Реализация конфигурации '1С: Предприятие'

  • Вид работы:
    Дипломная (ВКР)
  • Предмет:
    Информационное обеспечение, программирование
  • Язык:
    Русский
    ,
    Формат файла:
    MS Word
    4,60 Mb
  • Опубликовано:
    2011-07-01
Вы можете узнать стоимость помощи в написании студенческой работы.
Помощь в написании работы, которую точно примут!

Реализация конфигурации '1С: Предприятие'

СОДЕРЖАНИЕ

ВВЕДЕНИЕ

. РЕЗУЛЬТАТЫ ПРЕДПРОЕКТНОГО ОБСЛЕДОВАНИЯ ООО «СОФТ ЦЕНР С». ФОРМУЛИРОВКА ЗАДАЧ ПРОЕКТИРОВАНИЯ

.1 Результаты предпроектного обследования ООО «Софт Центр С»

.1.1 Объект и методы проведения предпроектного обследования

.1.2 Программа проведения обследования

.1.3 Результаты предпроектного обследования и их анализ

.1.4 Проблемные ситуации, возникающие при работе системы

.2 Формулировка задач проектирования

.2.1 Общие сведения

.2.2 Назначение, цели создания конфигурации

.2.3 Характеристика объекта автоматизации.

.2.4 Требования к конфигурации

.2.5 Состав и содержание работ по созданию конфигурации

.2.6 Порядок контроля приемки конфигурации

.2.7 Требования к составу и содержанию работ по подготовке объекта автоматизации к вводу подсистемы в действие

.2.8 Требование к документированию

.2.9 Источники разработки

Выводы

. РЕАЛИЗАЦИЯ КОНФИГУРАЦИИ «1С: БУХГАЛТЕРИЯ» ДЛЯ ООО «СОФТ ЦЕНТР С», Г СТАВРОПОЛЬ

.1 Обоснование выбора среды реализации приложения

.2 Создание логической модели базы данных конфигурации

.2.1 Определение сущностей модели базы данных конфигурации

.2.2 Определение атрибутов сущностей базы данных конфигурации

.2.3 Определение связей между сущностями базы данных конфигурации

.3 Создание физической модели базы данных конфигурации

.4 Создание проекта в программе «1С: Предприятие» для реализации конфигурации

.5 Реализация конфигурации

.5.1 Реализация документа «Заявка»

.5.2 Реализация отчета «ЖурналЗаявок»

.5.3 Реализация пользовательского интерфейса «Менеджер»

.5.4 Установка конфигурации

Выводы

. ИНФОРМАЦИОННОЕ И ПРОГРАММНОЕ ОБЕСПЕЧЕНИЕ

.1 Общие сведения о программе

.2 Функциональное назначение программы

.3 Описание логической структуры программы

.4 Требования к техническому обеспечению

.4.1 Общие требования

.4.2 Требования к центральному процессору

.4.3 Требования к оперативному запоминающему устройству

.4.4 Требования к наличию сводного места на жестком диске

.4.5 Требования к монитору

.5 Установка и вызов программы

.6 Входные данные программы

.7 Выходные данные программы

.8 Результаты тестирования программы

.9 Краткая инструкция оператору по работе с программой

Выводы

. ТЕХНИКО-ЭКОНОМИЧЕСКОЕ ОБОСНОВАНИЕ ПРОЕКТА

.1 Краткая характеристика проекта

.2 Трудоемкость выполняемых работ

.3 Расчет себестоимости конфигурации

.4 Оценка экономической эффективности внедрения программного продукта

Выводы

ЗАКЛЮЧЕНИЕ

БИБЛИОГРАФИЧЕСКИЙ СПИСОК

Приложение А

Приложение Б

ВВЕДЕНИЕ

Актуальность темы дипломного проекта обусловлена тем, что существующая конфигурация «1С» не соответствовала организации обновленных бизнес-процессов фирмы ООО «Софт Центр С». По этой причине ежемесячно, при формировании документов «Заявка», «ЗаказПоставщику» и «Договор», а также составлении отчетов о выполненных работах и о наличии товара вынужден затрачивать порядка 165 часов в месяц на ручную выборку данных из базы данных на бумажных носителях и оформление перечисленных документов

Целью дипломного проекта является сокращение временных затрат офис-менеджера на учет и формирование документации и отчетности на основе разработки обновленной конфигурации «Клиенты».

Пояснительной записка дипломного проекта состоит из введения, четырех разделов основной части пояснительной записки, заключения, библиографического списка и трех приложений.

В первом разделе пояснительной записки проводится результаты предпроектного обследования фирмы ООО «Софт Центр С», г. Ставрополь. Выявляются проблемные ситуации, возникающие при работе с клиентами и формулируются задачи проектирования.

Во втором разделе пояснительной записки рассмотрены вопросы реализации конфигурации для ООО «Софт Центр С». При разработке базы данных этой конфигурации использовался встроенный язык «1С»

В третьем разделе пояснительной записки рассматриваются вопросы информационного и программного обеспечения разработки, а также обоснованы требования к техническому обеспечению, гарантирующие нормальную работу разработанной конфигурации. Приводятся результаты тестирования программного продукта.

В четвертом разделе проведено технико-экономическое обоснование проекта. Рассчитаны показатели экономической эффективности его использования в условиях фирмы ООО «Софт Центр С», г. Ставрополь.

В заключении подведены основные итоги дипломного проектирования и намечены перспективные направления дальнейшего развития его темы.

В приложениях к пояснительной записке представлены формы документов используемых при работе офис-менеджера, листинги основных фрагментов программы и копий слайдов презентаций.

1 РЕЗУЛЬТАТЫ ПРЕДПРОЕКТНОГО ОБСЛЕДОВАНИЯ ООО «СОФТ ЦЕНР С». ФОРМУЛИРОВКА ЗАДАЧ ПРОЕКТИРОВАНИЯ

1.1 Результаты предпроектного обследования ООО «Софт Центр С»

.1.1 Объект и методы проведения предпроектного обследования

В рамках темы дипломного проекта объектами обследования являются:

отдел по работе с клиентами фирмы ООО «Софт Центр С»;

документооборот;

проблемные ситуации.

Обследование структуры и функционирования предприятия производилось на основании анализа документов предприятия и опроса сотрудников предприятия ООО «Софт Центр С».

Основными целями выполнения предпроектного обследования фирмы ООО «Софт Центр С» являются:

−  выявление основных параметров предметной области связанных с работой отдела по работе с клиентами;

−       установление условий, в которых будет функционировать проектируемая конфигурация.

1.1.2 Программа проведения обследования

Обследование предприятия производилось по форме, приведённой на таблице 1.1. Таблица содержит перечень вопросов, ответы на которые позволили дать полное представление о деятельности предприятия, и которые будет учтены при создании проекта информационной подсистемы. Также в таблице присутствуют данные об источнике данных, т. е. о должностном лице, которое предоставило данные и о лице, которое эти данные получило и проанализировало.

Таблица 1.1 - Программа обследования фирмы ООО «Софт Центр С»

Наименование вопроса

Источник информации

Получатель Информации

Общие сведения о фирме

Директор

Проектировщик Михайлова Д.В.

Организационная структура фирмы

Директор

Аналогично

Функциональные области деятельности фирмы

Директор

Аналогично

Цели функционирования фирмы

Директор

Аналогично

Документооборот фирмы

Офис-менеджер

Аналогично

Формы документов, используемых в документообороте фирмы

Офис-менеджер

Аналогично

Порядок создания и хранения документов, используемых в документообороте

Офис-менеджер

Аналогично

Штатный состав фирмы

Офис-менеджер

Аналогично

Наличие средств вычислительной техники и программного обеспечения, которые можно использовать для автоматизации документооборота

Офис-менеджер

Аналогично

Характеристики существующей информационной системы

Офис-менеджер

Аналогично

Технологии, методы, технические средства преобразования информации

Программисты

Аналогично

Проблемные ситуации в работе информационной системы

Директор

Аналогично


Для организации труда, до осуществления процесса сбора информации был разработан план-график выполнения работ, вид которого приведен в таблице 1.2.

Данные, содержащиеся в таблице, отражают распланировку действий разработчика на этапе изучения:

) организационной структуры.

) целей функционирования.

) документооборота.

Таблица 1.2 - План-график выполнения работ на стадии сбора материалов обследования фирмы ООО «Софт Центр С»

Наименование  вопроса

Код работы

Исполнитель

Дата начала

Кол-во дней

Дата окончания

Общие сведения о фирме

001

Проектировщик Михайлова Д.В.

10.01.11

11

20.01.11

Организационная структура фирмы

002

Аналогично

21.01.11

6

26.01.11

Функциональные области деятельности фирмы

003

Аналогично

26.01.11

7

01.02.11

Цели функционирования фирмы

004

Аналогично

1.02.11

9

9.02.11

Документооборот фирмы

005

Аналогично

9.02.11

5

13.02.11

Формы документов, используемых в документообороте фирмы

006

Аналогично

13.02.11

5

17.02.11

Порядок создания и хранения документов, используемых в документообороте

007

Аналогично

17.02.11

4

20.02.11

Штатный состав фирмы

008

Аналогично

20.02.11

3

22.02.11

Характеристики существующей информационной системы

009

Аналогично

22.02.11

3

24.02.11

Технологии, методы, технические средства преобразования информации

010

Аналогично

25.02.11

1

25.02.11

Проблемные ситуации в работе информационной системы

011

Аналогично

28.02.11

1

04.03.11

Всего затрачено дней

55



1.1.3 Результаты предпроектного обследования и их анализ

Общие сведения о предприятии. Фирма «Софт Центр С» работает на компьютерном рынке с 1998г. И имеет статус фирмы «1С»: Франчайзи. За это время накоплен значительный опыт комплексного решения задач автоматизации, стоящих перед заказчиком. Тщательно отлаженная технология работы, квалифицированный персонал позволяют фирме осуществлять множество проектов.

Сегодня «Софт Центр С» имеет статус «1С»:Франчайзи и является одной из лидирующих фирм, специализирующихся на поставке программного обеспечения фирмы «1С» в городе Ставрополе и Ставропольском крае».

Полное фирменное наименование фирмы на русском языке: общество с ограниченной ответственностью «Софт Центр С». Сокращенное наименование: ООО «Софт Центр С» (далее по тексту Общество).

Реквизиты Общества:

ИНН: 263506358368;

адрес: г. Ставрополь, ул. Дзержинского 158;

тел.: 951-357, 951-358, 951-359, факс 951-360;

р/сч: 4080281070022ООО0131 в банке: Ставропольский филиал ОАО «Русь-Банк», г. Ставрополь;

кор/сч 301018109ОООООО00739;

БИК 040702739.

В соответствии с уставом предметом деятельности «Общества» являются:

- продажа, установка, обучение, внедрение и сопровождение программных продуктов фирмы «1С»;

продажа компьютеров, комплектующих, оргтехники и их техническое обслуживание;

продажа, установка, обучение, сопровождение лицензионного программного обеспечения ведущих отечественных и зарубежных фирм-разработчиков;

проектирование и монтаж локально-вычислительных сетей;

сервисное обслуживание компьютерной техники и оргтехники;

продажа и техническое обслуживание оборудования для акцизных складов.

«Общество» является партнером фирмы «1С», имеет права на продажу и внедрение программного продукта, а также осуществляет разработку собственных решений на основе комплекса программ «1С».

«Общество» взаимодействует с рядом организаций, являющихся клиентами фирмы, покупателями программных продуктов, получаемых от специализированных поставщиков программного обеспечения.

Такое взаимодействие представлено на микроуровне структуры «Общества» (рисунок 1.1):

Рисунок 1.1 - Структура ООО «Софт Центр С» на микроуровне

На макроуровне производится описание взаимодействия «Общества» с государственными и негосударственными органами, влияющими на работу фирмы в соответствии с нормативно-правовыми и законодательными актами РФ (рисунок 1.2):

Рисунок 1.2 - Структура «Общества» на макроуровне

Организационная структура «Общества». Под организационной структурой управления понимается состав, взаимосвязь и соподчиненность совокупности организационных единиц, выполняющих различные функции по управлению организацией.

Имеется три уровня управления: верхний, средний и низший. Верхнему уровню управления соответствует организационно управленческая подсистема. Средний уровень управленческой структуры обеспечивает функции входящие в обеспечивающую подсистему, и обеспечивают функцию производственной подсистемы. Организационно-управленческая структура «Общества» изображена на рисунке 1.3.

К верхнему уровню управления организацией относятся: директор фирмы, главный бухгалтер, руководитель отдела сопровождения и руководитель отдела по работе с клиентами.

К среднему уровню относятся все подразделения, обеспечивающие рабочую деятельность фирмы и выполнение стратегических задач, поставленных на высшем уровне. К ним относятся: отдел сопровождения, внедрений и тестирования, бухгалтерия, отдел по работе с клиентами.

Низший уровень включает: специалисты предметной области, программисты, сервис-инженеры, бухгалтер, офис-менеджер, курьер.

Рисунок 1.3 − Организационно-управленческая структура «Общества»

В организационно-управленческой структуре предприятия (рисунок 1.3) присутствует жесткая иерархия подчинения.

За отделами закреплены организационные функции управления. Исходя из этого, следует, что организационно-управленческая структура «Общества» является линейно-функциональной.

Как видно из рисунка 1.3, руководителем фирмы «Общества» является директор.

Бухгалтерия собирает и регистрирует информацию обо всех хозяйственных операциях.

Отдел по работе с клиентами осуществляет прием заявок от клиентов по телефону, электронной почте, а так же составляет расписание всего персонала.

Работа отдела сопровождения, внедрений и тестирования заключается в отслеживании изменений законодательства, а так же консультирование по телефону и выезде к клиенту.

Часть системы, выделенная по признаку общности функций управления, есть функциональная подсистема. В таблице 1.3 представлены функциональные области деятельности фирмы и процессы в них протекающие.

Таблица 1.3 - Функциональные области деятельности процессы в них протекающие

Функциональные области управления

Процессы, протекающие в функциональных областях

1. Производственная (Оказание информационных услуг)

1.1 Проектная разработка информационных систем и дополнительных отчетов, обработок


1.2 Сопровождение типовых конфигураций


1.3 Консультационные услуги


1.4.Аудит ведения информационных баз


1.5 Работа с клиентами


1.6 Продажа программного обеспечения

2. Управленческая

2.1 Выработка стратегии развития


2.2 Организация работы отделов и сотрудников


2.3 Проведение встреч с аудиторами, семинаров


2.4 Ведение бухгалтерии предприятия


2.5 Формирование бухгалтерской отчетности

3. Обеспечивающая

3.1 Ремонт и техническое обслуживание оборудования


3.2 Перевозка персонала и оборудования


На основании таблицы функциональных областей управления (таблица 1.3), строится организационно-функциональная модель. Организационная модель фирмы представляется в виде матрицы (таблица 1.4), в которой строки - это отделы, а столбцы - номера процессов.

Сущность состоит в том, чтобы определить исполнителей и ответственных в процессах, происходящих в функциональных областях управления.

Таблица 1.4 - Организационно-управленческая модель

Подразделения и ответственные лица

Функциональные области


1.Производственная

2. Управленческая

3. Обеспечивающая


1.1

1.2

1.3

1.4

1.5

1.6

2.1

2.2

2.3

2.4

2.5

3.1

3.2

Директор

*

*

*

*

*

*

+

+

+

*




Бухгалтер







/



+




Бухгалтерия










/

+



Отдел сопровождения, внедрения и тестирования

+

+

+

+

+

+






+


Отдел по работе с клиентами

/

/

/

/

/

/

/

/

/




+


В этой таблице отделы, которые принимают частичное участие в процессе - знаком "/", отделы, являющиеся основными исполнителями процесса - "+", "*" - ответственность за выполнение процесса, пустая ячейка - безучастие в процессе.

Цели функционирования. Под целью понимается информационный образ желаемого состояния или результата деятельности.

Определение целей системы является важным этапом в процессе формирования и принятия решений.

Чем точнее сформулированы и определены цели системы, тем легче выбрать средства их достижения.

Методологической основой выявления целей является системный анализ. Как правило, цели задаются в виде общих целевых установок для системы в целом и поэтому нуждаются в детализации и конкретизации по мере продвижения вниз по уровням системы организационного управления. Следовательно, возникает необходимость в декомпозиции сложных целей. Такую возможность создают методики построения дерева целей, развиваемые на основе системного подхода.

Разделение целей по понижающимся уровням называется деревом целей.

Дерево строится поэтапно, сверху вниз, уровень за уровнем таким образом, чтобы мероприятия, проводимые для решения задач нижеследующего уровня, обеспечивали достижение целей вышестоящего.

Основной целью деятельности Фирмы (Ц) является извлечение коммерческой прибыли из своей деятельности.

Таблица 1.5 - Основные цели функционирование фирмы

Подцель

Формулировка подцели

Средства достижения

Критерий  достижения

Ц1

Сокращение издержек производства

Ц1.1-Введение обязательного составления проектных документов и документирование заявок клиентов

Сокращение количества невыполненных и неоплаченных заказов на 50 %



Ц1.2-Введение внутренних стандартов и правил на разработку программного обеспечения


Ц2

Повышение эффективности производства

Ц2.1 - Проведение внутренних занятий, семинаров, утверждение планов индивидуальной подготовки

Увеличение прибыли на 15%



Ц2.2 - Покупка новой техники




Ц2.3 - Тщательный отбор кандидатов на существующие вакансии




Ц2.4- Проведение поиска новых кадров среди студентов и выпускников ВУЗов


Ц3

Увеличение объема продаж

Ц3.1 - Создание отдела по маркетингу

Рост числа новых клиентов. Увеличение продаж на 7%



 Ц3.2 - Выработка новой стратегии продаж


Ц4

Совершенствование системы управления

Увеличение производительности труда на 15 %.



Ц2.2 - Разграничение обязанностей между специалистами разных отделов



Ввиду сложности целей, стоящих перед фирмой, возникает необходимость в их декомпозиции. Такую возможность создают методики построения дерева целей. Сущность метода дерева целей наиболее ярко проявляется посредством одного из этапов его применения - логического разделения совокупности целей. По существу это означает расчленение целей системы более высокого порядка на цели системы более низкого порядка, причем в результате такого расчленения получают дерево целей, которое показывает связь между целями разных порядков.

Необходимо отметить несколько основных правил, которые могут быть использованы при построении дерева целей:

- общая цель, находящаяся в вершине графа, должна содержать описание конечного результата;

при развертывании общей цели в иерархическую структуру целей исходят из того, что реализация подцелей каждого последующего уровня является необходимым и достаточным условием достижения цели предыдущего уровня;

подцели каждого уровня должны быть независимы друг от друга и не выводимыми друг из друга;

количество уровней декомпозиции зависит от масштабов и сложности поставленных целей;

ни одна цель уровней иерархии, кроме последней, не достигается непосредственно, а лишь при достижении подцелей, на которые она разлагается;

средства достижения целей или критерии эффективности системы могут быть целями ее подсистем;

для каждой системы цели могут быть внешними и внутренними;

цели нижних уровней дерева целей являются средствами достижения целей высших уровней.

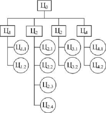
На основании данных таблицы 1.5 можно представить структуру целей в виде дерева (рисунок 1.4):

Рисунок 1.4 - Дерево целей «Общества»

Документооборот. Система документооборота - такая же часть структуры фирмы, абсолютно равноправная и необходимая, как и оборудование, ресурсы и персонал. Все документы, которые обращаются в системе документооборота, в «Обществе» на рисунке 1.5, и расшифровка их в таблице 1.6.

Сначала заказчик формирует заявку на оказание услуг, которая регистрируется в отделе по работе с клиентами. Данная заявка после регистрации поступает в отдел типовых решений в виде плана-отчета внедренца. Этот документ рассматривается и в зависимости от вида задачи, передается непосредственно исполнителю.

После выполнения технического задания исполнитель выписывает счет на оплату и отсылает его заказчику.

Заказчик на основании счета на оплату формирует платежное поручение, которое вместе с одним экземпляром счета на оплату отдается в бухгалтерию.

В конце недели вся информация о проделанных работах в виде сводок и отчетов поступает директору, который на их основе может формировать в отделы различные приказы и распоряжения [1].

Таблица 1.6 - Виды документов, функционирующих на фирме

Код документа

Название

Кем готовится

Кто использует

Кол-во экз.

Примечание

А1.5

План-отчет внедренца

Офис-менеджер

Программист

1

Документ, содержащий задание программисту на день

форма № А-2.28

Заявка клиента

Клиент

Офис-менеджер

1


Форма БФ.164.01

Счет на оплату

Программист

Офис-менеджер, Клиент

2

Счет на оплату работ выполненных программистом

А- 12

Форма «Торг12»

Офис-менеджер

Клиент

1

Товарная накладная

форма №КО-2

Товарный чек

Офис-менеджер

Клиент

2


БСЧ-1А

Счет-фактура

Офис-менеджер

Клиент

1



Рисунок 1.5 - Документооборот фирмы «Софт Центр С»

Наличие средств вычислительной техники и программного обеспечения. На предприятии используется следующее компьютерное оборудование:

Системный блок в комплектации:

1.      Intel Celeron D 2.66ГГц /512Мбайт /80Гбайт /FDD /CDRW /Video /Sound /Lan /ATX 250 Вт;

.        Intel Pentium 4 2.4 ГГц /512 Мбайт /320 Гбайт /DVD+CDRW /Video /Sound /Lan /ATX 400 Вт ;

.        Intel Core2Duo E6750 /2048 Мбайт /1 Тбайт +320 Гбайт /DVD+CDRW /Video GF8800GT /Sound /Lan /ATX 580 Вт ;

.        AMD Athlon 64 3ООО+ /512 Мбайт /160 Гбайт /DVD+CDRW /Video /Sound /Lan /ATX 400 Вт;

Принтер:

1.      Epson AcuLaser c1100;

.        Samsung ML 1615;

Сканер Canon LIDE 60.

В качестве программного обеспечения, обеспечивающего предпринимательскую деятельность, используется следующее:

−    операционная система - Windows XP;

−       операционная система - Windows 7;

−       текстовый процессор - Microsoft Office 2003, 2007, 2010;

−       архиватор - WINRAR v3,5;

−       «1С:Предприятие» версии 7.7 (Бухгалтерия, Зарплата и кадры, Деньги и т.д);

−       «1С:Предприятие» версии 8.1 (Бухгалтерия, Зарплата и кадры, Строительство и т.д);

−       «1С:Предприятие» версии 8.2 (Бухгалтерия, Зарплата и кадры, Подрядчик, Управляющая и т.д);

−       КонсультантПлюс.

Рисунок 1.6 - Схема ЛВС Общества

Характеристики информационной подсистемы, существующей на предприятии. Деятельность любого современного предприятия немыслима без информационных технологий. Мировой опыт крупных компаний и корпораций говорит о том, что уменьшить временные затраты и упростить множество рабочих процессов возможно путем создания корпоративной сети передачи данных.

Сегодня все чаще говорят о единой информационной системе предприятия, которая представляет собой интеграцию управленческих бизнес-приложений и систем автоматизации технологически-конструкторской деятельности. Преимущества данного подхода неоспоримы, ведь в этом случае все процессы становятся максимально открытыми и прозрачными. Это ведет к снижению расходов на дополнительные согласования тех или иных параметров между подразделениями, что, в конечном итоге, влияет на себестоимость производства. В условиях жесточайшей конкуренции все это очень важно. Кроме того, как показывает практика, интеграция конструкторско-технологических решений с ERP-системами ведет и к повышению эффективности производства при общем снижении ошибок, так как при ручном вводе данных они неизбежны и составляют, в среднем, до тридцати процентов.

Для обработки экономической и финансовой информации а также для ведения непрерывного учета на фирме «Софт Центр С» используется система «1С: Предприятие» и система управления документами «1С:Архив».

Платформа «1С: Предприятие» применяется в разнообразных областях. К ним можно отнести:

- поддержка оперативного управления предприятием;

решение задач планирования бюджета и финансового анализа;

расчет зарплаты и управление персоналом.

Система управления документами «1С: Архив» позволяет организовать централизованное хранилище документов и обеспечить к нему доступ сотрудников по локальной сети и по Интернет.

Помимо «1С» на предприятии используется комплект систем Консультант Плюс.

К основным возможностям системы «Консультант Плюс» относятся:

быстрый поиск документов, в том числе по тексту и названию;

«Правовой навигатор» - поиск информации по конкретному правовому вопросу;

быстрый поиск редакции документа, действовавшей на любую заданную дату;

удобный интерфейс для изучения документов и сохранения результатов работы пользователя.

В системе «Консультант Плюс» содержится массив документов, которые сформированы в разделы:

законодательство;

судебная практика;

комментарии законодательства (постатейные комментарии и книги , юридическая пресса);

международные правовые акты.

Действующая на предприятии программа «1С: Предприятие» является автоматизированной информационной системой. Консультант Плюс не относится к системам автоматизации и предназначен для непосредственного взаимодействия с пользователем [2].

1.1.4 Проблемные ситуации, возникающие при работе системы

На предприятии используется программа «1С:Бухгалтерия», однако данный программный продукт не позволяет формировать следующие документы и отчеты:

- заявка;

-       журнал заявок;

-       заказ поставщику;

-       договор;

-       прайс.

Все перечисленные документы оформляются в ручную, что занимает примерно 45% рабочего времени офис-менеджера.

1.2 Формулировка задач проектирования

.2.1 Общие сведения

Полное наименование проекта - разработка конфигурации «1С:Бухгалтерия» для ООО «Софт Центр С».

Код проекта - Клиенты.

Наименование разработчика - Северо-Кавказский государственный технический университет, факультет информационных технологий и телекоммуникаций, специальность прикладная информатика (в экономике), группа ПИ-062, студентка Михайлова Дарья Владимировна.

Наименование предприятия заказчика -ООО «Софт Центр С».

Перечень документов:

–       заказ на разработку конфигурации «Клиенты» от фирмы;

–       существующая конфигурация 1С:Бухгалтерия;

–       формы документов, используемых в работе отдела по работе с клиентами.

Плановые сроки проектирования: с 10.01.11 по 05.06.11.

Работа по созданию конфигурации выполняется без оплаты.

Порядок оформления и предъявления заказчику конфигурации представлен в пунктах 1.2.6 и 1.2.7.

1.2.2 Назначение, цели создания конфигурации

Назначение конфигурации - автоматизация создания документов отдела по работе с клиентами.

Цели создания конфигурации. В результате внедрения разработанной конфигурации предполагается уменьшить трудозатраты офис-менеджера с 165 до 13 часов.

1.2.3 Характеристика объекта автоматизации

Краткие сведения об объекте автоматизации - рабочее место офис-менеджера отдела по работе с клиентами фирмы ООО «Софт Центр С».

Условия эксплуатации - предполагает использование в течении рабочего дня; характеристики окружающей - офисное помещение фирмы ООО «Софт Центр С».

1.2.4 Требования к конфигурации

Требование к конфигурации в целом. Разрабатываемая конфигурация должна удовлетворять требованиям надежности и целостности данных, то есть должна контролироваться правильность и непротиворечивость данных, вводимых пользователем.

Конфигурация должна не только обеспечивать эффективное решение планируемых задач, но и быть удобна пользователю с точки зрения проектирования пользовательского интерфейса.

Требования к функциям (задачам), выполняемым конфигурацией:

1.  должна обеспечить ведение базы клиентов и их заказов.

2.      должна поддерживать формирование, просмотр и печать следующих документов (отчетов):

–       заказ поставщику;

–       заявка;

–       журнал заявок;

–       договор;

–       прайс.

3.  Разработка конфигурации «Клиенты» должна содержать справочники: клиентов, банков, валют, номенклатуры, единиц измерения, работников фирмы.

4.      Разработка конфигурации «Клиенты» должна поддерживать смену пароля администратора и пользователя информационной подсистемы.

Требования к видам обеспечения. Разрабатываемая конфигурация не предъявляет дополнительных требований к программному, техническому, лингвистическому, информационному и методическому обеспечению.

1.2.5 Состав и содержание работ по созданию конфигурации

Запланирован следующий состав и содержание работ по созданию конфигурации:

–       изучение предметной области - с 10 января по 06 марта 2011 г.;

–       кодирование - с 09 марта по 25 марта 2011 г.;

–       отладка и тестирование - с 30 марта по 15 апреля 2011 г.;

–       сдача темы - до 5 июня 2011 г.

1.2.6 Порядок контроля приемки конфигурации

Контроль конфигурации «Клиенты» осуществляет комиссия, назначаемая директором ООО «Софт Центр С».

Перечень научной, технической и другой документации, подлежащей оформлению исполнителем и передаче заказчику на отдельных этапах выполнения и по окончании договора, порядок проведения контроля качества сопровождения программно-технических средств заказчика определены календарным планом и техническим заданием, являющимися частью договора.

В соответствии с данными документами разработанное программно-техническое средство должно быть передано заказчику до окончания срока выполнения работ, то есть 05 мая 2011 года, при этом приемка подсистемы осуществляется приемочной комиссией после передачи документации и подсистемы заказчику.

Заказчик в течение 10 дней со дня получения Акта сдачи-приемки и отчетных документов обязан направить исполнителю подписанный Акт сдачи-приемки программно-технической продукции или мотивированный отказ от приемки работ. В случае отказа сторонами составляется двусторонний акт с перечнем необходимых доработок и сроков их выполнения.

Как Исполнитель, так и Заказчик имеют право на использование созданной программно-технической продукции. Авторское право при этом принадлежит исполнителю.

1.2.7 Требования к составу и содержанию работ по подготовке объекта автоматизации к вводу подсистемы в действие

Конфигурация «Клиенты» должна быть установлена на компьютер, находящийся на рабочем месте менеджера отдела по работе с клиентами фирмы ООО «Софт Центр С». Проектировщиком - студенткой группы ПИ-062 Михайловой Д.В. должен быть проведен инструктаж офис-менеджера по вопросам работы с конфигурацией.

1.2.8 Требование к документированию

Проектировщиком представляется файл конфигурации «Клиенты» в электронном формате на CD-ROM вместе с результатами тестирования и краткой инструкцией оператору по установке и работе с конфигурацией.

1.2.9 Источники разработки

Источниками разработки являются:

заказ на разработку конфигурации «Клиенты»;

отчет по преддипломной практике студентки группы ПИ-062 Михайловой Дарьи Владимировны;

документы:

)        заявка;

)        договор;

)        акт об оказании услуг;

)        заказ поставщику.

Выводы


1.   Основными видами деятельности фирмы ООО «Софт Центр С» являются: продажа, сервисное обслуживание, техническая поддержка, обучение.

2.      В результате обследования фирмы ООО «Софт Центр С» была выявлена проблема отсутствия таких документов и отчетов как заявка, договор, заказ поставщику, журнал заявок.

.        Для устранения проблемной ситуации необходимо разработать конфигурацию «Клиенты», включающую документы, используемые офис-менеджером.

2 РЕАЛИЗАЦИЯ КОНФИГУРАЦИИ «1С: БУХГАЛТЕРИЯ» ДЛЯ ООО «СОФТ ЦЕНТР С», Г СТАВРОПОЛЬ

 

2.1 Обоснование выбора среды реализации приложения


В качестве среды разработки приложения был выбран встроенный язык платформы 1С, так как предприятие использует комплекс программных средств фирмы 1С.

Система «1С: Предприятие» является универсальной системой автоматизации экономической и организационной деятельности предприятия. Поскольку такая деятельность может быть довольно разнообразной, система «1С: Предприятие» имеет возможность «приспосабливаться» к особенностям конкретной области деятельности, в которой она используется. Для обозначения такой способности используется термин конфигурируемость, то есть возможность настройки системы на особенности конкретного предприятия и класса решаемых задач.

Это достигается тем, что «1С: Предприятие» - это не просто программа, существующая в виде набора неизменяемых файлов, а совокупность различных программных инструментов, с которыми работают разработчики и пользователи. Логически всю систему можно разделить на две большие части, которые тесно взаимодействуют друг с другом: конфигурацию и платформу, которая управляет работой конфигурации [4-6].

Технологическая платформа «1С: Предприятие» представляет собой программную оболочку над базой данных <#"528472.files/image007.gif">

Рисунок 2.1 - Инфологическая модель БД

2.3 Создание физической модели базы данных конфигурации

Физические модели баз данных определяют способы размещения данных в среде хранения и способы доступа к этим данным (рисунок 2.2) [8].

Рисунок 2.2 - Физическая модель БД

 

2.4 Создание проекта в программе «1С: Предприятие» для реализации конфигурации


Подготовим папку, в которой будут храниться файл проекта. Затем запускаем программу 1С. В окне «Запуск 1С: Предприятия» нажимаем кнопку «Добавить» (рисунок 2.3). Откроется окно «Добавление информационной базы\группы» (рисунок 2.4).

Рисунок 2.3 - Окно запуска «1С: Предприятия»

Рисунок 2.4 - Добавление информационной базы\группы

Выбрать «Создание информационной базы из шаблона» (рисунок 2.5) и присвоить наименование информационной базы.

Рисунок 2.5 - Создание информационной базы из шаблона

В поле каталог информационной базы указываем путь к созданной нами папки (C:\Users\Dasha\Desktop\для дипломника\диплом). Для этого нужно нажать кнопку с тремя точками в конце текстового поля, после чего откроется окно, в котором нужно выбрать папку для хранения информационная база и нажать кнопку «Выбрать». На последнем этапе указываются параметры создаваемой информационной базы (рисунок 2.6).

Рисунок 2.6 - Определение параметров информационной базы

После выполнения всех вышеуказанных операций конфигурация готово к дальнейшей разработке [9-12]

2.5 Реализация конфигурации


Конфигурация разработана для платформы «1С:Предприятия» в виде расширения для типовой конфигурации «1С:Бухгалтерия», имеет стандартный диалоговой режим взаимодействия с пользователем.

2.5.1 Реализация документа «Заявка»

Создание документа «Заявка» начинается с добавления в окне конфигурации ветки «Документы» нового объекта (рисунок 2.7)

Рисунок 2.7 - Создание нового документа

На вкладке «Основные» зададим имя документа - «Заявка», синоним пропишется автоматически (рисунок 2.8)

Рисунок 2.8 - Вкладка «Основные» документа «Заявка»

С помощью кнопки добавить создадим реквизиты документа

- «Контрагент» с типом СправочникСсылка.Контрагенты;

-       «Организация» с типом СправочникСсылка.Организации;

-       «Ответсвенный» с типом СправочникСсылка.СотрудникиОрганизаций;

-       Комментарий с типом Строка, длина 0, неограниченноенаяя длина (рисунок 2.9).

Рисунок 2.9 - Создание реквизитов документа «Заявка»

После этого добавим табличную часть с именем «Сотрудники» и создадим у нее два реквизита:

-       «Сотрудник» с типом СправочникСсылка.СотрудникиОрганизаций,

-       «Услуга» с типом Строка, длиной 200 (рисунок 2.10).

Рисунок 2.10 - Создание реквизитов табличной части документа «Заявка»

На вкладке «Формы» с помощью конструктора форм создадим форму документа (рисунок 2.11) [14-15]

Рисунок 2.11 - Форма документа «Заявка»

2.5.2 Реализация отчета «ЖурналЗаявок»

В ветке конфигурации Отчет необходимо создать новый объект и присвоить имя (рисунок 2.12)

Рисунок 2.12 - Создание ново отчета

В появившемся окне на кладке «Основные» необходимо нажать кнопку «Открыть схему компоновки данных», после чего откроется окно «Основная схема компоновки данных», где добавляется новый набор данных (рисунок 2.13)

Рисунок 2.13 - окно «Основная схема компоновки данных»

Затем открывается конструктор запроса, далее в поле таблицы переносится документ «Заявка» где выбираются поля, которые должны быть выведены в макет отчета (рисунок 2.14) [16]

Рисунок 2.14 - окно «Конструктор запроса»

В итоге получается запрос:

ВЫБРАТЬ

Заявка.Номер,

Заявка.Дата,

Заявка.Контрагент КАК Заказчик,

Заявка.Сотрудники.(

         Сотрудник,

         Услуга

)

ИЗ

Документ.Заявка КАК Заявка

На вкладке «Данные» создаются реквизиты «НачПериода» и «КонПериода» с типом Дата [17-18].

2.5.3 Реализация пользовательского интерфейса «Менеджер»

В ветке конфигурации Общие / Интерфейсы создается новый интерфейс, которому присваивается имя «Менеджер». Затем создаются три панели (Главное меню, поддержка, Стандартные отчеты). На панель «Главное меню» формируется основное меню для работы менеджера (рисунок 2.15)

Рисунок 2.15 - Интерфейс «Менеджер»

Для завершения формирования пользовательского интерфейса необходимо создать соответствующую роль: Общие /Роли / Добавить. Присваиваем имя менеджер. Затем во вкладке «Администрирование» в списке пользователя добавляем нового с именем «Менеджер», назначаем пароль (рисунок 2.16), определяются права, основной интерфейс и язык (рисунок 2.17) [19].

Рисунок 2.16 - Добавление нового пользователя на вкладке «Основные»

Рисунок 2.17 - Добавление нового пользователя на вкладке «Основные»

2.5.4 Установка конфигурации

Процесс внедрения разработанных объектов в рабочую базу предприятия производится путем сохранения файлов конфигурации из дополненной разработанными документами и отчетами типовой информационной базы и загрузки их в рабочую базу предприятия.

Объединение измененной базы с клиентской осуществляется следующим образом: клиентская информационная база открывается в режиме конфигуратора. Для начала необходимо включить возможность изменения (Конфигурация / Поддержка / Снять с поддержки). Следующим шагом является загрузка файла в рабочую базу. По команде Конфигурация / Сравнить, объединить с конфигурацией из файла откроется окно сравнения (рисунок 2.18). Следует снять галочки со всех элементов кроме тех, что были изменены или добавлены. После объединения осуществляется переход в режим Предприятие для сохранения изменений [20-23].

Рисунок 2.18 - Окно сравнения и объединения конфигураций

Выводы


1.   В ходе проектирования конфигурации для ООО «Софт Центр С» выделены шесть сущностей и проанализированы связи между ними.

2.      Приложение реализовано по технологии «тонкого» клиента, что подтверждает его соответствие современным требованиям.

.        Размер папки с файлами конфигурации «Клиенты» составляет 187 Мбайт. Эта папка содержит файл для объединения с базой клиента и отчет в виде внешней обработки.

.        В результате тестирования конфигурации «Клиенты» в реальных условиях производства установлено, что она в полном объеме удовлетворяет требованиям заказчика.

3. ИНФОРМАЦИОННОЕ И ПРОГРАММНОЕ ОБЕСПЕЧЕНИЕ

 

3.1 Общие сведения о программе


Наименование проекта - разработка конфигурации «1С:Бухгалтерия» для ООО «Софт Центр С».

Обозначение конфигурации - Клиенты.

Конфигурация написана на платформе «1С: Предприятие», на встроенном языке «1С» для сокращения временных затрат офис-менеджера отдела по работе с клиентами на составление документации.

Разработанное программное средство может использоваться на любых компьютерах и под управлением любой операционной системы.

3.2 Функциональное назначение программы


Главной целью, приследуемой в процессе разработки конфигурации было снижении времени, затрачиваемое офис-менеджером отдела по работе с клиентами на оформление документации и составление отчетности.

Конфигурация выполняет следующие функции:

ввод информации о заявках;

проверка вводимой информации;

отслеживание наличия товара на складах;

анализ деятельности сотрудника.

В ходе разработки реализованы методы авторизации и аутентификации пользователя.

3.3 Описание логической структуры программы


Логическую структуру программы иллюстрирует диаграмма компонентов (рисунок 3.1). Как следует из рисунка 31, в логическую структуру программы входят 10 программных компонентов (модулей) и база данных конфигурации, объединенных связью зависимости.

Компонент представляет собой выполняемый модуль системы, и связан с файлом исходного текста, двоичным файлом библиотеки, объектным модулем, исполняемым файлом.

Рисунок 3.1 - Логическая структура программы

Через рабочий стол открываются формы (ФормаРеализацияТоваровИУслуг, ФормаДокумента, ФормаЗаявка и т.д.). С их помощью обращаются за необходимой информацией через запрос (SQL) к базе данных. База данных, так же через запрос, возвращает требуемые данные формам.

3.4 Требования к техническому обеспечению

 

.4.1 Общие требования

Для обеспечения функционирования конфигурации на рабочей станции должно быть установлена платформа 1С:Предприятие.

Разработанное программное средство может использоваться на IBM-совместимых компьютерах под управлением операционной системы Windows XP /Seven.

3.4.2 Требования к центральному процессору

На основании проведенных контрольных прогонов было установлено, что необходимо использование операционной системы MS Windows 98/Me и выше, процессор Pentium - совместимый с тактовой частотой от 1200 МГц [23].

Данная цифра учитывает как затраты процессора на работу самого приложения так и затраты связанные с работой операционной системы.

3.4.3 Требования к оперативному запоминающему устройству

Минимальный объем оперативного запоминающего устройства (ОЗУ) необходимый для работы приложения V, Мбайт, определяется по формуле:

V = V1 + V2,                                                                                    (3.1)

где    V1 - минимальный объем ОЗУ, требуемый для работы операционной системы, Мбайт;- минимальный объем ОЗУ, требуемый для работы приложения, Мбайт.

Для приложения, работающего под управлением операционной системы Windows XP необходимое V1 = 128 Мбайт [24].

Для стабильной работы приложения требуется V2 = 512 Мбайт [24].

Таким образом, на основе формулы (3.1) минимальный объем ОЗУ, требуемый для работы приложения, запущенного в операционной системе Windows, составляет:

V = V1 + V2 = 128 + 512 = 640 Мбайт.                                         

3.4.4 Требования к наличию сводного места на жестком диске

Для определения размера жесткого диска воспользуемся формулой

W = W1 + W2 +W3,                                                                         (3.2)

где W1 - минимальный размер информационной базы;

W2 - минимальный размер установленного программного обеспечения

W3 - минимальный размер папки с временными файлами.

Так как W1 = 410 Мбайт, W2 = 947 Мбайт , W3 = 617 Кбайт [23], получим

W = 410 + 947 + 0,6 = 1357,6 Мбайт

Таким образом минимальный размер жесткого диска 1,4 Гбайт.

3.4.5 Требования к монитору

Для работы с программой требуется цветной монитор с разрешением экрана 1024×768 пикселей [4].

3.5 Установка и вызов программы


Для эксплуатации программы на машине клиента необходим драйвер защиты и аппаратная лицензия, так же должна быть установлена платформа «1С:Предприятие 8.2» (8.2.13.205), а рабочая информационная база клиента должна иметь релиз не ниже 2.0.20.1.

3.6 Входные данные программы


) данные о контрагентах:

наименование;

адреса;

телефоны;

ИНН;

КПП.

) данные об организации:

название организациии;

контактное лицо;

телефонные номера;

адрес электронной почты;

адрес и местонахождение.

) данные о программных продуктах и услуах:

название;

стоимость;

описание.

3.7 Выходные данные программы


Выходными данными являются:

) отчеты;

) докумены;

) справочники.

3.8 Результаты тестирования программы

В заключении написания конфигурации был проведен тестовый прогон всех реализованных документов и отчетов. Рассмотрим работоспособность программы на прримере докумнта «Заявка» и отчета «Журнал Заявок».

По команде «Продажа» ® «Заявка» откроется новый документ(рисунок 3.1)

Рисунок 3.2 - Создание нового документа «Заявка»

Номер и дата нового документа заполняются автоматически. Поле «Контрагент» выбирается из справочника «Контрагенты» (рисунок 3.2), «Организация» - из списка (рисунок 3.3), ответственный выбирается из справочника «Сотрудники организации» нажатием на .

Рисунок 3.3 - Выбор организации

Рисунок 3.4 - Выбор контрагента

По кнопке «Ок» документ проводим и сохраняем документ. Таким же образом добавим еще несколько заявок (рисунок 3.4).

Рисунок 3.5 - Список заявок

На основе введенных данных сформируем отчет. По команде «Отчеты» ® «Журнал Заявок» откроется окно отчета, где по кнопке «Сформировать» данные выведутся на экран (рисунок 3.5)

Рисунок 3.6 - Отчет «Журнал заявок»

3.9 Краткая инструкция оператору по работе с программой


Работа всех пользователей начинается с окна запуска изображенного на рисунке 3.6.

Рисунок 3.7 - Окно запуска

В поля «Логин» и «Пароль» пользователь вводит данные (рисунок 3.7).

Рисунок 3.8 - Форма входа в систему

В случае неправильного ввода пороля, программа выдаст сообщение об ошибке (рисунок 3.8)

Рисунок 3.9 - Сообщение об ошибке

После загрузки программы откроется рабочий стол, содержащий в себе основные элементы для работы менеджера (рисунок 3.9)

Рисунок 3.10 - Рабочий стол

Пользователь имеет возможность оформлять новую заявку от клиента. На вкладке «Продажа» из списка возможных документов, выбирается заявка. В открывшемся окне номер и дата нового документа заполняются автоматически, контрагент выбирается из справочника «Контрагенты» нажатием на , ответственный выбирается из справочника «Сотрудники организации». По кнопке «Записать» происходит запись документа, по кнопке «Ок» документ сохраняется и проводится. Кнопка «Отмена» закрывает документ не сохраняя внесенные данные (рисунок 3.10).

Рисунок 3.11 - Оформление заявки

Для отслеживания принятых заявок существует отчет, позволяющий просмотреть данные обо всех заявках за выбранный период. Для этого на вкладке «Отчеты» выбирается отчет «Журнал заявок». По нажатии кнопки «Сформировать» данные выводятся на экран (рисунок 3.11).

Рисунок 3.12 - Отчет «Журнал Заявок»

Для заказа нового товара предназначен документ «Заказ поставщику». По команде «Покупка» ® «Заказ поставщику» откроется окно создания нового документа (рисунок 3.12).

Рисунок 3.13 - Создани нового документа «Заказ поставщику»

После заполнения формы по кнопке «Ок» документ закроется и проведется. Затем по кнопке «Печать» на экран выведится накладная (приложение А), которая выводися на печать нажатием на пиктограмму .

Для оформления трудовых отношений между предприятием и клиентом подписвается договор. Данный документ создается путем выбора на вкладке «Продажа» документа «Договор». После заполнения необходимых данных документ проводитс и распечатывается(приложение А).

При необходимости просмотра всех созданных документов на вкладке «Операции» выбираются «Документы» и в открывшемся окне «Выбор объекта» открывается необходимый пункт(риснок 3.13).

Рисунок 3.14 - Окно «Выбор объекта»

Выводы


В данном разделе было рассмотрено информационное, программное и техническое обеспечение необходимое для работы разработанного программного продукта. Установлено, что минимальные требования к аппаратуре для клиентской части следующие:

-       процессор с тактовой частотой 1200 MГц;

-       1,3 Гбайт Mбайт свободного места на жестком диске;

Помимо требований к аппаратуре для работы программы необходимо установить платформу «1С:Предприятие 8.2» (8.2.13.205).

Также в данном разделе приведена краткая инструкция для пользователя.

Результаты тестирования показали, что программа правильно обрабатывает вводимые данные и выдает ожидаемые выходные данные.

4 технико-ЭКОНОМИЧЕСКОЕ ОБОСНОВАНИЕ ПРОЕКТА

 

.1 Краткая характеристика проекта


В дипломном проекте разработана конфигурация «Клиенты».

Назначение конфигурации - автоматизация работы отдела по работе с клиентами ООО «Софт Центр С».

Цель создания конфигурации - сокращение временных затрат офис-менеджера отдела по работе с клиентами на составление документации.

Конфигурация «Клиенты» выполняет следующие функции:

- ведение базы данных клиентов фирмы, в которой содержаться основные данные (фамилия, имя, отчество, адрес и телефон и пр.);

-       ускоренный поиск данных о клиентах, поставщиках, товарах занесенных в базу данных;

-       просмотр остатка по товарам на определенную дату и по указанному складу.

При разработке конфигурации использовался встроенный язык программирования «1С».

В результате предпроектного обследования было установлено, что на составление документации (заявка и заказ поставщику), а так же проверку наличия товара на складе без автоматизации офис-менеджер отдела по работе с клиентами фирмы ООО «Софт Центр С» тратит 45% своего времени, что составляет примерно 88 часов в месяц. После внедрения программы ожидается, что это время сократиться в несколько раз.

В качестве расчетного периода возьмем три года, так как этот период является ориентировочным сроком службы программы до ее морального устаревания.

4.2 Трудоемкость выполняемых работ

При расчете трудоемкости работ по созданию программного продукта, используется расчет себестоимости автоматизированной информационной системы и оценки экономической эффективности внедрения программного продукта.

В ходе разработки программного обеспечения основные затраты Тпо,, чел.-ч., они определяются по формуле:

Тпо = То + Та + Тп + Тотл + Тд,                                                    (4.1)

где - затраты труда на описание задачи, чел.-ч.;

 - затраты на разработку блок схемы, чел.-ч.;

 - затраты на программирование, чел.-ч.;

 - затраты на отладку программы, чел.-ч.;

 - затраты на подготовку документации, чел.-ч.

Все составляющие в правой части формулы (4.1) определим через общее число операторов D, ед.:

D = α∙c ∙ (1 + p),                                                                               (4.2)

где α - исходное число строчек кода в тексте программы, (α = 500 ед.);

с − коэффициент сложности задачи(с = 1.05 ... 2);

р - коэффициент коррекции программы, учитывающий новизну проекта.

Таким образом, подставив α = 500 ед., с=1,2, p=0,1 получим:

D = 500∙1,2 ∙ (1 + 0.1) = 660,00 ед.

Затраты труда на описание задачи принимаем: ТО = 13 чел.-ч. Работу по описанию задачи и все другие работы по созданию программного продукта выполняет инженер-программист с окладом 5800 руб. в месяц и коэффициентом квалификации kК = 1.

Затраты труда на изучение задачи ТИ, чел.-ч., с учетом уточнения описания и квалификации программиста могут быть определены по формуле:

ТИ = D b / (su kK),                                                                           (4.3)

где D - общее число строчек кода в тексте программы, ед.;- коэффициент увеличения затрат труда, вследствие недостаточного описания задачи;- количество строчек кода в тексте программы, приходящееся на один чел.-ч., (ед./ чел.-ч.);- коэффициент квалификации работника.

В связи с тем, что решение рассматриваемой задачи потребовало уточнения и доработок, примем коэффициент b = 1.

Количество строчек кода в тексте программы, приходящееся на один чел.-ч., примем равным su = 45 ед./ чел.-ч.

Таким образом, на основании формулы (4.3) получим

ТИ = (660,00 × 1) / (45 × 1) = 14,67 чел.-ч.

Затраты труда на разработку алгоритма решения задачи ТА, чел.-ч., рассчитываются по формуле:

ТА = D / (sa kK),                                                                              (4.4)

где D - общее число строчек кода в тексте программы, ед.;- количество строчек кода в тексте программы, приходящееся на один чел.-ч., (ед./ чел.-ч.);- коэффициент квалификации работника.

Для расчета по формуле (4.4) примем sa = 17 ед./ чел.-ч.

Подставив численные значения параметров и коэффициентов в формулу (4.4), получим

ТА = 660,00 / (17 × 1) = 38,82 чел.-ч.

Затраты труда на составление программы по готовой блок-схеме ТП, чел.-ч., определяется по формуле:

ТП =D / (sa kK),                                                                               (4.5)

где D - общее число строчек кода в тексте программы, ед.;- количество строчек кода в тексте программы, приходящееся на один чел.-ч., (ед./ чел.-ч.);- коэффициент квалификации работника.

Для расчетов по формуле (4.5) примем sa = 17 ед./ чел.-ч.

Подставив численные значения параметров и коэффициентов в формулу (4.5), получим:

ТП = 660,00 / (17 × 1) = 38,82 чел.-ч.

Затраты труда на отладку программы на персональном компьютере ТОТЛ, чел.-ч., рассчитывается по формуле

ТОТЛ = D / (sотл kK),                                                                     (4.6)

где D - общее число строчек кода в тексте программы, ед.;отл - количество отлаживаемых операторов программы, приходящееся на один чел.-ч., (ед./ чел.-ч.);- коэффициент квалификации работника.

Для расчетов по формуле (4.6) примем sотл = 4 ед./ чел.-ч.

Подставив численные значения параметров и коэффициентов в формулу (4.6), получим

ТОТЛ = 660,00 / (4 × 1) = 165,00 чел.-ч

Затраты труда на подготовку документации по задаче ТД, чел.-ч., определяются по формуле:

ТД = ТДР + ТДО,                                                                            (4.7)

где ТДР - затраты труда на подготовку материалов в рукописи, чел.-ч.;

ТДО - затраты труда на редактирование, печать и оформление документации, чел.-ч.

Затраты труда на подготовку материалов в рукописи ТДР, чел.-ч., вычислим по формуле

ТДР = D / (sдр kK),                                                                         (4.8)

где D - общее число строчек кода в тексте программы, ед.;др - количество операторов программы в рукописи, приходящееся на один чел.-ч., (ед./ чел.-ч.);- коэффициент квалификации работника.

Для расчетов по формуле (4.8) примем sдр = 15 ед./ чел.-ч.

Подставив численные значения параметров и коэффициентов в формулу (4.8), получим

ТДР = 660,00 / (15 × 1) = 44,00 чел.-ч.                                          

Затраты труда на редактирование, печать и оформление документации ТДО, чел.-ч., вычислим по формуле

ТДО = 0,75 × ТДР,                                                                          (4.9)

Подставив численное значение затраты труда на подготовку материалов в рукописи ТДР, чел.-ч., в формулу (4.9), получим

ТДО = 0,75 × 44,00 = 33,00 чел.-ч.


Таким образом, подставив численные значение затраты труда на подготовку материалов в рукописи ТДР, чел.-ч., и затраты труда на редактирование, печать и оформление документации ТДО, чел.-ч., в формулу (4.7) получим:

ТД = 44,00 + 33,00 = 77,00 чел.-ч.                                                 

Подставив все полученные данные, составляющие трудоемкость разработки программного обеспечения в формулу (4.1), получим

ТПО = 1,67 + 38,82 + 38,82 + 165,00 + 77,00 = 321,31 чел.-ч.    

С учетом уровня языка программирования трудоемкость разработки программы может быть скорректирована следующим образом:

ТКОР = ТПО kКОР,                                                                        (4.10)

где kКОР - коэффициент коррекции, учитывающий изменения трудоемкости разработки программного обеспечения в зависимости уровня языка программирования (таблица 4.1);

ТКОР - откорректированная трудоемкость разработки программного обеспечения, чел.-ч.

Использованный для разработки программного обеспечения язык программирования («1С») относится к алгоритмическим языкам высокого уровня, с учетом этого примем kКОР = 0,8.

Таким образом, получим по формуле (4.10) итоговую откорректированную трудоемкость разработки программы

ТКОР = 321,31 × 0,8 = 257,05 чел.-ч.                                            

4.3 Расчет себестоимости конфигурации


Себестоимость создания автоматизированной конфигурации З, руб., определяется по следующей формуле

З = ЗО + ЗД + ЗС + ЗЭ + ЗМ + ЗП + ЗАО,                                     (4.11)

где ЗО - основная заработная плата производственного персонала, руб.;

ЗД - дополнительная заработная плата производственного персонала, руб.;

ЗС - отчисления на страховые взносы, руб.;

ЗЭ - затраты на потребляемую электроэнергию, руб.;

ЗМ - расходы на материалы и запасные части, руб.;

ЗП - затраты на техническое обслуживание и текущий ремонт вычислительной техники, руб.;

ЗАО - затраты на амортизацию вычислительной техники, руб.

Плановый фонд рабочего времени одного специалиста производственного персонала в месяц tпф, ч, вычислим по формуле

пф = Nрд Δtрд,                                                                                (4.12)

где Nрд - количество рабочих дней специалиста производственного персонала за месяц;

Δtрд - продолжительность рабочего дня специалиста производственного персонала, ч.

Для расчетов по формуле (4.12) примем Nрд = 22 дня, Δtрд = 8 ч. Подставив указанные численные значения параметров Nрд и Δtрд в формулу (4.12) получим, что плановый фонд рабочего времени одного специалиста производственного персонала в месяц составляет

tпф = 22 × 8 = 176 ч.

Таким образом, часовая тарифная ставка sч, руб./ч, инженера-программиста

sч = 5800 /176 = 32,95 ч

Основная заработная плата ЗО, руб., производственного персонала определяется по формуле

ЗО = sч × ТКОР                                                                               (4.13)

Подставив все численные значения параметров в формулу (4.13) получим, что основная заработная плата инженера-программиста

ЗО = 257,05 × 32,95 = 8469,79 руб                                               

Дополнительная заработная плата ЗД, руб.отсутствует (ЗД = 0).

Отчисления в Пенсионный фонд Российской Федерации, Фонд социального страхования Российской Федерации и фонды обязательного медицинского страхования Российской Федерации ЗС, руб., вычислим по формуле

ЗС = ((ЗО + ЗД) / 100) × hС,                                                           (4.15)

где ηС − норматив страховых взносов, %.

Норматив страховых взносов составляет 34 %.

Подставив все численные значения в формулу (4.15) получим, что отчисления на страховые взносы равны

ЗС = ((8469,79 + 0) / 100) × 34% = 2879,73 руб.                          

Затраты на потребляемую электроэнергию ЗЭ, руб.:

ЗЭ = PВ tВ цЭ,                                                                                (4.16)

где PВ - мощность ЭВМ, кВт;В - время работы вычислительного комплекса, ч;

цЭ - стоимость 1 кВтч электроэнергии, руб./ кВтч.

Мощность ЭВМ равна 0,3кВт.

Время работы вычислительного комплекса tв, ч, при создании программного продукта вычислим по формуле

в = αп∙(ТП + ТД + ТОТЛ) × kКОР                                                 (4.17)

где αп - коэффициент, учитывающий затраты времени на профилактические работы на ЭВМ.

Для расчетов по формуле (4.17) примем αп = 1,15 и kКОР = 0,8. Подставив все численные значения параметров в формулу (4.17) получим:

tВ = 1,15 × (38,82 + 77,00 + 065) × 0,8 = 166,35 ч.

Стоимость 1 кВтч электроэнергии составляет цЭ = 3,74 руб./ кВтч.

Подставив все численные значения параметров в формулу (4.16) получим, что затраты на потребляемую электроэнергию составят

ЗЭ = 0,3 × 166,35 × 3,74 = 186,64 руб.

Данные для расчета затрат на материалы и запасные части занесем в таблицу 4.2.

Таблица 4.2 - Данные для расчета затрат на материалы и запасные части

Наименование

Единица измерения

Кол-во

Цена за ед., руб.

Сумма, руб.

CD-RW - диск

Штук

1

25,00

25,00

Бумага

Пачка

1

150,00

150,00

Доступ в Интернет

Часы

10

40,00

400,00

Заправка картриджа принтера Samsung ML-1615

Штук

1

120.00

120,00

Итого

695,00


Следовательно, затраты на материалы и запасные части ЗМ составят

ЗМ = 25,00 + 150,00 + 400,00 + 120,00 = 695,00 руб

Затраты на техническое обслуживание и текущий ремонт вычислительной техники ЗП, руб.:

ЗП = КВ × (α / 100) × ( tВ / tВ.Г)                                                    (4.18)

где КВ − балансовая стоимость вычислительной техники, руб.

α - норма отчислений на ремонт, %;В.Г - годовой фонд времени работы вычислительной техники, ч.

Для расчетов по формуле (4.18) примем:

-       балансовая стоимость вычислительной техники KB = 21500,00 руб.;

-       норма отчислений на ремонт α = 4%;

-       годовой фонд времени работы вычислительной техники при 48-часовой рабочей неделе в текущем году tВ.Г = 2112 ч.

Подставив все численные значения параметров в формулу (4.18) получим, что затраты на техническое обслуживание и текущий ремонт вычислительной техники составят:

ЗП = 21500 × (4 / 100) × (166,35 / 2112) = 67,74 руб

Затраты на амортизацию вычислительной техники АОЗ, руб.:

ЗАО = КВ × (β / 100) × ( tВ / tВ.Г)                                                 (4.19)

где β - норма отчислений на амортизацию вычислительной техники, %, которая составляет 12,5%.

ЗАО = 21500 × (20 / 100) ×(166,35 / 2112) = 338,69 руб

Все расчеты по статьям калькуляции затрат, составляющих себестоимость автоматизированной информационной подсистемы сведены в таблицу 4.3.

Таблица 4.3 - Величины затраты, составляющих себестоимость автоматизированной информационной системы

Статья расхода

Сумма, руб.

Основная заработная плата производственного персонала

8469,79

Дополнительная заработная плата производственного персонала

0,00

Отчисления на страховые взносы

2879,73

Затраты на потребляемую электроэнергию

186,64

Расходы на материалы и запасные части

695,00

Затраты на техническое обслуживание и ремонт вычислительной техники

67,74

Затраты на амортизацию вычислительной техники

338,69

Итого

12637,59

Таким образом, полные затраты на создание программного продукта составляют 12637,59руб.

 

4.4 Оценка экономической эффективности внедрения программного продукта


Показатель эффекта определяет все позитивные результаты, достигаемые при использовании программного продукта. Прибыль от использования программного продукта за год эксплуатации П, руб., определяется по формуле

П = Э - ЗИСП.,                                                                                (4.21)

где Э - стоимостная оценка результатов применения программного продукта в течение года, руб.;

ЗИСП - стоимостная оценка затрат при использовании программного продукта в течение года, руб.

Приток денежных средств из-за использования программного продукта Э, руб., в течение года может составить:

Э = (ЗРУЧ - ЗАВТ) + ЭДОП,                                                          (4.22)

где ЗРУЧ - затраты на ручную обработку информации, руб.;

ЗАВТ - затраты на автоматизированную обработку информации, руб.;

ЭДОП - дополнительный экономический эффект, связанный с уменьшением числа используемых бланков, высвобождением рабочего времени и т. д., руб.

Данный продукт используется офис-менеджером отдела по работе с клиентами фирмы ООО «Софт Центр С», г. Ставрополь. Оклад офис-менеджера - 5100 руб., премиальный фонд (доп з/п) - 0 от оклада, Nрд = 22 дней, Δtрд = 8 ч. Тогда, цена одного часа работы офис-менеджера отдела по работе с клиентами цЧ, руб./ч, составит

цЧ = (5100 + 5100 × 0) / 160 = 31,88 руб./ч.


В ходе исследования было выявлено, что общие затраты времени на ручную обработку информации в месяц tОБЩ. Р, ч, составляют tОБЩ. Р = 165 ч, а общие затраты на автоматизированную обработку информации - tОБЩ. А = 13 ч.

Годовые затраты (затраты за 12 месяцев) офис-менеджера отдела по работе с клиентами фирмы ООО «Софт Центр С», г. Ставрополь, при ручной обработке информации вычислим по формуле

ЗРУЧН = tОБЩ. Р × 12 × цЧ                                                          (4.23)

Годовые затраты (затраты за 12 месяцев) офис-менеджера при автоматизированной обработке информации вычислим по формуле

ЗАВТ = tОБЩ. А × 12 × цЧ                                                            (4.24)

Получим

ЗРУЧН = 165 × 12 × 31,88 = 63122,40                                           (4.23)

ЗРУЧН = 13 × 12 × 31,88 = 4973,28                                               (4.23)

Следовательно, годовой эффект от внедрения программного продукта, даже без учета дополнительный экономический эффекта (ЭДОП = 0), на основании формулы (4.22), получится равным:

Э = 63122,40 - 4973,28 = 58149,12 руб.                                        

Эксплуатационные затраты при использовании программного продукта состоят из затрат на электроэнергию, техническое обслуживание, текущий ремонт вычислительно техники и затрат на амортизацию вычислительной техники.

На основании формулы (4.16), для персонального компьютера офис-менеджера за 12 месяцев затраты на электроэнергию при потребляемой мощности компьютера PВ =0,3 кВт составят

ЗЭ = 0,3 × 8 × 12 × 3,74 = 107,71 руб.

Балансовая стоимость вычислительной техники B K = 21500,00 руб. Тогда, на основании формулы (4.18), для персонального компьютера офис-менеджера за 12 месяцев затраты на техническое обслуживание и текущий ремонт составят:

ЗП = 21500 × 0,04 × (12 × 8/2112) = 39,09 руб.

Затраты на амортизацию вычислительной техники по формуле (4.19) составят

ЗАО = 21500 × 0,2 × (12 × 8 / 2112) = 195,46 руб.

Тогда, эксплуатационные затраты при использовании программного продукта составят:

ЗИСП = 107,71 + 39,09 + 195,46 = 342,36 руб.

Прибыль от использования программного продукта за год рассчитаем по формуле (4.21):

П = 58149,12 - 342,36 = 57807,76 руб.

Таким образом, имеем следующий денежный поток:

шаг (капиталовложения) - 12637,59 руб.;

шаг                                         -57807,76 руб.;

шаг                               - 57807,76 руб.;

шаг                                         - 57807,76 руб.;

Чистый дисконтированный доход ЧДД, руб., от использования программного продукта определим по формуле:

.      (4.25)

где N - расчетный период, год;

ПK - прибыль от использования программного продукта за k-й год его эксплуатации, руб.;

Е - норма дисконта, %;- капиталовложения при внедрении программного продукта, руб.

Следовательно, ЧДД, руб., при N = 3, т. е. за три года использования программного продукта (срок до морального старения рассматриваемой конфигурации) при норме дисконта E = 20% в соответствии с формулой (4.25) составит:

Приходим к выводу, что ЧДД − положителен, т. е. проект эффективен.

Внутреннюю норму доходности проекта Eвн, %, определим по формуле

  (4.26)

где Евн. MAX + - максимальное значение внутренней нормы дисконта, %, при которой ЧДД является положительной величиной (ЧДД > 0);

Евн. MIN - - минимальное значение внутренней нормы дисконта, %, при

которой ЧДД является отрицательной величиной (ЧДД < 0);

- ЧДД, руб., вычисленный по формуле (4.25) при подстановке нормы дисконта Е=;

-ЧДД, руб., вычисленный по формуле (4.25) при подстановке нормы дисконта Е=.

Предполагаем, что EВН лежит в диапазоне 174 ... 180%. При норме дисконта EВН = 174% получаем ЧДД =1897,21 руб. Таким образом, при норме дисконта EВН = 174% ЧДД - положителен.

При норме дисконта EВН = 180% получаем ЧДД = -18014,85 руб. Таким образом, при норме дисконта EВН = 180% ЧДД - отрицателен.

Следовательно, по формуле (4.26) имеем:

%

Рассчитаем срок окупаемости проекта. Срок окупаемости проекта ок T , год, найдем по формуле

  (4.27)

где N - максимальное количество лет, прошедших с начала эксплуатации программного продукта, в течение которых величина дохода от его использования не превысила величины капиталовложения при внедрении программного продукта;

Эj- величины приведенных (дисконтированных) годовых эффектов за j-й год, руб., прошедший с начала эксплуатации программного продукта, вычисленные по формуле (4.25) при подстановке нормы дисконта E = 20%.

Величина приведенного (дисконтированного) годового эффекта за первый год расчетного периода по формуле (4.25) равна:

Э1== 48173,13 руб.

что больше величины капиталовложений (K = руб.).

Тогда, в формуле (4.27) имеем N = 0 и срок окупаемости составит

 года.

Выводы


1.      В процессе анализа технико-экономического обоснования разработки конфигурации «1С:Бухгалтерия» для 000 «Софт Центр С», было экономически обоснована рентабельность разработки.

.        Затраты на разработку конфигурации составили 12637,59 руб.

.        Трудоемкость разработки проекта составила 321,772 чел-ч.

.        Годовая выгода от внедрения программного продукта составляет 44391,45 руб.

.        Технико-экономический эффект достигается в виде повышения оперативности.

.        Срок окупаемости информационной подсистемы составляет 0,26 года.

.        Учитывая данные всех рассмотренных показателей, можно утверждать о целесообразности внедрения на предприятии данной программной разработки.

ЗАКЛЮЧЕНИЕ

Основным результатом дипломного проекта является разработка, на основе использования современных CASE-технологий, оригинальной конфигурации «1С: Клиенты».

В результате дипломного проектирования было показано, что:

−    итоговая трудоемкость разработки программного продукта составляет 254,06 чел.-ч.;

−       полные затраты на создание программного продукта - 12637,59 руб.;

−       годовой эффект от внедрения программного продукта составляет 44391,45 руб.;

−       срок окупаемости проекта 0,26 года.

После внедрения разработанной конфигурации затраты времени офис- менеджера на формирование документации и отчетности сократились с 165 до 13 часов в месяц, т. е. примерно в 12 раз.

Таким образом, приходим к заключительному выводу о том, что разработка конфигурации «Клиенты» является экономически обоснованной и эффективной.

К перспективным направлениям развития темы дипломного проекта можно отнести расширение функциональных возможностей разработанной конфигурации.

БИБЛИОГРАФИЧЕСКИЙ СПИСОК

1.      Кузнецов, И. Н.,  <#"528472.files/image056.gif">

Слайд 1 - Тема дипломного проекта, ФИО дипломника, ученая степень, ученое звание и ФИО руководителя

Слайд 2. Актуальность, цель и задачи дипломного проекта

Слайд 3. Диаграмма вариантов использования конфигурации

Слайд 4. Логическая модель базы данных

Слайды 5 Интерфейс конфигурации

Слайды 6. Интерфейс конфигурации

Слайды 7. Примеры отчетов, формируемых конфигурацией

Слайды 8. Примеры отчетов, формируемых конфигурацией

Слайд 9. Показатели технико-экономической эффективности проекта

Слайд 11. Итоги дипломного проектирования


Не нашли материал для своей работы?
Поможем написать уникальную работу
Без плагиата!
Без нейросетей!