Физические и фармакологические свойства основных сердечных гликозидов в зависимости от химического строения. Особенности заготовки сырья, содержащего сердечные гликозиды

  • Вид работы:
    Дипломная (ВКР)
  • Предмет:
    Медицина, физкультура, здравоохранение
  • Язык:
    Русский
    ,
    Формат файла:
    MS Word
    379,93 kb
  • Опубликовано:
    2011-06-17
Вы можете узнать стоимость помощи в написании студенческой работы.
Помощь в написании работы, которую точно примут!

Физические и фармакологические свойства основных сердечных гликозидов в зависимости от химического строения. Особенности заготовки сырья, содержащего сердечные гликозиды

ФЕДЕРАЛЬНОЕ АГЕНСТВО ПО ЗДРАВООХРАНЕНИЮ И СОЦИАЛЬНОМУ РАЗВИТИЮ РФ

ВОЛГОГРАДСКИЙ ГОСУДАРСТВЕННЫЙ МЕДИЦИНСКИЙ УНИВЕРСИТЕТ

КАФЕДРА ФАРМАКОГНОЗИИ И БОТАНИКИ








Курсовая работа

Физические и фармакологические свойства основных сердечных гликозидов в зависимости от химического строения. Особенности заготовки сырья, содержащего сердечные гликозиды.








Волгоград, 2009

Оглавление

Введение

Понятие о сердечных гликозидах, строение, классификация

Содержание сердечных гликозидов в растениях, факторы, влияющие на их образование и накопление

Физико-химические свойства сердечных гликозидов

Заготовка сырья, содержащего сердечные гликозиды

Фармакологические свойства

Влияние заместителей на фармакологические свойства

Препараты из растений, содержащих сердечные гликозиды

Заключение

Список литературы

Введение

По данным статистики ВОЗ, заболевания сердца и сосудов занимают в настоящее время, ведущее место среди причин смертности больных в развитых странах. Тревогу внушает так же и то, что количество случаев сердечных заболеваний постоянно увеличивается, а возраст больных неуклонно снижается.

Ученые из Лозаннского университета подготовили для Всемирной организации здравоохранения доклад по статистике сердечно-сосудистых заболеваний в 34 странах мира начиная с 1972 года. Россия заняла первое место по смертности от этих недугов, опередив прежнего лидера - Румынию.

Статистика по России выглядит просто фантастически: из 100 тысяч человек только от инфаркта миокарда в России ежегодно умирают 330 мужчин и 154 женщины, а от инсультов - 204 мужчины и 151 женщина. Среди общей смертности в России сердечно-сосудистые заболевания составляют 57 %. Такого высокого показателя нет ни в одной развитой стране мира! В год от сердечно-сосудистых заболеваний в России умирают 1 млн 300 тысяч человек - население крупного областного центра. Львиная доля здесь принадлежит ишемической болезни сердца и артериальной гипертонии с ее осложнениями - инфарктами миокарда и инсультами.

На сегодняшний день огромное значение имеет лечение всех вышеперечисленных заболеваний. Существует большое количество лекарственных препаратов, использующихся для профилактики и лечения сердечно-сосудистых заболеваний.

Значительная доля этих препаратов приходится на кардиотонические средства, которые подразделяются на сердечные гликозиды и препараты «негликозидной» структуры.

Целью моей работы является изучение физических и фармакологических свойств основных сердечных гликозидов в зависимости от их химического строения, а также изучение особенностей заготовки сырья, содержащего сердечные гликозиды, как промежуточного этапа изготовления лекарственных средств.

Понятие о сердечных гликозидах, строение, классификация

Сердечные гликозиды (кардиотонизирующие, или кардиотонические, гликозиды - СГ) - гетерозиды, агликоны которых являются стероидами - производными циклопентанпергидрофенантрена, имеющими С17-ненасыщенное лактонное кольцо.

Сердечные гликозиды - вещества растительного происхождения, обладающие выраженным кардиотоническим действием и используемые при лечении сердечной недостаточности, связанной с дистрофией миокарда различного происхождения.

Сердечные гликозиды не имеют равных себе синтетических заменителей; растения служат единственными источниками их выделения для последующего получения лекарственных препаратов. [8]

Классификация:

По строению лактонного кольца:

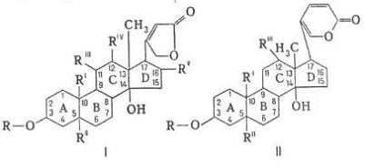
пятичленное бутенолидное (карденолиды) (рис.1 - I)

шестичленное, так называемое кумалиновое, кольцо (буфадиенолиды) (рис. 1 - II).

Рисунок 1. Структурные формулы сердечных гликозидов. I - карденолиды; II- буфадиенолиды

Название карденолиды происходит от греческого cardia - сердце, енолид - лактонное пятичленное кольцо, содержащее одну двойную связь; буфадиенолиды - от латинского bufo - жаба, диенолид - лактонное шестичленное кольцо с двумя ненасыщенными связями. Химическое строение установлено в 30-е годы ХХ в. работами американских ученых W.A.Jacobs, R.Tschesche и др.

В зависимости от заместителя в положении С-10 сердечные гликозиды подразделяются на две подгруппы.

Подгруппа наперстянки: относятся гликозиды или кардиостероиды, аглико-ны которых в положении 10 имеют метильную группу (-СН3), например, дигитоксигенин. Гликозиды этой подгруппы медленно всасываются и медленно выводятся из организма, обладают сильным кумулятивным действием. (рис. 2)

Рисунок 2. Структурные формулы представителей подгруппы наперстянки

II. Подгруппа строфанта: относятся гликозиды или кардиостероиды, агликоны которых в положении 10 имеют альдегидную группу (-СНО), например, строфантидин, или оксиметильную (-СН2ОН), например, строфантидол. Гликозиды этой подгруппы быстро всасываются и выводятся из организма, практически не обладают кумулятивным действием, поэтому их действие наступает быстро. (рис. 3)

Рисунок 3. Структурные формулы представителей подгруппы строфант

Сердечные гликозиды можно также классифицировать по количеству сахарных остатков в углеводной части молекулы: их можно разделить на монозиды, биозиды, триозиды и т. д.

Сердечные гликозиды легко могут подвергаться гидролизу - кислотному, щелочному и ферментативному, причем в случае последнего имеет место ступенчатое расщепление. В соответствии с этим сердечные гликозиды делят на первичные (нативные, «генуинные, «первозданные»), вторичные и т.д. Из первичных гликозидов, например, ланатозида С, в условиях мягкого ферментативного гидролиза (отщепление глюкозы), имеющего место на стадии сушки ЛРС, образуются вторичные гликозиды (ацетилдигоксин). При более глубоком ферментативном гидролизе (отщепление ацетильной группы) образуется третичный гликозид (дигоксин), который затем расщепляется с образованием агликона (генина). (рис. 4)

Рисунок 4. Схема ступенчатого расщепления [5]

Фармакологическая классификация (по скорости действия):

. Гликозиды длительного действия, при введении которых максимальный эффект при приеме внутрь развивается через 8-12 часов и продолжается до 10 дней и более. При внутривенном введении наступает действие через 30-90 минут, максимальный эффект проявляется через 4-8 часов. К этой группе относятся гликозиды наперстянки пурпурной (дигитоксин и др.), обладающие выраженной кумуляцией.

. Гликозиды средней продолжительности действия, при введении которых максимальный эффект проявляется через 5-6 часов и длится в течение 2-3 дней. При внутривенном введении наступает действие через 15-30 минут, максимальный эффект проявляется через 2-3 часа. К этой группе относятся гликозиды наперстянки шерстистой (дигоксин, целанид и др.), обладающие умеренной кумуляцией. Таким свойством обладают также гликозиды наперстянки ржавой и горицвета.

. Гликозиды быстрого и короткого действия - препараты экстренной помощи. Вводят только внутривенно, эффект наступает через 7-10 минут. Максимальное действие проявляется через 1-1,5 часа и длится до 12-24 часов. К этой группе относятся гликозиды строфанта и ландыша, практически не обладающие кумулятивными свойствами. [8]

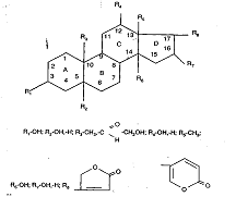
Строение агликона:

В основе строения агликонов сердечных гликозидов лежит циклопентанопергидрофенантреновая система, полностью или частично гидрированная, особенностью которой является наличие в положении 17 ненасыщенного пятичленного или шестичленного лактонного бутенолидного кольца. У агликонов сердечных гликозидов чаще всего заместители находятся в положениях 3, 5, 10, 12, 13, 14, и 16. (рис. 5)

фармакологический сердечный гликозид

Рисунок 5. Строение агликона

Кроме того, в положениях 1,2,11,15 могут находиться гидроксильные группы. Гидроксил в положении 16 в некоторых агликонах может быть этерифицирован муравьиной, уксусной или изовалериановой кислотами. Выделены из растений также агликоны сердечных гликозидов, содержащие в стероидной части молекулы ройные С=С - связи, кетогруппы, эпоксидные кольца. Число и расположение СН3 - и ОН -групп влияет на всасываемость соединения из желудочно-кишечного тракта и накопление в тканях.

Строение гликона:

Сахарный фрагмент присоединяется к агликону за счет гидроксила в положении 3. Длина сахарной цепочки у различных сердечных гликозидов разная - от одной молекулы до четырех - пяти.

Сахарный (углеводный) фрагмент молекулы сердечных гликозидов имеет две особенности: во-первых, линейное строение (в отличие от сапонинов, у которых часто встречается разветвленная цепочка) и, во-вторых, качественный состав Сахаров. Большинство из них являются специфическими дезоксисахарами, т.е. сахарами, встречающимися только в определенных растениях и обедненных кислородом. Чаще всего встречаются 6-дезокси- и 2,6-дидезоксигексозы. Дезоксисахара могут содержать ацетильные и метоксильные группы (например, ацетилдигитоксоза - сахар, входящий в состав углеводного фрагмента ланатозидов, содержащихся в наперстянках). Если углеводный фрагмент кардеостероидов состоит из нескольких Сахаров, то к агликону присоединяются сначала дезоксисахара, а концевой является глюкоза.

К настоящему времени установлено строение 35 моносахаров сердечных гликозидов. Наиболее часто встречаются сахара (рис. 6 и 7):

Рисунки 6 и 7. Сахара, входящие в состав сердечных гликозидов.

Длина сахарной цепочки влияет на растворимость сердечных гликозидов, кроме того сахара обуславливают способность кардиостероидов ингибировать АТФ-азы поверхностных мембран, а также влияют на фиксирование сердечных гликозидов в сердечной мышце. [3]

Содержание сердечных гликозидов в растениях, факторы, влияющие на их образование и накопление

Растений, содержащих сердечные гликозиды, немного, они составляют около 0,3% от общего числа видов флоры нашей страны. Наиболее богаты сердечными гликозидами растения следующих семейств: лилейных, лютиковых, норичниковых, капустных, кутровых, ластовневых. Кардиостероиды обнаружены также в секрете кожных желез жаб и в микроколичествах содержатся в бабочках.

Сердечные гликозиды содержатся в растворенном виде в клеточном соке различных органов растений: семенах (строфанты), листьях (наперстянка, ландыш), цветках (ландыш), подземных органах (кендырь коноплевый) и др. В растениях обычно содержится несколько близких по строению гликозидов, например из листьев наперстянки выделено около 70 гликозидов. Образованию и накоплению СГ в растениях способствуют свет, тепло. Содержание СГ в растениях, произрастающих на высоте (в горах, на возвышенностях), значительно выше. Большинство используемых в настоящее время лекарственных растений произрастает в тропиках (строфанты) или теплых климатических зонах (наперстянка, желтушник, горицвет и др.). Присутствие марганца и молибдена в почве увеличивает содержание сердечных гликозидов.

Обычно в растениях содержится 20-30 и более сердечных гликозидов и очень редко встречаются растения, содержащие один кардиостероид. Количественное содержание сердечных гликозидов находится в пределах 0,01-1%, составляя в среднем 0,2-0,5%. Особенно высоким содержанием кардиостероидов отличаются семена строфанта (до 3%) и желтушника (до 6%). [3]

Физико-химические свойства сердечных гликозидов

Сердечные гликозиды - кристаллические вещества бесцветные или беловатые, иногда с кремовым оттенком, не имеющие запаха и обладающие горьким вкусом.

В зависимости от наличия полярных групп сердечные гликозиды условно делят на гидрофильные и гидрофобные. С увеличением числа полярных групп в молекуле (лактонное кольцо, альдегидная группа в положении 10, гидроксил в положении 5) гидрофильность соединения возрастает. К гидрофильным относят строфантин, конваллотоксин, к гидрофобным - дигитоксин, ацетилдигитоксин. От гидрофильности сердечных гликозидов зависят их фармакологические свойства: скорость и длительность действия, возможность образовывать комплексы с белками крови, проницаемость через липидные мембраны клетки и т.п. На полярность сердечных гликозидов оказывают влияние также характер сахарного фрагмента, его конформационные формы, относительное пространственное расположение агликона и углеводной части молекулы.

Химические свойства обусловлены:

)        наличием гликозидной связи (гидролиз ферментами и кислотами),

)        лактонного кольца (изомеризация под действием щелочей, образование окрашенных продуктов с ароматическими нитропроизводными в щелочной среде),

)        стероидной природой (образование окрашенных продуктов с кислотными реагентами: уксусный ангидрид, концентрированная серная кислота, трихлоруксусная кислота, треххлористая сурьма и др.).[6]

Кардиостероиды легко подвергаются кислотному и ферментативному гидролизу. Ферментативный гидролиз проходит под действием ферментов и характеризуется постепенным ступенчатым отщеплением сахаров. Гидролиз может протекать как под действием ферментов (гликозидаз, эстераз), содержащихся непосредственно в самом растении, - аутоферментация, так и с помощью различных ферментных препаратов: грибов (Aspergillus, Penicillium), панкреатического сока виноградной улитки, эмульсина из семян горького миндаля и др. В результате ферментативного гидролиза получают так называемые вторичные сердечные гликозиды. Ферментативный гидролиз широко используют для установления строения сердечных гликозидов и в производстве лекарственных препаратов.

При кислотном гидролизе используют кислоты слабой концен трации, чаще всего H2SO4(0,05 или 0,1 моль/л). В результате происходит отщепление всего углеводного фрагмента от стероидного ядра с последующим гидролизом до отдельных моносахаров.

Сахара, входящие в состав углеводных фрагментов сердечных гликозидов после гидролиза дают все цветные реакции, присущие углеводам (восстановление реактива Феллинга, аммиачного раствора серебра, образование окрашенных соединений с орцином, ксантгидролом, п-диметиламинобензальдегидом и т.д.).

Наибольшее распространение получила реакция с ксантгидролом, она используется в анализе и лекарственного растительного сырья (количественное определение ланатозида С в листьях наперстянки шерстистой) и препаратов сердечных гликозидов (целанид, дигоксин и др.) (рис. 8)

Рисунок 8. Реакция с ксантгидролом.


Реакция на 2,6-дезоксисахара (реакция Келлера-Килиани) с ледяной уксусной кислотой, концентрированной серной кислотой и следами Fe+ используется в качественном анализе субстанции и препарата «цимарин», «целанид», «дигитоксин». [3]

При взаимодействии сердечных гликозидов с реактивами, вызывающими дегидратацию гидроксильных групп стероидного ядра (особенно в 5 и 10 положениях) образуются ангидропроизводные различной окраски. Обычно эти реакции происходят в среде концентрированных кислот или под влиянием катализаторов (SbCl3, FnCl3 и др.). Кроме того, с концентрированными минеральными кислотами сердечные гликозиды могут образовывать окрашенные соединения (явление галохромии). Наибольшее распространение получили реакции с концентрированной серной кислотой. Так в качественном анализе конваллятоксина и строфантина используется реакция Либермана-Бурхарда (с уксусным ангидридом и конц. H2S04), в анализе строфантина-К еще и реакция с конц. H2S04.

В щелочной среде сердечные гликозиды образуют окрашенные соединения с нитропроизводными. Поскольку в образовании таких соединений основная роль принадлежит ненасыщенному лактонному кольцу, реакции, основанные на этом свойстве, часто объединяют в группу «реакции на лактонное кольцо». Наибольшее распространение в анализе препаратов сердечных гликозидов получи ли реакции: Раймонда (с 3% раствором м-динитробензола в бензоле), Легаля (с 5% раствором нитропруссида натрия), Татье (с 0,075% раствором 2,4-динитрофенилсульфона),' Балье (с 1% раствором пикрата натрия). Полученные в результате реакций комплексные соединения имеют оранжево-красную окраску, за исключением реакций Раймонда и Татье (соответственно окраска синяя и голубая). Наибольшее распространение получила реакция Легаля. Она используется в анализе практически всех субстанций и лекарственных форм. [10]

Заготовка сырья, содержащего сердечные гликозиды

При сборе, сушке и хранении сырья нужно создать условия, препятствующие ферментативному гидролизу гликозидов. Надземные части собирают в сухую погоду, в небольшую по объему тару (лучше корзины, ящики с отверстиями) и быстро, через 2-3 часа (чтобы не произошло самосогревание сырья) доставляют к месту сушки. Сушка для большинства видов рекомендуется быстрая, в тонком слое, при темп. 50-700. Можно при этой темп. выдержать сырье 1-2 часа, а затем, после дезактивации ферментов, досушивать его при обычной температуре.

Сроки заготовки сырья индивидуальны.

)        Листья наперстянки - Folia Digitalis (Наперстянка красная (пурпуровая) - Digitalis purpurea L.): сырье рекомендуется собирать в фазе цветения, в солнечный день, так как гликозиды накапливаются интенсивнее на свету. При возделывании наперстянки в виде однолетней культуры листья срезают 2-3 раза за лето без черешков (они затрудняют сушку, а биологически активных веществ не содержат).

)        Наперстянка шерстистая - Digitalis lanata Ehrh.: см. Наперстянка пурпурная. Для получения дигиланида С листья сушат при температуре 80°С, а дигоксина - не выше 45°С.

)        Цветки ландыша - Flores Convallariae

Листья ландыша - Folia Convallariae

Трава ландыша - Herba Convallariae

Ландыш майский - Convallaria majalis L. и его разновидности: ландыш кавказский - Convallaria L. transcaucasica Utk., ландыш дальневосточный (Кейске) - С. Keiskei: траву и листья ландыша срезают ножом или серпом на высоте 3-5 см от почвы, выше бурых чешуйчатых листьев, где расположены почки возобновления. Цветки срезают с остатком цветоноса не длиннее 20 см. Нельзя обрывать или выдергивать растения. Для быстрого восстановления зарослей срезают не более 25% от общего числа особей. Повторные заготовки в зависимости от района произрастания проводят через 3-6 лет. В южных районах заросли восстанавливаются быстрее. [2,6]

При организации заготовки следует иметь в виду, что биологическая активность сырья снижается от фазы начала цветения к концу фазы цветения в 2,5 раза. Экспериментальным путем установлено, что ландыш накапливает наибольшее количество действующих веществ, в том числе конваллотоксина, на более осветленных участках леса. Большее содержание действующих веществ характерно для относительно мелких по размеру листьев, с увеличением размеров листьев повышается количество балластных веществ.

В лесных растительных сообществах с участием ландыша можно повысить биологическую активность сырья в 2-6 раз, увеличивая освещенность нижних ярусов леса (выборочная рубка деревьев первого яруса, уничтожение возобновленного древостоя, кустарников) или внося удобрения.[2]

)        Трава адониса весеннего - Herba Adonidis vernalis

Адонис весенний - Adonis vernalis L.: заготовку травы целесообразно проводить в период массового плодоношения, когда она содержит максимальное количество карденолидов. Это к тому же позволяет увеличить сбор сырья при условии нанесения наименьшего ущерба для зарослей. Учитывая отсутствие потенциального запаса плодов (семена дают всходы только через 10-12 лет), медленное развитие особей (максимальное развитие только к 50 годам), нужно тщательно соблюдать правила заготовки сырья.

Стебли срезают выше коричневых чешуй на высоте 7-10 см от поверхности почвы серпом, секатором, ножницами или же скашивают косой вместе с другими растениями, а затем выбирают из скошенной массы побеги горицвета. Нельзя (!) обрывать, выдергивать побеги, так как это ведет к повреждению почек возобновления. Примерно на каждые 10 м2 заросли следует оставлять несрезанными 1-2 хорошо развитых экземпляра для обсеменения. Заготовку на одном и том же месте при соблюдении правил сбора можно проводить не чаще одного раза в 3-4 года. В целях охраны зарослей необходимо организовывать заказники, прекратить распашку земель, занятых зарослями горицвета весеннего. [1]

Собранное сырье укладывают рыхлым слоем в открытую тару (ящики, плетеные корзины), так как в мешках оно быстро чернеет. При перевозке на дальние расстояния кузов машины должен быть оборудован стеллажами или решетками, на которые раскладывают траву. Перед сушкой удаляют посторонние растения, минеральные примеси, обрезают стебли с бурыми чешуйчатыми листьями, если они попали в сырье.

Траву сушат в сушилках при температуре 50-60°С или в хорошую погоду на продуваемых чердаках, под навесами, раскладывая тонким слоем на натянутую сетку, марлю или стеллажи; в процессе сушки сырье периодически переворачивают. Перед упаковкой его выдерживают 2-3 дня в помещении и лишь затем упаковывают.[2]

В общем: любое сырье, содержащее СГ, для сушки раскладывают на сетки слоем не толще 1 см и сушат при температуре 50-60°С или на воздухе в тени (чердаки, воздушные сушилки), переворачивая их 1-2 раза; цветки не переворачивают. После сушки удаляют пожелтевшие и побуревшие листья и цветки, примеси других растений, минеральные примеси. Собранное в сухую погоду сырье укладывают в небольшую по объему тару (желательно корзины) и быстро доставляют к месту сушки, не допуская самосогревания сырья. Для большинства видов сырья проводят быструю сушку при температуре 50-70°С, чтобы инактивировать действие ферментов, которые могут вызвать нежелательный гидролиз гликозидов. Для отдельных видов сырья допустима воздушная сушка. Иногда для одного и того же вида сырья предусмотрены различные режимы сушки в зависимости от того, какой гликозид надо получить (см. Наперстянка шерстистая).

Хранят сырье в сухих, хорошо проветриваемых помещениях при температуре не выше 15°С по списку Б (семена строфанта по списку А). Ежегодно проводится контроль биологической активности. [6]

Фармакологические свойства

Основным свойством сердечных гликозидов является их избирательное действие на сердце. Главную роль в фармакотерапевтическом эффекте СГ играет усиление систолы (кардиотоническое действие, положительное инотропное действие), связанное с прямым влиянием препарата на миокард. Систолическое сокращение становится более энергичным и быстрым. На ЭКГ проявляется укорочением интервала Q-T; со стороны желудочкового комплекса типичны также снижение сегмента S-T ниже изоэлектрической линии, уменьшение, сглаживание или инверсия зубца Т.

При сердечной недостаточности СГ заметно увеличивают ударный и минутный объем сердца. Важно, что работа сердца повышается без увеличения потребления им кислорода (на единицу работы).

Кардиотоническое действие СГ связывают с их ингибирующим влиянием на Na, K- АТФазу мембраны кардиомиоцитов, что приводит к увеличению внутриклеточного содержания ионов натрия и снижению - ионов калия. Повышение внутриклеточной концентрации ионов натрия приводит к повышению его обмена с внеклеточными ионами кальция, поступление которых в клетку возрастает. В свою очередь, последнее способствует освобождению дополнительных количеств ионов кальция из саркоплазматического ретикулума. В целом, содержание свободных ионов кальция в саркоплазме увеличивается. Они взаимодействуют с тропаниновым комплексом и устраняют его тормозящее влияние на сократительные белки миокарда. Происходит взаимодействие актина с миозином, что проявляется быстрым и сильным сокращение миокарда.

Важно, что работа сердца повышается на фоне урежения сердечного ритма (отрицательное хромотропное действие) и удлинения диастолы. Это создает наиболее экономный режим работы сердца: сильные систолические сокращения сменяются достаточными периодами «отдыха», благоприятствующими восстановлению энергетических ресурсов в миокарде.

Кроме того, СГ, оказывая прямое угнетающее влияние на проводящую систему сердца и тонизируя блуждающий нерв, снижают скорость проведения возбуждения (отрицательное дромотропное действие).[9]

Важной характеристикой СГ является их способность к кумуляции. Чем продолжительнее действую СГ ,тем больше они кумулируют. Речь идет о материальной кумуляции, т.е. о накоплении самого вещества в организме. Особенно выраженная кумуляция отмечена для дигитоксина (период полувыведения 160 часов). В меньшей степени кумулируют дигоксин (34-36 часов) и целанид.

По длительности действия и способности кумулировать гликозиды наперстянки и строфантин располагаются в следующем порядке: дигитоксин > дигоксин > целанид > строфантин. [4]

Сердечные гликозиды также действуют на структуру актомиозинового комплекса - ускоряется образование актомиозинового комплекса. Но так как сердечные гликозиды являются высоко поверхностно активными соединениями, то они улучшают скольжение белков относительно друг друга при скручивании.

Сердечные гликозиды замедляют проводимость в АВ-узле, что является одним из механизмов появления брадикардии. Замедление сердечных сокращений связано также с влиянием на парасимпатическую систему: сердечные гликозиды повышают тонус парасимпатической системы за счет кардиокардиального рефлекса, рефлекса с барорецепторов дуги аорты, а также рефлекса Бейнбриджа. Под действием сердечных гликозидов уменьшается активность фермента - холинэстеразы, поэтому ацетилхолина идет медленнее, он накапливается и идет накопление эффекта вагуса. [9]

Влияние заместителей на фармакологические свойства

Химическое строение сердечных гликозидов оказывает влияние на их кардиотоническую активность. Наиболее биологически активны соединения с цис-сочленением колец А/B, C/D; b-ориентацией лактонного кольца и других функциональных групп (ОН-группа у С3). Введение ОН-группы в С11, С12-положения повышает, а в С16-положение снижает активность, ацетилирование этой группы повышает токсичность; присутствие -СНО у С10 усиливает эффект гликозидов, ускоряет его и повышает токсичность гликозидов. На скорость и силу кардиотонического эффекта, кроме того, оказывает влияние характер углеводного компонента: наиболее сильное, но кратковременное воздействие вызывают монозиды; с удлинением углеводной цепочки действие становится более мягким и длительным. Чистые агликоны плохо удерживаются сердечной мышцей, поэтому действуют кратковременно, кроме того, они токсичны (за исключением буфадиенолидов). [5]

Специфические кардиотонические свойства сердечных гликозидов обусловлены наличием обоих частей агликона, и стероидного ядра и ненасыщенного лактонного кольца, непосредственно связанных друг с другом. Установлено, что любые изменения в лактонном кольце приводят к потере кардиотонической активности. Например, перемещение двойной связи под влиянием щелочи сопровождается внутримолекулярным присоединением оксигруппы у Си к двойной связи и образованием циклического эпоксипроиз-водного - соответствующего изоагликона, физиологически неактивного. (рис. 9)

Рисунок 9. Образование эпоксидного соединения.

С другой стороны, был синтезирован ряд соединений, в которых циклопентанопергидрофенантреновую систему заменили более простыми бензольными, нафталиновыми кольцами и др. Все полученные соединения оказались физиологически неактивными.

Биологическая активность сердечных гликозидов очень сильно зависит от стереохимического строения соединений. Агликоны кардиостероидов имеют восемь ассиметрических атомов углерода и следовательно, могут иметь 256 стереоизомеров. Особенно влияет на активность сердечных гликозидов пространственное расположение колец, они могут находиться и в транс- и в цис-положении. Кардиоактивны только соединения, имеющие кольца д/В и С/Д в цис-сочленении. Соединения, у которых названные кольца находятся в транс-положении, либо вообще лишены кар-диотонических свойств, либо слабо активны. Также наиболее активными являются цис-изомеры по заместителям в положениях 5, 10 и 17. Изомерия заместителей в других положениях влияния на биологическую активность не оказывает. [3]

Препараты из растений, содержащих сердечные гликозиды

В медицинской практике наиболее широко применяют препараты сердечных гликозидов, полученных из следующих растений:

наперстянки пурпуровой (Digitalis purpurea, семейство Норичниковые - Scrophulariaceae) - дигитоксин, кордигит

наперстянки шерстистой (Digitalis lanata, семейство Норичниковые - Scrophulariaceae) - дигоксин, целанид, медилазид, лантозид

наперстянки ржавой (Digitalis ferruginea, семейство Норичниковые - Scrophulariaceae ) - дигален-нео

строфанта Комбе (Strophanthus Kombe, семейство Кутровые - Apocynaceae) - строфантин К, строфантидина ацетат

Ландыша (Convallaria majalis, Семейство Ландышевые - Convallariaceae) - коргликон, настойка ландыша

горицвета весеннего (Adonis vernalis, семейство Лютиковые - Ranunculaceae ) - настой травы горицвета, адонизид, адонизид сухой

желтушника седеющего (Erisimum diffusum, семейство Крестоцветные - Brassicaceae) - кардиовален [7,10]

Заключение

Сердечные гликозиды - вещества растительного происхождения, обладающие выраженным кардиотоническим действием и используемые при лечении сердечной недостаточности, связанной с дистрофией миокарда различного происхождения.

Классифицируют СГ по строению лактонного кольца; в зависимости от заместителя в положении С-10; по количеству сахарных остатков в углеводной части молекулы; по ступеням гидролиза и по скорости действия.

Химические свойства СГ обусловлены:

)        наличием гликозидной связи ,

)        лактонного кольца ,

)        стероидной природой.

При сборе, сушке и хранении сырья нужно создать условия, препятствующие ферментативному гидролизу гликозидов.

Основным свойством сердечных гликозидов является их избирательное действие на сердце. Главную роль в фармакотерапевтическом эффекте СГ играет усиление систолы, связанное с прямым влиянием препарата на миокард.

Специфические кардиотонические свойства сердечных гликозидов обусловлены наличием обоих частей агликона, и стероидного ядра и ненасыщенного лактонного кольца, непосредственно связанных друг с другом.

Применяют сердечные гликозиды главным образом при острой и хронической сердечной недостаточности и аритмиях. Являются очень эффективными препаратами, но лечение требует строгого контроля врача.


1.      Аксельрод Д.М. и др. Горицвет весенний. /Д.М. Аксельрод, под редакцией П.Енина. - М.: Медгиз, 1954, 56с.

.        Гаммерман А.Ф. Лекарственные растения: (Растения - целители)./ А.Ф. Гаммерман, Г.Н. Кадаев, А.А. Яценко-Хмелевский. - М.: Высш.шк., 1990. - 544с.

.        Ерманова В.А. Лекарственные растения Государственной Фармакопеи. Фармакогнозия: учебник. /В.А. Ерманова, под ред. И.А. Самылиной, В.А. Северцова; ММА им. И.М. Сеченова - М.:, АНМИ, 2003.- 536 с.

.        Кукес В.Г., Волков Р.Ю. Тактика терапии сердечными гликозидами. / В.Г. Кукес, Р.Ю. Волков. Актуальные проблемы кардиологии. - М.: 1982, с. 89-93

.        Куркин В.А. Фармакогнозия: Учебник/ В.А. Куркин; ВУНМЦ, ГОУ ВПО СамГМУ. -Самара: Офорт, СамГМУ, 2004. - 1180с.

.        Муравьева Д.А. Фармакогнозия: учеб. для студ. фармац. вузов/ Д.А. Муравьева, И.А. Самылина, Г.П. Яковлев. - 4-е изд., перераб. и доп. - М.: Медицина, 2002 - 656 с.

.        Соколов С.Я., Замотаев И.П. Справочник по лекарственным растениям: Фитотерапия./С.Я. Соколов, И.П. Замотаев - 2-е изд. - М.: Медицина, 1988.- 462с.

.        Сокольский И.Н. Фармакогнозия: Учебник / И.Н. Сокольский, И.А. Самылина, Н.В. Беспалова - М.: Медицина, 2003.- 480с.

.        Харкевич Д.А. Фармакология./ Д.А. Харкевич - 6-е изд., перераб. и доп. - М.: ГЭОТАР МЕДИЦИНА, 1999. - 664с.

.        Яковлев Г.П. Лекарственное сырье растительного и животного происхождения. Фармакогнозия: учебн. пособ./ Г.П. Яковлев. - СПб: СпецЛит, 2006. -846 с.

Похожие работы на - Физические и фармакологические свойства основных сердечных гликозидов в зависимости от химического строения. Особенности заготовки сырья, содержащего сердечные гликозиды

 

Не нашли материал для своей работы?
Поможем написать уникальную работу
Без плагиата!
Без нейросетей!