Оценивание суммарной погрешности СИ
Министерство
образования и науки Украины
Национально
технический университет Украины
"Киевский
Политехнический Институт"
Кафедра
информационно-измерительной техники
Курсовая
работа
по
курсу "Метрология и измерения"
на
тему: "Оценивание суммарной погрешности СИ"
Киев
2008
Содержание
1. Нахождение и построение спектра
мощности входного сигнала и помехи на
входе средства измерения
1.1 Спектральная плотность мощности
входного сигнала
1.2 Спектр плотности мощности помехи
на входе СИ
2. Выбор параметров фильтра, исходя
из допустимого уровня помехи при заданных
параметрах фильтра
3. Нахождение
спектра мощности входного сигнала и помехи на выходе инерционного блока
3.1 Спектр сигнала на выходе ИП
3.2 Спектр помехи на выходе ИП
4. Оценивание
аддитивной погрешности средства измерения
4.1 Приведенная погрешность из-за
наличия помехи
4.2 Суммарная аддитивная погрешность
5. Оценивание
основной и дополнительной составляющих мультипликативной погрешности средства
измерения
5.1 Оценивание основной погрешности
5.1.1 Суммарная мультипликативная
погрешность
5.1.2 СКО суммарной
мультипликативной погрешности
5.1.3 Границы
доверительного интервала мультипликативной погрешности
.2 Оценивание дополнительной
погрешности
5.2.1 Дополнительная погрешность и
СКО дополнительной погрешности
5.2.2 Доверительный
интервал дополнительной погрешности
5.3 Частотные и временные
характеристики мультипликативной погрешности
5.3.1 Интервал корреляции
5.3.2 Эффективная ширина спектра
6. Оценивание
суммарной мультипликативной погрешности
6.1 Трансформированная
мультипликативная погрешность
6.2 Мультипликативная погрешность
вольтметра
6.3 Суммарная мультипликативная
погрешность
7. Оценивание класса
точности средства измерения
Выводы
Список используемой литературы
сигнал помеха фильтр
погрешность
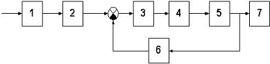
1. Структурная
схема анализируемого СИ:
Блоки 1, 3-6 безынерционные с
коэффициентами преобразования К1 = 1; К3=10; К4 = 50; К5 = 5; К6 = =
0,2. На выходе преобразователя, образуемого блоками 1 - 6, включен вольтметр
действующих значений (блок 7).
2. Модель помехи: стационарный
нормальный белый шум со спектральной плотностью N0;
3. Модель входного сигнала.
последовательность повторяющихся радиоимпульсов длительностью
, периодом
повторения 2 амплитудой U0, несущей частотой
0;
4. Частотная характеристика второго
блока: полосовой фильтр
5. Предельные значения относительных
мультипликативных погрешностей СИ отдельных блоков, %:
d1 = 0 d2 = 0.1 Н; d3 = 0,5 Р; d4 = 1,5 Н; d5 = 1,0 Р; d6 = db = 0,05 Н;
Класс точности вольтметра: 0,5/0,1.
Условные обозначения распределений:
Н - нормальное, Р - равномерное, Тр - треугольное, Т - стандартное
трапецивидное, А - антимодальное. 6. Нормальные условия работы СИ для влияющей
величины: температура
Рабочие
условия применения для влияющей величины: температура нижнее значение -10оС
верхнее значение +40оС 7. Характеристики дополнительной погрешности:
Дополнительная погрешность не превосходит 30% от основной на 100С.
8. Спектральная плотность мощности мультипликативной погрешности.
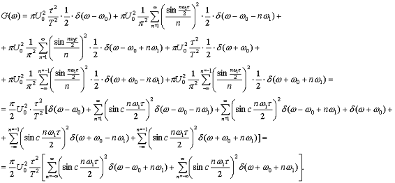
1.
Нахождение и построение спектра мощности входного сигнала и помехи
на
входе средства измерения
Цель: построить спектр мощности входного сигнала
СИ; построить спектр мощности помехи на входе СИ.
1.1
Спектральная плотность мощности входного сигнала
Аналитическое выражение для модулирующего
сигнала в виде последовательности видеоимпульсов с помощью ряда Фурье:
,где
.
Амплитудно-модулированный сигнал в виде
последовательности радиоимпульсов можно представить следующим образом
1.2 Спектр
плотности мощности помехи на входе СИ
На основании аналитического
выражения для U(t) и
выражения для спектральной плотности мощности гармонического сигнала получаем
спектральную плотность мощности последовательности радиоимпульсов :
При τ=0.04 с
Т=2τ=0.08 с
Получим:
(ω)=
Определим G(ω) при
различных значениях n:
При n=0:

При n=2:
При n=3:
При n=4:
При n=-1:
При n=-2:
При n=-3:
При n=-4:
Построим спектр сигнала:
Рисунок 1.1
-
График спектра сигнала
Спектральная плотность мощности помехи (белый
шум):
Рисунок 1.2 - Спектральная
плотность мощности помехи
Выводы: Были найдены спектры мощности входного
сигнала и помехи на входе средства измерения, а также построены их графики.
2.
Выбор параметров фильтра, исходя из допустимого уровня помехи при
заданных
параметрах фильтра
Цель: оценить параметры фильтра или допустимый
уровень помехи, исходя из условия заданного подавления помехи.
Критерием оценивания параметров фильтра или
допустимого уровня помехи является соизмеримость аддитивной погрешности из-за
наличия помехи и аддитивной погрешности вольтметра. Из условия метрологической
совместимости считаем
где Кс/ш - коэффициент
сигнал/шум на выходе инерционного блока (второго блока);
адд -
приведенная аддитивная погрешность седьмого блока (вольтметра действующих
значений).
В теории электрических сигналов и
цепей помехоустойчивость системы определяется отношением сигнал/шум, который
выражается через отношение мощности входного сигнала к мощности помехи на
выходе инерционного блока:
(3.2.1)
где Рс вых - мощность
сигнала на выходе инерционного блока; Рп вых - мощность помехи на
выходе инерционного блока.
Мощность сигнала на выходе
инерционного блока найдем с помощью выражения:
где
- коэффициент преобразования инерционного
блока при
.
С выражения (3.2.1),
определим
:
Решаем данное уравнение:
Отсюда
рад/с
Так как, наш фильтр пропускает
только несущую частоту, которая не несет практически никакой информации, то мы
должны увеличить полосу пропускания фильтра до семи гармоник.
Найдем эффективную полосу
пропускания фильтра, необходимую для того, чтобы обеспечить меньшее искажение
формы полезного сигнала.
Эффективная полоса пропускания
полосового фильтра
Решим уравнение
Рис. 2.1 - Форма полосового фильтра
=0,84 рад/с
Тогда эффективная полоса пропускания
полосового фильтра:
рад/с.
Новое
значение
N0 было найдено
с целью расширения полосы пропускания фильтра.
В случае идеального полосового фильтра
уменьшение полосы пропускания фильтра ведет к уменьшению мощности шума на выход
преобразователя, то есть к увеличению отношения сигнал/шум. Таким образом,
уменьшается аддитивная погрешность, обусловленная влиянием шума на последующие
преобразователи измерительного канала. Однако, уменьшение полосы пропускания
фильтра ведет к увеличению погрешности, обусловленной ограничением полезного
сигнала по частоте. Конечная полоса пропускания фильтра приводит к тому, что
наряду с уменьшением прохождения шума, часть спектральных составляющих сигнала
не попадает на выход фильтра.
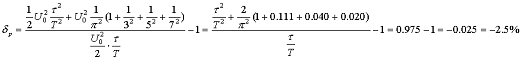
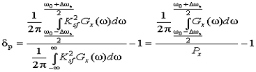
Выражение для относительной
погрешности
в этом
случае принимает вид:
Выражение для погрешности
в случае
сигнала в виде последовательности радиоимпульсов принимает вид
,
где РХ - мощность сигнала
на входе инерционного блока В нашем случае в полосу пропускания фильтра
попадают
семь гармонических составляющих спектра последовательности радиоимпульсов. Тогда
погрешность
с учетом
фильтрующего действия
-функции
принимает вид (с учетом, что
):
Погрешность составляет
-2.5%.
Таким образом формула полосового
фильтра имеет вид:
.
Выводы: Учитывая заданные параметры
фильтра, а также допустимый уровень помехи при них, были выбраны параметры
фильтра.
=0,84 рад/с
3. Нахождение
спектра мощности входного сигнала и помехи на выходе инерционного блока
Цель: построить спектр мощности
входного сигнала на выходе ИП; построить спектр мощности помехи на выходе ИП;
для полигармонического сигнала рассчитать погрешность из-за ограничения спектра
сигнала при прохождении через фильтр.
3.1 Спектр сигнала на выходе ИП
Спектральную плотность мощности на
выходе инерционного блока находят по формуле
где K22(
) - квадрат
амплитудно-частотной характеристики инерционного блока ; Gвх(
) -
спектральная плотность мощности сигнала на входе инерционного блока.
Тогда:
3.2 Спектр помехи на выходе ИП
Спектральную плотность помехи на
выходе инерционного блока находим по формуле:
В соответствии с представленным выше
выражением строим график спектра мощности сигнала на выходе инерционного блока:
Рис. 3.1 - Спектр плотности мощности
сигнала на выходе ИП
Рис. 3.2 - Спектральная плотность
мощности на выходе ИП
Вывод: в этом разделе был рассчитан
параметр фильтра
, который
непосредственно влияет на полосу пропускания фильтра. Поскольку белый шум имеет
спектр распределенный на всем диапазоне частот, то полоса пропускания есть
определяющая величина коэффициента сигнал/шум. При
на выходе
ИП
=0,84 с-1
4. Оценивание
аддитивной погрешности средства измерения
Цель: рассчитать аддитивную погрешность,
возникающую вследствие помехи; вычислить суммарную
аддитивную погрешность; оценить нижнюю и
верхнюю границы суммарной аддитивной погрешности; определить действующее
значение измеренного вольтметром напряжения без учета и с учетом помехи.
4.1 Приведенная погрешность из-за наличия помехи
Общий коэффициент преобразования безынерционных
блоков К6 не зависит от частоты и одинаков для сигнала и помехи.
Поэтому спектр сигнала и помехи на входе седьмого блока по форме повторяет
спектр на выходе второго блока.
Определим коэффициент передачи от третьего шестому
блоку:
(4.1)
Действующее значение сигнала, полученное в
седьмом блоке, определяется выражением:
(4.2)
где
- время измерения;
- сигнал на выходе фильтра.
Время
выбирается из условия получения
действующего значения сигнала. Если это условие не выполняется, то рассчитывают
мультипликативную погрешность измерения действующего значения сигнала. Для
определения времени измерения найдем эффективную полосу пропускания фильтра:
рад/с. Скорректируем
время измерения
для
минимизации погрешности из-за действия помехи. При выборе
учитываем,
что хорошее усреднение помехи в виде белого шума получаем, если
.
Определим оптимальное время
измерения для сигнала с белым шумом:
Берем
100 с поскольку оно кратно периоду
полезного сигнала.
Действующее значение сигнала с учетом помехи
определяется по формуле:
В.(4.3)
Приведенная погрешность из-за
наличия помехи определяется выражением:
%. (4.4)
4.2 Суммарная аддитивная погрешность
Суммарную аддитивную погрешность
получаем объединением аддитивной погрешности из-за наличия помехи
и
аддитивной погрешности вольтметра
:
(4.5)
Верхнее значение суммарной
аддитивной погрешности:
%, (4.6)
нижнее значение суммарной аддитивной
погрешности:
%. (4.7)
Выводы: в качестве окончательного
значения суммарной аддитивной погрешности принимают ее верхнюю границу:
%.
5. Оценивание
основной и дополнительной составляющих мультипликативной погрешности средства
измерения
Цель:
· оценить характеристики основной
погрешности и представить их в виде максимального значения погрешности, СКО
погрешности и доверительного интервала погрешности с вероятностью Р = 0,95;
Структурная схема на рис. 5.1.
· оценить характеристик и
дополнительной погрешности и представить их в виде максимального значения
погрешности, СКО погрешности и доверительного интервала погрешности с
вероятностью Р = 0,95;
· рассмотреть частотные и временные
характеристики мультипликативной погрешности, исходя из заданной спектральной
плотности мощности.
.1 Оценивание основной погрешности
Оценивание характеристик основной составляющей
мультипликативной погрешности. Для оценивания характеристик мультипликативной
погрешности необходимо найти выражение для коэффициента преобразования КП.
Структурная
схема на рис. 5.1.
где К1, К2, К3,
К4, К5 - коэффициенты преобразования 1 - 7 блоков,
соответственно; β-
коэффициент преобразования звена обратной связи.
5.1.1 Суммарная мультипликативная
погрешность
Мультипликативная погрешность - это
погрешность коэффициента преобразования КП, которая в свою очередь определяется
погрешностями отдельных блоков. Мультипликативные погрешности отдельных блоков
приведены в задании на курсовую работу. Уравнение суммарной мультипликативной
погрешности имеет вид
,
где δi -
мультипликативная погрешность i-го блока; ψi -
коэффициент влияния i-го блока, равный:
где Кi - коэффициент
передачи i-го блока.
Возьмем частные производные:
Вычисленные значения ψi :
;
Найдем суммарную мультипликативную
погрешность:
Максимальное значение погрешности
равно:
%.
.1.2 СКО суммарной мультипликативной
погрешности
, (5.4)
где
- СКО погрешности i-го блока,
,(5.5)
- коэффициент, который зависит от
распределения мультипликативной погрешности i-го блока;
Рассчитаем СКО погрешности каждого из
блоков по формуле (5.5) :
Теперь найдём СКО суммарной
мультипликативной погрешности по формуле (5.4):
5.1.3 Границы доверительного
интервала мультипликативной погрешности
Границы доверительного интервала
мультипликативной погрешности можно представить в виде:
где К- коэффициент, зависящий от распределения
суммарной мультипликативной погрешности.
Для определения составляющих суммарной
мультипликативной погрешности используем критерий 30% погрешности:
.(5.6)
Если значение і-ой
погрешности меньше 30% от максимальной составляющей погрешности, то ее можно не
учитывать при расчете доверительного интервала погрешности.
Рассчитаем значения составляющих
мультипликативной погрешности:
Как видим максимальная погрешность соответствует
2-му блоку, а 30% от этой погрешности равны:
Значения 3-ей, 4-ой, 5-ой и 6-ой
погрешностей удовлетворяют неравенство (5.6). Но в сумме они могут составлять
существенную погрешность. Поэтому применяем к ним этот критерий еще раз:
Суммарная погрешность этих
составляющих погрешности больше 30% максимальной погрешности. При расчете
доверительного интервала погрешности должны учитывать одну из них, например
6-ую. Тогда для оставшихся трех погрешностей снова проверяем критерий:
.
Последнее неравенство доводит, что
погрешности 3-го, 4-го и 5-го блоков можем не учитывать при расчете
доверительного интервала.
Далее необходимо определить
распределение суммарной мультипликативной погрешности.
Квантильный коэффициент или
относительный квантиль в таком случае находим из выражения:
. (5.7)
Найдем эксцесс суммарной
погрешности. Для этого вначале находим эксцесс первой и третьей погрешности:
,(5.8)
где
- вес дисперсии 1-ой и 2-ой
составляющих погрешности;
Э1=1,7 - значение
эксцесса при равномерном распределении погрешности;
Э2=Э6=3 -
значение эксцесса при треугольном распределении погрешности.
Эксцесс суммарной погрешности будет
равен:
,(5.9)
здесь вес дисперсии суммарной
погрешности
.
Подставив значение эксцесса
в (5.7)
получим:
.
Найдем СКО суммарной погрешности:
%.(5.10)
Границы доверительного интервала
мультипликативной погрешности равны:
%.(5.11)
.2 Оценивание дополнительной погрешности
.2.1 Дополнительная погрешность и СКО
дополнительной погрешности
Дополнительная погрешность.
Характеристики дополнительной погрешности
находят по функциям влияния (зависимости дополнительной погрешности от влияющей
величины температуры) и выражают сначала в долях основной погрешности, а затем,
с учетом максимального значения, СКО и доверительного интервала основной
погрешности, представляют в относительных единицах или в процентах.
При линейной функции влияния (рис. 5.1)
дополнительная погрешность от влияния температуры:
, (5.12)
где
- основная погрешность, равная
%.
Для верхних и нижних границ
температур выражение (5.12) примет вид:
, (5.13)
где
и
- соответственно верхняя и нижняя
границы дополнительной погрешности;
и
- верхняя и нижняя границы области
значений рабочих температур;
и
- верхняя и нижняя границы области
значений нормальных температур.
По условию :
.
Подставляя в (5.13) исходные данные
получаем :
Выберем максимальное по модулю
значение из верхней и нижней границ дополнительной погрешности и рассчитаем
характеристики дополнительной мультипликативной погрешности по характеристикам
основной погрешности :
%
рис. 5.1 - Функция влияния температуры на
дополнительную погрешность.
Рассчитаем СКО дополнительной погрешности :
. (5.14)
Подставляя значения в (5.14)
получим:
%
5.2.2 Доверительный интервал дополнительной
погрешности
Доверительный интервал дополнительной
погрешности:
,(5.15)
где
- граница доверительного интервала,
равная
%.
Подставляя значения в (5.15) получим
:
%.
5.3 Частотные и временные
характеристики мультипликативной погрешности
5.3.1 Интервал корреляции
Мультипликативная погрешность
представляет собой стационарный случайный процесс и по заданию имеет спектр
плотности мощности вида :
Рис. 5.2 Спектр мощности мультипликативной
погрешности.
, где
Гц (5.16)
Выведем выражение для корреляционной
функции:
. (5.17)
Введя замену
в (5.17)
получим окончательное выражение:
. (5.18)
Значение параметра А найдем исходя
из того, что:
.
Тогда
. (5.19)
Подставив (5.19) в (5.18) получим:
. (5.20)
Рассчитаем интервал корреляции
:
. (5.21)
Подставляя в (5.21) выражение для
корреляционной функции (5.20) и учитывая что
, получим:
.
Заменяя
в
соответствии с (5.17) имеем:
(5.22)
Можно показать что
. Полагая,
что k=1,
перепишем выражение для интервала корреляции:
Подставляя значения получим:
5.3.2 Эффективная
ширина спектра
Рассчитаем эффективную ширину
спектра
:
, (5.23)
где
- максимальное значение спектра
плотности мощности. В нашем случае
.
Подставляя в (5.23) выражение для
спектра (5.16) получим:
(5.24)
Подставляя значения имеем:
Гц.
Полученные значения соответствуют
действительности поскольку делают верным равенство:
Вывод: Были оценены характеристики
основной и дополнительной погрешности, а также были представлены в виде
максимального значения погрешности, среднее квадратическое отклонение погрешности
и доверительный интервал погрешности с вероятностью Р=0,95. Были рассмотрены
частотные и временные характеристики мультипликативной погрешности, исходя из
заданной спектральной плотности мощности.
6. Оценивание
суммарной мультипликативной погрешности
Цель: оценить трансформированную
мультипликативную погрешность; оценить
суммарную мультипликативную погрешность СИ.
Суммарная мультипликативная
погрешность складывается из трансформированной седьмым блоком погрешности
преобразователя, который состоит из блоков 1...6, и мультипликативной
погрешности вольтметра.
Время
измерения составляет
100 с, а
ширина корреляционной функции мультипликативной погрешности
250 с.
Выполняется условие
, это
означает, что мультипликативную погрешность за время измерения можно считать
постоянной.
6.1 Трансформированная мультипликативная
погрешность
Трансформированная мультипликативная погрешность
оценивается из соотношения:
, (6.1)
где
- действующее значение напряжения,
измеренного вольтметром (блок №7), без учёта мультипликативной погрешности
(6.2)
- действующее значение напряжения,
измеренного вольтметром с учётом мультипликативной погрешности
; (6.3)
Учитывая, что за время измерения
мультипликативная
погрешность практически остаётся постоянной, можно переписать выражение (6.3) в
виде:
(6.4)
Подставляя формулы (6.4) и (6.2) в
(6.1) получим:
.\ (6.5)
Подставляя значение, полученное выше
для основной мультипликативной погрешности, имеем:
.2 Мультипликативная погрешность
вольтметра
Мультипликативную погрешность
вольтметра находят из класса точности. Задан класс
точности вольтметра 0,5/0,1.
Общий вид класса точности - с/d, где
,
. Отсюда
выражаем мультипликативную погрешность вольтметра :
%
6.3 Суммарная мультипликативная
погрешность
Суммарная мультипликативная
погрешность СИ равна:
. (6.6)
Подставляя численные значения
получим :
%.(6.7)
Вывод: Были оценены суммарная и
трансформированная погрешности. В предыдущих шести пунктах мы получили всю
необходимую информацию и теперь приступаем к оцениванию класса точности СИ.
7.
Оценивание класса точности средства измерения
Цель: оценить класс точности средства измерения,
используя значения погрешности,
рассчитанные в предыдущих разделах.
Для оценивания класса точности используется
значение суммарной аддитивной погрешности (4.7) и суммарной мультипликативной
погрешности (6.7).
Нормирование производится в виде
либо
%, где
;
. При этом
полученное в результате вычислений значение округляем до ближайшего верхнего
значения из ряда классов точности.
Таким образом получаем:
, (7.1)
.(7.2)
Вывод: нормируемый класс точности
равен -
или
%.
Выводы
·
найден
спектр сигнала и помехи на входе СИ и на выходе измерительного преобразователя;
·
рассчитан
низкочастотный фильтр при заданном уровне помехи;
рассчитана суммарная аддитивная погрешность
по погрешности из-за влияния помехи и аддитивной погрешности вольтметра
действующих значений
;
рассчитаны максимальное значение
мультипликативной погрешности
, СКО
, погрешность при вероятности 0.95
%.,
дополнительная погрешность из-за влияния температуры
;
рассчитана суммарная мультипликативная
погрешность по мультипликативным погрешностям измерительного преобразователя и
вольтметра действующих значений
;
пронормирован класс точности СИ в виде: 1,0/0,2
и формула основной погрешности измерения:
,%.
Список используемой литературы
1.
Справочные
данные и консультации по выполнению курсовой работы.
2.
Конспект
лекций по ОМИТ. Яремчук Н.А., Затока С.А.
3.
Теоретические
основы информационно-измерительной техники. Орнатский П.П.
4.
Теория
вероятности. Вентцель Е.С.