Теоретико-экспериментальное обоснование повышения износостойкости пары трения кольцо-маслоотражатель турбокомпрессора методом отпуска
РЕФЕРАТ
Данная магистерская работа на тему: «Теоретико-экспериментальное
обоснование повышения износостойкости пары трения кольцо-маслоотражатель
турбокомпрессора методом отпуска» состоит из введения, 5-ти разделов, общих
выводов, списка литературы.
Работа содержит 21 рисунков, 9 таблиц и приложение. Полный объем работы
73 страницы. При разработке работы был использован 41 литературный источник.
Целью исследований является повышение износостойкости деталей торцевого
уплотнения турбокомпрессора.
Были проведены исследования по определению влияния режимов закалки на
твердость стали 40Х, из которой изготавливается маслоотражатель торцевого
уплотнения. Также были проведены исследования по определению влияния режимов
отпуска высокопрочных чугунов на твердость и износостойкость колец торцевого
уплотнения.
Результаты исследований показали, что с увеличением температуры закалки
стали 40Х увеличивается твердость маслоотражателя. С увеличением температуры
отпуска высокопрочных чугунов уменьшается твердость и износостойкость колец.
Наибольшей износостойкостью обладает чугун марки ВЧ-50 Гомельского завода спецлитья
(республика Беларусь).
Ключевые слова: турбокомпрессор, торцевое уплотнение, кольцо,
маслоотражатель, режимы термообработки, закалка, отпуск, высокопрочный чугун,
сталь, массовый и линейный износ.
ОГЛАВЛЕНИЕ
ВВЕДЕНИЕ
РАЗДЕЛ
1. АНАЛИЗ ПРИЧИН СНИЖЕНИЯ РЕСУРСА ТУРБОКОМПРЕССОРОВ
И ПУТИ ПОВЫШЕНИЯ ИЗНОСОСТОЙКОСТИ ДЕТАЛЕЙ ТОРЦЕВОГО УПЛОТНЕНИЯ
1.1 Назначение
турбокомпрессоров
1.2 Торцевые
уплотнения турбокомпрессоров
1.3 Пути
повышения износостойкости деталей торцевого уплотнения
1.4
Термообработка чугунов как способ повышения износостойкости колец
1.5
Термическая обработка сталей как способ повышения износостойкости
маслоотражателя
Цель и задачи
исследований
РАЗДЕЛ
2. ТЕОРЕТИЧЕСКИЕ ПРЕДПОСЫЛКИ ПОВЫШЕНИЯ
ИЗНОСОСТОЙКОСТИ ДЕТАЛЕЙ ТОРЦЕВОГО УПЛОТНЕНИЯ ТУРБОКОМПРЕССОРОВ
2.1.
Термообработка, как метод повышения износостойкости
2.2. Выбор
материала деталей
РАЗДЕЛ
3. МЕТОДИКА ЭКСПЕРИМЕНТАЛЬНЫХ ИССЛЕДОВАНИЙ
РАЗДЕЛ
4. РЕЗУЛЬТАТЫ ЭКСПЕРИМЕНТАЛЬНЫХ ИССЛЕДОВАНИЙ
РАЗДЕЛ
5. ЭКОНОМИЧЕСКАЯ ЭФФЕКТИВНОСТЬ ВНЕДРЕНИЯ
РЕЗУЛЬТАТОВ ИССЛЕДОВАНИЙ
ОБЩИЕ ВЫВОДЫ
СПИСОК ЛИТЕРАТУРЫ
ВВЕДЕНИЕ
Актуальность темы. Мощность, которую может развить ДВС, напрямую зависит от
количества воздуха и топлива, которые поступают в двигатель. Для повышения
мощности и топливной экономичности двигателя применяют турбокомпрессор. Однако
техническое состояние турбокомпрессора влияет на технико-экономические
показатели и ресурс двигателя. Поэтому очень важно вовремя и качественно
отремонтировать турбокомпрессор для увеличения его ресурса. Наибольшее влияние
на ресурс турбокомпрессора оказывает состояние деталей торцевого уплотнения.
Повышенный износ деталей торцевого уплотнения приводит к снижению ресурса и
повышению количества ремонтов турбокомпрессоров. Рынок оказания услуг по
ремонту турбокомпрессоров в Луганской области, а также центральной и восточной
части Украины желает оставлять лучшего. В основном турбокомпрессоры
ремонтируют в Запорожской области (г. Мелитополь ООО "Декорт ",
Компания "Дизель Турбо", ТКЗМ "ПИОНЕR", ООО «МЗТк -
Турбоком», ООО "Юг-ТурбоСервис"), Харьковской области (г. Дергачи,
ООО «Агромаркет») и Луганской области (г. Белолуцк, РТП и г. Луганск, ЛНАУ)[1…7].
Покупные детали торцевого уплотнения турбокомпрессора, подаваемые
на сборку, обладают низкой точностью. Это приводит к увеличению времени обкатки
турбокомпрессоров и снижению их межремонтного ресурса. Изготовление колец
торцевого уплотнения в условиях научно-производственной лаборатории ЛНАУ
позволяет повысить ресурс торцевого уплотнения и турбокомпрессора в целом.
Однако разработанная технология изготовления колец и маслоотражателя
торцевого уплотнения требует доработки, поскольку на износостойкость деталей
значительное влияние оказывают материал и режимы их термообработки, что
является целью данной работы.
Связь работы с научными программами,
планами темами.
Исследования по теме магистерской работы проводились в связи с выполнением НИР
в лаборатории по ремонту турбокомпрессоров научно-производственной лаборатории
ремонта и ускоренной обкатки автотракторных двигателей Луганского национального
аграрного университета по теме: № 0109U002708 по кафедре ремонта машин и
технологии конструкционных материалов.
Объект исследований. Технологический процесс закалки и
отпуска деталей торцевого уплотнения турбокомпрессора.
Предмет исследований. Изучение закономерности процесса закалки и отпуска деталей
торцевого уплотнения турбокомпрессора.
Цель и задачи исследований. Цель работы - повысить износостойкость деталей
торцевого уплотнения турбокомпрессора. Цель достигается решением следующих
задач:
1. Исследованием влияния режимов отпуска
высокопрочных чугунов на твердость колец и их износ после стендовой обкатки
турбокомпрессоров.
2. Исследованием влияния режимов закалки
маслоотражателя на твердость и износ после стендовой обкатки турбокомпрессоров.
3. Оценкой экономической эффективности
внедрения результатов исследований.
РАЗДЕЛ 1 АНАЛИЗ ПРИЧИН СНИЖЕНИЯ РЕСУРСА
ТУРБОКОМПРЕССОРОВ И ПУТИ ПОВЫШЕНИЯ
ИЗНОСОСТОЙКОСТИ ДЕТАЛЕЙ ТОРЦЕВОГО УПЛОТНЕНИЯ
1.1
Назначение турбокомпрессоров
Более ста лет человечество использует технологии, связанные с двигателями
внутреннего сгорания. Однако всё это время они не стояли на месте, а динамично
развивались. Пятидесятые годы ХХ века ознаменовались прорывом в этой сфере,
потому что впервые, после своего появления в 1905 году, массово были
задействованы турбокомпрессоры (рис. 1.1) [8].
Так как турбокомпрессоры обладают рядом достоинств, в сравнении с
атмосферными (или безнаддувными) двигателями, это даёт ряд преимуществ их
владельцам. Во-первых, турбокомпрессоры дают гораздо более высокое соотношение
массы к мощности двигателя, что позволяет значительно уменьшить вес и объём
двигателя. Во-вторых, турбокомпрессоры позволяют гораздо меньше переключать
передачи, особенно на горных дорогах, что делает вождение “мягче”. Мало того,
турбокомпрессоры помогают компенсировать снижение атмосферного давления,
поэтому двигатели, оснащённые ими, всё равно работают на стандартную мощность.
В-третьих, турбокомпрессоры позволяют обеспечить более эффективное сгорание
топлива, что ведёт к его значительной экономии. Только за прошлые 25 лет
турбокомпрессоры дали возможность сократить потребление горючего на 40%, и это
притом, что средняя скорость автомобилей увеличилась на 50%. Кроме того,
поскольку турбокомпрессоры улучшают сгорание топлива, это позволяет уменьшить
токсичность отработанных газов, что следует учесть владельцам автомобилей,
часто посещающих страны с высокими экологическими требованиями.
Рисунок 1.1. Турбокомпрессор в разрезе: 1 - улитка компрессора; 2 -
корпус; 3 - стопорные кольца; 4 - стяжной хомут; 5 - улитка турбины; 6 -
уплотнительное кольцо со стороны турбины (аналогичное есть со стороны компрессора,
на рис. его не видно); 7 - колесо турбины; 8 - промежуточные втулки подшипников
скольжения; 9 - упорный подшипник скольжения; 10 - колесо компрессора; 11 -
гайка.
На сегодняшний день существуют турбокомпрессоры, использующие различный
подход к решению поставленных перед ними задач. Одним из таких методов, более
традиционных, является постоянная турбокомпрессия. Турбокомпрессоры, работающие
по принципу постоянной турбокомпресси, колебания давления гасят при помощи
солидного выхлопного коллектора, что обеспечивает проход большого числа газов с
низким давлением даже на высоких оборотах. Поскольку выхлопные газы
выбрасываются с меньшим сопротивлением, турбокомпрессоры помогают в некоторых
случаях снизить расход топлива. Однако, постоянная турбокомпрессия имеет
намного меньший крутящий момент, особенно на низких оборотах, поэтому
турбокомпрессоры с постоянной турбокомпрессией используются на двигателях, не
нуждающихся в резком увеличении крутящего момента. К примеру, это могут быть
промышленные или морские двигатели.
В двигателях, которым важно получить высокий крутящий момент и при низких
скоростях, используются турбокомпрессоры, в которых применяется технология
пульсирующей турбокомпрессии. Такие турбокомпрессоры не нуждаются в больших
выпускных коллекторах, это практически полностью сохраняет кинетическую
энергию, которой обладают выхлопные газы, что выходят из цилиндра. Подобный
эффект достигается путём соединения выпускных коллекторов, поскольку цилиндры
не сообщаются друг с другом и давление в каналах не постоянно.
Поначалу турбокомпрессоры использовались преимущественно в дизельных
двигателях, это и понятно, поскольку в силу принципа работы они больше
нуждаются в увеличении давления воздуха. Современные турбокомпрессоры позволили
дизельным двигателям значительно снизить выброс СО2 в сравнении с
двигателями такой же мощности, работающими на бензине, а использование
технологии прямого впрыска снизило расход топлива на 15%. Но тут возникает
вопрос: почему же большинство автомобилей в Европе продолжает использовать
бензиновые двигатели, если дизельные так хороши? Ответ прост - каждый тип
двигателя имеет ряд преимуществ и недостатков, иначе бы дизельные двигатели, на
которых установлены турбокомпрессоры, давно бы вытеснили с рынка бензиновые
двигатели. Одним из главных недостатков дизельного двигателя является его
размер, поэтому большинство легковых автомобилей, особенно малолитражные,
оснащаются бензиновыми двигателями. Кроме того, поскольку интенсивность
движения постоянно растёт, нагрузка на легковые автомобили может быть неполной
и именно бензиновый двигатель, благодаря своему меньшему объёму, снижает потери
энергии. Но что делать, если экологические стандарты для разных типов
двигателей практически не отличаются, да и сэкономить на бензине тоже хочется?
Конструкторы придумали выход - установили турбокомпрессоры на бензиновые
двигатели. Именно благодаря тому, что турбокомпрессоры появились на бензиновых
двигателях, это уравняло их с дизельными двигателями и в экономичности, и в
экологическом плане. И хотя турбокомпрессоры на бензиновых двигателях пока
стоят, в основном, на спортивных автомобилях, подобная технология пользуется
всё большей популярностью, как среди производителей, так и среди потребителей,
оценивших все её преимущества (рис. 1.2) [9].
Рисунок 1.2. Принцип работы турбокомпрессора [10].
1.2
Торцевые уплотнения турбокомпрессоров
Турбокомпрессор состоит из приводимого в движение выхлопными газами
колеса турбины с валом и распложенного на противоположном конце вала колеса
компрессора, вместе - ротор. Максимальная частота вращения ротора
турбокомпрессора С-14 колеблется в диапазоне 60…140 тыс. оборотов в минуту. При
этом чем меньше турбокомпрессор, тем выше его рабочие и максимальные частоты
вращения. Ротор расположен в корпусе (средней части), к которому присоединены
горячая и холодная улитки.
Ротор установлен в подшипниках скольжения. В осевом направлении ротор
удерживается гидродинамическим подпятником. В канавку упорной стальной втулки,
расположенной на валу, входит бронзовая или чугунная фигурная пластина, имеющая
отверстия для подачи масла. На подшипники и гидродинамический подпятник масло
подается под давлением от маслосистемы двигателя. Корпус имеет каналы подвода и
слива масла, а на некоторых типах турбокомпрессоров имеются каналы для
жидкостного охлаждения.
На корпусе крепятся холодная и горячая улитки, формируя газовоздушный
тракт турбокомпрессора.
Для исключения попадания масла из масляной полости в газовоздушный тракт
устанавливаются уплотнения. Со стороны турбины обычно применяется уплотнение с
пружинным разжимным кольцом. Кольцо из специального чугуна или стали,
устанавливается неподвижно в корпусе и работает по канавке вала с очень малым
торцевым зазором. Со стороны компрессора в основном применяется аналогичная
конструкция, на некоторых типах турбин используется торцевое графитовое или
карбоновое уплотнение [11].
В связи с тем, что турбокомпрессоры
работают в тяжелых условиях - большой перепад температур на турбине
и компрессоре, высокая скорость скольжения деталей, вибрация и др. факторы влияющие
на работоспособность, приводят к быстрому выходу из
строя турбокомпрессора. А это в свою очередь резко увеличивает расход масла, закоксовываются поршневые кольца, падает
мощность двигателя, значительно увеличивается дымность выхлопа, что сильно
загрязняет окружающую среду.
Таким образом, нарушение
работоспособности компрессора ведет не только к экономическим
потерям, но также оказывает отрицательное влияние на экологическую
обстановку окружающей среды.
Для смазки трущихся поверхностей, отвода тепла и смыва продуктов износа к
трущимся поверхностям подается под давлением масло. В зависимости от величины
зазоров в сопряжении в полости смазки создается определенное давление, которое
должно быть не менее 0,2 МПа.
На работоспособность турбокомпрессора в большой степени оказывает влияние
состояния уплотняющих элементов, состояние сопряжения вал-подшипник скольжения,
величина дисбаланса.
Анализ изношенных деталей кольца и малозапорной шайбы, снятых во время
ремонта, показывает, что основной причиной выхода из строя пары является
гидроабразивный износ.
Многие ремонтные предприятия, которые
занимаются ремонтом турбокомпрессоров, обычно все причины отказа турбокомпрессоров
связывают с неисправностью уплотнительных колец и посадочных поверхностей под
уплотнительные кольца [12].
Исследования, проведенные в лаборатории
ремонта турбокомпрессоров ЛНАУ, подтверждают, что уплотнение является важным
звеном в турбокомпрессоре и от его параметров в большой степени зависит ресурс
турбокомпрессора. Но отказ уплотнения часто является следствием других
неисправностей, которые на первый взгляд не кажутся существенными и внешне их
трудно обнаружить.
Анализ отказов турбокомпрессоров, проводимый в лаборатории в
течение нескольких лет позволяет определить основные факторы, которые снижают надежность турбокомпрессоров.
К технологическим факторам можно отнести
нарушение точности взаимного расположения поверхностей деталей,
которое выражается в несоосности отверстия под подшипник и отверстие
под уплотнительные кольца, а также неперпендикулярность поверхности
под подшипник к посадочной поверхности под крышку уплотнителя, что ведет к
смещению вала относительно оси отверстий к перекосу уплотнительных колец.
Эксплуатационные факторы, влияющие на
срок службы ТКР. Анализ неисправностей турбокомпрессоров, поступивших в
ремонт показывает,
что основная часть, около 80% отказывают являются результатом износа подшипников скольжения, валов, уплотнений.
Примерно 5% отказов, являются следствием попадания посторонних предметов на
лопатки компрессорного и турбинного колес. Около 5% отказов вызвано неисправностью
системы смазки или другими причинами.
К посторонним предметам, попадающим на
колесо компрессора, относятся: элементы воздушного фильтра, кусочки
резины или проволоки, болты, гайки, шайбы, попавшие во впускной патрубок при
замене турбокомпрессора. Все эти предметы, даже при незначительном своем размере, приводят к серьезному
повреждению колеса турбины.
Неисправностей системы смазки,
вызывающих повреждения ТКР, может быть несколько. Наиболее часто
встречаются отложения загрязнений в трубопроводах, по которым
подается, и отводится масел в ТКР. Для нормальной работы ТКР очень важно, чтобы
при тяжелых условиях работы подавалось определенное количество масла производителем в
подшипники, масло должно быть чистым и соответствующей марки.
Повреждения ТКР могут быть вызваны также
повышенной температурой отработавших газов, например, при неправильной регулировке
топливной аппаратуры.
При несвоевременной замене воздушного
фильтра возможно отложение загрязнений в корпусе компрессорного
колеса, что приведет к уменьшению воздуха в цилиндре и к перегреву,
кроме того, создается вакуум во всасывающем трубопроводе и подсос масла через
уплотнения.
Поломку ТКР можно исключить, если не
допускать попадания посторонних предметов на лопатки турбинного и компрессорного колес,
не превышать допустимые температуры работы
ТКР и если обеспечить подачу качественного масла в необходимом
количестве.
Одним из наиболее применяемых уплотняющих устройств является торцовое
уплотнение с металлическим уплотнительным элементом. Торцевое уплотнение
состоит в основном из трех элементов: двух колец (вращающегося и неподвижного),
образующих плоскую пару трения, и упругого элемента, обеспечивающего контакт в
паре трения.
Вращающееся кольцо герметично связано с валом посредством упругого
элемента, который обеспечивает постоянный плотный контакт колец при вибрации и
смещениях вала, а также износе элементов пары трения. Зазор в паре трения
определяет утечки жидкости или газа, находящихся в рабочем пространстве машины,
аппарата или механизма под давлением.
Важными факторами, определяющими конструктивные особенности уплотнения,
являются: диаметр и частота вращения вала, его биение и возможные смещения, допустимые
габариты уплотнения, условия его сборки и разборки при необходимости замены.
Выбор конструкции торцевого уплотнения в значительной степени определяется
физико-химическими свойствами среды, для которой предназначено уплотнение: ее
агрегатным состоянием (газ, жидкость), давлением, температурой, вязкостью,
содержанием взвешенных твердых частиц и солей, химической агрессивностью,
воспламеняемостью (при нагреве, в контакте с атмосферой), степенью опасности
воздействия на людей и окружающую среду. Торцевые уплотнения можно разделить на
две группы: І - с пружинами; ІІ - динамического типа, работающие на принципе
разности давлений.
По условиям работы можно выделить четыре группы торцовых уплотнений:
- уплотнения для химически неагрессивных и слабоагрессивных
сред (масел, нефтепродуктов, воды и т.д.);
- уплотнения для химически агрессивных сред (кислот, щелочей,
газов и т.д.);
- уплотнения для сред с большим содержанием твердых частиц и
включений;
- специальные уплотнения.
Специальные уплотнения, в отличие от первых трех групп выпускают малыми
партиями и даже единично для специфических, часто особо трудных условий работы:
высокое давление, высокие или очень низкие (криогенные) температуры, высокая
частота вращения вала, большой диаметр вала. К специальным конструкциям относят
разъемные торцевые уплотнения, которые можно заменить без разборки машины, а
также уплотнения, отличающиеся высокой надежностью конструкции,
устанавливаемые, например, в недоступных для обслуживания местах.
В торцевых уплотнениях применяют пары трения трех видов:
- обыкновенные (контакт двух колец с плоскими кольцевыми
поверхностями);
- гидродинамические (контакт кольца с поверхностью, на которой
выполнены наклонные, ступенчатые или другие площадки, создающие
гидродинамическую силу);
- гидростатические (контакт кольца с плоской поверхностью и
кольца с камерами и канавками, в которые подается жидкость под давлением).
Зазоры в работающих торцевых уплотнениях различны (для обыкновенных пар
трения 0,5…2 мкм; для гидродинамических - более 2 мкм; для гидростатических -
более 5 мкм), поэтому механизмы герметизации этих пар трения также различны. В
зазорах обыкновенных пар трения происходит контакт микронеровностей трущихся
поверхностей и, как следствие этого - их изнашивание. В гидродинамических парах
трения трущиеся поверхности разделены слоем жидкости, контакты микронеровностей
сравнительно малочисленны и носят случайный характер. В гидростатических парах
трения, контакты микронеровностей отсутствуют, и наблюдается чисто
гидродинамический режим смазки.
Оптимальная высота кольца должна быть 1,8…2,2 мм. При уменьшении высоты
кольца, увеличивается его коробление, увеличивается удельное давление кольца по
наружному диаметру, снижается также прочность, в то время как увеличение высоты
кольца ведет к увеличению его жесткости, а следовательно, к плохой
прирабатываемости (увеличивается сопротивление перемещению кольца в корпусе).
Сила, прижимающая одну поверхность к другой, воспринимается выступами
шероховатости и давлением жидкости, заполняющей зазор при трении. С увеличением
силы прижатия площадь контактов шероховатостей увеличивается, а средний зазор в
паре трения уменьшается. При этом герметичность пары трения возрастает.
Повышение контактного давления сопровождается повышением температуры в
уплотнительном зазоре, влияющей на режим износа. Еще большее влияние на
герметичность уплотнения оказывает макрогеометрия кольца [13].
1.3 Пути
повышения износостойкости деталей торцевого
уплотнения
Известно, что работоспособность техники во многом зависит от качества
ремонта и технического обслуживания, уровень которых, в свою очередь,
обусловлен надежностью и ресурсом запасных частей, в том числе восстановленных
[14…21].
Исследование ремонтного фонда показывает, что в среднем только до 20%
деталей турбокомпрессоров подлежат выбраковке, 25…40% являются вполне годными
для дальнейшей эксплуатации, а остальные можно восстановить. Следовательно,
значительная часть деталей может быть восстановлена и тем самым обеспечена
работоспособность турбокомпрессора.
Ресурс большинства турбокомпрессоров обычно зависит от небольшого числа
деталей. Это позволяет определить номенклатуру и планировать конкретные объемы
восстановления деталей.
В большинстве случаев отказ турбокомпрессора происходит из-за выхода со
строя торцевого уплотнения. Материал, из которого изготовлена маслозапорная
шайба сталь - 45Х, допускается сталь 40Х, а уплотнительное кольцо изготовлено с
специального чугуна твердостью HRC
94…104 [22, 23].
В процессе эксплуатации уплотнения из-за гидроабразивного изнашивания,
происходит механическое разрушение поверхностей трущихся деталей. Это приводит
к изменению геометрических размеров и снижению работоспособности узла в целом.
Профиллографированием поверхностей установлено, что износ кольца может
достигать 8…10 мкм. Исследование закономерности износа поверхностей
уплотнительного кольца турбокомпрессора показало, что торцовые поверхности
одного кольца изнашиваются неравномерно. Основной износ приходится на торцовую
поверхность кольца, расположенную со стороны компрессора (в дальнейшем будем ее
считать активной, а менее изношенная торцовая поверхность кольца со стороны
турбины (будем ее считать пассивной)). В результате такого износа приходится
производить замену узла в целом.
Учитывая значительную стоимость деталей и их низкое качество
изготовления, целесообразно производить изготовление и восстановление деталей,
пригодных для работы в данных условиях.
Износ контактных поверхностей пары трения, происходящих за счет
механического трения, усугубляется тем, что смазка (масло) происходит по
центральному отверстию, имеет мельчайшие твердые частицы. При вращении, под
действием центробежной силы, эти частицы забрасываются на контактирующие
поверхности и таким образом вызывают гидрообразивный износ дополнительно.
Разрушение из-за попадания на поверхности деталей мельчайших абразива
частиц происходит в результате срезания, выкрашивания, выбивания и
многократного пластического деформирования микрообъемов поверхностей.
Интенсивность изнашивания определяется скоростью, свойствами и формой
абразивных частиц, температурой и степенью запыленности жидкого потока, а также
физико-механическими свойствами изнашиваемого материала [14…21].
Одной из причин износа является работа в условиях высоких температур.
Поэтому условие теплоотвода из зоны трения имеет существенное значение и в
основном зависит от теплопроводности материала и смазки. Чем ниже
теплопроводность материала, тем выше температура в контакте пары трения, а
также попадания выхлопных газов. Отсюда и режим трения ближе к сухому, так как жидкость
в зазоре пары может переходить в газообразное состояние. Кроме того, при
значительном повышении температуры в контакте трения возможно появление
терморастрескивания. Износ материалов пар трения еще не достаточно изучен. Это
явление в настоящее время объясняется усталостью материалов и сводится к
следующим основным положениям [18…20].
Контакт твердых тел вследствие неоднородности их физико-химических
свойств, шероховатостей, а также попадания мельчайших твердых частиц, дискретен
и происходит на весьма малых площадях, образующих в совокупности площадь
физического контакта.
В зависимости от условий нагружения, физической природы материалов пары
трения и характера микрорельефа сопряженных поверхностей могут наблюдаться
различные механические состояния материалов, находящихся в зоне контакта:
механическое и молекулярное взаимодействие. Механическое взаимодействие -
упругий контакт, пластический контакт и микрорезание. Молекулярное
взаимодействие - адгезионное схватывание поверхностных пленок.
При скольжении происходит непрерывная миграция зоны фактического контакта
по поверхности каждого из тел. При этом микрообъем материалов, примыкающих к
площадям фактического контакта, подвергается многократным силовым воздействиям,
в результате чего происходит накопление дефектов, приводящих к образованию
микротрещин. А это в свою очередь заканчивается отделением частиц износа. Этот
процесс именуют фракционной усталостью. Следует добавить, что в поверхностном
слое в период предразрушения могут идти самые различные химические,
физико-химические и другие процессы.
В диапазоне скоростей скольжения и удельных давлений, в которых работают
кольцо и шайба, действуют два фактора, влияющих на износ: механический и
термический, которые действуют одновременно [17…21]. С увеличением контактного
давления износ возрастает вследствие активного вытеснения пленки смазки и
увеличения площади фактического контакта. Аналогичное увеличение износа
происходит и тогда, когда часть тонкой пленки жидкости может быть ускорена
из-за больших удельных давлений, скоростей скольжения коэффициента трения и
плохого отвода тепла. И, как результат, рост температуры среды, повышение
химической активности трущихся поверхностей, возникновение термогальванической
коррозии металла, коксование или смолообразование некоторых масел, приводящие к
увеличению износа. В реальных условиях эксплуатационный износ трудящихся
поверхностей пропорционален скорости скольжения и удельному давлению. Поскольку
уплотнение работает в тяжелых условиях, при большом числе одновременно действующих
факторов, к выбору материалов предъявляют высокие требования с тем, чтобы они
отвечали условиям быстрой прирабатываемости, высоким антифрикационным свойствам
и теплопроводностью. Поэтому износостойкость пары трения является одним из
важнейших эксплуатационных характеристик и является одним из требований к
материалам, используемых для изготовления и восстановления деталей. Выбранный
материал должен обладать достаточной механической прочностью, технологичностью,
а пара трения должна обеспечивать минимальный коэффициент трения, исключать
возможность схватывания и заедания. Конструкция и технология изготовления
должны обеспечивать гарантированный зазор между торцами кольца и канавки. Для
повышения износостойкости колец производитель покрывает торцы колец твердым
хромом либо кольца лудят оловом [17]. Основным материалом для изготовления
колец уплотнений является специальный чугун. Поэтому, применяя различные режимы
термообработки, производители изменяют механические свойства и износостойкость
колец [17, 23…25].
1.4
Термообработка чугунов как способ повышения
износостойкости
колец
Чугун - сплав железа с углеродом (содержанием обычно более 2,14 %),
характеризующийся эвтектическим превращением. Углерод в чугуне может
содержаться в виде цементита и графита. В зависимости от формы графита и
количества цементита, выделяют: белый, серый, ковкий и высокопрочные чугуны.
Чугуны содержат постоянные примеси (Si, Mn, S, P), а в некоторых случаях также
легирующие элементы (Cr, Ni, V, Al и др.). Как правило, чугун хрупок [26, 27].
Различают несколько видов чугуна:
- белый чугун, в котором весь углерод (2,0...3,8%) находится в связанном
состоянии в виде цементита, что и определяет его свойства: высокая твердость(НВ
450…550) и хрупкость, хорошая сопротивляемость износу, плохая обрабатываемость
режущими инструментами. Белый чугун применяют для получения серого и ковкого
чугуна и стали. Для изготовления деталей машин белый чугун не используется,
серый чугун (Сч)(таблица 1.1) содержит углерод в связанном состоянии только частично
(не более 0,5%). Остальной углерод находится в чугуне в свободном состоянии в
виде графита.
Таблица 1.1 - Механические свойства серых чугунов
|
Чугун
|
σВ, МПа
|
НВ
|
Структура металлической
основы
|
|
Сч - 15
|
150
|
163-229
|
Феррит
|
|
Сч - 25
|
250
|
180-250
|
Феррит + Перлит
|
|
Сч - 40
|
400
|
207-285
|
Перлит
|
|
Сч - 45
|
450
|
229-289
|
Перлит
|
Графитовые включения делают цвет излома серым. Чем излом темнее, тем
чугун мягче. Образование графита происходит в результате термической обработки
белого чугуна, когда часть цементита распадается на мягкое пластичное железо и
графит. В зависимости от преобладающей структуры различают серый чугун на
перлитной, ферритной или феррито-перлитной основе.
Свойства серого чугуна зависят от режима охлаждения и наличия некоторых
примесей. Например, чем больше кремния, тем больше выделяется графита, а потому
чугун делается мягче. Серый чугун имеет умеренную твердость и легко
обрабатывается режущими инструментами.
Сч - 10; Сч - 15 - используется для слабо- и средненагревающихся деталей
(крышки, фланцы, маховики, суппорты, тормозные барабаны, диски сцепления).
Сч - 20; Сч - 25 - применяется для деталей, работающих при повышенных
статистических и динамических нагрузках (картеры двигателя, поршни цилиндров,
барабаны сцепления, станины станков и т. д.).
Сч - 40; Сч - 45 - перлитный чугун. Обладает более высокими механическими
свойствами (корпуса насосов, компрессоров, гидроприводов);
ковкий чугун (Кч) получают после длительного отжига белого чугуна при
высоких температурах, когда цементит почти полностью распадается с выделением
свободного углерода на ферритной или перлитной основе. Углеродные включения
имеют округлую, хлопьевидную форму. В отличие от серых, ковкие чугуны являются
более прочными и пластичными и легче обрабатываются. Этот чугун применяют для изготовления
деталей высокой прочности, которые подвержены сильному истиранию и ударным,
законопеременным нагрузкам;
- высокопрочные (модифицированные) чугуны (Вч) (таблица 1.2) значительно
превосходят обычные серые по прочности и обладают некоторыми пластическими
свойствами. Их применяют для отливок ответственных деталей, для изготовления
оборудования прокатных станков, кузнечно-прессового оборудования, корпусов
паровых турбин, коленчатых валов и др. сталь чугун
маслоотражатель турбокомпрессор
Феррит
(лат.
<#"527607.files/image003.gif">
Рисунок 1.3. Изменение твердости и вязкости стали 45Х в
зависимости от температур отпуска
Цель и
задачи исследований
Проведенный анализ работы и износа торцевых уплотнений турбокомпрессоров
показывает, что детали уплотнения работающие в условиях трения имеют такую
степень износа, которая позволяет изменить материал кольца и его геометрические
параметры.
Обзор технической литературы свидетельствует, что существуют уплотнения
с различным материалом уплотнительных колец, которые обеспечивают герметичность
уплотнения в разных условиях работы. Работоспособность турбокомпрессоров во многом зависит от износостойкости
деталей торцевого уплотнения и качества ремонта и технического обслуживания,
уровень которых, в свою очередь, обусловлен надежностью и ресурсом запасных
частей, в том числе восстановленных. В
большинстве случаев отказ турбокомпрессора происходит из-за выхода со строя
торцевого уплотнения. Материал, из которого изготовлен маслоотражатель - сталь
45Х, допускается сталь 40Х, а кольцо уплотнительное изготовлено с чугуна
специального твердостью HRC
94…104 [23; 34]. В процессе эксплуатации уплотнения из-за гидроабразивного
изнашивания, происходит механическое разрушение поверхностей трущихся деталей.
Это приводит к изменению геометрических размеров и снижению работоспособности
узла в целом. Поэтому износостойкость пары трения является одним из важнейших
эксплуатационных характеристик и является одним из требований к материалам,
используемых для изготовления и восстановления деталей. Выбранный материал
должен обладать достаточной механической прочностью, технологичностью, а пара
трения должна обеспечивать минимальный коэффициент трения, исключать
возможность схватывания и заедания.
Данным свойствам лучше всего подходит: для кольца высокопрочный чугун, из
которого изготовляют поршневые кольца двигателей внутреннего сгорания, а для
маслоотражателя - сталь 40Х. Механические свойства высокопрочного чугуна
позволяют применять его для изготовления деталей, работающих при циклических
нагрузках и в условиях сильного абразивного износа [25]. Важнейшей особенностью
высокопрочного чугуна является высокий уровень механических свойств,
соответствующий свойствам стали. По сравнению с углеродистой сталью
высокопрочный чугун имеет более высокую износостойкость, что увеличивает срок
службы деталей машин; лучшую обрабатываемость резанием, что снижает расход
режущего инструмента. По сравнению с серым чугуном высокопрочный имеет не
только более высокие механические свойства, но и лучшую свариваемость [19].
Закалкой чугуна, с последующим отпуском можно достичь повышения твердости
с целью повышения износостойкости.
Проводя закалку стального маслоотражателя можно получить повышенную
твердость в заранее определенных местах. Однако для получения необходимой
твердости и износостойкости после термической обработки имеет основное значение
температура закалки, которая зависит также от состава стали.
Поскольку на механические свойства и износостойкость чугунов влияет
температура закалки и отпуска, то необходимо исследовать эту взаимосвязь для
высокопрочных чугунов различных марок и отлитых по различной технологии.
Исходя из вышеизложенного, целью работы является повышение
износостойкости деталей торцевого уплотнения турбокомпрессора. Цель достигается
решением следующих задач:
1. Исследованием влияния режимов отпуска высокопрочных чугунов на
твердость колец и их износ после стендовой обкатки турбокомпрессоров.
2. Исследованием влияния режимов закалки маслоотражателя на твердость и
износ после стендовой обкатки турбокомпрессоров.
3. Оценкой экономической эффективности внедрения результатов
исследований.
РАЗДЕЛ 2 ТЕОРЕТИЧЕСКИЕ ПРЕДПОСЫЛКИ ПОВЫШЕНИЯ
ИЗНОСОСТОЙКОСТИ ДЕТАЛЕЙ ТОРЦЕВОГО УПЛОТНЕНИЯ
ТУРБОКОМПРЕССОРОВ
2.1
Термообработка, как метод повышения износостойкости
Термическая обработка является одним из способов повышения
износостойкости деталей. Одним из важнейших этапов термообработки является
закалка и отпуск. Так, как химический состав и структура всех металлов сильно
отличаются друг от друга, то соответственно, и режимы термообработки у них буду
различными.
При отпуске деталей из серых чугунов, температура отпуска колеблется в
пределах 150оС…600оС. Также стоит учитывать, что нагрев
сложных деталей из серого чугуна производится медленно. Выдержка в печи при
заданной температуре составляет 1…3 часа. Охлаждение производится на воздухе.
Такой режим отпуска позволяет нам снять термические напряжения в деталях и
добиться определенной твердости изделия. Такой режим отпуска будет
способствовать превращению остаточного аустенита, мартенсита, укрупнению
карбидной фазы. Исходная структура основной массы будет представлять собой
мартенсит, тростит, остаточный аустенит. Конечная структура будет представлена
в виде мартенсита, троостита, сорбита отпуска.
Отпуск высокопрочных чугунов производится в диапазонах температур 200оС…600оС.
Для деталей сложной формы, как впрочем и при отпуске серых чугунов, нагрев
применяется медленный. Выдержка в печи при заданной температуре составляет 1…3
часа. Охлаждение деталей из высокопрочных чугунов можно производить как вместе
с печью, так и на воздухе.
В диапазон температур 150…170оС, при отпуске ковких чугунов,
рекомендуемая температура выдержки составляет 30…60 минут. После чего следует
остывание детали на воздухе. Тем самым мы можем добиться снятия напряжений и
получить твердость детали в пределах 51…58 HRC. Выдержка в пределах 380…400оС
на протяжении 45…75 минут, способствует получению твердости в пределах 37…43
HRC. Если в течении 45…90 минут деталь из ковкого чугуна выдержать при
температуре 530…550оС, твердость будет в пределах 24…28 HRC.
Сочетание температур 600…650оС и времени выдержки 30…90 минут
позволит нам получить твердость в пределах 20...25 HRC [33].
На получение оптимальной структуры после закалки и
формирования конечных свойств, получаемых при отпуске закаленной стали, влияет
правильный выбор температуры и времени выдержки при нагреве под закалку.
Температура нагрева под закалку углеродистой стали выбирается на 20...40оС
выше точти А3, для доэвтектоидной - на 30...50оС выше
точки А3. Для легированной стали температура нагрева под закалку
может быть выше точки А3 на 50...150оС.
Температура нагрева под закалку завасит от скорости нагрева.
Чем выше скорость, тем выше должна быть температура и меньше время при выдержи
при ней (рис. 2.1) [31].
Рисунок 2.1. Диаграмма состояния железо-углерод
2.2 Выбор
материала деталей
Выбор материалов пар трения осуществляется по показателям применимости. Анализ
работы торцовых уплотнений показывает, что требования, предъявляемые к
материалам пар трения, можно свести к следующим показателям применимости:
твердость после термообработки;
износостойкость материала при стабильном режиме работы торцового уплотнения.
Показатели применимости материалов для пар трения существенно различны и
по общему их числу, и по весомости каждого показателя.
Оптимальные материалы для пар трения торцовых уплотнений выбирают по
комплексному показателю применимости Q, который определяют как средневзвешенное отдельных показателей
применимости qi:
(2.1)
где n - число показателей применимости;
mi - коэффициент весомости показателя применимости (табличное значение).
Пригодность материала для пар трения торцовых уплотнений оценивают по
следующей шкале
Q ≥ 1 -
отлично
Q ≥ 0,8 -
хорошо
Q ≥ 0,6 -
удовлетворительно
Q <
0,6 - неудовлетворительно.
Для материалов пар трения торцовых уплотнений турбокомпрессоров
комплексный показатель применимости должен быть не менее 0,6.
При определении показателей применимости оцениваемых материалов за
эталонные принимают лучшие свойства известных антифрикционных материалов,
применяемых в настоящее время в качестве пар трения торцовых уплотнений.
В связи с различным механизмом изнашивания пар трения торцовых уплотнений
в чистых средах и в средах с абразивными включениями используют два способа
определения показателей применимости материалов по износостойкости.
В чистых средах изнашивание колец пар трения происходи в осевом
направлении. Классическая кривая изнашивания материала во времени имеет участок
сравнительно не продолжительной приработки и линейный участок, соответствующий
стабильному режиму изнашивания при нормальной работе торцового уплотнения.
Интенсивности изнашивания разных материалов различны.
Все материалы, предназначенные для использования в качестве пар трения
торцовых уплотнений турбокомпрессоров, подвергают контрольным испытаниям при
максимальных рабочих параметрах в течение 2 ч для определения группы
износостойкости (линейного износа h).
- низкой износостойкости (h >
5 мкм);
- средней износостойкости (h = 0,5…5 мкм);
- высокой износостойкости (h <
0,5 мкм).
Материалы, отнесенные по результатам контрольных испытаний к первым двум
группам, оцениваются по следующему показателю применимости:
(2.2)
где hэ = 6,5 мкм - износ контрольного кольца (покупного) за
2 ч;
h0 - износ образца из оцениваемого материала за 2 ч.
Для материалов третьей группы принимают q'1 = 1.
Исходя из вышеизложенного можно сделать следующие выводы:
1. Закалкой стали 40Х в масле или воде, из которой изготавливается
маслоотражатель, можно повысить ее износостойкость за счет изменения
механических свойств и микроструктуры.
. Повышение температуры закалки высоколегированной стали приводит к
повышению ее износостойкости.
. Отпуск высокопрочных чугунов применительно к кольцам позволяет
избежать образованию закалочных трещин и улучшить микроструктуру и механические
свойства с обеспечением требуемой твердости.
. Выбор материалов и режимов термообработки деталей торцевого уплотнения
турбокомпрессора можно осуществить по показателям применимости.
РАЗДЕЛ 3 МЕТОДИКА ЭКСПЕРИМЕНТАЛЬНЫХ
ИССЛЕДОВАНИЙ
Методика проведения экспериментальных исследований включала в себя
проведение исследований по влиянию температуры закалки стали 40Х и отпуска
чугунов на их твердость и получаемую микроструктуру на образцах. Применялись
высокопрочные чугуны марок ВЧ-50 производства Гомельского завода спецлитья
(республика Беларусь) и Первомайского литейного завода и ВЧ-40 Одесского завода
спецлитья. После изготовления кольца турбокомпрессора С-14 подвергались отпуску
по тем же режимам, что и образцы. После закалки маслоотражателя и отпуска
колец, детали уплотнения испытывались на износостойкость во время обкатки
турбокомпрессора на стенде. По окончании стендовой обкатки определялись
линейный и массовый износ колец и маслоотражателя.
Для проведения исследований по влиянию температуры отпуска чугунов на их
твердость и получаемую микроструктуру, образцы готовились следующим образом.
Образцы были нарезаны в форме пятаков на токарно-винторезном станке 1А62
(рис.3.1, 3.2а), диаметром 50 мм и толщиной 3-5 мм.
Рисунок 3.1. Токарно-винторезный станок 1А62.
Каждая пластина в свою очередь была разрезана на четыре сегмента для
того, чтобы увеличить количество образцов каждой марки. В конечном итоге, для
проведения термообработки были использованы девяносто образцов по тридцать
каждой марки, с целью получения трехкратной повторности опытов. На образцах
сделали соответствующие насечки (см. рис.3.2б).
а б
Рисунок 3.2. Чугунные образцы для исследований: а - исходный, б -
подготовленные к опытам.
Для проведения исследований по влиянию температуры закалки стали 40Х на
ее твердость и получаемую микроструктуру, образцы готовились из прутка
нарезанием шайб толщиной 3…5 мм и диаметром 25 мм.
Для нагревания образцов использовалась лабораторная электропечь СНОЛ
1,6.2,5.1/12,5 (рис. 3.3). Для закалки стали и чугунов использовалась емкость
для воды 10 л.
Процесс закалки протекал следующим образом. Образцы распределялись на
стальном листе в определенном порядке (рис.3.4). Чугунные образцы были
разложены на стальной пластине в шесть столбцов по два каждой марки. Затем
пластина с образцами закладывалась в печь. Далее производилась закалка по
следующему режиму. Нагрев образцов осуществлялся с печью (t0=20°C) до температуры t1=900°C. Затем при достижении 900°C из печи вынимали все образцы и
производили закалку в воде.
Рисунок 3.3 Лабораторная электропечь СНОЛ 1,6.2,5.1/12,5
Рисунок 3.4 Расположение чугунных образцов перед нагревом в печи.
Процесс отпуска протекал следующим образом. Образцы распределялись на
стальном листе в том же порядке, что и при закалке (рис.3.4). После закладки в
печь производился отпуск по следующим режимам. Нагрев образцов осуществлялся в
пять этапов. Сначала все образы медленно в течении 10 мин. нагревались с печью
(t0=20°C) до температуры
t1=400°C. Затем при
достижении 400°C из печи вынимали
три образца по одному каждой марки и производили отпуск на воздухе. Температура
окружающей среды составляла 20°C.
Далее
печь с образцами нагревали до температуры t2=
450°C, таким же образом вынимали следующий ряд образцов и
аналогично производили отпуск. После каждого этапа температуру повышали на 50°C и
при достижении t5=
600°C
отпускали последние три образца. Повторность - трехкратная.
Процесс
закалки стальных образцов протекал по следующим режимам. Нагрев образцов
осуществлялся в пять этапов. Сначала все образы медленно в течении 20 мин.
нагревались с печью (t0=20°C) до температуры t1=800°C.
Затем при достижении 800°C из печи вынимали один образец и производили закалку
в воде. Далее печь с образцами нагревали до температуры t2=
850°C, таким же образом вынимали следующий образец и
аналогично производили закалку. После каждого этапа закалки температуру
повышали на 50°C и при достижении t5=
1000°C закалили последний образец. Повторность закалочных
режимов стали - трехкратная.
Микроструктурный анализ проводился с использованием микроскопа
металлографического вертикального МИМ-7 (рис.3.5). Получаемая микроструктура
фиксировалась с помощью цифрового фотоаппарата olympus C-60.
Рисунок 3.5. Микроскоп металлографический вертикальный МИМ-7.
Микроструктурный метод исследования металлов содержал следующие этапы:
приготовление микрошлифа;
травление поверхности микрошлифа специальными реактивами для выявления
микроструктуры;
исследование шлифа под микроскопом.
Микрошлиф представлял собой образец металла размерами примерно 15х15х3…5
мм с полированной до зеркального блеска одной поверхностью. Подготовка
микрошлифа состояла из трех последовательных операций:
получения плоской поверхности;
шлифование поверхности;
полирования этой поверхности.
Плоскую поверхность мы получили путем механической обработки: на
плоскошлифовальном станке, а затем на шлифовальном кругу. Единственным условием
было, чтобы применяемые способы и режимы обработки изучаемой поверхности не
изменили ее микроструктуру. Нельзя, например, было пользоваться такими
способами, как газо- и электрорезка, электроискровая обработка и т.п. методами.
Даже использование шлифовального круга для получения плоской поверхности
необходимо было проводить с большой осторожностью, так как есть опасность
получить прожиги поверхности и, как следствие, искажение исследуемой структуры.
Все эти требования при приготовлении микрошлифа были соблюдены.
Шлифовка поверхности микрошлифа проводилась на шлифовальной бумаге,
начиная с Р - 180 и заканчивая Р - 500. При переходе от одного номера бумаги к
более мелкому, образцы тщательно промывались в воде, а затем, шлифовку начинали
в направлении, перпендикулярном предыдущим рискам. После шлифования самой
мелкой бумагой производилась полировка шлифа для устранения оставшихся рисок.
Полировка была механической. Она более проста и доступна, в то время как
электролитическая требует специального оборудования и реактивов. Механическую
полировку проводили на вращающихся войлочных дисках. Диск периодически
смазывался пастой ГОИ (смесь мелкого абразивного порошка Cr2O3 с
жиром и поверхностно-активным веществом). Полирование считалось законченным,
если на поверхности шлифа не было рисок и он имел зеркальную поверхность. Затем
шлиф тщательно промыли водой, спиртом и высушили фильтровальной бумагой.
После проведенной обработки поверхность шлифа ни в коем случае нельзя
задевать руками, так как в противном случае на поверхность шлифа наносится
жировая пленка, которая существенно усложнит дальнейшую работу со шлифом. Во
избежание появления царапин, отшлифованные образцы были сложены в отдельные
полиэтиленовые пакеты.
Для выявления микроструктуры металла поверхность шлифа была протравлена
специальными реактивами. В нашем случае это был состава: 5%-й раствор азотной
кислоты в спирте. Структура сплава выявлялась в результате различной степени
протравливаемости отдельных фаз и структурных составляющих сплава.
Предварительными опытами определялось время травления образцов с тем, чтобы
травитель не растворял полностью одну из составляющих (при этом много
информации теряется), а лишь сделал ее поверхность слегка шероховатой. Если
травление оказывалось слишком длительным, то образец шлифовался заново. На шлиф
пипеткой наносилась одна капля этого раствора и через 15-30 секунд смывалась
дистиллированной водой, протиралась этиловым спиртом и сушилась фильтровальной
бумагой. Затем протравленная область микрошлифа рассматривалась в микроскоп.
Если контраст был слабый - травление повторялось.
Испытания на твердость проводились статическими методами на твердомерах
по методу Бринелля и Роквелла.
Твёрдость по Бринеллю (НВ) определялась на приборе для измерения твёрдости
металлов ТШ - 2М (рис. 3.6). Она численно равна напряжению, выраженному
отношением приложенной нагрузке Р к площади поверхности А сферического
отпечатка диаметром d (размерность при
обозначении твёрдости опускается). Сущность метода заключается во вдавливании
шарика (стального или из твёрдого сплава) в образец или изделие под
воздействием нагрузки Р, приложенной перпендикулярно поверхности образца, в
течение определённого времени и измерении диаметра отпечатка d после снятия нагрузки. Диаметр
образующегося сферического отпечатка d измеряется лупой-компаратором (с помощью микроскопа).
Рисунок 3.6. Схема прибора для измерения твердости материалов ТШ-2М по
методу Бринелля.
Число твердости по Бринеллю определяли путем деления величины
нагрузки на площадь поверхности сферического отпечатка (рис. 3.7), и вычисляли
по следующей формуле [21]:
(3.1)
где Р -
нагрузка на шар, кгс (Н); - диаметр шара, мм; - диаметр отпечатка, мм.
Число твердости
по Бринеллю обозначается символом НВ, а размерность его величины опускается.
При определении
твердости шариком диаметром D = 10 мм под нагрузкой Р = 3000 кгс (29,4 кН) с
выдержкой Т = 10 с перед числом твердости ставится символ НВ, без индекса,
например НВ 260. При других условиях испытания символ НВ дополняется индексом,
указывающим принятые условия в следующем порядке: диаметр шарика, нагрузку и
продолжительность ее выдержки. Например, НВ5/750/30341 означает число твердости
по Бринеллю, равное 341, полученное при испытании шаром с D = 5,0 мм под
нагрузкой Р = 750 кгс (7,35 кН), приложенной в течение 30 с. Этот метод
испытания твердости нормирован ГОСТ 9012-59.
Рисунок 3.7.
Схема определения твердости по Бринеллю
Сферическую
поверхность отпечатка шара можно вычислить и по его глубине, пользуясь формулой
[21]:
(3.2)
где D - диаметр
шара (мм); t - глубина отпечатка (мм).
Но этот метод
вычисления не предусмотрен ГОСТ 9012-59 вследствие того, что глубина шарового
сегмента не может быть измерена с такой же точностью из-за малой ее величины,
как его диаметр. Кроме того, в погрешности измерения глубины отпечатка входит
трудно учитываемый фактор явления наплыва металла по краям отпечатка, когда
металл вытесняется шаром при вдавливании (рис. 3.8). Измеряя глубину отпечатка,
имеющего такой наплыв металла по краям, получают уменьшенную величину t и тем
самым вносят погрешность в сторону преувеличения числа твердости.
Тем не менее, для
повышения производительности прибора при массовых однотипных испытаниях
применяют способ измерения глубины отпечатка посредством индикатора.
Рисунок 3.8.
Наплыв металла при вдавливании шара
Чтобы избежать
длительных и сложных вычислений числа твердости для каждого отпечатка, на
практике пользуются готовыми таблицами, приложенным к ГОСТ 9012-59, с заранее
подсчитанными значениями НВ для отпечатков, имеющих различные диаметры и
сделанных при различных нагрузках шарами разных диаметров.
Наиболее
распространенными стандартными условиями при испытании твердости этим методом
являются нагрузка Р = 3000 кгс (29,4 кН), диаметр шара D = 10 мм и длительность
выдержки под нагрузкой 10 с, или при диаметре шара D = 5 мм, нагрузка Р = 750
кгс (7355 Н).
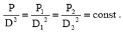
При выборе
диаметра шарика и величины нагрузки необходимо руководствоваться правилом, что
при одном и том же материале испытуемого образца соотношение между нагрузками Р
и диаметрами применяемых шариков D должно быть [24]:
(3.3)
Иначе говоря,
сравнимые результаты при определении твердости методом вдавливания стального
шарика получаются при разных диаметрах шариков только тогда, когда величины
этих диаметров и соответствующих нагрузок таковы, что отношение нагрузки к
квадрату диаметра шарика остается постоянным. Это правило вытекает из закона
подобия.
Образец,
подвергаемый испытанию, должен иметь чистую и плоскую поверхность, обработанную
либо на станке, либо напильником, с нее следует удалить окалину, а также
обезуглероженные или цементированные слои. Если диаметр применяемого шарика
равен 2,5 мм или менее, то испытуемая поверхность должна быть особо тщательно
отшлифована или полирована. Толщина испытуемого образца должна быть не менее
десятикратной глубины отпечатка.
При известной
твердости по Бринеллю примерную глубину отпечатка t мы определяли по формуле
[22]:
(3.4)
Если после
испытания опорная или боковые стороны образца оказывались деформированными, то
испытание считалось недействительным. Опорная поверхность у тонких образцов
должна быть гладкой и плотно соприкасаться с гладкой поверхностью столика из
закаленной стали.
Диаметры
получаемых при испытании отпечатков должны были находиться в пределах
0,2D<d<0,6D. В случае несоблюдения этого условия испытание признавалось
недействительным и было повторено с применением соответствующей нагрузки. Шарик
перед испытанием мы вытирали насухо. Нагрузка была приложена в направлении,
перпендикулярном к плоскости образца, плавно, без толчков и ускорений, с
постепенным возрастанием до заданного значения.
Расстояние от
центра отпечатка до края образца должно быть не менее чем 2,5d, а расстояние
между центрами двух соседних отпечатков должно быть не менее 4,0d. Диаметр
отпечатка измерялся с точностью до 0,05 мм при испытании шариками диаметром 5 и
10 мм и с точностью до 0,01 мм - при испытании шариком диаметром 2,5 мм.
Диаметр отпечатка
измерялся в двух взаимно перпендикулярных направлениях и определялся как
среднее арифметическое из двух измерений. Разность измерений диаметров одного
отпечатка не должна превышать 2% от меньшего из них.
Быстрое, но не
точное измерение диаметра отпечатка, определение числа твердости НВ и величины
временного сопротивления при разрыве (у стальных образцов) можно производить
при помощи прозрачного углового шаблона (линейки-номограммы), прикладывая его к
отпечатку (рис. 3.9).
Рисунок 3.9. Схема измерения
отпечатка по методу Бринелля.
При этом
отпечаток должен быть вписан в угол, образованный двумя линиями на шаблоне. Обе
эти линии должны только касаться краев отпечатка.
У большинства
шаблонов деление на нижней шкале против точки касания с отпечатком указывает
величину диаметра отпечатка, а деление, нанесенное над этой линией, дает число
твердости, например НВ 150. Для стального образца отсчет величины временного
сопротивления производят в точке касания края отпечатка с верхней линией (63
кгс/мм2). Точность
такого измерения диаметра отпечатка ±0,1 мм.
Требования к
приборам для определения твердости металлов по Бринеллю и правила их поверки
изложены в ГОСТ 7038-63, 9012-59. Шары, применяемые для определения твердости
по Бринеллю, должны соответствовать следующим условиям:
материал для
шаров - термически обработанная сталь, не менее HV 850;
диаметры
применяемых шаров 2,5; 5,0 и 10,0 мм;
допускаемые
отклонения по диаметру шара составляют при диаметре шара 2,5; 5,0 и 10,0 мм,
соответственно ±0,0035, ±0,0040 и ±0,0045 мм.
Шар, показавший
после окончания испытания остаточную деформацию, превышающую указанный допуск
по размеру, или какой-либо поверхностный дефект должен быть заменен другим, а
проведенное испытание считается недействительным.
Диаметры шаров
проверяют посредством микрометра, погрешность которого не должна превышать
±0,004 мм.
Шары должны иметь
класс чистоты поверхности не ниже 12 по ГОСТ 2789-59; на их поверхности не
должно быть дефектов, видимых при рассматривании через лупу с увеличением 5.
Измерительный
микроскоп поверяется по образцовой шкале, при этом сравнивают ее деления и
деления микроскопа. Погрешность последнего, вычисленная как средняя из трех
измерений, не должна превышать ±0,01 мм на одно наименьшее деление шкалы
микроскопа и ±0,02 мм на всю длину шкалы.
Величины нагрузок
поверяют образцовым переносным динамометром. Для этого вынимают шариковый наконечник
из шпинделя прибора, динамометр устанавливают на опорный столик подъемного
винта и поджимают его к шпинделю. Такую операцию повторяют три раза, причем
каждый раз динамометр рекомендуется повертывать на 60° вокруг его вертикальной
оси во избежание могущих возникнуть трудно учитываемых трений и перекосов.
Из трех измерений
вычисляют среднее арифметическое, при этом вариация не должна превышать 1%.
Допускаемая относительная погрешность нагрузки составляет ± 1% от
действительной величины.
Правильность показаний
поверяют при помощи двух образцовых мер твердости, например, имеющих следующие
характеристики:
. D = 10 мм; Р =
3000 кгс (29,40 кН); НВ 190 ± 25;
. D = 10 мм; Р =
1000 кгс (9,81 кН); НВ 85 ± 10.
Рисунок 3.10. Стандартная мера твердости
Из найденных по
таблицам чисел твердости вычисляют среднее арифметическое, которое не должно
отличаться от средней твердости образцовой меры более чем на ±4% в случае
нанесения отпечатков при нагрузке 3000 кгс (29,40 кН) и не более чем на ±5% при
нанесении отпечатков при нагрузке 1000 кгс (9,81 кН).
Твёрдость по Роквеллу (НR) определялась согласно ГОСТ 9013-59 на приборе
для измерения твёрдости металлов ТК-2 (см. рис. 3.11). При этом методе
индентором являлся как алмазный конус, так и стальной закаленный шарик,
диаметром 1,5875 мм (1/16 дюйма). В отличие
от измерений по методу Бринелля, мы твердость определяли по глубине отпечатка,
а не по его площади. Глубина отпечатка измерялась в процессе вдавливания, что
значительно упростило испытания. Нагрузка, прилагалась последовательно в две
стадии (ГОСТ 9013-59): сначала предварительная, она была равная 10 кгс (для
устранения влияния упругой деформации и различной степени шероховатости), а
затем основная.
Рисунок 3.11. Схема прибора для измерения твердости материалов ТК-2М (по
методу Роквелла).
После приложения предварительной нагрузки индикатор, измеряющий глубину
отпечатка, устанавливался на нуль. Когда отпечаток был получен приложением
окончательной нагрузки, основную нагрузку снимали и измеряли остаточную глубину
проникновения наконечника t.
Число твердости по Роквеллу мы измеряли в условных единицах, оно является
мерой глубины вдавливания индентора под определенной нагрузкой. Сначала
индентор вдавливался в поверхность образца под предварительной нагрузкой Р0
= 100 Н, которая не снималась до конца испытания. Это обеспечило повышенную
точность испытания, так как исключило влияние вибраций и тонкого поверхностного
слоя. Под нагрузкой Ро индентор погружался в образец. Затем на
образец подавалась полная нагрузка Р = Ро + Р1 и
увеличивалась глубина вдавливания. Последняя после снятия основной нагрузки P1
{когда на индентор вновь действует только предварительная нагрузка Ро)
определяла число твердости по Роквеллу (HR).
Твердость по Роквеллу выражают в единицах условной шкалы и
вычисляют как линейную функцию разности глубин, на которые последовательно
вдавливают стандартный наконечник под действием предварительной нагрузки Р0 и основной Р1 (рис. 3.12). За единицу
твердости принята величина, соответствующая осевому перемещению наконечника на
0,002 мм.
Остаточную деформацию измеряли после снятия основной нагрузки
Р при наличии остающейся нагрузки, которая всегда равна предварительной
нагрузке Р0.
Величина последней составляла 10 кгс (98 Н), а величина основной нагрузки Р1 задавалась в зависимости от
применяемого наконечника и размеров испытуемого объекта.
Рисунок 3.12. Схема определения твердости по Роквеллу
Числа твердости отсчитывались по шкале индикатора часового
типа, стрелка которого показывала результаты вычитания разности глубин в
миллиметрах, на которые вдавливался наконечник под действием двух
последовательно приложенных нагрузок (предварительной и основной), из некоторой
постоянной, имеющей размерность в миллиметрах. Шкала индикатора имеет 100
делений, каждое из которых соответствует углублению наконечника на 0,002 мм.
Твердость по Роквеллу обозначают латинскими буквами HR с
добавлением латинской буквы, определяющей условия, при которых проводилось
испытание, так:
«С» означает, что испытание происходило с алмазным конусом
при нагрузке Р1 =
140 кгс (1372 Н);
«А» означает, что испытание происходило с алмазным конусом
при нагрузке Р1 =
50 кгс (490 Н);
«В» означает, что испытание происходило со стальным шаром при
нагрузке Р1 = 90
кгс (883 Н).
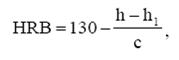
Пример обозначения твердости по Роквеллу: HRC 60 - твердость
по Роквеллу 60 единиц по шкале С. Твердость по Роквеллу при вдавливании
алмазного конуса выражают числом делений условной шкалы из формулы [21]:
(3.5)
где h - остающаяся глубина внедрения наконечника в испытуемый
металл под действием общей нагрузки, определяемая после снятия основной
нагрузки; h1 -
глубина внедрения наконечника в испытуемый металл под действием предварительной
нагрузки; с - постоянная, равная 0,002 мм.
При вдавливании стального шарика число твердости находится из
формулы
(3.6)
где значения h, h1 и с те же, что и при определении твердости
вдавливанием алмазного конуса.
Так как числа твердости возрастают с повышением твердости
испытуемого металла, а увеличение глубины отпечатка означает понижение
твердости, то стрелка индикатора после приложения основной нагрузки двигается в
сторону, обратную возрастанию шкалы индикатора, т.е. против движения часовой
стрелки.
Пределы определения твердости по трем стандартизированным шкалам
установлены следующие:
- шкалу «А» применяют для испытания твердых сплавов или
тонкого твердого листового материала, а также для тех испытаний, при которых
требуется определить твердость лишь тонкого верхнего слоя поверхности. Предельные
числа твердости HRA 70…85;
шкалу «С» применяют для определения твердости термически
обработанной стали. Предельные числа твердости HRC 20…67. При испытании металла
твердостью менее HRC 20 алмаз слишком глубоко проникает в образец, и так как
погрешности формы наконечника увеличиваются к основанию, то результаты
получаются недостаточно точными. При твердости образца более HRC 67 на конец
алмаза создается слишком большое давление, и он может выкрошиться;
шкала «В» служит для испытания металлов средней твердости.
Предельные числа твердости - HRB 25…100. При испытании металлов, имеющих
твердость менее HRB 25, в большинстве случаев пластическая деформация
продолжается длительное время, и результаты получаются неточными. Кроме того,
при твердости испытуемого образца ниже HRB 25 отсчеты становятся неправильными
из-за слишком большой площади соприкосновения шарика с образцом. При твердости
металла выше HRB 100 шарик может деформироваться; при этом необходимо
учитывать, что определение твердости становится неточным из-за малой глубины
проникновения шарика в металл (менее 0,06 мм).
Преимущество метода Роквелла по сравнению с методами Бринелля заключалось
в том, что значение твердости по методу Роквелла мы фиксировали непосредственно
стрелкой индикатора, при этом отпадала необходимость в оптическом измерении
размеров отпечатка.
После термообработки и окончательной механической обработки кольца
маслоотражателя устанавливались на турбокомпрессоры С-14.
Перед обкаткой подсобранных турбокомпрессоров на обкаточном стенде масло
разогревалось электронагревателем до температуры 60…80оС. Затем
масло, с помощью насосной установки, предварительно прокачивалось через
обкатываемый подсобранный турбокомпрессор и только после этого валу придавалось
вращение. Вал турбины раскручивался до частоты вращения 40000 мин-1
потоком сжатого воздуха, направленным на крыльчатку турбины.
В начале обкатки контролировалось наличие подтеканий масла через торцевые
уплотнения турбокомпрессора. Если подтекания отсутствовали, то органолептически
фиксировалась равномерность вращения вала. Время обкатки составляло 2 часа.
После обкатки подсобранный турбокомпрессор разбирался для контроля
изнашиваемости колец. Определялись массовый и линейный износы колец.
Массовый износ колец определялся взвешиванием на аналитических весах
WA-31 с точностью 0,1мг. Линейный износ колец определялся изменением
шероховатости рабочих поверхностей кольца с помощью профилограмм снятых на
профилографе-профилометре модели 201 завода «Калибр».
Сравнивались износы колец и маслоотражателей турбокомпрессоров С-14.
Затем производилась обработка полученных данных. Давалась доверительная
оценка значений твердости и износов колец по результатам исследований,
используя формулы основной зависимости при доверительной оценке результатов
измерений [41].
Среднее арифметическое значение определялось по формуле:
(3.7)
где n - число измерений;
хі - результат отдельного измерения.
Среднее квадратичное отклонение определялось по формуле:
(3.8)
Коэффициент вариации (изменчивости) определялся по формуле, % :
(3.9)
Среднеарифметическое отклонение среднеквадратичного отклонения
определялось по формуле:
(3.10)
Точность измерений (опыта) определялась по формуле, %;
(3.11)
Отклонение границ доверительного интервала от среднего определялось по
формуле:
(3.12)
где
- коэффициент Стьюдента, выбранный по таблице в
зависимости от принятой надежности (доверительной вероятности)
и числа степеней свободы к, к = n-1
Верхняя и нижняя граница доверительного интервала определялись по
формулам:
,
.
РАЗДЕЛ 4. РЕЗУЛЬТАТЫ ЭКСПЕРИМЕНТАЛЬНЫХ
ИССЛЕДОВАНИЙ
В результате измерения твердости образцов из высокопрочного чугуна
установлено, что повышение температуры отпуска с 400 до 600оС после
закалки привело к уменьшению твердости (см. табл.4.1).
Таблица 4.1- Результаты измерения твердости образцов из высокопрочного
чугуна после отпуска.
|
Температура отпуска, оС
|
Марка чугуна и метод
измерения твердости
|
|
ВЧ 50 (П.)
|
ВЧ 50 (Г.)
|
ВЧ 40 (O.)
|
|
НВ
|
HRC
|
НВ
|
HRC
|
НВ
|
HRC
|
|
400
|
488,6
|
51,4
|
464,2
|
49,2
|
466,4
|
49,3
|
|
450
|
472
|
49,6
|
441,4
|
47,3
|
454,6
|
48,5
|
|
500
|
415
|
45,0
|
352
|
40,0
|
45,8
|
|
550
|
348,4
|
39,6
|
327,2
|
37,6
|
359,6
|
40,7
|
|
600
|
341,2
|
39,0
|
306,8
|
35,5
|
303
|
35,1
|
Поскольку метод Бринелля считается более точным при измерении твердости
чугунов, то на рисунке 4.1 приведены зависимости для этого метода.
Рисунок 4.1. График изменения твердости образцов из высокопрочного чугуна различных марок в зависимости от температуры отпуска.
После аппроксимации экспериментальных данных получены соответствующие
зависимости (рис.4.1).
Анализ микроструктуры чугунных образцов после отпуска
показал, что с
увеличением температуры структура высокопрочного чугуна с исходной после
закалки ферритно-перлитной (рис.4.2а) переходит в перлитно-ферритную (рис.4.2б,
в и г) при температурах 400, 500оС и
600оС с увеличением доли зерен
феррита. Отмечается
небольшой рост зерен шаровидного графита.
Рисунок 4.2. Микроструктура образцов из высокопрочного чугуна
марки ВЧ-50(Г): 2В3 - после закалки, б, в и г -
при температуре отпуска соответственно 400, 500 и 600оС.
Результаты измерения твердости маслоотражателя после закалки
приведены в таблице 4.2 и отображены на рисунке 4.3. Как видно из графика, с
величением температуры закалки, твердость маслотражатля увеличивается с 35,1
HRC до 65,7 HRC.
Таблица 4.2- Результаты измерения твердости маслоотражателя после
закалки.
|
Тенмпература закалки
|
Номер опытного измерения
|
Среднее значение
|
|
|
|
|
1
|
2
|
3
|
4
|
5
|
|
|
800
|
34,8
|
34,5
|
35,6
|
35,8
|
34,8
|
35,1
|
|
850
|
42,5
|
39,8
|
41,4
|
37,6
|
40,2
|
40,3
|
|
900
|
44,2
|
45,7
|
46,3
|
46,4
|
44,4
|
45,4
|
|
950
|
52,8
|
52,6
|
54,7
|
53,5
|
52,4
|
53,2
|
|
1000
|
66,2
|
65,4
|
64,6
|
66,3
|
66
|
65,7
|
Рисунок 4.3. График изменения твердости образцов из стали 40Х в зависимости от температуры закалки.
Поскольку максимальная твердость получается при температуре 1000оС,
то опыты по износостойкости колец проводились с маслоотражателями, закаленными
при этой температуре.
Обкаточными испытаниями турбокомпрессоров установлено, что с увеличением
температуры отпуска, износостойкость колец снижалась.
По данным таблицы 4.3 видно, что с увеличением температуры отпуска колец, после
обкатки их массовый износ увеличивается, а маслоотражателя незначительно
снижается. Наименьший износ кольца наблюдается у чугуна марки ВЧ-50(Г)
Гомелевского завода спецлитья (см. рис.4.4).
Таблица 4.3- Массовый износ колец и маслоотражателя после обкатки, мг.
|
Температура отпуска колец
|
Кольца из чугуна различных
марок
|
Маслоотражатель
|
|
ВЧ 50 (П.)
|
ВЧ 50 (Г.)
|
ВЧ 40 (О.)
|
|
|
400
|
1,41
|
1,27
|
1,32
|
2,11
|
|
450
|
1,78
|
1,53
|
1,61
|
1,92
|
|
500
|
2,14
|
1,94
|
2,03
|
1,84
|
|
550
|
2,37
|
2,08
|
2,32
|
1,73
|
|
600
|
2,71
|
2,37
|
2,54
|
1,58
|
Рисунок 4.4. График зависимости массового износа кольца и маслоотражателя
после обкатки от температуры отпуска колец.
После аппроксимации экспериментальных данных получены соответствующие
зависимости. Зависимость массового износа кольца и маслоотражателя от
температуры отпуска колец после 2-х часовой обкатки:
- для маслоотражателя (сталь 40Х): у = -0,0025х + 3,086,
R2 = 0,98
- для чугуна ВЧ 50 (П.): у = 0,0064х - 1,108, R2 = 0,99
для чугуна ВЧ 50 (Г.): у = 0,0055х - 0,912, R2 = 0,98
для чугуна ВЧ40 (О.): у = 0,0063х + 1,186, R2 = 0,99
Влияние температуры отпуска на линейный износ колец имеет такую же
закономерность, что и массовый. Так минимальный линейный износ колец получен
при температуре отпуска 400оС (таблицы 4.3).
Таблица 4.4- Линейный износ колец после обкатки, мм.
|
Температура отпуска колец
|
Кольца из чугуна различных
марок
|
|
ВЧ 50 (П.)
|
ВЧ 50 (Г.)
|
ВЧ 40 (О.)
|
|
400
|
0,0003
|
0
|
0,0007
|
|
450
|
0,0011
|
0,0005
|
0,0015
|
|
500
|
0,0029
|
0,0022
|
0,0025
|
|
550
|
0,0042
|
0,0037
|
0,0044
|
|
600
|
0,0053
|
0,0046
|
0,0055
|
Наименьший линейный износ колец также отмечается у колец из
высокопрочного чугуна марки ВЧ-50(Г) Гомелевского завода спецлитья (см.
рис.4.5).
Рисунок 4.5 - График влияния температуры
отпуска на
линейный износ колец из высокопрочного чугуна различных марок.
Расчет показателя применимости (см. раздел 2) показал, что для
дальнейшего использования необходимо применять кольца из чугуна марки ВЧ-50
Гомелевского завода спецлитья (республика Беларусь) (табл. 4.5).
Таблица 4.5- Показатель применимости колец.
|
Температура отпуска колец
|
Кольца из чугуна различных
марок
|
|
ВЧ 50 (П.)
|
ВЧ 50 (Г.)
|
ВЧ 40 (О.)
|
|
400
|
21,67
|
65,00
|
9,29
|
|
450
|
5,91
|
13,00
|
4,33
|
|
500
|
2,24
|
2,95
|
2,60
|
|
550
|
1,55
|
1,76
|
1,48
|
|
600
|
1,23
|
1,41
|
1,18
|
Выводы:
1. Увеличение температуры закалки стали 40Х с 800 до 1000оС
приводит к повышению твердости маслоотражателя с 35,1 HRC до 65,7 HRC.
. Увеличение температуры отпуска высокопрочного чугуна с 400 до
600 оС снижает твердость колец с 488,6 НВ до 303 НВ, в зависимости
от марки чугуна.
. Температура отпуска чугуна оказывает влияние на его износ. С
увеличением температуры отпуска массовый износ колец увеличивается с 1,27 до
2,71 мг. При этом, износ маслоотражателя снижается с 2,11 до 1,58 мг.
. Линейный износ колец увеличивается с повышением температуры
отпуска, соответственно от 0 до 5,5 мкм.
. Показатель применимости колец увеличивается с понижением
температуры отпуска. Наилучший показатель соответствует кольцам из чугуна ВЧ-50
Гомелевского завода спецлитья.
РАЗДЕЛ 5. ЭКОНОМИЧЕСКАЯ ЭФФЕКТИВНОСТЬ
ВНЕДРЕНИЯ РЕЗУЛЬТАТОВ ИССЛЕДОВАНИЙ
Экономия средств за счет повышения межремонтного ресурса и снижения
расхода масла через уплотнения турбокомпрессора [23]:

(5.1)
где Сткр - цена ремонта турбокомпрессора С-14, 1120 грн.;
Ан - годовая
программа ремонта турбокомпрессоров, 100 шт;
Нк, Но - наработка, соответственно,
контрольного и опытного турбокомпрессора С-14 до следующего капитального
ремонта, мото-часов;
Эм - экономия средств за счет снижения расхода масла на угар
эксплуатирующим хозяйством на одном турбокомпрессоре С-14, отремонтированным по
новой технологии, определяется по формуле [39]:

(5.2)
где qс, qп - расход масла на угар у
турбокомпрессора, отремонтированного по существующей и предлагаемой технологии,
соответственно, кг/ч;
Ног - гарантийная наработка турбокомпрессора, мото-ч;
См - стоимость одного
килограмма моторного масла, грн (См = 10 грн.).
Гарантийная наработка капитально отремонтированных турбокомпрессоров
должна быть не менее 1500 мото-ч. Для двигателей Д-245, с
отремонтированными турбокомпрессорами С-14 qп=0,096кг/ч, qс
= 0,122кг/ч, тогда:
Эм = (0,122 - 0,096) × 10 × 1500 = 390 грн.
Фактическая наработка отремонтированных турбокомпрессоров С-14 двигателей
Д-245 составила: для компрессоров с покупными кольцами - 1765, для опытных -
2565 мото-часов. Тогда экономия средств составит:
Эр = (0,61-0,42)·(2565-1765)·100+390·100= 54200 грн.
Годовой экономический эффект от внедрения в производство колец из нового
материала определяем по формуле [25]:
Эг=(С1 - Ск)∙N
(5.3)
где С1
- стоимость покупных
колец (50грн.) и маслоотражателя (80 грн);
Ск - себестоимость изготовления колец и маслоотражателя из
предлагаемого материала;- годовая программа, 100 шт.
Затраты на изготовление колец определяем по формуле:
Ск1=Спр.п+См+Соп ,
(5.4)
где Спр.п - полная заработная плата производственных рабочих;
См - затраты на материалы;
Соп - общепроизводственные накладные расходы.
Полная заработная плата производственных рабочих составляется из суммы
прямой заработной платы, дополнительной заработной платы рабочих, 20% от прямой
и отчисление на социальное страхование 37% от (прямой и дополнительной): Спр.п.к=6,11
грн, Спр.п.м=5,2 грн.
Затраты на материалы, включающие их покупку: См к=2 грн, См
м=5 грн.
Общепроизводственные накладные расходы определяют по формуле:
Соп.=Rоп.∙Спр./100
где Rоп - процент общепроизводственных
накладных расходов (10%);
Соп=7,2 грн
Ск=(6,11+5,2)+(2+5)+7,2=25,51 грн.
Годовой экономический эффект от внедрения в производство колец и
маслоотражателя из нового материала:
Эг=(130-25,51)∙100=10449 грн.
Срок окупаемости дополнительных капитальных вложений, Qг.
Qг=∆К/Эг
где ∆К - дополнительные капиталовложения (стоимость печи и
оснастки), ∆К=18732 грн.
года
Результаты расчетов представлены в таблице 5.1.
Таблица 5.1- Экономическая эффективность внедрения результатов расчетов
|
Показатели
|
Технология сборки C-14
|
|
Покупные кольца
|
Изготовленные по
предлагаемой технологии
|
|
Программа ремонта
|
100
|
100
|
|
Экономия средств за счет
повышения межремонтного ресурса и снижения расхода масла через уплотнения
турбокомпрессора, грн
|
-
|
542
|
|
Дополнительные
капиталовложения, грн
|
-
|
18732
|
|
Полная заработная плата
производственных рабочих, грн
|
-
|
11,31
|
|
Затраты на материалы, грн
|
-
|
7,0
|
|
Общепроизводственные
накладные расходы, грн
|
-
|
25,51
|
|
Годовой экономический
эффект, грн
|
-
|
10449
|
|
Срок окупаемости
дополнительных капитальных вложений, лет
|
-
|
1,8
|
ОБЩИЕ
ВЫВОДЫ
1. Из производимых на сегодняшний день высокопрочных чугунов,
наибольшей износостойкостью обладает чугун марки ВЧ-50 Гомельского
завода спецлитья (республика Беларусь). Возможно, это объяснятся тем, что все
параметры чугун данного завода-производителя максимально соответствует ГОСТ
7293-85.
. Исследуемая сталь 40Х для изготовления маслоотражателя подходит
для торцевого уплотнения турбокомпрессора по параметрам твердости и
износостойкости при температуре закалки 1000оС. При этой
температуре твердость маслоотражателя составляет 65,7 HRC, а его износ находится в пределах 2,11
…1,58 мг при работе в паре трения кольцо-маслоотражатель.
. Повышение температуры отпуска высокопрочных чугунов приводит к
снижению износостойкости колец торцевого уплотнения. Увеличение температуры
отпуска с 400 до 600 оС снизило твердость колец с 488,6 НВ до 303 НВ
и повысило их массовый и линейный износ соответственно с 1,27 до 2,71 мг и 0 до
5,5 мкм.
. Годовой экономический эффект от внедрения в производство колец
торцевого уплотнения, а также маслоотражателей турбокомпрессора С-14 из нового
материала составит 10449 грн при программе ремонта 100 турбокомпрессоров в год.
5. Экономия средств эксплуатирующего хозяйства за счет повышения
межремонтного ресурса и снижения расхода масла через уплотнения
турбокомпрессора С-14 составит 542 грн на один турбокомпрессор.
СПИСОК
ЛИТЕРАТУРЫ
1. <http://turboam.com.ua/r/repair_tc>
2. <http://dekort-turboservice.ru/>
. <http://dizel-turbo.com/about/>
. <http://turboholding.com.ua/index.php?option=com_content&task=view&id=2&Itemid=10>
. <http://www.turbocom.com.ua/>
. <http://www.freetorg.com/lead/remont-turbokompressorov,575961.html>
. http://www.yturbo.com.ua/city/lugansk.php
. <http://www.ingenerov.net/technichka/147--.html>
. <http://www.rs-i.ru/pages/261/>
. <http://dekort-turboservice.ru/userfiles/13_clip_image001.jpg>
. http://neotron.ru/turbohelp/o-turbokompressore.html
. http://www.bkturbo.com/ru-turbo-opis.html
13. Матвеев
В.А., Пустовалов И.И. Техническое нормирование ремонтных работ в сельском
хозяйстве. - М.: Колос, 1979. - 288 с.
14. Авдеев
Б.А. «Современные машины и приборы для механических испытаний материалов» - М.:
Стандартгиз, 1960. - 62 с.
. Авдеев
Б.А. «Техника определения механических свойств материалов» - М.:
Машиностроение, 2011. - 488 с.
16. Бекпаганбетов
А.У. «Определение твердости при переходе от упругой к упругопластической
деформации Заводская лаборатория. Диагностика материалов. - 2004. - Том 70. -
С. 42-46.
17. Бида
Г.В. «Исследование возможности контроля механических свойств труб нефтяного
сортамента неразрушающим методом» Дефектоскопия. - 1995. - № 2. - С. 82-88.
18. Булычев
С.И. «Испытание материалов непрерывным вдавливанием инден-тора - М.:
Машиностроение, 1990. - 224 с.
19. Глазов
В.М. «Микротвердость металлов» - М.: Металлургиздат, 1962. - 343 с.
. Глазов
В.М. «Микротвердость металлов и полупроводников» - М.: Металлургия, 1969. - 248
с.
. Гогоберидзе
Д.Б. «Твердость и методы ее измерения - М.: Машгиз, 1952. - 285 с.
. Григорович
В.К. «Твердость и микротвердость металлов - М.: Наука, 1976. - 230 с.
. Марковец
М.П. «Определение механических свойств металлов по твердости - М.:
Машиностроение, 1979. - 191 с.
24. Марковец
М.П. «Исследование появления первой пластической деформации при вдавливании
шара в плоскость» Труды МЭИ. Вып. 213. - М.: 1975. - 134 с.
. «Неразрушающий
контроль и диагностика: Справочник» М.: Машиностроение, 2005. - 656 с.
26. <http://ru.wikipedia.org/wiki/Чугун>
27. http://www.naukaspb.ru/spravochniki/Demo%20Metall/2_7.htm#7.
ЧУГУНЫ
28. Фетисов
Г.П. Карпман М.Г., Матюнин В.М. и др. «Матереаловедение и технология металлов»
- М.: Высшая школа, 2001. - 640 с.
29. Щербаков, А. С.
<http://www.sciencebooks-database.info/biblio/author/3478> «Основы
строительного дела»
<http://www.sciencebooks-database.info/biblio/view/14684> - М.: Высшая
школа, 1994. - 399 с.
. Бунин К. П., Баранов
А. «Металлография» - М.: издательство «Металлургия», 1970. - 256 с.
. Натапов В.
<http://www.sciencebooks-database.info/biblio/author/3478>С. «Термическая
обработка металлов»
<http://www.sciencebooks-database.info/biblio/view/14684> - Киев: Высшая
школа, 1980. - 288 с.
. <http://stroymatved.ru/index.php?option=com_content&view=article&id=75&Itemid=78>
. Седов Ю.Е., Адаскин
А.М. «Справочник молодого термиста» - М.: Высш. шк., 2011. - 239с.
. <http://turner.narod.ru/dir1/material.htm>
. <http://www.remtehcontrol.ru/termicheskaya-obrabotka>
. <http://www.inmetal.ru/204-vidy-termicheskoj-obrabotki-stali-i-chuguna.html>
37. Крупицкий
Б.А. «Основы термической обработки» - Л. 1959 г. Тираж 10000 экз. М-41330.
. Производственные
испытания и внедрение в производство электрохимико-механической приработки
(ЭХМП) сопряжений гильзы цилиндров - поршневые кольца и коленчатый вал -
подшипники скольжения: Отчет по НИР и ОКР / Ворошиловградский СХИ; № ГР
01.84.0.065090; Инв. №11/81. - Ворошиловград, 1984.- 395 с.
. Технический
уровень и качество технологии электрохимико-механической приработки и обкатки
отремонтированных тракторных дизелей: Анотированный отчет о НИР /
Ворошиловградский СХИ; Инв. № 21/87.- Ворошиловград, 1987.- 99с.
. Матвеев
В.А. Пустовалов И.И. «Техническое нормирование ремонтных работ в сельском
хозяйстве» - М.: Колос, 1979.- 288 с.
41. Горлач
В.В. «Обработка, представление, интерпретация результатов измерений»: Учебное.
- Омск: Изд-во СибАДИ, 2006. - 83 с.