Организация тура выходного дня по железной дороге

  • Вид работы:
    Дипломная (ВКР)
  • Предмет:
    Туризм
  • Язык:
    Русский
    ,
    Формат файла:
    MS Word
    1,58 Mb
  • Опубликовано:
    2012-03-21
Вы можете узнать стоимость помощи в написании студенческой работы.
Помощь в написании работы, которую точно примут!

Организация тура выходного дня по железной дороге

ОГЛАВЛЕНИЕ

ВВЕДЕНИЕ

ГЛАВА 1. ТЕОРИЯ ОРГАНИЗАЦИИ ЖЕЛЕЗНОДОРОЖНЫХ ТУРИСТИЧЕСКИХ МАРШРУТОВ

.1 Что включено в понятие «Туристический маршрут

.2 Железнодорожный тур - один из видов путешествий в России

.3 Организация железнодорожных туров

.4 Обеспечение безопасности железнодорожных туров

ГЛАВА 2. ИЗУЧЕНИЕ ВОЗМОЖНОСТИ ОРГАНИЗАЦИИ МАРШРУТА ВЫХОДНОГО ДНЯ В ХАБАРОВСКОМ КРАЕ

.1 Анализ потенциала края для организации маршрутов выходного дня

.2 Перспективы развития туров выходного дня в Хабаровском крае

.3 Изучение спроса на туры выходного дня в Хабаровском крае

ГЛАВА 3. РАЗРАБОТКА СЛОЖНОГО ТУРА ВЫХОДНОГО ДНЯ «КОМСОМОЛЬСК-на-АМУРЕ - НАЦИОНАЛЬНОЕ СЕЛО КОНДОН»

.1 Описание тура

.2 Калькуляция тура

ЗАКЛЮЧЕНИЕ

БИБЛИОГРАФИЧЕСКИЙ СПИСОК

ПРИЛОЖЕНИЯ

ВВЕДЕНИЕ

Российский туристический бизнес в настоящее время является развивающейся отраслью, и темпы данного развития вызывает оптимизм. Все более активизируется инфраструктура этого вида деятельности во всех регионах нашей страны и, в том числе, Хабаровском крае.

Подъём туристического бизнеса в Хабаровском крае на 60% обеспечен в основном за счет развития его внутренних направлений, где основной составляющей является железнодорожный транспорт, а это:

доступность тарифов;

надежность маршрутов;

приемлемость расписания;

возможности использования подвижного состава для размещения туристов, т.е. проживания его в вагонах поездов и пр.

Таким образом, основная задача на сегодняшний день - подготовка соответствующих современных программ, туров, маршрутов, организации системы использования всех составляющих туристского бизнеса, где железную дорогу можно признать доминирующим компонентом, организационной составляющей.

Туристические маршруты на железной дороге присутствовал на притяжении всей истории данного бизнеса, но путешествиям по железной дороге не уделялось пристального, и значимого внимания.

Рыночные отношения, казалось бы, должны были изменить данное отношение к турам на железнодорожном транспорте, но серьезного сдвига не произошло.

До сих пор от самого туризма как такового в пассажирских перевозках имеется лишь групповое бронирование билетов для организованных групп, а туристские маршруты пока и близко не напоминают зарубежные туры.

В современной социально-экономической ситуации целесообразно в отрасли железнодорожного транспорта развивать свой туристский сектор, имея для этого все основные ресурсы.

До девяностых годов наиболее популярными на Дальнем Востоке и в России в целом были железнодорожные туры:

«Маршруты выходного дня»;

поезда «Красная гвоздика»;

вагоны-клубы;

театральные поезда;

специализированные маршруты для студентов, школьников и других групп населения.

Железнодорожный туризм в условиях края будет способствовать:

занятости населения в территориях сосредоточения туристских ресурсов, пересекающихся железнодорожными линиями, стимулирования развития новых видов занятости и самозанятости местного населения, акцентируя их внимание на малый и средний бизнес особенно там, где слабо развита промышленность;

обеспечит возможность организации семейных малых предприятий, малых гостиниц, прокатных баз, пунктов питания, осмотра и поддержания сохранности достопримечательностей, мобильных культурно-досуговых коллективов и т.д.

Тем самым будет поддерживаться и развиваться социальная инфраструктура малых городов, поселков и станций. Благодаря выравнивающей функции туризма как отрасли экономики и социально-культурного сервиса может повыситься экономический и культурный рост районов, прилегающих к железной дороге.

Таким образом, благодаря развитию туристического бизнес, возможно обеспечить наибольшую загрузку транспорта, что создаст дополнительную возможность для оборудования более комфортных и адаптированных к местным условиям типов подвижного состава (кондиционеры, отопление), а также рост налоговых отчислений в бюджеты всех уровней, прибыли.

Густая сеть железных дорог позволяет организовать разнообразные по географическому направлению, форме и содержанию маршруты железнодорожных туров.

Маршруты «Выходного дня», являясь по своей сути «маленьким» путешествиями, экскурсиями, отдыхом, с разнообразной и насыщенной программой. Данные туры занимают, как правило, от 1 до 3 дней, и, как правило, выходных или праздничных.

В связи с ускорением темпа жизни, ухудшением экологии в городах, возникшей проблемой ухода в отпуск на длительный срок, а также развития уровня внутреннего туризма - можно предположить, что развитие такого направления как тур «выходного дня» имеет все шансы на успех.

Добавим к вышесказанному, что стоимость на такие туры относительно не велика (зависит от программы тура), но в целом эту сумму вполне может выкроить из своего бюджета среднестатистический россиянин.

В Хабаровске уже есть фирмы-турооператоры, работающие на рынке внутреннего туризма, которые имеют серьезные и интересные туры, но в направлении железнодорожного туризма пока никто не работает.

Следовательно, это направление туризма на сегодняшний день не развито, но имеет к развитию все предпосылки.

Значит, мы можем говорить об актуальности темы на данный момент времени.

Цель моей работы - разработка железнодорожного маршрута выходного дня.

Для достижения поставленной цели определены следующие задачи:

. Знакомство с железнодорожными маршрутами как с видом туризма.

. Изучение теоретических основ разработки железнодорожных туров.

. Анализ туристского потенциала Российских железных дорог

. Изучение возможности организации железнодорожных туров в нашем крае.

. Формулирование рекомендаций по разработке железнодорожного тура на основе результатов анкетирования.

. Разработка тура выходного дня в Хабаровском крае.

Предмет исследования моей дипломной работе - железнодорожный маршрут выходного дня, как вид туристского обслуживания.

Объектом исследования является железнодорожный туризм в России и в Хабаровском крае.

Богатый теоретический материал отражен в трудах таких ученных, как Гуляев В.Г., Папирян Г.А., Черных Н.Б., Чудновский А.Д., Морозова В.А.

При разработке методологических оснований исследования использовались труды Ковыневой Л.В., Чернова В.А., Романенко Л.П., Мирзехановой 3.Г.

В дипломной работе использовались следующие методы исследования:

методы сбора и накопления информации (изучение литературных данных и архивных материалов).

опрос потенциальных потребителей

опрос представителей турфирм

Структура ВКР: Дипломный проект состоит из введения, основной части, заключения, приложений, списка литературы.

В свою очередь основная часть состоит из трех глав:

Глава - Теория организации железнодорожных туристических маршрутов.

Глава - Изучение возможности организации в Хабаровском крае маршрута выходного дня

Глава - Разработка сложного тура выходного дня «Комсомольск-на-Амуре - национальное село Кондон»

ГЛАВА 1. ТЕОРИЯ ОРГАНИЗАЦИ ЖЕЛЕЗНОДОРОЖНЫХ ТУРИСТИЧЕСКИХ МАРШРУТОВ

1.1    Что включено в понятие «Туристский маршрут»?

Маршрут - заранее спланированная трасса с определенными точками в строго определенное время.

Маршрут - заранее спланированная трасса передвижения туриста в течение определенного времени с целью предоставления ему предусмотренных программой услуг. [58,с. 44]

Начало маршрута - место оказания туристу первой туристской услуги, оговоренной в договоре.

Конец маршрута - это место оказания последней туристской услуги.

Классификацию туристских маршрутов можно построить по различным признакам, (рисунок 1)

. По типам маршруты бывают:

тематические - с преобладанием экскурсионной и познавательной направленности;

походные - маршруты с активными способами передвижения;

физкультурно-оздоровительные - с преобладанием спортивных и физкультурно-оздоровительных мероприятий;

комбинированные - сочетающие элементы всех перечисленных маршрутов.

. По сезонности действия маршруты подразделяются:

круглогодичные (внесезонные);

сезонные - организованные в определенный сезон.

Рисунок 1 Классификацию туристских маршрутов

. По продолжительности маршруты бывают:

многодневными (14-30 дней);

несколько дней (1-3 дня) - маршруты выходного дня;

несколько часов (экскурсии).

. По виду транспорта на маршруте:

собственный транспорт туристской фирмы;

арендованный (зафрахтованный) транспорт у других организаций;

личный транспорт туристов.

. По способам передвижения на маршруте:

автобусные;

теплоходные (морские, речные);

авиационные;

железнодорожные;

комбинированные.

. По содержанию маршрута:

отдых на природе;

отдых на морском побережье;

отдых в горах и др.

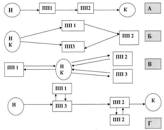
. По построению трассы маршруты делятся на (рисунок 2) [35, с 29]:

Рисунок 2 Схема туристских маршрутов по построению трассы

А - линейный тип (с посещением одного или нескольких пунктов (кроме начального), находящихся на трассе);

Б - кольцевой тип (при посещении нескольких пунктов - совпадением точек начала и конца маршрута (Москва - Ярославль - Кострома - Москва);

В - радиальный тип (стационарные с посещением одного пункта);

Г - комбинированный тип (путь следования, который содержит все элементы линейного, кольцевого и радиального маршрутов в той или иной комбинации);

Н - начальная точка маршрута;

К - конечная точка маршрута;

ПП 1-4 - промежуточные точки маршрута.

Проектирование туристской услуги осуществляется в следующей последовательности:

. Установление нормируемых характеристик услуги;

. Установление технологии процесса обслуживания туристов;

. Разработка технической документации;

. Определение методов контроля качества;

. Анализ проекта;

. Представление проекта на утверждение.

В документации по контролю качества должны быть установлены формы, методы и организация контроля над осуществлением процесса обслуживания туристов с целью обеспечения его соответствия выбранным характеристикам.

Анализ проекта является завершающим этапом проектирования. Его осуществляют представители соответствующих функциональных подразделений туристского предприятия. Он направлен на своевременное выявление и устранение несоответствий в проекте. Результатом анализа является уточненное содержание технологической документации туристского предприятия.

Пакет документов на спроектированные туристские услуги и процессы обслуживания туристов утверждает руководитель туристского предприятия по согласованию с заказчиком. Построение и разработка конкретного туристского маршрута - сложная и многоступенчатая процедура, требующая высокой квалификации разработчиков и являющаяся основным элементом технологии туристского обслуживания. Данная процедура по времени может занять несколько месяцев. Она завершается и согласованием и утверждением паспорта маршрута. Паспорт маршрутов используется при формировании туров.

Разработка маршрута проходит по следующим этапам:

этап - исследование туристских ресурсов на предполагаемой трассе.

этап - выявление ограничений по потреблению туристских ресурсов.

этап - маркетинг рынка на туристские услуги по данной трассе.

этап - определение типа маршрута.

этап - построение эскизной модели маршрута.

этап - определение категории дорог и их состояния.

этап - построение трассы маршрута.

этап - привязка маршрута к пунктам жизнеобеспечения.

этап - разработка схемы безопасности на маршруте.

этап - разработка карты скоростей маршрута.

этап - разработка паспорта маршрута.

этап - согласование паспорта с соответствующими службами.

этап - пробная обкатка маршрута без пассажиров.

этап - внесение изменений в схему маршрута после обкатки.

этап - утверждение паспорта маршрута.

По окончанию разработки маршрута заключается договоров с перевозчиками (авиакомпаниями; железной дорогой; автотранспортным предприятием; судоходством).

По окончанию разработки и утверждения маршрута, туроператор приступает к формированию тура, в который этот маршрут включается.

При подготовке тура туроператор обязан подготовить и представить на утверждение руководства следующую документацию:

. Описание маршрута, программу тура, характеристику объектов размещения (адреса, названия, условия размещения), условий питания;

. Калькуляцию тура;

. Данные о святынях, памятниках природы, истории, культуры и других объектов туристского показа, находящихся под особой охраной; о состоянии окружающей среды;

. Условия безопасности туристов на маршруте;

. Сведения о необходимых адресах телефонах;

. Сведения о принимающей стороне (если таковая имеется) (адреса, телефоны, фамилии, порядок разрешения конфликтных ситуаций).

Этапы проведения туристского маршрута приведены на рисунке 3

Рисунок 3. Этапы проведения туристского маршрута

Руководитель туристской группы обязан ознакомить туристов с условиями обслуживания. Различают четыре основных вида обслуживания:

. Транспортное обслуживание:

вид транспортного средства (поезд, автобус, самолет и т.д);

правила и порядок проезда;

категорийность, атрибуты комфорта;

скорость доставки до цели поездки;

возможность перевозки багажа и его вес;

возможность остановки в пути следования;

условия питания, сна и отдыха;

наличие неблагоприятных экологических факторов;

безопасность путешествия;

вместимость или количество мест.

.

Похожие работы на - Организация тура выходного дня по железной дороге

 

Не нашли материал для своей работы?
Поможем написать уникальную работу
Без плагиата!
Без нейросетей!