблюдением товарного соседства, закрепления за товарами
постоянных мест. Своевременно должно проводиться санитарное обслуживание
автомагазина.
В автомагазинах самообслуживания особое
внимание уделяют предварительной подготовке товаров к продаже, рациональному их
размещению в салоне и выкладке на торговом оборудовании.
Торговля через автомагазины все более
широкое распространение получает в крупных городах, чему способствовало
развитие сети автомагазинов при предприятиях, производящих молочные, мясные и
некоторые другие продовольственные товары. Это современные, хорошо оснащенные
холодильным и кассовым оборудованием автомагазины, имеющие привлекательный вид.
Их устройство и оборудование позволяют покупателям беспрепятственно
ознакомиться с ассортиментом продаваемых товаров. Они ведут торговлю в наиболее
оживленных местах.
Вариант 16.
Создайте документ под именем «Услуги»
К числу услуг, предоставляемых покупателям
автомагазинами, относятся: информация о времени приезда автомагазина в пункт
обслуживания и о наличии в нем товаров; прием заказов на товары; комплектование
подарочных наборов товаров; упаковка товаров; доставка заказанных
крупногабаритных товаров на дом покупателя; сбор стеклотары.
Для упорядочения движения и работы
автомагазинов составляют маршруты и графики работы. Это позволяет покупателям
заранее подготовиться к приезду автомагазина. Маршруты и графики могут меняться
в зависимости от изменения климатических условий, особенностей проведения
сельскохозяйственных работ и с учетом других факторов.
Розничную посылочную торговлю осуществляют
базы, отправляя посылки на основании заказов покупателей. Чтобы оформить заказ,
покупатели заполняют специальные бланки, имеющиеся в почтовом отделении или
высылаемые базами по запросу покупателей. Информацию о наличии товаров на базах
посылочной торговли можно получить из специальных каталогов или перечней
товаров в местном почтовом отделении. В каталогах и перечнях помещают также
правила покупки товаров посредством посылочной торговли.
Вариант 17.
Создайте документ под именем «Введение»
Основным содержанием развития человечества в
начале XXI века считается переход к информационному обществу, в котором
определяющая роль принадлежит информации.
Информация превращается в стратегический
ресурс, первичным становиться не стоимость труда и естественных ресурсов, а стоимость
знаний, для получения которого информационно-коммуникативная компетентность
становиться одним из основных приоритетов основ информационной культуры.
На наш взгляд, наиболее целесообразным
является подход, когда эти два направления (теория и практика) объединены
вместе, т. е. учитель, объясняя материал, параллельно показывает его на
компьютере и ученики, повторяя действия учителя, сразу используют полученные
знания на практике. Это позволит не только сократить время, необходимое для
усвоения материала, но и увеличить время тренинга.
При изучении основ работы в системе Windows
следует обратить особое внимание на общие принципы работы: типы окон,
управление ими, запуск и завершение программ, открытие и запись файлов на диск
и т. д. Это позволит учащимся в дальнейшем легко освоить любую операцию, любой
новый программный продукт.
Основная задача - научить учащихся
самостоятельно ориентироваться в бурно развивающемся мире информационных и
коммуникационных технологий, чтобы решить любой конкретный вопрос, который
может возникнуть при работе с компьютером.
С самого раннего детства все мы вовлечены в
процессы обмена информацией. Мы получаем информацию, когда читаем книги, газеты
и журналы, слушаем радио или смотрим телевизор, слушаем учителя, родителей или
товарищей. Общение людей друг с другом дома и в школе, на работе и на улице -
это передача информации: сведений и суждений, данных и сообщений. Любая
совместная деятельность людей - работа, учеба и даже игра - невозможна без
обмена информацией. Передаваемая информация обычно касается каких-то предметов
или нас самих и связана с событиями, которые происходят в окружающем нас мире.
Вариант 18.
Создайте документ под именем «Информация»
С возникновением письменности информация
стала передаваться людьми не только устно или жестами. Умение читать и выражать
свои мысли в письменной форме стало признаком грамотности людей. Выражение
мыслей в письменной форме открыло возможность не только передавать сведения и
сообщения, но и накапливать человеческие знания в форме рукописей и рукописных
книг и тем самым передавать сокровища человеческой мысли от одного поколения к
другому. Изобретение печатных станков в XV в. открыло возможность издания книг
и широкого распространения шедевров человеческой мысли. Массовое издание книг и
учебников, открытие публичных библиотек создали условия для достижения всеобщей
грамотности и развития культуры.
Изобретение в XIX - начале XX вв. телеграфа,
телефона и радио открыло перед людьми возможность передачи информации на любые
расстояния со скоростью света. А изобретение телевидения дало всем возможность
следить за событиями в мире и смотреть у себя дома спектакли, кинофильмы и
учебные программы.
Термин "информация" происходит от
латинского слова "informatio", означающего разъяснение, изложение, осведомленность.
Информацию друг о друге мы передаем в устной и письменной форме, а также в
форме жестов и знаков. Любую нужную информацию мы осмысливаем, передаем другим
и делаем определенные умозаключения на ее основе.
На уроках информацию передает главным
образом учитель, ученики же ее воспринимают, осмысливают, запоминают и отвечают
на вопросы. Учебную информацию можно получать и от компьютеров, которые с
помощью специальных программ выводят на экраны рисунки, тексты с разъяснениями
и вопросы.
Информацию мы извлекаем из учебников и книг,
газет и журналов, телепередач и кинофильмов, записываем ее в тетрадях и
конспектах. В производственной деятельности информация передается в виде
текстов и чертежей, справок и отчетов, таблиц и других документов. Такого рода
информация может предоставляться и с помощью электронно-вычислительных машин
(ЭВМ).
Вариант 19.
Создайте документ под именем «Информация»
В любом виде информация для нас выражает
сведения о ком-то или о чем-то. Она отражает происходящее или происшедшее в
нашем мире, например: что мы делали вчера или будем делать завтра, как будет
выглядеть выпускное платье или место будущей работы. Но при этом информация
обязательно должна получить некоторую форму - форму рассказа, рисунка, статьи и
т. д. Чертежи и музыкальные произведения, книги и картины, спектакли и
кинофильмы - все это формы предоставления информации. Информация, в какой бы
форме она не предоставлялась, является некоторым отражением реального или
вымышленного мира.
Поэтому информация в наиболее общем
определении - это отражение предметного мира с помощью знаков и сигналов.
Получение информации - это в конечном счете получение фактов, сведений и данных
о свойствах, структуре или взаимодействии объектов и явлений окружающего нас
мира:
Таким образом, информация - сведения о
ком-то или о чем-то, передаваемые в форме знаков и сигналов.
Предметное содержание информации позволяет
уяснить ее основные свойства - достоверность и полноту, ценность, актуальность,
ясность и понятность.
Информация достоверна, если она отражает
истинное положение дел. Недостоверная информация может привести к неправильному
пониманию или принятию неправильных решений.
Информация полная, если ее достаточно для
понимания и принятия решений. Неполнота информации сдерживает принятие решений
или может повлечь ошибки.
Ценность информации зависит от того, какие
задачи мы можем решить с ее помощью.
Актуальную информацию важно иметь при работе
в изменившихся условиях.
Если ценная и актуальная информация выражена
непонятными словами, она может стать бесполезной. Информация становится
понятной, если она выражена языком, на котором говорят те, кому предназначена
эта информация.
Виды информации: тексты, рисунки,
фотографии, звуковые сигналы, электрические сигналы, магнитные записи и т.д. В
процессе развития человеческого общества люди выработали большое число языков.
Среди них язык жестов и мимики, язык рисунков и чертежей, язык музыки и
разговорные языки и т.д.
Вариант 20.
Создайте документ под именем «Информатика»
Информатика - область научных знаний,
связанных с получением, хранением, преобразованием, передачей и использованием
информации. Важность изучения информатики связана с тем, что эта наука не
только позволяет понять принципы работы и возможные использования ЭВМ, но и
дает представление о законах и методах предоставления информации при общении
людей и в жизни общества.
Сложность изучения современной информатики
связана с непрекращающимся прогрессом в создании новых ЭВМ, а так же с
развитием и методов обработки, накопления, предоставления и передачи
информации. По этой причине информатика является развивающейся научной
дисциплиной. Ее развитие происходит на наших глазах.
Основным объектом информатики, т.е. ее
исходным материалом и конечным продуктом является информация. Поэтому понятие
"информация" имеет первостепенное значение при изучении информатики и
работе на ЭВМ.
Совершенно новые возможности для поиска и
обработки информации открыло перед людьми изобретение в середине XX в.
электронных вычислительных машин - ЭВМ (за рубежом эти машины получили название
компьютеров Первоначально ЭВМ создавались для автоматизации вычислений. Затем
их научили записывать и хранить информацию на магнитных лентах, печатать ее на
бумаге и выводить на экран ЭВМ. По мере развития они стали использоваться для
создания архивов, подготовки и редактирования текстов, выполнения чертежных и
графических работ, автоматизации производства и многих других видов
человеческой деятельности.
В 70-х годах развитие электроники послужило
толчком для создания и массового производства нового вида компьютере -
персональных ЭВМ, которые сегодня широко применяются в школах, институтах,
издательствах и т.п. Такие машин можно использовать для учебы, работы, игры и
многих других целей. Применение таких ЭВМ на производстве, при проектировании, в
научных исследованиях и образовании может коренным образом изменить содержание
деятельности и условия работы многих миллионов людей.
Лабораторное занятие 18
(1 час)
Тема: Табличный процессор Exсel. Работа с таблицами
Цель занятия:
овладеть приемами работы с таблицами в Exсel
Задание:
1. Подготовить ПК к работе и
загрузить программу Microsoft Exсel Изучить
экранное окно Microsoft Exсel
2. Спроектировать документ
с помощью Microsoft Exсel
. Рассмотреть один из
способов форматирования документов: рисование рамок
. Отредактировать данные
. Построить диаграмму на
основе данных спроектированного документа
. Сохранить документ на
гибком диске и оформить отчет
Теоретические сведения
Класс программ, предназначенных для создания
и обработки табличных данных в электронном виде, называется табличными
процессорами или электронными таблицами. Особенность электронных таблиц
заключается в возможности применения формул для описания связи между значениями
различных ячеек.
Microsoft Excel (также
иногда называется Microsoft Office Excel) - программа для работы с
электронными таблицами, созданная корпорацией Microsoft для Microsoft Windows,
Windows NT и Mac OS. Она предоставляет возможности экономико-статистических
расчетов, графические инструменты и, за исключением Excel 2008 под Mac OS X,
язык макропрограммирования VBA (Visual Basic для приложений). Microsoft Excel
входит в состав Microsoft Office и на сегодняшний день Excel является одним из
наиболее популярных приложений в мире.
Документ Excel называется
рабочей книгой, книга представляет собой набор рабочих листов,
каждый лист имеет табличную структуру и может содержать одну или несколько
таблиц. Документ Excel 2007 сохраняется в виде файла с
расширением *.xlsx. В
представлении пользователя электронная таблица Excel 2007
(рабочий лист) состоит из более 1 млн. строк (rows) и 16,4
тыс. столбцов или колонок (columns),
которые отображаются на экране компьютера. Строки нумеруются целыми числами от
1 до 65536, а столбцы или колонки обозначаются буквами латинского алфавита A, B, …, Z, AA, AB, … На пересечении строки и столбца располагается основной
структурный элемент таблицы - ячейка (cell). К
содержимому ячейки можно обратиться по ее адресу (ссылке), например, A5.
В ячейках рабочего листа могут находиться
Текст, Константы и Формулы. В одну ячейку можно ввести до 32767 текстовых или
числовых символов.
По умолчанию числовые данные выравниваются
по правому краю, а текст - по левому. Если название категории не входит по
ширине, то правая ячейка (если она не пустая) перекрывает предыдущую.
Группа соседних ячеек, образующих в таблице
область прямоугольной формы, называется диапазоном
Автозаполнение ячеек:
1.
ввести в две соседние ячейки два первых элемента прогрессии;
2.
выделите блок, состоящий из двух заполненных ячеек;
3.
Установите указатель мыши на правый нижний угол выделенного блока.
Указатель мыши станет черным крестиком - это маркер заполнения. Перетащите
маркер заполнения при нажатой правой кнопке мыши вниз;
Операции с листами:
По умолчанию в книге Microsoft Office Excel
содержатся три, но при необходимости листы можно добавлять (включая такие типы
листов, как листы диаграмм, листы макросов и листы диалогов) и удалять. Также
можно изменять количество листов по умолчанию для новой книги.
Имя (или заголовок) листа отображается на
его ярлычке в нижней части экрана. По умолчанию листам присваиваются имена
«Лист1», «Лист2» и т. д., но имя любого листа на более подходящее.
По умолчанию ярлычки листов отображаются, но
если это не так, проверьте, что в диалоговом окне Параметры Excel в
группе Дополнительно установлен флажок Показывать ярлычки листов
(кнопка Microsoft Office
, Параметры Excel).
Чтобы вставить новый лист, выполните одно из
следующих действий.
· Чтобы
быстро вставить новый лист после существующих листов, щелкните вкладку Вставить
лист в нижней части экрана.
· Чтобы
вставить новый лист перед существующим, выберите этот лист, нажмите на вкладке Главная
в группе Ячейки кнопку Вставить и выберите команду Вставить
лист.
Можно также щелкнуть правой кнопкой мыши
ярлычок одного из листов и выбрать команду Вставить. На вкладке Общие
выделите значок Лист и нажмите кнопку ОК.
Переименование листов
1. В строке Ярлычок листа щелкните правой
кнопкой мыши ярлычок, который требуется переименовать, и выберите команду
Переименовать.
. Выделите текущее имя и введите новое.
При печати листа можно вывести его имя.
Удаление одного или несколько
листов
1. Выделите лист или
листы, которые требуется удалить
|
Чтобы выделить
|
Выполните следующее
|
|
Отдельный лист
|
Щелкните ярлычок листа. Если
ярлычок нужного листа не виден, найдите этот ярлычок с помощью кнопок
прокрутки листов, а затем щелкните его.
|
|
Два или более смежных листа
|
Щелкните ярлычок первого
листа. Нажав клавишу SHIFT, щелкните ярлычок последнего листа в
последовательности листов, которую необходимо выделить.
|
|
Два или более несмежных листа
|
Щелкните ярлычок первого
листа. Последовательно щелкните ярлычки необходимых листов, удерживая клавишу
CTRL.
|
|
Все листы книги
|
Щелкните правой кнопкой мыши
ярлычок какого-либо листа, а затем выберите команду Выделить все листы в
контекстном меню.
|
Когда в книге выделено несколько листов, в
заголовке рабочего окна появляется надпись [Группа]. Чтобы отменить выделение
нескольких листов книги, щелкните любой невыделенный лист. Если на экране видны
только выделенные листы, наведите указатель на выделенный лист и нажмите правую
кнопку мыши. Затем выберите в контекстном меню команду Разгруппировать листы.
На вкладке Начальная страница в группе
Ячейки щелкните стрелку рядом с командой Удалить, а затем выберите команду
Удалить лист.
Можно также щелкнуть правой кнопкой мыши
ярлычок листа или выделенных листов, которые нужно удалить, и выбрать команду
Удалить.
В Excel различают 3 типа адресации
ячеек: абсолютная, относительная и смешанная. Оба типа можно применить в
одной ссылке и создать смешанную ссылку.
При копировании формулы из одной ячейки в
другую автоматически изменяются адреса ячеек, входящих в состав формул. Такая
адресация ячеек называется относительной. Относительные ссылки
используются в Excel по умолчанию. Но иногда необходимо не изменять адрес
некоторой ячейки при копировании формулы. Такой адрес называется абсолютным
и Абсолютная ссылка задается путем указания символа доллара перед номером
строки и столбца, например $A$2.
Смешанная ссылка представляет
собой комбинацию абсолютной и относительной ссылок, когда для строки и столбца
используются разные способы адресации, например, $A1, B$2. При
копировании формулы абсолютная часть ссылки не изменяется.
При формировании формул с помощью мыши соответствующий
тип ссылки можно выбрать после указания ячейки клавишей ‹F4› ,которая преобразует
относительную ссылку в абсолютную и смешанную
Все формулы в Excel должны
начинаться с символа “=” ; И заканчивается ввод формулы нажатием Enter
Примеры формул:= 2*5^ 3+4=A1+A2=A1+Cos (5,282)
Чтобы начать редактировать содержимое
ячейки, нужно сначала выделить эту ячейку. Далее включить режим редактирования,
нажав клавишу F2 или выполнив двойной щелчок мышью. Для редактирования
формул можно нажать кнопку = в строке формул. В режиме
редактирования активизируется строка формул, в которой виден текст формулы, а
не результат ее вычисления.
Чтобы изменить формулу нужно щелкнуть мышью
в той позиции строки, где необходимо внести изменения. Изменения вносятся
также, как производится ввод формул.
Форматирование данных. Прежде
всего, нужно выделить ячейки, в которых надо изменить формат данных. После
этого можно воспользоваться командами вкладки Главная. Используя данную панель
можно установить форматы представления данных в ячейках: числовые форматы
выравнивание, границы и вид ячеек, а также определить степень защиты данных.
Задания для самостоятельного
выполнения
Вариант 1
Ведомость учета выполнения договоров
|
№ п/п
|
Код Организации
|
Сумма
|
Отклонение в процентах
|
Сумма отклонения
|
|
|
По договору
|
Фактически
|
|
|
|
1
|
2
|
3
|
4
|
5
|
6
|
|
1.
|
001
|
2556
|
3622
|
*
|
*
|
|
2.
|
002
|
2544
|
3687
|
*
|
*
|
|
3.
|
003
|
1254
|
5874
|
*
|
*
|
|
4.
|
004
|
3654
|
2544
|
*
|
*
|
|
5.
|
005
|
8745
|
3265
|
*
|
*
|
|
Итого:
|
*
|
*
|
*
|
*
|
Формулы:
Отклонение в % = Сумма фактически / Сумма по договору
Сумма отклонения = Сумма фактически - Сумма по договору
Вариант 2
Сличительная ведомость
|
№ п/п
|
Наименование товара
|
Цена
|
Количество
|
Сумма
|
|
|
|
По документу
|
Фактически
|
по документу
|
фактически
|
|
1
|
2
|
3
|
4
|
5
|
6
|
7
|
|
1.
|
Сахар (песок)
|
95
|
1223
|
2323
|
*
|
*
|
|
2.
|
Сахар (рафинад)
|
90
|
2455
|
2124
|
*
|
*
|
|
3.
|
Мука в/с
|
95
|
4543
|
2474
|
*
|
*
|
|
4.
|
Мука 1 сорт
|
90
|
2445
|
3215
|
*
|
*
|
|
5.
|
Рис Акмаржан
|
110
|
3565
|
6874
|
*
|
*
|
|
Итого:
|
|
*
|
*
|
*
|
*
|
Формулы: Сумма по договору = Цена *
Количество по договору
Сумма фактически = Цена * Количество
фактически
Вариант 3
Товарный баланс за __________месяц
|
№ п/п
|
Товарная группа
|
Запас на начало
|
Обороты
|
Запас на конец
|
|
|
|
Приход
|
Расход
|
|
|
1
|
2
|
3
|
4
|
5
|
6
|
|
1.
|
Молочные
|
2454
|
2454
|
2388
|
*
|
|
2.
|
Хлебобулочные
|
3445
|
2454
|
2457
|
*
|
|
3.
|
Кондитерские
|
3645
|
2154
|
32132
|
*
|
|
4.
|
Крупы
|
2454
|
3526
|
2124
|
*
|
|
5.
|
Минвода
|
6568
|
6565
|
5787
|
*
|
|
Итого:
|
*
|
*
|
*
|
*
|
Формулы: Запас на конец = Запас на начало +
Приход - Расход
Вариант 4
Ведомость движения товаров
|
№ п/п
|
Вид товара
|
Остаток на начало периода
|
Обороты
|
Остаток на конец
|
|
|
|
Приход
|
Расход
|
|
|
1
|
2
|
3
|
4
|
5
|
6
|
|
1
|
Лекарство в таблетках
|
24545
|
2121
|
21545
|
*
|
|
2
|
Лекарство в микстурах
|
21872
|
2124
|
2154
|
*
|
|
3
|
Лекарство в пилюлях
|
3146
|
3535
|
2154
|
*
|
|
4
|
Чулочно-носочные
|
3545
|
2454
|
5457
|
*
|
|
5
|
Трикотажные
|
6474
|
6456
|
1214
|
*
|
|
Итого:
|
*
|
*
|
*
|
*
|
Формулы:
Остаток на конец = Остаток на начало периода
+ Приход - Расход
Вариант 5
Выполнение прибыли по отраслям
|
№ п/п
|
Отрасли
|
План
|
Факт
|
Выполнение
|
Отклонение
|
|
|
|
|
|
+
|
-
|
|
1
|
2
|
3
|
4
|
5
|
6
|
7
|
|
1.
|
Легкая
|
5444
|
5778
|
*
|
*
|
*
|
|
2.
|
Добывающая
|
5487
|
4455
|
*
|
*
|
*
|
|
3.
|
Обрабатывающая
|
5454
|
7878
|
*
|
*
|
|
4.
|
Сельское хозяйство
|
6457
|
6456
|
*
|
*
|
*
|
|
5.
|
Услуги
|
6475
|
5457
|
*
|
*
|
*
|
|
Итого:
|
*
|
*
|
*
|
*
|
*
|
Формулы:
Выполнение = Факт/ План
Отклонение = Факт - План
Вариант 6
Инвентаризационная опись товаров, материалов, тары на_ 200_
год
|
№ п/п
|
Номенклат. №
|
Наименование товара,
материала, тары
|
Сорт
|
Ед. Изм.
|
Количество
|
Цена
|
Сумма
|
|
|
|
|
|
Брутто
|
Нетто
|
|
|
|
1
|
2
|
3
|
4
|
5
|
6
|
7
|
8
|
9
|
|
1.
|
024
|
Цемент
|
400
|
Кг
|
49,5
|
50
|
40
|
*
|
|
2.
|
025
|
Кирпич
|
силик.
|
Шт.
|
5632
|
5422
|
7
|
*
|
|
3.
|
036
|
Песок
|
речн.
|
Кг
|
5445
|
5655
|
80
|
*
|
|
4.
|
058
|
Гравий
|
круп.
|
Кг
|
7852
|
1545
|
60
|
*
|
|
5.
|
068
|
Асфальт
|
200
|
Т
|
5221
|
1875
|
1500
|
*
|
|
6.
|
074
|
Бордюр
|
крупн
|
Шт
|
5465
|
4456
|
1588
|
*
|
|
Итого:
|
|
|
|
|
|
*
|
Формулы: Сумма = Цена * Количество нетто
Вариант 7
Расходная накладная № от __________ месяц 200_ г.
|
№ п/п
|
№ прейскуранта
|
Ед. изм.
|
Фактически получено
|
Цена
|
Наименование товара
|
Сумма
|
|
|
|
Брутто
|
Нетто
|
|
|
|
|
1
|
2
|
3
|
4
|
5
|
6
|
7
|
8
|
|
1.
|
545
|
Кг
|
2454
|
587
|
95
|
Сахар (песок)
|
*
|
|
2
|
345
|
Кг
|
2454
|
333
|
90
|
Сахар (рафинад)
|
*
|
|
3.
|
566
|
Кг
|
4244
|
578
|
95
|
Мука в/с
|
*
|
|
4.
|
985
|
Кг
|
3556
|
233
|
90
|
Мука 1 сорт
|
*
|
|
5.
|
546
|
Кг
|
2455
|
545
|
110
|
Рис Акмаржан
|
*
|
|
Итого:
|
|
|
|
|
*
|
Формулы:
Сумма = Цена * Фактически получено нетто
Вариант 8
Счет-фактура №
|
№ п/п
|
Наименование товара
|
Ед. изм.
|
Номенклатурн. номер
|
Количество
|
Цена
|
Сумма
|
|
1
|
2
|
3
|
4
|
5
|
6
|
7
|
|
1.
|
Молочные
|
Л
|
333
|
5577
|
110
|
*
|
|
2.
|
Хлебобулочные
|
Шт
|
455
|
2454
|
40
|
*
|
|
3.
|
Кондитерские
|
Кг
|
678
|
1875
|
600
|
*
|
|
4.
|
Крупы
|
Кг
|
565
|
5465
|
80
|
*
|
|
5.
|
Минвода
|
Л
|
244
|
3565
|
70
|
*
|
|
Итого:
|
|
|
|
|
*
|
Формулы:
Сумма = Цена * Количество
Вариант 9
Расходная накладная
|
№ п/п
|
Наименование товара
|
Ед. изм.
|
Количество
|
Цена
|
Сумма
|
|
1
|
2
|
3
|
4
|
5
|
6
|
|
1.
|
Конфеты
|
Кг
|
574
|
600
|
*
|
|
2.
|
Печенье
|
Кг
|
545
|
280
|
*
|
|
3.
|
Вафли
|
Кг
|
456
|
200
|
*
|
|
4.
|
Мармелад
|
Кг
|
524
|
250
|
*
|
|
5.
|
Торт «Полярный»
|
Кг
|
542
|
140
|
*
|
|
Итого:
|
|
|
|
*
|
Формулы:
Сумма = Количество * Цена
Вариант 10
Оборотная ведомость движения товаров
|
№ п/п
|
Наименование товара
|
Ед. изм.
|
Цена
|
Ост-к вход.
|
Приход за м-ц
|
Расход за м-ц
|
Ост-к исход.
|
|
|
|
|
Кол
|
сум
|
Кол
|
Сум
|
Кол
|
сум
|
Кол
|
сум
|
|
1
|
2
|
3
|
4
|
5
|
6
|
7
|
8
|
9
|
10
|
11
|
12
|
|
1.
|
Лекарство в таблетках
|
Шт.
|
24
|
45
|
1080
|
21
|
504
|
14
|
630
|
*
|
*
|
|
2.
|
Лекарство в микстурах
|
Бут.
|
56
|
21
|
1176
|
25
|
1400
|
10
|
560
|
*
|
*
|
|
3.
|
Лекарство в пилюлях
|
Шт.
|
45
|
23
|
1035
|
57
|
2565
|
10
|
450
|
*
|
*
|
|
4.
|
Чулочно-носочные
|
Шт.
|
40
|
45
|
1800
|
12
|
480
|
12
|
480
|
*
|
*
|
|
5.
|
Трикотажные
|
Шт.
|
500
|
77
|
38500
|
14
|
7000
|
14
|
7000
|
*
|
|
Итого:
|
|
|
|
|
|
|
|
|
*
|
*
|
Формулы:
Остаток исходящий Остаток входящий Приход по
Расход по по
количеству = по количеству +
количеству - количеству
Остаток исходящий Остаток входящий Приход по
Расход по по сумме
= по количеству + сумме - сумме
Вариант 11
Сличительная ведомость по складу продовольственных товаров
|
№ п/п
|
Наименование товара
|
Ед. изм.
|
Цена
|
По инвен. ценам
|
По учетн. Ценам
|
Результат инвентариз.
|
|
|
|
|
Кол
|
Сум
|
Кол
|
Сум
|
Кол
|
Сум
|
|
1
|
2
|
3
|
4
|
5
|
6
|
7
|
8
|
9
|
10
|
|
1.
|
Конфеты
|
Кг.
|
460
|
545
|
*
|
566
|
*
|
511
|
*
|
|
2.
|
Печенье
|
Кг.
|
140
|
656
|
*
|
321
|
*
|
122
|
*
|
|
3.
|
Вафли
|
Кг.
|
220
|
211
|
*
|
155
|
*
|
212
|
*
|
|
4.
|
Мармелад
|
Кг.
|
233
|
321
|
*
|
645
|
*
|
546
|
*
|
|
5.
|
Торт «Полярный»
|
Кг.
|
545
|
456
|
*
|
654
|
*
|
789
|
*
|
|
Итого:
|
|
|
*
|
*
|
*
|
*
|
*
|
*
|
Формулы: Сумма по инвентар.
Количество по ценам = Цена * инвентар. ценам
Сумма по учетн. ценам = Цена * Кол-во по
учетн. ценам
Результат по сумме = Цена * Кол-во по
результату
Вариант 12
Ведомость расхода горючего по автохозяйству
|
№ п-п
|
№ автомашин
|
Ост-ок гор-го на нач. мес.(кг)
|
Получено (кг)
|
Израсход.(кг)
|
Ост-к на кон. мес.
|
Результат
|
|
|
|
|
По норм
|
Фактич.
|
|
Эконом
|
Перерасх
|
|
1
|
2
|
3
|
4
|
5
|
6
|
7
|
8
|
9
|
|
1
|
ВАЗ 31010
|
212
|
212
|
120
|
140
|
*
|
*
|
*
|
|
2
|
ВАЗ 2111
|
562
|
212
|
212
|
557
|
*
|
*
|
*
|
|
3
|
ВАЗ 2108
|
645
|
332
|
323
|
322
|
*
|
*
|
*
|
|
4
|
ВАЗ 2107
|
344
|
345
|
222
|
212
|
*
|
*
|
*
|
|
5
|
ВАЗ 2106
|
387
|
253
|
212
|
542
|
*
|
*
|
*
|
Формулы:
Остаток на конец мес. = Остаток гор-го на
нач.+ Получено -
израсходовано факт-ки.
Если 5<6, то 9=6-5, 8=0
Иначе: 8=5-6, 9=0
Вариант 13
Ведомость оперативного учета выполнения
договоров
|
Код орг.
|
Месяц
|
Чис-ло
|
Код пос-ка
|
№ договора
|
Докум.
|
Код тов.
|
Цена.
|
Кол-во
|
Сумма
|
|
|
|
|
|
Дата
|
№
|
|
|
|
|
|
1
|
2
|
3
|
4
|
5
|
6
|
7
|
8
|
9
|
10
|
11
|
|
1
|
Январь
|
12
|
066
|
232
|
12
|
2
|
012
|
45
|
54
|
*
|
|
2
|
Февраль
|
14
|
014
|
54
|
14
|
1
|
064
|
24
|
65
|
*
|
|
3
|
Март
|
01
|
078
|
123
|
01
|
3
|
0112
|
22
|
45
|
*
|
|
4
|
Апрель
|
29
|
024
|
125
|
29
|
3
|
089
|
95
|
211
|
*
|
|
5
|
Май
|
22
|
036
|
45
|
22
|
1
|
033
|
56
|
621
|
*
|
Формула: Сумма = Цена * Количество
Вариант 14
Данные товарного баланса за квартал
|
№ п-п
|
Наим.тов.груп и тов-в.
|
Запас т-в на нач.периода
|
Поступл. т-в в теч пер.
|
Реализ т-в за пер.
|
Запас т-в на кон.пер
|
|
1
|
Молочные
|
54566
|
3432
|
5456
|
*
|
|
2
|
Хлебобулочные
|
9765
|
4566
|
6565
|
*
|
|
3
|
Кондитерские
|
3251
|
5459
|
5786
|
*
|
|
4
|
Крупы
|
8756
|
5466
|
6549
|
*
|
|
5
|
Минвода
|
54796
|
5653
|
5653
|
*
|
Формула: Запас товаров на конец = Запас
товаров на нач. периода + Поступл. товаров - Реализация товаров за период
Вариант 15
Инвентаризационно-сличительная ведомость
товаров и тары
|
Код товара
|
Ед. изм
|
Цена
|
Числится фактически
|
Остаток на ЭВМ
|
Отклонение
|
|
|
|
Кол-во
|
Сумма
|
Кол-во
|
Сумма
|
Кол-во
|
Сумма
|
|
1
|
2
|
3
|
4
|
5
|
6
|
7
|
8
|
9
|
|
01
|
Шт.
|
52
|
445
|
*
|
212
|
*
|
*
|
*
|
|
02
|
Шт.
|
12
|
455
|
*
|
565
|
*
|
*
|
*
|
|
03
|
Шт.
|
23
|
568
|
*
|
545
|
*
|
*
|
*
|
|
04
|
Шт.
|
56
|
212
|
*
|
657
|
*
|
*
|
*
|
|
05
|
Шт.
|
41
|
656
|
*
|
235
|
*
|
*
|
*
Сумма по факту = Цена * Количество по факту
Сумма по остатку = Цена * Количество остатка
на ЭВМ
Количество по отклонению = Количество по
факту - Количество по
остатку
Сумма по отклонению = Цена * Количество по
отклонению
Или = Сумма по факту - Сумма по остатку
Вариант 16
Акт об установлении расхождении товаров в
количестве при приемке продукции
|
Наим.продук. (мат. тара, арт.)
|
Пор. № по прейс..
|
Ед.из.
|
По документу отправителя
|
Фактически оказались годных
|
Недостача
|
Излишки
|
|
Компьютер
|
21
|
Шт.
|
10
|
12000
|
9
|
108000
|
1
|
12000
|
*
|
*
|
|
Принтер
|
20
|
Шт.
|
4
|
120000
|
4
|
120000
|
-
|
-
|
*
|
*
|
|
Манипулятор мышь
|
22
|
Шт.
|
12
|
5000
|
10
|
5000
|
1
|
500
|
*
|
*
|
|
Клавиатура
|
45
|
Шт.
|
14
|
1200
|
8
|
1422
|
2
|
140
|
*
|
*
|
|
Джойстик
|
12
|
Шт.
|
15
|
5112
|
4
|
4523
|
2
|
1598
|
*
|
*
|
|
Итого:
|
|
|
|
|
|
|
|
*
|
*
|
Формулы: Излишки = Фактически оказались
годных - По документу отправителя - Недостача
Итого излишки = Σ Излишки
Вариант 17
Инвентаризационная опись
|
№ п/п
|
Инвент. номер
|
Наименование и краткая
характеристика
|
Год выпуска
|
Числится на
|
|
|
|
|
фактическое Наличие
|
по данным бухгалтерского учета
|
|
|
|
|
Кол-во
|
Стоимость
|
кол-во
|
Стоимость
|
|
1
|
701
|
Celeron
|
2007
|
2
|
3930254
|
1
|
196627
|
|
2
|
702
|
Celeron
|
2007
|
3
|
589881
|
3
|
589881
|
|
3
|
703
|
Лазерный принтер
|
2007
|
1
|
196627
|
1
|
196627
|
|
4
|
704
|
Сканер планшетный
|
2007
|
1
|
196627
|
1
|
196627
|
|
5
|
Величина расхождения
|
x
|
x
|
Формулы:
Итого количество по величине расхождения = S по данным бухгалтерского учета количество
итого стоимость по величине расхождения = Σ по данным бухгалтерского учета
стоимость
Вариант 18
Накладная на внутреннее перемещение
материалов
|
Объект - отправитель
|
Объект - получатель
|
|
Ткаченко Е.А.
|
Иванова Л.А.
|
|
№ п/п
|
Наименование материалов
|
Ед. измер.
|
Количество
|
Цена
|
сумма
|
|
1
|
Celeron
|
шт.
|
6
|
96760
|
*
|
|
2
|
Celeron
|
шт.
|
9
|
104700
|
*
|
|
3
|
Celeron
|
шт.
|
2
|
99980
|
*
|
|
4
|
Pentium 4
|
шт.
|
1
|
120500
|
*
|
Формулы:
Сумма = Количество * цена
Вариант 19
Требование на отпуск строительных товаров
|
№ п/п
|
Наименование стройматериалов
|
Ед.изм.
|
Цена
|
Количество
|
отклонение
|
|
|
|
|
Требуется
|
Отпущено
|
В %
|
сумма
|
|
1
|
2
|
3
|
4
|
5
|
6
|
7
|
8
|
|
1
|
Линолеум
|
м
|
800
|
1000
|
900
|
*
|
*
|
|
2
|
Кирпич
|
шт.
|
7
|
1000
|
1000
|
*
|
*
|
|
3
|
Краска
|
кг
|
800
|
100
|
10
|
*
|
*
|
|
4
|
Кафель
|
м2
|
750
|
100
|
100
|
*
|
*
|
|
Итого
|
|
|
|
|
|
|
Формулы:
Отклонение сумма = цена * количество
отпущено
Отклонение в % = отклонение сумма /100
Вариант 20
Ведомость по заработной плате
|
№ п/п
|
Ф.И.О. работника
|
Начисление
|
Всего удержано
|
Сумма к выдаче
|
|
|
Оклад
|
Премия
|
|
|
|
1
|
2
|
3
|
4
|
5
|
6
|
|
1
|
Иванов
|
50000
|
10000
|
700
|
*
|
|
2
|
Петров
|
20000
|
1000
|
700
|
*
|
|
3
|
Сидоров
|
30000
|
4000
|
1000
|
*
|
|
4
|
Ковалев
|
50000
|
1000
|
1000
|
*
|
|
5
|
Васькин
|
30000
|
2000
|
900
|
*
|
Формулы:
Сумма к выдаче = Оклад + Премия - Всего
удержано
Лабораторное занятие 19
(1 час)
Тема: Функции в Exсel
Цель занятия:
изучить функции и принципы работы с ними
Задание:
1. Рассмотреть основные
математические и финансовые функции в Exсel
2. Произвести решение задач
в Exсel с
использованием математических и финансовых функций
. Составить отчет
Теоретические сведения
Главным инструментом пользователя при работе
с электронными таблицами являются клеточные функции, основные из которых
приведены ниже. Причем, ввод адресов и ключевых слов, используемых в функциях,
можно осуществлять как заглавными, так и строчными буквами. Если выражение не
содержит ошибок, после нажатия клавиши Enter они автоматически преобразуются в
заглавные. Ввиду этого, лучше вводить такие данные строчными буквами, что
позволит быстро выявить допущенные синтаксические ошибки. Непреобразование их в
заглавные будет означать, что соответствующий элемент введен неверно.
Некоторую помощь при вводе формул пользователю
может оказать панель инструментов. Пиктограмма fx открывает доступ к Мастеру
функций, дающему возможность быстрого поиска и формирования нужных функций
рабочего листа (здесь не рассматривается).
Доступ к основным категориям функций
предоставляется во вкладке Формулы:
Функции в Microsoft Excel представляют собой
формулы, которые имеют один или несколько аргументов. В качестве аргументов
указываются числовые значения или адреса ячеек.
Например:
=СУММ(А5:А9) - сумма ячеек А5, А6, А7, А8,
А9;
=СРЗНАЧ(G4:G6) - среднее значение ячеек G4,
G5, G6.
Функции могут быть вложенными одна в другой,
например:
=ОКРУГЛ(СРЗНАЧ(H4:H8);2).
Описание основных функций
Категория Математические
ABS (число) - модуль числа.(число) - косинус
заданного числа.(число) - возвращает число е, возведенное в указанную
степень.(число) - возвращает натуральный логарифм числа.(число) - возвращает
синус заданного числа.(число) - возвращает тангенс заданного числа.
КОРЕНЬ (число) - возвращает положительное
значение квадратного корня.
ПИ () - возвращает число p с точностью до 15 цифр.
СТЕПЕНЬ (число; степень) - возвращает
результат возведения в степень;
СУММ (число1; число2; ...) - возвращает
сумму всех чисел, входящих в список аргументов;
Статистические функции
МАКС(аргумент1; аргумент2;…) - ищет
максимальный из аргументов;
МИН(аргумент1; аргумент2;…) - ищет
минимальный из аргументов;
СРЗНАЧ(аргумент1; аргумент2;…) - вычисляет
среднее своих аргументов;
СЧЕТЕСЛИ(диапазон; условие) - подсчитывает
число аргументов в диапазоне, отвечающих условию
Арифметические операции:
|
Сложение
|
+
|
|
Вычитание
|
-
|
|
Умножение
|
*
|
|
Деление
|
/
|
|
Возведение в степень
|
^
|
Задания для самостоятельного
выполнения
Посчитайте значения функции … с шагом 0,2
на интервале [-1,1] . Значения функции рассчитывать через Мастер функций
|
№ варианта
|
Функция
|
№ варианта
|
Функция
|
|
1
|
Y=3sin2(x)* 3
|
11
|
Y=(3+x)sin2(x)* 3
|
|
2
|
F= 0.4*(e - x-1.7)3-
|
12
|
F= 0.4*(e - x-1.7)
|
|
3
|
S=ln( +1)*x
|
13
|
S=ln( +1)*x
|
|
4
|
T=ex +cos( /2)
|
14
|
T=ex-2 +cos( /2)
|
|
5
|
K=log2(x+2)*
|
15
|
K=log2(x2)*
|
|
6
|
Y=3cos(x)* |x+2|3
|
16
|
Y=3cos(x-5)* |x|2
|
|
7
|
F= 0.4*(e - x-1-1.7)2-
|
17
|
F= 0.4*(cosx-1.7)2-
|
|
8
|
S=ln(|x-3|+1)*x
|
18
|
S=ln(|x-3|+1)/(x-2)
|
|
9
|
T=ex +cos(|x-3|/2)
|
19
|
T= cos(|x-3|/2)+ln(x-4)
|
|
10
|
20
|
K=log2(x+2)/ cos(x+3)
|
Лабораторное занятие 20
(1 час)
Тема: Работа со списками данных в Exсel
Цель занятия: изучить
работу со списками данных, произвести операции с данными
Задание:
1. Рассмотреть работу со
списками данных в Exсel
2. Создать базу данных (БД)
. Произвести операции с
данными БД: фильтрацию, сортировку
. Оформить отчет
Методические указания по
выполнению работы
Электронные таблицы Excel можно
использовать в качестве базы данных. В этом случае электронную таблицу
называют списком или базой данных Excel и
используют соответствующую терминологию: Строка списка - запись базы данных;
Столбец списка - поле базы данных.
Сортировка это
переупорядочивание строки в таблице по любому полю и выполняется командой Сортировка
и фильтр вкладки Главная с установкой необходимых параметров. Целью
сортировки является упорядочивание данных.
Для сортировки данных также используются
кнопка на панели инструментов. Для их использованием следует выделить столбец,
по которому необходимо сортировать записи.
Фильтрация данных
в списке - выбор данных по заданному критерию (условию). В отфильтрованном
списке выводятся на экран только те строки, которые содержат определенное
значение или отвечают определенным критериям, при этом другие строки
скрываются. Осуществляется эта операция с помощью команды Сортировка и
фильтр вкладки Главная.
Задания для самостоятельного
выполнения
Вариант 1. Создать
таблицу «Список работников предприятия» и скопировать ее на лист 2. Создать
список, произвести операции по сортировке данных, используя Автофильтр.
Вариант 2.
Создать таблицу «Формуляр читателей» и скопировать ее на лист 2. Создать
список, произвести операции по сортировке данных, используя расширенный фильтр.
Вариант 3. Создать
таблицу «Наименование хоз.товаров» и скопировать ее на лист 2. Создать список,
произвести операции по сортировке данных, используя операцию фильтрация.
Вариант 4. Создать
таблицу «Меню блюд» и скопировать ее на лист 2. Создать список, произвести
операции по сортировке данных, используя Автофильтр.
Вариант 5. Создать
таблицу «Библиотека» и скопировать ее на лист 2. Создать список, произвести
операции по сортировке данных, используя расширенный фильтр.
Вариант 6. Создать
таблицу «Итоги сессии» и скопировать ее на лист 2. Создать список, произвести
операции по сортировке данных, используя операции фильтрации.
Вариант 7. Создать
таблицу «Личная карточка работника» и скопировать ее на лист 2. Создать список,
произвести операции по сортировке данных, используя Автофильтр.
Вариант 8. Создать
таблицу «Каталог газет» и скопировать ее на лист 2. Создать список, произвести
операции по сортировке данных, используя расширенный фильтр.
Вариант 9. Создать
таблицу «Заявка на товар» и скопировать ее на лист 2. Создать список,
произвести операции по сортировке данных, используя операции фильтрации.
Вариант 10. Создать
таблицу «Амбулаторная карта» и скопировать ее на лист 2. Создать список,
произвести операции по сортировке данных, используя Автофильтр.
Вариант 11. Создать
таблицу «Книжный формуляр» и скопировать ее на лист 2. Создать список,
произвести операции по сортировке данных, используя расширенный фильтр.
Вариант 12. Создать
таблицу «Картотека сотрудников фирмы» и скопировать ее на лист 2. Создать
список, произвести операции по сортировке данных, используя Автофильтр.
Вариант 13. Создать
таблицу «Товарный ярлык» и скопировать ее на лист 2. Создать список, произвести
операции по сортировке данных, используя расширенный фильтр.
Вариант 14. Создать
таблицу «Заказ на литературу и периодику» и скопировать ее на лист 2. Создать
список, произвести операции по сортировке данных, используя операции
фильтрации.
Вариант 15. Создать
таблицу «Приходно-кассовый ордер» и скопировать ее на лист 2. Создать список,
произвести операции по сортировке данных, используя Автофильтр.
Вариант 16. Создать
таблицу «Заявка на покупку товара» и скопировать ее на лист 2. Создать список,
произвести операции по сортировке данных, используя расширенный фильтр.
Вариант 17. Создать
таблицу «Карточка учета участников спартакиады» и скопировать ее на лист 2.
Создать список, произвести операции по сортировке данных, используя Автофильтр.
Вариант 18. Создать
таблицу «Анкета опроса покупателей» и скопировать ее на лист 2. Создать список,
произвести операции по сортировке данных, используя расширенный фильтр.
Вариант 19. Создать
таблицу «Комплектующие устройства ПЭВМ» и скопировать ее на лист 2. Создать
список, произвести операции по сортировке данных, используя Автофильтр.
Вариант 20. Создать
таблицу «Заявка на участие в ярмарке» и скопировать ее на лист 2. Создать
список, произвести операции по сортировке данных, используя расширенный фильтр.
Лабораторное занятие 21
(1 час)
Тема: СУБД Access. Создание таблиц в Access»
Цель занятия: овладеть
приемами создания таблиц в базе данных с помощью СУБД Access и
ознокомиться с элементами Конструктора таблиц
Задание:
1. Подготовить ПЭВМ к работе и
загрузить ППП Access
2. Создать новую базу
данных с произвольным именем
. На основе формы
исходного документа создать две таблицы в базе данных
. Установить связи между
таблицами
. Произвести заполнение
созданных таблиц информацией
. Сохранить базу данных
на магнитном диске и завершить работу с пакетом Access
. Составить отчет
Теоретические сведения
Под базой данных принято понимать
объективную форму представления и организации совокупности данных (статей,
расчетов и так далее), систематизированных таким образом, чтобы эти данные
могли быть найдены и обработаны с помощью электронной вычислительной машины.
В базе данных вся информация собрана в виде
таблиц. Таблица для нас - это аналогия таблицы на бумаге и состоит из строк и
столбцов. Каждый столбец имеет имя, неповторяющееся в этой таблице. Строки
следуют в произвольном порядке, и не имеют номеров. Поиск строк производится не
по номерам, а по идентификаторам (ключам).
Для поиска и обработки информации служат
запросы, а готовый результат выводится в виде отчетов.
В программе Access 2007 имеется ряд наиболее
распространенных шаблонов баз данных. В новой терминологии такие шаблоны
названы предустановленными базами данных. Эти шаблоны вынесены на новое окно,
которое появляется при запуске программы Access 2007 и называется «Приступая к
работе». Мы не будем использовать указанные шаблоны, а создадим собственную
базу данных. Дружественный интерфейс Access 2007 позволяет делать это, не имея
специального образования по программированию.
Запуск Microsoft Access 2007 производится из
меню Пуск или с помощью ярлыка. Отобразится окно «Приступая к работе с
Microsoft Office Access». Разработчики программы предлагают нам готовые шаблоны
из Интернета, но мы выполним работу по созданию базы самостоятельно.
Для создания новой базы данных надо щелкнуть
мышью на иконке «Новая база данных».
Рисунок 21.1. Загрузочное окно MS Access
2007
Рисунок 21.2 Создание новой базы данных
В открывшемся поле имени файла введите имя
файла. При необходимости можете выбрать папку для размещения файла базы данных.
Создание таблиц
Нажмите кнопку Создать, приложение Access
создаст новую базу данных и откроет ее в режиме таблицы.
Рисунок 21.3. Создание таблицы в режиме
таблицы
В отличие от более ранних версий офисных
приложений фирма Microsoft в версии 2007 изменила интерфейс. На смену меню и
панелей инструментов пришли Ленты. Лента - это область в верхней части
окна, в которой можно выбирать команды. Для более быстрого восприятия смысла
команд каждая из них проиллюстрирована соответствующим значком.
Программа автоматически создала первый
столбец будущей таблицы, назвав его «Код». Этот код мы будем позже использовать
при создании связей между таблицами. Если вы щелкните мышью на поле со значком
«№», то станет активным поле «Тип данных» в котором отобразится слово
«Счетчик». Это означает, что программа будет автоматически нумеровать строки
нашей таблицы.
В новой версии Access появилась возможность
создавать таблицу, не задумываясь о формате данных, которые вы вводите в
соответствующий столбец. Программа автоматически отследит вводимую информацию и
предложит соответствующий тип данных и наиболее часто используемый формат
представления информации. При создании таблицы это наглядно видно.
Полный список типов данных можно просмотреть
в Конструкторе таблиц.
Ключевое поле - это
поле, делающее каждую запись в таблице уникальной. Для создания ключевого поля,
необходимо, находясь в Конструкторе таблицы, выбрать нужное поле и нажать на
кнопку Ключевое поле вкладки Конструктор.
Для создания связей между таблицами, надо
открыть схему данных, нажав на соответствующую кнопку вкладки Работа
с базами данных. После чего добавить в окне нужные таблицы и связать их по
соответствующим полям.
Задания для самостоятельного
выполнения
Используя предложенный ниже реквизитный
состав разработать структуру БД, которая будет содержать две таблицы, связанные
между собой одной из предложенных связей (на усмотрение студента):
один - к одному
один - ко многим
многие - ко многим
Вариант 1
Амбулаторная карта
Реквизитный состав:
· Фамилия,
имя, отчество
· Год
рождения
· Место
рождения
· Адрес
· Место
работы
· Диагноз
· Лечащий
врач
Вариант 2
Каталог газет
Реквизитный состав:
· Название
газеты
· Год
выпуска
· Тираж
выпуска
· Описание
газеты (новости, юмор, астропрогноз и пр.)
· Главный
редактор
· Цена
газеты
· Контактный
телефон
· Адрес
· Почтовый
адрес Email
Вариант 3
Заявка на приобретение товара
Реквизитный состав:
|
Наименование товара
|
Производство
|
Цена
|
Количество
|
Доставка по адресу
|
Выдано со склада
|
|
1
|
2
|
3
|
4
|
5
|
6
|
- Виза отправителя
Вариант 4
Книжный формуляр
Реквизитный состав:
|
Фамилия Автора
|
Имя автора
|
Отчество автора
|
Название книги
|
Издательство
|
Год издания
|
Цена
|
|
1
|
2
|
3
|
4
|
5
|
6
|
7
|
- Ф.И.О. материально ответственного лица
Вариант 5
Регистрационная карточка
Реквизитный состав:
|
Фамилия
|
Имя
|
Отчество
|
Дата рождения
|
Рост
|
Место проживания
|
Место работы (учебы)
|
Характер
|
Место рождения
|
|
1
|
2
|
3
|
4
|
5
|
6
|
7
|
8
|
9
|
Вариант 6
Бланк авиапассажира
Реквизитный состав:
|
Номер билета
|
Направление маршрута
|
Модель авиалайнера
|
№ места
|
Салон
|
Время вылета
|
Багаж (кг)
|
|
1
|
2
|
3
|
4
|
5
|
6
|
7
|
- Фамилия, имя, отчество
Вариант 7
Картотека сотрудников фирмы
Реквизитный состав:
|
Фамилия
|
Имя
|
Отчест во
|
Год Рождения
|
Семейное положение
|
Должность
|
Что закончил
|
Стаж работы
|
|
1
|
2
|
3
|
4
|
5
|
6
|
7
|
8
|
Вариант 8
Приходный-кассовый ордер
Реквизитный состав:
· Предприятие
· Номер
Приходно-кассового ордера
· Счет
· Сумма
(цифрой)
· От кого
принято
· Основание
· Сумма
(прописью)
· Подпись
главного бухгалтера
Вариант 9
Заказ на литературу и периодику
Реквизитный состав:
· Номер
читательского билета
· Фамилия,
имя, отчество (заказчика)
· Название
газеты
· Название
журнала
· Название
книги
· Год
выпуска газеты
· Номер
выпуска (журнала, газеты, книги)
· Год
выпуска (журнала, газеты, книги)
· Дата
заказа
Вариант 10
Счет-фактура
Реквизитный состав:
· Номер
документа
· Наименование
поставщика
· Наименование
покупателя
· Код
покупателя
· Код
товара
· Наименование
товара
· Единица
измерения
· Количество
Цена
Вариант 11
Товарный ярлык
Реквизитный состав:
· Предприятие-изготовитель
· Код
предприятия-изготовителя
· Наименование
товара
· Код
товара
· Единица
измерения
· Сорт
товара
· Ассортиментные
признаки (модель, размер, рост, цвет)
· Цена
Вариант 12
Комплектующие устройства ПЭВМ
Реквизитный состав:
· Системный
блок
· Цена
системного блока
· Монитор
· Цена
монитора
· Клавиатура
· Цена
клавиатуры
· Мышь
· Цена
мыши
· Принтер
· Цена
принтера
Вариант 13
Форма карточки расчетного счета
Реквизитный состав:
|
Фамилия
|
Имя
|
Отчество
|
Расчетный счет
|
Сумма на счете
|
Дата открытия счета
|
|
1
|
2
|
3
|
4
|
5
|
6
|
Вариант 14
Справочник промышленных
предприятий
Реквизитный состав:
|
Код Предприятия
|
Наименование предприятия
|
Адрес предприятия
|
Контактный телефон
|
Адрес по Email
|
Директор предприятия
|
|
1
|
2
|
3
|
4
|
5
|
6
|
Вариант 15
Заявка на покупку товара
Реквизитный состав:
|
Наименование товара
|
Модель
|
Цвет
|
Размер
|
Сорт
|
Цена
|
Изготовитель
|
Дата изготовления
|
|
1
|
2
|
3
|
4
|
5
|
6
|
7
|
8
|
Вариант 16
Карточка учета участников
спартакиады
Реквизитный состав:
· Название
команды или клуба
· Вид
спорта
· Наличие
в команде КМС, МС
· Количество
человек в команде
· Представителями
какой страны являются
· Ф.И.О.
тренера команды
· Дата
прибытия на спартакиаду
Вариант 17
Анкета опроса покупателей
Реквизитный состав:
· Наименование
требуемого для покупки товара
· Наименование
производителя
· Характеристики
товара (сорт, размер, фасон, цвет)
· Количество
· Цена
товара
· Рекомендации
к товару
Вариант 18
Декларация о доходах
Реквизитный состав:
· Дата
заполнения
· Регистрационный
номер
· Ф.И.О.
исполнителя
· Место
работы (учебы)
· Место
проживания (адрес)
· Размер
дохода по основному виду деятельности
· Размер
дохода от не основного вида деятельности
· Суммарный
годовой доход
· Номер
телефона
Вариант 19
Карточка учета закупки сельскохозяйственных продуктов
(с/х)
Реквизитный состав:
· Наименование
с/х продукта
· Код с/х
продукта
· Сорт
· Количество
закупленного с/х продукта (в т.)
· Дата
закупки с/х продукции
· Цена 1 т
· Наименование
закупочной организации
Вариант 20
Заявка на участие в ярмарке
Реквизитный состав:
· Название
фирмы
· Вид товара
· Объем
представляемого товара
· Цена
товара
· Размер
требуемой площади
· Вид
доставки
· Адрес
участника
· Контактный
телефон участника
· Сроки
прибытия участника
Лабораторное занятие 22
(1 час)
Тема: Разработка запросов в Access
Цель занятия: создать
запросы в СУБД Access.
Задание:
1. Загрузить ранее созданную
базу данных
2. Активизировать работу
Конструктора запросов и определить поля, включаемые в запрос
. Установить порядок
сортировки данных для выбранных полей
. Задать условия отбора
для запроса
. Сохранение созданного
запроса
. Создать запрос с
помощью Мастера запросов
Теоретические сведения
Когда требуется просмотреть, добавить,
изменить или удалить данные из базы данных, удобно использовать запросы.
С помощью запросов можно получить ответы на
очень специфические вопросы о данных, ответить на которые, просто посмотрев на
данные в таблице, было бы непросто. Запросы можно использовать для фильтрации
данных, выполнения расчетов на основе данных и отображения сводных данных. Кроме
того, запросы позволяют автоматизировать выполнение многих задач управления
данными и просматривать изменения в данных перед их использованием.
Запрос представляет
собой обращение к данным для получения информации и выполнения действий с
данными. Запрос можно использовать для получения ответа на простой вопрос,
выполнения расчетов, объединения данных из разных таблиц или даже добавления,
изменения или удаления данных в таблице. Запросы, используемые для извлечения
данных из таблицы или выполнения расчетов, называются запросами на выборку.
Запросы, используемые для добавления, изменения или удаления данных, называются
запросами на изменение.
Запросы можно также использовать для
включения данных в форму или отчет. В хорошо структурированной базе данных
сведения, которые требуется представить с использованием формы или отчета,
зачастую хранятся в разных таблицах. С помощью запроса можно собрать
необходимые данные перед проектированием формы или отчета.
MS Access 2007 предоставляет два варианта создания
запросов: с помощью Мастера или с помощью Конструктора. Оба
способа представлены во вкладке Создание.
Рассмотрим подробнее Конструктор
запросов (рисунок 22.1).
Рисунок 22.1 Конструктор запросов
В верхней части окна Конструктора
отображается таблица (или несколько таблиц, если запрос многотабличный) в том
виде, в каком таблицы отображаются в окне Схема данных (Relationship). Таблицы
- источники данных для запроса, мы будем называть базовыми таблицами запроса. В
нижней части окна находится бланк запроса - таблица, ячейки которой
используются для определения запроса. В бланке отображаются все столбцы,
включенные в результирующее множество запроса.
Иногда необходимо выполнить запрос, который
лишь немногим отличается от существующего запроса. Можно изменить исходный
запрос для использования новых условий, но если часто требуется запускать
различные варианты одного запроса, стоит воспользоваться запросом с
параметрами. При выполнении запроса с параметрами у пользователя запрашиваются значения
полей, которые затем используются для создания условий для запроса.
Задания для самостоятельного
выполнения
Разработать запросы для таблиц, созданных в
лабораторной работе №21.
Лабораторное занятие 23
(1 час)
Тема: Разработка форм и отчетов в Access
Цель занятия: создать
экранную форму, используя элементы управления, ознакомиться с их свойствами и
методами, создать отчет.
Задание:
1. Загрузить ранее созданную в Access базу данных
2. Создать форму, используя
Конструктор формы
. Расположите на экранной
форме элементы управления. Задайте свойства элементам управления
. Сохраните экранную
форму
. Сформировать отчет с
помощью Конструктора отчетов
. Спроектировать отчет,
используя Мастер отчетов
. Составить отчет по
работе
Теоретические сведения
Для удобства ввода информации в таблицы
применяются формы. В версии Access 2007 можно воспользоваться
заготовками форм, соответствующие кнопки расположены на ленте Создание.
Первая заготовка используется для создания формы, в которую можно будет вводить
информацию только по одной строке соответствующей таблицы за один раз.
Для того чтобы иметь возможность распечатать
данные, имеющиеся в базе данных, используются отчеты. На первом этапе
освоения программы Access целесообразно воспользоваться командой Мастер
отчетов расположенной на ленте Создать.
В процессе работы «Мастер отчетов» предложит
выбрать из списка доступные поля (рисунок 23.1), для чего можно воспользоваться
стрелками влево и вправо, выделяя нужную строку из списка курсором.
Рисунок 23.1 Первый шаг Мастера отчетов
На следующем шаге мы можем выбрать способ
сортировки информации в будущем отчете.
Рисунок 23.2 Второй шаг Мастера отчетов
Рисунок 23.3 Третий шаг Мастера отчетов
Далее выбираем макет и книжную ориентацию
бумаги.
Рисунок 23.4 Четвертый шаг Мастера отчетов
Следующий шаг «Мастера отчетов» предполагает
выбор стиля (т.е. внешнего вида будущего отчета).
Рисунок 23.5 Пятый шаг Мастера отчетов
На завершающем этапе вы должны выбрать
удобное для вас имя отчета и, либо просмотреть готовый отчет, либо перейти к
редактированию, выбрав команду «Изменить макет отчета».
Рисунок 23.6 Шестой шаг Мастера отчетов
Задания для самостоятельного
выполнения
Разработать формы и отчеты для таблиц,
созданных в лабораторной работе №21.
Лабораторное занятие 24
(1 час)
Тема: Работа с пакетом PowerPoint
Цель занятия: составить
презентацию в среде PowerPoint
Задание:
1. Изучить пакет PowerPoint
2. Разработать презентацию
согласно индивидуального задания
. Оформить отчет
Теоретические сведения
Microsoft PowerPoint (полное
название - Microsoft Office PowerPoint) - программа для создания и проведения
презентаций, являющаяся частью Microsoft Office и доступная в редакциях для
операционных систем Microsoft Windows и Mac OS.
Чтобы создать новую презентацию в Microsoft
PowerPoint 2007, выполните следующие действия.
1. Нажмите кнопку Microsoft Office , а
затем нажмите кнопку Создать.
2. В области Шаблоны нажмите кнопку
Новые и последние, а затем дважды щелкните элемент Новая презентация.
. На панели, содержащей вкладки
Структура и Слайды щелкните вкладку Структура.
. Создание структуры.
. Чтобы добавить цвет, форматирование
и соответствующий макет (Макет. Оформление элементов, таких как заголовки,
подзаголовки, списки, рисунки, таблицы, диаграммы, фигуры и видеофрагменты на
слайде.), используйте шаблон (Шаблон. Файл или набор файлов, в котором
содержатся сведения о теме, макете и других элементах готовой презентации.).
. Сохраните презентацию.
Стили фона - это
варианты его заливки, полученные из комбинаций цветов темы и насыщенности фона
в текущей теме (Тема. Сочетание цветов темы, шрифтов темы и эффектов темы. Тему
можно применить к файлу как единый элемент.) документа. При изменении тем
документа стили фона обновляются и отображают новые цвета и фон темы. Если
необходимо изменить только фон в презентации, нужно выбрать другой стиль фона.
При изменении тем документа изменяется не только фон - изменяются также набор
цветов, шрифты заголовков и тела текста, стили линий и заливок и эффекты тем
(Эффекты темы. Набор визуальных атрибутов, которые применяются к элементам
файла. Эффекты темы, шрифты темы и цвета темы составляют тему.).
Стили фона отображаются в виде эскизов в
коллекции «Стили фона». При наведении курсора на эскиз стиля фона можно
увидеть, как будет выглядеть стиль фона в презентации. Выбрав подходящий стиль,
щелкните, чтобы применить его.
Добавление стиля фона в
презентацию
1. Щелкните слайд или слайды, в которые
нужно добавить стиль фона.
2. Чтобы выбрать несколько слайдов, щелкните
первый, а затем, удерживая нажатой клавишу CTRL, щелкните другие слайды.
. На вкладке Дизайн в группе Фон
щелкните стрелку рядом с кнопкой Стили фона.
Рисунок 24.1 Вкладка Дизайн
. Щелкните правой кнопкой мыши необходимый
стиль фона, а затем выполните одно из следующих действий:
5. Чтобы применить стиль фона к
выбранным слайдам, выберите команду Применить к выделенным слайдам.
. Чтобы применить стиль фона ко всем
слайдам презентации, выберите команду Применить ко всем слайдам.
. Чтобы заменить стиль фона выбранных
слайдов и всех других слайдов презентации, которая использует тот же образец
слайдов, выберите команду Применить к соответствующим слайдам. Этот параметр
доступен только в случае, если презентация содержит множество образцов слайдов.
Совет. Для добавления коллекции стилей фона
на Панель быстрого доступа щелкните эскиз правой кнопкой мыши, а затем выберите
команду Добавить коллекцию на панель быстрого доступа.
Переходы между слайдами - это
эффекты анимации, вставляемые во время показа при смене слайдов. Скорость
эффекта перехода между слайдами можно контролировать. Можно также добавлять
звук при смене слайдов.
В приложении Microsoft Office PowerPoint
2007 предусмотрено множество различных типов переходов между слайдами. Ниже
перечислены некоторые из них.
Рисунок 24.2 Добавление переходов
1. Нет перехода
2. Жалюзи горизонтальные
. Жалюзи вертикальные
. Прямоугольник внутрь
. Прямоугольник наружу
. Шашки горизонтальные
. Шашки вертикальные
. Объединение по горизонтали
. Объединение по вертикали
Чтобы посмотреть другие эффекты смены
слайдов, в списке экспресс-стилей нажмите кнопку Дополнительно , как
показано на рисунке 24.2.
Добавление одинакового перехода
между слайдами ко всем слайдам презентации
1. В области, в которой содержатся вкладки
«Структура» и «Слайды», щелкните вкладку Слайды.
2. На вкладке Главная щелкните
эскиз слайда.
. На вкладке Анимация в группе
Переход к следующему слайду выберите эффект смены слайдов.
Чтобы посмотреть другие эффекты смены
слайдов, в списке экспресс-стилей нажмите кнопку Дополнительно .
4. Чтобы установить скорость смены
слайдов, в группе Переход к следующему слайду щелкните стрелку около
кнопки Скорость перехода, а затем выберите нужную скорость.
5. В группе Переход к следующему
слайду нажмите кнопку Применить ко всем.
Добавление разных переходов
между слайдами к слайдам презентации
1. В области, в которой содержатся вкладки
«Структура» и «Слайды», щелкните вкладку Слайды.
2. На вкладке Главная щелкните
эскиз слайда.
. На вкладке Анимация в группе
Переход к следующему слайду выберите эффект перехода, который нужно
применить для данного слайда.
Чтобы посмотреть другие эффекты смены
слайдов, в списке экспресс-стилей нажмите кнопку Дополнительно .
4. Чтобы установить скорость смены
слайдов, в группе Переход к следующему слайду щелкните стрелку около
кнопки Скорость перехода, а затем выберите нужную скорость.
5. Чтобы добавить другой переход к
другому слайду презентации, повторите шаги со 2-го по 4-й.
Добавление звука к смене слайдов
1. В области, в которой содержатся вкладки
«Структура» и «Слайды», щелкните вкладку Слайды.
2. На вкладке Главная щелкните
эскиз слайда.
. На вкладке Анимация в группе
Переход к следующему слайду щелкните стрелку рядом с кнопкой Скорость
перехода, а затем выполните одно из следующих действий.
§ Чтобы
добавить звук из списка, выберите нужный звук.
§ Чтобы
добавить звук, которого нет в списке, выберите пункт Другой звук и
укажите звуковой файл, который нужно добавить, а затем нажмите кнопку ОК.
4. Чтобы добавить звук к другому переходу
между слайдами, повторите шаг 2 и шаг 3.
Задание для самостоятельного
выполнения
Вариант 1. Подготовить
презентацию на тему «Моя профессия - мой выбор».
Вариант 2. Подготовить
презентацию-рекламу торгового центра «Абзал»
Вариант 3. Подготовить
презентацию-рекламу торговой марки Adidas.
Вариант 4. Подготовить
презентацию собственного проекта.
Вариант 5. Подготовить
презентацию на тему «Моя
Родина»
Вариант 6. Подготовить
презентацию на тему «Мой город».
Вариант 7. Подготовить
презентацию-рекламу торговой Coca-Cola.
Вариант 8. Подготовить
презентацию театра.
Вариант 9. Подготовить
презентацию о ДКГ.
Вариант 10. Подготовить
презентацию о КЭУК.
Вариант 11. Подготовить
презентацию-рекламу строительного магазина «Строймаркет».
Вариант 12. Подготовить
презентацию информационной компании.
Вариант 13. Подготовить
презентацию Супермаркета АЯН.
Вариант 14. Подготовить
презентацию конференции.
Вариант 15. Подготовить
презентацию драматического театра им. Станиславского.
Вариант 16. Подготовить
презентацию программного приложения.
Вариант 17. Подготовить
презентацию супермаркета Планета Электроники.
Вариант 18. Подготовить
презентацию строительного супермаркета Мастер.
Вариант 19. Подготовить
презентацию операционной системы.
Вариант 20. Подготовить
презентацию про интернет.
Лабораторное занятие 25
(1 час)
Тема: Локально-вычислительные сети
Цель занятия:
получить представление о компонентах локальной сети и усвоить преимущества
компьютерной сети
Задание:
1. Изучить необходимые
компоненты для поддержки локальной сети (клиенты, протоколы и т.д.)
2. Перенести созданный Вами
файл на другой компьютер по локальной сети
. Скопировать файл из
другой аудитории на Ваш компьютер
. Оформить отчет
Теоретические сведения
Появление и бурное развитие
микропроцессорной техники, в частности персональных компьютеров, привело к
созданию нового вида информационно-вычислительных сетей - локальных
вычислительных сетей.
Локальные вычислительные системы
(ЛВС) представляют собой совокупность технических и программных
средств в ограниченном пространстве в единую автоматизированную информационную
сеть, функционирующую с высокой производительностью на основе использования
высокоскоростных каналов связи.
Обычно локальные сети охватывают несколько
рядом стоящих зданий. Наиболее яркое воплощение преимуществ локальных сетей
нашло в автоматизированных рабочих местах специалистов. Они включают в себя
персональные компьютеры и необходимые для выполнения основных функций
специалистом внешних устройств.
ЛВС могут состоять из одного файл-сервера,
поддерживающего небольшое число рабочих станций, или из многих файл-серверов и
коммуникационных серверов, соединенных с сотнями рабочих станций. Некоторые
сети спроектированы для оказания сравнительно простых услуг, таких, как
совместное пользование прикладной программой и файлом и обеспечение доступа к
единственному принтеру. Другие сети обеспечивают связь с большими и мини-ЭВМ,
модемами коллективного пользования, разнообразными устройствами ввода/вывода
(графопостроителями, принтерами и т. д.) и устройствам памяти большой емкости
(диски типа WORM).
Файл-сервер является
ядром локальной сети. Этот компьютер (обычно высокопроизводительный
мини-компьютер) запускает операционную систему и управляет потоком данных,
передаваемых по сети. Отдельные рабочие станции и любые совместно используемые
периферийные устройства, такие, как принтеры, подсоединяются к файл-серверу.
Каждая рабочая станция представляет собой
обычный персональный компьютер, работающий под управлением собственной дисковой
операционной системы (как DOS или OS/2). Однако в отличие от автономного
персонального компьютера рабочая станция содержит плату сетевого интерфейса и
физически соединена кабелями с файлом-сервером. Кроме того, рабочая станция
запускает специальную программу, называемую оболочкой сети, которая позволяет
ей обмениваться информацией с файл-сервером, другими рабочими станциями и
прочими устройствами сети. Оболочка позволяет рабочей станции использовать
файлы и программы, хранящиеся на файл-сервере, так же легко, как и находящиеся
на ее собственных дисках.
Каждый компьютер рабочей станции работает
под управлением своей собственной операционной системы. Чтобы включить каждую
рабочую станцию в состав сети, оболочка сетевой операционной системы
загружается операционной системы компьютера.
Оболочка сохраняет большую часть команд и
функций операционной системы, позволяя рабочей станции в процессе работы
выглядеть как обычно. Оболочка просто добавляет локальной операционной системе
больше функций и придает ей гибкость.Термин «топология сети» относится к
пути, по которому данные перемещаются по сети. Существуют три основных вида
топологий общая шина», «звезда» и «кольцо». Топология «общая шина»
предполагает использование одного кабеля, к которому подключаются все
компьютеры сети. В случае «общая шина» кабель используется совместно всеми
станциями по очереди. Принимаются специальные меры для того, чтобы при работе с
общим кабелем компьютеры не мешали друг другу передавать и принимать данные. В
топологии «общая шина» все сообщения, посылаемые отдельными компьютерами,
подключены к сети. Надежность здесь выше, так как выход из строя отдельных компьютеров
не нарушит работоспособности сети в целом. Поиск неисправностей в кабеле
затруднен. Кроме того, так как используется только один кабель, в случае обрыва
нарушается работа всей сети.
Рисунок. 25.1 Шинная (линейная) топология
сети
На рисунок показаны компьютеры, соединенные звездой.
В этом случае каждый компьютер через специальный сетевой адаптер подключается
отдельным кабелем к объединяющему устройству.
При необходимости можно объединять вместе
несколько сетей с топологией «звезда», при этом получаются разветвленные
конфигурации сети. С точки зрения надежности эта топология не является
наилучшим решением, так как выход из строя центрального узла приведет к
остановке всей сети. Однако при использовании топологии «звезда» легче найти
неисправность в кабельной сети.
Рисунок. 25.2 Топология сети «Звезда»
Используется также топология «кольцо».
В этом случае данные передаются от одного компьютера к другому как бы по
эстафете. Если компьютер получит данные, предназначенные для другого
компьютера, он передает их дальше по кольцу. Если данные предназначены для
получившего их компьютера, они дальше не передаются.
Рисунок. 25.3 Кольцевая топология сети
Локальная сеть может использовать одну из
перечисленных топологий. Это зависит от количества объединяемых компьютеров, их
взаимного расположения и других условий. Можно также объединить несколько
локальных сетей, выполненных с использованием разных топологий, в единую
локальную сеть. Может, например, древовидная топология.
Задания для самостоятельного
выполнения
Вариант 1. Сделайте
доступ к своей папке с помощью пароля для определения ее в локальной сети.
Вариант 2. Выполните
поиск файлов *.doc на соседнем компьютере.
Вариант 3. Создайте
новую папку на другом компьютере.
Вариант 4. Создайте
текстовый файл на соседнем компьютере в C:\Мои документы.
Вариант 5. Выполните
копирование файлов из соседнего компьютера в свою папку.
Вариант 6. Создайте
файл на своем компьютере и пошлите его по на другой компьютер.
Вариант 7. Создайте
папку на другом компьютере в C:\Мои документы \ и затем удалите ее в корзину.
Вариант 8. Создайте
документ Word на другом компьютере и измените его свойства.
Вариант 9. Сохраните
созданный Вами файл на другом компьютере в C:\Мои документы.
Вариант 10. Подключите
сетевой диск и выполните поиск файла NC.MNU
Вариант 11. Отредактируйте
один из файлов соседнего компьютера в C:\Мои документы
Вариант 12. Создайте
электронную таблицу на другом компьютере.
Вариант 13. Запустите
Norton Commander.
Вариант 14. Создайте
текстовый файл и сохраните его на соседнем компьютере в папке C:\Мои документы
\.
Вариант 15. Установите
сетевой принтер для вашего компьютера.
Вариант 16. Создайте
графический файл на соседнем компьютере в C:\Мои документы.
Вариант 17. Выполните
поиск файлов *.xls на соседнем компьютере.
Вариант 18. Создайте
файл, сохраненный в электронной таблице MS Excel на соседнем компьютере в
C:\Мои документы\
Вариант 19. Выполните
поиск файлов *.txt на соседнем компьютере.
Вариант 20. Создайте
папку «Информатика» на другом компьютере.
Лабораторное занятие 26
(1 час)
Тема: Глобальная сеть Internet
Цель занятия: работа
с Интернет-технологиями
Задание:
1. Освоить экранное меню
броузера «Internet Explorer»
2. Осуществить поиск
информации в Интернете
. Выполнить копирование
найденной информации на свой компьютер
4. Оформить отчет
Теоретические сведения
Для запуска броузера Internet Explorer в
системном меню «Рабочего стола» нажать иконку или в
войти Пуск - Программы - Internet Explorer.
После загрузки окна ознакомьтесь с экранным
окном и меню Internet Explorer. Затем в строке АДРЕС загрузите
нужную поисковую систему или другой адрес информационно-справочных систем в
Интернете (например, www.rambler.ru, www.list.ru, www.yandex.ru). После
загрузки страницы выберите нужную ссылку, если нужная информация помещена в
ссылке. Ссылки в Интернете предоставлены в виде выделенного синим цветом
текста. При указании мышью на ссылку появляется знак Руки I, после чего вы можете загрузить страницу ссылки нажатием
мыши. Также вы может осуществлять поиск при помощи строки поиска. Для этого
задайте тему нужной Вам информации.
Например: Найти:
Затем, после нахождения нужной информации,
выделите ее при помощи мыши или войти в меню Правка-Выделить все.
Для копирования информации на компьютер, дискету или текстовый редактор
необходимо произвести следующие действия:
· выделить
необходимую информацию;
· войти в
меню Правка, выбрать команду Копировать;
· войти в
нужную папку (Диск А: или документ Word);
· в меню Правка
выбрать команду Вставить.
После завершения сеанса работы в Интернете
закройте окно броузера Internet Explorer нажатием клавиш Alt+F4.
Локальные сети обладают множеством
достоинств, однако они имеют и физические ограничения размеров. Так как одна
ЛВС не может решить всех проблем бизнеса, необходима связь между удаленными
ЛВС.
Благодаря таким компонентам, как мосты и
маршрутизаторы, а также услугам коммуникационных компаний, ЛВС может быть
расширена от локального масштаба до сети, которая охватывает целые области,
страны и даже всю планету. Такую сеть называют глобальной вычислительной
сетью (ГВС).
Для конечного пользователя ГВС выглядит так
же, как и локальная сеть. Фактически, если глобальная сеть должным образом
реализована, не будет никаких видимых различий между ней и локальной сетью.
Большинство глобальных сетей представляет
собой комбинацию локальных сетей, соединенных коммуникационными каналами. Они
называются каналами связи. В качестве каналов связи ГВС могут выступать:
· сети с
коммутацией пакетов;
· оптоволоконный
кабель;
· микроволновые
передатчики;
· спутниковые
каналы;
· системы
кабельного телевидения на коаксиальном кабеле.
Приобретение, реализация и самостоятельное
обслуживание каналов связи ГВС, так же как и глобальных телефонных сетей, -
слишком сложная задача для большинства частных компаний, к тому же требующая
огромных финансовых вложений. Поэтому обычно эти компании арендуют каналы у
поставщиков коммуникационных услуг.
Для связи между локальными сетями может
использоваться одна из следующих технологий передачи данных:
· аналоговая;
· цифровая;
· коммутация
пакетов.
Каждая из этих технологий будет представлена
на этом занятии.
Аналоговая связь
Всемирная сеть, которую использует Ваш
телефон и которая может быть доступна Вашим компьютерам, называется
общедоступной коммутируемой телефонной сетью (PSTN). В вычислительной среде ее
можно рассматривать как один большой канал связи ГВС (для передачи речи PSTN
предлагает коммутируемые телефонные линии).
Коммутируемые линии.
Изначально PSTN была создана для передачи
речи, поэтому она обладает низкой скоростью, а модемы, которые необходимы для
связи по коммутируемым аналоговым линиям, также не увеличивают скорость. Поскольку
PSTN-сеть с коммутацией каналов, качество соединения неустойчиво. Каждый сеанс
связи полностью зависит от качества каналов, скоммутированных для этого
конкретного сеанса. На длинных расстояниях, например между странами, качество
каналов может резко меняться от сеанса к сеансу.
Рисунок. 26.1 Соединение двух компьютеров,
использующих модемы, по аналоговой телефонной линии
Поставщики телефонных услуг предлагают
телефонные линии различных типов и качества
|
Тип линии
|
Описание
|
|
1 2 3 4 5 6 7 8 9 10
|
Передача речи (основной тип)
Передача речи с некоторым контролем качества Передача речи/радио с
подавлением помех Передача данных со скоростью до 1200 бит/с Передача данных
(основной тип) Передача речи и данных по магистральным линиям Передача речи и
данных по частным линиям Передача речи и данных по магистралям между
компьютерами Передача речи и видео Ретрансляция приложений
|
В отличие от коммутируемых линий, которые
нужно организовывать для каждого сеанса, выделенные (или арендуемые) аналоговые
линии обеспечивают готовый к немедленному использованию коммуникационный канал.
Арендуемая телефонная линия быстрее и надежнее, чем коммутируемое соединение.
Правда, она несколько дороже, так как коммуникационная компания выделяет ресурсы
этому каналу вне зависимости от того, работает линия или нет. Чтобы улучшить
качество связи, коммуникационные компании, кроме выделенных линий, используют
подавление помех (line conditioning). Существуют различные типы подавления,
которые обозначаются следующим образом:
Выбор линии
Выбор линии зависит от нескольких факторов:
· времени
использования линии;
· стоимости
услуг;
· возможности
получить более высокую или более устойчивую скорость на линии с подавлением
помех;
· необходимости
круглосуточного непрерывного соединения.
Если канал будет работать редко, подойдут и
коммутируемые линии. Если надежная связь нужна в течение месяцев, качество
коммутируемой линии Вас уже не устроит.
В некоторых случаях аналоговые линии
обеспечивают приемлемое качество связи. Однако, если обмен данными с ГВС
достаточно интенсивен, временные затраты на их передачу становятся столь
большими, что аналоговая связь выглядит неэффективной и чересчур дорогой.
Организации, которым необходим более быстрый
и надежный по сравнению с аналоговыми линиями метод передачи данных, могут
обратиться к линиям цифровой службы передачи данных (DDS). DDS
обеспечивает синхронное соединение «точка-точка» на скоростях 2,4; 4,8; 9,6 или
56 Кбит/с. Цифровые каналы «точка-точка» - это выделенные линии, которые
предоставляются некоторыми телекоммуникационными компаниями. Коммуникационная
компания гарантирует полнодуплексную полосу пропускания при постоянном
соединении двух точек.
Основная причина популярности цифровых линий
в том, что они обеспечивают практически безошибочную (на 99 процентов) передачу
данных. Цифровые линии доступны в различных формах, включая DDS, Т1, ТЗ, Т4 и
Switched 56.
Так как служба DDS использует цифровую
связь, она не нуждается в модемах. Данные от моста или маршрутизатора DDS передает
через устройство, которое называется устройством обслуживания
канала/устройством обработки данных (CSU/DSU). Оно преобразует стандартные
цифровые сигналы, генерируемые компьютером, в биполярные цифровые сигналы,
применяемые для синхронной связи. Это устройство содержит также электронные
схемы для защиты сети поставщика услуг DDS.
Рисунок 22.2
Интернет (Internet) - это
всемирное объединение сетей, шлюзов, серверов и компьютеров, использующее для
связи единый набор протоколов.
Интернет предоставляет глобальный доступ к
информации и ресурсам. Не покидая своего дома или офиса, Вы можете посетить
Ирландию, Австралию или любую другую страну. В Интернете существуют огромные
хранилища информации, легко доступные из университетов, правительственных и
военных организаций или библиотек.
Интернет возник из проекта Министерства
обороны США, который назывался ARPANET (Advanced Research Projects
Agency Network). Этот проект был разработан как тест для сети с коммутацией
пакетов. В ARPANET использовался протокол TCP/IP, который продолжает
применяться в Интернете и сегодня.
За последние несколько лет исследовательский
интерес к Интернету сменился коммерческим. В бизнесе и просто в повседневной
жизни к Интернету ежемесячно обращаются тысячи новых пользователей. Люди
осваивают его ресурсы, а компании находят новые пути для рекламы и продажи
своей продукции. Став администратором сети, Вы также будете получать через
Интернет информацию о сетевых продуктах, технологиях, инструментарии, о способах
решения проблем. Вы найдете здесь самые свежие новости из политической и
спортивной жизни, информацию о погоде и состоянии фондового рынка. Вы получите
доступ к почте Интернета, к деловым сообщениям, каталогам и форумам,
охватывающим все темы, какие Вы только можете себе представить.
Задания для самостоятельного
выполнения
Вариант 1. Загрузите
поисковую систему Rambler и выполните поиск рефератов
Вариант 2. Найдите
сайты о городе Караганда
Вариант 3. Произведите
копирование найденной информации на компьютер
Вариант 4. В сайте
Yandex.ru загрузите ссылку о компьютерных технологиях и скопируйте текст в
текстовый редактор Word
Вариант 5. В сайте
Rambler.ru загрузите ссылку о компьютерных технологиях и скопируйте текст в
текстовый редактор Word
Вариант 6. Произведите
поиск рефератов по экономике в строке поиска в информационно-поисковой системе
Rambler
Вариант 7. Выполните
поиск и копирование новостей в системе List.ru
Вариант 8. Выполните
копирование только рисунков из сайтов List.ru.
Вариант 9. Выполните
поиск информации «О налогообложении в РК» в List.ru при помощи строки поиска
Вариант 10. Зарегистрируйтесь
в электронной почте на сервере www.Mail2000.ru и пошлите письмо и сохраните
(или отправьте) письмо на сервере
Вариант 11. Выполните
просмотр писем на Вашем почтовом сервере. Если у Вас нет почтового адреса
выполните регистрацию на почтовом сервере www.chat.ru
Вариант 12. Найдите
при помощи поисковых систем поздравления и открытки к Юбилеям. Сохраните
найденные данные на дискету
Вариант 13. Выполните
поиск информации о специальности «Информационные системы». Сохраните данные в
папке с:\Мои документы\
Вариант 14. Выполните
поиск информации в поисковой системе www.rambler.ru по межбанковским системам.
Полученные данные сохраните в текстовом документе Word, в папке с:\Мои
документы\
Вариант 15. Произведите
поиск информации по теме «Защита информации в Интернете». Данные сохраните на
дискете в формате текстового редактора WordPad
Вариант 16. Загрузите
поисковую систему Aport и выполните поиск рефератов
Вариант 17. Найдите
сайты о городе Астана
Вариант 18. Произведите
копирование найденной информации на рабочий стол
Вариант 19. В сайте
Yandex.ru загрузите ссылку об информационных системах и скопируйте текст в
текстовый редактор Word
Вариант 20. В сайте
Rambler.ru загрузите ссылку о современных периферийных устройствах и скопируйте
текст в текстовый редактор Word.
Лабораторное занятие 27
(1 час)
Тема 6 Графические системы
Цель занятия: изучить
графические системы
Задание:
1. Ознакомиться с цветовыми моделями:
rgb, hsb, cmyk
2. Рассмотреть системы
растровой и векторной графики
. Дать характеристику
устройствам вывода видеоинформации
. Изучить графические
коммуникации
. Составить отчет
Теоретические сведения
Как вы уже знаете, любая информация,
хранящаяся в файле, - это последовательность байт. Каждый байт может принимать
значение от 0 до 255 (28-1). Способ записи информации с помощью
последовательности байт и называют форматом файла. То есть, графический
формат - это способ записи графической информации.
Способ представления изображения оказывает
влияние на возможности его редактирования, печати, на объем занимаемой памяти.
Векторный формат
Существуют два основных способа
кодирования графической информации: векторный и растровый. При векторном,
на котором мы сейчас не будем подробно останавливаться, рисунок представляется
в виде комбинации простых геометрических фигур -- точек, отрезков прямых и
кривых, окружностей, прямоугольников и т. п. При этом для полного описания
рисунка необходимо знать вид и базовые координаты каждой фигуры, например,
координаты двух концов отрезка, координаты центра и диаметр окружности и т. д.
Этот способ кодирования идеально подходит для рисунков, которые легко
представить в виде комбинации простейших фигур, например, для технических
чертежей.
Растровый формат
Растровый формат характеризуется
тем, что все изображение по вертикали и горизонтали разбивается на достаточно
мелкие прямоугольники -- так называемые элементы изображения, или пикселы
(от английского pixel -- picture element).
В файле, содержащем растровую графику,
хранится информация о цвете каждого пиксела данного изображения. Чем меньше
прямоугольники, на которые разбивается изображение, тем больше разрешение (resolution),
то есть, тем более мелкие детали можно закодировать в таком графическом файле.
Размер (size) изображения,
хранящегося в файле, задается в виде числа пикселов по горизонтали (width)
и вертикали (height). Для примера, оптимальное разрешение 15-дюймового
монитора, как правило, составляет 1024x768.
Глубина цвета
Кроме размера изображения,
важной является информация о количестве цветов, закодированных в файле. Цвет
каждого пиксела кодируется определенным числом бит (bit), то есть
элементарных единиц информации, с которыми может иметь дело компьютер. Каждый
бит может принимать два значения -- 1 или 0. В зависимости от того, сколько бит
отведено для цвета каждого пиксела, возможно кодирование различного числа
цветов. Нетрудно сообразить, что если для кодировки отвести лишь один бит, то
каждый пиксел может быть либо белым (значение 1), либо черным (значение 0).
Такое изображение называют монохромным (monochrome).
Далее, если для кодировки отвести четыре
бита, то можно закодировать 24=16 различных цветов, отвечающих
комбинациям бит от 0000 до 1111. Если отвести 8 бит - то такой рисунок может
содержать 28=256 различных цветов (от 00000000 до 11111111), 16 бит
- 216=65 536 различных цветов (так называемый High Color). И,
наконец, если отвести 24 бита, то потенциально рисунок может содержать 224=16
777 216 различных цветов и оттенков - вполне достаточно даже для самого
взыскательного художника! В последнем случае кодировка называется 24-bit True
Color. Следует обратить внимание на слово "потенциально": даже
если в файле и отводится 24 бита на каждый пиксел, это еще не означает, что вы
действительно сможете насладиться такой богатой палитрой - ведь технические
возможности мониторов ограничены.
RGB-модель
Способ разделения цвета на
составляющие компоненты называется Цветовой моделью. В компьютерной
графике применяются три цветовые модели: RGB, CMYK и HSB.
Рисунок 27.1 Цветовая модель RGB
Наиболее распространенным способом
кодирования цвета является модель RGB. При этом способе кодирования
любой цвет представляется в виде комбинации трех цветов: красного (Red),
зеленого (Green) и синего (Blue), взятых с разной интенсивностью.
Интенсивность каждого из трех цветов - это один байт (т. е. число в диапазоне
от 0 до 255), который хорошо представляется двумя 16-ричными цифрами (числом от
00 до FF). Таким образом, цвет удобно записывать тремя парами 16-ричных цифр,
как это принято, например, в HTML-документах.
Пример. В языке
гипертекстовой разметки документов HTML цвета можно задавать так: черный -
000000, белый - FFFFFF, желтый - FFFF00 и т. д.; чтобы получить более темный
желтый цвет, надо одинаково уменьшить интенсивности красного и зеленого -
A7A700.
Чем больше значение байта цветовой
составляющей, тем ярче этот цвет. При наложении одной составляющей на другую
яркость суммарного цвета также увеличивается.
Цветовая модель CMYK
Цветовая модель CMYK
соответствует рисованию красками на бумажном листе и используется при работе с
отраженным цветом, т. е. для подготовки печатных документов.
Рисунок 27.1. Цветовая модель CMYK
Цветовыми составляющими этой модели являются
цвета: голубой (Cyan), лиловый (Magenta), желтый (Yellow) и черный (Black). Эти
цвета получаются в результате вычитания основных цветов модели RGB из
белого цвета. Черный цвет задается отдельно. Увеличение количества краски
приводит к уменьшению яркости цвета.
Цветовая модель HSB
Системы цветов RGB и CMYK
связаны с ограничениями, накладываемыми аппаратным обеспечением (монитор
компьютера в случае RGB и типографские краски в случае CMYK).
Цветовая модель HSB наиболее удобна
для человека, т. к. она хорошо согласуется с моделью восприятия цвета
человеком. Компонентами модели HSB являются:
· тон
(Hue);
· насыщенность
(Saturation);
· яркость
цвета (Brightness).
Тон - это
конкретный оттенок цвета. Насыщенность характеризует его интенсивность
или чистоту. Яркость же зависит от примеси черной краски, добавленной к
данному цвету.
Значение цвета выбирается как вектор,
выходящий из центра окружности. Точка в центре соответствует белому цвету, а
точки по границе окружности - чистым цветам. Направление вектора определяет
цветовой оттенок и задается в угловых градусах. Длина вектора определяет
насыщенность цвета. Яркость цвета задают на отдельной оси.
Задания для самостоятельного
выполнения
Подготовить вопросы для команды-соперника
Лабораторное занятие 28
(1 час)
Тема: Работа с графическими приложениями
Цель занятия: изучить
принципы работы с графическими редакторами
Задание:
1. Изучить графические
программы. Дать их краткую характеристику.
2. Ознакомиться
с интерфейсом Paint
. Освоить принципы работы
в графическом редакторе Paint
. Создать графический
документ в Paint
. Составить отчет
Теоретические сведения
На сегодняшний день создано и активно
используется огромное количество различных графических пакетов. Они
предоставляют пользователю самый разнообразный спектр возможностей: от
построения простейших схем до имитации кисти профессионального живописца. Все
эти программы можно разделить на две большие группы: редакторы растровой и
редакторы векторной графики.
Круг, линия, вектор - на эти примитивные
составляющие можно разбить любой сложный графический объект и затем хранить и
обрабатывать его путем изменения описаний этих составляющих - при таком подходе
изображение называется векторным. Если изображение описывается как совокупность
точек и не важно, какая фигура при этом получается, оно называется растровым.
К документам растровой графики относятся
фотографии, рисунки от руки, иллюстрации книг и т. п. Растровая графика состоит
как бы из точек, поэтому она еще называется точечная. Чем меньше точки, тем
более четким и качественным выглядит изображение. Отсюда первая проблема: чтобы
хранить сведения о каждой точке: ее месте, цвете, требуется очень много места.
Вторая проблема связана с тем, что очень трудно автоматизировать обработку
таких изображений: если нужно к примеру, изменить цвет волос, то команда будет
работать для всех указанных точек изображения, а попробуй это сделать, если
волосы развиваются по ветру их и не видно толком. Третья проблема связана с
заметным снижением качества изображения при изменении его размеров. При
увеличении появляется зернистость, а при уменьшении теряются мелкие детали и
уменьшается четкость.
Примерами векторной графики можно считать
художественный текст, логотип, декоративный геометрический орнамент и т. д. Как
правило, это изображения, состоящие из конечного набора элементов - объектов.
Отсюда второе название - объектная графика. Недостатками векторных изображений
является их относительная формальность, сухость и недостаточная
индивидуальность. Зато такие изображения можно легко масштабировать и качество
при этом не теряется, быстро редактировать и при этом для их хранения не нужно
так много места, т. к. запоминается не точка, а объект, состоящий из множества
точек.является простейшим однооконным графическим редактором, который позволяет
создавать и редактировать растровые изображения. Для начала работы необходимо
запустить это приложение - Пуск - Программы -Стандартные - Paint.
Окно этой программы содержит новые элементы:
панель инструментов, строку состояния и палитру.
Панель инструментов - это
набор инструментов, представленных значками-кнопками, которые расположены в
ряд. Панель для удобства работы можно переместить, для этого достаточно указать
на нее в любом месте, кроме непосредственно кнопок, и перетащить в нужное
место. Каждый значок-кнопка служит для выполнения определенной команды.
Изображение на кнопке отражает назначение команды. Например, кнопка с
изображением лупы позволяет менять масштаб изображения, а кнопка зеленого цвета
включает зеленый цвет. Для того, чтобы отразить панель инструментов, строку
состояния и палитру необходимо включить их в меню Вид.
Палитра предназначена
для выбора цвета, при этом можно выбрать два цвета один, основной выбирается
левой, другой, дополнительный, правой кнопкой мыши однократным щелчком по
соответствующей кнопке палитры. При этом соответственная кнопка используется
для рисования нужным цветом.
Порядок работы с инструментами следующий
включите «инструмент», для чего щелкните на соответствующую кнопку, после чего
указатель мыши обычно изменяет свою форму, которая условно соответствует
включенному инструменту. Затем выполните само действие, для этого укажите мышью
в требуемом месте на рисунке, нажмите левую кнопку (или правую, в зависимости
от требуемого цвета) и, не отпуская ее, выполняйте требуемые передвижения.
Например, если нужно стереть изображение, щелкните на кнопку Ластик укажите
курсором на изображение и, нажав левую кнопку мыши, передвигайте ею, пока не
уберете все лишнее на рисунке Если кнопка как бы "вдавлена" - она
включена, если кнопка блеклого цвета - она не доступна Если предполагаемое
действие относится только к части рисунка, "-" предварительно следует
выделить или указать соответствующим инструментом (две верхние кнопки на панели
инструментов). Таков порядок работы с инструментами практически в любой
программе. Назначение кнопок панели инструментов в Paint (сверху вниз, слева
направо)
• выделяет фрагменты произвольной формы,
• выделяет фрагменты прямоугольной формы,
• стирает изображение или выбранный цвет
ластиком различной формы и размера,
• закрашивает замкнутые области выбранным
цветом цвет заливки выбирается на палитре левой кнопкой мыши,
• выбирает требуемый цвет из уже имеющихся
на рисунке,
• изменяет масштаб рисунка или выбранной
части изображения,
• рисует произвольные линии карандашом,
• рисует произвольные линии кистью различной
толщины выберите для этого форму кисти в дополнительном окошке под панелью
инструментов,
• то же самое, только распылителем, скорость
движения мыши определяет интенсивность струи,
• нанесение на рисунок надписей, при этом
можно выбрать шрифт, начертание, размер в дополнительном диалоговом окошке,
которое появляется как только выбран этот инструмент,
• рисует прямые линии различной толщины -
выберите толщину линии в дополнительном окошке под панелью инструментов, если
удерживать при этом [SHIFT] , то линии будут либо горизонтальными, либо вертикальными,
либо под углом 45 °,
• рисует кривые различной толщины, нажмите
кнопку мыши в начальной точке кривой, а отпустите в конечной, а затем можно в
два приема задать требуемую кривизну, потянув за определенный участок
получившейся кривой - выберите толщину линии в дополнительном окошке под
панелью инструментов до того, как станете задавать кривизну, если щелкнуть
мышкой не передвигая указателя мышки, то получится петля с общей точкой начала
и конца,
• рисует прямоугольники в виде контура без
заливки, с заливкой, без контура одной заливкой - выберите для этого нужный
вариант в дополнительном окошке под панелью инструментов, укажите мышью в
верхнем левом углу прямоугольника, не отпуская кнопки нарисуйте воображаемую
диагональ прямоугольника и теперь отпустите кнопку если при этом удерживать
нажатой [SHIFT] то получится квадрат.
МЕНЮ
Команды, содержащиеся в меню сгруппированы в
зависимости от назначения и размещены под заголовками
Файл -
позволяет создавать, открывать, сохранять, просматривать графический документ,
отправить его на печать и выйти из программы, кроме этого можно задать свои
параметры размеров, полей и ориентацию бумаги.
Правка -
отменяет последнее действие; позволяет повторить последнее действие, вырезать
выделенный участок из рисунка, при этом он помещается во временный буфер, где и
будет там хранится, пока не будет вырезано или скопировано туда что-то другое;
скопировать выделенный участок, оставив выделенное на месте; вставить
содержимое буфера, которое появляется сначала в верхнем левом углу рисунка,
откуда его можно сразу переместить в нужное место, выделить весь рисунок.
Вид -
включение и отключение набора инструментов, палитры, строки состояния, панели
атрибутов текста, просмотр рисунка без окна программы. Рисунок - позволяет
отразить, развернуть, растянуть, наклонить, обратить цвета указанного фрагмента
или всего рисунка, а также включает опцию непрозрачного фона, при которой в
выделенном фрагменте при копировании помещается не только линии рисунка, но и
фон бумаги.
Палитра -
открывает диалоговое окно изменения палитры и введения дополнительного цвета.
Справка -
позволяет получить требуемую справочную информацию по работе с программой.
По окончании работы необходимо сохранить
документ: Файл - Сохранить как. После этого можно завершить работу; Файл
- Выход или просто закрыть окно программы.
Строка состояния
В меню Вид имеется команда Строка
состояния, которая включает и отключает элемент окна - строку состояния.
Она располагается обычно в нижней части окна программы и содержит сведения о
выполняемом в данный момент действии, советы и рекомендации, а также основные
параметры и режимы выполняемого действия, например, координаты курсора или
текущие размеры рисуемого объекта.
Задания для самостоятельного
выполнения
Вариант 1. Изобразить
в графическом редакторе Paint фасад Гипер - маркета.
Вариант 2. Изобразить
в графическом редакторе Paint фасад собственного проекта.
Вариант 3. Изобразить
в графическом редакторе Paint фасад Областного Акимата.
Вариант 4. Создать
в графическом редакторе Paint открытку.
Вариант 5. Создать
в графическом редакторе Paint рекламу торговой марки CocaCola.
Вариант 6. Изобразить
в графическом редакторе Paint фасад ЦУМа.
Вариант 8. Изобразить
в графическом редакторе Paint фасад супер- маркета Абзал.
Вариант 9. Изобразить
в графическом редакторе Paint фасад ДКГ.
Вариант 10. Создать
в графическом редакторе Paint логотип Home-bank.
Вариант 11. Изобразить
в графическом редакторе Paint фасад рынка Алтын-Арба.
Вариант 12. Изобразить
в графическом редакторе Paint фасад КЭУ.
Вариант 13. Изобразить
в графическом редакторе Paint фасад Супермаркета АЯН.
Вариант 14. Создать
в графическом редакторе Paint картинку с домашним цветком.
Вариант 15. Изобразить
в графическом редакторе Paint фасад драматического театра им. Станиславского.
Вариант 16 Создать
в графическом редакторе Paint рекламу автосалона
Вариант 17. Изобразить
в графическом редакторе Paint фасад супермаркета Планета Электроники.
Вариант 18. Изобразить
в графическом редакторе Paint фасад строительного супермаркета Мастер.
Вариант 19. Изобразить
в графическом редакторе Paint фасад коммунального рынка, расположенного на
рынке Шығыс.
Вариант 20. Изобразить
в графическом редакторе Paint фасад Цирка.
Лабораторное занятие 29
(1 час)
Тема: Работа в среде графической программы
Цель занятия: изучить
принципы работы с графической программой
Задание:
1. Рассмотреть работу в среде
одной из графических программы
2. Создать графический
документ
. Оформить отчет
Теоретические сведения
В векторном формате изображение
задается как совокупность отдельных объектов, описанных математически
(например, как векторы на плоскости), а в растровом - по точкам, как мозаика.
Чтобы лучше понять разницу, можно привести
пример, как может быть описан один и тот же отрезок прямой:
· в
векторном формате - заданы координаты начала и конца, цвет и толщина;
· в
растровом формате - заданы координаты каждой точки, входящей в этот отрезок, и
ее цвет.
Векторный формат более компактный, но он
совершенно не пригоден для хранения аналоговых изображений, например
фотографий. В этом формате задавать их математически было бы очень громоздко,
поэтому гораздо проще использовать представление аналоговой графики в растровом
виде. А вот рисунки и чертежи гораздо удобнее и практичнее делать именно в
векторном виде. Его основными достоинствами являются следующие параметры:
· изменение
масштаба без потери качества и практически без увеличения размеров исходного
файла;
· огромная
точность (до сотой доли микрона);
· небольшой
размер файла по сравнению с растровыми изображениями;
· прекрасное
качество печати;
· отсутствие
проблем с экспортом векторного изображения в растровое;
· возможность
редактирования каждого элемента изображения в отдельности.
Но, увы, небезызвестно, что нет ничего без
недостатков. И поэтому стоит также перечислить и их:
· практически
невозможно экспортировать из растрового формата в векторный (можно, конечно,
трассировать изображение, хотя получить хорошую векторную картинку нелегко,
когда графика черно-белая, и почти невозможно, если изображение цветное);
· невозможно
применение обширной библиотеки эффектов, используемых при работе с растровыми
изображениями.
Написано большое количество программных
продуктов, позволяющих рисовать векторные рисунки. Наиболее известным и
универсальным среди них на сегодняшний день считается CorelDRAW.
Стандартная Панель инструментов
Как и в любом другом продукте для работы с
графикой, основной элемент графического интерфейса CorelDRAW - Панель
инструментов. С помощью панели инструментов можно сделать очень многое. Она
служит основной отправной точкой любого рисунка.
Одним из наиболее важных инструментов
является стрелочка , находящаяся на панели Toolbox
(инструменты) и называющаяся Pick Tool (выбор) (рисунок 29.1).
Рисунок 29.1 Панель инструментов CorelDRAW
При помощи этого инструмента мы можем
выделять и различным образом преобразовывать выделенные объекты. Для выделения
надо всего лишь щелкнуть левой кнопкой мыши на выбранный вами объект, после
чего вокруг него должны появиться восемь точек-маркеров, расположенных
прямоугольником. Нажав и удерживая левую кнопку мыши и перемещая угловой
маркер, можно изменять размер выделенного объекта, т. е. масштабировать его.
Средними маркерами растягивают объект. Повторным нажатием на объекте маркеры
изменяются на стрелочки, и теперь можно поворачивать объект,
"зацепив" угловые стрелочки относительно его центра или центра,
который можно задать, переместив небольшой кружок, появившийся вместе со
стрелками. При помощи средних стрелочек объект наклоняют.
Следующий инструмент - Shape Tool (форма) . Его
основное назначение - редактировать узлы.
Для полного понимания, что такое узлы
кривых, следует представлять себе, как в векторном редакторе создаются
графические объекты. Все графические формы, создаваемые в векторном редакторе,
являются образцами векторной графики. Это означает, что при их рисовании
используются приемы векторной геометрии. Векторные рисунки могут быть увеличены
без потери качества, причем увеличенный во много раз рисунок занимает в памяти
компьютера не больше места, чем его уменьшенная копия. Все нарисованные линии
векторной графики описываются координатами узлов и математическими уравнениями
соединяющих их отрезков кривых. Когда векторный рисунок увеличивается,
коэффициенты уравнений просто подстраиваются под новый размер, и поэтому потери
качества не происходит.
Следующий инструмент наверняка покажется вам
знакомым - это Zoom Tool (масштаб) , при
помощи которого можно изменять масштаб изображения. Данный инструмент просто
необходим, когда нужно проработать детали, посмотреть на работу в целом и т. п.
Использовать этот инструмент очень просто: левой кнопкой мыши щелкаете столько
раз, сколько вам требуется, или, удерживая левую кнопку мыши, выделяете ту
область, которую хотите приблизить.
Следующий инструмент - Freehand Tool
(кривая) , без
которого при рисовании, по существу, не обойтись. Этот инструмент действует во
многом подобно обычному карандашу. Когда вы нажимаете левую кнопку мыши и,
удерживая ее, перетаскиваете курсор по экрану, за курсором остается след -
линия. Точки перегиба изображаемой линии автоматически помечаются узлами. Узлы
расставляются вдоль линии неравномерно и становятся видимыми по завершении
рисования. При помощи этого инструмента можно рисовать также и прямые линии, но
они выполняются несколько иначе, чем кривые. Вместо того чтобы нажать кнопку
мыши и, удерживая ее, перетаскивать курсор, следует щелкнуть кнопкой мыши в
точке начала линии, переместить мышь и выполнить повторный щелчок, обозначая
конец линии. Между точками двух этих щелчков изобразится отрезок прямой линии.
Далее на нашей панели располагается
инструмент Rectangle Tool (прямоугольник) . С его
помощью, как нетрудно догадаться, рисуются прямоугольники. Чтобы сделать это,
просто щелкните левой кнопкой мыши в точке расположения одного из углов и,
продолжая удерживать левую кнопку, перетащите мышь по диагонали к
противоположному углу прямоугольника. При нажатой клавише CTRL размеры сторон
автоматически выравниваются, и у вас в итоге получается правильный квадрат. При
нажатой клавише SHIFT прямоугольник рисуется от центральной точки.
Следующий инструмент - Ellipse Tool (эллипс)
. Этот
инструмент позволяет рисовать эллипсы, а средство их рисования - один из
наиболее полезных инструментов создания форм-примитивов. Этот инструмент может
быть успешно использован для рисования заготовок практически любых графических
объектов.
При рисовании эллипсов необходимо четко
представить себе, как определяется их размер. На деле рисуется не эллипс, а невидимая
воображаемая прямоугольная область, в которую он вписан, называемая обычно
габаритной рамкой. При этом эллипс касается середин сторон невидимой
прямоугольной области в своих экстремальных точках.
Для того чтобы нарисовать эллипс, щелкните
кнопкой мыши в точке одного из углов воображаемой прямоугольной области,
охватывающей эллипс, и начните перетаскивать мышь в точку расположения другого
угла. В строке состояния (где выводятся различные параметры рисуемых или уже
нарисованных объектов) будут отображаться значения координат начальной и
конечной точек, центра, а также ширины и высоты прямоугольной области,
описанной вокруг эллипса. Потом отпустите кнопку мыши, и в строке состояния
отобразятся различные параметры нарисованного вами эллипса, например, координаты
центра, высота, ширина, и т.п.
Инструмент Spiral Tool (спираль) предназначен
для рисования спирали. Некоторое время он не был широко распространен и не
являлся стандартным, но сейчас он располагается на стандартной панели
инструментов, как, впрочем, и Polygon Tool (многоугольник). Последний рисует
самый сложный из всех объектов-примитивов - многоугольник. Этот же инструмент
после изменения некоторых его параметров может рисовать различные звезды и
звездообразные фигуры.
Перед тем как приступить к рисованию
спирали, надо настроить ее параметры на верхней панели управления - панели
атрибутов. Спирали имеют эллиптическую форму, так что процесс рисования
аналогичен изображению эллипсов. В CorelDRAW существует два вида спиралей:
· логарифмическая
спираль, у нее каждый следующий виток все дальше отстоит от предыдущего, причем
степень нарастания шага спирали зависит от коэффициента расширения,
управляемого ползунком, расположенным на панели атрибутов;
· симметричная
спираль, каждый виток которой отстоит на одинаковое расстояние.
Text Tool (текст) служит
для создания двух видов объектов - Artistic Text (фигурный текст) и Paragraph
Text (простой текст). Фигурный текст используется в том случае, когда требуется
создать достаточно короткую надпись с применением каких-либо специальных
эффектов. Блок фигурного текста обладает свойствами, подобным любому другому
графическому объекту: его можно растянуть, зеркально отразить, повернуть,
оконтурить и т. п. Если требуется выполнить прямое редактирование форм, то в
CorelDRAW 8 вы можете легко преобразовать текст в кривые и при помощи
инструмента "форма" редактировать как обычный объект.
Для создания фигурного текста нужно выбрать
инструмент "текст" и левой кнопкой мыши щелкнуть там, где вы
собираетесь его разместить. На этом месте появится курсор, и далее вы можете
работать почти так же, как и с обычным текстовым редактором.
Простой текст не представляет собой ничего
особенного и применяется в тех случаях, когда требуется разместить на рисунках
большие блоки текста, состоящие из нескольких абзацев, колонок или рамок. К
обычному тексту нельзя применить никаких графических эффектов, его назначение
состоит только в обеспечении удобства обращения с большими текстовыми блоками.
Чтобы ввести обычный текст, вам нужно
вручную изобразить рамку блока простого текста. Способ создания рамки довольно
прост. Установив курсор в режиме ввода текста в точку, где должен располагаться
один из углов рамки, щелкните левой кнопкой мыши и перетащите курсор по
диагонали, нарисовав прямоугольную рамку, в которой будет располагаться блок
простого текста. Как только рамка появилась, можно сразу начинать ввод текста.
Инструмент Interactive Fill (Интерактивная
заливка) создает
градиентные заливки любого типа, включая и специальные.
Самым распространенным видом градиентной
заливки является линейная заливка. Линейная градиентная заливка
представляет собой как бы заполнение любой замкнутой фигуры по определенному
методу вне зависимости от ее формы. Этот метод состоит в том, что при создании
этой заливки вы определяете начало и конец некого отрезка прямой и два цвета.
После этой операции в начале отрезка у вас остается первый выбранный цвет, в
конце второй, а между ними цвет перетекает из одного в другой.
Другой тип заливки - радиальная -
довольно часто встречается при заполнении шаров, дабы создать видимость объема.
Здесь перетекание цвета из одного в другой происходит не по перпендикулярной
прямой вдоль отрезка, а по окружностям вдоль радиуса.
Следующий тип заливки - конический.
Тут перетекание (как и во всех существующих градиентных заливках) из одного
цвета в другой происходит по радиусам, перпендикулярным дуге.
Квадратная градиентная заливка представляет
собой перетекание цвета из одного в другой как бы по квадратам. Мы можем не
только изменять размер квадрата заливки, но и его угол поворота.
Задания для
самостоятельного выполнения
Вариант 1. Создать в
графическом редакторе CorelDRAW буклет
КЭУК
Вариант 2. Создать
в графическом редакторе CorelDRAW билет в
Цирк
Вариант 3. Создать
в графическом редакторе CorelDRAW программку
театра
Вариант 4. Создать
в графическом редакторе CorelDRAW рекламу
компьютерного магазина
Вариант 5. Создать
в графическом редакторе CorelDRAW рекламу
торговой марки CocaCola
Вариант 6. Создать
в графическом редакторе CorelDRAW рекламу
ЦУМа
Вариант 7. Создать
в графическом редакторе CorelDRAW буклет
своей специальности
Вариант 8. Создать
в графическом редакторе CorelDRAW буклет
автосалона
Вариант 9. Создать
в графическом редакторе CorelDRAW открытку
«8 марта»
Вариант 10. Создать
в графическом редакторе CorelDRAW открытку
«С Новым годом»
Вариант 11. Создать
в графическом редакторе CorelDRAW буклет
своего факультета
Вариант 12. Создать
в графическом редакторе CorelDRAW рекламу
продукции АО «Eurasian Foods»
Вариант 13. Создать
в графическом редакторе CorelDRAW рекламу
салона красоты
Вариант 14. Создать
в графическом редакторе CorelDRAW рекламу
торговой марки «Тулпар»
Вариант 15. Создать
в графическом редакторе CorelDRAW открытку
«С днем рождения»
Вариант 16. Создать
в графическом редакторе CorelDRAW рекламу
торгового дома «Абзал»
Вариант 17. Создать
в графическом редакторе CorelDRAW буклет
продукции Орифлейм
Вариант 18. Создать
в графическом редакторе CorelDRAW косметики
фирмы Pupa
Вариант 19. Создать
в графическом редакторе CorelDRAW рекламу
такси.
Вариант 20. Создать
в графическом редакторе CorelDRAW рекламу
машин марки BMW
Лабораторное занятие 30
(1 час)
Тема: Основы защиты информации
Цель занятия: изучить
методы и средства защиты информации
Задание:
1. Рассмотреть составляющие
информационной безопасности
2. Ознакомиться с методами
и средствами защиты информации
. Криптографические
методы защиты
. Защита информации в
сетях
. Произвести шифрование
данных
6. Составить отчет
Теоретические сведения
В продуктах Microsoft имеются разные
возможности обеспечения безопасности и защиты документов. Для защиты документов
и содержащихся в них сведений можно воспользоваться любым из следующих способов.
Защита от макровирусов
Для наилучшей защиты от макровирусов
необходимо приобрести и установить специальное антивирусное программное
обеспечение.
Кроме того, можно использовать следующие
способы в Microsoft Word.
Настройка уровня безопасности макроса
1. В меню Сервис выберите команду
Параметры.
2. Откройте вкладку Безопасность.
. В группе Безопасность макросов
нажмите кнопку Безопасность макросов.
. Откройте вкладку Уровень
безопасности, а затем выберите нужный уровень безопасности.
Предупреждение об установленных шаблонах и
надстройках, которые содержат макросы.
В зависимости от настроек безопасности
макросов (Макрос. Макрокоманда или набор макрокоманд, используемый для
автоматического выполнения некоторых операций. Макросы записываются на языке
программирования Visual Basic для приложений.), при открытии макросов выводится
предупреждение и предоставляется возможность запретить выполнение макросов для
установленных шаблонов (Шаблон. Файл или файлы, содержащие структуру и
инструменты для создания таких элементов законченных файлов как стиль и макет
страницы. Например, шаблоны Microsoft Word позволяют создавать отдельные
документы, а шаблоны Microsoft FrontPage - целые веб-узлы.) и надстроек
(Надстройка. Вспомогательная программа, служащая для добавления в Microsoft
Office специальных команд или возможностей.) (в том числе для мастеров).
1. В меню Сервис выберите команду
Параметры, а затем откройте вкладку Безопасность.
2. В группе Безопасность макросов
нажмите кнопку Безопасность макросов.
. Откройте вкладку Надежные
источники.
. Снимите флажок Доверять всем
установленным надстройкам и шаблонам.
Все шаблоны, надстройки и макросы,
поставляемые с Microsoft Office XP, снабжены цифровой подписью корпорации
Майкрософт. Если при открытии одного из этих установленных файлов добавить
корпорацию Майкрософт в список надежных источников, все последующие операции с
такими файлами не будут приводить к появлению предупреждений.
Цифровая подпись макросов
К файлу или проекту макроса (Проект макроса.
Совокупность компонентов, в том числе форм, текста программы и модулей классов,
которые составляют макрос. Проекты макросов, созданные на языке
программирования Visual Basic для приложений (Microsoft), можно включать в
надстройки и большинство приложений Microsoft Office.) можно добавить цифровую
подпись (Цифровая подпись. Шифрованная электронная подпись, подтверждающая
подлинность макроса или документа. Наличие цифровой подписи подтверждает, что
макрос или документ был получен от владельца подписи и не был изменен.) с
помощью цифрового сертификата (Цифровой сертификат. Вложение в файл, проект
макроса или сообщение электронной почты, подтверждающее его подлинность,
обеспечивающее шифрование или предоставляющее поддающуюся проверке подпись. Для
цифрового подписания проектов макросов необходимо установить цифровой
сертификат.).
1. При отсутствии цифрового сертификата его
следует получить.
Инструкции
Цифровой сертификат можно получить в
коммерческом центре сертификации, таком как VeriSign, Inc., у администратора
внутренней безопасности или у специалиста по информационным технологиям.
Цифровую подпись также можно создать самостоятельно с помощью программы
Selfcert.exe.
Дополнительные сведения о центрах
сертификации, обслуживающих продукты корпорации Майкрософт, см. на веб-узле
Microsoft Security Advisor.
o Гиперссылка
(Гиперссылка. Цветной подчеркнутый текст или графический объект, по щелчку
которого выполняется переход к файлу, фрагменту файла или странице HTML в
интрасети или Интернете. Гиперссылки могут также указывать на группы новостей и
узлы Gopher, Telnet и FTP.) в данном разделе указывает на ресурс Интернета.
Вернуться в окно справки можно в любое время.
o Поскольку
самостоятельно созданный сертификат не был выдан официальным центром
сертификации, проекты макросов (Проект макроса. Совокупность компонентов, в том
числе форм, текста программы и модулей классов, которые составляют макрос.
Проекты макросов, созданные в редакторе Visual Basic для приложений
(Microsoft), можно включать в надстройки и большинство приложений Microsoft
Office.), подписанные с использованием такого сертификата, называют макросами с
автоподписью. Действующие в организации правила использования средств цифровой
подписи Microsoft Office могут запрещать использование таких сертификатов, а
также запуск макросов с автоподписью другими пользователями.
2. Откройте файл, содержащий проект
макроса, к которому требуется добавить подпись.
3. В меню Сервис выберите команду
Макрос, а затем - команду Редактор Visual Basic.
. В окне проекта выберите проект, к
которому требуется добавить цифровую подпись.
. В меню Сервис выберите команду
Цифровая подпись.
. Выполните одно из следующих
действий.
o Если
цифровой сертификат еще не выбран или требуется использовать другой сертификат,
нажмите кнопку Выбрать, выберите сертификат, затем дважды нажмите кнопку OK.
o Чтобы
использовать выбранный сертификат, нажмите кнопку OK.
o Добавляйте
цифровые подписи только к проверенным и готовым к распространению макросам, так
как при внесении в код макроса каких-либо изменений его цифровая подпись удаляется.
Однако при наличии на компьютере соответствующего цифрового сертификата при
сохранении проекта макроса к нему автоматически добавляется цифровая подпись.
o Если
требуется предотвратить случайное изменение пользователями проекта макроса и
нарушение цифровой подписи, то перед тем как подписать проект макроса, следует
заблокировать его. Цифровая подпись говорит лишь о том, что гарантируется
безопасность проекта, но не является подтверждением того, что проект создан
владельцем подписи. поэтому блокировка проекта макроса не позволяет избежать
замены цифровой подписи другой подписью. Администраторы сети организации могут
заново подписывать шаблоны (Шаблон. Файл или файлы, содержащие структуру и
инструменты для создания таких элементов законченных файлов как стиль и макет
страницы. Например, шаблоны Microsoft Word позволяют создавать отдельные
документы, а шаблоны Microsoft FrontPage - целые веб-узлы.) и надстройки
(Надстройка. Вспомогательная программа, служащая для добавления в Microsoft
Office специальных команд или возможностей.), чтобы контролировать, какие
макросы запускаются пользователями на компьютерах.
o Если вы
разрабатываете надстройку, добавляющую программный код к проекту макросов,
рекомендуется предусмотреть в программном коде проверку наличия цифровой
подписи в проекте и предупредить пользователей о возможных последствиях
изменений, вносимых в проект, к которому добавлена цифровая подпись.
Защита документа от несанкционированных
изменений
Выполните любое из следующих действий.
Опечатывание документа с помощью цифрового
сертификата
К файлу или проекту макроса (Проект макроса.
Совокупность компонентов, в том числе форм, текста программы и модулей классов,
которые составляют макрос. Проекты макросов, созданные в редакторе Visual Basic
для приложений (Microsoft), можно включать в надстройки и большинство
приложений Microsoft Office.) можно добавить цифровую подпись (Цифровая
подпись. Шифрованная электронная подпись, подтверждающая подлинность макроса
или документа. Наличие цифровой подписи подтверждает, что макрос или документ
был получен от владельца подписи и не был изменен.) с помощью цифрового
сертификата (Цифровой сертификат. Вложение в файл, проект макроса или сообщение
электронной почты, подтверждающее его подлинность, обеспечивающее шифрование или
предоставляющее поддающуюся проверке подпись. Для цифрового подписания проектов
макросов необходимо установить цифровой сертификат.).
1. При отсутствии цифрового сертификата его
следует получить.
Инструкции
Цифровой сертификат можно получить в
коммерческом центре сертификации, таком как VeriSign, Inc., у администратора
внутренней безопасности или у специалиста по информационным технологиям.
Цифровую подпись также можно создать самостоятельно с помощью программы
Selfcert.exe.
Дополнительные сведения о центрах
сертификации, обслуживающих продукты корпорации Майкрософт, см. на веб-узле
Microsoft Security Advisor.
2. В меню Сервис выберите команду
Параметры, а затем откройте вкладку Безопасность.
3. Нажмите кнопку Цифровые подписи.
. Нажмите кнопку Добавить.
. Выберите сертификат, который
следует добавить, и нажмите кнопку ОК.
Запрос пароля при открытии или изменении
документа
При задании пароля (способ обеспечения
безопасности, используемый для ограничения доступа к компьютерным системам и
важным файлам. В Интернете пароли представляют собой строки знаков, позволяющие
пользователям получать доступ к службам Интернета, если требуется проверка
пользователей). Пароль следует записать его и хранить в надежном месте. В
случае утери пароля открыть защищенный паролем документ или получить к нему
доступ будет невозможно.
1. Откройте файл.
2. В меню Сервис выберите команду
Параметры, а затем откройте вкладку Безопасность.
. Выполните одно из следующих
действий.
Задание пароля для открытия файла
1. В поле Пароль для открытия файла введите
пароль, а затем нажмите кнопку OK.
2. В поле Введите пароль еще раз
повторно введите пароль, а затем нажмите кнопку OK.
Задание пароля для изменения файла
3. В поле Пароль разрешения записи введите
пароль, а затем нажмите кнопку OK.
4. В поле Введите пароль еще раз
повторно введите пароль, а затем нажмите кнопку OK.
Чтобы задать пароль, содержащий до 255
знаков, нажмите кнопку Дополнительно, а затем выберите тип шифрования RC4.
Рекомендация доступа только для чтения
Можно предлагать (но не требовать) другим
пользователям открыть документ только для чтения (Только чтение. Режим,
включающий возможность просмотра и копирования файла, но запрещающий его
изменение и сохранение. Для сохранения изменений, внесенных в документ,
предназначенный только для чтения, необходимо присвоить документу другое имя.).
Если пользователь откроет документ только для чтения и изменит его, он сможет
сохранить этот документ только с другим именем файла.
1. В меню Сервис выберите команду
Параметры.
2. Откройте вкладку Безопасность.
. Установите флажок рекомендовать
доступ только для чтения, а затем нажмите кнопку OK.
. Нажмите кнопку Сохранить.
Защита полей электронной формы от изменения
Некоторые сведения в этом разделе могут быть
неприменимы к отдельным языкам.
Можно защитить создающуюся форму (Форма.
Документ, содержащий предназначенные для заполнения пустые места (поля формы),
в которые вводятся данные. Например, в Microsoft Word можно создать электронную
регистрационную форму, при заполнении которой значения выбираются из
раскрывающихся списков.), а так же защитить окончательную версию от изменений
при заполнении пользователями.
Защита формы во время ее разработки и
изменения
Этот метод позволяет легко проверить, как
будет работать окончательная версия формы.
· На
панели инструментов (Панель инструментов. Панель с кнопками и параметрами,
которые используются для выполнения команд. Для отображения панелей
инструментов используется диалоговое окно Настройка (выберите в меню Вид
команду Панели инструментов, а затем - команду Настройка). Для просмотра
дополнительных кнопок нажмите кнопку Другие кнопки в конце панели
инструментов.) Формы нажмите кнопку Защита формы.
В предыдущих версиях Microsoft Word при
защите формы после изменения все поля формы (Поле формы. Место в форме, в
котором размещаются сведения определенной категории, например адресное поле для
хранения почтового адреса.) автоматически восстанавливали свои исходные
значения. В этой версии этого не происходит. Можно восстановить исходные
значения поля форм в ручную, нажав кнопку Очистить поля формы на панели
инструментов Формы.
Защита формы от изменения пользователями
Перед распространением электронной формы,
разработанной для просмотра и заполнения в Microsoft Word, ее следует защитить
таким образом, чтобы пользователи могли вводить данные только в предназначенные
для этого поля.
При защите документа нижеследующим методом,
все данные в полях формы (Поле формы. Место в форме, в котором размещаются
сведения определенной категории, например адресное поле для хранения почтового
адреса.) восстановят исходные значения.
1. Выберите команду Установить защиту в
меню Сервис.
2. Выберите Запретить любые изменения,
кроме ввода данных в поля форм.
. Введите пароль (Пароль. Способ
обеспечения безопасности, используемый для ограничения доступа к компьютерным
системам и важным файлам. В Интернете пароли представляют собой строки знаков,
позволяющие пользователям получать доступ к службам Интернета, если требуется
проверка пользователей.) для защиты формы в поле Пароль (необязателен). Только
знающие пароль пользователи смогут снять защиту и изменить форму. Пользователи,
не знающие пароля, по-прежнему смогут вводить данные в поля формы.
. Чтобы защитить всю форму, нажмите
кнопку OK.
Чтобы защитить определенные части формы,
необходимо разбить ее на разделы (Раздел. Часть документа, имеющая заданные
параметры форматирования страницы. Новый раздел создается при необходимости
изменения таких параметров, как нумерация строк, число столбцов или
колонтитулы.). Нажмите кнопку Разделы, а затем снимите флажки, соответствующие
разделам, которые не требуется защищать.
Пользователи смогут проверить орфографию и
грамматику в незащищенных разделах формы. Например, в форме оценки деятельности
сотрудника можно не защищать раздел для комментариев. Пользователи смогут
проверить свой текст в этом разделе до отправки формы.
Защита от записи исправлений и добавления
примечаний
1. В меню Сервис выберите команду
Установить защиту.
2. Выполните одно из следующих
действий.
o Чтобы
позволить рецензентам изменять документ путем вставки примечаний (Примечание.
Заметка или примечание, добавленное автором или рецензентом в документ. В
Microsoft Word примечания отображаются в выносках на полях документа и на
панели рецензирования.) и записей исправлений (Записанное исправление. Пометка
удаления, вставки и других изменений, внесенных в документ.), выберите Записи
исправлений.
o Чтобы
позволить рецензентам только вставлять примечания, выберите Примечания.
o Чтобы
позволить только уполномоченным пользователям снимать защиту с документа,
введите пароль (Пароль. Способ обеспечения безопасности, используемый для
ограничения доступа к компьютерным системам и важным файлам. В Интернете пароли
представляют собой строки знаков, позволяющие пользователям получать доступ к
службам Интернета, если требуется проверка пользователей.) в поле Пароль.
Задания для самостоятельного
выполнения
Вариант 1. Создать
файл 1.doc с паролем для открытия файла
Вариант 2. Создать
файл 2.doc с паролем для открытия файла
Вариант 3. Создать
файл 3.doc с рекомендацией доступа только для чтения
Вариант 4. Создать
файл 4.doc с цифровой подписью
Вариант 5. Создать
файл 5.doc с удаление личных сведений из файла при его сохранении
Вариант 6. Создать
файл 6.doc с сохранением случайного числа для повышения точности слияния
Вариант 7. Создать
файл 7.doc с защитой от макросов
Вариант 8. Создать
папку Один с доступом по локальной сети только для чтения
Вариант 9. Создать
папку Два с полным доступом по локальной сети.
Вариант 10. Создать
папку Три с паролем для доступа по локальной сети только для чтения
Вариант 11. Создать
папку Четыре с паролем для полного доступа по локальной сети
Вариант 12. Создать
файл 12.doc с запретом на исправление. Установить пароль
Вариант 13. Создать
файл 13.doc с запретом вставки примечаний. Установить пароль
Вариант 14. Создать
файл 14.doc с запретом ввода данных в поля форм. Установить пароль
Вариант 15. Установить
пароль на загрузку учетной записи Student. Использовать ОС Windows XP
Вариант 16. Удалить
пароль на загрузку учетной записи Student. Использовать ОС Windows XP
Вариант 17. Изменить
пароль на загрузку учетной записи Student. Использовать ОС Windows XP
Вариант 18. Установить
пароль на загрузку Bios для User
Вариант 19. Установить
ограниченные возможности для учетной записи Student
Вариант 20. Установить
пароль на загрузку Администратора в безопасном режиме
Похожие работы на - Методические рекомендации по выполнению лабораторных работ по курсу 'Информатика'
|