Трактор гусеничный сельскохозяйственный тягового класса 4 на базе ВТ-150
Реферат
Тема дипломного проекта: “Трактор гусеничный
сельскохозяйственный тягового класса 4 на базе ВТ-150. Спецвопрос: движитель.”
Цель работы: разработать конструкцию гусеничного движителя
сельскохозяйственного трактора, позволяющую увеличить срок службы гусеничной
цепи, ее надежность.
В данной работе приводится разработка конструкции гусеничного движителя
сельскохозяйственного трактора на базе ВТ-150. Усовершенствование направлено на
повышение срока службы шарнира гусеничной цепи. Проводится расчет основных
узлов трактора.
Введение
В условиях интенсификации сельскохозяйственного производства одним из
определяющих требованиям к сельскохозяйственной техники является повышение ее
производительности. Однако при этом происходит усложнение машин расширение их
функциональных возможностей, что связано с увеличением числа их узлов
(сборочных единиц) и массы. Это вызывает повышение механического воздействия
ходовых систем на почву. Последнее приводит к увеличению уплотнения почвы и
другим негативным последствиям, снижающим ее плодородие и урожайность
сельскохозяйственных культур.
Механическое воздействие движителей на почву не может рассматриваться
только со стороны уплотняющего воздействия, т.к. одновременно с этим происходит
интенсивное разрушение ее структуры под влиянием их буксования.
Создание новых машин - задача как техническая, так и экономическая,
поскольку разрабатываемые тракторы должны не только быть более совершенными по
техническим характеристикам, но и обеспечивать более высокие экономические
показатели на всех видах работ в различных почвенно-климатических зонах,
которые характеризуются как разнообразием возделываемых культур, так и
удельными сопротивлениями почв обработке и абразивностью.
Задача конструктора - создать машины, обеспечивающие заданное повышение
производительности при достижении высшего технического уровня, качества и
надежности.
При обосновании параметров проектируемых машин, масштабов их производства
необходимо учитывать, что проектируемый объект входит в упорядоченную иерархию
объектов и, с одной стороны, является частью системы более высокого уровня, а с
другой - системой для объектов более низкого уровня. Так, трактор входит в
машинно-тракторный агрегат, который, в свою очередь, входит в систему машин, в
то же время он является системой для компонентов (сборочных единиц и деталей),
его образующих.
Сокращение сроков разработки и освоения новой техники, повышение ее
производительности и надежности требует разработки систем автоматизированного
проектирования, применения методов проектирования на основе унифицированных
блочно-модульных и базовых конструкций, комплексной автоматизации машин с
использованием встроенных микропроцессоров.
Оптимизация параметров машин требует обоснованного выбора критерия
оптимизации. Сложность и обширность проблемы практически исключает проведение
оптимизации только по одному критерию, поскольку такое решение может быть
далёко не оптимальным для некоторых других, достаточно весомых критериев.
Очевидно, что ориентация на многокритериальную оптимизацию с независимыми
критериями наиболее правильная.
Особую значимость в условиях комплексной автоматизации производства
приобретает технологичность конструкции, количественная ее оценка с
использованием ЭВМ.
Тягово-сцепные свойства гусеничной тяговой машины являются одними из
основных ее показателей. Гусеничный трактор или тягач конструируют как тяговую
машину определенного назначения, как например: сельскохозяйственный общего
назначения, пропашной, промышленный для строительных или дорожных работ,
трелевочный, транспортный, болотный или мелиоративный. Назначение трактора
определяет типичные условия его работы, т.е. почвенные условия, скорость
движения и тяговое сопротивление прицепной или навесной машины. Задача
конструктора состоит в том, чтобы выбрать такие оптимальные конструктивные
параметры ходовой части и трактора в целом, которые обеспечили бы наилучшие
тяговые качества трактора. Поскольку трактор используется в широком диапазоне
силы тяги на крюке, составляющем от 0,4 до 1,2 номинальной силы тяги, основное
требование к ходовой части заключается в обеспечении высокого к.п.д. в этом
диапазоне силы тяги в различных почвенных условиях.
Для специальных тракторов, например транспортного, болотного и других,
работающих в разнообразных условиях, более важно обеспечить проходимость
трактора в трудных почвенных условиях, т. е. обеспечить его надежное сцепление
с почвой, оцениваемое коэффициентом сцепления.
Тяговые и сцепные свойства трактора связаны между собой. Обеспечение
надежного сцепления сельскохозяйственного трактора с почвой при предельных
условиях работы ведет к уменьшению его буксования на типичных режимах работы.
Некоторые специалисты считают, что современные гусеничные тракторы уже
имеют хорошие сцепные свойства. Однако при этом не учитывается, что дальнейшее
улучшение сцепных качеств сельскохозяйственного трактора за счет конструкции
позволяет уменьшить его вес, т. е. сэкономить металл и топливо. Чем лучше
сцепление трактора с почвой, тем устойчивее прямолинейное движение трактора и
легче осуществить автоматизацию его вождения. Чем меньше сопротивление качению
трактора, тем большее сопротивление рабочей машины он может преодолевать, т.е.
иметь более высокую удельную силу тяги на крюке (коэффициент использования веса
трактора), по которому часто и оценивают сцепление трактора с почвой.
1. Технические требования на машину
.1 Тип, назначение и место в системе машин
Трактор класса 4 тонн тяги - гусеничный, общего назначения, для работы в
сельском хозяйстве с навесным (включая фронтальную и боковую навеску), полунавесными,
прицепными, гидрофицированными, комбинированными машинами и орудиями. Трактор
предназначен для выполнения пахоты средних и тяжелых почв на глубину до 350 мм,
дискования почвы, сплошной культивации, посева, уборочных, транспортных,
дорожно - землеройных работ, работ в орошаемом земледелии и работы с
погрузочными материалами. Для выполнения пахоты тяжелых почв или глубокой
пахоты, трактор должен хорошо агрегатироваться с восьми корпусным при
нормальной управляемости.
На базе трактора должно быть предусмотрено создание болотоходной и
крутосклонной модификации с параметрами по скорости и мощности установленными в
соответствии с требованиями учреждений и ведомств, использующих этот трактор.
1.2 Тяговые и скоростные показатели при работе трактора на
стерне
Наименование параметра Показатель
Номинальное тяговое усилие, кН:
номинальное 40
максимальное (при длительной работе) 60
1.3 Показатели, характеризующие проходимость и устойчивость
трактора
Наименование параметра Показатель
Продольная база, мм 1800 - 1900
Колея, мм 1300 - 1400
Дорожный просвет, мм 430 - 450
Масса съемных балластных грузов, кг 400 - 500
Ширина гусениц, мм 460 - 480
Длина (с навесным устройством в транспортном положении), мм 5600
Ширина, мм 1800 - 1900
Высота, мм 3000 - 3100
Масса эксплуатационная без балластных грузов, кг 7600 - 7700
Среднее давление на почву (без балластных грузов), кПа 30 - 40
1.4 Весовые показатели трактора
Конструктивный вес трактора должен быть минимальным. Весовая нагрузка,
необходимая для обеспечения необходимого тягового усилия, достигается при
полной комплектации трактора в рабочем состоянии дополнительным
балансированием.
1.5 Технический уход за трактором
Затраты на технический уход за трактором не должны превышать 4 - 5 % от
общего времени эксплуатации. Это должно быть достигнуто введением
автоматической регулировки механизмов, сокращения течей смазки, введением
сочленений с постоянной смазкой, централизацией смазки отдельных механизмов с
автоматической дозаправкой, увеличением периодов между смазками, увеличением
объема топливного бака, созданием удобства и легкого доступа к смазываемым и
регулируемым точкам, введением болтовых соединений, не требующих периодической
подтяжки, хорошими уплотнениями, не допускающих течи топлива и смазки. Смазка
всех агрегатов трактора должна производится не более чем тремя видами смазочных
материалов.
1.6 Надежность, долговечность, износостойкость
Надежность, долговечность, износостойкость узлов и агрегатов трактора (за
исключением корпусных деталей) должны быть такими, чтобы обеспечивались
следующие сроки службы до капитального ремонта: двигателя не менее 5000 часов,
трансмиссии не менее 6000 часов, ходовой части не менее 4000 часов на
черноземных почвах и не менее 2000 часов на песчаных почвах. Корпусные
(базисные) детали должны работать без замены на протяжении всего срока службы
трактора.
1.7 Условия труда и техника безопасности
Конструкция трактора должна отвечать «Единым требованиям безопасности к
сельскохозяйственным тракторам, самоходным шасси, самоходным машинам и другим
сельскохозяйственным машинам и орудиям».
1.8 Унификация с тракторами других типов
Должна быть предусмотрена максимальная возможная унификация по основным
узлам и деталям с тракторами других классов. Следует предусмотреть возможность
создания максимально унифицированных настоящей базовой моделью модификаций
трактора для работы в горных условиях и болотистых почвах.
1.9 Двигатель трактора
Наименование параметра Показатель
Тип двигателя дизель
Номинальная мощность, л.с 110 - 120
Удельный расход при номинальной мощности, г/кВт ч 250 - 260
Коэффициент запаса крутящего момента, % 20 - 25
Частота вращения коленчатого вала, об/мин 1800 - 2000
Рабочий объем, л 10 - 15
Число цилиндров 4 - 6
Коэффициент приспосабливаемости не менее 1,15
Расход картерного масла в период гарантийного срока службы, в % от
расхода топлива не более 2,5
Пусковое устройство должно обеспечивать надежный запуск основного
двигателя с места водителя (пусковой двигатель с электростартером, управляемый
с места водителя). Предусмотреть устройство, исключающее запуск двигателя, при
отсутствии масла в системе, при перегретом двигателе. Пусковые качества должны
отвечать временным требованиям к системе пуска тракторных и комбайновых
двигателей.
1.10 Силовая передача и тормоза
Силовая передача трактора механическая многоступенчатая передача с
дистанционным переключением на ходу без остановки трактора. Механизм поворота
должен обеспечивать устойчивое прямолинейное движение при смещении точки
приложения тягового усилия до 150 мм от продольной оси трактора и плавные
повороты трактора на концах гонов, с агрегатами, рабочие органы которых не
выключаются (зубовые бороны, дисковые бороны и др.). Тормоза, гарантирующие
надежное фиксируемое удержание трактора на предельных по устойчивости подъемах
и спусках.
1.11 Ходовой аппарат
Ходовой аппарат и подвеска трактора должны обеспечивать необходимые
условия работы тракториста и сохранность машины при работе на повышенных
скоростях при выполнении сельскохозяйственных операций и транспортирования навесных
орудий. Конструкция гусеницы трактора должна обеспечивать нормальную работу в
зимних и летних условиях. Должна быть предусмотрена возможность установки
специальных гусениц для работы с искусственным покрытием. Периодичность
пополнения смазки в ходовой системе - не чаще чем через 1000 часов.
2. Техническое задание
|
Наименование показателя
|
Показатель
|
|
Тяговый класс
|
4
|
|
Номинальное тяговое усилие,
кН
|
4
|
|
Наибольшая тяговая
мощность, кВт
|
87
|
|
Скорость движения при
номинальном тяговом усилии, км/ч
|
6.0 - 7.5
|
|
Удельный расход топлива при
наибольшей тяговой мощности, г / кВт.ч
|
260
|
|
Условный тяговый КПД
|
0.75
|
|
Максимальная мощность на
валу отбора мощности (ВОМ) при регламентированной предприятием -
изготовителем трактора частоте вращения коленчатого вала двигателя, кВт.
|
111
|
|
Удельный расход топлива при
максимальной мощности на ВОМ, г/кВт.ч
|
210
|
|
К.п.д передачи от выходного
вала двигателя к хвостовику ВОМ при максимальной мощности на ВОМ
|
0.96
|
|
Относительный расход масла
двигателем, %
|
1.0
|
|
Мощность двигателя, кВт -
номинальная - эксплуатационная
|
115 110
|
|
Корректорный коэффициент
запаса крутящего момента двигателя, %
|
21
|
|
Скорость движения при
регламентированной предприятием - изготовителем трактора частоте вращения
коленчатого вала двигателя и отсутствии буксования, км/ч: переднего хода: -
наименьшая замедленная - наибольшая рабочая - наибольшая транспортная заднего
хода: - наименьшая - наибольшая
|
4.5 14.0 16.0 6.0 6.0
|
|
Наибольшее отношение
смежных передаточных чисел в рабочем диапазоне скоростей
|
1.259
|
|
Число передач: - переднего
хода - заднего хода
|
5 1
|
|
Масса трактора, кг: -
конструктивная с основным оборудованием - конструктивная без основного
оборудования - эксплуатационная без балласта - эксплуатационная с балластом
|
7300 7100 7610 8010
|
|
Наибольшее из средних
условных давлений движителей, кПа
|
32
|
|
Дорожный просвет, мм
|
438
|
|
Колея, мм
|
1330
|
|
Наименьший радиус поворота,
м
|
1,3
|
|
База трактора, мм
|
1830
|
|
Глубина преодолеваемого
брода, м
|
0,8
|
|
Грузоподъемность навесной
системы, кГс
|
3000
|
|
Условный объемный коэффициент
гидросистемы навесного устройства
|
0.65
|
|
Максимальная расчетная
отдаваемая мощность насосов по отношению к номинальной мощности двигателя, %
|
20
|
|
Длительность непрерывной
работы без дозаправки топливом при загрузке двигателя, моточасы
|
10
|
|
Время подготовки двигателя
к работе и время его пуска (при температуре окружающей среди минус 40
градусов), часов
|
0.5
|
|
Число видов агрегатируемых
машин
|
80
|
|
Ресурс до первого
капитального ремонта, моточасы - трактора - двигателя - трансмиссии - несущей
системы
|
12000 12000 12000 ПСС
|
|
Срок службы, лет
|
10
|
|
Коэффициент готовности: -
по оперативному времени - с учетом организационного времени
|
0.975 0.97
|
|
Удельная конструктивная
масса, кг/кВт
|
92,1
|
|
Число сортов масел и
смазок, применяемых в тракторе
|
2
|
|
Габаритные размеры, мм: -
ширина при минимальной колее - длина с навесной системой в транспортном
положении - высота
|
1860 5590 3095
|
|
Параметры на рабочем месте
водителя: - максимальная температура воздуха в теплый период года, град. -
минимальная температура воздуха в холодный период года, град - максимальный
уровень шума, дБА - максимальная концентрация окиси углерода, мг/м3
|
По ГОСТ 16035 - 81 33 14
80 20
|
|
Параметры вибрации: -
среднее квадратическое значение на месте оператора, м/с2
|
По ГОСТ 16035 - 81 0,55 -
1,9
|
|
Максимальное усилие
сопротивления перемещению органов управления - муфты сцепления - коробки
передач - механизма поворота - тормозной системы
|
По ГОСТ 16035 - 81 150 160
100 250
|
|
Путь торможения, м
|
2.4
|
|
Среднее замедление при
торможении, м/с2
|
3,5
|
|
Углы поперечной статической
устойчивости, град.
|
45
|
|
Предельные углы подъема и
спуска, град.
|
30
|
|
Коэффициент применяемости,
%
|
0,95
|
|
Коэффициент повторяемости,
%
|
0,9
|
|
Коэффициент межпроектной
унификации, %
|
0,8
|
3. Технические решения
3.1 Классификация гусеничных цепей
Гусеничная цепь является главным элементом гусеничного движителя, через
которую реализуются основные положительные качества гусеничного трактора.
Обычно на тракторе устанавливают движитель с двумя гусеницами. Существуют
конструкции сочлененных тракторов с четырьмя гусеницами.
Гусеницы служат для создания большой опорной поверхности, обеспечивающей
необходимое давление на почву при значительном весе трактора и надежное
сцепление его с почвой, а также для создания бесконечных рельсовых путей для
перекатывания опорных катков движителя и преобразования крутящего момента,
подводимого к ведущим колесам, в силу тяги, перемещающую тракторный агрегат.
Учитывая назначение гусениц и тяжелые внешние условия их работы, к ним
предъявляют ряд дополнительных требований: они должны обладать повышенной
прочностью и износостойкостью при возможно меньшей материалоемкости; быть
предельно простыми и недорогими в изготовлении, эксплуатации и ремонте.
Современные гусеницы классифицируют, в первую очередь, по типу их общей
конструкции. Первые - традиционные, состоящие из отдельных металлических
шарнирно соединенных звеньев, а вторые - монолитные резиноармированные (РАГ),
на отечественных тракторах ранее не применявшиеся.
Дальнейшую основную классификацию металлических гусениц проводят по
конструктивному выполнению их звеньев - они бывают составные и цельнолитые.
Помимо этого звенья гусениц можно различать: по типу беговой дорожки опорных
катков - рельсовые и плоские; по расположению шарнира на звене - приподнятый и
опущенный; по типу шарнира - закрытый, открытый, упругий (резинометаллический).
Необходимо отметить, что конкретной конструкции звена обычно присущи
сразу несколько квалификационных признаков.
3.2 Составная гусеница рельсового типа с приподнятыми
закрытыми шарнирами
Составное звено гусеницы рельсового типа с приподнятым закрытым шарниром
на сельскохозяйственных тракторах исторически появилось ранее литого плоского
звена. Оно состоит (рис.1.1,а) из двух отдельных штампованных щек (рельсов) 6 и
7 зеркальной конфигурации, соединительных деталей - втулки 11 и пальца 12,
опорной профильной плиты 8 (обычно называемой башмаком) и болтов 5 с шайбами 9
и гайками 10.
Обработанные механически и термически щеки 6 и 7 имеют по два отверстия:
большое - для запрессовки втулки 11 и малое - для соединительного пальца 12
звеньев. Втулки и пальцы выполняют, как правило, из малоуглеродистых сталей, с
последующей цементацией и закалкой поверхностей трения. Помимо этого на
внутренней обработанной плоскости щеки у малого отверстия сделана небольшая
кольцевая выточка "А", как показано на сечении шарнира (рис.1.1,6).
При сборе гусеницы вначале на концы втулки 11 напрессовывают правую 6 и левую 7
щеки так, чтобы ее края несколько выступали за внешние обработанные плоскости
щек. При последующей сборке соединительный палец 12 свободно проходит через
отверстие втулки 11, а на его выступающие концы последовательно напрессовывают
следующую пару щек с соединительной втулкой и т. д. Соединенные таким образом
щеки звеньев образуют беговую дорожку для опорных катков в виде рельс. Поэтому
такие звенья и получили название "рельсового типа".
К нижней поверхности каждой пары щек (рис.1.1,а) посредством болтов 5,
гаек 10 и стопорных шайб 9 крепится башмак 8 с поперечным грунтозацепом
"Б", выполненный из стали фасонного профиля.
Шарниры рельсовых звеньев обычно закрытого типа и приподняты над
поверхностью башмака. Закрытый шарнир обеспечивается тем, что (рис.2.9,б)
выступающие концы втулок 11 входят в кольцевые выточки "А" сложных
наружных щек 6 и 7, образуя лабиринтное уплотнение "В",
препятствующее попаданию внешнего абразива в его внутреннюю часть.
Так как звенья спрессовываются большим усилием, порядка 1000 кН, то для
установки гусеницы или ее снятия с движителя одно из ее звеньев делается
легкозамыкающим. В этом звене (рис.1.1) втулку 3 делают более короткой, чтобы
она не выходила за пределы отверстий щек, в которые она запрессована, а концы
соединительного пальца 2 чаще всего делают с коническими отверстиями и
продольным разрезом. При замыкании гусеницы соединительный палец 2 свободно
входит в малые отверстия наружных щек и соединительную втулку 3, после чего в
его концы запрессовывают стопорные конуса 1, заклинивающие концы пальца в
отверстиях щек. Для того чтобы выпрессовать конуса 1 при разборке гусеницы в них
выполнены резьбовые отверстия "Г", закрытые во время работы обычно
деревянными пробками. Дополнительные кольца (шайбы) 4, заменяющие отсутствующие
выступающие концы соединительной втулки 3, обеспечивают создание лабиринтного
уплотнения закрытого шарнира замыкающего звена.
Рассматриваемая гусеница имеет цевочное зацепление с ведущим колесом
движителя, где роль цевки выполняет наружная поверхность соединительной втулки
звена.
Главными достоинствами составных гусениц рельсового типа являются:
наличие закрытого шарнира, изолирующего его внутренние поверхности трения от
попадания на них абразива, что значительно снижает их износ и повышает
долговечность его работы; приподнятость шарнира над башмаком, что также степени
предохраняет его от попадания в него абразива; приподнятый над грунтом более
чистый рельсовый путь оказывает меньшее сопротивление качению опорных катков;
лучшая ремонтопригодность, позволяющая заменять изношенные детали составного
звена и при необходимости - увеличивать (уменьшать) опорную поверхность
башмаков или устанавливать на них дополнительные резиновые подкладки для
движения трактора по дорогам с твердым покрытием.
Основными недостатками этих гусеничных звеньев являются: большая
металлоемкость (достигающая до 25% от массы трактора); большая сложность и
трудоемкость их изготовления по сравнению с цельнолитыми гусеничными звеньями;
сложность в эксплуатации, требующая специальных прессовых приспособлений для их
разборки и сборки во время ремонта.
Однако, несмотря на отмеченные недостатки составные рельсовые гусеницы
имеют весьма широкое применение на тракторах, особенно - больших тяговых
классов, работающих на песчаных грунтах, главным образом из-за высокой
долговечности шарниров закрытого типа и ремонтопригодности составных звеньев
гусениц.
Для повышения долговечности шарниров и снижения в них потерь мощности на
трение в лучших их конструкциях (рис.1.2) применяют жидкостное смазывание пар
трения и дополнительные уплотнения. В этих шарнирах соединительная втулка 2 по
длине такая же, как в замыкающем звене, не выходящая за пределы отверстия щеки
3, но с тщательно обработанными торцами, используемыми как поверхности трения
торцового уплотнения. К ним и к торцу расточки в щеке 5 поджаты стороны
резиновых уплотнительных колец 4 с расжимным резиновым кольцом 8. Одновременно,
уплотнение 4, находясь на поверхности полиуретановых упорных колец 9,
дополнительно защищает внутреннюю полость шарнира от проникновения в него
абразива.
Соединительный палец 6 делается полым для заправки смазки и с отверстием
10 для ее подачи на поверхности трения шарнира. В торцы пальца 6
запрессовываются резиновые заглушки 7 с отверстием для закачки смазки, закрытым
пластиковой пробкой.
В некоторых конструкциях подобного шарнира вместо уплотнения 4 применяют
уплотнительное нажимное кольцо 11 из плотной резины, закрепленное в
металлической обойме 12, которая запрессовывается в расточку щеки 5 так, чтобы
торец кольца 11 был поджат к торцу втулки 2.
Составные рельсовые звенья позволяют значительно увеличивать опорную
поверхность гусеничного движителя путем замены обычных башмаков более широкими.
Для этого к обычной гусеничной цепи крепятся уширенные башмаки.
3.3 Гусеницы с литыми звеньями
Цельнолитые звенья гусениц изготавливают отливкой из высокомарганцовистых
сталей и по типу беговой дорожки они бывают плоскими или рельсовыми.
Плоские необработанные звенья гусениц для цевочного зацепления
(рис.1.3,а) представляют собой литые фасонные плиты с беговыми дорожками 1,
которые в средней части соединены широкой перемычкой - проушиной 2, являющейся
цевкой для зацепления с ведущим колесом. Чтобы гусеница не соскакивала во время
работы, на звеньях отлиты направляющие гребни 3 для качения опорных катков.
Звенья соединяются друг с другом посредством цементованных и закаленных
стальных пальцев 6, свободно вставленных в отверстия 4 соединительных проушин и
закрепленных в них посредством шайб 7 и шплинтов 8. Число проушин зависит от
ширины звена, но предпочитают их делать возможно большим, так как при этом
уменьшается концентрация напряжений на их кромках из-за изгиба пальца, что
несколько повышает долговечность шарнира открытого типа. Обычно применяют пяти
и семипроушинные шарниры.
Для лучшего сцепления звеньев с грунтом на стороне проушин обращенных к
нему выполнены приливы - грунтозацепы в виде шпор 5.
Плоские литые звенья гусениц для гребневого зацепления (рис.1.3,б) имеют
беговые дорожки 1, аналогичные ранее рассмотренным. Основные отличия этого
звена от предыдущего состоят в наличии центрального гребня 2, расположенного
между беговыми дорожками и служащего для зацепления звена с ведущим колесом и
направления движения опорных катков, и в наличии одного сплошного поперечного
грунтозацепа 3.
Преимуществом литых плоских звеньев по сравнению с составными рельсовыми,
являются простота их изготовления и обслуживания, небольшая стоимость и
относительно малая масса.
Основным недостатком этих звеньев является низкая долговечность, не
превышающая на обычных почвах 1200...2000 ч., а на песчаных опускаясь даже до
250...350 ч. Главной причиной этого является открытый шарнир низкого
расположения, позволяющий абразиву свободно проникать в проушины и производить
быстрое изнашивание их и соединительных пальцев, делая звено
неремонтопригодным, что в целом приводит к удорожанию эксплуатации трактора.
Дополнительным недостатком гусениц с цельнолитыми звеньями является
повышенное сопротивление качению опорных катков по плоским беговым дорожкам,
покрытым землей при работе трактора на мягких и рыхлых грунтах.
3.4 Литые гусеницы рельсового типа
Цельнолитые гусеничные звенья рельсового типа (рис.1.4) представляют
собой фигурные стальные отливки состоящие из плоской опорной плиты 4 (башмака)
с почвозацепом 6 на ее нижней стороне и двух направляющих фигурных щек 5
(рельс) - на верхней. Щеки имеют, в основном, такую же конфигурацию, как
штампованные щеки составного рельсового звена - с отверстиями для втулки и
соединительного пальца. При этом внутренние щеки одного звена при сборке входят
в пространство между наружными щеками другого звена. Перед сборкой гусеницы в
каждое отверстие одной наружной стороны щеки запрессовывают малые втулки 1.
Затем последовательно совмещают отверстия наружных и внутренних щек сопрягаемых
звеньев и запрессовывают в последние втулку 2 так, чтобы ее концы несколько
входили в отверстия наружных щек. Соединительный палец 3, выполненный
ступенчатым с утолщенной головкой, свободно входит во втулку 2 и
запрессовывается концом в ранее установленной втулке 1, а головкой - в
отверстие противоположной наружной щеки, образуя тем самым закрытый приподнятый
шарнир. Выступающие концы втулки 2 одного звена, входя в отверстия щек другого
звена, образуют лабиринтное уплотнение, предотвращающее попадание абразива в
шарнир, как в ранее рассмотренных составных звеньях рельсового типа.
Перед замыканием гусеницы в отверстие внешней щеки замыкающего звена
впрессовывают короткую втулку 8, не выступающую за ее края, а в отверстие
противоположной внешней щеки устанавливают дополнительное кольцо 11. Во
внутренние щеки другого замыкающего звена впрессовывают короткую втулку 10, не
выступающую за габариты щек. Затем совмещают отверстия замыкаемых звеньев и
свободно вставляют замыкающий палец 9 с продольно разрезанными коническими
отверстиями на его торцах. После этого вставляют стопорные конуса 12 в
отверстия пальца и запрессовывают их через оправку. Резьбовые отверстия в
конусах, закрытые пробками 7, служат для выпрессовки конусов при размыкании
гусеницы. Гусеница имеет цевочное зацепление с ведущим колесом, причем обычно
оно осуществляется через один зуб.
Достоинством литых гусеничных звеньев рельсового типа является их более
высокая долговечность по сравнению с плоскими литыми звеньями (примерно в
1,5...2 раза) и относительная простота изготовления. Помимо этого они имеют и
ряд других положительных качеств составных рельсовых звеньев.
Вместе с тем их недостатком является большая металлоемкость, достигающая
20...22% от массы трактора, шумность в работе и плохая ремонтопригодность, что
сдерживает их широкое применение в гусеничных движителях.
3.5 Гусеницы с РМШ
Чтобы повысить срок службы шарниров плоских литых гусениц было предложено
много способов, среди которых наиболее перспективным является применение
резинометаллических шарниров (РМШ). Рассмотрим в качестве примера схему РМШ с
ограничителями радиальной деформации резиновых втулок (рис.1.5). На
соединительный палец 2 предварительно поочередно устанавливают ограничительные
металлические втулки 4 с наружным диаметром меньшим, чем отверстие в проушине и
резиновые втулки 3 с внешним диаметром на 35...40% больше диаметра отверстия в проушине,
которые затем вулканизируются. После этого обычно комплект "палец -
втулки" впрессовывается в предварительно расточенные проушины
соединяющихся звеньев 1 и 5. В обычных условиях эксплуатации под действием
тягового усилия сжимаются только резиновые втулки 3. Когда же сила тяги
приближается к максимальной в контакт в проушиной вступают и металлические
втулки 4, предотвращая тем самым разрушение резиновых. Поворот звена 1
относительно звена 5 приводит к закручиванию резиновых втулок 3. При этом втулки,
запрессованные в проушины звеньев 1 и 5, закручиваются в разные стороны. Чтобы
уменьшить деформацию скручивания резиновых втулок при перегибах гусеницы в ее
движении с ведущим и направляющим колесами движителя, звенья гусеницы
предварительно соединяют друг с другом под углом 12... 14°.
Таким образом, в гусеницах с РМШ возможность складывания звеньев (траков)
друг относительно друга в точках перегиба обвода обеспечивается использованием
упругого элемента. Наибольшее распространение в качестве упругих элементов в
гусеницах получили резиновые втулки, работающие на сжатие и кручение. При этом
в зависимости от схемы расположения резиновых втулок различают два вида упругих
шарниров: с последовательным расположением упругих элементов (рис.1.6,а) и с
параллельным расположением упругих элементов (рис.1.6,б), или, как принято
сокращенно называть, последовательный и параллельный РМШ.
В последовательном РМШ (рис.1.6,а) звенья 1 и 3 гусеницы соединяют друг с
другом соединительным пальцем 2. При этом сила тяги Р от одного звена к другому
передается через резиновые втулки 4, которые в точках перегиба обвода
скручиваются на угол а/2 в каждой проушине, где а - угол относительного
поворота звеньев 1 и 3 гусеницы. В собранном виде резиновые элементы соседних
звеньев гусеницы составляют один блок из последовательно расположенных вдоль
оси пальца втулок чередующихся проушин.
В параллельном РМШ (рис.1.6,б) растягивающее усилие Р от звена 1 на звено
3 передается посредством двух соединительных пальцев 2 и скоб 5. Резиновые
втулки 4 каждого звена, как и у последовательного РМШ, скручиваются в точках
перегиба на угол а/2. У параллельного РМШ в собранном виде упругие элементы
смежных звеньев гусеницы составляют два блока.
В гусеницах с параллельными РМШ разборность конструкции обеспечивается
при помощи соединительных скоб 5, которые обычно крепят к пальцам болтами с
клиновыми головками.
Для обеспечения разборности гусениц с последовательными РМШ приходится
шарнир делать в виде составного блока из резинометаллических втулок (резиновое
кольцо привулканизировано к металлическому кольцу) и соединительного пальца.
При этом неподвижность втулок на пальце достигается тем, что палец и внутренние
отверстия втулок делаются фасонными, чаще всего шестигранными. Втулки
стягиваются на пальце гайками.
Длина резиновых втулок, через которые передается тяговое усилие Р
(рис.1.6) у гусеницы с последовательными РМШ составляет 45...50% от общей
ширины гусеницы, у гусеницы с параллельными РМШ - 60.. .70%. Поэтому гусеницы с
параллельными РМШ целесообразно применять только на мощных тракторах больших
тяговых классов, так как они обеспечивают более высокую стабильность шага при
изменении тягового усилия.
Однако, несмотря на значительное повышение долговечности РМШ (до 6000 ч.)
и меньшую шумность работы гусеницы, их широкое применение на тракторах
ограничено повышенной стоимостью производства и сложностью эксплуатации.
3.6 Резиноармированные гусеницы
Резиноармированные гусеницы (РАГ) представляют собой монолитную
конструкцию, армированную стальными тросами и закладными металлическими
элементами, завулканизированными в кордовую резиновую ленту. Последние служат,
в большинстве случаев, для цевочного зацепления гусеницы с ведущим колесом
движителя. Общий вид РАГ показан на рисунке 1.7,а, а условный ее разрез по закладному
элементу и цевке показан на рисунке 1.7,б.
Существуют конструкции РАГ, в которых отсутствуют закладные металлические
элементы. Здесь передача крутящего момента с ведущего колеса на гусеницу
осуществляется за счет сил трения между ними. При этом ведущее колесо
выполняется гладким с резиновым бандажом или пневматической шиной для
увеличения трения с гусеницей. Такие конструкции РАГ менее перспективны, так
как требуют сильного натяжения гусениц, что приводит к снижению их
долговечности.
Более перспективны РАГ с закладными металлическими элементами,
зацепляющимися с ведущим колесом.
РАГ начинают находить все более широкое применение в современных
тракторах, благодаря ряду их положительных качеств:
высокой долговечности (до 6000 ч.), примерно в два раза большей по
сравнению с гусеницами с открытыми металлическими шарнирами;
возможностью выполнения трактором транспортных работ на асфальтовом и
бетонном покрытиях без их разрушения;
на 25...30% меньше уплотняющее воздействие на почву при одинаковой ширине
с металлическими гусеницами;
возможность установки РАГ на серийный гусеничный трактор без переделки
конструкции движителя.
Помимо этого, они обладают хорошей самоочищаемостью от грязи при любой
влажности и снабжены формами грунтозацепов, исключающих сползание трактора при
работе на косогорах.
К недостаткам РАГ подобного типа следует отнести относительную сложность
производства и сложность установки гусеницы на трактор в полевых условиях.
3.7 Патентное исследование
.7.1 Усовершенствованный шарнир гусеничной цепи
Известно изобретение повышающее долговечность шарнира гусеничной цепи.
Для этого в проушинах звеньев 1 гусеничной цепи (рис.1.8) устанавливаются
плавающие втулки 2, 3, 4, 5 и 6, общая длина которых больше ширины всех проушин
на суммарную величину зазоров между проушинами. Втулки соединяются пальцем 7
Палец и втулки зафиксированы в проушинах звеньев ограничителями, установленными
на палец с обеих сторон и состоящими из шайб 8 и стопорных колец 9. В концевых
проушинах между крайними втулками 2 и 6 и шайбами 8 установлены упругие
уплотнительные кольца 10. Уплотнительные кольца, поджимая втулки, обеспечивают
смыкание их торцов, что препятствует проникновению абразива в радиальные зазоры
между пальцем и втулками.
Кроме того, за счет вращательной подвижности плавающих втулок
относительно проушин и пальца темп износа деталей шарнира также снижается.
3.7.2 Уширенное звено гусеничной цепи
Уширенное звено гусеничной цепи содержит проушины для установки
соединительных пальцев, несимметричные уширители и цевки для зацепления с
ведущей звездочкой, выполненные в виде внешних и внутренних контактных
поверхностей, - имеющих подобные изогнутые профили, соединенные продольной
перемычкой. С целью повышения срока службы путем унификации звеньев и
использования их на обеих сторонах транспортного средства, центры радиусов
изогнутых профилей внешних и внутренних контактных поверхностей цевок
равноудалены в противоположные стороны от плоскости, проходящей через оси
проушин, а соединяющая их плоскость расположена под углом по отношению к
указанной плоскости, проходящей через оси проушин.
На рисунке 1.7 изображено звено гусеничной цепи, вид в плане; на рисунке
1.8 - разрез А-А на рисунке 1.7.
Звено гусеничной цепи включает центральную опорную часть 1 (рис 1.7) с
беговыми дорожками 2, ребордами 3 и элементы цевочного зацепления, выполненные
в виде двух геометрически подобных радиальных поверхностей - внешней 4 и
внутренней 5, соединенных между собой продольной перемычкой 6.
Звено гусеничной цепи имеет проушины 7 под соединительные пальцы и
несимметричный уширитель, образованный коротким 8 и длинными 9 крыльями. Все
элементы звена выполнены в виде единой отливки.
Центры О и О1 радиусов R контактных поверхностей элементов цевочного
зацепления (рис 1.8) равноудалены на расстояние а, в противоположные стороны от
плоскости, проходящей через оси проушин звена, и лежат в плоскости,
составляющей с ней угол 10 - 25◦, причем этот угол имеет меньшую величину
при малом шаге гусеничной цепи и большем диаметре ведущей звездочки и наоборот.
Такие гусеничные звенья могут одинаково работать как с внешним, так и с
внутренним цевочным зацеплением с ведущей звездочкой ходовой части
транспортного средства. В первом случае ведущая звездочка взаимодействует с
внешней контактной поверхностью 4, во втором - с внутренней 5.
Звенья с помощью проушин 7 и соединительных пальцев собирают в гусеничные
цепи и устанавливают на транспортном средстве так, чтобы длинные 9 крылья
звеньев левой и правой цепей были направлены в наружные стороны от продольной
оси машины. Это достигается путем разворота одной из гусениц на 180°. Затем
звенья одной гусеничной цепи вводят в зацепление с ведущей звездочкой по
внешней контактной поверхности 4 цевочного зацепления, а звенья другой - По
внутренней поверхности 5.
В процессе эксплуатации транспортного средства при износе контактных
поверхностей элементов цевочного зацепления и зубьев ведущих звездочек
производят совместную перестановку гусениц и венцов ведущих колес с одной
стороны гусеничного хода на другую, при этом в работе поочередно включаются
практически неизношенные контактные поверхности.
Элементы цевочного зацепления включают последовательно в работу каждую из
контактных поверхностей, что обеспечивает возможность перестановки гусеничных
цепей и венцов ведущих звездочек по мере износа их контактных поверхностей с
одной стороны на другую, увеличивая тем самым срок служб звеньев и снижая
эксплуатационные расходы.
3.7.3 Звено для тягового средства повышенной проходимости
Изобретение предназначено для тягового средства повышенной проходимости
на гусеничном ходу, и обеспечивает улучшение ходовых качеств на грунтах с
различными деформационными свойствами. Для этого опорная поверхность звена
образована плоскими участками в зоне действия опорных катков и куполообразным
сводом между плоскими участками, а также выпуклыми крыльями с плавным
сопряжением между собой на основе параболической сплайн-функции. Плоские
участки опорной поверхности обеспечивают устойчивость звеньев на жестком
грунте, а на слабодеформируемом вступают в контакт перемычки между основанием
крыльев, свода и плоских участков, которые улучшают поперечную устойчивость
транспортного средства. На грунтах с малой несущей способностью куполообразный
свод концентрирует напряжение в грунтовом пространстве, что повышает
тягово-сцепные свойства.
Звено выполнено цельным и содержит тело 1 звена с беговыми дорожками 2,
направляющими гребнями 3 и проушинами. К телу звена примыкают короткое крыло и
длинное - уширитель, которые имеют выпуклую форму в сторону почвы.
Тело звена в центре имеет вогнутую куполообразную форму 7. Она плавно
переходит в плоские участки поверхности звена и далее - в выпуклые по форме
крыльев, в результате чего образуются перемычки 9.
Звено изготавливается, например, единой отливкой, а плавность перехода из
одной поверхности в другую обеспечивается параболической сплайн-функцией,
причем кривизна выпуклой формы крыльев и их ширина выбираются из условия
равенства моментов сил, возникающих при вертикальной, деформации грунта
относительно осей беговых дорожек.
При движении транспортного средства по жесткому грунту каждое звено
гусеницы контактирует плоскими участками своей опорной поверхности,
находящимися в зоне нагрузок, воспринимаемых от опорных катков. Этим
обеспечивается устойчивость звеньев.
При взаимодействии звена со слабо-деформируемым грунтом в контакт
вступают перемычки 9, которые улучшают поперечную устойчивость движения
транспортного средства, в частности, на косогоре.
При погружении звена в грунт с малой несущей способностью криволинейная
часть его опорной поверхности вызывает в зоне контакта с грунтом отклонение
приложенной нагрузки от вертикали и появление касательных составляющих в виде
сил трения между поверхностью звена и грунтом, а также нормальных составляющих,
воспринимаемых объемно деформируемым пространством грунта. Поэтому под выпуклой
поверхностью крыльев образуется зона рассеивания напряжений, которая
способствует понижению уровня нагрузки кромок звена на грунт, что обеспечивает
предохранение его верхнего слоя от разрушения.
Под вогнутой формой поверхности звена напряжение концентрируется вглубь
грунтового объема, т. е. грунтовые слои подвергаются обжатию, тем самым,
конструкция звена обеспечивает повышение сцепных свойств защемленного грунта с
его опорной поверхностью.
3.7.4 Трак гусеничной цепи
Изобретение предназначено для использования в качестве опорной части
трака (литого, составного или другого типа) гусеничной цепи транспортного
средства. Цель изобретения - повышение сцепления с опорной поверхностью. Трак
гусеничной цепи содержит основание и расположенные на. нем по изогнутой линии
поперек гусеничной цепи и расчлененные на ряд зубьев грунтозацепы. Зубья в ряду
расположены с промежутками в проекции на плоскость, поперечную продольной оси
гусеничной цепи. Ширина зубьев в проекции на ту же плоскость равна 0,5-1,1 их
высоты, а ширина промежутков равна 0,2-1,2 ширины отдельного зуба. Крайние
грунтозацепы образуют угол 150 - 170°, биссектриса которого совпадает с
продольной осью гусеничной цепи, а вершина обращена в сторону передней кромки
трака на рабочем участке этой цепи.
Трак составной гусеницы, опорная часть которого содержит основание и
расположенные на нем снизу по изогнутой линии поперек гусеничной цепи
расчлененные на ряд зубьев грунтозацепы, причем ширина зубьев в проекции на
плоскость, поперечную продольной оси гусеничной цепи, равна 0,5-1,1 их высоты,
а расстояние между ними в проекции на ту же плоскость равно 0,1-1,1. ширины
отдельного зуба. С такой конструкцией опорной части трака гусеничная цепь
транспортного средства не обеспечивает достаточного сцепления с опорной
поверхностью (грунтом, почвой или снегом) из-за того, что крайние зубья
грунтозацепов не ориентированы относительно оси гусеничной цепи и направления
движения трактора.
Как показали результаты испытаний, в диапазоне угла б существует
качественный скачок, а коэффициент сцепления трака на 10-20% выше по сравнению
с траком, у которого б =0. За пределами указанного диапазона б коэффициент
сцепления всегда ниже (рис 1.11). Физически это явление объясняется следующим.
Как известно, при сдвиге трака в почве возникает напряжение, изобары которых
показаны на рисунке 1.10. Изобары располагаются в основном в секторе с углом
2у, составляющим в зависимости от почвенных условий угол 60-90°, и
концентрируются в направлении центра площадки нагружения (в нашем случае
площадкой нагружения является каждый зуб грунтозацепа). Известно также, что
величина максимальных напряжений ф при сдвиге почвы траком может определяться
по зависимости Мора-Кулона:
С0+qtgв
(1.1)
где
С0 - сцепление почвы;
в
- угол внутреннего трения почвы;- нормальное давление (пригрузка).
Из
зависимости (1.1) следует; что для одной и той же почвы чем больше нормальное
давление q, тем больше ф, а при отсутствии пригрузки q=0 напряжение ф
определяется только сцеплением почвы. Таким образом, чем больше в сторону
отрицательного угла б будет изменяться наклон крайнего зуба, тем большая часть
изобар будет располагаться вне ширины трака и тем большая часть суммарного
напряжения сдвига будет состоять из напряжений, определяемых только сцеплением
почвы. И, наоборот, чем больше в стороны положительного угла будет изменяться
наклон крайнего зуба, тем большая часть изобар будет располагаться под траком
(под пригрузкой), и тем большая часть суммарного напряжения сдвига будет
состоять из напряжений, определяемых равенством (1.1). За пределами
оптимального диапазона угла б = 5-15 (по данным экспериментов это происходит на
различных почвах) суммарное напряжение сдвига, так же как и коэффициент
сцепления трака, начнет снижаться.
При
расположении крайнего зуба под углом б к горизонтали появляется возможность
снизить его массу. Это происходит из-за того, что момент сопротивления изгибу
зуба возрастает пропорционально квадрату высоты его сечения, тогда как масса -
только пропорциональна толщине зуба. Зуб расположенный под углом к горизонтали,
можно сделать менее металлоемким при той же прочности.
Таким
образом, расположение крайних зубьев грунтозацепа опорной части трака в
оптимальной зоне позволяет повысить сцепление гусеницы трактора, с опорной
поверхностью и снизить металлоемкость, что в конечном счете повышает КПД и
производительность трактора, а также снижает буксование, расход топлива и
разрушение почвы.
3.7.5
Гусеничная цепь транспортного средства
Сущность
изобретения: гусеничная, цепь транспортного средства содержит соединенные между
собой шарнирно звенья 1 (рис. 1.12) и прикреплённые к ним накладки 2.
Эластичные армированные накладки 2 выполнены с грунтозацепами, расположенными
под шарнирами смежных звеньев с возможностью плотного прилегания друг к другу
по плоскости, проходящей перпендикулярно беговой дорожке звена. Накладка 2
выполнена по длине, равной или несколько больше шага звена гусеницы.
Известны
гусеничные цепи, состоящие из литых многопроушинных или штампованных составных
звеньев с открытыми или закрытыми шарнирами, с металлическими грунтозацепами на
плите звена или съемном башмаке. Одним из недостатков таких гусеничных цепей
является невозможность использования гусеничных транспортных средств для
движения по дорогам с твердым покрытием.
При
применении известных конструкций съемных накладок без почвозацепов необходимо
возить их на тракторе, устанавливать для движения по дорогам с твердым покрытием
и снимать по прибытии на поле. В связи с этим такие накладки не получили
широкого распространения.
Известны
также гусеничные цепи, содержащие соединенные между собой шарнирной связью
звенья и прикрепленные к ним эластичные армированные накладки, .выполненные с
почвозацепами. Преимущественно такие накладки выполняются гладкими и
предназначены большей частью для скоростных транспортных средств.
Одним
из недостатков таких гусеничных цепей является повышенное буксование их на
тяговых гусеничных машинах при выполнении сельскохозяйственных (тяговых) работ.
Повышенное буксование приводит к местному уплотнению почвы, нарушению ее
структуры, ветровой эрозии и снижению плодородия почвы.
Снижение
уплотняющего воздействия на почву путем ограничения обратного угла складывания
гусеничной цепи достигается тем, что в гусеничной цепи транспортного средства,
содержащей соединенные между собой шарнирной связью звенья и прикрепленные к
ним эластичные армированные накладки, выполненные с почвозацепами, каждый
грунтозацеп расположен под шарниром смежных звеньев и образован из двух частей,
каждая из которых расположена по концам смежных звеньев с возможностью плотного
прилегания друг к другу торцов указанных частей смежных звеньев по плоскости,
проходящей перпендикулярно беговой дорожке звена, при этом размер накладки по
длине не менее шага звена гусеницы.
Предлагаемая
гусеничная цепь состоит из литых или штампованных звеньев, соединенных между
собой шарнирно, и 'съемных или несъемных накладок.
Звенья
гусеницы имеют цевку (или гребень) для зацепления с ведущим колесом, проушины
для шарнирного соединения звеньев, беговые дорожки и реборды для опорных
катков, а также опорные площадки звена гусеницы. Для литых звеньев может быть
выполнена система оребрения плиты звена для повышения изгибной прочности
детали. В предлагаемой конструкции гусеничной цепи транспортного средства звено
выполнено без почвозацепов Съемная накладка выполнена из эластомера,
преимущественно из резины, армированной металлическим каркасом и имеющей на
концах в продольном направлении почвозацепы из основного материала накладки,
без армирования. Почвозацепы накладок расположены под шарнирами, соединяющими
звенья между, собой, и выполнены так, что каждый почвозацеп образуется из двух
частей, выполненных одна на данной, другая на соседней накладках. Элементы
почвозацепов каждой накладки при горизонтальном расположении гусеничной цепи
соприкасаются с соответствующими элементами почвозацепов соседней накладки по
плоскости, проходящей перпендикулярно беговой дорожке звена, и образуют
составной почвозацеп гусеничной цепи в целом. Таким образом, накладка,
выполненная по длине равной шагу звена или несколько больше, при установке в
горизонтально расположенную гусеничную. цепь создает определенный подпор на
соседнюю накладку, который определяет усилие сопротивления обратному
складыванию гусеницы и обеспечивает перераспределение нагрузки от опорного
катка на соседние звенья. Этим уменьшается коэффициент неравномерности
распределения нагрузки по длине опорной поверхности гусеницы без интервала
выбора зазора между упорами звеньев и выравниваются эпюры максимальных давлений
на почву.
Введенная
внутрь накладки из эластомера коробчатая металлическая арматура для обеспечения
надежного соединения со звеном гусеницы создает жесткое основание накладки
плотное его прилегание к опорной площадке звена, имеющей преимущественно
сложную поверхность. При этом арматура накладки не входит в элемент почвозацепа
чем обеспечивается его упругость. Располагаясь горизонтально при
соприкосновении гусеничной цепи с почвой, элементы почвозацепов, действуя друг
на друга, деформируются и уменьшают объем пространства, между элементами
почвозацепов одной накладки, в которое набивается грязь. При выходе звена
гусеницы на наклонную ветвь гусеничного обвода или ведущее и направляющее
колеса подпор исчезает, объем между элементами почвозацепов увеличивается, что
способствует самоочищению гусеницы от грязи.
Преимуществом
предлагаемых ограничителей обратного угла складывания, выполненных из
эластичного материала, является то, что при незначительных положительных углах
поворота звеньев происходит касание друг друга упоров ограничителей соседних
звеньев. При этом упоры расположены на расстоянии, большем, чем шаг звена. При
нулевом угле поворота происходит взаимная деформация упоров, что создает,
усилие сопротивления повороту звеньев с отрицательным углом. Гусеничная цепь
под опорными катками по своим свойствам приближается к свойствам единой
(бесшарнирной) плиты и в передаче давления опорного катка участвуют и соседние
звенья. Максимальное давление, соответственно, резко снижается. В то же время,
при переезде единичного препятствия возможно образование отрицательного угла
складывания за счет значительной деформации упоров без нарушения их
функциональных свойств.
3.7.6
Звено гусеничной цепи с ограничителем обратного прогиба
Звенья
гусеничной цепи, соединенные одни с другими с помощью пальцев, имеют гладкую
опорную поверхность. Грунтозацепы выполнены эвольвентного профиля заодно со
звеньями и расположены в их передней части. Звено содержит упор, выполненный за
одно целое с грунтозацепами и расположенный в зоне передней проушины.
Изобретение
может найти широкое применение при их работе в условиях повышенной влажности
почвы (работа гусеничных тракторов на рисовых полях и т.п.).
Тягово-сцепные
показатели гусеничных машин во многом зависят от конструктивных параметров
звеньев гусеничных цепей. Для реализации значительных тяговых усилий применяют
звенья с хорошо развитыми почвозацепами.
Однако
при работе в условиях повышенной влажности почва налипает на опорную
поверхность звеньев, значительно ухудшая их сцепные качества.
Известна
конструкция движителя гусеничной машины, звенья которого имеют принудительную
очистку от налипающей почвы. Звенья гусеничной цепи выполнены заодно с почвозацепом,
который имеет переднее расположение на звене, и шарнирно на соединительных
пальцах установлены пластины, которые при взаимодействии с зубом ведущего
колеса поворачиваются на определенный угол, производя при этом удаление
налипшей почвы с опорной поверхности почвозацепа. Налипшая на пластины почва
отделяется от них либо за счет вибрации, которая возникает при движении звеньев
по ведущему колесу, а если этого недостаточно, то налипшую почву удаляют
скребки, установленные на удлиненной верхней оси механизма навески и
переводимые в рабочее и нерабочее положения с помощью гидросистемы трактора.
Недостатками
звеньев такого движителя являются: повышенный вес в сравнении с обычной
распространенной конструкцией звена и усложнение конструкции звена, что ведет к
дополнительным затратам на его изготовление.
Известна
конструкция гусеничного движителя, применяющаяся на бульдозерах. Звено гусеницы
такого движителя составное и включает в себя непосредственно звено цепи, к
которому с помощью болтов крепится элемент, имеющий в сечении профиль сегмента
корытообразной формы. При движении по грунту, имеющему высокую влажность и
низкую твердость, происходит внедрение в почву опорных элементов. Причем
глубина внедрения, а следовательно, и сцепные свойства зависят от несущей
способности грунта. При выходе из зацепления с почвой и движении по ведущему
колесу расстояние между вершинами соседних опорных элементов увеличивается, что
способствует отпадению налипшей почвы от опорных элементов.
Недостатками
такой конструкции звеньев гусеничных цепей являются сложность конструкции и
значительное сопротивление самопередвижению.
Известна
конструкция звена гусеничной цепи, содержащего опорную плиту с проушинами и
грунтозацеп, причем боковая поверхность грунтозацепа описана дугами окружностей
из центров, расположенных на осях, проходящих через оси проушин перпендикулярно
к опорной плите.
Грунтозацеп
изготовлен вместе с траком гусеницы и расположен посредине трака между
проушинами. В горизонтальном сечении по основанию грунтозацеп имеет форму
прямоугольника. При движении транспортного средства трак приподнимается к
ведущему колесу, поворачиваясь относительно одной из проушин. При этом боковая
поверхность грунтозацепа выходит из грунта, не сдвигая его.
Недостатками
такой конструкции звеньев гусеничных цепей являются неравномерность
распределения нормального давления движителя на почву по длине ходового
аппарата из-за наличия обратного угла прогиба гусеничной цепи, а также среднее
расположение почвозацепа, которое приводит к гораздо большему нарушению
структуры почвы и, следовательно, снижению сопротивления сдвига почвы, что
ведет к ухудшению сцепных свойств движителя в сравнении с передним
расположением почвозацепов.
В
звене гусеничной машины для работы на почвах повышенной влажности, содержащем
плиту с гладкой опорной поверхностью, проушины, соединительные элементы и
выполненный за одно целое с плитой грунтозацеп с дугообразными выпуклыми
боковыми поверхностями, поперечная ось которого параллельна оси проушины,
дугообразная выпуклая боковая поверхность грунтозацепа выполнена по эвольвенте,
при этом грунтозацеп расположен в зоне передних проушин. С целью равномерного
распределения давления на почву в звене выполнен упор.
На
рисунке 1.13 показано предлагаемое звено. Звено гусеничной цепи представляет
собой стальную отливку сложной конфигурации, включающую гладкую опорную
поверхность 1 и выполненный за одно целое с плитой грунтозацеп 2 с
дугообразными выпуклыми боковыми поверхностями, поперечная ось которого
параллельна оси проушины 3. Проушины 3 служат для соединения звеньев между
собой. Звено имеет беговые дорожки 4 и направляющие реборды 5 для опорных
катков 6. Дугообразная выпуклая боковая поверхность грунтозацепа 2 выполнена по
эвольвенте, при этом грунтозацеп расположен в зоне передних проушин.
Упор
выполнен за одно целое с грунтозацепом, который позволяет при соединенных
звеньях обеспечить отсутствие обратного прогиба гусеничной цепи. т.е.
гусеничная цепь изгибается только в сторону внутреннего гусеничного обвода.
Звенья
работают следующим образом. При движении гусеничной машины почвозацеп 2 с
передним расположением на звене, входя в зацепление с почвой, благодаря своему
эвольвентному профилю оказывает наименьшее разрушающее действие на почву, так
как переднее расположение почвозацепа 2 на звене исключает проворачивание
почвозацепа 2 в почве при его внедрении. При выходе из зацепления почвозацепа
эвольвентного профиля 2 с почвой отсутствует скалывание почвы, уменьшая при
этом налипание (напрессовку) почвы в зоне почвозацепа 2. Кроме того, отсутствие
обратного прогиба гусеничной цепи позволяет обеспечить более равномерное
распределение давления на почву.
Гладкая
опорная поверхность и эвольвентный профиль почвозацепа 2 дают возможность
использовать копировальный метод принудительной очистки опорной поверхности
гусеничной цепи.
Использование
предлагаемой конструкции звеньев гусеничной цепи в сравнении с известной при
сохранении таких же тягово-сцепных свойств повышает надежность и долговечность
конструкции, а переднее расположение почвозацела эвольвентного профиля на звене
уменьшает разрушающее действие на почву, кроме того, при соединенных звеньях
отсутствует обратный прогиб гусеничной цепи, что позволяет обеспечить более
равномерное распределение давления на почву.
Эвольвентный
профиль почвозацепа позволяет применить копировальный метод принудительной
очистки опорной поверхности гусеничной цепи от налипшей почвы, что повышают
эффективность механизированных работ на почвах повышенной влажности.
3.8
Тенденции развития конструкций движителей гусеничных тракторов
Развитие конструкций гусеничных тракторов направлено на снижение
уплотняющего воздействия движителя на почву, повышение их тягово-сцепных
качеств, обеспечение требуемой долговечности узлов и механизмов и улучшение
условий труда тракториста.
В связи с этим намечается тенденция более широкого применения РАГ не
только на сельскохозяйственных, но и на промышленных тракторах. При этом
большое внимание уделяется совершенствованию способов передачи движения РАГ от
ведущего колеса.
Вместе с тем продолжается совершенствование и металлических гусениц,
главным образом в решении проблемы надежного шарнира трака составного типа,
материала и формы его уплотнения, конструкции соединительного трака, а также
создания надежных упругих накладок для составных и цельнолитых траков с РМШ.
С целью повышения долговечности металлических гусениц предполагается
более широкое применение жидкостного смазывания шарниров.
Более широкое применение получат резиновые упругие элементы как в
движителе, так и в подвеске.
Предполагается применение ведущих и направляющих колес с внутренней
амортизацией (установкой между ступицей колеса и ободом резинового упругого
элемента), обеспечивающей их внутреннее подрессоривание.
Продолжатся работы по совершенствованию ходовой системы тракторов с
треугольной формой гусеничного обвода. Эти работы главным образом направлены на
обеспечение более равномерного распределения давления гусениц на грунт с целью
снижения уплотняющего воздействия и повышения их тягово-сцепных качеств.
Большое внимание будет уделяться типизации и унификации деталей и узлов
ходовой системы трактора.
4. Разработка конструкции
.1 Конструктивное решение шарнира гусеничной цепи
С целью увеличения срока службы гусеничной цепи трактора ВТ-150 принятого
за прототип необходимо усовершенствовать шарнир, который и определяет
долговечность гусеничного движителя.
Известен шарнир гусеничной цепи, состоящий из проушин звеньев гусеничной
цепи, в которые вставлен палец. Палец зафиксирован в проушинах звеньев
ограничителями, удерживающих его от осевого перемещения.
Недостатком известной конструкции является малый срок службы вследствие
незащищенности трущихся поверхностей от попадания абразива.
Известен шарнир гусеничной цепи, содержащий проушины звеньев,
соединительный палец, ограничительные шайбы между торцами средних проушин и
втулки с фланцем в крайних проушинах, что исключает заход концов втулок в
отверстия смежных проушин и обеспечивает свободное вращение и перекатывание
втулок по пальцу и по поверхности отверстий проушины звеньев. От осевого
перемещения палец удерживается трехлапой.
Недостатком данной конструкции является то, что между торцами втулок и
ограничительными шайбами имеются зазоры в которые может проникать абразив.
Известен шарнир гусеничной цепи, принятый в качестве прототипа, который
состоит из проушин звеньев гусеничной цепи, в которые устанавливаются плавающие
втулки, общая длина которых больше ширины всех проушин на суммарную величину
зазоров между проушинами. Втулки соединяются пальцем. Палец и втулки
зафиксированы в проушинах звеньев ограничителями, установленными на палец с
обеих сторон и состоящими из шайб и стопорных колец. В концевых проушинах между
крайними втулками и шайбами установлены упругие уплотнительные кольца.
Уплотнительные кольца, поджимая втулки, обеспечивают смыкание их торцов, что
препятствует проникновению абразива в радиальные зазоры между пальцем и
втулками.
Недостатком данной конструкции является то, что существует возможность
захода концов втулок в отверстия смежных проушин, а следовательно втулки не
смогут свободно вращаться и перекатываться по пальцу, это также может привести
к деформации втулок.
Задача - создать шарнир гусеничной цепи защищенный от попадания абразива
между трущимися поверхностями, а также создать условия сочетания скольжения и
перекатывания втулок по пальцу и по поверхности проушин. Это достигается тем,
что шарнир гусеничной цепи содержащий проушины с установленными в них
плавающими втулками, соединительный палец, ограничители осевого перемещения
пальца, размещенные на его концах, уплотнительные кольца, установленные между
крайними втулками и ограничителями осевого перемещения пальца, снабжен
ограничительными шайбами, наружный диаметр которых больше диаметра втулок,
находящимися между торцами средних проушин и втулками, установленными в крайние
проушины, выполненных с фланцем со стороны средней проушины, причем общая длина
втулок и ограничительных шайб выполнена больше ширины всех проушин на суммарную
величину зазоров между проушинами.
Снабжение шарнира ограничительными шайбами, наружный диаметр которых
больше диаметра втулок, находящимися между торцами средних проушин и втулками,
установленными в крайние проушины, выполненных с фланцем со стороны средней
проушины обеспечивает невозможность захода концов втулок в отверстия смежных
проушин, а следовательно втулки могут свободно вращаться и перекатываться по
пальцу.
Выполнение общей длины втулок и ограничительных шайб больше ширины всех
проушин на суммарную величину зазоров между проушинами обеспечивает смыкание их
торцов, что препятствует проникновению абразива в радиальные зазоры между
пальцем и втулками
Шарнир гусеничной цепи содержит проушины звеньев 1 гусеничной цепи, в
которые устанавливаются плавающие втулки 2 с фланцем и плавающие втулки 3,
межторцовые ограничительные шайбы 4, втулки соединяются пальцем 5. Палец и
втулки зафиксированы в проушинах звеньев ограничителями, установленными на
палец с обеих сторон и состоящими из шайб 6 и стопорных колец 7. В концевых
проушинах между крайними втулками и шайбами установлены упругие уплотнительные
кольца 8.
При работе шарнира плавающие втулки с радиальным зазором между
поверхностями втулок проушин и пальцев, втулки с фланцем в крайних проушинах и
ограничительные шайбы между торцами средних проушин обеспечивают невозможность
осевого перемещения втулок и защемления их концов в смежных проушинах и создает
при перегибе цепи условия сочетания скольжения и перекатывания втулок по пальцу
и по поверхности проушин, таким образом увеличивается их износостойкость и
надежность шарнира.
Для улучшения тягово-сцепных качеств трактора ВТ-150 грунтозацепы
выполняются под углом 15º к поперечной оси звена, что позволяет увеличить
коэффициент сцепления на 20%.
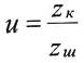
4.2 Расчет сил и напряжений действующих в шарнире
Расчету подвергаются проушины звеньев и пальцы. Исходными данными для
расчета являются вес Gт(80000
Н) трактора и ширина bг
гусеницы. Расчетное усилие, растягивающее звенья гусеницы, ограничивается
предельной силой по сцеплению забегающей гусеницы с опорной поверхностью при
повороте трактора на уклоне крутизной а = 30° в сторону подъема.
В этом случае расчетная сила, растягивающая звенья гусеницы (рис.1.16,а),
Р = 0,65*80000 *1 = 52000 (Н) (1.2)
где ц=1,0.
Для обеспечения равной прочности проушин должно соблюдаться условие
(1.3)
где n, n’ и bi, bi’ - соответственно число и ширина
проушин охватываемой и охватывающей сторон звена гусеницы.
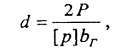
Диаметр пальца из условия обеспечения требуемой износостойкости
(1.4)
где [р] = 10 МПа - допускаемое давление в проушинах звена гусеницы
(параметр износостойкости).
d =
2*52000/(10*1000000*0.47) = 0.022 (м);
d = 22
мм
Число проушин охватываемой стороны звена гусеницы определяют из условия
ограничения напряжений среза в пальце:
(1.5)
где [ф]ср = 40 МПа - допускаемое напряжение среза.
n =
104000/(3.14*(0.022)²*40*1000000) = 1.7;
n = 2.
Для обеспечения равной прочности и износостойкости проушины охватываемой
стороны должны быть одинаковой ширины:
(1.6)
С этой же целью крайние проушины охватывающей стороны звена выполняют в
1,5...2 раза уже средних, равных по ширине проушин.
Радиус проушины определяют исходя из расчета ее на разрыв (рис.3.1,б):
(1.7)
где [у]р = 30 МПа - допускаемое напряжение растяжения.
R =
52000/(30*1000000*0.47)+0.5*0.022 = 0.0256 (м);
R =
0.026 м
После конструктивной проработки звеньев гусеницы необходимо выполнить
поверочные расчеты звеньев и пальца с учетом зазора S между проушинами (см. рис. 1.16). В выполненных конструкциях
S = 3 мм. Силу, нагружающую проушины
звеньев, находят из выражений для сторон:
охватываемой
(1.8)
охватывающей
(1.9)
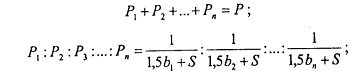
где P1…Рn - сила, нагружающая проушины
охватываемой стороны звена гусеницы шириной соответственно b1…bn; P1’…Pn’ - сила, нагружающая проушины
охватывающей стороны звена гусеницы шириной соответственно b1’…bn’.
Соотношения получены при условии, что распределение усилия Р (рис.1.16),
приложенного к гусенице, между проушинами прямо пропорционально изгибной
жесткости пальца в точках фактического приложения сил в проушинах.
Поверочный расчет проушин выполняют для наиболее нагруженной проушины.
Для охватываемой и охватывающей сторон звена гусеницы напряжение растяжения в
проушинах определяют из выражений:
(1.10)
ур = 22750/((2*0,026-0,022)*0,11) = 6893939 (Па) < [у]р;
Давление в проушинах:
(1.11)
p =
22750/(0.11*0.022) = 9400826 (Па) < [p];
Поверочный расчет пальца гусеницы на срез выполняют для наиболее нагруженной
средней проушины:
(1.12)
где k = 4/3 - коэффициент, учитывающий
сложнонапряженное состояние пальца при совместном действии напряжений изгиба и
среза.
фср = 0,85*22750/(0,022)² = 39953512 (Па) < [ф]ср;
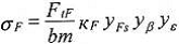
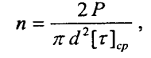
4.3 Распределении давлений гусеничных движителей на почву
Среднее давление qср - наиболее распространенный критерий, используемый в
качестве одного из основных агротехнических параметров в техническом задании на
трактор. Принят в качестве показателя для оценки допустимого воздействия
ходовых систем на почву в соответствии с ГОСТ 24096-80. Достоинство - простота
определения.
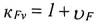
Максимальное (фактическое) давление движителей на почву qmax - часто
применяемый критерий, рекомендуемый Координационным Советом по проблеме
воздействия ходовых систем сельскохозяйственной техники на почву при ВАСХНИЛе.
Максимальное давление движителей на почву qmax определяют с помощью расчетных
зависимостей и экспериментально с применением сложной измерительной аппаратуры.
Решение задачи о распределении давлений под опорной поверхностью гусеницы
еще более сложно, чем решение такой задачи для колес, так как в первом случае
опорные колеса (катки) гусеничного движителя катятся по промежуточной опоре и,
следовательно, приходится учитывать также и свойства третьего тела- гусеницы.
Создание гусеничного движителя было продиктовано необходимостью снижения
давления мобильной техники на деформируемое опорное основание при сохранении
или даже уменьшении общих габаритов гусеничного движителя по отношению к
колесному, что обеспечивало повышение тягово-сцепных свойств, мобильности и
тягового КПД техники. Однако изначально и до недавнего времени определялось не
фактическое, а среднее статическое давление гусеничного движителя на опорное
основание, что соответствует равномерному распределению давления по длине
опорной поверхности гусеницы. В связи с тем, что гусеничные движители
большинства отечественных сельскохозяйственных тракторов имели значительно
более высокую продольную неравномерность распределений давлений, чем колесные,
примерно равное изменение свойств почвы достигалось при существенно более
низком среднем статическом давлении гусеничных движителей, чем пневмоколесных
движителей. Это фактически было зафиксировано в ГОСТ 24096-80 на основные параметры
сельскохозяйственных тракторов, обеспечивающие требования агротехники, в
которых среднее давление гусеничных движителей на почву ограничено величиной,
равной 45 кПа. Показатель «наибольшее из средних условных давлений движителей,
кПа» вошел также в систему показателей качества продукции в части
сельскохозяйственных тракторов, определяемую ГОСТ 4.40-84.
Результаты многочисленных исследований показывают, что степень
деформирования почвогрунтов определяется действующим, а не средним давлением, в
связи с чем, в частности в п.82 ГОСТ 7057-54 «Тракторы сельскохозяйственные:
Методы полевых испытаний» было записано: «Для гусеничных тракторов
дополнительно должны быть определены максимальное и минимальное удельные
давления при статическом состоянии и при работе трактора на второй передаче с
нормальным тяговым усилием на крюке».
Давление на почву гусеничного трактора рекомендуется определять двумя
методами: по среднему и по максимальному значениям. Среднее qc условное давление в кПа одиночного
гусеничного движителя трактора, а также с некоторыми уточнениями по заменившему
ГОСТ 7057-54 аналогичному стандарту ГОСТ 7057-73 и стандарту на методы
испытаний сельскохозяйственных тракторов ГОСТ 7057-81 определяют по формуле
где mдв - масса, создающая статическую нагрузку каждого движителя, кг; g
- ускорение земного тяготения, м/с2; bг. -ширина гусеницы, м; lус - условная длина участка гусеницы,
находящейся в контакте с основанием, м (lус = l1 + l2 +l3); l1 -проекция на опорную площадку межцентрового расстояния между ведущим
колесом и задним опорным катком (при наклоне ветви гусеницы между ними к
опорной площадке более 2°, l1
принимают равной нулю), м; l2 -
проекция на опорную площадку межцентрового расстояния между крайними опорными
катками, м; l3 - проекция на опорную площадку межцентрового расстояния между
направляющим колесом и передним опорным катком (при наклоне ветви гусеницы
между ними к опорной площадке более 5° l3 принимают равной нулю). При l1 = 0 и l3 =
0, lyc принимают равной l2 плюс шаг
гусеницы tг, м.c =
4000*9,8/(1000*0,47*2) = 41,7 (кПа) - для гусеничного движителя ВТ-150 со
стандартным звеномc =
4000*9,8/(1000*0,67*2) = 29,3 (кПа) - для гусеничного движителя ВТ-150 со
звеном для слабонесущих грунтов
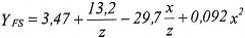
Определение максимального давления qм основано на учете не всей проекции
опорной поверхности гусеницы, а только ее звеньев, число которых равно числу
опорных катков iк.
(1.14)
Авторы утверждают, что формула (1.14) дает завышенные значения давления и
справедлива для работы на твердой несминаемой почве, а также при lк > 3tг,
где lk - расстояние между осями соседних катков.
Для ВТ-150 со стандартным звеном максимальное давление движителя на
почву:
м = 4000*9,8/(1000*0,47*0,158*0,57) = 926 (кПа)
Для ВТ-150 с широким звеном максимальное давление движителя на почву:
м = 4000*9,8/(1000*0,67*0,158*0,57) = 650 (кПа)
Изучение результатов многочисленных исследований показывает, что
практически все изменения в конструкции ходовой системы, приводящие к снижению
контактных давлений, способствуют улучшению тягово-сцепных свойств.
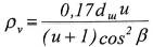
Анализ формулы Кулона(1.15), отражающей закономерности сдвига почвы,
показал, что с уменьшением нормального давления у, каким бы способом это ни
достигалось, значение коэффициента сцепления ц движителя с почвой увеличивается
(1.15)
где ц - угол внутреннего трения в почве.
Однако данные Л.В. Сергеева, полученные при испытаниях гусеничных машин с
различными давлениями на грунт, показывают, что это возрастание ц возможно до
определенного предела, соответствующего области реальных значений давлений
современных гусеничных машин (сплошная линия на рис. 1.19), а в зоне низких
давлений коэффициент сцепления уменьшается (пунктирная линия на рис. 1.19).
4.4 Конструктивное решение звена гусеничной цепи
Для того чтобы обеспечить возможность работы трактора на слабонесущих
грунтах необходимо предусмотреть возможность установки гусеничных цепей,
состоящих из широких звеньев.
Такой движитель необходим для работы трактора в рисоводческом хозяйстве,
а также при работах на заболоченной местности.
С этой целью предлагается конструкция звена гусеницы на основе
стандартного звена с боковыми уширителями в виде трапеций и прямоугольной
формы.
Гусеница с трапецевидными уширителями должна обеспечить среднее давление
на грунт не более 35 кПа, а с прямоугольными не более 30 кПа.
5. Проверочные расчеты основных узлов машины
.1 Расчет муфты сцепления
Поверхность трения дисков сцепления Fт
dт1 =350 мм dт2 =
210 мм Rср =
(см)
(1.16)
(см2)
(1.17)
Усилие
сжатия дисков Р
Согласно
каталога муфт сцепления ЧАЗ(г.Чебоксары) для кожуха с дисками А52.22.000СБ
берем пружину А52.22.009-02 (диаметр проволоки 5,5 мм, Д=44 мм). Усилие
предварительного сжатия - Р1 = 93 (кГс).
П
= 12 - количество пружин в муфте сцепления
Усилие
сжатия дисков Р = 93∙12 = 1116 (кГс)
Удельное
давление на поверхности трения - q
(кГс/см2)
(1.18)
Момент
трения муфты сцепления МТ
МТ
= Р∙м∙z∙Rср; (1.19)
Для
сухого трения асбестовой накладки коэффициент трения м=0,3;
Z - количество
пар трения = 4;
МТ
= 1116∙0,3∙4∙14 = 187,5 (кгс∙м);
Коэффициент
запаса муфты сцепления К0
Для
дизеля Д260.14 мощностью 130 л.с. К0=3,2
5.2
Определение нагрузок на подшипниковых опорах валов
Расчет
подшипников проводится по методике, изложенной в ОСТ 23.1.339-82, определяется
ресурс подшипников с учетом особенностей работы валов или шестерен, на которых
подшипники стоят: подшипники вторичного вала работают на всех передачах.
Подшипники
вторичного вала работают под нагрузкой на всех передачах, при этом силы,
действующие на вал, возникают в зацеплении с шестернями разных валов, схемы
сил, действующих на вал. имеют разный вид и представлены соответственно на:
рисунке
1.22 - на I, II. III и IV передачах, зацепление шестерен вторичного и
первичного валов;
рисунке
1.23 - на V передаче, зацепление шестерен вторичного и дополнительного валов;
рисунке
1.24 - на передаче заднего хода, зацепление шестерен вторичного вала и вала
заднего хода.
Т.
к. из схем следует, что на вал одновременно действуют силы в зацеплении
цилиндрической и конической пар шестерен, направленные под углом друг к другу,
то представлены они в разложенном виде - на вертикальные и горизонтальные
составляющие:
Рисунок 1.22
Вертикальная плоскость
Горизонтальная
плоскость
Рисунок
1.23
Вертикальная
плоскость:
Горизонтальная
плоскость:
Рисунок
1.24
Вертикальная
плоскость:
Горизонтальная
плоскость:
Суммарные
реакции в опорах В и Г будут:
Результаты
расчета опорных реакций вторичного вала на всех передачах приведены в таблице
1.1.
Таблица
1.1 - Опорные реакции вторичного вала
|
Передача
|
I
|
II
|
III
|
IV
|
V
|
З.Х.
|
|
Т1 кНм
|
0,889
|
0,733
|
0,609
|
0,484
|
0,329
|
0,406
|
|
aw мм
|
156,0
|
154,0
|
148,0
|
|
dw мм
|
190,443
|
174,233
|
158,025
|
141,815
|
141,846
|
187,998
|
|
бtwкон град
|
21,929º
|
21,953º
|
20º
|
|
N кН
|
10,065
|
9,071
|
8,309
|
7,358
|
5,001
|
4,596
|
|
д град
|
13,079º
|
56,880º
|
29,383º
|
|
Nв кН
|
2,277
|
2,053
|
1,881
|
1,665
|
4,189
|
2,225
|
|
Nг кН
|
9,803
|
8,836
|
8,094
|
7,167
|
2,733
|
4,005
|
|
dсрш мм
|
96,557
|
|
бtwкон град
|
17,5º
|
|
дш град
|
17,553º
|
|
F кН
|
18,414
|
15,193
|
12,614
|
10,024
|
6,815
|
8,410
|
|
Fr кН
|
5,537
|
4,565
|
3,792
|
3,014
|
2,049
|
2,529
|
|
Fa кН
|
1,749
|
1,442
|
1,199
|
0,953
|
0,647
|
0,799
|
|
a мм
|
202,5
|
302,0
|
166,5
|
66,5
|
66,5
|
202,5
|
|
l мм
|
341,0
|
|
l1 мм
|
47,101
|
|
RВв кН
|
1,619
|
1,862
|
,0781
|
0,045
|
2,431
|
0,246
|
|
RВг кН
|
3,465
|
0,585
|
3,788
|
5,488
|
2,391
|
1,862
|
|
FrB кН
|
3,691
|
1,952
|
3,868
|
5,488
|
3,410
|
1,879
|
|
RГв кН
|
22,310
|
19,098
|
15,276
|
11,734
|
8,573
|
10,911
|
|
RГг кН
|
11,875
|
12,816
|
8,098
|
4,693
|
1,707
|
0,386
|
|
FrГ кН
|
25,274
|
23,000
|
17,289
|
12,638
|
8,741
|
10,918
|
5.3 Определение частоты вращения вторичного вала на отдельных
передачах
Обороты вторичного вала определяются по формуле:
(1.20)
где
ni - частота вращения вторичного вала соответственно на i-ой передаче; перв -
частота вращения первичного вала на i-ой передаче;- передаточное число от
первичного вала до вторичного на i-ой передаче. Результаты расчета приведены в
таблице 1.2.
Таблица
1.2 - Частоты вращения вторичного вала
|
Передача
|
I
|
II
|
III
|
IV
|
V
|
З.Х.
|
|
Вал вторичный
|
|
n об/мин
|
1181,0
|
1458,4
|
1767,1
|
2187,5
|
2839,7
|
1238,9
|
5.4 Распределение времени работы трактора на отдельных
передачах
В результате анализа сельхозработ, на которых может быть использован
данный трактор, и с учетом данных эксплуатационно-технических испытаний в
Северо-Кавказской МИС принято следующее распределение времени работы трактора
по передачам, которое приведено в таблице 1.3.
Таблица 1.3 - Распределение времени работы трактора по передачам
|
Передача
|
I
|
II
|
III
|
IV
|
V
|
З.Х.
|
|
б
|
0,05
|
0,16
|
0,37
|
0,25
|
0,15
|
0,02
|
5.5 Определение ресурса подшипников
Ресурс подшипников, работающих с переменной нагрузкой при переменной
частоте вращения при действующем гамма-процентном ресурсе трансмиссии (г=90%),
(1.21)
где
q - число режимов работы подшипника;- коэффициент использования передач; -
ресурс подшипника на данном режиме, моточасы;
(1.22)
где
ni - частота вращения подшипника на данном режиме, об/мин; - ресурс подшипника
на данном режиме, млн. об.;
(1.23)
где
kh - коэффициент, учитывающий показатели надежности трансмиссии;
при
г=90% kh=1, 3;
С
- динамическая грузоподъемность подшипника, Н.
где
fс - коэффициент, зависящий от геометрии деталей подшипника и точности, берется
по ГОСТ 18855 - 82; - число рядов тел качения в подшипнике; - длина ролика в
подшипнике, мм;
бк
- номинальный угол контакта подшипника, градусы;- число тел качения в одном
ряду; диаметр тела качения, мм.
Геометрические
параметры подшипников приведены в таблице 1.4. Значения С приведены в таблице
1.6.- приведенная нагрузка, действующая на данном режиме, Н.
Таблица
1.4 - Геометрические параметры подшипников
|
Подшипник
|
D мм
|
d мм
|
dm мм
|
Dw мм
|
i
|
z
|
l мм
|
бk град
|
fc
|
|
№409А
|
120
|
45
|
82,5
|
23,02
|
1
|
7
|
-
|
0º
|
57,1
|
|
№2612КМ
|
130
|
60
|
95,0
|
18,00
|
|
13
|
26
|
|
88,8
|
- для
шарикового радиального подшипника.
где
Fri - радиальная нагрузка на подшипник на данном режиме, Н; - осевая нагрузка
на подшипник на данном режиме, Н;
н
- коэффициент вращения подшипника, берется по ГОСТ 18855 - 82; для всех
подшипников КП v =1, 0 (вращается внутреннее кольцо);
Кбэ
- коэффициент, учитывающий влияние на ресурс подшипника степени использования
мощности двигателя и влияние динамических нагрузок; для всех подшипников Кбэ=1,
1;
х
- коэффициент радиальной нагрузки подшипника, берется по ГОСТ 18855-82;
у
- коэффициент осевой нагрузки подшипника, берется по ГОСТ 18855-82.
Шарикоподшипник
№409А ТУ 37. 006. 087 - 79 (вторичный вал) воспринимает и радиальные, и осевые
нагрузки; значения коэффициентов х и у для него приведены в таблице 1.5.
Таблица
1.5 - Значения коэффициентов х и у
|
Передача
|
I
|
II
|
III
|
IV
|
V
|
З.Х.
|
|
x
|
0.56
|
0.56
|
0.56
|
1
|
1
|
0.56
|
|
y
|
1.91
|
1.98
|
1.96
|
0
|
0
|
2.23
|
Результаты расчета ресурса подшипников коробки передач приведены в
таблице 1.6.
Таблица 1.6 - Ресурс подшипников коробки передач
|
Пере- дача
|
Pi Н
|
С Н
|
Li млн. об.
|
ni об/мин
|
Lhi моточасы
|
Lh моточасы
|
|
Шарикоподшипник №409А ТУ
37.006.087, опора В
|
|
I
|
5968
|
76922
|
1647
|
1181,0
|
23243
|
22450
|
|
II
|
4343
|
|
4274
|
1458,4
|
48844
|
|
|
III
|
5060
|
|
2703
|
1767,1
|
25494
|
|
|
IV
|
6037
|
|
1591
|
2187,5
|
12122
|
|
|
V
|
3751
|
|
6634
|
2839,7
|
38936
|
3100
|
|
11752
|
1238,9
|
158097
|
|
|
Роликоподшипник №2612КМ
ГОСТ 8328-75, опора Г
|
|
I
|
27801
|
170955
|
328
|
1181,0
|
4629
|
11321
|
|
II
|
25300
|
|
448
|
1458,4
|
5120
|
|
|
III
|
19018
|
|
1161
|
1767,1
|
10950
|
|
|
IV
|
13902
|
|
3299
|
2187,5
|
25135
|
|
|
V
|
9615
|
|
11274
|
2836,7
|
66169
|
|
|
З.Х.
|
12010
|
|
5376
|
1238,9
|
72322
|
|
5.6 Расчет подшипников заднего моста
В заднем мосту рассчитываются подшипники коронной шестерни и сателлита.
Определение нагрузок на подшипниковых опорах:
Подшипники коронной шестерни
На подшипники действуют силы, возникающие в зацеплении конической пары
главной передачи. Т. к. силы, возникающие в зацеплении конической пары,
действуют в вертикальной и горизонтальной плоскостях, то и реакции опор
рассчитываются по плоскостям, а затем геометрически складываются. Т. к. на
передачах переднего и заднего ходов коническое колесо и, соответственно,
коронные шестерни получают со вторичного вала коробки передач вращение в
противоположные стороны, окружное усилие F на передачах переднего и заднего ходов
направлено взаимно противоположно, что влечет за собой только изменение
направления горизонтальных составляющих реакций опор, поэтому можно
рассматривать одну схему сил, действующих на подшипники коронной шестерни.
Вертикальная плоскость:
Горизонтальная
плоскость:
Рисунок
1.25 Силы, действующих на подшипники коронной шестерни
Таблица
1.7 - Результаты расчета опорных реакций подшипников коронной шестерни
|
Передача
|
I
|
II
|
III
|
IV
|
V
|
З.Х.
|
|
Т1 кНм
|
2,756
|
2,274
|
1,888
|
1,502
|
1,019
|
1,260
|
|
dср мм
|
305,763
|
|
бtwкон град
|
17,5º
|
|
дк град
|
72,467º
|
|
F кН
|
180,27
|
14,874
|
12,349
|
9,824
|
6,665
|
8,241
|
|
Fr кН
|
1,712
|
1,412
|
1,173
|
0,934
|
0,633
|
0,783
|
|
Fa кН
|
5,420
|
4,472
|
3,713
|
2,954
|
2,003
|
2,478
|
|
a мм
|
81,217
|
|
l мм
|
194,0
|
|
RАв кН
|
5,267
|
4,345
|
3,608
|
2,871
|
1,947
|
2,407
|
|
RАг кН
|
10,480
|
8,647
|
7,180
|
5,712
|
3,875
|
4,791
|
|
FrА кН
|
11,729
|
9,677
|
8,036
|
6,393
|
4,337
|
5,362
|
|
RВв кН
|
3,555
|
2,933
|
2,435
|
1,937
|
1,314
|
1,624
|
|
RВг кН
|
7,547
|
6,227
|
5,169
|
4,112
|
2,790
|
3,450
|
|
FrВ кН
|
8,342
|
6,883
|
5,714
|
4,545
|
3,084
|
3,813
|
Рисунок 1.26 - Схема сил, действующих на сателлит и его подшипник
Из схемы следует, что на подшипник сателлита одновременно действуют
радиальные Fr и окружные F силы в зацеплении сателлита с коронной и солнечной
шестернями [11, стр. 30].
(1.24)
Для
нулевого зацепления сателлита с коронной и солнечной шестернями
(1.25)
(1.26)
где
х - число сателлитов; х=3;
гx
- коэффициент неравномерности распределения нагрузки по сателлитам;
гx=1,
085. Результаты расчета приведены в таблице 1.8.
Таблица
1.8 - Результаты расчета
|
ПередачаIIIIIIIVVЗ.Х.
|
|
|
|
|
|
|
|
Т1 кНм
|
1,378
|
1,137
|
0,944
|
0,751
|
0,510
|
0,630
|
|
Тс кНм
|
0,576
|
0,476
|
0,395
|
0,314
|
0,213
|
0,264
|
|
aw мм
|
78,0
|
|
dwk мм
|
220,0
|
|
dwc мм
|
92,0
|
|
Fк=Fc кН
|
4,530
|
3,738
|
3,104
|
2,470
|
1,677
|
2,072
|
|
F кН
|
9,060
|
7,476
|
6,208
|
4,940
|
3,354
|
4,144
|
5.7 Определение частоты вращения коронной шестерни и
сателлитов на отдельных передачах
Из кинематической схемы трансмиссии следует, что:
(1.27)
где
nik - частота вращения коронной шестерни;сат - относительная частота вращения
сателлита;- число зубьев солнечной шестерни; zc=23;- число зубьев коронной
шестерни; zk=55;- число зубьев сателлита; zcam = 16.
Таблица
1.9 - Результаты расчета
|
Передача
|
I
|
II
|
III
|
IV
|
V
|
З.Х.
|
|
Коронная шестерня
|
|
n об/мин
|
372,9
|
460,5
|
558,0
|
690,8
|
896,7
|
391,2
|
|
Сателлит
|
|
n об/мин
|
378,0
|
466,8
|
565,6
|
700,2
|
909,0
|
396,6
|
5.8 Определение ресурса подшипников
Для шарикоподшипника №226 ГОСТ 8338 - 75, у которого Dw=28,58 (>25, 4
мм), динамическая грузоподъемность С определяется по формуле:
(1.28)
а
т. к. у этого же подшипника вращается наружное кольцо, то н=1, 2.
Таблица
1.10 - Геометрические параметры подшипников
|
Подшипник
|
D мм
|
d мм
|
dm мм
|
Dw мм
|
i
|
z
|
l мм
|
бk град
|
fc
|
|
№226
|
230
|
130
|
180
|
28,58
|
1
|
11
|
-
|
0º
|
59,60
|
|
4х15,8А5
|
38,226
|
29,226
|
33,226
|
4,00
|
2
|
26
|
15,8
|
|
86,40
|
Подшипники коронной шестерни установлены конструктивно так, что всю
осевую нагрузку воспринимает только передний шарикоподшипник №226 ГОСТ 8338 -
75 (опора А).
Таблица 1.11 - Значения коэффициентов х и у
|
Передача
|
I
|
II
|
III
|
IV
|
V
|
З.Х.
|
|
х
|
0,56
|
|
у
|
1,78
|
1,86
|
1,93
|
2,01
|
2,21
|
2,12
|
Таблица 1.12 - Результаты расчета ресурса подшипников заднего моста
|
Передача
|
Pi Н
|
С Н
|
Li млн. об.
|
ni об/мин
|
Lhi моточасы
|
Lh моточасы
|
|
Шарикоподшипник №226 ГОСТ
8338-75, опора А
|
|
I
|
19282
|
117565
|
174
|
372,9
|
7777
|
15751
|
|
II
|
16303
|
|
289
|
460,5
|
10460
|
|
|
III
|
13823
|
|
473
|
558,0
|
14128
|
|
|
IV
|
11257
|
|
876
|
690,8
|
21135
|
|
|
V
|
8075
|
|
2374
|
896,7
|
44125
|
|
|
З.Х.
|
9742
|
|
1352
|
391,2
|
57601
|
|
|
Шарикоподшипник №226 ГОСТ
8338-75, опора Б
|
|
I
|
11011
|
117565
|
936
|
382,9
|
41834
|
96397
|
|
II
|
9086
|
|
1666
|
460,5
|
60297
|
|
|
III
|
7543
|
|
2913
|
558,0
|
87007
|
|
|
IV
|
5999
|
|
5790
|
690,8
|
139693
|
|
|
V
|
4071
|
|
18256
|
896,7
|
344337
|
|
|
З.Х.
|
5013
|
|
9922
|
391,2
|
422716
|
|
|
Ролик 4х15,8А ГОСТ 6870-81,
подшипник сателлита
|
|
I
|
9966
|
64731
|
393
|
378,0
|
17328
|
44751
|
|
II
|
8224
|
|
746
|
466,8
|
26635
|
|
|
III
|
|
1385
|
565,6
|
40812
|
|
|
IV
|
5434
|
|
2967
|
700,2
|
70623
|
|
|
V
|
3689
|
|
10789
|
909,0
|
197818
|
|
|
З.Х.
|
4558
|
|
5331
|
396,6
|
224029
|
|
5.9 Расчет шестерен
Расчет шестерен на прочность с учетом особенностей их работы (разные
режимы) проводится по ГОСТ 21354 - 87, а необходимые для этого геометрические
параметры рассчитываются по ГОСТ 16532 - 70. Прочностной расчет главной
передачи, представляющей собой пару конических шестерен с прямым зубом, основан
на допущении, что нагрузочная способность конической пары одинакова с
нагрузочной способностью некоторой эквивалентной цилиндрической пары, параметры
которой (числа зубьев zvш и zvк) определенным образом связаны с параметрами (zш
и zк) конических колес:
(1.29)
Т.к. измерительное сечение конических колес - среднее, то оно же
принимается за расчетное, и приведение конических колес к цилиндрическим
проводится по среднему конусу, т.е. модуль и шаг эквивалентной цилиндрической
пары принимаются равными модулю и шагу конических колес по конусу приведения,
т.е. среднему конусу. Тогда сохраняется исходный контур, а геометрические
параметры пересчитываются.
5.10 Расчет геометрических параметров
Исходные данные для расчетов приведены в таблице 24.
В таблицу 24 входят следующие параметры:- число зубьев (соответственно к
- колеса, ш - шестерни);- модуль;
б - угол профиля исходного контура;
в - угол наклона зуба;- коэффициент смещения;- ширина венца колеса
(шестерни);в - допуск на направление зуба по ГОСТ 1643 -81;- толщина
упрочненного слоя (средняя);- твердость поверхности зуба (средняя);к -
твердость сердцевины зуба (средняя).
Необходимые для прочностных расчетов рассчитываемые геометрические
параметры: u - передаточное число зубчатой передачи;
(1.30)
- межцентровое расстояние, мм, берется из чертежа детали;- делительный
угол профиля в торцовом сечении, градусы;
(1.31)
бtw - угол зацепления, градусы;
(1.32)
вb - основной угол наклона, градусы;
(1.33)
ш(к) - делительный диаметр
соответственно шестерни или колеса, мм;
(1.34)
ш(к) - начальный диаметр
соответственно шестерни или колеса, мм;
(1.35)
ш(к) - основной диаметр
соответственно шестерни или колеса, мм;
(1.36)
аш(к) - диаметр окружности
выступов соответственно шестерни или колеса, мм, берется из чертежа детали;
ааш(к) - угол профиля зуба в
точке на окружности выступов соответственно шестерни или колеса, градусы;
(1.37)
еa - коэффициент торцового
перекрытия;
(1.38)
ев - коэффициент осевого
перекрытия;
(1.39)
где bw - рабочая ширина
венца, мм;
ег - суммарный коэффициент
перекрытия;
(1.40)
Результаты расчета приведены
в таблице 1.14.
5.11 Определение частоты
вращения шестерен на отдельных передачах
В соответствии с
кинематической схемой трансмиссии, зная расположение шестерен на валах, можно
определить частоту вращения шестерен трансмиссии. Частота вращения солнечной
шестерни и сателлита в абсолютном движении (при заторможенном водиле)
определяется:
(1.41)
(1.42)
5.12 Расчет на контактную
выносливость активных поверхностей зубьев
Контактная выносливость
активных поверхностей зубьев обеспечена, если расчетное напряжение в полюсе
зацепления меньше допускаемого. Для шестерен, работающих на разных режимах,
расчет проводится для наиболее нагруженного.
(1.43)
где ун - расчетное контактное
напряжение, МПа;
уНР - допускаемое контактное
напряжение, МПа;
унo - контактное напряжение в
полюсе зацепления при кн= 1, МПа;
к н - коэффициент нагрузки.
(1.44)
где zE - коэффициент,
учитывающий механические свойства материала
сопряженных колес; для стали
zЕ = 190 √н/м ;Н - коэффициент, учитывающий форму сопряженных
поверхностей зубьев в полюсе зацепления;
(1.45)
е - коэффициент, учитывающий
суммарную длину контактных линий;
(1.46)
- окружная сила на
делительном цилиндре, Н;
(1.47)
Для конических колес главной
передачи, замененных эквивалентной цилиндрической парой, нагрузка Тl
пересчитывается, и окружная сила будет:
(1.48)
Для сателлитов FtH , только на
делительном цилиндре:
(1.49)
где кA - коэффициент,
учитывающий внешнюю динамическую нагрузку;
кHv - коэффициент,
учитывающий динамическую нагрузку, возникающую в зацеплении до зоны резонанса;
(1.50)
где vн - динамическая
добавка;
(1.51)
где wHv - удельная окружная
динамическая сила, Н/мм;
(1.52)
дH - коэффициент, учитывающий
влияние вида зубчатой передачи и
модификации профиля головок
зубьев; дH =0,14;- коэффициент, учитывающий влияние разности шагов зацепления
зубьев
шестерни и колеса;- окружная
скорость на делительном цилиндре, м/с, определяется для
того же режима, что и FtH;
(1.53)
кHв - коэффициент,
учитывающий неравномерность распределения нагрузки по длине контактных линий
(1.54)
где кH0в - коэффициент,
учитывающий неравномерность распределения нагрузки по длине контактных линий в
начальный период работы передачи;
(1.55)
куо - фактическое отклонение
положения контактных линий в начальный период работы передачи, мкм;
(1.56)
ке - отклонение положения
контактных линии вследствие упругой деформации и зазора в подшипниках, мкм;
/ке=0;кz - отклонение положения контактных линий вследствие погрешностей
изготовления, мкм;
(1.57)
б в - коэффициент,
учитывающий статистическое распределение погрешностей; бв ≥ 0,5.
Для шестерен конечной
передачи Fв= 0 и fкz= 0, т.к. там происходит самоустановка зубьев по длине.’
-удельная нормальная жесткость пары зубьев, Н/мм*мкм;
(1.58)
xк = 0,14
кHw - коэффициент,
учитывающий приработку зубьев;
кHа - коэффициент,
учитывающий распределение нагрузки между зубьями;
кHа = 1 для прямозубых
передач (в = 0°).
Допускаемое контактное
напряжение определяется отдельно для шестерни и колеса.
(1.59)
где уHlimb - предел
контактной выносливости, МПа;
уHlimb = 23 НоHRC (1.60) -
коэффициент запаса прочности; sH = 1,2;- коэффициент долговечности;
(1.61)
где N Hlim - базовое число
циклов напряжений, соответствующее пределу выносливости;
(1.62)
к - действительное число
циклов напряжений, соответствующее заданному сроку службы;
(1.63)
где Т - ресурс трактора; Т=
10000 час.- коэффициент, учитывающий шероховатость сопряженных поверхностей
зубьев;- коэффициент, учитывающий окружную скорость;
(1.64)
- коэффициент, учитывающий
влияние смазки; zL = 1.- коэффициент, учитывающий размер зубчатого колеса;
(1.65)
Результаты расчета приведены
в таблице 1.16.
5.13 Расчет на контактную
прочность при действии максимальной нагрузки
Условие контактной прочности
при действии максимальной нагрузки -
уhmax ≤ уHPmax (1.66)
где уHmax - контактное
напряжение при действии максимальной нагрузки, МПа;
уHPmax - допускаемое
контактное напряжение при действии максимальной нагрузки, МПа.
(1.67)
где кHmax - коэффициент
нагрузки, определяемый при Тlmax.
где FtHmax - максимальная
окружная сила на делительном цилиндре.
(1.68)
Результаты расчета приведены
и таблице 1.17.
5.14 Расчет на глубинную
контактную выносливость
Глубинная контактная
выносливость обеспечена, если расчетное контактное напряжение отвечает
зависимости:
(1.69)
где у нкр - предел глубинной
контактной выносливости, МПа;нк - коэффициент запаса прочности по глубинным
контактным напряжениям.
Для цементированных и
нитроцементированных колес предел глубинной контактной выносливости определяется
в трех зонах возможного развития повреждения:
- в упрочненном слое или
- на границе слоя
где hн - глубина расположения
зоны наибольших глубинных касательных напряжений, мм;
(1.71)- удельная окружная сила, Н/мм;
(1.72)
сv - приведенный радиус
кривизны профилей, мм;
(1.73)
Е - модуль упругости; Е =
2,1*105 Н/мм2; effHV - эффективная твердость упрочненного слоя;
(1.74)
- эффективная толщина
упрочненного слоя, мм;
(1.75)
Результаты расчета приведены
в таблице 1.18; для сопоставления берется наименьшее значение уHKP.
5.15 Расчет на глубинную
контактную прочность при действии максимальной нагрузки
Условие обеспечения глубинной
контактной прочности при действии максимальной нагрузки -
(1.76)
где уHKSt - предел глубинной
контактной прочности, МПа;- коэффициент запаса прочности по максимальным
глубинным
контактным напряжениям.
Предел глубинной контактной
прочности определяется в трех зонах аналогично п.3.3.3.:
(1.77)
или уHKSt - по номограмме
приложения 8 ГОСТ21354 - 87 для параметров:
(1.78)
где hHSt- глубина
расположения зоны наибольших глубинных касательных напряжений при максимальной
нагрузке, мм;
(1.79)
effStHV - эффективная
твердость упрочненного слоя при расчетах на максимальную нагрузку;
(1.80)
Результаты расчета приведены
в таблице 1.19.
5.16 Расчет зубьев на
выносливость при изгибе
Выносливость зубьев при
изгибе, необходимая для предотвращения усталостного излома зубьев в опасном
сечении на переходной поверхности, обеспечена, если расчетное напряжение меньше
допускаемого. Для шестерен, работающих на разных режимах, расчет проводится по
наиболее нагруженному режиму (как и при расчете на контактную прочность).
уF ≤ уFP (1.81)
где уF - расчетное местное
напряжение при изгибе, МПа;
уFP - допускаемое напряжение
изгиба, МПа;
(1.82)
где FtF - окружная сила на
делительном цилиндре, Н;
= FtH ;
кF - коэффициент нагрузки;
(1.83)
кFv - коэффициент,
учитывающий динамическую нагрузку, возникающую в зацеплении до зоны резонанса;
(1.84)
где uF - динамическая
добавка;
(1.85)
(1.86)
- удельная окружная
динамическая сила, Н/мм;
дF - коэффициент, учитывающий
влияние вида зубчатой передачи и модификации профиля головок зубьев; дF = 0,16;
кFв - коэффициент,
учитывающий неравномерность распределения нагрузки по длине контактных линий;
кFoв - коэффициент,
учитывающий неравномерность распределения нагрузки по длине контактных линий в
начальный период работы передачи;
(1.87)
кFa - коэффициент,
учитывающий распределение нагрузки между зубьями;
кFa = 1;- коэффициент,
учитывающий форму зуба и концентрацию напряжений;
(1.88)в - коэффициент, учитывающий наклон зуба; Yв =
1;е - коэффициент, учитывающий перекрытие зубьев; Yе = 1
(1.89)
где уFlimb - предел
выносливости при изгибе, МПа;
(1.90)
уFlimbo - предел выносливости
зубьев при изгибе, соответствующий базовому числу циклов напряжений, МПа;-
коэффициент, учитывающий технологию изготовления; YT =1;- коэффициент,
учитывающий способ получения заготовки зубчатого колеса; для поковки Yz = 1;-
коэффициент, учитывающий влияние шлифования переходной поверхности зуба; Yg =
1;- коэффициент, учитывающий влияние деформационного упрочнения или
электрохимической обработки переходной поверхности; Yd = 1;- коэффициент,
учитывающий влияние двустороннего приложения нагрузки; YA = 1 (наличием заднего
хода пренебрегаем, т.к. он занимает всего 2% времени работы трансмиссии);-
коэффициент запаса прочности; sF = 1,55;- коэффициент долговечности;
(1.91)
где N Flim - базовое число
циклов напряжений;д - коэффициент, учитывающий градиент напряжений и
чувствительность материала к концентрации напряжений;
(1.92)
- коэффициент, учитывающий
шероховатость переходной поверхности;= 1; - коэффициент, учитывающий размеры
зубчатого колеса;
(1.93)
Результаты расчета приведены
в таблице 1.20.
5.17 Расчет на прочность
при изгибе максимальной нагрузкой
Условие прочности зубьев при
изгибе максимальной нагрузкой:
уFmax ≤ уFPmax (1.94)
где уFmax - расчетное
максимальное местное напряжение, МПа;
уFPmax - допускаемое
напряжение изгиба в опасном сечении при действии максимальной нагрузки, МПа;
где уFSt - предел прочности
при изгибе максимальной нагрузкой, МПа;
(1.95)
уF0St - базовое значение
предельного напряжения зубьев при изгибе максимальной нагрузкой, МПа;-
коэффициент, учитывающий влияние шлифования переходной поверхности зуба; YgSt
=1;- коэффициент, учитывающий влияние деформационного упрочнения;= 1;-
коэффициент запаса прочности; sFSt = 1,75;=1;дSt =1;дStT =1;
Результаты расчета приведены
в таблице 1.21.
5.18 Определение критериев
необходимости расчета валов
Расчеты валов на статическую
прочность и выносливость достаточно трудоемкие, поэтому сначала с помощью
критериев определяется, необходимы ли эти расчеты.
Условие необходимости
проведения расчета на статическую прочность
(1.96)
где
- критерий необходимости расчета вала на статическую
прочность - коэффициент запаса прочности по пределу текучести, определяемый в
предположении сосредоточения всех радиальных и осевых сил, а также максимальной
нагрузки в середине пролета, где условно помещается и наименьшее из сечений
вала;
- предел
текучести материала вала, МПа;
-
наименьший в пределах пролета l диаметр вала, исключая концевые участки,
находящиеся внутри подшипниковых колец, м;- расстояние между точками приложения
наиболее удаленных друг от друга сил, как активных, так и реактивных, м;
- сумма
абсолютных величин радиальных опорных реакций, независимо от их направления,
или сумма абсолютных
величин
активных радиальных сил, независимо от их направления, причем в расчете
принимается наибольшая из этих сумм, кН;
-
наибольшая из осевых сил, независимо от того, в какой части пролета она
действует, кН;- наибольшее из плеч приложения осевых сил, м;
-
максимальная нагрузка, кНм;
-
минимально допустимое для данного вала значение коэффициента запаса прочности
по пределу текучести.
Радиальные
опорные реакции валов определяются исходя из условия действия на валу
максимальной нагрузки
:
Результаты
расчёта критерия
приведены в таблице 1.22.
Необходимость
проведения расчета на усталостную прочность обуславливается соотношением
значений критериев от
и
, где
- критерий необходимости расчета вала на усталостную
прочность, определяется по таблицам для наибольшего концентратора напряжений:
если
то статическая и усталостная прочность вала обеспечены;
если
то необходимо в расчете на статическую прочность
уточнить значение
и
если
, то усталостная прочность обеспечена,
если
то необходим расчет на усталость.
Значения
критерия
приведены в таблице 1.23,
где
- предел выносливости материала вала при изгибе с
симметричным циклом, МПа;
Статическая
и усталостная прочность валов АБ (первичного) и ЖИ (дополнительного)
обеспечены; валы ВГ (вторичный) и ДЕ (чаднего хода) необходимо рассчитать на
статическую прочность для уточнения значения
.
5.19
Расчет на статическую прочность
Расчет
вала ВГ на статическую прочность проводится при включении в коробке передач I
передачи (наиболее нагруженный режим для нала). Схема сил, Действующих на вал
па этом режиме, представлена на рисунке 3, определение реакций на опорах вала с
учетом действия на валу максимальной нагрузки
.
Для
построения эпюр изгибающих и крутящего моментов необходимо опрелить их в
характерных сечениях - по точкам приложения сил
(сечение
1 - 1),
(сечение 2 - 2) и на опоре Г. Изгибающие моменты в
характерных сечениях определяются по плоскостям - вертикальной и
горизонтальной, а затем геометрически складываются.
Вертикальная
плоскость:
Горизонтальная
плоскость:
Суммарный
изгибающий момент:
Результаты
расчета приведены в таблице 1.24, эпюры изгибающих и крутящего моментов
представлены на рисунке 1.27.
Как
следует из эпюр, наиболее опасные сечения - 1-1 и опора Г. Напряжения изгиба в
опасных сечениях
(1.97)
Напряжения
кручения в опасных сечениях
(1.98)
где
и
- момент
сопротивления сечения при изгибе или кручении соответственно,
;
(1.99)
-
диаметр вала в опасном сечении, м.
Запас
прочности по изгибу по отношению к пределу текучести
(1.100)
Запас
прочности по кручению по отношению к пределу текучести
(1.101)
где
- предел текучести материала вала при кручении;
Коэффициент
запаса прочности по пределу текучести
(1.102)
Результаты
расчета приведены и таблице 37.
Т.к.
в обоих сечениях
, то для вторичного вала ВГ расчет па усталостную
прочность не нужен, т.к. и статическая, и усталостная прочность его обеспечены.
5.20
Определение критериев необходимости расчета полуоси заднего моста
Полуось
заднего моста работает только на кручение, поэтому формула определения критерия
необходимости расчета на статическую прочность приобретает вид:
(1.103)
Значения
и
приведены
в таблице 1.25.
Как
следует из таблицы 55,
и
,
поэтому полуось необходимо рассчитать на статическую прочность, чтобы уточнить
величину коэффициента запаса
.
5.21
Расчет на статическую прочность
Расчет
полуоси проводится при включении в коробке передач I передачи (наиболее
нагруженный режим). Опасное сечение - по минимальному диаметру, в нем считаются
напряжения кручения и коэффициент запаса.
Результаты
расчета приведены в таблице 1.26.
Т.к.
в опасном сечении
, то необходим расчет полуоси на усталостную
прочность при том, что статическая прочность обеспечена -
5.22
Расчет на усталостную прочность
Коэффициенты
концентрации напряжений и пределы выносливости полуоси в каждом сечении
приведены в таблице 1.28.
Результаты
расчета коэффициента эквивалентности приведены в таблице 1.29; для вала без
поверхностного упрочнения m = 9.
Коэффициенты
запаса прочности по пределу выносливости по всем сечениям полуоси приведены в
таблице 1.30.
По
всем проверенным сечениям коэффициент запаса прочности n>[ n],
следовательно, усталостная прочность полуоси обеспечена.
6.
Тяговый расчет
Главная
задача тягового расчета - определение основных тягово-скоростных параметров
трактора, которые обуславливаются мощностью тракторного дизеля, передаточными
числами и кпд трансмиссии, кпд движителей и сцеплением их с почвой.
На
тракторе ВТ-150Д тягового класса 4 установлен дизель Д-442ВИ ОАО «Алтайдизель»
с полкой постоянной мощности, основные показатели которого приведены в таблице
1.31, а скоростная характеристика представлена в таблице 1.32.
Таблица
1.31 - Основные показатели Д-442ВИ
|
Наименование параметра
|
Обозначение
|
Величина
|
|
Диапазон оборотов полки
постоянной мощности, об/мин
|
n
|
1500... 1850
|
|
Эксплуатационная мощность
на номинальном режиме, кВт
|
Nе
|
110,2
|
|
Число оборотов на
номинальном режиме, об/мин
|
nе
|
1850
|
|
Крутящий момент на
номинальном режиме, кНм
|
Ме
|
0,569
|
|
Часовой расход топлива на
номинальном режиме, кг/ч
|
Gте
|
23,7
|
|
Удельный расход топлива на
номинальном режиме, г/кВтч
|
gе
|
|
|
Максимальный крутящий
момент, кНм
|
Мmах
|
0,702
|
|
Число оборотов при
максимальном крутящем моменте, об/мин
|
nм
|
1500
|
|
Число оборотов холостого
хода, об/мин
|
nхх
|
2000
|
Тяговый расчет трактора проводится при условии работы его на стерне,
кривая буксования принята как обобщенная по результатам анализа отчетов Северо
-Кавказской МИС по испытаниям тракторов ВТ-100Д, ВТ-100РМ, ВТ-100МД, ВТ-100М,
ВТ- 1 ООН, ВТ-100НП и ВТ-100ДП с 1995 по 2000 годы.
Эксплуатационная масса трактора mэ= 8750кг.
Исходные данные - nдв,
Nдв, Мдв, gдв - приведены в таблице 1.32.
Таблица 1.32 - Исходные данные
|
nдв , об/мин
|
Nдв, кВт
|
Мдв, кНм
|
Gт, кг/ч
|
gдв, г/кВтч
|
|
1980
|
14,7
|
0,071
|
8,4
|
571
|
|
1970
|
22,1
|
0,107
|
9,5
|
430
|
|
1960
|
29,4
|
0,143
|
10,7
|
364
|
|
1950
|
36,8
|
0,180
|
11,9
|
323
|
|
1940
|
44,1
|
0,217
|
13,1
|
297
|
|
1930
|
51,5
|
0,255
|
14,3
|
278
|
|
1920
|
58,8
|
0,293
|
15,4
|
262
|
|
1910
|
0,331
|
16,6
|
251
|
|
1900
|
73,5
|
0,370
|
17,8
|
242
|
|
1890
|
80,9
|
0,409
|
19,0
|
235
|
|
1880
|
88,2
|
0,448
|
20,2
|
229
|
|
1870
|
95,6
|
0,489
|
21,3
|
223
|
|
1860
|
102,9
|
0,529
|
22,5
|
219
|
|
1850
|
110,2
|
0,569
|
23,7
|
215
|
|
1825
|
111,4
|
0,583
|
23,7
|
213
|
|
1800
|
112,3
|
0,596
|
23,7
|
211
|
|
1775
|
113,3
|
0,610
|
23,7
|
209
|
|
1750
|
113,9
|
0,622
|
23,7
|
208
|
|
1725
|
114,3
|
0,633
|
23,7
|
207
|
|
1700
|
114,4
|
0,643
|
23,6
|
206
|
|
1675
|
114,5
|
0,653
|
23,5
|
205
|
|
1650
|
114,3
|
0,662
|
23,4
|
205
|
|
1625
|
113,9
|
0,670
|
23,3
|
205
|
|
1600
|
113,4
|
0,677
|
23,1
|
204
|
|
1575
|
112,8
|
0,684
|
23,0
|
204
|
|
1550
|
112,0
|
0,691
|
22,8
|
204
|
|
1525
|
111,2
|
0,697
|
22,6
|
203
|
|
1500
|
110,2
|
0,702
|
22,4
|
203
|
|
1475
|
109,3
|
0,708
|
22,2
|
203
|
|
1450
|
108,3
|
0,714
|
22,0
|
203
|
|
1425
|
107,0
|
0,718
|
21,8
|
204
|
|
1400
|
105,5
|
0,720
|
21,5
|
204
|
|
|
|
|
|
|
Теоретическая скорость трактора
[м/с]
(1.104)
где
uтр - передаточное число трансмиссии на каждой из
передач;
(1.105)
uКПi -
передаточное число коробки передач на i-ой передаче;
uГП -
передаточное число главной передачи; uГП = 3,1667;
uЗМ -
передаточное число заднего моста; uЗМ = 1,4182;
uБП -
передаточное число бортовой передачи; цбп = 5,4615;
rЗВ - радиус
ведущего колеса; rЗВ = 0,3517 м.
Касательная
сила тяги
[кН]
(1.106)
Где
зтр - кпд трансмиссии на каждой из передач;
зтр
= зКПi зГП зЗМ зБП зГ
зКПi -
кпд коробки передач на i-ой передаче;
зГП
- кпд главной передачи; зГП = 0,980;
зЗМ
- кпд заднего моста; зЗМ = 0,983;
зБП
- кпд бортовой передачи; зБП = 0,988;
зГ
- кпд гусеницы; зГ = 0,950.
Таблица
1.33
|
Передача
|
uКПi
|
зКПi
|
|
I
|
1,5667
|
0,988
|
|
II
|
1,2647
|
0,988
|
|
III
|
1,0263
|
0,988
|
|
IV
|
0,8333
|
0,988
|
|
V
|
0,6547
|
0,964
|
Сила тяги на крюке
[кН]
(1.107)
где
Рf - сила сопротивления перекатыванию;
[кН]
(1.108)
f - коэффициент
сопротивления перекатыванию; f = 0,07;
g - ускорение свободного падения.
Pf = 6,01 кН
Таблица
1.34 - Теоретические скорости трактора и силы тяги на крюке на номинальном
режиме
|
Передача
|
uтр
|
зтр
|
Ркр, кН
|
Vт ,м/с
|
|
I
|
38,4261
|
0,893
|
49,55
|
1,78
|
|
II
|
31,0198
|
0,893
|
38,84
|
2,20
|
|
III
|
25,1727
|
0,893
|
30,39
|
2,71
|
|
IV
|
20,4394
|
0,893
|
23,54
|
3,34
|
|
V
|
16,0576
|
0,872
|
16,65
|
4,25
|
Действительная скорость трактора
[м/с]
(1.109)
где
д - буксование трактора.
Крюковая
мощность трактора
[кВт]
(1.110)
Тяговый
кпд трактора
(1.111)
Тяговый
удельный расход топлива
[г/кВтч]
(1.112)
7. Анализ безопасности разрабатываемого объекта
К гусеничному движителю предъявляются требования, как в плане
безопасности так и в плане экологичности. Требования ставятся по снижению
воздействия на почву при эксплуатации трактора. В данной работе я рассмотрю
мероприятия проводимые для обеспечения безопасной работы с движителем, а также
приведу виды загрязнений образующиеся при производстве данного объекта.
Опасные факторы
1) Движущиеся части приводов агрегатов в
процессе работы могут привести к травмированию.
2) На многие части движителя действует
динамическая нагрузка и, поэтому, имеется вероятность усталостной поломки этих
частей, и поражение находящихся рядом людей;
3) Высокие обороты деталей движителя при
его испытании можгут привести к травмам;
4) Гравитационная тяжесть механизма
обуславливает возможность травм;
5) Нагретые поверхности;
Таблица 2.1 - Анализ безопасности разрабатываемого объекта.
|
Наименование фактора и его
характеристика
|
Нежелательные последствия
|
Причины проявления
опасностей
|
|
Опасные факторы
|
|
1. Движущиеся элементы - в
производстве металлических элементов пневморессоры используется оборудование
с вращающимся режущим инструментом.
|
Травмирование рабочего
движущимися элементами металлорежущего оборудования.
|
1) отсутствие защитных
кожухов на движущихся элементах оборудования; 2) несоблюдение мер
безопасности в работе.
|
|
2. Электрический ток -
используется для привода в движение инструмента, заготовок в металлорежущем оборудовании;
для освещения рабочих мест.
|
Поражение электрическим
током людей; Возгорание, пожар, который может привести к ожогам и жертвам.
|
Некачественная или
неправильно подобранная электроизоляция; Отсутствие заземления, нарушение ТБ.
|
|
3. Пожароопасные вещества и
материалы - РКО, а также компоненты, используемые для ее производства -
горючие вещества.
|
Возникновение пожаров и как
следствие ожоги, жертвы и отравления продуктами горения.
|
Несоблюдение требований
пожарной безопасности.
|
|
Вредные факторы
|
|
1. Едкие и токсичные
твердые и жидкие вещества - присутствуют на химическом производстве
резинокордных оболочек.
|
Тепловые удары, ухудшение
самочувствия.
|
Несоответствие нормам
систем очистки воздуха и его вентиляции, содержание токсичных веществ в
концентрации, выше ПДК
|
|
2. Шум и вибрации -
возникают в цехах механической обработки, а также присутствуют в подвеске в
процессе ее эксплуатации.
|
Повышенная утомляемость,
плохое самочувствие, ослабление слуха.
|
Недостаточная шумоизоляция,
виброзащита. Неправильная эксплуатация подвески.
|
7.1 Обеспечение безопасности разрабатываемого объекта
) Обеспечение надежности объекта. Надежность машин и механизмов
определяется вероятностью нарушения нормальной работы оборудования. Такого рода
нарушения могут явиться причиной аварий, травм. Большое значение в обеспечении
надежности имеет прочность конструктивных элементов. Конструкционная прочность
машин и агрегатов определяется прочностными характеристиками как материала
конструкции, так и его крепежных соединений (сварные швы, заклепки, штифты,
шпонки, резьбовые соединения), а также условиями их эксплуатации (наличие
смазочного материала, коррозия под действием окружающей среды, наличие
чрезмерного изнашивания и т. д.).
Большое значение в обеспечении надежной работы машин и механизмов имеет
наличие необходимых контрольно-измерительных приборов и устройств
автоматического управления и регулирования. При несрабатывании автоматики
надежность работы технологического оборудования определяется эффективностью
действий обслуживающего персонала. Поэтому производственное оборудование и
рабочее место оператора должны проектироваться с учетом физиологических и
психологических возможностей человека и его антропометрических данных.
Необходимо обеспечить возможность быстрого правильного считывания показаний
контрольно-измерительных приборов и четкого восприятия сигналов. Наличие
большого числа органов управления и приборов (шкал, кнопок, рукояток, световых
и звуковых сигналов) вызывает повышенное утомление оператора. Органы управления
(рычаги, педали, кнопки и т. д.) должны быть надежными, легкодоступными и
хорошо различимыми, удобными в пользовании. Их располагают либо непосредственно
на оборудовании, либо выносят на специальный пульт, удаленный от оборудования
на некоторое расстояние.
) Применяемые средства защиты. Средства индивидуальной защиты в
зависимости от назначения подразделяются на следующие классы: изолирующие
костюмы, средства защиты органов дыхания, специальная одежда, специальная
обувь, средства защиты рук, головы, лица, глаз, органов слуха, средства защиты
от падения и другие аналогичные средства, защитные дерматологические средства.
Оградительные средства защиты препятствуют появлению человека в опасной
зоне. Применяются для изоляции систем привода машин и агрегатов, зон обработки
заготовок, для ограждения токоведущих частей, зон интенсивных излучений
(тепловых, электромагнитных, ионизирующих), зон выделения вредных веществ,
загрязняющих воздушную среду, и т. д. Ограждаются также рабочие зоны,
расположенные на высоте (леса и т. п.).
Конструктивные решения оградительных устройств многообразны. Они зависят
от вида оборудования, расположения человека в рабочей зоне, специфики опасных и
вредных производственных факторов, сопровождающих технологический процесс.
Оградительные устройства делятся на три основные группы: стационарные
(несъемные), подвижные (съемные) и переносные. Стационарные ограждения
периодически демонтируются для осуществления вспомогательных операций (смены
рабочего инструмента, смазывания, проведения контрольных измерений деталей и т.
п.). Их изготовляют таким образом, чтобы они пропускали обрабатываемую деталь,
но не пропускали руки работающего из-за небольших размеров соответствующего
технологического проема. Такое ограждение может быть полным, когда локализуется
опасная зона вместе с машиной, или частичным, когда изолируется только опасная
зона машины. Примерами полного ограждения являются ограждения распределительных
устройств электрооборудования, вентиляторов, корпуса электродвигателей, насосов
и т. д
Предохранительные защитные средства предназначены для автоматического
отключения агрегатов и машин при выходе какого-либо параметра оборудования за
пределы допустимых значений, что исключает аварийные режимы работы.
В случае возможного выделения токсичных паров и газов, либо паров и
тазов, способных образовывать взрыво- и пожароопасные смеси, вблизи
оборудования устанавливают стационарные автоматические газоанализаторы.
Последние при образовании концентрации токсичных веществ, равной ПДК, а
концентрации горючих смесей в пределах 5-50% нижнего предела воспламенения
включают аварийную вентиляцию
Блокировочные устройства исключают возможность проникновения человека в
опасную зону либо устраняют опасный фактор на время пребывания человека в этой
зоне. Большое значение этот вид средств защиты имеет при ограждении опасных зон
и там, где работу можно выполнять при снятом или открытом ограждении. По
принципу действия блокировочные устройства делят на механические,
электрические, фотоэлектрические, радиационные, гидравлические, пневматические,
комбинированные.
Электрическую блокировку применяют на электроустановках с напряжением от
500 В и выше, а также на различных видах технологического оборудования с
электроприводом. Она обеспечивает возможность включения оборудования только при
наличии ограждения. При электрической блокировке в ограждение встраивают
концевой выключатель, контакты которого при закрытом ограждении включаются в
электрическую схему управления оборудованием и допускают включение
электродвигателя. При снятом или неправильно установленном ограждении контакты
размыкаются и электрическая цепь системы привода оказывается разорванной.
Сигнализирующие устройства дают информацию о работе технологического
оборудования, а также об опасных и вредных производственных факторах, которые при
этом возникают. По назначению системы сигнализации делятся на три группы:
оперативную, предупредительную и опознавательную. По способу информации
различают сигнализацию звуковую, визуальную, комбинированную (светозвуковую) и
одоризационную (по запаху); последнюю широко используют в газовом хозяйстве.
Для визуальной сигнализации используют источники света, световые табло,
подсветку шкал измерительных приборов, подсветку на мнемонических схемах,
цветовую окраску, ручную сигнализацию. Для звуковой сигнализации применяют
сирены или звонки.
) Электробезопасность. К числу защитных приспособлений относятся
ограждения и блокировки, средства для изолирования от земли.
Ограждения и блокировки. Ограждения служат для предупреждения случайного
прикосновения к находящимся под напряжением неизолированным частям
электротехнических установок, расположенным ниже 2,5 м от пола. При
эксплуатации установок с высоким напряжением ограждают все без исключения
открытые и изолированные части, находящиеся под напряжением. Для ограждения
используют решетки или сплошные щиты. В некоторых случаях части, опасные для
прикосновения, помещают в ящики, шкафы и т. п. Все ограждения должны быть
закрыты на замок либо иметь блокировку, препятствующую входу за ограждения или
открытию двери ящиков и шкафов при наличии напряжения.
Блокировки бывают трех типов: электрические, механические и
электромеханические. В электромеханической блокировке одновременно
осуществляются разрыв. электрической цепи и механическое отключение при снятии
ограждения или открывании дверцы.
Средства для изолирования от земли. Изолирующие защитные средства
предназначены для защиты работающих от поражений электрическим током путем
изоляции их от частей, находящихся под напряжением. Защитные средства делят на
основные и дополнительные в зависимости от их диэлектрических свойств и
устройства.
7.2
Требования безопасности при погрузке, транспортировке
Во время погрузки или выгрузки контейнеров водителю и другим лицам
запрещается находиться в кузове и в кабине автомобиля, под стрелой и в зоне
действия крана. По крышам контейнеров ходить запрещается.
Контейнеры перевозят только на таком подвижном составе, на котором они
размещаются параллельно осям. Кабины автомобилей, перевозящих контейнеры,
защищают щитами или решетками. На двухосные прицепы контейнеры устанавливают
дверцами наружу. Прицепы, на которых перевозят контейнеры, оборудуют
специальными направляющими.
Проезд людей в кузове автомобиля, перевозящего контейнеры, запрещается.
При перевозке контейнеров водителю необходимо соблюдать следующие меры
предосторожности: резко не тормозить; снижать скорость на поворотах,
закруглениях и неровностях дороги; обращать особое внимание на высоту ворот,
мостов, контактных сетей, деревьев и на другие верхние препятствия.
7.3 Требования безопасности в конструкции
Все элементы движущихся частей гарантированы от разрывов и потери
жёсткости, а также от поломок при динамических нагрузках возникающих в
предусмотренных условиях эксплуатации. Все детали движителя изготовлены из
соответствующих материалов, в соответствии с расчётными размерами и
техническими требованиями. Кроме того, всё устройство подвергается стендовым
испытаниям.
Крепление деталей спроектировано так, что при вибрациях и колебаниях они
сохраняют устойчивое положение.
7.4 Требования безопасности при испытании гусеничного
движителя
Стендовые испытания проводятся на специальном стенде. Прошедшим испытание
считается движитель, у которого:
характеристики соответствуют заявленным в техническом паспорте;
нет поломок, трещин, и тому подобных;
·
отсутствуют
неположенные звуки, стуки;
Динамические испытания проводятся на специальном стенде, поэтому
проведение эксперимента требует соблюдения правил техники безопасности:
1) к работе на стенде допускаются только
лица, ознакомившиеся с устройством, работой, методикой проведения эксперимента
и инструкцией по технике безопасности;
2) после установки объекта на стенде
нужно закрепить защитные кожухи;
3) проверить детали, убедится в
исправности крепления;
4) периодически осматривать стенд в
процессе эксперимента.
7.5 Производственная санитария
Метеоусловия в кабине ТС должны соответствовать нормам. Для поддержания в
кабине оптимальной температуры в холодный период используется встроенная печь.
В теплый период времени температура и скорость движения воздуха регулируется за
счет открывания и закрывания окон, а в современных автомобилях предусмотрен
кондиционер. Оптимальные и допустимые нормы метеорологических условий в кабине
даны в таблице 2.2
Таблица 2.2 - Оптимальные и допустимые нормы метеорологических условий в
кабине НТС
|
Период года
|
Влажность, %
|
Скорость движения воздуха,
м/с
|
Температура в кабине, °С
|
|
Холодный
|
50-60
|
0,2-0,25
|
Не ниже 5
|
|
Теплый
|
75
|
0,2-0,45
|
Не выше 30
|
Разрабатываемый объект - гусеничный движитель является источником
колебаний, возникающих из-за неровностей дороги. В таблице 2.3 дана
характеристика воздействия колебаний разных частот на человека, в таблице 2.4
приведены гигиенические нормы общей транспортной вибрации по ГОСТ 12.1.012-90.
В таблице 2.5 даны допустимые уровни шума.
Таблица 2.3 - Характеристика воздействия колебаний разных частот на
человека
|
Частота колебаний, Гц
|
Амплитуда колебаний, мм
|
Характер воздействия
|
|
75-120
|
0,01
|
Не ощущаются
|
|
65-75
|
0,02
|
Временно отвлекают
|
|
50-60
|
0,03
|
Отвлекают постоянно
|
|
<50
|
>0,03
|
Невозможные условия для
работы
|
Таблица 2.4 - Гигиенические нормы вибраций по ГОСТ 12.1.012-90
|
Вид вибрации - общая
транспортная
|
Допустимый уровень
виброскорости, дБ, в октавных полосах со среднегеометрическими частотами, Гц
|
|
1
|
2
|
4
|
8
|
16
|
31,5
|
63
|
125
|
250
|
500
|
1000
|
|
Вертикальная
|
132
|
123
|
114
|
108
|
107
|
107
|
107
|
-
|
-
|
-
|
-
|
|
Горизонтальная
|
122
|
117
|
116
|
116
|
116
|
116
|
116
|
-
|
-
|
-
|
-
|
Таблица 2.5 - Допустимые уровни шума
|
Рабочее место
|
Уровни звукового давления в
дБ, в октавных полосах со среднегеометрическими частотами, Гц
|
Уровни звука и
эквивалентные уровни звука, дБА
|
|
63
|
125
|
250
|
500
|
1000
|
2000
|
4000
|
|
|
Место водителя
|
99
|
92
|
86
|
83
|
80
|
78
|
76
|
74
|
85
|
Утилизация твёрдых отходов, в которые входит металлический лом
производятся на предприятиях чёрной металлургии. Сбор, хранение и сдача
металлолома производится по ГОСТ 1639 - 78 «Лом и отходы цветных металлов» и
ГОСТ 2787 - 75 «Лом и отходы чёрных металлов».
Переработку жидких отходов (отработанного масла) производят на
специальных предприятиях - полигонах, создаваемых в соответствии с требованиями
СНиП 2.01.28 - 85 и предназначенных для централизованного сбора, обезвреживания
и захоронения токсичных отходов.
7.6 Пожарная безопасность
Пожарная безопасность предусматривает комплекс организационных и
технических мероприятий, направленных на обеспечение безопасности людей,
предотвращение пожара, ограничение его распространения, а также создание
условий для успешного тушения пожара. Пожарная безопасность объединяет
мероприятия, осуществляемые в процессе проектирования, строительства, эксплуатации
предприятий.
Пожарная безопасность предусматривает: хранение, транспортирование и
содержание на рабочих местах огнеопасных жидкостей и растворов только в
закрытых емкостях, обеспечение успешной эвакуации людей и материальных
ценностей из сферы пожара; создание условий эффективного пожаротушения.
Мероприятия по предупреждению пожаров состоят из организационных,
технических, ремонтных и эксплуатационных.
К организационным мероприятиям относится правильная эксплуатация
автомобилей, металлорежущего оборудования, кузнечных, сварочных, шиномонтажных
и других отделений и цехов, а также зданий, территорий.
Технические мероприятия включаются в себя соблюдение норм при
проектировании; зданий, монтаже оборудования, при отоплении, вентиляции,
освещении.
При ремонте топливных баков или емкостей из-под горючих материалов
необходимо предварительно очистить, промыть и пропарить их. Сварка должна
производиться при открытых крышках (горловинах, пробках). Запрещается курение в
неотведенных специально для этого местах.
Эксплуатационные мероприятия заключаются в профилактических осмотрах, в
плановых ремонтах оборудования, машин и механизмов, гидравлическом и
динамическом испытаниях грузоподъемных машин.
На предприятиях автомобильного транспорта используются легковоспламеняющиеся
продукты сгорания, пожароопасные вещества и материалы. Все помещения
автотранспортных предприятий классифицируются по взрывной, взрывопожарной и
пожарной опасности в соответствии с СНиП 11-9-81.
Характеристика пожароопасных свойств применяемых материалов:
Резиновое покрытие - легковоспламеняющийся материал. Состав (в % вес.):
девулканизат 50; рубракс 26,8; сажа ламповая 16,3; асбестовое волокно 5,3;
парафин 1,6. показатель возгораемости более 2,1. загорается от пламени спички.
Тушить водой, пеной.
Применяемые средства для предупреждения и тушения загорания:
Вода;
Пены химические (ОП - 1; ОП - 2 - огнетушители пенные; 1 (2) -количество
литров) или воздушномеханические;
Инженерные газообразные (ОУ - 1; ОУ - 2), разбавители (СО2, N2, пар, аргон (Ar) и др.);
Порошковые составы на основе неорганических солей щелочных металлов
(порошковые составы на основе карбонатов и бикарбонатов натрия и калия);
Наличие пожарной сигнализации;
Таблица 2.5 - Пожарные свойства применяемых веществ и материалов.
|
Наименование веществ
|
Температура, °С
|
Пределы воспламенения
|
|
Вспышки
|
Самовоспла менения
|
Воспла менения
|
Концен трация
|
температура
|
|
Химические и органические
вещества и нефтепродукты
|
До 104 Свыше 104
|
-
|
-
|
-
|
-
|
|
Лаки, краски, эмали
|
-
|
-
|
-
|
-
|
-
|
|
Масло индустриальное
|
-
|
335
|
181
|
-
|
н. 146 в. 190
|
|
топливо
|
71
|
310
|
-
|
-
|
н. 76115 в.
|
8. Назначение детали
Движитель служит для преобразования получаемого от двигателя крутящего
момента в процессе взаимодействия с опорной поверхностью в тяговое усилие,
движущее трактор.
Гусеничный движитель в отличие от колесного обеспечивает передвижение
трактора не непосредственно по грунту (почве), а по промежуточной замкнутой
гусеничной ленте - гусеничной цепи (гусенице). Гусеница имеет значительно
большую опорную поверхность, чем площадь контакта колеса, что обеспечивает
небольшое давление трактора на грунт (0,025…0,07 МПа).
Ведущие колеса под действием подведенного крутящего момента заставляют
перематываться находящиеся в зацеплении с ним гусеницы. При этом на участке
гусеницы между ведущими колесами и последним ведущим катком возникает тянущее
усилие, которое передается на участок гусеницы, находящейся в контакте с
грунтом. Вследствие этого в последнем возникают касательные реакции,
направленные по движению трактора, с касательной силой тяги, которая через
детали движителя передается остову трактора, заставляя катки катиться по
подстилающейся внутренней поверхности гусениц. гусеничный
трактор конструкция цепь
Таким образом, ведущие колеса предназначены для перематывания гусениц при
движении трактора и создания силы тяги, обеспечивающей передвижение тракторного
агрегата.
По способу изготовления ведущие колеса бывают цельнолитыми или
составными. В первом случае зубчатый венец и ступица ведущего колеса
выполняются как единое целое из высокомарганцовистых и углеродистых литых
сталей.
Точность обработки части центрального отверстия с большим диаметром -
0,29 мм, шероховатость Rz40;
с меньшим диаметром - 1,6 мм, шероховатость Rz160. Непараллельность поверхностей торцев не должна превышать
1,2 мм, шероховатость внутренних поверхностей торцев Rz40. Расстояние между внутренним торцем и поверхностью зубьев
не должно отклоняться более чем на 1,1 мм, расстояние между торцами не должно
отклоняться более чем на 1,5 мм. Отклонение центра отверстий под болты не более
0,6 мм, шероховатость Rz40;
под шпильки - не более 0,2 мм, шероховатость Rz20. Допускается превышение диаметра отверстий под болты 0,52
мм, под шпильки - 0,43 мм. Шероховатость необработанных поверхностей Rz80.
8.1 Анализ технологичности конструкции
Технологический анализ конструкции обеспечивает улучшение
технико-экономических показателей разрабатываемого технологического процесса.
Основные задачи, решаемые при анализе технологичности конструкции
обрабатываемой детали, сводятся к возможному уменьшению трудоемкости и
металлоемкости, возможности обработки детали высокопроизводительными методами.
Таким образом, улучшение технологичности конструкции позволяет снизить
себестоимость ее изготовления без ущерба для служебного назначения.
Рациональные конструкции машин, обеспечивающие необходимые
эксплуатационные требования не могут быть созданы без учета трудоемкости и
материалоемкости их изготовления.
Соответствие конструкции машин требованиям трудоемкости и
материалоемкости определяют технологичность конструкции.
При объективной оценке технологичности конструкции машин, их деталей и
узлов, учитывают ряд положительных факторов, определяющих технологичность
конструкции. К ним относится:
. оптимальная форма детали, обеспечивающая изготовление заготовки с
наименьшим припуском и наименьшим количеством обрабатываемых поверхностей;
. наименьший вес машины
. наименьшее количество материала, применяемого в конструкции машин
. взаимозаменяемость деталей и узлов с оптимальным значением полей
допуска
. нормализация (стандартизация) и унификация деталей, узлов и их
отдельных конструкторских элементов.
Конструкции детали должны состоять из стандартных и унифицированных
конструктивных элементов (КЭД) или быть стандартной в целом.
Детали должны изготавливаться из стандартных или унифицированных
заготовок.
Размеры детали должны иметь оптимальную точность. Шероховатость
поверхностей должна быть оптимальной.
Физико-химические и механические свойства материала детали, её жесткость,
форма, размеры должны соответствовать требованиям технологии изготовления
(включая процессы отделочно-упрочняющей обработки, нанесения антикоррозийных
покрытий и т.п.), а также хранения и транспортировки.
Базовая поверхность детали должна иметь оптимальные показатели точность и
шероховатости поверхности, которые обеспечивают требуемую точность установки,
обработки и контроля.
Заготовки для изготовления деталей должны быть получены рациональным
способом с учетом материала, заданного объема выпуска и типа производства.
Метод изготовления деталей должен обеспечивать возможность одновременного
изготовления нескольких деталей.
Отработку технологичности детали «кронштейн» на технологичность проведем
в соответствии с Методическими указаниями МГАПИ .
Таблица 3.1 - Анализ технологичности конструкции
детали по геометрической форме и конфигурации поверхностей
|
№ п/п
|
Требования технологичности
|
Характеристика
технологичности
|
|
1
|
Деталь должна
изготавливаться из стандартных или унифицированных заготовок
|
Конструкция детали
технологична
|
|
2
|
Свойства материала детали
должны удовлетворять существующую технологию изготовления, хранения,
транспортировки
|
Конструкция детали
технологична
|
|
3
|
Конструкция детали должна
обеспечить возможность применения типовых, групповых или стандартных
технологических процессов
|
Конструкция детали технологична
|
|
4
|
Конструкция детали должна
обеспечивать возможность одновременной обработки нескольких деталей
|
Конструкция детали
технологична
|
|
Дополнительные требования
технологичности для деталей
|
|
5
|
Обеспечение одновременной
многошпиндельной обработки отверстий с учетом их межосевого расстояния
|
Конструкция детали
технологична
|
|
6
|
Возможность обработки
плоских поверхностей и отверстий на проход инструмента
|
Конструкция детали
технологична
|
|
7
|
Отсутствие глухих отверстий
и других поверхностей, обрабатываемых с внутренней стороны корпусной детали
|
Конструкция детали
технологична
|
|
8
|
Отсутствие плоских
поверхностей и осей отверстий, расположенных не под прямым углом
|
Конструкция детали не
технологична
|
|
9
|
Отсутствие отверстий с
резьбой малого или очень большого диаметра
|
Конструкция детали
технологична
|
|
Дополнительные требования
технологичности для деталей, обрабатываемых на станках с ЧПУ
|
|
10
|
Форма конструктивных
элементов деталей (КЭД) - фасок, канавок, выточек и т.д. должна обеспечивать
удобный подвод инструментов
|
Конструкция детали
технологична
|
|
11
|
Всемерная унификация КЭД
для сокращения времени на подготовку УП и снижению количества применяемых
инструментов
|
Конструкция детали
технологична
|
|
12
|
Конструкция детали должна
быть удобной для позицирования и координирования на станке с ЧПУ
|
Конструкция детали
технологична
|
|
13
|
В связи с возможным
применением роботов (манипуляторов) деталь должна иметь поверхности, удобные
для захвата
|
Конструкция детали не
технологична
|
|
|
|
|
Вывод: по геометрической форме и конфигурации поверхности
деталь кронштейн имеет конструкцию, которую в целом можно признать
технологичной (удовлетворяется порядка 85% основных требований по
технологичности конструкции).
8.2 Расчет размерной цепи
Расчетным размером А0 в цепи является расстояние от шайбы, прилегающей к
стопорному кольцу до торца крайней втулки.
А1=380±0,7 А5=88-0,7
А2=51±0,6 А6=3-0,25
А3=88-0,7 А7=88-0,7
А4=3-0,25 А8=51±0,6
Номинальный размер замыкающего звена:
А0= УАI ув+ УАi ум = 380-51-88-3-88-3-88-51 = 8 (мм)
где АI ув - I-ое увеличивающее звено размерной цепи;
Аi ум - i-ое уменьшающее звено размерной цепи.
Метод “максимум-минимум”.
Допуск замыкающего звена:
ТА0 = УТАi =
1400+1200+700+250+700+250+700+1200 = 6400 (мкм)
Координата середины поля допуска замыкающего звена:
Ес(А0) = УЕс(Аi ув) - УЕс(Аi ум) = 0+0-450-125-450-125-450+0 =
-1600 (мкм)
Верхнее предельное отклонение замыкающего звена:
ES(A0) = Ec(A0) + TA0/2 = -1600+6400/2 = 1600 (мкм)
Нижнее предельное отклонение замыкающего звена:
EI(A0) = Ec(A0) - TA0/2 = -1600-6400/2 = -4800 (мкм)
Размер замыкающего звена:
А0
= 8
(мм)
Вероятностный
метод.
Допуск
замыкающего звена:
ТА0
= t√(Ул2∙TIi2) = 3√(0,111(14002+12002+7002+2502+7002+2502+7002+12002))
= 2535 (мкм)
где
t - коэффициент риска, зависящий от процента
допускаемых неточностей расчета, равен 3;
л2
= 0,111 - коэффициент относительного рассеивания.
Координата
середины поля допуска замыкающего звена:
Ес(А0)
= -1600 (мкм)
Верхнее
предельное отклонение замыкающего звена:
ES(A0) = Ec(A0) + TA0/2 = -1600+2535/2 = -332 (мкм)
Нижнее
предельное отклонение замыкающего звена:
EI(A0) = Ec(A0) - TA0/2 = -1600-2535/2 = -2868 (мкм)
Размер
замыкающего звена:
А0
= 8
(мм)
8.3
Определение типа производства
Производственная программа машиностроительного завода
содержит номенклатуру изготовляемых изделий (с указанием их типов и размеров),
количество изделий каждого наименования, подлежащих выпуску в течение года,
перечень и количество запасных деталей к выпускаемым изделиям.
На основании общей производственной программы завода
составляется подетальная производственная программа по цехам, указывающая
наименование, количество, черный и чистый вес (массу) деталей, подлежащих
изготовлению и обработке в каждом данном цехе (литейном, кузнечном,
механическом и др.) и проходящих обработку в нескольких цехах; составляется
программа по каждому цеху и одна сводная, указывающая, какие детали и в каком
количестве проходят через каждый цех.
В зависимости от размера производственной программы,
характера продукции, а также технических и экономических условий осуществления
производственного процесса все разнообразные производства условно делятся на
три основных вида (или типа); единичное (индивидуальное), серийное и массовое.
У каждого из этих видов производственный и технологический процессы имеют свои
характерные особенности, и каждому из них свойственна определенная форма
организации работы.
Единичным называется такое производство, при котором
изделия изготовляются единичными экземплярами, разнообразными по конструкции
или размерам, причем повторяемость этих изделий редка или совсем отсутствует.
Единичное производство универсально, т. е. охватывает
разнохарактерные типы изделий, поэтому оно должно быть очень гибким,
приспособленным к выполнению разнообразных заданий. Для этого завод должен
располагать комплектом универсального оборудования, обеспечивающим изготовление
изделий сравнительно широкой номенклатуры. Этот комплект оборудования должен
быть подобран таким образом, чтобы, с одной стороны, можно было применять
различные виды обработки, а с другой - чтобы количественное соотношение
отдельных видов оборудования гарантировало определенную пропускную способность
завода.
Серийное производство занимает промежуточное положение
между единичным и массовым производством.
При серийном производстве изделия изготовляют партиями
или сериями, состоящими из одноименных, однотипных по конструкции и одинаковых
по размерам изделий, запускаемых в производство одновременно. Основным
принципом этого вида производства является изготовление всей партии (серии)
целиком как в обработке деталей, так и в сборке.
Понятие «партия» относится к количеству деталей, а
понятие «серия» - к количеству машин, запускаемых в производство одновременно.
Количество деталей в партии и количество машин в серии могут быть различными.
В серийном производстве в зависимости от количества
изделий в серии, их характера и трудоемкости, частоты повторяемости серий в
течение года различают производство мелкосерийное, среднесерийное и
крупносерийное. Такое подразделение является условным для разных отраслей
машиностроения: при одном и том же количестве машин в серии, но различных
размеров, сложности и трудоемкости производство может быть отнесено к разным
видам.
Массовым называется производство, в котором при достаточно большом
количестве одинаковых выпусков изделий изготовление их ведется путем
непрерывного выполнения на рабочих местах одних и тех же постоянно
повторяющихся операций.
Тип производства характеризуется коэффициентом
закрепления операций, который показывает отношение всех различных
технологических операций, выполняемых или подлежащих выполнению в течении
месяца, к числу рабочих мест. Так Кзо отражает периодичность обслуживания
рабочего всей необходимой информацией, а так же снабжение рабочего места всеми
необходимыми вещественными элементами производства, от Кзо оценивается
применительно к явочному числу рабочих подразделения из расчета на одну смену.
Для массового производства Кзо=1, для крупносерийного производства 1 < Кзо
< 10
Для технологического процесса состоящего из
одиннадцати операций Кзо=УПо/Ря=9/2=4,5; где УПо-суммарное число различных
операций; Ря-явочное число рабочих подразделения, выполняющих различные
операции, т.е. производство будет крупносерийным.
8.4 Выбор оптимального метода
получения заготовки
Материал заготовки
К материалам для изготовления ведущих колес гусеничных
движителей предъявляют следующие требования: большая механическая прочность,
невысокий коэффициент трения, стойкость при нагреве, хорошая сопротивляемость
износу и коррозии, возможность выдерживать высокие контактные напряжения.
Значительной части этих требований отвечают заготовки ведущих колес из
высокомарганцовистых, хромоникелевых и углеродистых литых сталей(Сталь 45ФЛ).
Заготовки для ведущих колес обычно получают отливкой в
кокиль. Кокиль применяют для изготовления отливок, к которым предъявляют
определенные технические требования, например получить плотные без усадочной
рыхлости с повышенными свойствами отливки из марганцовистых сплавов с широким
интервалом температур. Литье в кокиль применяют, если снижаются затраты
производства на изготовление готовой детали с учетом стоимости кокиля, расхода
металла в стружку и снижение затрат на механическую обработку. При значительных
объемах выпуска применяют многопозиционные высокопроизводительные машины
производительностью 180-200 форм в час и полуавтоматические линии.
Литье колес в песчаные формы мало распространено.
Литье данным способом позволяет снизить затраты на изготовления форм, однако
заметно увеличивается расход металла в стружку и увеличиваются затраты на
механическую обработку.
Таблица 3.2 - Сравнительный анализ различных способов
литья:
|
Литье в кокиль
|
Литье в песчаные формы
|
|
Масса отливки(mо),
кг
|
57,8
|
62
|
|
Масса колеса(mп),
кг
|
54
|
54
|
|
Ra, мкм
|
625
|
900
|
|
Кисп= mп/ mо
|
0,93
|
0,87
|
|
Себестоимость, руб
|
9
|
10
|
В результате сравнительного анализа можно убедиться в
приведенных выше аргументах.
8.5 Выбор технологических баз
Базой называют поверхность, заменяющую ее совокупность
поверхностей, ось, точку детали или сборочной единицы, по отношению к которым
ориентируются другие детали изделия или поверхности детали, обрабатываемые или
собираемые на данной операции. По характеру своего назначения (при
конструировании, изготовлении деталей, измерении и сборке механизмов и машин)
базы подразделяются на конструкторские, технологические и измерительные.
Группу конструкторских баз составляют основные и
вспомогательные базы, учет которых при конструировании (выборе форм
поверхностей, их относительного положения, простановки размеров, разработке
норм точности и т. п.) имеет существенное значение. Основная база определяет
положение самой детали или сборочной единицы в изделии, а вспомогательная база
- положение присоединяемой детали или сборочной единицы относительно данной
детали. Как правило, положение детали относительно других деталей определяют
комплектом из двух или трех баз.
Технологической базой называют поверхность,
определяющую положение детали или сборочной единицы в процессе их изготовления.
Измерительной базой называют поверхность, определяющую
относительное положение детали или сборочной единицы и средств измерения.
Наибольшей точности обработки детали можно достигнуть
в том случае, когда весь процесс обработки ведется от одной базы с одной
установкой, так как ввиду возможных смещений при каждой новой установке
вносится ошибка во взаимное расположение осей поверхностей. Так как в большинстве
случаев невозможно полностью обработать деталь на одном станке и приходится
вести обработку на других станках, то в целях достижения наибольшей точности
необходимо все дальнейшие установки детали на данном или другом станке
производить по возможности на одной и той же базе.
Принцип постоянства базы состоит в том, что для
выполнения всех операций обработки детали используют одну и ту же базу.
Если по характеру обработки это невозможно и
необходимо принять за базу другую поверхность, то в качестве новой базы надо
выбирать такую обработанную поверхность, которая определяется точными размерами
по отношению к поверхностям, наиболее влияющим на работу детали в собранной
машине.
Надо всегда помнить, что каждый переход от одной базы
к другой увеличивает накопление погрешностей установок (погрешностей положения
обрабатываемой детали относительно станка, приспособления, инструмента).
Далее, при выборе баз различного назначения надо
стремиться тоже использовать одну и ту же поверхность в качестве различных баз,
так как это тоже способствует повышению точности обработки.
В этом отношении целесообразно в качестве
измерительной базы использовать технологическую базу, если это возможно; еще
более высокой точности обработки можно достигнуть, если сборочная база является
одновременно технологической и измерительной. В этом и заключается принцип
совмещения баз.
Сравнительно сложная форма ведущего колеса,
предопределяет выбор баз при механической обработке. При их изготовлении обычно
используют искусственные установочные базы, в качестве которых могут быть
использованы следующие поверхности:
Три точки между зубьями колеса и наружний торец
Этот вариант используется в спутниках при обработке на
автоматических линиях.
8.6 Выбор методов обработки
1.Подрезание внутренних торцев.
. Растачивание отверстий.
. Подрезание внутренних и наружных торцев.
. Подрезание торцев, растачивание отверстий и снятие
фасок.
. Окончательное подрезание торца.
. Чистовое растачивание отверстия.
. Сверление отверстий.
. Зенкерование отверстий.
. Зачищение заусенцев после мехобработки.
. Приемочный контроль.
8.7 Выбор технологического маршрута
Таблица 3.3 - Технологический маршрут
|
N операции
|
Наименование и содержание
операции
|
Оборудование
|
Инструмент
|
|
|
|
Режущий
|
Измерит.
|
|
005
|
Загрузочная
|
Кран консольный Г.304,
захват 9691-2298
|
|
|
|
010
|
Автоматно-линейная.
Подрезание торцев Е и И, Выдерживая размеры 1 и 2
|
Автоматическая линия ЛМ 1138
|
Резец Т5К10
|
Шаблон
|
|
015
|
Автоматно-линейная.
Расточить одновременно отверстие М и отв. Ø162 мм, выдерживая размер 1 и 2
|
Автоматическая линия ЛМ 1138
|
Резец 312ТО603
|
Штанген-циркуль, пробка
|
|
020
|
Автоматно-линейная.
Подрезать торец Ø245/Ø162
выдерживая размер 3
|
Автоматическая линия ЛМ 1138
|
Резец подр. Т5К10
|
Калибр, шаблон
|
|
025
|
Автоматно-линейная.
Подрезать торец Ø245/Ø162
и снять фаску, выдерживая размер 1,2
|
Автоматическая линия ЛМ 1138
|
Резец 312ТО603
|
Штанген-циркуль, шаблон
|
|
030
|
Автоматно-линейная.
Подрезать торец Е окончательно, выдерживая размеры 1,2,3,5
|
Автоматическая линия ЛМ 1138
|
Резец подр. Т15К6
|
Штанген-циркуль, шаблон,
калибр, нутромер
|
|
035
|
Автоматно-линейная.
Расточить отверстие начисто, выдерживая размер 1
|
Автоматическая линия ЛМ
|
Резец раст. Т15К6
|
Пробка
|
|
040
|
Автоматно-линейная. Сверлить
4 отв. Ø20
напроход , выдерживая размер 2,3
|
Автоматическая линия ЛМ 1138
|
Сверло Ø21 2301-3475 ГОСТ 12121-77
|
Штанген-циркуль
|
|
045
|
Автоматно-линейная.
Зенкеровать 4 отв. Ø20,
выдерживая размеры 2,4
|
Автоматическая линия ЛМ 1138
|
Зенкер Ø22,38
105.2320-5179
|
Штанген-циркуль, пробка
|
|
050
|
Слесарная. Зачистить
заусенцы после мехобработки по мере необходимости в отверстиях
|
Пневматическая сверл. Машина
ИП-1026
|
Напильник 2820-0032, зенкер
|
|
8.8 Припуски
Припуски должны быть разделены на общие и межоперационные. Под общим
припуском понимают припуск, снижаемый в течении всего процесса обработки данной
поверхности - от размера заготовки до окончательного размера готовой детали.
Межоперационным называют припуск, который удаляют при выполнении отдельной
операции. Припуск должен иметь размеры, обеспечивающие выполнение необходимой
для данной детали механической обработки при удовлетворении установленных
требований к шероховатости и качеству поверхности металла и точности размеров
деталей при наименьшем расходе материала наименьшей себестоимости детали.
При установлении размеров припусков на обработку указывают допустимое
отклонение от них, т.е. допуски на размеры заготовки, т.к. получить заготовку
точно установленных размеров невозможно.
Размер припуска зависит от толщины поверхностного
поврежденного слоя, т.е. от толщины корки для литых заготовок,
обезуглероженного слоя для проката, глубины поверхностных неровностей, раковин,
трещин, пор, и пр., а также от неизбежных производственных и технологических
погрешностей, зависящих от способа изготовления заготовки, её формы и размеров,
способа обработки, геометрических погрешностей станка и других факторов.
Припуск - слой материала, удаляемый с поверхности заготовки в целях
достижения заданных свойств обрабатываемой поверхности детали. Припуск на
обработку может быть назначен по соответствующим справочным таблицам, ГОСТам
или на основе расчетно-аналитического метода определения припусков.
При параллельной обработке противолежащих поверхностей (двусторонний
припуск)
,
при
обработке наружных и внутренних поверхностей (двусторонний припуск)
,
здесь
Rzi-1 -высота неровностей профиля на предшествующем переходе;- глубина
дефектного поверхностного слоя на предшествующем переходе;Si-1 - суммарные отклонения расположения поверхности (отклонения от
параллельности, перпендикулярности, соосности, симметричности, пересечения
осей, позиционное) и в некоторых случаях отклонение формы поверхности
(отклонение от плоскостности, прямолинейности на предшествующем переходе)-
погрешность установки заготовки на выполняемом переходе.
Так
как заготовка получается литьем, то Rz= 200 мкм, а T=300
мкм [4].
Для
сверления:
мкм.
Для
зенкерования:
Rz= 50 мкм, а T=50
мкм
мкм.
Расчетный
диаметр:
dp2=20,52 -
0,34=20,18 мм.
dp1=20,18 -
1,14=19,04 мм.
Проверка.
-
=340 - 340 =0.
.
-
=1360 - 1140 = 220 мкм.
мкм.
8.9
Расчет режима резания при токарной обработке
Деталь
- Колесо ведущее. Материал Сталь 45ФЛ;
Режущий
инструмент - токарный проходной резец из быстрорежущей стали Т5К10, правый,
стойкость резца - 90 мин.
Оборудование
- автоматическая линия ЛМ 1138, горизонтальный силовой стол.
Приспособление
- спутник Ю 9689-3099.
Необходимо
рассчитать режим резания при токарной обработке цилиндрической поверхности с
диаметра Æ 237 мм; до диаметра Æ 240
мм; по 5 классу, на длине 19 мм
).
Определяем припуск на механическую обработку и глубину резания:
мм
Учитывается что припуск до 1,5мм срезается за один проход, принимаем i =
1, где i - число проходов, то;
мм
2. Назначаем подачу для первого точения: - 0,4 мм/об
Smin = 0,08
мм/об Smax = 0,45 мм/об
Smax = Smin ´ jz - 1;
Рассчитаем значение подач по ступеням:
S12 = S11 ´ j = 0,32 ´ 1,15 = 0,368 мм/об
В качестве расчетной принимаем :
= S12 = 0,368 мм/об
. Определяем расчётную скорость резания:
, где
-
поправочный кооэфициент, учитывающий реальные условия резания
; где
-
поправочный коэффициент, учитывающий влияние обрабатываемого материала.
-
поправочный коэффициент на материал режущей части инструмента.
Для
Т5К10
= 0.65;
=
поправочный коэффициент, учитывающий влияние периода стойкости резца:
Для
Т = 90 мин.
= 0.92
=
поправочный коэффициент, учитывающий состояние поверхности заготовок
= 1.0
Находим:
=
-
коэффициент зависящий от качества обрабатываемого материала и материала режущей
части инструмента;
Т
- принятый период стойкости резца (Т = 90 мин)
Значения
- находим по таблице, для стали при S = 0.368;
;
Определяем
расчётную частоту вращения
;
, где D -
диаметр детали.
По
паспорту станка 1К282
= 12.5
об/мин;
= 1600
об/мин= 24 (число ступеней вращения)
Определяем
частоту вращения по ступеням.
.
Определяем фактическую скорость резанья:
м/мин;
Основные
режимы резания при точении:
=
1.98 мин.= S12 = 0.368 мм/об
= 116
м/мин
=
= 422 об/мин
6
Проверяем
выбранный режим по мощности, потребляемой на резание:
, где
Кр
- поправочный коэффициент
, где
-
поправочный коэффициент на обрабатываемый материал, находим
= 0.89
-
поправочный коэффициент на главный угол в плане резца
= 1.0;
То Кр =
´
= 0.89 ´ 1.0 = 0.89;
Значения
находим по таблице
То
кг-с;
Определяем
осевую составляющую силы резания
;
кг-с,
=17.14 кг-с
По
паспорту станка
кг-с
следовательно
расчёт произведён верно.
7
Определяем
эффективную мощность на резании Nэ;
квт
8
Определяем
мощность потребляемую на резание.
КПД
станка = 0.75
квт.
определяем
коэффициент использования станка
,
где
- мощность главного электродвигателя станка; N=4 квт
(по паспорту)
Определяем технологическое (машинное) время
где
L - расчётная длина обрабатываемой поверхности.
=
l + l1 + l2,
где-
действительная длина обрабатываемой поверхности; l = 20 мм;- величина врезания
l1 = t ´ ctgj = 1.98 ´ ctg450 = 1.98 мм;
-
выход инструмента;
=
(2¸3) Sст = 2 ´ 0.37 = 0.74
мм;
=
7 (количество проходов)= l + l1 + l2 = 20 + 1.98 + 0.74 = 22.72 мм;
минут.
Автоматизация
технологических процессов
Автоматизация
технологических процессов необходима для повышения производительности.
Автоматические
линии в простейшем варианте компонуют на базе агрегатных станков, соединенных
транспортной системой принудительного перемещения заготовок штангами или в
спутниках. В первом случае после каждого цикла обработки заготовки
автоматически передвигаются и закрепляются в стационарных приспособлениях,
расположенных на рабочих позициях, а во втором - в спутниках, которые
периодически перемещаются на протяжении всего процесса обработки и также
фиксируются на рабочих позициях. Стабильная точность обработки на
автоматических линиях во многом зависит от устранения или уменьшения износа в
результате трения между перемещающимися частями оснастки. Спутники или силовые
головки, которые поворачиваются вокруг своих осей и перемещаются в процессе
обработки, рекомендуется выполнять на воздушных подушках. В свою очередь,
продольное перемещение спутника и его фиксацию также следует выполнять с учетом
предохранения базирующих поверхностей от изнашивания.
В
автоматизированном производстве передачу заготовок обеспечивают межоперационные
транспортные системы: гравитационные - для заготовок с массой до 10 кг; с
приводными функционными роликами или подвесными толкающими конвейерами - при
большой массе. Загрузку или разгрузку заготовок после обработки выполняют
роботы.
На
простых автоматических линиях не всегда можно выполнять все операции обработки
данного изделия, и часть из них приходится «доделывать» на отдельно
установленном оборудовании вне линии, что ведет дополнительные затраты труда.
Создание комплексных автоматических линий позволяет выполнять на них
разнообразные операции: сверление и развертывание с подачей СОЖ под давлением,
запрессовку втулок и другие путем установки соответственно модернизированного
оборудования. Для бесперебойной работы автоматических линий в их состав
включают накопители заделов, питающие заготовками участки линии при выходе из
стоя отдельных станков или в период их переналадки; моечные машины и установки
для обдувки заготовок; кантователи для вытряхивания стружки; стенды для
хранения и настройки инструмента (блоков) с счетчиками рабочих циклов и
сигнализацией на смену инструмента, а также другое вспомогательное
оборудование.
В
эксплуатации автоматических линий важную роль играет рациональный способ
удаления стружки. Для транспортирования стружки применяют различные виды
конвейеров, а также транспортируют ее с помощью потока СОЖ. Существуют
автоматические линии, в том числе переналаживаемые, на которых
транспортирование заготовок выполняют роботы.
Автоматические
линии для обработки тел вращения - валов, фланцев и других подобных деталей
компонуют из токарных - копировальных, многорезцовых и тому подобных станков,
объединенных общей транспортной системой.
Кроме
автоматических линий с принудительным перемещением обрабатываемых заготовок,
существуют также линии челночного типа с отдельно смонтированным карусельным
столом, на котором размещены два зажимных устройства: одно для разгрузки и
загрузки заготовок, а другое рабочее. Обрабатывающие головки (фрезерные,
расточные, сверлильные или резьбонарезные), смонтированные на общих
направляющих, последовательно подают в зону обработки и после окончания цикла
возвращают в исходное положение.
На
комплексных автоматических линиях осуществляют механическую обработку, закалку
ТВЧ, мойку, контроль и сборку. Линии оснащают средствами операционного и
приемочного автоматического контроля, адаптивного управления,
микропроцессорами, мониторными системами и мини-компьютерами, управляющими
технологическим процессом, следящими за технической диагностикой состояния
оборудования и инструмента, а также учитывающими загрузку оборудования, выпуск
продукции и т. п.
Коэффициент
загрузки станка
определяется как отношение расчетного количества
станков mр, занятых на данной операции процесса, к принятому
(фактическому) mпр:
.
Расчетное
количество станков определяется как отношение штучного времени на данной
операции Tшт к такту выпуска tв:
.
Точение поверхностей Е и И.
.
Подрезание поверхности Е.
.
Сверление.
.
Зенкерование.
.
Для
всех операций mпр=1. Следовательно
.
Коэффициент
использования оборудования по основному времени
свидетельствует
о доле машинного времени к штучному:
.
Точение
поверхностей Е и И.
.
Подрезание
поверхности Е.
.
Сверление.
.
Зенкерование.
.
9. Организация процесса исследования и разработки
В этом разделе дипломного проекта дается характеристика объекта
исследования, определяется состав работ, продолжительность разработки и
численность исполнителей. Данная разработка является усовершенствованной
моделью гусеничного движителя трактора сельскохозяйственного назначения
тягового класса 5.
Таблица 4.1 - Структура трудоемкости этапов разработки продукции.
|
Этапы
|
Содержание этапов
|
Доля этапа в общей
трудоемкости темы, %
|
|
1. Техническое задание
|
Определение технического
назначения изделия, основных параметров, технических и экономических
требований
|
2-3
|
|
2. Техническое предложение
|
Разработка технических и
технико-экономических данных о целесообразности разработки изделия,
представление различных вариантов возможных решений с учетом патентных
материалов, включая их сравнительную оценку и предложения оптимального
варианта изделия
|
3-5
|
|
3. Эскизное проектирование
|
Анализ состояния вопроса,
подбор и изучение научно-технической литературы, существующих конструкций и
др. материалов, патентный поиск. Составление и согласование с заказчиком
технического задания на проектирование образцов, разработка и составление
принципиальной схемы, основных расчетов, схематических чертежей общего вида
конструкций, утверждение эскизного проекта.
|
15-20
|
|
4. Техническое
проектирование
|
Разработка и согласование
технического проекта, уточнение схемы и расчетов, разработка уточненных
чертежей общего вида образца и конструктивных чертежей отдельных узлов,
составление подетальных спецификаций, аналитические расчеты на прочность и
исследование материалов и деталей, изготовление макетов отдельных узлов,
агрегатов и изделия в целом.
|
30-35
|
|
5. Рабочий проект
|
Разработка рабочих чертежей
деталей и узлов, общего вида образца, составление подетальной спецификации,
оформление чертежей и технологической документации в опытное производство.
|
15-20
|
|
6. Изготовление опытного
образца
|
Технологическая и
материальная подготовка производств, изготовление и получение деталей, сборка
узлов, механизмов и агрегатов, общая сборка и монтаж, проведение отладочных
испытаний, корректировка технической документации
|
15-25
|
|
7. Испытание опытного
образца
|
Проведение стендовых и
эксплуатационных испытаний.
|
7-10
|
|
ИТОГО:
|
100%
|
Трудоемкость разработок зависит от условий их проведения: в инженерной
группе, на промышленном предприятии, в лаборатории университета. Она измеряется
в чел-днях или чел-часах.
Для оценки трудоемкости исследований и разработок можно использовать
экспертные, опытно-статистические или аналитические методы.
Экспертные методы оценки трудоемкости предстоящих работ основываются на
оценках, данных экспертами. Экспертные методы используются при определении
трудоемкости работ, отличающихся принципиальной или значительной новизной.
Ожидаемое время выполнения работ или этапов можно определить по формуле:
, (4.1)
где tmin - минимально возможная
продолжительность работы, при которой понимается предполагаемая ее длительность
при наиболее благоприятных условиях;
tmax -
максимальная продолжительность работы, при которой понимается ее предполагаемая
длительность при самых неблагоприятных условиях.
Таблица 4.2 - Состав и трудоемкость работ
|
Этапы работ
|
tmin, чел-дн.
|
tmax, чел-дн
|
tож, чел-дн.
|
|
1. Техническое задание
|
2
|
2
|
2
|
|
2. Техническое предложение
|
3
|
6
|
5
|
|
3. Эскизное проектирование
|
17
|
22
|
19
|
|
4. Техническое
проектирование
|
33
|
39
|
35
|
|
5. Рабочий проект
|
17
|
22
|
19
|
|
6. Изготовление опытного
образца
|
17
|
28
|
21
|
|
7. Испытание опытного
образца
|
8
|
11
|
9
|
|
Итого
|
97
|
131
|
110
|
Опытно-статистические методы оценки трудоемкости мы использовать не
будем, т.к. нет достоверной информации о проводившихся ранее аналогичных
разработках.
Трудоемкость нового исследования или разработки (Тн) определяется по
формуле:
Тн = Та * Кпер, (4.2)
где Та - трудоемкость аналога;
Кпер - переводной коэффициент, учитывающий степень новизны и изменения
организационно-технических условий исследования и разработки.
Методика типовых этапов и видов работ предполагает оценку трудоемкости
исследования или разработки в соответствии с типовым технологическим процессом
проведения НИОКР. Трудоемкость новой разработки Тн определяется как сумма
трудоемкости обязательных видов работ (tp):
, (4.3)
где n - количество видов работ, входящих в
типовой технологический процесс проведения исследований и разработок.
Укрупненная оценка может проводиться по удельному весу трудоемкости
типового этапа в трудоемкости аналогичной разработки или исследования:
, (4.4)
где tн - трудоемкость типового этапа в
новой разработке;
d -
удельный вес трудоемкости этого этапа в трудоемкости аналогичной разработки, %.
Численность персонала, занятого исследованиями и разработками, зависит от
масштаба работ, срока выполнения работ, а также от суммы бюджета.
Численность персонала может быть рассчитана по формуле:
, (4.5)
где Т - трудоемкость разработки или исследования;
ФПЛ - плановый фонд времени одного исполнителя.
Организация работ по проведению исследований и разработок основывается на
последовательном или параллельно-последовательном способах выполнения этапов.
При последовательном выполнении каждый следующий этап (стадия) начинается
только после полного завершения предшествующего. Цикл исследования при этом
будет равен:
, (4.6)
где n - число этапов;
ti -
трудоемкость i-го этапа, чел-дн;
Чi - количество человек, одновременно
выполняющих i-ый этап.
При параллельно-последовательном выполнении этапов, когда имеет место
совмещение выполнения некоторых из них, цикл исследования уменьшается по
сравнению с последовательным выполнением и определяется по формуле:
, (4.7)
где КПАР - средний коэффициент параллельности выполнения этапов, КПАР =
0,3-0,7.
Организационный план исследования (составляется в виде ленточного
графика).
Таблица 4.3 - График проведения исследования.
|
Наименование этапов (работ)
|
Исполнители
|
Длительность этапов (работ),
дн
|
2006 год
|
|
|
|
Сентябрь
|
Октябрь
|
Ноябрь
|
Декабрь
|
|
1. Техническое задание
|
Студент, Руководитель
|
2
|
2
|
-
|
-
|
-
|
|
2. Техническое предложение
|
Студент, Руководитель
|
5
|
5
|
-
|
-
|
-
|
|
3. Эскизное проектирование
|
Студент
|
19
|
19
|
-
|
-
|
-
|
|
4. Техническое
проектирование
|
Студент
|
35
|
4
|
31
|
-
|
-
|
|
5. Рабочий проект
|
Студент
|
19
|
-
|
-
|
19
|
-
|
|
6. Изготовление опытного
образца
|
Студент
|
21
|
-
|
-
|
11
|
-
|
|
7. Испытание опытного
образца
|
Студент
|
9
|
-
|
-
|
-
|
9
|
|
Итого:
|
110
|
30
|
31
|
30
|
9
|
9.1 Маркетинговые исследования
Маркетинговые исследования включают описание товара и его преимуществ;
описание емкости и доли рынка; характеристику покупателей; анализ конкурентной
среды; прогнозирование спроса на выпускаемую продукции и построение графика
жизненного цикла товара.
Чтобы описать товар, необходимо ответить на вопросы:
Чем торговать?
Какой полезный эффект можно извлечь из товара?
Чем отличается товар от товаров конкурентов?
Если нет в продукции ничего особо выдающегося, то что может привлечь
покупателя?
Товар - трактор сельскохозяйственный, общего назначения, тягового класса
5 с гусеничным движителем. Производительность трактора намного выше, чем у
предшествующих аналогов. Покупателя может привлечь низкая цена по сравнению с
зарубежными аналогами, меньший удельный расход топлива при прочих равных
условиях. Трактор оснащен современной кабиной, более удобным расположением
рычагов и модифицированным сидением, повышенной обзорностью.
Описание рынка:
Кто является покупателем в настоящее время?
Какие товары пользуются спросом?
Почему покупают наш товар?
Почему покупают у нас, а не у наших конкурентов?
Каким образом расширить круг покупателей?
Чем привлечь покупателей?
Как добиться расширения границ рынка?
Покупатели - крупные крестьянские, фермерские хозяйства и
сельскохозяйственные производственные кооперативы. Спросом на данном рынке
пользуются следующие товары: тракторы, зерноуборочные комбайны, машинно-тракторные
агрегаты, запасные части для них. Данный трактор будет пользоваться спросом
потому, что имеет ряд технических преимуществ в сравнении с техническими
аналогами и низкую цену в сравнении с зарубежными аналогами. Круг покупателей
можно расширить посредством рекламы, условий лизинга или кредита, рассрочки
платежа, проведения форумов, выставок, бесплатного проведения демонстрации
техники в работе.
Конкуренция. После того, как определились рынки и они являются достаточно
емкими с точки зрения прибыльности и перспективности, необходимо выявление
конкурентов.
Кто является конкурентами?
В каком состоянии их дела - стабильны, на подъеме или идут на спад?
В чем их можно превзойти?
Каковы методы конкурентной борьбы? (дифференциация качества предлагаемых
товаров, дополнительные удобства и др.)
Конкурентами Волгоградского тракторного завода, на котором планируется
производство данного трактора, являются: Минский тракторный завод, Челябинский
тракторный завод, Харьковский тракторный завод, Caterpiller, Jonndir, Claаs, Case. Данные компании стабильно развиваются, обновляя ряд
моделей более совершенными, увеличивая объемы поставок своей продукции на
российский рынок.
Таблица 4.4 - Характеристика товара.
|
Запросы потребителей
|
Волгоградский тракторный
завод
|
Алтайский тракторный завод
|
|
1. Качество
|
высокое
|
высокое
|
|
2. Исключительность товара
|
высокая производительность,
уменьшенное давление на почву ходовой системой, повышенный срок службы
движителя
|
уменьшенное давление на
почву ходовой системой
|
|
3. Цены
|
1 100 000 руб.
|
1 200 000 руб.
|
|
4. Ассортимент
|
2 модификации
|
2 модификации
|
|
5. Послепродажное
обслуживание
|
гарантийное обслуживание
|
гарантийное обслуживание
|
|
6. Надежность
|
высокая
|
высокая
|
|
7. Условия доставки
|
самовывоз с территории
предприятия
|
самовывоз с территории
предприятия
|
|
8. Гарантии
|
550 моточасов
|
350 моточасов
|
|
9. Консультирование
|
ведущие специалисты завода
|
менеджеры
|
|
10. Готовность оказать
помощь
|
да
|
нет
|
Рисунок 4.1 - Жизненный цикл товара
9.2 Экспертная оценка уровня конкурентоспособности товара
Конкурентоспособность товара (КСТ) - это его способность выдерживать
конкуренцию по сравнению с аналогичными товарами других производителей в
условиях данного рынка. Уровень КСТ определяется качеством, ценой, условиями
поставки, обслуживания, престижем производителя, эффективностью рекламы и др.
Для проведения оценки конкурентоспособности созданного продукта
необходимо определить перечень наиболее важных его параметров и их
относительную значимость.
На основе этого рассчитываются коэффициенты соответствия данного товара
идеальному товару.
Индивидуальный коэффициент соответствия по каждому i параметру определяются по формуле:
или
, (4.8)
где Pi - значение i -го параметра данного товара;идeaлi - значение i-го параметра идеального товара.
Обобщенный коэффициент соответствия определяется по формуле:
, (4.9)
где
ai - коэффициент значимости i параметра,
.
Оценка конкурентоспособности осуществим в следующей последовательности:
1) Определим перечень параметров, по которым будет оцениваться
конкурентоспособность товара с учетом особенностей данного товара.
) На основе паспортных данных и личных наблюдений измерим значения
параметров товара различных фирм или марок.
Таблица 4.5 - Критерии конкурентоспособности.
|
Параметры
|
Разработанный проект
|
Конкурентный проект
|
|
Скорость движения при
номинальном тяговом усилии, км/час
|
7
|
7
|
|
Удельный расход топлива при
наибольшей тяговой мощности, г/кВт·час
|
210
|
220
|
|
Наибольшее из средних
условных давлений движителя, кПа
|
35
|
40
|
|
Грузоподъемность нависной
системы, кГс
|
4500
|
4300
|
|
Путь торможения, м
|
2,4
|
2,4
|
|
Углы поперечной статической
устойчивости, 0
|
45
|
45
|
|
Среднее квадратическое
значение ускорения на месте оператора, м/с2
|
0,55
|
0,7
|
3) Осуществим экспертную оценку коэффициентов значимости каждого
параметра товара в отдельности так, чтобы их сумма по всем параметрам была
равна единице. Коэффициенты значимости оцениваются в диапазоне от 0 до 1 с
точностью до двух знаков после запятой.
) На основе измеренных значений параметров определим значения параметров
«идеального товара», удовлетворяющего потребности покупателя на 100%.
) Для каждой фирмы (марки) в отдельности и по каждому параметру определим
индивидуальные коэффициенты соответствия параметров реального товара параметрам
«идеального товара» по формуле приведенной выше.
) Для каждой фирмы (марки) в отдельности определим обобщенный коэффициент
соответствия реального товара «идеальному» по формуле приведенной выше.
Таблица 4.6 - Обобщенные оценки
|
Параметры
|
Значимость параметров
|
Значение параметров
«идеального товара»
|
Значения индивидуальных
коэффициентов соответствия
|
|
|
|
Разрабо-танный проект
|
Проект конкурента
|
|
Скорость движения при
номинальном тяговом усилии, км/час
|
0,15
|
10
|
0,7
|
0,7
|
|
Удельный расход топлива при
наибольшей тяговой мощности, г/кВт·час
|
200
|
0,95
|
0,91
|
|
Наибольшее из средних
условных давлений движителя, кПа
|
0,2
|
30
|
0,85
|
0,75
|
|
Грузоподъемность нависной
системы, кГс
|
0,1
|
5000
|
0,9
|
0,86
|
|
Путь торможения, м
|
0,05
|
2
|
0,83
|
0,83
|
|
Углы поперечной статической
устойчивости, 0
|
0,1
|
40
|
0,9
|
0,9
|
|
Среднее квадратическое
значение ускорения на месте оператора, м/с2
|
0,3
|
0,5
|
0,91
|
0,71
|
|
Обобщенные коэффициенты
соответствия
|
1
|
-
|
0,8645
|
0,7765
|
7) Проведем ранжирование товаров в порядке убывания их обобщенных
коэффициентов соответствия.
Выводы относительно конкурентоспособности разработанного ПО:
Данное ПО по ряду параметров является лидером по уровню
конкурентоспособности среди аналогичных изделий прочих фирм-изготовителей.
9.3 Расчет затрат на проведение исследования и разработки
Затраты на проведение НИР включают:
1) текущие затраты на проведение исследований и разработок;
) капитальные затраты на приобретение или изготовление специального
оборудования и приборов.
Текущие затраты (основные и накладные) рассчитываются по следующим
статьям расходов:
) основные затраты;
) энергия;
) расходы на оплату труда исполнителей;
) отчисления на социальные нужды;
) амортизационные отчисления;
) содержание и ремонт оборудования;
) эксплуатация ЭВМ;
) услуги сторонних организаций;
) накладные расходы.
Расчет затрат на основные и вспомогательные материалы ведется на основе
потребности и покупной цены с учетом транспортно заготовительных расходов.
Потребность в материалах для исследований и разработок определяется исходя из
норм расхода. Если есть возвратные отходы, то стоимость их вычитается из общих
затрат на материалы.
Затраты на энергию определяются исходя из цены за единицу и расхода.
Расход силовой электроэнергии равен:
кВт*час
, (4.10)
где My - установленная мощность
оборудования, 0,6 кВт;
Fo6 -
годовой эффективный фонд времени работы единицы оборудования, 2080 ч;
Км - коэффициент использования электродвигателей по мощности, 0,5 - 0,9;
Кв - коэффициент использования электродвигателей по времени, 0,6-0,85;
Ккпд - коэффициент полезного действия электродвигателя, 0,7-0,8.
Аналогично рассчитывается расход энергии по другим видам ресурсов.
Результаты расчетов по всем видам энергии сводятся в таблицу 4.7.
Таблица 4.7 - Расчет стоимости энергоресурсов.
|
Виды энергии
|
Расход энергии
|
Цена за единицу, руб
|
Стоимость энергии, руб
|
|
1. Электроэнергия, кВт час
|
108
|
1,3
|
140,5
|
|
2. Вода, л
|
2600
|
0,08
|
208
|
|
Итого
|
-
|
-
|
348,5
|
Затраты на оплату труда исполнителей определяются на основе месячных
должностных окладов и времени выполнения НИР. Для каждой категории работников
расходы на оплату труда рассчитываются по формуле:
руб.,
(4.11)
где ДО - должностной оклад работника, руб/мес;
КПР - коэффициент, учитывающий премии, доплаты и надбавки, 1,4-1,6;
Fф -
фактически отработанное время работником при выполнении НИР;
FЭФ -
эффективный месячный фонд рабочего времени одного работника, ч.
Расчет затрат на оплату труда исполнителей и отчисления на социальные
нужды приводятся в таблице 4.8.
Таблица 4.8 - Расчет затрат на оплату труда и отчислений на социальные
нужды.
|
Исполнители НИР
|
Месячный оклад, руб
|
Месячный фонд времени, час
|
Коэф. премий, доплат,
надбавок
|
Время t
заня-тости работника на НИР, ч
|
Фонд оплаты труда, руб
|
Отчисления на социальные
нужды, руб
|
|
Студент
|
600
|
160
|
1,4
|
70
|
360
|
90
|
|
Руководитель Дипломной
работы
|
3 000
|
160
|
1,6
|
20
|
600
|
155
|
|
Руководитель Экономической
части
|
6 000
|
160
|
1,6
|
2,5
|
300
|
78
|
|
Руководитель БЖД
|
6 000
|
160
|
1,6
|
1
|
300
|
78
|
|
Итого:
|
-
|
-
|
-
|
-
|
1961
|
401
|
Отчисления на социальные нужды можно принять 26,2 % от фонда оплаты труда.
Амортизационные отчисления при использовании в исследованиях
универсального оборудования определяются исходя из норм амортизации и
балансовой стоимости по видам оборудования:
руб.,
(4.12)
где ОФ - балансовая стоимость оборудования, - персональный компьютер,
сканер, принтер, - 30 000 руб;
На - норма амортизации (при сроке эксплуатации - 5 лет), 20 %;
Fрф -
время использования данного оборудования при выполнении НИР, 50 ч;
-
годовой эффективный фонд времени работы единицы оборудования, ч.
ч.,
(4.13)
где FН - годовой номинальный фонд времени
работы оборудования, 52 недели х 5р.дн. х 8ч = 2080 ч;
q -
число смен работы оборудования, 1;
Кпр - коэффициент, учитывающий плановые простои оборудования в ремонте,
0,9-0,95.
Расходы на содержание и ремонт оборудования можно принять в размере 10 -
15% от их балансовой стоимости. - 15% от 30000 = 4500 руб.
Расходы, связанные с эксплуатацией ЭВМ, можно определить исходя из
стоимости одного часа машинного времени использования ЭВМ и длительности
использования ЭВМ в работе.
руб.,
(4.14)
где
- стоимость одного машино-часа работы ЭВМ, 50 руб;
tэвм - время
использования ЭВМ, 50 ч.
Накладные расходы включают затраты на оплату труда административно-управленческого
персонала, обслуживание и ремонт помещений, освещение, отопление, вентиляцию,
командировочные и прочие расходы. Накладные расходы можно принять 25 - 35% от
общей суммы основных расходов. По расчету: общая сумма расходов - 44875 руб.
Следовательно, накладные расходы - 11218 руб.
Капитальные затраты включают стоимость приобретения или изготовления
специальных установок, приборов и оборудования, предназначенных только для
проведения данного исследования или разработки. Эти затраты учитываются по
рыночной стоимости с учетом затрат на транспортировку и монтаж. Разовая закупка
дополнительного ПО (Аutocad)
- 30000 руб.
На основе проведения расчетов текущих и капитальных затрат составляется
смета затрат на НИР:
Таблица 4.9 - Смета затрат на НИР
|
Статьи затрат
|
Сумма, руб
|
|
Основные материалы
|
-
|
|
Электроэнергия
|
140
|
|
Вода
|
208
|
|
Расходы на оплату труда
исполнителей
|
1961
|
|
Отчисления на социальные
нужды
|
1 314
|
|
Амортизационные отчисления
|
160
|
|
Содержание и ремонт
оборудования
|
4500
|
|
Эксплуатация ЭВМ
|
2 500
|
|
Накладные расходы
|
11218
|
|
Капитальные затраты
|
30000
|
|
Итого:
|
52000
|
9.4 Расчет себестоимости и цены спроектированного изделия
Полная себестоимость изделия включает все затраты, связанные с его
производством и реализацией. Она рассчитывается как сумма прямых и косвенных
затрат.
К прямым относятся затраты на основные материалы, полуфабрикаты и
комплектующие изделия (Зом), вспомогательные материалы (Звм), топливо и энергия
(Зэ), на технологические цели, заработная плата производственных рабочих с отчислениями
на социальные нужды (Ззп).
Затраты для производства одного трактора:
. Основные материалы - 100000 рублей
. Вспомогательные материалы - 20000 рублей
. Топливо и энергия - 30000 рублей
К косвенным расходам относятся общепроизводственные (ОПР), общехозяйственные
(ОХР) и коммерческие (КР) расходы:
SП =
Зом + Звм + Зэ + Ззп + ОПР + ОХР + КР , (4.15)
Расчет затрат на основные, вспомогательные материалы и энергию для
технологических целей приведен выше. Затраты на оплату труда с отчислениями на
социальные нужды определяется следующим образом.
Структура предприятия, производящего данную продукцию:
1. Руководящий состав - 10 человек. Часовая тарифная ставка - 150
рублей.
2. Экономический отдел - 100 человек. Часовая тарифная ставка - 80
рублей.
. Отдел маркетинга и внешнеэкономических связей - 50 человек
Часовая тарифная ставка - 100 рублей.
. Отдел поставок производственных материалов - 100 чел. Часовая
тарифная ставка - 50 рублей.
. Отдел продаж - 50 чел. Часовая тарифная ставка - 100 рублей.
. Инженеры и конструкторы - 200 человек. Часовая тарифная ставка -
50 рублей.
. Руководители среднего звена -200 человек. Часовая тарифная
ставка - 60 рублей.
. Основные рабочие - 2500 человек. Часовая тарифная ставка - 50
рублей.
. Прочие - 290 человек. Часовая тарифная ставка - 40 рублей.
(4.16)
где Cri - часовая тарифная ставка рабочего,
выполняющего i операцию.
ti -
трудоемкость i-операции, 1 ч.;
КПР - коэффициент, учитывавший премии, доплаты и надбавки, КПР =1,2- 1,5;
КДОП - коэффициент, учитывающий дополнительную заработную плату, КДОП =
1,12;
КОТЧ - коэффициент, учитывающий отчисления на социальные нужды (26,2 %).
Общепроизводственные и общехозяйственные расходы можно принять к
укрупнению: ОПР - 250-350%, ОХР - 60-80% от общего годового фонда оплаты труда,
коммерческие расходы - 2-3% от себестоимости.
ОПР = 310561*2,5 = 776402 рублей
ОХР = 310561*0.6 = 186336 рублей
КР = 28465
Тогда:
Sn =
100000 + 20000 + 30000 + 310561 + 776402 +
+ 186336 + 28465 = 1451764 рублей, (4.17)
Цена изделия определяется как:
Ц = SП + ПН = 1451764+ 217764= 1669528
рублей, (4.18)
где SП - полная себестоимость изделия,
руб.;
ПН - нормативная прибыль изделия, тыс.руб.
рублей.,
(4.19)
где RН - нормативный уровень
рентабельности, RН = 15-20%.
9.5 Оценка экономической эффективности проекта
Экономическому обоснованию проекта должен предшествовать анализ
технической целесообразности принимаемых решений. Такой анализ предусматривает
выявление их преимуществ и недостатков.
Следует помнить, что технические характеристики сами по себе не
определяют эффективности варианта. Отдельные технические преимущества порой
носят частный характер, а прогрессивные, по тем или иным техническим
характеристикам, варианты не всегда являются наиболее рациональными и
экономичными.
При анализе необходимо учитывать также социальную значимость новых
решений, которая может выражаться в облегчении труда, обеспечении его
безопасности и т.д. Разработка и сопоставление вариантов должны производиться
применительно к заданной программе выпуска продукции, одинаковой для всех
вариантов.
При оценке эффективности определяются частные и общие показатели.
К частным показателям относятся:
снижение трудоемкости продукции;
рост производительности труда;
уменьшение потребности в рабочей силе;
снижение материальных затрат;
экономия энергетических ресурсов;
повышение уровня механизации и автоматизации производства;
Чаще всего сопоставляемые варианты имеют преимущества по одним частным
показателям и недостатки по другим. Поэтому рассчитываются также общие
показатели, такие как технологическая себестоимость, экономический эффект, срок
окупаемости затрат на НИР.
В результате разработки может произойти снижение себестоимости
изготовления изделий с помощью нового средства труда; увеличение продажной цены
при изготовлении изделий с улучшенными потребительскими свойствами; увеличение
объема производства и продаж при расширении рынка сбыта изделий повышенного
качества.
Экономический эффект за счет снижения себестоимости (ЭS) равен:
ЭS = (SБ - SН)N = (1451764 - 1350000)*2000 = 203 528
000 (4.20)
где SБ, SН - базовая и новая себестоимость изделия;- годовой выпуск
изделий, 2000 штук.
Экономический эффект за счет изменения цены (ЭЦ) равен:
ЭЦ = (ЦН - ЦБ) N
=(1669528 - 1550000)*2000 = 239 056 000 (4.21)
где ЦБ, Цн - базовая и новая цена изделия, руб.
Экономический эффект за счет изменения объема производства и продаж (ЭN) равен:
ЭN = ПН (NН - NБ)=200000(2050-2000) = 10 000 000 рублей, (4.22)
где Пн - прибыль, полученная при реализации единицы изделия, равная
ПН = ЦН - SH =
1550000-1350000= 200000 рублей (4.23)
Общая величина экономического эффекта от внедрения разработки равна:
(4.24)
С учетом затрат на проведение исследования экономический эффект равен:
рублей (4.25)
Результаты разработки могут быть представлены как инновация, т.е. как
рыночный товар, приобретаемый потребителем для внедрения в производство. В этом
случае необходимо определить цену НИР:
рублей
(4.26)
где RНИР - рентабельность НИР, которую
можно принять 30-50%.
9.6 Оценка доходности проекта
Оценка доходности проекта включает определение следующих показателей:
1. чистый дисконтированный доход проекта (ЧДД);
2. чистая текущая стоимость по годам реализации проекта (ЧТС);
. индекс доходности (ИД);
. среднегодовая рентабельность проекта (Rср);
. внутренняя норма доходности (ВНД);
. срок окупаемости проекта (Ток).
Единовременные затраты по годам с учетом дисконтирования определяются:
(4.27)
где
Кt - единовременные затраты по проекту в году t;
d - ставка
дисконта проекта;
t - текущий год.
t = 1,2,…,T,
где Т - число лет разработки и использование проекта.
3 885
500 рублей
6 953
478 рублей
10 887
617 рублей
15 744
417 рублей
20 916
328 рублей
28 530
889 рублей
27 846
133 рубля
27 150
606 рублей
25 950
644 рубля
26 511
900 рублей
Ежегодные
ожидаемые доходы от проекта с учетом дисконтирования определяются:
;
, (4.28)
где
Дt - доходы по проекту в году t.
58 495
689 рублей
70 472
551 рубль
82 169
853 рубля
92 748
769 рублей
98 432
615 рублей
108 568
000 рублей
83 371
331 рубль
61 148
401 рубль
40 250
124 рубля
25 627
151 рубль
Ставка
дисконта равна:
(4.29)
где
К - процентная ставка,
i - инфляция на
рынке,
r - уровень
риска проекта.
К,
i, r - принимаются в долях единицы.
d1=0,16
d2=0,161
d3=0,162
d4=0,163
d5=0,164
d6=0,165
d7=0,166
d8=0,167
d9=0,168
d10=0,169
Чистый
дисконтированный доход проекта рассчитывается по формуле:
- 25 000
000 рублей (4.30)
Чистая
текущая стоимость по годам реализации проекта определяется:
(4.31)
25 000
000 рублей
43 888
889 рублей
56 666
667 рублей
63 333
333 рубля
63 888
889 рублей
58 333
334 рубля
46 666
667 рублей
28 888
889 рублей
5 000
000 рублей
- 25 000
000 рублей
Проект
является эффективным (при данной ставке дисконта), если чистый дисконтированный
доход проекта положителен.
Индекс
доходности проекта определяется:
= 3,71
(4.32)
Среднегодовая
рентабельность проекта равна:
= 0,37
(4.33)
где
n - срок использования результатов проекта.
Внутренняя
норма доходности представляет собой ставку дисконта, при которой величина
приведенных доходов равна величине приведенных затрат. Ее можно определить
графически, зная ставки дисконта и соответствующие им положительные и
отрицательные значения чистой дисконтированной стоимости.
Рисунок 4.2 - Внутренняя норма доходности
ВНД = 16,55 %
Срок окупаемости проекта - это продолжительности периода с начального
момента до момента окупаемости.
Tок=t-+ЧТС-/(ЧТС+-ЧТС-)=10
где t- - период времени, соответствующий
последнему отрицательному значению чистой текущей стоимости;
ЧТС+ - первое положительное значение ЧТС;
ЧТС- - последнее отрицательное значение ЧТС.
Рисунок 4.3 - Финансовый профиль проекта