Внутренние интерфейсы IDE и их разновидности

  • Вид работы:
    Реферат
  • Предмет:
    Информационное обеспечение, программирование
  • Язык:
    Русский
    ,
    Формат файла:
    MS Word
    178,33 kb
  • Опубликовано:
    2011-12-24
Вы можете узнать стоимость помощи в написании студенческой работы.
Помощь в написании работы, которую точно примут!

Внутренние интерфейсы IDE и их разновидности

МИНИСТЕРСТВО ОБРАЗОВАНИЯ И НАУКИ

ГОСУДАРСТВЕННОЕ ОБРАЗОВАТЕЛЬНОЕ УЧРЕЖДЕНИЕ

ВЫСШЕГО ПРОФЕССИОНАЛЬНОГО ОБРАЗОВАНИЯ

«ВОРОНЕЖСКИЙ ГОСУДАРСТВЕННЫЙ ТЕХНИЧЕСКИЙ УНИВЕРСИТЕТ»

Факультет автоматики и электромеханики

Кафедра «Автоматизированные и вычислительные системы»

Специальность «Вычислительные машины, комплексы, системы и сети»





Тема реферата «Внутренние интерфейсы IDE и их разновидности»

Выполнил

ст. гр. ВМ-083 Болдырев Е.В.

Проверил Плотников О.А.






Воронеж 2010

1.      Место объекта в ЭВМ и вычислительных системах. Область применения


Первоначальная версия стандарта была разработана в 1986 году фирмой Western Digital и по маркетинговым соображениям получила название IDE (англ. Integrated Drive Electronics - «электроника, встроенная в привод»). Оно подчеркивало важное нововведение: контроллер привода располагается в нём самом, а не в виде отдельной платы расширения, как в предшествующем стандарте ST-506 и существовавших тогда интерфейсах SCSI и ST-412. Это позволило улучшить характеристики накопителей (за счёт меньшего расстояния до контроллера), упростить управление им (так как контроллер канала IDE абстрагировался от деталей работы привода) и удешевить производство (контроллер привода мог быть рассчитан только на «свой» привод, а не на все возможные; контроллер канала же вообще становился стандартным). Следует отметить, что контроллер канала IDE правильнее называть хост-адаптером, поскольку он перешёл от прямого управления приводом к обмену данными с ним по протоколу.

IDE (Integrated Device Electronics) - интерфейс устройств со встроенным контроллером. При создании этого интерфейса разработчики ориентировались на подключение дискового накопителя. Интерфейс EIDE имеет первичный и вторичный каналы, к каждому из которых можно подключить два устройства, то есть всего их может быть четыре. Это может быть жесткий диск, CD-ROM или переключатель дисков.

Фактически он представляет собой связь между системной платой и электроникой или контроллером, встроенными в накопитель. Этот интерфейс постоянно развивается - на сегодняшний день создано несколько модификаций. Интерфейс IDE, широко используемый в запоминающих устройствах современных компьютеров, разрабатывался как интерфейс жесткого диска. Однако сейчас он используется для поддержки не только жестких дисков, но и многих других устройств, например накопителей на магнитной ленте, CD/DVD-ROM, дисководов Zip и др.

Эти устройства должны быть документированы, как:

¾      IDE

¾      ATA

¾      ATAPI

¾      Enhanced IDE (EIDE)

¾      Fast ATA, Fast ATA-2- это обобщенный термин, который может быть отнесен практически к любому жесткому диску со встроенным контроллером; названия ATA и Serial ATA относятся к определенным типам интерфейсов IDE. Поскольку АТА является наиболее распространенной формой IDE, эти термины довольно часто используются поочередно, что с технической точки зрения неправильно. То, что пользователи обычно называют IDE, правильнее называть интерфейсом ATA.

Физически интерфейс IDE реализован с помощью плоского 40-жильного кабеля, на котором могут быть разъемы для подключения одного или двух устройств. Общая длина кабеля не должна превышать 45 см, причем между разъемами должно быть расстояние не менее 15 сантиметров.

Существует три основные разновидности интерфейса IDE, рассчитанные на взаимодейст вие с тремя стандартными шинами:

¾      Serial AT Attachment (SATA);

¾      параллельный AT Attachment (ATA) IDE (16-разрядная шина ISA);

¾      XT IDE (8-разрядная шина ISA);

¾      MCA IDE (16-разрядная шина MCA).

В настоящее время из всех перечисленных типов используются только версии ATA. Уже появились более быстрые и мощные версии интерфейсов ATA и Serial ATA; в частности, улучшенные варианты ATA получили название ATA-2 и далее. Иногда эти версии называют также EIDE (Enhanced IDE), Fast-ATA, Ultra-ATA или Ultra-DMA. Несмотря на все возможности последней версии ATA-6, в целом интерфейс Serial ATA демонстрирует большую производительность и функциональность.

В большинстве новых компьютеров разъем ATA установлен непосредственно на систем ной плате. Если его нет, то для подключения к компьютеру накопителя ATA IDE можно использовать дополнительную плату адаптера. Обычно на такой переходной плате нет ничего, кроме двух разъемов (98-контактного печатного разъема шины и 40-контактного разъема IDE) и набора проводников. Эти платы не являются контроллерами, так как последние уже встроены в жесткие диски. Правда, на некоторых из них монтируются дополнительные устройства, например специализированная ROM BIOS или кэш-память.

В целях развития возможностей интерфейса IDE компанией Western Digital была предложена его расширенная спецификация Enhanced IDE (синонимы: E-IDE, Fast AТА, АТА-2 и Fast АТА-2), которая обрела затем статус американского стандарта ANSI под названием АТА-2. Она содержит ряд нововведений: поддержку IDE-накопителей емкостью свыше 504 Мбайт, поддержку в системе нескольких контроллеров IDE и подключение к одному контроллеру до четырех устройств, а также поддержку периферийных устройств, отличных от жестких дисков (приводов CD-ROM, CD-R и DVD-ROM, накопителей LS-120 и ZIP, магнитооптики, стримеров и тому подобное ). Расширение спецификации IDE для поддержки иных типов накопителей с интерфейсом IDE называют также ATAPI (АТА Packed Interface). В Enhanced IDE также введены элементы распараллеливания операций обмена и контроля за целостностью данных при передаче.

Для подключения жёстких дисков с интерфейсом PATA обычно используется 40-проводный кабель (именуемый также шлейфом). Каждый шлейф обычно имеет два или три разъёма, один из которых подключается к разъёму контроллера на материнской плате (в более старых компьютерах этот контроллер размещался на отдельной плате расширения), а один или два других подключаются к дискам. В один момент времени шлейф P-ATA передаёт 16 бит данных. Иногда встречаются шлейфы IDE, позволяющие подключение трёх дисков к одному IDE каналу, но в этом случае один из дисков работает в режиме read-only.

Долгое время шлейф ATA содержал 40 проводников, но с введением режима Ultra DMA/66 (UDMA4) появилась его 80-проводная версия. Все дополнительные проводники - это проводники заземления, чередующиеся с информационными проводниками. Такое чередование проводников уменьшает ёмкостную связь между ними, тем самым сокращая взаимные наводки. Ёмкостная связь является проблемой при высоких скоростях передачи, поэтому данное нововведение было необходимо для обеспечения нормальной работы установленной спецификацией UDMA4 скорости передачи 66 МБ/с (мегабайт в секунду). Более быстрые режимы UDMA5 и UDMA6 также требуют 80-проводного кабеля.

Хотя число проводников удвоилось, число контактов осталось прежним, как и внешний вид разъёмов. Внутренняя же разводка, конечно, другая. Разъёмы для 80-проводного кабеля должны присоединять большое число проводников заземления к небольшому числу контактов заземления, в то время как в 40-проводном кабеле проводники присоединяются каждый к своему контакту. У 80-проводных кабелей разъёмы обычно имеют различную расцветку (синий, серый и чёрный), в отличие от 40-проводных, где обычно все разъёмы одного цвета (чаще чёрные).

Стандарт ATA всегда устанавливал максимальную длину кабеля равной 46 см. Это ограничение затрудняет присоединение устройств в больших корпусах, или подключение нескольких приводов к одному компьютеру, и почти полностью исключает возможность использования дисков PATA в качестве внешних дисков. Хотя в продаже широко распространены кабели большей длины, следует иметь в виду, что они не соответствуют стандарту. То же самое можно сказать и по поводу «круглых» кабелей, которые также широко распространены. Стандарт ATA описывает только плоские кабели с конкретными характеристиками полного и ёмкостного сопротивлений. Это, конечно, не означает, что другие кабели не будут работать, но, в любом случае, к использованию нестандартных кабелей следует относиться с осторожностью.

Если к одному шлейфу подключены два устройства, одно из них обычно называется ведущим (англ. master), а другое ведомым (англ. slave). Обычно ведущее устройство идёт перед ведомым в списке дисков, перечисляемых BIOS’ом компьютера или операционной системы. В старых BIOS’ах (486 и раньше) диски часто неверно обозначались буквами: «C» для ведущего диска и «D» для ведомого.

Если на шлейфе только один привод, он в большинстве случаев должен быть сконфигурирован как ведущий. Некоторые диски (в частности, производства Western Digital) имеют специальную настройку, именуемую single (то есть «один диск на кабеле»). Впрочем, в большинстве случаев единственный привод на кабеле может работать и как ведомый (такое часто встречается при подключении CD-ROM’а на отдельный канал).

2.      Назначение, основные характеристики и параметры объекта


Стандарт EIDE (англ. Enhanced IDE - «расширенный IDE»), появившийся вслед за IDE, позволял использование приводов ёмкостью, превышающей 528 Мб (504 МиБ), вплоть до 8,4 Гб. Хотя эти аббревиатуры возникли как торговые, а не официальные названия стандарта, термины IDE и EIDE часто употребляются вместо термина ATA. После введения в 2003 году стандарта Serial ATA («последовательный ATA»), традиционный ATA стали именовать Parallel ATA, имея в виду способ передачи данных по параллельному 40- или 80-жильному кабелю.

Поначалу этот интерфейс использовался с жёсткими дисками, но затем стандарт был расширен для работы и с другими устройствами, в основном - использующими сменные носители. К числу таких устройств относятся приводы CD-ROM и DVD-ROM, ленточные накопители, а также дискеты большой ёмкости, такие, как ZIP и магнитооптические диски (LS-120/240). Кроме того, из файла конфигурации ядра FreeBSD можно сделать вывод, что на шину ATAPI подключали даже FDD (дискета). Этот расширенный стандарт получил название Advanced Technology Attachment Packet Interface (ATAPI), в связи с чем полное наименование стандарта выглядит как ATA/ATAPI.

Стандарты ATA позволили избавиться от несовместимости и различных проблем между дисководами IDE и шинами ISA/PCI. Спецификации ATA определяют сигналы выводов 40- контактного разъема, их функции и синхронизацию, стандарты кабеля и т.п. В следующем разделе приведены некоторые элементы и функции, определяемые спецификацией АТА. Разъем ввода-вывода ATA Чтобы правильно подключить 40/44-контактный разъем интерфейса ATA, его обычно (но не всегда) снабжают ключом. В данном случае ключом служит срез вывода 20, причем соответствующее отверстие в ответной части отсутствует. Всем изготовителям настоятельно рекомендуется использовать разъемы и кабели с ключами, поскольку при неправильном подключении кабеля IDE можно вывести из строя как контроллер, так и адаптер шины (и это действительно так, хотя при моих многочисленных ошибках дым из микросхем все-таки не шел).

Кроме основной 40-контактной части, которая практически не отличается от стандартного разъема ATA (за исключением уменьшенного рас стояния между выводами), существуют также дополнительные выводы питания и перемычек. Обычно для подключения к разъему используется 44-контактный кабель, передающий силовое напряжение питания и стандартные сигналы ATA. Статус жесткого диска определяется положением имеющейся на нем перемычки или переключателя: первичный (Master), вторичный (Slave) или выбор кабеля (Select Cable).

В стандарте ATA предусмотрен способ организации совместной работы двух последовательно подключенных жестких дисков. Статус жесткого диска (первичный или вторичный) определяется либо путем перестановки имеющейся в нем перемычки или переключателя (с обозначением Master для первичного и Slave для вторичного), либо подачей по одной из линий интерфейса управляющего сигнала CSEL (Cable SELect - выбор кабеля). При установке в системе только одного жесткого диска его контроллер реагирует на все команды, поступающие от компьютера. Если жестких дисков два (а следовательно, и два контроллера), то команды поступают на оба контроллера одновременно. Их надо настраивать так, чтобы каждый жесткий диск реагировал только на адресованные ему команды. Именно для этого и служит перемычка (переключатель) Master/Slave и управляющий сигнал CSEL.

Большинство накопителей IDE можно сконфигурировать следующим образом:

¾      первичный (один накопитель);

¾      первичный (два накопителя);

¾      вторичный (два накопителя);

¾      выбор кабеля.

Каждому из контроллеров двух жестких дисков необходимо сообщить его статус - первичный или вторичный. В большинстве новых накопителей используется только один переключатель (первичный/вторичный), а на некоторых еще и переключатель существования вторичного диска (slave present). Характеристики IDE интерфейса.

Таблица 1 - Характеристики IDE/ATA интерфейсов

Спецификация

АТА-1

АТА-2

АТА-3

ATA/ATAPI-4

ATA/ATAPI-5

ATA/ATAPI-6

ATA/ATAPI-7

Синонимы

АТА, IDE

EIDE, Fast АТА, Fast IDE, Ultra ATA

EIDE

АТА-4, UltraATA/33

АТА-5, UltraATA/66

АТА-6, Ultra ATA/100

АТА-7, Ultra ATA/133

Пропускная способность, Мбай/с

3.3-8.3

11.1-16.6

16

16.7-33.3

44.4-66.7

133-150

Количество соединений

2

2

2

2 на один кабель

2 на один кабель

2 на один кабель

1 на один кабель

Характеристики кабеля

40 контактов

40 контактов

40 контактов

40 контактов

40 контактов, 80-жильный

40 контактов, 80-жильный

7 контактов

Новые свойства


28-битовая адресация логических блоков (LBA)

S. M. A. R. T.

Интерфейс ATAPI, поддержка CD-ROM, стримеров и пр.

80-жильный кабель

48-битовая LBA

SATA 1.0, поддержка длинных логических / физических блоков

Максимальный размер диска

137 Гбайт (128 GiBi)





144 Пбайт (128 PiBi)


Контроль no CRC

Нет

Нет

Нет

Есть

Есть

Есть


Выпуск

1981

1994

1996

1997

1999

2000

2003


Изначально общеупотребительным способом передачи данных через интерфейс IDE/ATA был протокол, называемый Programmed I/O или PIO. Существует пять режимов PIO, различающихся максимальными скоростями пакетной передачи данных (burst transfer rates). Общеупотребительное английское название - PIO modes. Естественно, речь идет о внешней скорости передачи данных и определяет скорость интерфейса, а не диска. До появления режима DMA-33 максимальная скорость передачи данных у режимов PIO и DMA была одинаковой. Главным недостатком режимов PIO является то, что передачей данных управляет процессор, что существенно увеличивает его загрузку. Зато эти режимы не требуют специальных драйверов и идеально подходят для однозадачных операционных систем.

Таблица 2 - скорость передачи данных для интерфейса

Максимально возможная скорость передачи данных для интерфейса IDE(он же ATA)

single word DMA 0

2.1 MByte/s

PIO mode 0

3.3 Mbyte/s

single word DMA 1, multi word DMA 0

4.2 MByte/s

PIO mode 1

5.2 MByte/s

Максимально возможная скорость передачи данных для интерфейса EIDE(он же ATA-2)

PIO mode 3

11.1 MB/s

multi word DMA 1

13.3 MB/s

Максимально возможная скорость передачи данных для интерфейса Ultra-ATA (он же ATA-3)(он же Ultra DMA/33)

multi word DMA 2

33.3 MB/s

Максимально возможная скорость передачи данных для интерфейса Ultra-ATA/66 (он же ATA-4)(он же UltraDMA/66)

multi word DMA 2

66.6 MB/s


Реально максимальная скорость передачи данных для любого диска не превышает 10 MB/s, так как механические характеристики диска обойти невозможно. Большие значения скоростей относятся к работе с внутренним кэшем жесткого диска.

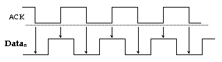
3.      Временные диаграммы


Схемы временных диаграмм интерфейсов выглядят следующим образом

Рисунок 1 - Схемы временных диаграмм, (а - АТА 2 и АТА 3; б - Ultra АТА; в - Ultra АТА/66.)

В спецификацию интерфейса Enhanced IDE добавлена поддержка режимов PIO Mode 3 и 4, а также режимы DMA Single Word Mode 2 и Multi Word DMA Mode 1 и 2. Максимальная скорость передачи данных по шине в режиме РIO Mode 3 составляет 4.1 Мбайт/с, а в режимах РIO Mode 4 и Single Word DMA Mode 2 - 16.7 Мбайт/с. Режим Multi Word DMA Mode 2 позволяет получить пиковую скорость обмена свыше 20 Мбайт/с.

Следующим шагом в развитии интерфейса IDE/ATA явился стандарт Ultra АТА (он же Ultra DMA, АТА-33, DMA-33, АТА-3). Ultra АТА является стандартом де-факто использования быстрого Режима DMA - mode 3, обеспечивающего скорость передачи данных 33.3 Мбайт/с. Для обеспечения надежной передачи данных по все тому же кабелю используются специальные схемы контроля и коррекции ошибок, при этом сохраняется обратная совместимость с предыдущими стандартами - АТА и АТА-2.

Рисунок 2 - Временные диаграммы циклов обмена на шине IDE

Основной недостаток интерфейса EIDE - отсутствие "интеллекта". Если на одном канале подключены жесткий диск и накопитель CD-ROM, то в случае обращения к CD-ROM процессор будет ожидать завершения операций с CD-ROM, прежде чем сможет обратиться к жесткому диску. Поэтому очевидно, что нельзя к одному каналу EIDE подключать быстрое и медленное устройство одновременно. CD-ROM всегда следует подключать только ко второму каналу. Каналы EIDE в современных контроллерах EIDE, как правило, достаточно независимы друг от друга.

Для повышения производительности EIDE были разработаны и стандартизованы режимы PIO (Programming Input Output - программируемый ввод/вывод), single word DMA (обмен одиночными словами в режиме DMA - Direct Memory Access - прямого доступа к памяти) и multi word DMA (обмен несколькими словами в режиме DMA).интерфейс имеет несколько разновидностей, которые совместимы друг с другом (достаточно иметь пассивные переходники). 8 бит (50-ти контактный разъем) или 16 бит (68-и контактный разъем для Wide SCSI). Частота шины может быть 5 MHz (SCSI 1), 10 MHz (Fast SCSI), 20 MHz (Fast-20 or Ultra SCSI) or 40 MHz (Ultra-2 SCSI). Сейчас стал активно внедряться стандарт Ultra2 SCSI LVD, являющийся разновидностью Ultra2 SCSI. Полное название стандарта - Ultra2 SCSI (LVD) Low Voltage Differential Parallel SCSI Interface, т.е. низковольтный дифференциальный параллельный SCSI интерфейс. Этот вариант SCSI существенно отличается от всех своих предшественников по двум параметрам:

¾      Скорость передачи увеличена до 80 MB/s

¾      Максимальная длина соединительного кабеля может достигать 12 метров

Кроме этого, к одному шлейфу можно подключить до 15 устройств. Обратная совместимость, как это принято для SCSI устройств, также выдерживается и устройство с Ultra2 SCSI LVD можно подключить к обычному контроллеру SCSI. С этим интерфейсом выпускаются только жесткие диски в вариантах с 68-контактным разъемом (Wide) и SCA.

Но и скорость в 80 MB/s, как оказалось, не является предельной на сегодняшний день. Уже начинает внедряться производителями, как контроллеров, так и жестких дисков следующий вариант SCSI, называемый официально как SPI-3 (SCSI Parallel Interface - 3), неофициально Ultra160/m SCSI. Он разработан на базе Ultra2 SCSI LVD и отличается удвоенной скоростью передачи данных. Каким образом это достигнуто, видно из схематичной временной диаграммы.

Рисунок 3 - Временная диаграмма скорости передачи данных

4.      Схема устройства накопителя на жёстких магнитных дисках


Жёсткий диск состоит из гермозоны и блока электроники.

Гермозона включает в себя корпус из прочного сплава, собственно диски (пластины) с магнитным покрытием, блок головок с устройством позиционирования, электропривод шпинделя.

Блок головок - пакет рычагов из пружинистой стали (по паре на каждый диск). Одним концом они закреплены на оси рядом с краем диска. На других концах (над дисками) закреплены головки.

Диски (пластины), как правило, изготовлены из металлического сплава. Хотя были попытки делать их из пластика и даже стекла, но такие пластины оказались хрупкими и недолговечными. Обе плоскости пластин, подобно магнитофонной ленте, покрыты тончайшей пылью ферромагнетика - окислов железа, марганца и других металлов. Точный состав и технология нанесения держатся в секрете. Большинство бюджетных устройств содержит 1 или 2 пластины, но существуют модели с большим числом пластин.

Диски жёстко закреплены на шпинделе. Во время работы шпиндель вращается со скоростью несколько тысяч оборотов в минуту (3600, 4200, 5000, 5400, 5900, 7200, 9600, 10 000, 12 000, 15 000). При такой скорости вблизи поверхности пластины создаётся мощный воздушный поток, который приподнимает головки и заставляет их парить над поверхностью пластины. Форма головок рассчитывается так, чтобы при работе обеспечить оптимальное расстояние от пластины. Пока диски не разогнались до скорости, необходимой для «взлёта» головок, парковочное устройство удерживает головки в зоне парковки. Это предотвращает повреждение головок и рабочей поверхности пластин. Шпиндельный двигатель жёсткого диска трехфазный, что обеспечивает стабильность вращения магнитных дисков, смонтированных на оси (шпинделе) двигателя. Статор двигателя содержит три обмотки, включенные звездой с отводом посередине, а ротор - постоянный секционный магнит. Для обеспечения малого биения на высоких оборотах в двигателе используются гидродинамические подшипники.

Устройство позиционирования головок состоит из неподвижной пары сильных неодимовых постоянных магнитов, а также катушки на подвижном блоке головок. Вопреки расхожему мнению, в подавляющем большинстве устройств внутри гермозоны нет вакуума. Одни производители делают её герметичной (отсюда и название) и заполняют очищенным и осушенным воздухом или нейтральными газами, в частности, азотом; а для выравнивания давления устанавливают тонкую металлическую или пластиковую мембрану. (В таком случае внутри корпуса жёсткого диска предусматривается маленький карман для пакетика силикагеля, который абсорбирует водяные пары, оставшиеся внутри корпуса после его герметизации). Другие производители выравнивают давление через небольшое отверстие с фильтром, способным задерживать очень мелкие (несколько микрометров) частицы. Однако в этом случае выравнивается и влажность, а также могут проникнуть вредные газы. Выравнивание давления необходимо, чтобы предотвратить деформацию корпуса гермозоны при перепадах атмосферного давления (например, в самолёте) и температуры, а также при прогреве устройства во время работы.

Пылинки, оказавшиеся при сборке в гермозоне и попавшие на поверхность диска, при вращении сносятся на ещё один фильтр - пылеуловитель.

В ранних жёстких дисках управляющая логика была вынесена на MFM или RLL контроллер компьютера, а плата электроники содержала только модули аналоговой обработки и управления шпиндельным двигателем, позиционером и коммутатором головок. Увеличение скоростей передачи данных вынудило разработчиков уменьшить до предела длину аналогового тракта, и в современных жёстких дисках блок электроники обычно содержит: управляющий блок, постоянное запоминающее устройство (ПЗУ), буферную память, интерфейсный блок и блок цифровой обработки сигнала.

Интерфейсный блок обеспечивает сопряжение электроники жёсткого диска с остальной системой.

Блок управления представляет собой систему управления, принимающую электрические сигналы позиционирования головок, и вырабатывающую управляющие воздействия приводом типа «звуковая катушка», коммутации информационных потоков с различных головок, управления работой всех остальных узлов (к примеру, управление скоростью вращения шпинделя), приёма и обработки сигналов с датчиков устройства (система датчиков может включать в себя одноосный акселерометр, используемый в качестве датчика удара, трёхосный акселерометр, используемый в качестве датчика свободного падения, датчик давления, датчик угловых ускорений, датчик температуры).

Блок ПЗУ хранит управляющие программы для блоков управления и цифровой обработки сигнала, а также служебную информацию винчестера.

Буферная память сглаживает разницу скоростей интерфейсной части и накопителя (используется быстродействующая статическая память). Увеличение размера буферной памяти в некоторых случаях позволяет увеличить скорость работы накопителя.

Блок цифровой обработки сигнала осуществляет очистку считанного аналогового сигнала и его декодирование (извлечение цифровой информации). Для цифровой обработки применяются различные методы, например, метод PRML (Partial Response Maximum Likelihood - максимальное правдоподобие при неполном отклике). Осуществляется сравнение принятого сигнала с образцами. При этом выбирается образец, наиболее похожий по форме и временным характеристикам с декодируемым сигналом.

жесткий магнитный диск загрузочный

5.      Главная загрузочная запись (master boot record, MBR)


В конце начальной загрузки ROM BIOS считывается и выполняется первый физический сектор гибкого или жесткого диска. Первый сектор жесткого диска называется основной загрузочной записью (иногда употребляют термины «таблица разделов» и «основной загрузочный блок»). В начале этого сектора жесткого диска содержится небольшая программа. Сведения о разделах (таблица разделов) расположены в конце сектора. Программа использует сведения о разделах для определения загрузочного раздела (как правило, это основной раздел DOS) и пытается загрузить из него операционную систему.

Эта программа записывается на диск с помощью команды fdisk /mbr и называется основной загрузочной записью. Обычно программа Fdisk записывает ее на диск только в том случае, если основная загрузочная запись отсутствует.

Главная загрузочная запись (англ. master boot record, MBR) - это код и данные, необходимые для загрузки операционной системы (ОС), расположенные занимает первый сектор жёсткого диска для запуска процедуры загрузки Windows. Она содержит таблицу разделов диска (partition table) и небольшую программу, именуемую «первичный загрузчик» (master boot record), ответственную за размещение активного или загрузочного сектора в таблице разделов. После размещения в таблице загрузочный сектор начинает запуск Windows. Если главная загрузочная запись повреждена, активный сектор не сможет запустить систему.

Цель MBR - ещё не загрузка ОС, а всего лишь выбор, «с какого раздела жёсткого диска следует загружать ОС». На стадии MBR происходит выбор раздела диска и ничего более. Загрузка самой ОС происходит на более поздних этапах.

В процессе запуска компьютера после окончания начального теста (Power On Self Test, POST) MBR загружается базовой системой ввода-вывода (BIOS) в оперативную память (в компьютерах архитектуры IBM PC обычно с адреса 0000:7c00) и передаётся управление находящемуся в MBR загрузочному коду (обычно командой long jump).

6.      Технологии записи данных


Принцип работы жёстких дисков похож на работу магнитофонов. Рабочая поверхность диска движется относительно считывающей головки (например, в виде катушки индуктивности с зазором в магнитопроводе). При подаче переменного электрического тока (при записи) на катушку головки, возникающее переменное магнитное поле из зазора головки воздействует на ферромагнетик поверхности диска и изменяет направление вектора намагниченности доменов в зависимости от величины сигнала. При считывании перемещение доменов у зазора головки приводит к изменению магнитного потока в магнитопроводе головки, что приводит к возникновению переменного электрического сигнала в катушке из-за эффекта электромагнитной индукции.

В последнее время для считывания применяют магниторезистивный эффект и используют в дисках магниторезистивные головки. В них изменение магнитного поля приводит к изменению сопротивления, в зависимости от изменения напряженности магнитного поля. Подобные головки позволяют увеличить вероятность достоверности считывания информации (особенно при больших плотностях записи информации).

Метод продольной записи

Биты информации записываются с помощью маленькой головки, которая, проходя над поверхностью вращающегося диска, намагничивает миллиарды горизонтальных дискретных областей - доменов. При этом вектор намагниченности домена расположен продольно, т.е. параллельно поверхности диска. Каждая из этих областей является логическим нулём или единицей, в зависимости от намагниченности.

Максимально достижимая при использовании данного метода плотность записи составляет около 23 Гбит/см². В настоящее время происходит постепенное вытеснение данного метода методом перпендикулярной записи.

Метод перпендикулярной записи

Метод перпендикулярной записи - это технология, при которой биты информации сохраняются в вертикальных доменах. Это позволяет использовать более сильные магнитные поля и снизить площадь материала, необходимую для записи 1 бита. Плотность записи у современныхобразцов - 60 Гбит/см².

Жёсткие диски с перпендикулярной записью доступны на рынке с 2005 года.

Метод тепловой магнитной записи

Метод тепловой магнитной записи (англ. Heat-assisted magnetic recording, HAMR) на данный момент самый перспективный из существующих, сейчас он активно разрабатывается. При использовании этого метода используется точечный подогрев диска, который позволяет головке намагничивать очень мелкие области его поверхности. После того, как диск охлаждается, намагниченность «закрепляется». На рынке ЖД данного типа пока не представлены (на 2009 год), есть лишь экспериментальные образцы, плотность записи которых 150 Гбит/см².[18] Разработка HAMR-технологий ведется уже довольно давно, однако эксперты до сих пор расходятся в оценках максимальной плотности записи. Так, компания Hitachi называет предел в 2,3−3,1 Тбит/см², а представители Seagate Technology предполагают, что они смогут довести плотность записи HAMR-носителей до 7,75 Тбит/см².[19] Широкого распространения данной технологии следует ожидать в 2011-2012 годах.

7.      Геометрия магнитного диска


С целью адресации пространства поверхности пластин диска делятся на дорожки - концентрические кольцевые области. Каждая дорожка делится на равные отрезки - секторы. Адресация CHS предполагает, что все дорожки в заданной зоне диска имеют одинаковое число секторов.

Цилиндр - совокупность дорожек, равноотстоящих от центра, на всех рабочих поверхностях пластин жёсткого диска. Номер головки задает используемую рабочую поверхность (то есть конкретную дорожку из цилиндра), а номер сектора - конкретный сектор на дорожке.

Чтобы использовать адресацию CHS, необходимо знать геометрию используемого диска: общее количество цилиндров, головок и секторов в нем. Первоначально эту информацию требовалось задавать вручную; в стандарте ATA-1 была введена функция автоопределения геометрии (команда Identify Drive).

Особенности геометрии жёстких дисков со встроенными контроллерами

Зонирование

На пластинах современных «винчестеров» дорожки сгруппированы в несколько зон (англ. Zoned Recording). Все дорожки одной зоны имеют одинаковое количество секторов. Однако, на дорожках внешних зон секторов больше, чем на дорожках внутренних. Это позволяет, используя бо́льшую длину внешних дорожек, добиться более равномерной плотности записи, увеличивая ёмкость пластины при той же технологии производства.

Резервные секторы

Для увеличения срока службы диска на каждой дорожке могут присутствовать дополнительные резервные секторы. Если в каком либо секторе возникает неисправимая ошибка, то этот сектор может быть подменён резервным (англ. remapping). Данные, хранившиеся в нём, при этом могут быть потеряны или восстановлены при помощи ECC, а ёмкость диска останется прежней. Существует две таблицы переназначения: одна заполняется на заводе, другая - в процессе эксплуатации. Границы зон, количество секторов на дорожку для каждой зоны и таблицы переназначения секторов хранятся в ЗУ блока электроники.

Логическая геометрия

По мере роста емкости выпускаемых жёстких дисков их физическая геометрия перестала вписываться в ограничения, накладываемые программными и аппаратными интерфейсами (см.: Барьеры размеров жёстких дисков). Кроме того, дорожки с различным количеством секторов несовместимы со способом адресации CHS. В результате контроллеры дисков стали сообщать не реальную, а фиктивную, логическую геометрию, вписывающуюся в ограничения интерфейсов, но не соответствующую реальности. Так, максимальные номера секторов и головок для большинства моделей берутся 63 и 255 (максимально возможные значения в функциях прерывания BIOS INT 13h), а число цилиндров подбирается соответственно ёмкости диска. Сама же физическая геометрия диска не может быть получена в штатном режиме работы[13] и другим частям системы неизвестна.

Рисунок 4 - Диаграмма цилиндров, дорожек и секторов на жестком диске.

8.      Адресация данных


Минимальной адресуемой областью данных на жёстком диске является сектор. Размер сектора традиционно равен 512 байт.[14] В 2006 году IDEMA объявила о переходе на размер сектора 4096 байт, который планируется завершить к 2010 году[15]. Western Digitals уже сообщил о начале использования новой технологии форматирования, названой Advanced Format, и выпустил накопитель (WD10EARS-00Y5B1) использующий новую технологию.

В окончательной версии Windows Vista, вышедшей в 2007 году, присутствует ограниченная поддержка дисков с таким размером сектора.

Существует 2 основных способа адресации секторов на диске: цилиндр-головка-сектор (англ. cylinder-head-sector, CHS) и линейная адресация блоков (англ. linear block addressing, LBA).

CHS

При этом способе сектор адресуется по его физическому положению на диске 3 координатами - номером цилиндра, номером головки и номером сектора. В современных[когда?] дисках со встроенными контроллерами эти координаты уже не соответствуют физическому положению сектора на диске и являются «логическими координатами» (см. выше).

LBA

При этом способе адрес блоков данных на носителе задаётся с помощью логического линейного адреса. LBA-адресация начала внедряться и использоваться в 1994 году совместно со стандартом EIDE (Extended IDE). Стандарты ATA требуют однозначного соответствия между режимами CHS и LBA:

LBA = [ (Cylinder * no of heads + heads) * sectors/track ] + (Sector-1)

Метод LBA соответствует Sector Mapping для SCSI. BIOS SCSI-контроллера выполняет эти задачи автоматически, то есть для SCSI-интерфейса метод логической адресации был характерен изначально.

9.      Современные технологии проектирования и производства


К данному моменту времени производство и разработка интерфейса IDE сошло или сходит на нет, ввиду замен его более современными видами интерфейсов. Например SATA (Serial ATA) - последовательный интерфейс обмена данными с накопителями информации. SATA является развитием параллельного интерфейса ATA (IDE), который после появления SATA был переименован в PATA (Parallel ATA).

Данный интерфейс наиболее популярен для современных жестких дисков и оптических приводов домашнего использования. Обеспечивает высокую скорость передачи данных. Также этот интерфейс применяется при подключении внутренних жестких дисков к мультимедиа проигрывателям.

SATA использует 7-контактный разъём вместо 40-контактного разъёма у PATA. SATA-кабель имеет меньшую площадь, за счёт чего уменьшается сопротивление воздуху, обдувающему комплектующие компьютера, упрощается разводка проводов внутри системного блока.

SATA-кабель за счёт своей формы более устойчив к многократному подключению. Питающий шнур SATA также разработан с учётом многократных подключений. Разъём питания SATA подаёт 3 напряжения питания: +12 В, +5 В и +3,3 В; однако современные устройства могут работать без напряжения +3,3 В, что даёт возможность использовать пассивный переходник со стандартного разъёма питания IDE на SATA. Ряд SATA-устройств поставляется с двумя разъёмами питания: SATA и Molex.

Стандарт SATA отказался от традиционного для PATA подключения по два устройства на шлейф; каждому устройству полагается отдельный кабель, что снимает проблему невозможности одновременной работы устройств, находящихся на одном кабеле (и возникавших отсюда задержек), уменьшает возможные проблемы при сборке (проблема конфликта Slave/Master устройств для SATA отсутствует), устраняет возможность ошибок при использовании нетерминированных PATA-шлейфов.

Стандарт SATA поддерживает функцию очереди команд (NCQ, начиная с SATA Revision 2.x).

Стандарт SATA не предусматривает горячую замену активного устройства (используемого Операционной Системой) (вплоть до SATA Revision 3.x), дополнительно подключенные диски отключать можно постепенно - питание, шлейф, а подключать в обратном порядке - шлейф, питание. После отключения\подключения диска нужно в диспетчере устройств обновить конфигурацию.

SATA Revision 3.x (до 6 Гбит/с)

Спецификация SATA Revision 3.0 предусматривает возможность передачи данных на скорости до 6 Гбит/с (практически до 4,8 Гбит/с - 600 МБ/с). В числе улучшений SATA Revision 3.0 по сравнению с предыдущей версией спецификации, помимо более высокой скорости, можно отметить улучшенное управление питанием. Также будет сохранена совместимость, как на уровне разъёмов и кабелей SATA, так и на уровне протоколов обмена. Кстати, консорциум SATA-IO предостерегает от применения для обозначения поколений SATA доморощенных терминов вроде SATA III, SATA 3.0 или SATA Gen 3. Полное правильное название спецификации - SATA Revision 3.0; название интерфейса - SATA 6Gb/s

10.    Обзор рынка


Винчестеры с интерфейсом IDE

Винчестеры Seagate. Фирма Seagate в своих новых моделях впервые применила жидкостные подшипники, благодаря чему и подняла скорость вращения шпинделя до 7200 об/мин. Но, к сожалению, последние модели, выпускаемые фирмой Seagate, не отличаются надежностью, хотя и считаются одними из самых быстрых и довольно тихих.

¾      защиту от статического электричества (состоит из пластины, защищающей плату винчестера);

¾      систему слежения за изменениями и исправления мелких ошибок и сбоев.

Винчестеры Barracuda ATA II (еще одна лидирующая серия) стали лучшими. Скорость вращения шпинделя у них составляет 7200 об/мин, а плотность записи 250Гб на пластину. Производители дают этой серии не только гарантированную работоспособность, но и надежность.

Компания Seagate официально представила новую серию жестких дисков бизнес-класса, получившую название Cheetah. Доступны винчестеры следующего объема: 300 ГБ, 450 ГБ, 600 ГБ.

Скорость вращения шпинделя жестких дисков Seagate Cheetah составляет 15000 оборотов в минуту. Они имеют 16 МБ DRAM кеша и два интерфейса на выбор - 4Gbps Fiber Channel или 6Gbps SAS 2.0.

Гарантированное время работы (MTBF) винчестеров Seagate Cheetah составляет 1,6 миллиона часов.

Винчестеры Western Digital

У фирмы Western Digital были и падения, и взлеты, что также сказывалось и на их продукции. Но в итоге винчестеры IDE, работающие на частотном диапазоне от 83 до 133 МГц, заняли достойное место на рынке.

Например, возьмем винчестеры серии Western Digital Caviar, которые в свое время были лучшими. С технической стороны здесь все довольно просто - скорость вращения шпинделя 5400 об/мин, головки магнито-резиновые и интерфейс АТА-66. Но особенностью является система Data Lifeguard. Это система защиты информации от сбоев. Винчестеры этой серии могут быть прекрасным решением для компьютеров начального и среднего уровня.

Компания Western Digital собирается выпустить новый жесткий диск емкостью в 1 Терабайт с плотностью записи 334Гб на одной пластине. Но, уже почти год назад, южнокорейская корпорация Samsung добилась такого же результата.

Когда производители жестких дисков (HDD) пытаются достигнуть все большей плотности записи, от этого выигрывают все вокруг: чем выше плотность записи на пластину - тем меньше жестких дисков необходимо, чтобы достигнуть одинакового объема. А это, в свою очередь означает, что HDD потребляет меньше энергии, и меньше движущихся элементов приводиться в действие для выполнения дисковых операций.Digital потихоньку обновляет свою линейку HDD Caviar GP, дополнив её экземпляром с плотностью записи в 334Гб и емкостью в 1ТВ. Но эти HDD все также будут оснащаться кэш памятью в 16Мб.

Но Western Digital не единственная компания, которая работает над тем, чтобы уместить 334Гб на одной пластине. На этой неделе корпорация Samsung анонсировала новый 1ТВ HDD EcoGreen, который нацелен на аудио-видео приложения, и использует пластины с емкостью в 334Гб. Samsung утверждает, что его диск EcoGreen F1 обеспечивает на 15% меньшее энергопотребление в сравнении с другими энергосберегающими жесткими дисками, и на 50% - по сравнению с традиционными 1TB жесткими дисками, с частотой оборотов шпинделя 7200rpm. Samsung EcoGreen F1 вращается со скоростью 5400rpm, и использует 3Гб/с SATA2 интерфейс. Его цена равняется $199.

В январе 2008 года Western Digital представила 320Гб HDD с одной пластиной, который имел самую высокую плотность, по сравнению с другими HDD компании. Но Samsung запустил в продажу свой 1ТВ HDD с плотностью в 334Гб на пластину еще июне 2007 года.

Список литературы


1.      <http://ru.wikipedia.org/wiki/ATA> - Интерфейс ATA

.        <http://citforum.ru/hardware/bookide/> - Интерфейс IDE

.        А. К. Гультяев. Восстановление данных. Питер, 2006 г., 352с. (83 с.)

.        Кристофер Негус. Linux. Библия пользователя, 5-е издание. Диалектика, 2006г., 700с. (259с.)

.        <http://msdn.microsoft.com/ru-ru/default> - разделы для разработчиков, для подписчиков.

.        <http://akina.hop.ru/mbr.php3> - Главная Загрузочная Запись - Master Boot Record (MBR)

.        Смирнов Ю. К. - Секреты эксплуатации жестких дисков ПК, BHV - Санкт-Петербург, 2006г.,

.        <http://www.ixbt.com/storage/ide.html> -Интерфейс IDE

Похожие работы на - Внутренние интерфейсы IDE и их разновидности

 

Не нашли материал для своей работы?
Поможем написать уникальную работу
Без плагиата!
Без нейросетей!