Определение статистических показателей

  • Вид работы:
    Контрольная работа
  • Предмет:
    Эктеория
  • Язык:
    Русский
    ,
    Формат файла:
    MS Word
    38,96 kb
  • Опубликовано:
    2012-01-05
Вы можете узнать стоимость помощи в написании студенческой работы.
Помощь в написании работы, которую точно примут!

Определение статистических показателей

Задача 1

Имеются следующие данные по магазинам торга за отчётный период:

Магазин № п/п

Товаро-оборот

Издержки обращения (расходы по реализации)

Магазин № п/п

Товаро-оборот

Издержки обращения (расходы по реализации)

1 2 3 4 5 6 7 8 9 10 11

808 706 663 854 882 916 563 256 940 965 544

34,3 25,4 32,2 31,1 37,4 38,6 24,2 9,0 35,8 16,1 20,4

12 13 14 15 16 17 18 19 20 21 22

318 324 301 352 406 602 748 980 641 452 240

16,0 10,9 9,3 12,1 17,2 28,3 31,0 37,0 21,3 20,1 16,1


Требуется:

. Произвести группировку магазинов торга по двум признакам: размеру товарооборота и издержкам обращения, образовав по каждому признаку по четыре группы с равными интервалами.

. Каждую группу магазинов охарактеризуйте с помощью следующих показателей: А) количество магазинов; Б) товарооборот - всего и в среднем на один магазин.

Результаты представьте в виде групповой таблицы. По результатам группировки составьте краткий вывод.

Решение:

Произведём группировку магазинов по товарообороту с равными интервалами. Найдём величину интервала по формуле.

Хmin=240=980= 4


Если группировать магазины по издержкам обращения, то величина интервала будет:


Вывод:

В результате группировки видим, что большинство магазинов имеют маленький товарооборот (240 - 425) или наоборот - большой (795 - 980). В среднем товарооборот составил 611,9. По данным таблицы видно, что с увеличением товарооборота растут и издержки обращения. Хотя встречаются исключения, так например в магазине № 10 при товарообороте 965 издержки обращения составили 16,1.

Группировка магазинов по товарообороту и по издержкам обращения

Группы по товарообороту

Группы по издержкам обращения

Число магазинов

Товарооборот




Всего

В среднем

I: 240 - 425

9,0-16,4 16,4-23,8 23,8-31,2 31,2-38,6

6 1 0 0

1791 406 0 0

298,5 406 0 0

Итого по группе:

-

7

2197

313,9

II: 425 - 610

9,0-16,4 16,4-23,8 23,8-31,2 31,2-38,6

0 2 2 0

0 996 1165 0

0 498 582,5 0

Итого по группе:

-

4

1414

540,3

III: 610 - 795

9,0-16,4 16,4-23,8 23,8-31,2 31,2-38,6

0 1 2 1

0 641 1454 663

0 641 727 663

Итого по группе:

-

4

2758

689,5

IV: 795 - 980

9,0-16,4 16,4-23,8 23,8-31,2 31,2-38,6

1 0 1 5

965 0 854 4526

965 0 854 905,2

Итого по группе:

7

6345

906,4

Итого по группам

9,0-16,4 16,4-23,8 23,8-31,2 31,2-38,6

7 4 5 6

2756 2043 3473 5189

393,7 510,8 694,6 864,8

Всего

22

13461

611,9


Задача 2

Имеются данные о заработной плате работников предприятия за два года:

Цех

Базисный год

Отчётный год


Средняя з/п 1 работника за месяц, руб.

Среднее списочное число работников, ч.

Средняя з/п 1 работника за месяц, руб.

Фонд з/п тыс. руб.

1

5800

100

6200

682000

2

6500

150

6800

952000


Определить:

Среднемесячную заработную плату работника за каждый год и её изменение (в сумме и %);

Указать виды средних.

Решение:

. Определим среднее списочное число работников за отчётный год:

Среднее списочное число = Фонд заработной платы / средняя заработная плата 1 раб за месяц.

Чтобы найти среднее списочное число работников за отчётный год нужно фонд заработной платы 1 и 2 цехов поделить на среднюю заработную плату работника за месяц, за отчётный год.


Для определения среднемесячной зарплаты работника за год воспользуемся формулой средней арифметической взвешенной.


Чтобы найти среднемесячную зарплату работника за базисный год нужно:

Базисный год = S средняя зарплата работника за месяц цех 1 * среднесписочное число работников цех 1 + S средняя зарплата работника за месяц цех 2 * среднее списочное число работников цех 2 / S среднее списочное число работников -

среднемесячная зарплата работника за базисный год.

Чтобы найти среднемесячную зарплату работника за отчётный год нужно:

Отчётный год = S средняя зарплата работника за месяц цех 1 * среднесписочное число работников цех 1 + S средняя зарплата работника за месяц цех 2 * среднее списочное число работников цех 2 / S среднее списочное число работников - 

среднемесячная зарплата работника за отчётный год.

Изменение средней зарплаты работника за каждый год в сумме =

= 6536-6220=316 руб.

Изменение средней зарплаты работника за каждый год в % =

=

. В статистике применяются различные виды средних: арифметическая, гармоническая, квадратическая, геометрическая, структурные средние - мода и медиана. Средние, кроме моды и медианы исчисляются в 2-х формах: простой и взвешенной.

В данной задаче используются арифметический вид средних взвешенной формы.

Задача 3

По данным микропереписи 1994г. получено следующее распределение населения, проживающего в месте постоянного жительства не с рождения.

Продолжительность проживания в месте постоянного жительства, лет

Середина интервала

Доля населения %

Накопленные частоты

Менее 2

1

7,5

7,5

2-5

3,5

11,0

18,5

6-9

7,5

10,5

10-14

12

12,3

41,3

15-24

19,5

21,1

62,4

25 и более

29,5

37,6

100,0

Итого


100



Определите:

) Среднюю продолжительность проживания в месте постоянного жительства.

)  Моду и медиану.

)  Дисперсию, среднее квадратическое отклонение, коэффициент вариации.

Решение: 

Найдём среднюю продолжительность проживания в месте постоянного


жительства по формуле средней арифметической взвешенной.

Средняя продолжительность проживания в месте постоянного жительства составляет 17,93 лет.

Определим моду и медиану

Мода (М0) - представляет собой значение изучаемого признака повторяющееся с наибольшей частотой. Для интервальных рядов мода рассчитывается по формуле:


Х0 = 25 - нижняя граница модального интервала (25 и более) - модальный интервал, т. к. имеет наибольшую частоту.= 9 - т. к. интервал открытый, берём величину предыдущего интервала.-1 = 21,1 - частота интервала предшествующего модальному= 37,6 - частота модального интервала.+1 = 0 т. к. следующего за модальным интервала нет.


т.е. чаще всего встречаются люди проживающие в месте постоянного жительства не с рождения примерно 27,7 лет.

Медианой (Ме) называется значение признака, приходящееся на середину ранжированной совокупности.

Для интервального ряда медиана рассчитывается по формуле:


Х = 15 - нижняя граница, медианного интервала (15-24) т.к. это первый интервал, накопленная частота которого 62,4 > 50 превышает половину общей суммы частот.= 9 - величина медианного интервала= 41,3 - накопленная частота интервала предшествующего медианному= 21,1 - частота медианного интервала


т.е. 50% населения проживает в месте постоянного жительства не с рождения меньше чем 18,7 лет.

Найдём дисперсию (s2), среднее квадратичное отклонение (s), коэффициент вариации (V)


Задача 4

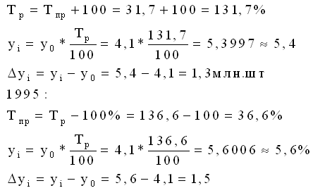
Используя взаимосвязь показателей динамики, определите уровни ряда и недостающие в таблице базисные показатели динамики, абсолютное значение 1% прироста.

Годы

Холодильники бытовые, млн. шт.

Базисные показатели динамики



Абсолютный прирост, млн. шт.

Темп роста, %

Темп прироста, %

1990

4,1


100


1991

4,6

0,5

112,2

12,2

1992

5,0

0,9

121,9

21,9

1993

5,4

1,3

131,7

31,7

1994

5,4

1,3

131,7

31,7

1995

5,6

136,6

36,6


Постройте график динамики производства холодильников. Сделайте выводы.

Решение:

Запишем формулы взаимосвязи базисных показателей динамики.

Абсолютный прирост находится по формуле:

Темп роста находится по формуле:


Темп прироста находится по формуле:


Абсолютное значение одного % прироста находится по формуле:


Рассчитаем недостающие в таблице базисные показатели по годам:

: Тр = 100

:


1994:

т.к. базисные показатели темпов прироста 1994 г. и 1993 г. равны, то и остальные показатели динамики будут одинаковыми


Находим абсолютное значение 1% прироста


Построим график динамики производства холодильников

Средний темп роста с 90 по 93 года, в 94 году производство на том же уровне, в 95 году рост вверх.

Задача 5

Имеются следующие данные о ценах и объёме продажи на рынках:

Наименование товара

Продано, ц.

Цена 1 кг, руб.


Январь

Май

Январь

Май

Картофель

118

2230

2,4

2

Свекла

2

44

3

3,3

Яблоки

327

79

1,4

2,16


Вычислите:

) индивидуальные индексы цен и физического объёма реализации;

) сводные индексы цен, физического объёма реализации и товарооборота;

) сумму экономии или дополнительных затрат покупателей за счёт изменения цен по каждому товару и целом на все товары.

Решение:

Найдём индивидуальные индексы:

индекс цен определённого продукта

индекс физического объёма определённого продукта

Картофеля:

Свеклы:

Яблок:

Найдём сводные индексы:

Если выпуск продукции условно обозначается через q, а цены через p, то найдём сводный индекс физического объёма по формуле:


найдём сводный индекс цен.

Если принимается продукция в объёме (количестве) отчётного периода (q1), то индекс цен определяем по формуле:


Находим товарооборот (выручка от реализации или продаж)


Находим сумму экономии или дополнительных затрат покупателей за счёт изменения цен по каждому товару:


означает:

абсолютный прирост товарооборота (выручки от продаж) в результате среднего изменения цен или экономию (перерасход) денежных средств населения в результате среднего снижения (повышения) цен.

Картофель

Свекла

Яблоки




Задача 6

Имеются следующие данные:

Товарная группа

Продано в отчётном периоде, тыс. руб.

Изменение цен в отчётном периоде по сравнению с базисным, %

А

24

+ 10

Б

16

+20


Определите общие индексы цен и физического объёма товарооборота при условии, что товарооборот в от чётном периоде вырос на 6%. Сделайте выводы.

Решение:

Найдём общий индекс цен.



Найдём общий индекс физического объёма товарооборота.

Цены в среднем увеличились на 13,8%, за то сократился объём производства товаров на 7%.

Задача 7

Имеются данные по предприятию, тыс. руб.

Показатель

1 квартал

2 квартал

Выручка от реализации, тыс. руб.

520

800

Средний остаток оборотных средств, тыс.

руб.

100

120


Определите:

Показатели оборачиваемости оборотных средств за каждый квартал (число оборотов и продолжительность одного оборота);

Сумму оборотных средств, высвобожденных из оборота в результате ускорения их оборачиваемости.

Решение:

Найдём коэффициент оборачиваемости оборотных средств за каждый квартал.

За 1 квартал

За 2 квартал

Определим показатель средней продолжительности оборота в днях.

За 1 квартал

За 2 квартал

среднемесячный плата дисперсия коэффициент вариация

Найдём сумму оборотных средств высвобождаемых из оборота в результате ускорения их оборачиваемости.


Задача 8

Население города на начало года составляло 1516,2 тыс чел.; На конец года - 1551,8 тыс. чел. В течении года родилось 38682 чел, умерло 10898 чел, в том числе 1516 детей в возрасте до 1 года, заключено 18113 браков, расторгнуто 1380.

Определите:

Среднюю численность население

Коэффициент рождаемости, смертности, детской смертности, естественного прироста, общего прироста, механического прироста, брачности, разводимости.

Решение:

Средняя численность населения:


Коэффициент рождаемости:


Коэффициент смертности:

Коэффициент естественного прироста:


Коэффициент общего прироста:


Коэффициент механического прироста:


Коэффициент брачности:


Коэффициент разводимости


Похожие работы на - Определение статистических показателей

 

Не нашли материал для своей работы?
Поможем написать уникальную работу
Без плагиата!
Без нейросетей!