Проектирование процесса производства фанеры

  • Вид работы:
    Дипломная (ВКР)
  • Предмет:
    Другое
  • Язык:
    Русский
    ,
    Формат файла:
    MS Word
    522,73 kb
  • Опубликовано:
    2011-05-08
Вы можете узнать стоимость помощи в написании студенческой работы.
Помощь в написании работы, которую точно примут!

Проектирование процесса производства фанеры

Содержание

1 ТЕХНИЧЕСКОЕ ЗАДАНИЕ

.1 Наименование и основание для выполнения работы

.2 Цель, наименование и назначение изделия

.3 Состав изделия

.4 Технические требования к изделию

.4.1 Требования по назначению

.4.2 Требования по живучести и стойкости к внешним воздействиям

.4.3 Требования по технической эстетике

.4.4 Требования по эксплуатации, удобству технического обслуживания, ремонта и хранения

.4.5 Требования по транспортабельности

.4.6 Требования по стандартизации и унификации

.4.7 Требования по технологичности

.4.8 Конструктивные требования

.5 Технико-экономические требования

.6 Метрологическое обеспечение

.7 Требования к сырью, материалам, полуфабрикатам и деталям

.8 Требования к консервации; упаковке и маркировке

.9 Этапы выполнения работы

.10 Порядок выполнения и приемки этапов работы

ТЕХНОЛОГИЧЕСКАЯ СХЕМА ПРОИЗВОДСТВА ФАНЕРЫ

.1 Описание технологической схемы производства фанеры

.1.1 Выгрузка, расчет штабелей, складирование

.1.2 Разделка и окорка сырья

.1.3 Тепловая обработка пропариванием

.1.4 Лущение шпона

.1.5 Рубка шпона

.1.6 Сушка шпона

.1.7 Выгрузка шпона

.1.8 Сортировка шпона

.1.9 Починка шпона

.1.10 Нанесение клея

.1.11 Подпрессовка и горячее прессование фанеры

.1.12 Разрез фанеры по формату 1525х1525

.1.13 Шлифование фанеры

.1.13 Сортировка

.1.14 Упаковка

.2 Охрана труда при производстве фанеры

ВЫБОР И РАСЧЕТЫ ОБОРУДОВАНИЯ И МАТЕРИАЛЬНОГО БАЛАНСА

.1 Материальный баланс производства фанеры

.2 Расчет процесса горячего прессования фанеры

.3 Расчет основного оборудования

ВЫБОР КРИТЕРИЕВ И МЕТОДЫ ОЦЕНКИ КАЧЕСТВА ФАНЕРЫ

.1 Контроль качества фанеры

.1.1 Контроль размеров и прямолинейности

.1.2 Контроль влажности фанеры

.1.3 Контроль предела прочности при скалывании по клеевому слою

.1.4 Контроль предела прочности при статическом изгибе вдоль волокон по ГОСТ 9625-87

.1.5 Контроль предела прочности при растяжении вдоль волокон по ГОСТ 9622-87

.1.6 Контроль шероховатости по ГОСТ 15612-85

.1.7 Контроль внешнего вида по ГОСТ 30427

АВТОМАТИЗАЦИЯ ТЕХНОЛОГИЧЕСКОГО ПРОЦЕССА ПРОИЗВОДСТВА ФАНЕРЫ

.1 Основные характеристики автоматизации

.2 Требования к АСУ

ПРОЕКТ ЦЕХА ПО ПРОИЗВОДСТВУ ФАНЕРЫ И ГЕНЕРАЛЬНЫЙ ПЛАН ПРЕДПРИЯТИЯ

.1 Цех по производству фанеры

.2 Генеральный план предприятия по производству фанеры

Приложение 1

1 ТЕХНИЧЕСКОЕ ЗАДАНИЕ

 

1.1 Наименование и основание для выполнения работы


Наименование: Фанера ФК 1525x1525 10mm I/II Ш2 Е1 ГОСТ 3916.1-96

( Фанера размером 1525х1525mm толщиной 10mm сорт лицевого слоя I, сорт оборотного слоя II, шлифованная с двух сторон класс эмиссии Е1).

Основание для выполнения работы: задание преподавателя кафедры ХТГС Богатеева Г.Г.

 

1.2 Цель, наименование и назначение изделия


Цель: Освоить основы проектирования технологического процесса и научиться применять их на практике.

Наименование: Фанера ФК 1525x1525 10mm I/II Ш2 Е1 ГОСТ 3916.1-96

( Фанера размером 1525х1525mm толщиной 10mm сорт лицевого слоя I, сорт оборотного слоя II, шлифованная с двух сторон класс эмиссии Е1).

Назначение изделия: Фанера ФК 1525x1525 10mm I/II Ш2 Е1 ГОСТ 3916.1-96 (далее фанера ФК 10 mm) широко применяется в быту, на мебельном производстве, как упаковка, в строительстве для устройства полов. Имея легкий вес, фанера достаточно прочна, что позволяет использовать ее в разных целях. Фанера ФК - является влагостойкой фанерой, не стоит путать ее с водостойкой, поэтому применяется в основном для внутренних работ, например при укладке паркета, производстве мебели и другом бытовом применении. Фанера ФК состоит из склеенных между собой листов, различных пород дерева. Оценивают фанеру по лицевому слою, причем береза считается благородным деревом. Хвойные породы тяжелее и массивнее, но меньше поддаются коррозии. Поэтому при выборе фанеры необходимо учитывать условия, в которых будет она использована. Также фанеру ФК используют в судостроении и автомобилестроении, но с обязательным покрытием. Слои фанеры ФК склеены карбамидоформальдегидными смолами, что означает содержание свободного формальдегида. Фанера ФК 1525x1525 10mm экологически безопасна, без запаха.

 

1.3 Состав изделия


Состав фанеры березовой ФК 1525x1525 10mm I/II Ш2 Е1 ГОСТ 3916.1-96 указан в таблице 1.

Таблица 1-Состав фанеры

Компонент

Кол-во

%

1 лущенный березовый шпон 2мм, m3

0,21551

80

2 фенолформальдегидная смола СФЖ-3011, кг

57,1128

20


При изготовлении фанеры ФК 10mm используется исключительно лущеный шпон с тангентальной структурой. Такой шпон получают путём срезания вкруговую тонкого слоя древесины с вращающегося полена-чурака, лишённого коры и прошедшего предварительную термообработку. Отдельные слои шпона укладываются и склеиваются таким образом, чтобы направление волокон симметричных слоев было под одинаковым углом относительно центрального слоя, либо сердцевины, которая может быть более толстым листом шпона или изготовлена из другого материала. Таким образом, количество слоёв в одном листе обычно нечётное и может колебаться от 3 до 23. В редких случаях оно является чётным; при этом два средних слоя должны иметь параллельное направление волокон. Также выпускается и однонаправленная фанера, при производстве которой все слои шпона, в т. ч. и сердцевина, располагаются в одном направлении.

Основными типоразмерами фанеры ФК являются размеры 1525х1525, 1220х1525, 1270х1525 миллиметров. Фанера ФК большого формата выпускается редко. Фанера ФК 10 мм состоит из 4 слоев лущеного березового шпона между которыми находится связующее - фенолформальдегидная смола СФЖ-3011. Шпон является наполнителем и воспринимает все основные нагрузки, перпендикулярная укладка шпона обеспечивает более высокую прочность фанеры. Фенолформальдегидная смола СФЖ-3011, распределяет действующие напряжения по всей площади фанеры.

 

1.4 Технические требования к изделию


Технические требования к фанере ФК 1525x1525 10mm устанавливаются ГОСТ 3916.1-96.

 

1.4.1 Требования по назначению

Фанера ФК предназначена для отделочных работ в строительстве, производства мебели и для изготовления тары в промышленности поэтому должна обладать:

небольшим весом при достаточной прочности;

красивой текстурой;

влагостойкостью;

износостойкостью;

лёгкостью монтажа;

простотой обработки;

Также должна быть нетоксична.

 

1.4.2 Требования по живучести и стойкости к внешним воздействиям

Физико-механические показатели фанеры ФК 10mm указаны в таблице 2.

Таблица 2- Физико-механические показатели фанеры

Наименование показателя

Толщина, мм

Значение физико-механических показателей для фанеры с внутренними слоями из березового шпона

1. Влажность, %

10

5-10

2. Предел прочности при скалывании по клеевому слою, МПа, не менее:

 

 

после кипячения в воде в течении 1 ч

10

1,5

после вымачивания в воде в течение 24 ч

10

1,5

3. предел прочности при статическом изгибе вдоль волокон наружных слоев, МПа, не менее

 10

55

4. Предел прочности при растяжении вдоль волокон, МПа, не менее

  10

30,0


1.4.3 Требования по технической эстетике

Фанера ФК должна иметь:

·             красивую структуру древесины;

·             гладкую поверхность благодаря высокому качеству шлифовки;

·             большой формат и исключительную прочность листов;

·             простоту обработки;

·             возможность комбинирования с другими строительными материалами.

1.4.4 Требования по эксплуатации, удобству технического обслуживания, ремонта и хранения

В ходе эксплуатации фанера ФК должна иметь физико-механические показатели не ниже указанных в таблице 2. Техническому обслуживанию и ремонту фанера не подлежит. Хранение необходимо производить в вентилируемых помещениях при температуре не ниже 5 Со и не выше 25 Со при относительной влажности не более 75%.

1.4.5 Требования по транспортабельности

Фанера должна быть сформирована в пакеты массой не более 1500 кг отдельно по породам, маркам, сортам, классу эмиссии, видам обработки поверхности и размерам. По согласованию фанеру можно упаковывать в пакеты другой массы в соответствии с условиями договора (контракта).

1.4.6 Требования по стандартизации и унификации

Размеры и толщина фанеры должны соответствовать заявленным и отвечать требованиям ГОСТ 3916.1-96.

1.4.7 Требования по технологичности

Производство фанеры не должно быть трудоемким, опасным и материально затратным.

1.4.8 Конструктивные требования

Размер фанерных листов должен составлять 1525 х 1525 мм, а толщина 10 мм. Наружные поверхности лицевой и оборотной стороны фанеры должны быть образованы лучшей по качеству стороной лущеного шпона. Во внутренних слоях фанеры допускаются пороки древесины и дефекты обработки, если они не оказывают влияние на эксплуатационные свойства фанеры (ГОСТ 30427-96).

1.5 Технико-экономические требования


Для того чтобы получить 100 шт. фанеры ФК 1525x1525 10mm необходимо:

шпона 2,1551 м3;

фенолформальдегидная смола СФЖ-3011 571,128 кг ;

Потери: до 2 м3 при окорке и распиловке на полена-чураки. До 1 м3 отходы, производственный брак.

Таблица 3 - Затраты на работу оборудования

Наименование оборудования

Кол-во, шт

марка

Обслуживание, чел

Энергозатраты, кВт*ч

1 Окорочный станок

1

ОК 100-1

3

83,24

2 Круглопильный станок

1

ФП-220

3

29,7

3 Лущильный станок

1

ЛУ 17-10

2

55,6

4 Ножницы

1

APL “Рауте”

1

12,4

5 Гильотинные ножницы

1

НГ 30

1

18,7

6 Ребросклеивающий станок

1

РСП

2

38,4

7 Клеенаносящий станок

2

КВ 28

2

22,4

8 Клеильный пресс

2

30 VPH 11175x175 и 15VPH-M

2

16,62

9 Форматно обрезной станок

1

FS-1

1

11

10 Барабанный шлифовальный станок

2

SKV-366

2

39

11 Ножеточильный станок

1

ТчН 21-5

1

6,2

12 Сушилка

1

СРГ-25М

1

175

13 Мостовой кран

1

КМ-20

1

42,7

 

Итого

550,20

 

1.6 Метрологическое обеспечение

Для измерения толщины образцов должны применяться микроскопы ТСП-4М, толщинометры по ГОСТ 11358 с точностью измерения не менее 0,10 мм. Измерение толщины образца допускается производить трехточечным толщинометром с тремя опорными поверхностями. Усилие прижима в точках измерения должна составлять (0,25-0,75) Н. Длину и ширину образцов измеряют штангельциркулем цифровым ШЦЦ-1 или Шцц-2 с точностью до 0,1 мм.

Таблица 4 - Сроки технических осмотров оборудования

Наименование оборудования

марка

Промежуточный ТО

Плановый ТО

1 Окорочный станок

ОК 100-1

1 раз/2 смен

1раз/6мес

2 Круглопильный станок

ФП-220

1раз/2 смен

1раз/6мес

3 Лущильный станок

ЛУ 17-10

2раз/смен

1раз/1мес

4 Ножницы

APL “Рауте”

1 раз/смен

1раз/6мес

5 Гильотинные ножницы

НГ 30

1 раз/смен

1раз/6мес

6 Ребросклеивающий станок

РСП

1 раз/смен

1раз/6мес

7 Клеенаносящий станок

КВ 28

2 раз/смен

1раз/6мес

8 Клеильный пресс

30 VPH 11-175x175

1 раз/нед

1раз/6мес

9 Форматнообрезной станок

FS-1

1 раз/смен

1раз/3мес

10 Барабанный шлифовальный станок

SKV-366

1 раз/смен

1раз/6мес

 11 Ножеточильный станок

ТчН 21-5

1 раз/смен

1раз/3мес

12 Сушилка

СРГ-25М

1 раз/перед загрузкой

1раз/год

13 Мостовой кран

КМ-20

1 раз/мес

1раз/6мес

14 Лесопогрузчик

ККЛ -16

1 раз/нед

1раз/6мес

15 Открытый бассейн


1раз/перед загрузкой

1раз/год


Технический осмотр производит мастер-наладчик в течение смены или между ними, не допуская при этом простоя другого оборудования.

Промежуточный ТО в себя включает:

внешний осмотр оборудования;

проверка правильности работы основных узлов и агрегатов;

осмотр защиты оборудования.

Таблица 5 - Измерительный инструмент фанерного производства

Название

Марка

Точность

Поверка

Штангельциркуль(электронный)

ШЦЦ-1-150

0,01

1 раз/6мес

Штангельциркуль

ШЦЦ-0- 2000

0,05

1раз/год

Микрометр электронный

МКЦ100-125

0,01

1раз/6мес

линейка поверочная

ШД-1000,кл.1

0,05

1раз/год

линейка метал.1000 мм

-

0,1

Замена 2раза/год

угольник

УП (УШ) 150х100 ,кл.1

0,1

1 раз/год

рулетки ГОСТ 7502-89 2м, 5м, 10м

-

0,1

Замена 1раз/год

микроскоп

ТСП-4М

-

н/д

толщиномер

ТН 10 - 60 М

0,01

1раз/6мес

Шаблоны 1525х1525

-

-

-


Шаблоны изготавливаются из стали и заменяются раз в 6 месяцев.

На всех этапах производства рекомендуемое количество измерений равняется 3, а при выходном контроле измерение толщины, формата, шероховатости и правильности углов не менее 5.

Физико-механические испытания фанеры производят в специализированных научных институтах или центрально-заводских лабораториях других предприятий.

Выборку на испытания производят методом отбора «вслепую» (ГОСТ 18321-73), из каждой партии (1000 шт.) отбирают 50 единиц фанеры.

До проведения испытаний образцы фанеры кондиционируют до нормализованной влажности при влажности воздуха (65)% и температуре (202)Со.

Рисунок 1 - Порядок отбора образцов на физико-механические испытания.

- образец для определения плотности; 2-образец для определения влажности; 3-образцы для определения прочности при скалывании по клеевому слою; 4- образцы для определения прочности при статическом изгибе; 5- образцы для определения прочности при растяжении; 6,7- образцы для определения водопоглащения; 8-образец для определения прочности при скалывании по древесине; 9- образец для определения изменения размеров от влажности воздуха; 10-образец для определения модуля упругости при сжатии; 11- образец для определения модуля упругости при статическом изгибе; 12- образец для определения модуля упругости при растяжении; 13-образцы для определения ударной вязкости; 14-образец для определения износостойкости; 15-образец для определения твердости; 16-образец для определения теплостойкости.

Отчет об испытании должен содержать:

наименование предприятия-изготовителя и дату изготовления;

вид и объем испытываемого материала;

вид и условия испытания;

количество испытанных образцов;

результаты испытания и их величины;

дату проведения испытания;

наименование организации, где проводилось испытание;

обозначение стандарта по которому проводилось испытание.

 

1.7 Требования к сырью, материалам, полуфабрикатам и деталям


Влажность фанеры должна быть 5-10%. При четном числе слоев шпона два средних слоя должны иметь параллельное направление волокон. Симметрично расположенные слои шпона по толщине фанеры должны быть из древесины одной породы и толщины. Толщина шпона, применяемого для наружных слоев фанеры, не должна превышать 3,5 мм, а внутренних слоев - 4 мм. Максимальное количество видов допускаемых пороков и дефектов обработки на поверхности фанеры с наружными слоями из шпона указанных сортов приведено в таблице 7.

Максимальная длина различных дефектов (трещин и т.п.) для фанеры составляет не более 20 см. Количество таких дефектов, в т.ч. недостачи шпона, сучков здоровых или сросшихся, отверстий от выпавших сучков, дефектов кромки листа (не более 2 мм длиной), а также червоточин (диаметром не более 6 мм) - до 3 шт. на 1 кв. м фанерного листа.

Таблица 6 - Требования к компонентам

МАТЕРИАЛ

ТРЕБОВАНИЯ

Древесина

Влажность, %

60-80


Плотность, г/см3

0,575-0,780


D ствола в верхнем отрубе, мм не более

60

Шпон

Толщина, мм

2


Влажность, %

5-7


Предел прочности при растяжении вдоль волокон, МПа

60-90


Предел прочности при статистическом изгибе поперек волокон, МПа

Смола СФЖ 3011

Вязкость, с

120-400


Массовая доля нелетучих веществ, %

43-47


Время желатинизации при 100°С, с

55-100


Массовая доля свободного фенола, %, не более

2,15


Массовая доля своб. формальдегида, %, не более

1,0


Предел прочности при скалывании по клеевому слою фанеры после кипячения в воде в течение одного часа, МПа, не менее

1,86


Таблица 7 - Нормы ограничения пороков древесины и дефектов обработки

Наименование пороков древесины и дефектов обработки по ГОСТ 30427

Фанера с наружными слоями из шпона сортов


I

II

1. Булавочные сучки

Допускаются до 3 шт. на 1 м2 поверхности листа

Допускаются

2. Здоровые сросшиеся светлые и темные сучки

Допускаются диаметром, мм, не более 25 в количестве на 1 м2, шт., не  Более 5

3. Частично сросшиеся, несросшиеся, выпадающие сучки, отверстия от них, червоточина

Допускаются диаметром, мм, не более 6 в количестве на 1 м2 поверхности листа, шт., не более 3

4. Сомкнутые трещины

Допускаются длиной, не более 200 мм в количестве не более  2 шт., на 1 м ширины листа

5. Разошедшиеся трещины

Не допускаются 

6. Светлая прорость

Допускается

7. Гниль

Не допускается

8. Наличие клеевой ленты

Не допускается

Допускается в нешлифованной фанере

9. Просачивание клея

Не допускается

Допускается, %, не более 2

10. Царапины

Не допускаются

Допускаются

11. покоробленность

В фанере толщиной до 6,5 мм не учитывается, толщиной 6,5 мм и более допускается со стрелой прогиба не более 15 мм на 1 м длины диагонали листа фанеры

12. Расслоение, пузыри, закорина

Не допускаются

13. Шероховатость поверхности

Параметр шероховатости Rm по ГОСТ 7016, мкм, не более: для шлифованной фанеры - 100, для не шлифованной - 200


Содержание формальдегида в фанере в зависимости для класса эмиссии Е1 должно составлять на 100 г. до 10 мг.

Вставки из шпона должны подходить к поверхности, прочно держаться и соответствовать по цвету и направлению волокон древесине породы наружного слоя фанеры. Для сортов I и II вставки должны соответствовать цвету древесины.

Замазки должны быть подобраны по цвету древесины данного сорта, обеспечивать приклеивание облицовочных материалов, не выкрашиваться при механической обработке и гнутье фанеры, не растрескиваться.

1.8 Требования к консервации; упаковке и маркировке


Учет фанеры производят в квадратных метрах и (или) кубических метрах. Объем одного листа определяют с точностью до 0,00001 м3, объем партии фанеры- с точностью до 0,01 м3. Площадь листа фанеры учитывают с точностью до 0,01 м2, площадь листов в партии - с точностью до 0,5 м2.

Фанера должна быть сформирована в пакеты массой не более 1500 кг отдельно по породам, маркам, сортам, классу эмиссии, видам обработки поверхности и размерам. По согласованию фанеру можно упаковывать в пакеты другой массы в соответствии с условиями договора (контракта).

Маркировка наносится несмываемой краской на оборотную сторону каждого листа фанеры с указанием марки, сорта фанеры, номера сортировщика. На пакет фанеры наносят маркировку, содержащую:

наименование страны-изготовителя;

наименование предприятия-изготовителя и (или) его товарный знак;

условное обозначение фанеры;

количество листов в пакете;

обозначение национального знака соответствия для сертифицируемой продукции.

Транспортная маркировка - по ГОСТ 14192.

Фанеру упаковывают:

)        в пакеты по 50 шт. массой m = 870 кг, V = 1,16 м3;

)        в пакеты по 10 шт. массой m = 174 кг, V = 0,232 м3

 

1.9 Этапы выполнения работы


Производство фанеры - длительный технологический процесс, который начинается еще на лесоповале. Именно там из сваленного леса отбирают бревна, которые пойдут на получение шпона. В России шпон изготавливают из хвойных (сосна, ель, пихта, кедр и т.п.) и лиственных (почти всегда береза) пород. Белорусские производители используют ольховый шпон - довольно рыхлый и непрочный. Зарубежные заводы изготавливают фанеру из самых разных древесных пород, многие из которых в России известны только ботаникам.

После отбора и доставки древесных стволов на производство их очищают от коры и остатков сучьев и распаривают в горячей воде. Под воздействием высокой температуры и влаги лигнин, который склеивает древесные волокна, размягчается, и связь между волокнами ослабевает. Именно для этого и нужно распаривать бревна: лущить сухую древесину практически невозможно

Распаренные и размягченные древесные кряжи поступают на лущильный станок. Бревно зажимают с торцов и начинают вращать с высокой скоростью. Лущильный нож, длина которого равна длине древесного кряжа, постепенно прижимается к вращающемуся бревну, слущивая с него тонкий слой волокон. В результате получается длинная тонкая лента, которую затем распрямляют, раскраивают и высушивают. Так получают основной компонент клееной фанеры - лущеный шпон.

Следует отметить, что лущеный шпон - относительно недавнее изобретение. Технология лущения древесины была разработана лишь в 19 веке русским (хотя правильнее было бы сказать натурализовавшимся в России) профессором Фишером. Именно поэтому клееная фанера из лущеного шпора в течение многих лет называлась «русской фанерой».

После высушивания и сортировки листов шпона из него формируют стопки. Шпон в стопках подбирают таким образом, чтобы более качественные листы шпона находились снаружи, а менее качественные - внутри. Такой подбор шпона позволяет получить фанеру более высокого сорта, поскольку основным критерием качества фанеры является количество дефектов на ее поверхности. После того как шпон уложен в стопки, их вновь разбирают, покрывают поверхность листов шпона клеем, собирают и помещают под пресс для подпрессовки. Затем сразу несколько листов прессуют в многоэтажном прессе, где под воздействием высокой температуры шпон склеивается и образует фанерные листы.

Рисунок 2 - Технологическая схема производства фанеры

1.10 Порядок выполнения и приемки этапов работы


Фанеру принимают партиями. Партия должна состоять из фанеры одной породы древесины, марки, одного, сорта, класса эмиссии, вида обработки поверхности.

Партия должна быть оформлена одним документом о качестве, содержащим:

наименование страны-изготовителя;

наименование и (или) товарный знак предприятия-изготовителя и его адрес;

условное обозначение фанеры;

объем или площадь листов в партии;

штамп технического контроля;

обозначение национального знака соответствия для сертифицируемой продукции.

Качество и размеры листов фанеры проверяют выборочным контролем. Допускается в соответствии с условиями договора (контракта) осуществлять проверку сплошным контролем. При выборочном контроле листы фанеры отбирают «вслепую» по ГОСТ 18321 в количестве, указанном в таблице 5

Таблица 5 - Объем выборки

Объем партии

Контролируемый показатель по пунктам


1,2,3

4,5,6


Объем выработки

Приемочное число

Объем выработки

Приемочное число

До 500

8

1

13

1

От 501 до 1200

13

1

20

2

От 1201 до 3200

13

1

32

3

От 3201 до 10000

20

2

32

3


Размеры и pелейность листов фанеры;

Обрезка под прямым углом. Косина не превышает 2 мм на 1 м длины кромки листа;

Отклонение от прямолинейности кромок (не должно превышать 2 мм на 1 м длины листа);

Пороки древесины и дефекты обработки в наружных слоях фанеры;
5 Вставки из шпона должны подходить к поверхности, прочно держаться и соответствовать по цвету и направлению волокон древесине породы наружного слоя фанеры;

Содержание формальдегида в фанере в зависимости от класса эмиссии;

Партию считают соответствующей требованиям настоящего стандарта и принимают, если в выборках:

количество листов фанеры, не отвечающих требованиям стандарта по размерам, косине, прямолинейности, порокам древесины и дефектам обработки, меньше или равно приемочному числу, установленному в таблице 5;

все листы фанеры не имеют пузырей, расслоения и закорины;

содержание формальдегида соответствует нормам.

2 ТЕХНОЛОГИЧЕСКАЯ СХЕМА ПРОИЗВОДСТВА ФАНЕРЫ


Технологическая схеме производства фанеры ФК 1525х1525 10mm I/II Ш2 Е1 ГОСТ 3916.1-96 представлена на рисунке 2.

При производстве фанеры ФК 1525х1525 10mm должно учитываться следующее:

1)   поставляемое сырье (березовый кругляк) должно быть высокого качества, не иметь комлевых частей, обладать чистым стволом без плесневелостей;

2)      поставка сырья должна производиться в оговоренные сроки;

)        выход шпона из сырья должен быть максимальным;

)        процесс производства фанеры не должен быть трудоемким, автоматизированное производство предпочтительнее;

)        контроль качества на каждом этапе необязателен (данный процесс не требует смены или переналадки оборудования в ходе производства, т. к. производится один вид продукта);

)        физико-механические характеристики связующего СФЖ-3011 должны соответствовать заявленным заводом-изготовителем;

)        соответствие продукта ГОСТ 3916.1-96 обязательно;

)        в ходе процесса производства нарушение техники безопасности недопустимо.

2.1 Описание технологической схемы производства фанеры

 

.1.1 Выгрузка, расчет штабелей, складирование

Оборудование для выгрузки и укладки сырья. Для выгрузки и укладки сырья в штабеля применяют различные механизмы: продольные конвейеры, автомобильные, железнодорожные, башенные, козловые краны.

Широкое применение на фанерных заводах получили мостовые краны КМ-20.

В качестве грузозахватного механизма используют стропы и грейферы. Стропы целесообразно применять при выгрузке краном сырья из воды в пучках или укладки сырья пучками в штабель. Для подачи сырья в штабель пучки расстроповываются на площадке, затем подаются конвейером к накопителю сырья, а из накопителя краном подаются в штабель пучком. Масса пучка зависит от грузоподъемности крана.

«Головы» и «хвосты» штабелей необходимо укреплять клиньями или прокладками, препятствующими рассыпанию штабеля. При разборке штабеля необходимо поддерживать безопасный угол откоса насыпи кряжей: осенью 30-40, зимой 60-70°. Особенно меры предосторожности следует соблюдать во время оттепелей, когда древесина оттаивает и может произойти обвал кряжей. В это время насыпи кряжей следует придавать откос 35-45. Потребное число штабелей А определяют по формуле


где Qспл - объем древесины, подлежащей хранению, лесосплавной поставки, м3; Qшт - объем древесины в штабеле, м3.

Склады сырья должны быть защищены от ветров и расположены на пониженных местах с целью сохранения в древесине влаги. Между смежными штабелями разрывы должны составлять от 1 до 3 м.

 

2.1.2 Разделка и окорка сырья

Разделка кряжей на чураки относится к подготовительным операциям, предшествующим переработке сырья на шпон. Отходы при лущении шпона используют как вторичное сырье для производства древесностружечных плит.

Существует два способа разделки: по наибольшей массе и наибольшему качественному выходу. При разделке по наибольшей массе из кряжа получают чураки, имеющие наибольшую кубатуру независимо от их качества, т. е. с наименьшей потерей древесины при вырезке дефектов. При разделке по наибольшему качественному выходу получают высокосортные чураки при большом объеме отходов древесины. В фанерной промышленности применяют комбинированный способ, предусматривающий получение наибольшей массы при сохранении наибольшего качественного выхода. Размер чураков 1,6 м.

К дефектам распиловки относятся косой рез, неправильная длина чурака, скосы и отщепы. Косой рез является следствием неправильной установки пилы или неправильного положения кряжа на конвейере при механической распиловке. Неправильная длина чурака получается при косом резе. Сколы и отщепы чураков являются результатом распиловки кряжа на весу. Этот дефект снижает объемный выход шпона.

На фанерных заводах преимущественно находят применение окорочные станки с вертикальными ножевыми дисками роторного типа. На рисунке 3 показано расположение короснимателей окорочного станка ОК 100-1. Основной рабочий орган станка - ножевой ротор. При продольном помещении кряжа через ротор станка вращающиеся коросниматели описывают на кряже слегка перекрывающиеся винтовые поверхности, снимая при этом кору в виде спиральных лент.

Рисунок 3 - Расположение короснимателей окорочного станка ОК 100-1: 1 - цепной конвейер, 2 - ротор, 2 - статор, 4 - подрезной нож, 5 - коросниматель

Разделка и окорка сырья системой транспортных устройств объединяются в единую технологическую линию по переработке сырья перед лущением. Как правило, указанные операции выполняются в окорочно-распиловочных цехах фанерных заводов.

2.1.3 Тепловая обработка пропариванием

Тепловая обработка древесины пропариванием заключается в обогреве древесины, находящейся в плотно закрытой камере или бетонной яме, в которые под давлением 1,5-2,0 кгс/см2 впускают насыщенный пар.

Самый распространенный способ прогревания сырья - проваривание его в воде. В зависимости от температуры воды различают два способа проваривания сырья: с мягкими режимами при температуре воды 30-40° С и жесткими режимами с температурой воды 70-80° С. Тепловой обработке подвергают кряжи и чураки.

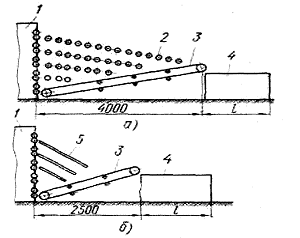
Открытый бассейн (рисунок 4) состоит из нескольких секций, собранных из железобетонных элементов.

Рисунок 4 - Механизированный открытый бассейн для тепловой обработки кряжей: 1 - сбрасыватель, 2 - разгрузочный конвейер, 3 - накопитель кряжей, 4 - крышка, 5 -грейферный захват, 6 - бетонная разделительная тумба, 7 - стены бассейна, 8 - мостовой кран, Р - передвижной перегрузчик, 10 - разгрузочный конвейер, 11 - рельсы для передвижения перегрузчика, 12 - рельсы для передвижения крана, 13 - отверстия для воды

Температура воды поддерживается на уровне 30-40° С. Подогревают ее паром, проходящим через трубы, имеющие отверстия. Производительность ячейки бассейна Q (м3) определяется по формуле


где L - длина кряжей или чураков, м; h - высота ячейки, м; В - ширина ячейки, м; К - коэффициент заполнения ячейки сырьем (0,50-0,55); Т - время работы ячейки, ч; тп - время прогрева, ч; твсп - продолжительность загрузки и выгрузки ячейки, ч.

2.1.4 Лущение шпона

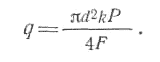
Лущение шпона - основная технологическая операция в прозводстве фанеры. Лущением называется процесс резания древесины в плоскости, параялвльной направлению волокон, при котором чурак совершает вращательное, а лущильный нож поступательное движение на чурак. Непрерывная лента шпона получается на лущильном станке при одновременном сочетании двух движений: вращательного движения чурака и поступательного движения ножа. Поверхность чурака образует правую лицевую сторону шпона, а сторона шпона, обращенная к чураку, называется левой оборотной. Действие ножа при лущении на вращающийся чур а к может быть представлено схематично (рисунок 5).

Рисунок 5 - Схема сил при резании: 1 - линейка, 2 - шпон, 3 - нож, 4 - чурак

Производительность лущильного станка определяют по числу чураков А, разлущенных за время работы, по формуле


где Т - время работы станка, мин; К - коэффициент использования рабочего времени; Z - время обработки одного чурака (полный цикл), мин.

По числу чураков, разлущенных за время работы станка, можно определить производительность Q в кубических метрах сырого шпона по формуле


где А - количество разлущенных чураков, шт;д.ш. -объем сырого шпона, получаемого из одного чурака.

 

2.1.5 Рубка шпона

Рубка шпона осуществляется на станке APL финской фирмы «Рауте». Линия шпона при ширине 1600мм по длине также рубится на 1600мм.

 

2.1.6 Сушка шпона

Технология изготовления фанеры предусматривает необходимость сушки всего сырого лущеного шпона, используемого в производстве, а также сушки шпона, намазанного или пропитанного смолами. При сушке из шпона удаляется влага, которая содержится в порах и стенках клеток древесины. Под действием тепла влага переходит в парообразное состояние и удаляется. Под влажностью шпона понимают отношение массы влаги, содержащейся в древесине, к массе абсолютно сухой древесины. Обычно это отношение выражается в процентах. Древесина состоит из разнообразных растительных клеток. Влага, содержащаяся в стенках древесных клеток, называется связанной, а содержащаяся в полостях клеток - свободной. Состояние древесины, при котором она содержит максимально возможное количество связанной влаги и не содержит свободной, называют точкой насыщения волокна. При этом состоянии влажность древесины практически не зависит от ее породы и равна примерно 30%. Если влажность древесины больше 30%, это значит, что стенки клеток насыщены влагой, а в полостях клеток имеется свободная влага. Количество свободной влаги в древесине зависит от ее породы, времени заготовки, способа доставки, хранения на заводе и способа тепловой обработки сырья перед лущением. Влажность шпона W определяют по формуле

фанера прессование прочность штабель


где g1 - начальная масса сырого образца, г; g2 - масса абсолютно сухого образца, г.

Наиболее распространенный способ определения влажности шпона - весовой. Из листа шпона вырезают образцы, взвешивают с погрешностью до 0,01 г и сушат до постоянной массы при температуре 100-105°С в электрическом сушильном шкафу. Весовые значения g1 и g2 подставляют в формулу.

Роликовая сушилка СУР-4 с паровым обогревом и поперечной циркуляцией воздуха представляет собой прямоугольную камеру, состоящую из восьми секций сушки длиной 1,62 м ( I - VIII ), одной секции охлаждения ( IX ), загрузочной 1 и разгрузочной 10 этажерок. Производительность сушилки СУР-4 равна в среднем 2 м3/ч сухого шпона.

 

2.1.7 Выгрузка шпона

На рисунок 6, а показана схема выгрузочного механизма с конвейерами, а на рисунке, б - с полками.

Рисунок 6 - Схема разгрузочных механизмов: а - с роликовыми конвейерами, б - с полками; 1- сушилка, 2 - роликовые конвейеры, 3 - ленточный конвейер, 4 - стол, 5 - полки

Количество наклонных роликовых конвейеров 2 зависит от количества этажей сушилки 1. Ролики конвейеров 2 вращаются со скоростью роликов сушилки. Скорость ленточного конвейера 5 в 6-10 раз выше скорости вращения роликов конвейеров. Листы шпона, выходя из сушилки 1, попадают на наклонные роликовые конвейеры 2, затем на ленточный конвейер 3, которые выносят поочередно листы на стол 4.

 

2.1.8 Сортировка шпона

Сортировка шпона - одна из важнейших операций технологического процесса, определяющая сортовой выход готовой фанеры. Сортность листа шпона определяет сортировщик в зависимости от совокупности дефектов листа (пороков древесины и дефектов обработки). Количество возможных сочетаний дефектов очень велико, к тому же отдельные дефекты иногда трудно определить с достаточной точностью. Существуют определенные правила подбора шпона в зависимости от сортов фанеры. В каждом листе фанеры различают две стороны: лицевую (правую) и оборотную (левую), при этом лицевая сторона, как правило, лучшего качества, чем оборотная; внутренний слой фанеры более низкого качества, чем наружный. Для каждого сорта шпона четко определены допустимые пороки древесины и производственные дефекты. Сортообразующими пороками для шпона являются сучки различных видов и размеров, торцовые трещины, ненормальные окраски и гнили (ложное ядро, побурение, пятнистость и синева), прорость, т. е. пороки древесины, вызванные природными условиями произрастания. К производственным дефектам, возникающим в процессе производства, относятся разнотолщинность, шероховатость и волнистость поверхности, трещины и т. д.

 

2.1.9 Починка шпона

Для улучшения качества фанеры из листа шпона удаляют различные дефекты (сучки, багорные пробоины, черные прорости), а отверстия заделывают вставками из качественного шпона.

На рисунке 7 показана схема работы безленточного ребросклеивающего станка РСП. В этом случае после склеивания кусков образуется непрерывная лента шпона, которую можно разрезать на листы необходимых размеров. В отличие от ребросклеивающих станков с продольной подачей, где для сближения и поддержания контакта кромок служат цепи, в станке с поперечной подачей сближение происходит за счет разности скоростей подающего конвейера 5 и конвейера в зоне нагревания, а усилие прижима кусков друг к другу за счет сил трения, которые зависят от нормального давления холостых роликов на подпружиненных подвесах, расположенных под конвейерами.

Рисунок 7 - Схема работы ребросклеивающего станка РСП-2: 1 - стол станка, 2 - склеиваемые куски шпона, 3 - маховик для регулирования скорости подачи, 4 - прижимы (условно без прижимных роликов), 5.- подающие конвейеры, 6- натяжное устройство, 7 - ножницы, 8 - термоэлементы

Установленные в зоне нагревания термоэлементы 8 поддерживают температуру среды в пределах 160- 220° С. Из станка шпон выходит непрерывной лентой, ширину которой регулирует конечный выключатель. Он приводит в движение ножницы 7, которые режут ленту шпона. Синхронно с ножницами работает шпоноукладчик. Направляющие, поддерживающие лист шпона, расходятся, и лист падает на расположенную под ним вагонетку. Когда стопа нарезанных листов шпона достигает определенной высоты, укладчик прекращает работу. Станок обслуживает один рабочий. Для склеивания кускового шпона применяют синтетические клеи марок МФС-1, М-60, М-70.

 

2.1.10 Нанесение клея

Клеевой слой образуется нанесением жидкого клея на одну из склеиваемых поверхностей или прокладыванием сухой клеевой пленки между листами шпона. Клей наносят на листы шпона на клеенаносящих станках, которые могут быть для дву- и одностороннего нанесения. Больше распространены станки для двустороннего нанесения. Они могут быть с верхним и нижним питанием (рисунок 8, а) или только с нижним питанием (рисунок 8, б).

Рисунок 8 - Схема нанесения клея клеенаносящим станком: а - с верхним и нижним питанием, б - с нижним питанием; 1 - клеевой слой, 2 - дозирующий валик, 3 - шпон, 4 - барабаны, 5 - корыто с клеем

Процесс нанесения клея на станке заключается в следующем. Из находящегося над станком бака или из трубопровода, несущего клеевой раствор из клееприготовительного отделения, корыто наполняется клеем. Нижний барабан, вращаясь, забирает из корыта клей и наносит его на верхний барабан. Таким образом, к верхнему барабану на станке с нижним питанием клей подается только с нижнего барабана. Поэтому если длина листа шпона больше, чем длина окружности барабана, то часть верхней поверхности шпона может оказаться ненамазанной. Чтобы этого не случилось, необходимо обмакнуть кромку шпона в клей, опуская ее в корыто. Просвет между барабанами регулируют, поднимая винтовым устройством верхний барабан. Для точности установки просвета маховик винтового устройства имеет диск с делениями, показывающими величину просвета. Толщина клеевого слоя зависит от вязкости клея, давления верхнего барабана, качества шпона, частоты вращения и вида барабанов (в зависимости от назначения барабаны могут быть гладкими или рифлеными). Установив просвет между клеенаносящими барабанами, открывают краны для заполнения ванны клеем, затем включают станок и приступают к наладке его на толщину клеевого слоя. Для этого пропускают через станок пробные листы шпона и по каждому из них определяют количество клея, нанесенное на 1 м 2 поверхности шпона. Это количество по окончании наладки станка должно находиться в пределах норм, предусмотренных технологическим режимом.

 

2.1.11 Подпрессовка и горячее прессование фанеры

Перед тем как подвергнуть фанеру прессования она проходит стадию подпрессовки. На данной стадии сборный пакет фанеры поджимается, что приводит к удалению излишек клея и воздуха.

Существующая технология склеивания фанеры из лиственницы предусматривает сборку пакетов из листов шпона с нанесенным белковым или карбамидным клеем и предварительно выдержанных в течение 8-15 мин. Под действием тепла и давления на пакет во время склеивания его наружные слои упрессовываются больше, чем внутренние. При склеивании фанеры по нескольку листов в рабочем промежутке пресса разница в упрессовке наружных и внутренних слоев достигает существенной величины. Так, например, в пакете при склеивании березовой фанеры ФСФ толщиной 3 мм упрессовка наружных слоев составляет 13-15%, а внутренних - 7-8%, для фанеры ФК соответственно 9-11% и 3-5%. Наружные слои одного и того же пакета при склеивании по нескольку листов в рабочем промежутке будут иметь различную упрессовку, что является одной из причин коробления фанеры.

При загрузке пакетов в пресс давление на пакет отсутствует, следовательно, контакта между клеевой прослойкой и наружными слоями пакета практически нет. Во время смыкания плит пресса давление на пакет зависит от их массы и массы пакета, лежащего на данном этаже. При полном смыкании плит пресса давление на пакет возрастает и достигает величины давления, создаваемого насосом или аккумулятором низкого давления. Контакт между клеевой прослойкой и шпоном возникает лишь на выступающих неровностях пакета и только при использовании жидких клеев.

Рисунок 9 - Диаграмма изменения удельного давления при склеивании фанеры сухим горячим способом

Величина удельного давления, при котором происходит склеивание фанеры


где Р давление, которое возникает в цилиндре пресса (в кгс/см 2 ); F - площадь склеиваемого листа фанеры (в см 2 ); q - удельное давление; k - число плунжеров пресса,

При увеличении давления сверх допустимых норм увеличивается упрессовка фанеры и расход шпона на 1 м 3 фанеры. Уменьшение давления снижает прочность склеивания.

Время термообработки 141-145 с.

Производительность многоэтажного пресса для сухого горячего склеивания фанеры (м 3 ) можно определить по формуле

где Т - продолжительность рабочей смены, мин; п - число рабочих промежутков пресса; m - число листов фанеры, загружаемых в один промежуток; S - толщина фанеры, мм; F - площадь одного обрезного листа фанеры, м 2 ; k - коэффициент использования рабочего времени (равен 0,95-0,98); Тп - время прессования (термообработки) фанеры в 1 , прессе, мин; Т в - время на вспомогательные операции, мин

2.1.12 Разрез фанеры по формату 1525х1525

Готовую прессованную фанеру укладывают в пачку по 5 листов, сверху укладывают шаблон и производят обрезку по формату 1525х1525. Для этих целей применяется форматно-обрезной станок FS-1 «Рауте».

2.1.13 Шлифование фанеры

Для создания гладкой поверхности листа и выравнивания его по толщине, устранения загрязнений и царапин фанеру шлифуют. Эту операцию выполняют на шлифовальных станках, которые бывают трех- и четырехбарабанные - для одностороннего шлифования, шести- и восьмибарабанные - для двустороннего шлифования.

Производительность шлифовальных станков при одностороннем шлифовании (в листах) фанеры можно определить по формуле


где Т - продолжительность рабочего времени, мин; v - скорость подачи, м/мин; k1- коэффициент использования рабочего времени (равен 0,95-0,98); k2 -коэффициент заполнения станка по длине; l - длина, которую займет в станке лист фанеры, подаваемый под углом, м.

При двустороннем шлифовании производительность (в листах) фанеры определяют по формуле


Отклонения по толщине листов фанеры до шлифования не должны превышать ±0,5 мм. Замерять толщину фанеры перед станком рекомендуется предельными калибрами. Скорость шлифования (окружная скорость шлифовальных барабанов) должна быть в пределах 18-24 м/с. Скорость подачи при шлифовании фанеры рекомендуется 7-8 м/мин. Правильность режима шлифования проверяют по показаниям амперметров электродвигателей привода барабанов. Сила тока не должна превышать номинальной, указанной в техническом паспорте электродвигателя. Обычно на станке работают при силе тока, не превышающей 24 А при напряжении 220 В и 15 А - при напряжении 380 В.

 

2.1.14 Сортировка

Сортировка - заключительная операция технологического процесса производства фанеры. При сортировке фанеры для каждого сорта в соответствии с ГОСТ 3916-69 определяют качество древесины, пороки и их размеры, влажность, нормы прочности склеивания, пра вила приемки, обмера и др.

Сортность фанеры определяют по допускаемым в шпоне порокам древесины и дефектам его обработки. К порокам древесины, проявляющимся в фанере, относят глазки, завитки, сучки, ненормальные окраски, червоточину, прорости, перерезание годовых слоев, свилеватость, смоляные кармашки, ложное ядро, пятнистость и др.; к дефектам обработки - багорные наколы, вмятины, коробление, негладкое лущение, риски, тре щины, пузыри, слабые углы, просачивание клея, обзол и др. Фанеру для сортировки подают на сортировочный стол, обслуживаемый двумя сортировщиками. Сортировщик определяет сортность по качеству древесины, затем оценивает видимые дефекты обработки и, наконец, выявляет скрытые дефекты - пузыри, слабые углы и т. д. Пузыри определяют простукиванием поверхности листа фанеры деревянным молоточком; слабые углы и качество склеивания - отгибая углы фанеры. Определив сортность по одной стороне, сортировщик переворачивает лист, осматривает его с другой стороны и окончательно устанавливает сорт. Второй сортировщик измеряет лист по толщине и проверяет форматность листов фанеры. Фанера с более крупными дефектами (слабыми углами, пузырями, трещинами, выпавшими заплатками от шпонопочиночных станков) поступает в ремонт. Мелкие дефекты (частичное загрязнение, просачивание клея, шероховатость) сортировщик может устранить сам. Определив сортность, сортировщик ставит в углу листа штамп с указанием сорта, марки фанеры и номера сортировщика.

2.1.15 Упаковка

Листы фанеры упаковывают в пачки, укладывая их лицевым слоем внутрь. В пачке должна находиться фанера, изготовленная из одной породы древесины, одного размера, сорта, вида обработки и марки.

Фанеру упаковывают вручную на горизонтальных или наклонных столах. Бригада упаковщиков состоит из двух человек, в обязанность которых входит подкатка и откатка вагонеток с фанерой на расстояние до 5 м, подноска обложек, планок, веревок, подноска и нарезка металлических лент, укладка упакованной фанеры на вагонетку или подстопное место. За смену, если используют стальную ленту, должно быть упаковано 22-23 м ч фанеры, при использовании веревок - 69-70 м 3 при объеме пачки 0,174 м 3 . При упаковке фанеры упаковочной металлической лентой размером 0,7x20 мм расход ее на 1 м 3 фанеры составляет 8 кг, а пряжек металлических шириной 25 мм -0,5 кг. Ленты режут размером, соответствующим размеру фанеры, которую упаковывают. При упаковке на упаковочной машине на пакет фанеры объемом 1,0 м 3 затрачивают 10 м упаковочной шинки, а при использовании ручных упаковочных машинок - 16,3 м. В последнем случае также возрастает расход упаковочной фанеры с 0,016 до 0,021 м 3 . Упаковка фанеры в большие пакеты массой 0,5-1,0 т требует полной механизации погрузочно-разгрузочных работ с применением современных видов механизмов.

 

2.2 Охрана труда при производстве фанеры


Клееные слоистые материалы. В процессе производства этих материалов на организм человека может воздействовать большое количество вредных и опасных факторов. К числу физических факторов относятся: повышенные температуры оборудования и окружающего воздуха, высокий уровень шума и вибраций, запыленность, загазованность и подвижность воздуха, опасный уровень электрического напряжения и электромагнитного излучения, движущиеся машины и оборудование и их подвижные элементы; химическими факторами являются общетоксические, раздражающие, сенсибилизирующие.

Согласно общим требованиям безопасных условий труда технологический процесс производства должен быть организован и проводиться в соответствии с правилами эксплуатации применяемых машин и оборудования, с соблюдением требований, обеспечивающих защиту рабочих от воздействия указанных выше вредных и опасных факторов. Безопасность и безвредность труда гарантируются автоматизацией и механизацией технологических операций, устройством ограждений и предохранительных приспособлений на производственном оборудовании, герметизацией оборудования, удалением и обезвреживанием отходов производства, применением безвредных и маловредных веществ, соблюдением правил пожарной безопасности.

Вопросом первостепенной значимости является и выполнение требований к подготовке персонала, участвующего в производственных процессах. Рабочие и инженерно-технические работники должны регулярно проходить медицинский осмотр, обучение и инструктаж по безопасности труда и пожарной безопасности. Производственный персонал должен знать как общие требования безопасности труда и пожарной безопасности, так и конкретные правила безопасных приемов работы на каждом рабочем месте, а также порядок действий в аварийной ситуации. Производственный персонал должен быть снабжен соответствующей спецодеждой и, при необходимости, средствами индивидуальной защиты от вредных и опасных факторов.

Ряду общих требований безопасности труда должны соответствовать производственные помещения и площадки, а также условия размещения на них оборудования. Участки производства и оборудование, работа которых связана с наличием вредных и опасных факторов, должны быть выделены в отдельные помещения или вынесены за пределы помещений. При этом принимают соответствующие меры, обеспечивающие безопасные условия труда на этих участках и оборудовании. Каждый из участков производства необходимо оборудовать средствами пожарной сигнализации и пожаротушения в соответствии с категорией их по взрывной, взрыво-пожарной и пожарной опасности.

Участки производства должны иметь соответствующий уровень естественного и искусственного освещения, состояния воздушной среды. Эти требования выполняются устройством окон, фонарей, светильников, а также систем вентиляции и отопления. Воздух, содержащий пыль и газы, перед выбросом в атмосферу нужно очищать.

Производственные помещения и площадки необходимо еже сменно убирать от пыли и отходов, а строительные конструкции очищать от пыли не реже 1 раза в месяц. Проемы в помещениях должны быть оборудованы приспособлениями, исключающими образование сквозняков и распространение пожара.

Оборудование должно быть размещено таким образом, чтобы обеспечить удобство обслуживания и безопасную эвакуацию персонала при пожаре или аварийной ситуации. Бункеры пыли и циклоны в системах пневматического транспорта необходимо располагать вне зданий и снабжать противовзрывными устройствами. Открытые емкости, люки, находящиеся на уровне пола, площадки, расположенные на высоте, переходные мостики необходимо ограждать.

Ряд требований общего характера предъявляется к условиям эксплуатации оборудования и ведению технологического процесса.

Проверке подлежат также гидро- и пневмосистемы, система и агрегаты паросилового хозяйства. Агрегаты, взаимосвязанные в технологической цепи, должны быть оборудованы единой системой синхронизации и блокировки. Пуск и остановку взаимосвязанного оборудования производят в порядке, исключающем его перегрузку. В случае остановки какого-либо агрегата должны одновременно останавливаться и предыдущие. Работу оборудования контролируют датчиками и приборами, обеспечивающими подачу звуковых и световых сигналов, указывающих на нарушение режимов его работы. В таких случаях работу следует прекратить и принять меры к устранению аварийной ситуации. Ведение технологического процесса следует возобновить только после выяснения причин, создавших ситуацию.

Пусковые устройства оборудования блокируют таким образом, чтобы его пуск был невозможен без предварительного пуска системы вентиляции и пневмотранспорта. Системы пневмотранспорта древесных частиц оборудуют шлюзовыми затворами и задвижками, предотвращающими распространение по ним огня, а также люками для ликвидации загорания. Эти системы, а также оборудование, где возможно появление статического электричества, необходимо заземлять.

Все ремонтные и пусконаладочные работы должны выполняться в соответствии с регламентом, обеспечивающим безопасность труда. При работе на вредных участках производства рабочие снабжаются индивидуальными средствами защиты.

Для уменьшения воздействия повышенного уровня низкочастотного шума применяют заглушки из ваты, резины, пластмассы, а высокочастотного-специальные наушники.

Основные предельно допустимые значения параметров опасных и вредных производственных факторов, следующие: температура воздуха 17-23 °С, но не более 28 °С, относительная влажность воздуха 40-75%, скорость его движения 0,2-0,15 м/с, содержание пыли в воздухе не более 6 мг/м3, уровень звука не более 85 дБА; температура на поверхности оборудования при его температуре внутри свыше 100 °С-не более 45 °С. Нормируется также уровень электромагнитного излучения и ряд других факторов.

Вредные и опасные факторы, возникающие на отдельных участках производства, устраняют путем выполнения требований, приведенных выше, а также принятием специфичных мер безопасности и охраны труда.

3 ВЫБОР И РАСЧЕТЫ ОБОРУДОВАНИЯ И МАТЕРИАЛЬНОГО БАЛАНСА

 

3.1 Материальный баланс производства фанеры


Материальный баланс для процесса производства фанеры ФК 1525х1525 10мм I/II Ш2 Е1 ГОСТ 3916.1-96 рассчитывается по основной формуле


- количество вещества (ингредиента), перерабатываемого на операции «п»;

- количество вещества, передаваемого на операцию «п+1»

В и С - процент технологического отсева на операции «п» (потери или отбор проб на испытания).

Материальный баланс рассчитывается по стадиям производства, при этом необходимо учитывать потери на каждой операции

1.      Склад готовой продукции

 м3;

2.      Упаковка и маркировка м3;

.        Контроль качества  м3;

.        Сортировка  м3;

.        Шлифование м3;

.        Разрез по формату м3;

.        Прессование и подпрессовка м3;

.        Нанесение клея на шпон. Фанера состоит из 80 % шпона и 20 % связующего (клея СФЖ 3011); V шпона = 2,7352*0,8 = 2,1881 м3 ; V клея = 0,5470 м3 ; p(СФЖ 3011) = 1060 кг/м3; m(СФЖ) = 1060*0,5470 = 579,858 кг; м3; кг. Для операции нанесения клея необходимо 2,2327 м3 шпона и 591,692 кг клея;

.        Приготовление клея  кг;

.        Склад клея  кг;

.        Починка шпона м3;

.        Сортировка шпона  м3;

.        Выгрузка шпона м3;

.        Сушка шпона  м3;

.        Рубка шпона м3;

.        Лущение шпона м3;

.        Тепловая обработка  м3;

.        Разделка и окорка сырья м3;

.        Выгрузка, складирование м3;

.        Поставляемое сырье м3 .

Таблица 6- Материальный баланс изготовления фанеры ФК 10 мм

Наименование операции

Наименование компонента КМ

Потери

 

1

2

3

4

 



%

на 100 изделий

 

Поставляемое сырье

Круглый лес

6

0,1760 м3

 

Выгрузка, складирование

Круглый лес

3

0,0850 м3

 

Разделка и окорка сырья

шпон

8

0,2097 м3

 

1

2

3

4

 

Тепловая обработка

шпон

1

0,0260 м3  

 

Лущение шпона

шпон

3

0,0756 м3

 

Рубка шпона

шпон

3

0,0734 м3

 

Сушка шпона

шпон

1

0,0242 м3

 

Выгрузка шпона

шпон

1

0,0240 м3

 

Сортировка шпона

шпон

1

0,0237 м3

 

Починка шпона

шпон

6

0,1425 м3

 

Склад клея

клей

4

24.9 кг

 

Приготовление клея

клей

1

5.916 кг

 

Нанесение клея на шпон

клей

2

11,834 кг

 


шпон

2

0,0446 м3

 

Прессование

фанера

2

0,0547 м3

 

Разрез по формату

фанера

3

0,0804 м3

 

Шлифование

фанера

1

0,0257 м3

 

Сортировка

фанера

1

0,0257 м3

 

Контроль качества

фанера

6

0,1529 м3

 

Упаковка и маркировка

фанера

2

0,0470 м3

 

Склад готовой продукции

фанера

1

0,0232 м3

 

 Итого (на 100 шт фанеры)

Древесина

Необходимо

3,0918 м3



потери

0,7662 м3


Клей

622,508 кг



потери

42,65 кг

3.2 Расчет процесса горячего прессования фанеры


Горячее прессование фанеры проводят на клеильном прессе марки 30 VPH 11-175x175 финской фирмы «Рауте».

Величина удельного давления, при котором происходит склеивание фанеры


где Р давление, которое возникает в цилиндре пресса (320 кгс/см 2 ); - площадь склеиваемого листа фанеры (в см 2 ); - удельное давление;- число плунжеров пресса,

d - диаметр плунжера

q = 3,14*1*(40)^2*320/4*23256,25 = 17,28 кгс/см2

Производительность пресса для сухого горячего склеивания фанеры (м 3 ) можно определить по формуле

 

где Т - продолжительность рабочей смены, мин;

п - число рабочих промежутков пресса; - число листов фанеры, загружаемых в один промежуток; - толщина фанеры, мм; - площадь одного обрезного листа фанеры, м 2 ; - коэффициент использования рабочего времени (равен 0,95-0,98);

Тп - время прессования (термообработки) фанеры в 1 , прессе, мин;

Т в - время на вспомогательные операции, мин

Q = 23 м3/смен

Расчет энергозатрат на прессование

W = 16,62*8*1,02 = 135,6 КВт

Wном - номинальное энергопотребление, кВт/час;

T - продолжительность смены, час;

k - коэффициент потерь (1,01-1,05).

3.3 Расчет основного оборудования


 

где Тк - календарный фонд времени;

Тпр - число праздничных дней в году;

Дпр - продолжительность рабочей недели, в часах;

с - число смен работы производства в сутки.

Tреж = (365-12)/7*40*2 = 4034,29 [час]

а) Эффективный фонд времени:

 

где Трем - продолжительность простоя ведущего оборудования во всех видах планово-предупредительных ремонтах (ППР);

Ттех - время остановок ведущего оборудования для переключения с производства одного продукта на другой, чистки, в часах за год;

Тост - время остановки цеха в часах, для ремонта межцеховых коммуникаций (пар, вода, канализация).

Тэф = 4034,29-96-260-120=3558,29 [час]

б) Расчет потребного количества оборудования:

 ,

где h - число аппаратов;

Пчас - заданная часовая производительность на операции;

 ,

где Пгод - годовая производительность фанеры в год;

2,81 м3

 м3 ,

где tк - штучно-калькуляционное время, в минутах;

,

где tосн - основное время, затрачиваемое на изменение предмета труда;

tвсп - основное время, затрачиваемое на создание условий для выполнения основной работы;

К1 - норматив на техническое обслуживание рабочего места (смена инструментов, подналадка, уборка);

К2 - норматив на личные надобности и отдых рабочего;

Тсм - продолжительность рабочей недели;

Тпз - подготовительно-заключительное время (начало и окончание рабочей смены).

t k = 156 мин

0,38

7,39 7 аппаратов

г) Определение количества рабочих одновременно занятых на рабочем месте:

 ,

где n - число обслуживаемых аппаратов;

Тсм - продолжительность рабочей смены;

Рсм - число рабочих (сменных) на данном рабочем месте;

Тобсл - суммарное время обслуживания одного рабочего места в течение смены, мин;

Тп - потери времени на личные потребности рабочего;

Тпз - подготовительно-заключительное время (начало и окончание рабочей смены).

 чел

Для процесса прессования фанеры необходимо 7 клеильных прессов марки 30 VPH 11-175x175. Обслуживание аппаратов производят 7 человек в смену.

4 ВЫБОР КРИТЕРИЕВ И МЕТОДЫ ОЦЕНКИ КАЧЕСТВА ФАНЕРЫ


4.1 Контроль качества фанеры

Контроль качества фанеры ФК 1525x1525 10mm I/II Ш2 Е1 проводят с целью выявления брака и на соответствие ГОСТ 3916.1-96. Так как фанера имеет широкое применение (в строительстве, в мебельном производстве, в производстве тары), необходимо чтобы она отвечала указанным в таблице 1 физико-механическим показателям.

Таблица 7- Физико-механические показатели фанеры

Наименование показателя

Толщина, мм

Значение физико-механических показателей для фанеры с внутренними слоями из березового шпона

1. Влажность, %

10

5-10

2. Предел прочности при скалывании по клеевому слою, МПа, не менее:

 

 

после кипячения в воде в течении 1 ч

10

1,5

после вымачивания в воде в течение 24 ч

10

1,5

3. предел прочности при статическом изгибе вдоль волокон наружных слоев, МПа, не менее

 10

55

4. Предел прочности при растяжении вдоль волокон МПа, не менее

  10

30,0


Также проводят контроль качества внешнего вида по ГОСТ 30427 и контроль шероховатости по ГОСТ 7016 (нормы указаны в таблице 8).

Таблица 8- Нормы ограничения пороков древесины

Наименование пороков древесины и дефектов обработки по ГОСТ 30427

Фанера с наружными слоями из шпона сортов


I

II

1. Булавочные сучки

Допускаются до 3 шт. на 1 м2 поверхности листа

Допускаются

2. Здоровые сросшиеся светлые и темные сучки

Допускаются диаметром, мм, не более 25 в количестве на 1 м2, шт., не  Более 5

3. Частично сросшиеся, несросшиеся, выпадающие сучки, отверстия от них, червоточина

Допускаются диаметром, мм, не более 6 в количестве на 1 м2 поверхности листа, шт., не более 3

4. Сомкнутые трещины

Допускаются длиной, не более 200 мм в количестве не более 2 шт., на 1 м ширины листа

5. Разошедшиеся трещины

Не допускаются

6. Светлая прорость

Допускается

7. Гниль

Не допускается

8. Наличие клеевой ленты

Не допускается

Допускается в нешлифованной фанере

9. Просачивание клея

Не допускается

Допускается, %, не более 2

10. Царапины

Не допускаются

Допускаются

11. покоробленность

В фанере толщиной до 6,5 мм не учитывается, толщиной 6,5 мм и более допускается со стрелой прогиба не более 15 мм на 1 м длины диагонали листа фанеры

12. Расслоение, пузыри, закорина

Не допускаются

13. Шероховатость поверхности

Параметр шероховатости Rm по ГОСТ 7016, мкм, не более: для шлифованной фанеры - 100, для не шлифованной - 200


Качество и размеры листов фанеры проверяют выборочным контролем. При выборочном контроле листы фанеры отбирают «вслепую» по ГОСТ 18321.

Таблица 9 - Объем выборки и приемочные числа

Объем партии

Объем выработки

Приемочное число

До 500

8

1

От 501 до 1200

13

1

От 1201 до 3200

13

1

От 3201 до 10000

20

2


Обязательными контролируемыми показателями также являются:

. Размеры листов фанеры;

. Обрезка под прямым углом;

. Отклонение от прямолинейности кромок.

4.1.1 Контроль размеров и прямолинейности

Длину и ширину фанеры измеряют в двух точках параллельно кромкам на расстоянии не менее 100 мм от кромок металлической рулеткой по ГОСТ 7502 с погрешностью 1 мм. За фактическую длину (ширину) принимают среднее арифметическое значение двух измерений.

Толщину измеряют на расстоянии не менее 25 мм от кромок и посередине каждой стороны листа толщиномером ТН10-60М (Санкт-Петербург) по ГОСТ 11358 или микрометром МКЦ100-125 (Санкт-Петербург) по ГОСТ 6507 с ценой деления не более 0,1 мм.

За фактическую толщину листа принимают среднее арифметическое значение результатов четырех измерений.

Разнотолщинность в одном листе определяют как разницу между наибольшей и наименьшей толщиной четырех измерений.

Отклонение от прямолинейности кромок измеряют угольником УП (УШ) 150х100 (Санкт-Петербург). Косина не превышает 2 мм на 1 м длины кромки листа

4.1.2 Контроль влажности фанеры по ГОСТ 9621

Сущность метода заключается в определении взвешиванием массы воды в образце и вычислении в процентах ее отношения к массе образца после высушивания до абсолютно сухого состояния.

Взвешивание образцов в измельченном состоянии производят в стеклянных чашках с крышками. Взвешенные образцы высушивают в сушильном шкафу с естественной циркуляцией воздуха при 103 ± 2 °С до постоянной массы. Высушивание образцов считают законченным, если разность между двумя последовательными взвешиваниями, произведенными через 2 ч одно после другого, будет не более 0,01 г. После охлаждения в эксикаторе с безводным хлористым кальцием или серной кислотой образцы взвешивают с той же точностью.

Влажность (W) в процентах вычисляют c округлением до 0,1 % по формуле:

, %

где m1 - начальная масса образца, кг (г);

m2 - масса образца, высушенного до постоянной массы, кг (г);

4.1.3 Контроль предела прочности при скалывании по клеевому слою


Рисунок 10 - Образец для испытания

Для определения прочности при скалывании используют следующую аппаратуру и инструменты: испытательную машину по ГОСТ 28840, микрометром МКЦ100-125 (Санкт-Петербург), штангельциркуль ШЦЦ-0- 2000 (Санкт-Петербург).

При проведении испытаний образец нагружают с постоянной скоростью так, чтобы разрушение произошло через 6030 с. Образцы разрушение у которых пошло не по плоскости скалывания не учитывают, и заменяют другими.

Предел прочности при скалывании по клеевому слою вычисляют в МПа с округлением до 0,05 МПа по формуле


За результаты испытаний фанеры принимают среднее арифметическое показателей предела прочности.

 

4.1.4 Контроль предела прочности при статическом изгибе вдоль волокон по ГОСТ 9625-87

Образцы фанеры, фанерных и столярных плит изготовляют в форме прямоугольной призмы размерами:

толщина h - соответствует толщине листа или плиты;

ширина b - 75 мм;

длина l1 - 25 h + 50 мм, но не менее 150 мм.

или

толщина h - размер образца по направлению действия изгибающегося усилия;

ширина b = 50 мм;

длина  = 15 h мм при h > 10 мм;

длина  = 150 мм при h < 10 мм.

Средствами испытания служит: Испытательная машина по ГОСТ 28840-90 с погрешностью измерения нагрузки не более 1 %. Приспособление к ней, состоящее из двух параллельных опор с цилиндрическими поверхностями, которые можно перемещать в горизонтальной плоскости, и нагрузочного ножа с цилиндрической поверхностью, расположенного параллельно опорам на равном расстоянии от них и имеющего возможность перемещения к вертикальной плоскости. Штангенциркуль ШЦЦ-0-2000 (Санкт-Петербург), микрометр МКЦ100-125 (Санкт-Петербург).

Испытание образцов проводят по схеме, приведенной на рисунке 2. Изгибающее усилие должно быть направлено посередине длины образца перпендикулярно или параллельно слоям, согласно требованиям стандартов на продукцию

Образец нагружают равномерно с постоянной скоростью нагружения. Скорость должна быть такой, чтобы образец разрушился через (60 ± 30) с после начала нагружения

.

Рисунок 11 - Образец для испытания

Предел прочности при статическом изгибе (sи) в МПа для каждого образца вычисляют по формуле:

,

где Рmax - максимальная нагрузка, Н;

l - расстояние между опорами, мм;

b - ширина образца мм;

h - толщина образца мм.

4.1.5 Контроль предела прочности при растяжении вдоль волокон по ГОСТ 9622-87

Метод определения предела прочности основан на определении максимальной нагрузки, разрушающей образец при растяжении.

Средствами испытания служит: испытательная машина по ГОСТ 28840, штангенциркуль ШЦЦ-0-2000 (Санкт-Петербург), микрометр МКЦ100-125 (Санкт-Петербург).

Подготавливают образцы вида






                                                                        

Рисунок 12 - Образцы для испытания

Образец нагружают равномерно с постоянной скоростью нагружения. Скорость должна быть такой, чтобы образец разрушился через (60 ± 30) с после начала нагружения.

Предел прочности при растяжении в МПа вычисляют по формуле:

где Рmax - максимальная нагрузка, Н;

b1 (h) - толщина рабочей часи образца, мм;

4.1.6 Контроль шероховатости по ГОСТ 15612-85

Шероховатость контролируют глубиномером ГИ - 100 (Киров).

При применении индикаторного глубиномера индикатор часового типа фиксируют в колодке так, чтобы измерительный наконечник выступал над опорной плоскостью колодки на величину хода от 1,6 до 2,0 мм. Глубиномер устанавливают опорной плоскостью колодки на плоскопараллельное стекло или контрольную плитку размерами не менее 25´100 мм и совмещают стрелку индикатора с нулевым делением шкалы.

В результате визуального осмотра контролируемой поверхности выбирают наиболее крупные неровности для их измерения. Количество измерений должно быть не менее пяти. При измерении высоты неровностей индикаторным глубиномером последний устанавливают на контролируемую поверхность так, чтобы конец измерительного наконечника индикатора касался дна наибольшей впадины. При измерении индикаторный глубиномер должен опираться на контролируемую поверхность только собственной массой. Отсчет по шкале индикатора, взятый с учетом вращения стрелки от 0 против хода часовой стрелки, соответствует расстоянию от высшей до низшей точки i-й неровности (Hmax i).

Параметр шероховатости (Rmmax) в микрометрах вычисляют по формуле

,

где Hmax i - расстояние от высшей до низшей точки i-й неровности, мкм;

n - число измерений

4.1.7 Контроль внешнего вида по ГОСТ 30427

Внешний вид фанеры определяют визуально, сравнивая с эталоном. В наружных слоях фанеры не допускаются пороки древесины и дефекты обработки, превышающие ограничения.

Во внутренних слоях фанеры допускаются пороки древесины и дефекты обработки, не влияющие на ее качество и размеры.

Контроль внешнего вида ответственная операция и напрямую зависит от квалификации контролера. Нормы ограничения пороков древесины приведены в таблице 8.

После проведения контроля производят приемку партии. Партия должна состоять из фанеры одной породы древесины, марки, одного, сорта, класса эмиссии, вида обработки поверхности. Партия должна быть оформлена одним документом о качестве, содержащим:

наименование страны-изготовителя;

наименование и (или) товарный знак предприятия-изготовителя и его адрес;

условное обозначение фанеры;

объем или площадь листов в партии;

штамп технического контроля;

обозначение национального знака соответствия для сертифицируемой продукции.

Партию считают соответствующей требованиям настоящего стандарта и принимают, если в выборках:

количество листов фанеры, не отвечающих требованиям стандарта по размерам, косине, прямолинейности, порокам древесины и дефектам обработки, меньше или равно приемочному числу, установленному в таблице 3;

все листы фанеры не имеют пузырей, расслоения и закорины;

содержание формальдегида соответствует нормам.

5 АВТОМАТИЗАЦИЯ ТЕХНОЛОГИЧЕСКОГО ПРОЦЕССА ПРОИЗВОДСТВА ФАНЕРЫ

 

5.1 Основные характеристики автоматизации


Автоматизация призвана осуществлять управление технологическими процессами. В технологическом процессе многие операции, которые выполняет человек, можно отдать на выполнение программно-техническому комплексу, состоящему из системы датчиков, управляющих элементов, контроллеров и промышленных компьютеров. При проведении на предприятии комплекса работ по автоматизации резко сокращается количество людей, вовлеченных в весь технологический процесс, повышается количество выпускаемой продукции, снижается вероятность брака изделий.

Технические преимущества автоматизации состоят в:

возможности автоматического оперативного сбора технологической информации;

оперативного диспетчерского контроля и управления исполнительными устройствами;

автоматическое документирование и архивирование процесса с возможностью последующего анализа любой его стадии, в том числе и оценки действий персонала и представление информации в удобном для оператора виде;

возможность создания контуров управления объектами с меняющимися во времени характеристиками, а также систем адаптивного управления и реализации алгоритмов нечеткой логики.

Автоматизация технологического процесса производства фанеры ФК производится согласно ГОСТ 24.104-85 Автоматизированные системы управления. Общие требования.

На чертеже 1 схема автоматического регулирования процесса производства фанеры ФК 1525х1525 10 mm. Характеристики датчиков и контроллеров в приложении 1.

5.2 Требования к АСУ


Ввод в действие АСУ (автоматической системы управления) должен приводить к полезным технико-экономическим, социальным или другим результатам, например:

·             снижению численности управленческого персонала;

·             повышению качества функционирования объекта управления;

·             повышению качества управления и др.

АСУ в необходимых объемах должна автоматизировано выполнять:

·             сбор, обработку и анализ информации (сигналов, сообщений, документов и т. п.) о состоянии объекта управления;

·             выработку управляющих воздействий (программ, планов и т. п.);

·             передачу управляющих воздействий (сигналов, указаний, документов) на исполнение и ее контроль;

·             реализацию и контроль выполнения управляющих воздействий;

·             обмен информацией (документами, сообщениями и т. п.) с взаимосвязанными автоматизированными системами.

В АСУ должны быть использованы технические средства, соответствующие:

·             по устойчивости к внешним воздействующим факторам - ГОСТ 12997-76 для промышленных приборов и средств автоматизации ГСП, ГОСТ 14254-80 для оболочек изделий электротехники, ГОСТ 17516-72 для изделий электротехники в части воздействия механических факторов внешней среды, ГОСТ 21552-84 для средств вычислительной техники;

·             по параметрам питания - ГОСТ 12997-76 для промышленных приборов и средств автоматизации ГСП, ГОСТ 21552-84 для средств вычислительной техники;

·             по категории исполнения - ГОСТ 12997-76 для промышленных приборов и средств автоматизации ГСП, ГОСТ 21552-84 для средств вычислительной техники.

Неправильные действия персонала АСУ не должны приводить к аварийной ситуации, и все внешние элементы технических средств АСУ, находящиеся под напряжением, должны иметь защиту от случайного прикосновения, а сами технические средства иметь зануление или защитное заземление в соответствии с ГОСТ 12.1.030-81 и « Правилами устройства электропитания ».

В данном технологическом процессе производства фанеры ФК используются системы автоматического регулирования как отечественного, так и зарубежного производства ( приложение 1), поэтому следует:

не допускать применения АСУ с разными характеристиками;

использовать АСУ прошедшую поверку;

отдавать предпочтение более дешевым отечественным аналогам.

6 ПРОЕКТ ЦЕХА ПО ПРОИЗВОДСТВУ ФАНЕРЫ И ГЕНЕРАЛЬНЫЙ ПЛАН ПРЕДПРИЯТИЯ


6.1 Цех по производству фанеры


Процесс производства фанеры связан с тяжестью труда, шумом, токсичностью связующих, пожароопасностью и другими рисками, поэтому при проектировании цеха необходимо:

·       между складами, производственной и бытовой частью возводить капитальные стены;

·       учитывать расстояние между оборудованием;

·       не допускать пересечения материальных частей;

·       предусматривать аварийные выходы;

·       иметь комнату отдыха для рабочих;

·       обеспечивать норму естественного освещения

На чертеже 2 показан план цеха по производству фанеры ФК 1525х1525 10mm

Общая площадь - 1800 м2;

Производственная площадь - 1440 м2;

Бытовая часть - 360 м2;

Складская площадь - 117.2 м2;

Электрощитовая - 6.76 м2;

Вентиляционная - 6.76 м2;

Тамбур - 68.4 м2;

 

6.2 Генеральный план предприятия по производству фанеры


Предприятие рекомендуется располагать вне населенных пунктов, в местах с хорошо развитой транспортной сетью (авто, ж/д дороги, реки) и в близи источников сырья.

На чертеже 3 показан генеральный план по производству фанеры

Общая площадь - 50000 м2;

Площадь застройки - 20275 м2;

Площадь застройки + площадь дорог - 25404 м2;

Площадь озеленения - 9833 м2;

Коэффициент застройки:


Коэффициент использования участка:


Коэффициент озеленения:

Похожие работы на - Проектирование процесса производства фанеры

 

Не нашли материал для своей работы?
Поможем написать уникальную работу
Без плагиата!
Без нейросетей!