Проектирование шумомера
КУРСОВОЙ ПРОЕКТ
по дисциплине:
"Основы
проектирования приборов и систем"
на тему:
Проектирование шумомера
Оглавление
Введение
Технико-экономическое обоснование
Аналитический обзор решения поставленной задачи
Измерение акустического шума
Характеристика шума по шкале
Измеритель шума и вибрации ВШВ-003-М3
Шумомер искробезопасный типа ВШМ-003
Измеритель шума и вибрации типа ВШВ-003-М2
Шумомер типа Шум-1М
Шумомер малогабаритный типа ШМ-1М1
Разработка и расчёт принципиальной схемы
Подбор и расчет фильтров. Реализация фильтров на операционных
усилителях
Расчет режекторного фильтра
Детектор амплитудного значения
Описание микроконтроллера
ЖК-дисплей
USB интерфейс
Расчёт погрешности
Выбор и обоснование материалов
Питание устройства
Разработка программы и алгоритма
Программа
Заключение
Список использованных источников
Введение
Шумом называются беспорядочные колебания различной физической
природы, отличающиеся сложностью временных и спектральных характеристик. Шум -
один из факторов физического загрязнения окружающей среды. В зависимости от
источника его подразделяют на: механический, аэродинамический,
гидромеханический, электромагнитный; по частоте излучения - на низкочастотный
(диапазон частот ниже 400 Гц), среднечастотный (диапазон частот от 400 до 1000 Гц),
высокочастотный (диапазон частот свыше 1000 Гц). Интенсивное шумовое
воздействие вызывает в органе слуха изменения, составляющие специфическую
реакцию организма. Процесс адаптации слуховой системы выражается в повышении
порогов слуховой чувствительности. При долговременном акустическом воздействии
формируется повышение слуховых порогов, сначала медленно возвращающееся к
исходному уровню (слуховое утомление), а затем сохраняющееся к началу
очередного шумового воздействия (постоянное смещение порога слуха). Для
обозначения интенсивности шума используется условная логарифмическая единица -
децибел.
Шумомер - прибор для объективного измерения уровня громкости
шума (звука). Общая схема прибора выбрана так, чтобы его свойства приближались
к свойствам человеческого уха. Чувствительность уха зависит от частоты звука, а
вид этой зависимости изменяется с изменением интенсивности измеряемого шума
(звука). Поэтому стандартно в них имеется несколько комплектов фильтров,
обеспечивающих нужную форму частотной характеристики: фильтр A - применяется при малой
громкости, фильтр В - при средней громкости и С - большой громкости.
По точности согласно ГОСТ 17187 шумомеры делятся на четыре
класса 0, 1, 2 и 3. Шумомеры класса 0 используются как образцовые средства
измерения; приборы класса 1 - для лабораторных и натурных измерений; 2 - для
технических измерений; 3 - для ориентировочных измерений. Каждому классу
приборов соответствует диапазон измерений по частотам: шумомеры классов 0 и 1
рассчитаны на диапазон частот от 20 Гц до 18 кГц, класса 2 - от 20 Гц до 8 кГц,
класса 3 - от 31,5 Гц до 8 кГц.
Так зачем же нам надо измерять шум?
Исследования ученых показали, что шумовое загрязнение
окружающей среды является одним из самых опасных факторов, влияющих на здоровье
человека. Под этой формой загрязнения понимают превышение естественного уровня
шума и ненормальное изменение звуковых характеристик на рабочих местах, в
населенных пунктах и других местах. Источниками шума являются работа
транспорта, шумы, создаваемые самолетами, работа промышленных устройств,
бытовых приборов и другие причины. Раздражающее действие звука на человека
зависит от его интенсивности, спектра и продолжительности воздействия.
Наибольшее раздражение вызывает шум в диапазоне частот 3000-5000 Гц. Состояние
страха, тревоги вызывает инфразвук на частотах 6-8 Гц.
При достижении интенсивности шума 90-100 дБ наблюдается
повышенная утомляемость человека, снижение умственной активности, понижение
производительности труда (до 40-70%), предрасположенность к физическим и нервным
заболеваниям (язвенная болезнь, гипертония и др.). Очень сильный шум (свыше 110
дБ) ведет к так называемому шумовому "опьянению". При интенсивности
шума 140-145 дБ возникают вибрации в мягких тканях носа и горла, в костях
черепа и зубах. При уровне шума свыше 160 дБ может произойти разрыв барабанных
перепонок. Наиболее опасно длительное действие шума, при котором возможно
развитие шумовой болезни - общего заболевания организма с преимущественным
поражением органа слуха, центральной нервной и сердечнососудистой систем.
Технико-экономическое
обоснование
К шумомерам предъявляется несколько требований.
. Наличие в нем хотя бы корректирующей схемы А.
. Наличие в нем технических средств частотного анализа шума.
Наиболее гибко провести частотный анализ шума можно только посредством
специализированных анализаторов спектра, которые, как правило, чудовищно
дороги. На практике обычно ограничиваются анализом шума в октавных полосах
частот, и большинство современных прецизионных шумомеров имеют встроенные
октавные полосовые фильтры, позволяющие проводить такой анализ. Шумомеры со
встроенными октавными фильтрами, конечно, дешевле анализаторов спектра.
. Оборудование должно быть точным и иметь хорошую
стабильность параметров. Здесь также возможно возникновение проблем, поскольку
не все (даже относительно дорогие) шумомеры укомплектованы качественными
высокочувствительными микрофонами и имеют действительно низкий уровень
собственного шума, вносимого измерительным трактом.
Аналитический
обзор решения поставленной задачи
Приборы для объективного измерения уровня звука носят
название шумомеры.
Шумомеры являются измерительными приборами, которые
применяются для преобразования колебаний звукового давления в показания
соответствующие уровню звукового давления.
Широкое распространение шумомеры нашли в сфере анализа
эффективности звукоизоляции помещений. Данные приборы применяются как на
рабочих местах, и в жилых помещениях для подтверждения требований санитарных
норм, так и при исследованиях и испытаниях различных механизмов и изделий.
Однако не всякий прибор, измеряющий шум, является шумомером.
Существует российские и международные стандарты, устанавливающие требования к
этим приборам. В России пока еще действует советский стандарт ГОСТ 17187-81. В
европейских странах действуют свои стандарты на шумомеры, однако все они похожи
на ГОСТ 17187-81. Особняком стоят США, где применяются стандарты ANSI (в частности ANSI S1.4), существенно
отличающиеся от европейских.
Шумомер содержит ненаправленный микрофон, усилитель,
корректирующие фильтры, детектор, интегратор (для интегрирующих шумомеров) и
индикатор.
Принцип работы
Поскольку чувствительность уха зависит как от частоты звука,
так и от его интенсивности, в шумомере используются несколько комплектов
фильтров, отвечающих разной интенсивности шума. Данные фильтры позволяют
имитировать АЧХ уха при заданной мощности звука. Эти фильтры называются А, B, C, D. Их амплитудно-частотные
характеристики приведены в стандарте ГОСТ 17187-81.
Фильтр А примерно соответствует АЧХ "усредненного
уха" при слабых уровнях шума, фильтр B - при сильных уровнях
шума. Фильтр D
был разработан для оценки авиационного шума.
В настоящее время для нормирования шума применяются только
фильтры А и С (последний - для оценки пиковых уровней шума). Последние версии
стандартов на шумомеры не устанавливают требований к фильтрам B и D.
Главной проблемой на пути получения корректных количественных
оценок стал человеческий фактор, ведь шум - явление скорее
психофизиологическое, чем чисто физическое. Поэтому для количественной оценки
шума нужно было принять во внимание не только физические свойства самого
явления, но и его восприятие человеком и влияние на организм. Действительно,
человеческое ухо, в терминах электроники, является нелинейным преобразователем
звуковых колебаний и играет роль сложного полосового фильтра (даже целого
комплекса фильтров): громкость низкочастотных, среднечастотных и
высокочастотных тональных звуков с одинаковым уровнем звукового давления в
субъективном восприятии будет различна (тон средней частоты кажется громче
тонов низкой и высокой частот). Совершенно естественно, что ответ на вопрос,
как учесть психофизику шума в его количественных оценках, можно было получить
только опытным путем.
В начале 30-х годов группой американских ученых были
проведены важнейшие практические исследования зависимости субъективной
громкости звука от его частоты. Результатом этих исследований стало семейство
кривых, показывающих различие уровней интенсивности звука для чистых тонов,
кажущихся одинаково громкими. В дальнейшем эти кривые получили название
контуров громкости (второе название - кривые Флетчера-Мэнсона).
Рисунок 1 - Контуры одинаковой громкости
На основе контуров одинаковой громкости (точнее, контуров,
отвечающих уровням 40, 70 и 100 дБ) было предложено ввести в исследовательскую
практику три методики частотной корректировки уровней звукового давления для
учета особенностей восприятия звука человеком и получения простой одно-числовой
характеристики вместо полного частотного анализа шума (в октавных или
третьоктавных полосах частот) или же дополнительно к нему. Сейчас эти три
методики именуются частотными характеристиками коррекции (взвешивания) A, B и C.
Рисунок 2 - Частотные характеристики корректирующих
схем A, B и C
Рассмотрим "старичка" Bruel&Kjaer Type 2203, который является
надежным аналоговым прибором, успешно "отпахавшим" почти
двадцатилетний стаж работы без единого замечания.
Соответствует 1 классу точности по ГОСТ 17187-71 и занесен в
Государственный реестр средств измерений, позволяет проводить оперативную
калибровку внутренним источником эталонного напряжения по качеству
измерительного тракта не на много уступает самым современным шумомерам от Bruel&Kjaer и Larson Davis.
Есть еще один очень важный момент, сыгравший определяющую
роль в выборе этого прибора: наш шумомер был частью VIP-комплекта, который
включает в состав, кроме самого шумомера, дополнительные наборы октавных и
третьоктавных фильтров - Type 1613 и Type 1616, соответственно.
Конечно, одно только средство измерения (пусть даже самое
современное и высокоточное) будет бесполезной игрушкой без хорошо выверенной
методики проведения измерений, иными словами, без продуманного и качественно
поставленного эксперимента. Далее рассмотрим методику измерений.
Восприятие человеком звука (упругих волн слышимого диапазона
частот) во многом является субъективным и зависит от интенсивности и частоты
воспринимаемых звуковых колебаний. Для создания соответствия между объективными
и субъективными ощущениями интенсивности (уровня) техногенных и естественных
звуков и шумов применяют специальные приборы - шумомеры (ШМ), частотные
характеристики которых согласовывают с кривыми чувствительности слуха. Так,
низкие и высокие частоты усиливаются слабее, чем средние (700 - 5000 Гц), к
которым ухо наиболее чувствительно. Степень необходимой коррекции зависит от
уровня (интенсивности) измеряемого звука или шума.
Источником акустического шума могут быть любые (как правило
нежелательные) механические колебания в твердых, жидких и газообразных средах.
Различают механический шум, вызываемый вибрациями, соударениями твердых тел
(шум станков, машин и т.п.), гидро - или аэродинамический шум, возникающий в
турбулентных потоках газа или жидкости вследствие флуктуаций давления (шум
струи реактивного двигателя), термодинамический шум, обусловленный флуктуациями
плотности газа в процессе горения, а также резким повышением давления (при
взрыве, электрическом разряде), кавитационный шум, связанный захлопыванием
газовых полостей и пузырьков в жидкостях при кавитации.
Чувствительность уха зависит от частоты звука, а вид этой
зависимости изменяется с изменением интенсивности измеряемого шума (звука).
Поэтому в ШМ имеются три комплекта фильтров, обеспечивающих нужную форму частотной
характеристики на трёх уровнях громкости. Шкала A отвечает характеристике
при малой громкости ~ 40 фон (используется в диапазоне 20 - 55 фон), шкала В -
средней громкости ~ 70 фон (55 - 85 фон) и шкала С - большой громкости (85 -
140 фон). Характеристика при большой громкости равномерна в полосе частот 3.0 -
8000 Гц. Шкала А применяется также для измерения уровня громкости звука,
выраженного в децибелах с пометкой А, т.е. дБ (А), при любой громкости.
Величиной уровня громкости звука в дБ (А) пользуются при нормировании громкости
шума в промышленности, жилых домах и на транспорте.
Для соответствия между показаниями шумомера и субъективными
свойствами слуха важно согласование постоянной времени Т измерителя с
инерционностью слухового органа, а также с временными характеристиками
измеряемого шума (звука). При измерении пиковых значений применяют Т " 20
мс, а при измерении среднеквадратичных - Т регулируется в пределах 0,2 - 1 с.
Показания шумомера называют уровнем звука L и выражают в дБ согласно
формуле:
L = 20 lg (р/pо).
где р - среднеквадратичное значение звукового давления для
сигнала, измеряемого с коррекцией; рo - стандартное звуковое
давление, равное 2 *10-5 Па.
Время инициации (log to от - 6 до - 3);
Время существования (log tc от - 3 до 3);
Время деградации (log td от - 6 до - 3);
Время оптимального проявления (log tk от - 1 до 1).
Диаграмма:
Рисунок 3 - Техническая реализация эффекта
Выпускаемые промышленностью шумомеры имеют диапазон
измеряемых уровней 16 - 134 дБ, разбиваемый на различное число шкал. Они
снабжаются средствами акустической и электрической калибровки и выполняются в
виде портативных приборов. Часто шумомеры применяются в сочетании с фильтрами
для измерения усредненных спектральных характеристик шума.
Любой прибор для измерения шума должен включать в себя
устройство, обеспечивающее преобразование звуковых колебаний в электрический
сигнал - микрофон.
В микрофоне при превращении звуковых колебаний в
электрические сигналы происходят различные взаимосвязанные физические процессы.
В соответствии с этим микрофон можно рассматривать как ряд функциональных
звеньев.
Первое звено - акустическое, приемник звуковых волн. Звуковое
(колебательное) давление, создаваемое источником звука, воздействует на акустический
вход (или входы). В результате взаимодействия приемника и звукового поля
формируется механическая сила, зависящая от частоты звукового сигнала, размеров
и формы корпуса микрофона и его акустических входов, расстояния между ними,
угла падения звуковой волны относительно акустической оси микрофона, характера
звукового поля. Тип приемника определяет такой важный параметр, как
характеристика направленности (ХН).
Второе звено - акустико-механическое, оно служит для
согласования в заданном диапазоне частот силы, формируемой приемником, с
величиной колебательной скорости (для динамических микрофонов) или смещения
(для конденсаторных) подвижного элемента электромеханического преобразователя
микрофона. Свойства этого звена определяются взаимным расположением, величиной
и частотной зависимостью входящих в нее акустико-механических элементов,
которые в конструктивном отношении представляют собой различные зазоры, щели,
отверстия, объемы, пористые элементы, находящиеся внутри капсюля микрофона. Это
звено определяет частотную характеристику чувствительности (ЧХЧ) микрофона и в
значительной мере помогает формированию ХН в широком диапазоне частот.
Третье звено - электромеханическое, представляет собой
электромеханический преобразователь, работающий в микрофоне в режиме генератора
и преобразующий механическое колебание подвижного элемента (его скорости или
смещения) в электродвижущую силу (ЭДС). Эффективность преобразователя
характеризуется коэффициентом электромеханической связи. Преобразователь
определяет чувствительность микрофона.
Четвертое звено - электрическое. Оно выполняет функцию
согласования преобразователя с последующим усилительным устройством (например,
в конденсаторных микрофонах согласует большое емкостное сопротивление капсюля с
относительно низкоомным входом последующего усилительного устройства). В
некоторых моделях микрофонов электрическое звено также корректирует АЧХ
микрофонов.
Типы приемника и преобразователя являются определяющими
звеньями микрофонов. Акустико-механическое и электрическое звенья -
согласующие, основная задача которых - обеспечение минимальных потерь полезного
сигнала и получение требуемой АЧХ выходного сигнала.
Микрофоны обычно классифицируют по трем основным признакам:
типу приемника, типу преобразователя и по назначению (условиям эксплуатации).
Как подразделяются микрофоны?
шумомер принципиальная схема программа
Рисунок 4
Характеристики чувствительности
микрофонов:
· 1 - с круговой
"направленностью" (ненаправленные)
· 2 - с
двусторонней направленностью
· 3-5 - с
кардиоидной направленностью
Тип приемника определяет одну из основных характеристик
микрофона - характеристику направленности.
Характеристикой направленности называется зависимость
чувствительности микрофона на заданной частоте от угла падения звуковой волны.
По типу приемника микрофоны подразделяются на следующие
группы.
· Приемники давления
(ненаправленные, "нулевого порядка", "круговые"). В них
звук воздействует на подвижный элемент (мембрану, диафрагму) только с одной
стороны. Вследствие этого на низких и средних частотах, где размеры микрофона
малы по сравнению с длиной звуковой волны, чувствительность микрофона
практически не изменяется при разных углах падения звука.
· Приемники градиента или
разности давлений (направленные). Они бывают двух видов:
o с двумя практически
симметричными акустическими входами (в этом случае их ХН называют
"восьмеркой" или "двунаправленной");
o с двумя или более
несимметричными акустическими входами (в этом случае приемники являются
односторонне направленными).
Различия в форме ХН однонаправленных приемников определяются
как степенью несимметрии входов, так и величиной акустико-механических
параметров внутренней структуры акустикомеханического звена.
Характеристики направленности (диаграммы) указанных типов
приемников графически представлены на рисунке 4.
На рисунке 5 схематически изображен принцип построения
ненаправленного (а), двусторонне направленного (б) и односторонне направленного
(в) микрофонов.
Рисунок 5
В особую группу иногда выделяют комбинированные микрофоны, или
микрофоны с переменной ХН. В этих микрофонах можно получить практически любую
ХН из семейства (см. рисунок 4) комбинацией электрических сигналов от двух
приемников - ненаправленного (кривая 1) и двусторонне направленного (кривая 2),
или от двух развернутых на 180 капсюлей кардиоидных микрофонов (электрически
комбинированные), а также изменением величины напряжения поляризации на
половинках неподвижного электрода или мембранах в двухмембранных конденсаторных
микрофонах.
Особую группу представляют остронаправленные микрофоны, которые
применяются в случаях, когда нет возможности подойти близко к источнику
полезного сигнала. Острая ХН в них реализуется несколькими различными
способами.
"Биградиентными" или "бикардиоидными"
(градиенты второго порядка) называют микрофоны, состоящие из двух идентичных,
пространственно разнесенных и соосно расположенных капсюлей с ХН
"восьмерка" или "кардиоида", включенных в противофазе. Диапазон
частот таких приемников крайне ограничен.
Наиболее распространенными среди остронаправленных микрофонов
являются микрофоны "бегущей волны" (интерференционные), состоящие из
трубки с отверстиями или прорезями,
Рисунок 6
на заднем торце которой расположен ненаправленный или
однонаправленный микрофонный капсюль (рисунок 6). Отверстия (прорези) в трубке
закрыты тканью или пористым материалом, акустическое сопротивление которого
возрастает по мере приближения к капсюлю. Обострение ХН достигается из-за
интерференции парциальных звуковых волн, проходящих через отверстия трубки. При
движении фронта звука параллельно оси трубки все парциальные волны приходят к
подвижному элементу одновременно, в фазе. При распространении звука под углом к
оси эти волны доходят до капсюля с различной задержкой, определяемой
расстоянием от соответствующего отверстия до капсюля, при этом происходит
частичная или полная компенсация давления, действующего на подвижный элемент.
Заметное обострение ХН в таких микрофонах начинается с частоты, где длина
трубки больше половины длины звуковой волны; с увеличением частоты ХН еще
больше обостряется. Поэтому даже при значительной длине таких микрофонов,
которая может достигать метра и даже более, ХН на частотах ниже 150.200 Гц
определяется только капсюлем и обычно близка к кардиоиде или суперкардиоиде.
Третий, реально встречающийся тип остронаправленных микрофонов -
рефлекторные. В этих микрофонах капсюль с ненаправленной или однонаправленной
ХН помещается в фокусе параболического отражателя (рисунок 7). При этом,
благодаря свойствам параболы, звуковые волны после отражения концентрируются в
фокусе параболы, в месте расположения подвижного элемента капсюля, причем достигают
его в фазе.
Рисунок 7
Звуковые волны, приходящие под углом к оси параболы, рассеиваются
рефлектором, не попадая на микрофон. В рефлекторной системе ХН еще более
зависима от частоты, чем в интерференционной, и изменяется от практически
ненаправленной на низких частотах (при диаметре рефлектора меньше длины
звуковой волны) до узкого лепестка на высоких частотах. ЧХЧ таких микрофонов
имеет подъем в сторону высоких частот с крутизной порядка 6 дБ на октаву,
который обычно компенсируется или электрическим путем, или специальной
конструкцией капсюля.
На какие группы делятся микрофоны по типу преобразователя?
Рисунок 8
a) динамический микрофон:
б) ленточный микрофон
1. куполообразная диафрагма с гофрированным
воротником
2. цилиндрическая катушка
. магнит
. магнитопровод
. гофрированная лента из фольги
. магнитный зазор
По типу электромеханического преобразователя микрофоны
делятся на угольные, электромагнитные, пьезоэлектрические, электродинамические
(динамические) и конденсаторные (электростатические).
В профессиональных микрофонах (за исключением микрофонов для
связи и озвучивания в транспорте) обычно используются два последних типа
преобразователя. Поэтому рассмотрим их подробнее.
Динамические микрофоны, в свою очередь, подразделяются на
катушечные и ленточные. Схематически простейшее их устройство показано на
рисуке 8 (а и б соответственно). В первом варианте цилиндрическую бескаркасную
катушку (как правило, двух - и, реже, четырехслойную) помещают в кольцевой
зазор магнитной цепи, в котором создается равномерное магнитное поле
радиального направления. Катушка приклеена к куполообразной диафрагме с
гофрированным воротником, выполняющим роль подвеса. Когда диафрагма (из
полимерного материала) под действием звукового давления совершает колебания,
провод катушки пересекает магнитное поле зазора (ширина которого обычно 0,4.0,6
мм) и в катушке индуцируется ЭДС. Постоянные магниты микрофонов изготавливают
из специальных материалов с высокими остаточной индукцией и коэрцитивной силой.
Величина активного сопротивления такой катушки в различных моделях обычно
колеблется в пределах 20.600 Ом.
Как правило, с таким типом преобразователя делают микрофоны
ненаправленные или с односторонней направленностью. В последнем случае в
корпусе магнитной системы вскрывают отверстия, заклеиваемые шелком или другим
пористым материалом, реализующим на втором входе активное акустическое
сопротивление. Для расширения диапазона в сторону низких частот в таких
микрофонах обычно применяют дополнительные замкнутые объемы, соединенные внутри
с магнитом посредством трубок и отверстий разного сечения. В качестве примера
таких микрофонов из отечественных может служить ненаправленный микрофон МД-83,
а также микрофоны МД-97 и МД-91 с односторонней направленностью - для систем
звукоусиления речи, выпускаемые в настоящее время ООО "Микрофон-М"
(С. - Петербург).
Для компенсации электромагнитных помех (фона переменного
тока) в катушечных микрофонах последовательно со звуковой катушкой обычно
включают антифонную катушку, наматываемую, как правило, на магнитную систему.
Катушки включают таким образом, что наводимые на них фоновые напряжения,
возбуждаемые в обеих катушках, взаимно компенсируются.
В ленточном преобразователе (рисунок 8, б) в качестве
подвижного элемента используется гофрированная (для обеспечения большей
гибкости) металлическая (как правило, алюминиевая) ленточка толщиной несколько
микрон, помещаемая в магнитное поле между полюсными наконечниками постоянного
магнита, зазор между которыми обычно бывает порядка 1,5.2 мм. Ленточка служит
одновременно и проводником тока, и подвижной системой преобразователя. С таким
типом преобразователя обычно реализуется микрофон с "восьмерочной" ХН
(в силу полной симметрии преобразователя), ненаправленные (с акустическим
лабиринтом, закрывающим одну сторону ленточки), реже - односторонне
направленные. Ленточка, в отличие от катушки, имеет чрезвычайно малое
электрическое сопротивление порядка 0,1.0,3 Ом, а напряжение сигнала на ее
выходе составляет всего 20.30 мкВ при давлении 1 Па, соизмеримое с величиной
напряжения электростатических помех в микрофонных кабелях. Поэтому напряжение,
развиваемое ленточкой, предварительно увеличивают с помощью повышающего
трансформатора, помещаемого в корпусе микрофона в экран из пермаллоя.
Звукооператоры отмечают особенную для ленточных микрофонов естественность,
мягкость, прозрачность передачи тембра многих музыкальных инструментов,
особенно струнных, тарелок. Это объясняется легкостью подвижного элемента -
ленточки, а следовательно, и малыми переходными искажениями.
Также в динамических микрофонах теоретически можно
использовать ортодинамический преобразователь, но пока он не нашел применения в
серийно выпускаемых моделях микрофонов. Поэтому останавливаться
на его конструкции здесь нет смысла.
Рисунок 9
a) ненаправленный микрофон:
б) микрофон с двусторонней направленностью
1. металлизированная пленка
2. калиброванная изолирующая прокладка
3. неподвижный электрод
Конденсаторные (электростатические) микрофоны (КМ) имеют два
электрода - подвижный и неподвижный, образующие обкладки конденсатора (рисунок
9). Подвижный электрод - мембрана из металлической фольги или полимерной
металлизированной пленки толщиной несколько микрон. Под действием звукового
давления она колеблется относительно неподвижного электрода, что приводит к
изменению емкости капсюля (конденсатора) относительно состояния покоя. В КМ
величина изменения емкости, а значит, и выходной электрический сигнал должны
соответствовать звуковому давлению. Степень соответствия выходного напряжения
звуковому давлению по амплитуде и частоте определяет ЧХЧ и динамический
диапазон конкретного микрофона.
Неотъемлемой частью любого КМ является узел, согласующий
электрический импеданс преобразователя с последующим усилительным устройством.
Это электрическое звено КМ может быть высокочастотного и низкочастотного типов.
При высокочастотном типе преобразования капсюль КМ подключен
к цепи контура генератора высокой частоты (порядка нескольких МГц). При этом
получается частотная модуляция сигнала ВЧ, и лишь после демодуляции образуется
сигнал звуковой частоты. Такое включение капсюля не требует поляризующего
напряжения, для него характерен низкий уровень собственных шумов микрофона.
Однако высокочастотная схема в микрофоне не нашла широкого применения в
основном из-за сложности стабилизации частоты и в промышленных моделях
микрофонов звукового диапазона встречается редко.
В дальнейшем изложении принципов работы и разновидностей КМ
мы будем иметь в виду КМ с низкочастотным звеном, к которым относится
большинство современных моделей КМ. В них преобразование звукового давления в
электрический сигнал происходит при внешней или внутренней (электретной) поляризации.
КМ в системе с внешней поляризацией (рисунок 9) образует из
электродов плоский конденсатор емкостью 10.100 пФ с воздушным зазором 20.40
мкм, который через сопротивление порядка 0,5.2 ГОм заряжается от источника
внешнего напряжения UП. При колебаниях мембраны под действием звукового давления или
разности давлений величина заряда обкладок изза большой постоянной времени RC-цепочки остается
неизменной. Величина переменной составляющей напряжения, образующегося в
результате колебаний мембраны и соответствующим изменением емкости,
пропорциональна смещению мембраны.
Рисунок 10
a) одномембранный микрофон:
б) двумембранный микрофон
· 1 - мембрана
· 2 -
неподвижный электрод
· 3 - воздушный
зазор
· 4-5 -
отверстия акустических каналов
· 6 -
изолирующее кольцо
· 7 -
калиброванные прокладки
Примерно двадцать лет назад за рубежом и у нас в стране
начато промышленное производство электретных конденсаторных микрофонов, для
которых не нужен внешний источник поляризующего напряжения; в них в качестве
мембраны используется полимерная электретная пленка, металлизированная с
внешней стороны. Эта пленка поляризуется одним из известных способов и обладает
свойством длительное время сохранять постоянный поверхностный заряд. Таким образом,
вместо внешнего используется внутренний источник. В остальном работа такого
преобразователя принципиально ничем не отличается от обычного КМ.
В НИИРПА в начале 80-х годов был разработан ряд
однонаправленных и ненаправленных конденсаторных микрофонов, но в настоящее
время большинство из них по разным причинам снято с производства. В последнее
время при разработке новых моделей микрофонов электретный материал тем или иным
способом наносят на неподвижный электрод, что позволяет применять в качестве
мембраны более тонкие металлические и полимерные пленки, обладающие по
сравнению с электретной пленкой существенно более высокими механическими
параметрами. Это позволяет при той же чувствительности капсюля иметь более
широкий номинальный диапазон частот направленного приема, расширенный как в
сторону низких (за счет уменьшения толщины, а значит, изгибной жесткости
мембраны), так и в сторону высоких (вследствие уменьшения массы мембраны)
звуковых частот.
В качестве примера таких профессиональных микрофонов можно привести
выпускаемые петербургскими предприятиями кардиоидный одномембранный электретный
микрофон МКЭ-13М ("Микрофон-М") и ненаправленный
"петличный" МКЭ-400 ("Неватон"), не уступающие по своим
характеристикам лучшим моделям зарубежных фирм (в том числе КМ с внешним
источником напряжения) и пользующиеся популярностью в большей степени на
студиях Западной Европы, чем России.
Упрощенно конструкция капсюлей КМ представлена на рисунке 10.
Из рисунков видно, что одномембранный конденсаторный микрофон (small diaphragm) при соответствующем
выборе конструктивных параметров может быть с односторонней направленностью
(рисунок 10, а), ненаправленным (в этом случае щель 7 должна быть закрыта), а
также с двусторонней направленностью (рисунок 10, б).
В двухмембранном микрофоне (ДКМ или large twin diaphragm) обе мембраны могут быть
электрически активными (рисунок 10, б). Не вдаваясь подробно в физику
процессов, происходящих в ДКМ, с чем можно познакомиться в специальной
литературе, можно сказать, что каждая половинка капсюля ДКМ представляет в
акустико-механическом плане отдельный микрофон с кардиоидной характеристикой
направленности, второй акустический вход которого осуществляется не через щель,
как в одномембранном микрофоне, а через вторую (противоположную) мембрану, причем
максимумы чувствительности этих микрофонов развернуты на 180 градусов. Такой
микрофон принято также называть акустически комбинированным. Помимо
акустического в ДКМ реализуется и электрическое комбинирование.
Так, подав поляризующее напряжение на одну из мембран
(активную), а вторую (пассивную) замкнув на неподвижный электрод, можно
получить, при правильном выборе конструктивных параметров, микрофон с
односторонней ХН, близкой к кардиоиде. При подаче на вторую мембрану равного по
величине и знаку поляризующего напряжения получим ненаправленный микрофон. При
подаче же на вторую мембрану равного по величине и противоположного по знаку
поляризующего напряжения получим двустороннюю направленность
("восьмерку"). В промежуточных случаях при необходимости можно получить
любую ХН.
В качестве примера таких микрофонов с переключаемой ХН можно
привести С414В-ULS (AKG), U87i и U89i (Neumann), а также отечественный МК51 ("Неватон").
Измерение
акустического шума
Миниатюрные шумомеры предназначены для быстрого измерения
уровня шума. Схемные решения миниатюрных шумомеров отличаются корректирующей
характеристикой, запоминающими схемами. Так как отдельные модели шумомеров
имеют особенности, для решения поставленной задачи необходимо использовать тот
прибор, который снабжён необходимыми устройствами. Миниатюрные шумомеры
используют с конденсаторными и пьезоэлектрическими микрофонными капсюлями.
Капсюли конденсаторных микрофонов обладают низкой внутренней
ёмкостью и, следовательно, должны быть согласованы через предварительный
усилитель с основной измерительной схемой. Входной усилительный каскад шумомера
2206 снабжён кнопкой для мгновенного увеличения диапазона измерения до 10 дБ,
независимо от установки аттенюатора. Наличие этого переключателя способствует
удобному измерению кратковременных сигналов. Схема удержания, имеющаяся в
приборе 2208, позволяет удерживать максимальное отклонение стрелки
измерительного прибора. Это оказывается особенно полезным при измерении
кратковременных и быстро меняющихся уровней шума уличного движения. Миниатюрные
шумомеры питаются от батарей с преобразованием напряжения низкого уровня в
переменное напряжение с повышенным уровнем, достаточным для питания
измерительной схемы. Для измерения импульсных шумов применяют импульсные
шумомеры, отличительными особенностями которых являются широкий частотный
диапазон, возможность удержания пикового и среднеквадратического значений
сигнала. В импульсном шумомере 2209 предусмотрены режимы: импульсное измерение,
удерживание пикового значения и импульса. В приборе предусмотрена возможность
подключения внешних фильтров, что позволяет проводить анализ шума в диапазоне
частот от 31,5 Гц до 31,5 кГц.
Рисунок 11 - Структурная схема импульсного прецизионного шумомера
типа 2209 фирмы "Брюль и Къер" (Дания)
- конденсаторный микрофон; 2 - согласующее устройство; 3, 6, 8 -
аттенюаторы; 4 - входной усилитель; 5 - корректирующие схемы; 7, 9, 12 -
выходные усилители; 10, 11 - преобразователи фазы; 13, 14 - индикаторы
перегрузки; 15 - детектор среднеквадратического значения; 16 - измерительный
усилитель с цепью задержки; 17 - индикатор; 18 - источник питания.
Прибор имеет широкий частотный диапазон (до 70 кГц). Это позволяет
измерять частотные составляющие, выходящие за пределы звукового диапазона.
Согласующее устройство 2 обеспечивает высокое входное
сопротивление для согласование с конденсаторным микрофоном 1. Каждому из 3-х
усилительных каскадов 4, 7, 9 предшествуют аттенюаторы 3, 6,8. Внешние фильтры
можно подключать между каскадами 4 и 7. Для переключения внутренних
корректирующих схем 5 предусмотрен специальный переключатель. Выходной каскад
усилителя 9 имеет гнездо для подключения магнитофона или самописца.
Среднеквадратичный детектор 15 соединён с измерительным усилителем 16, сигнал с
которого поступает на гнездо "Выход постоянного тока" и на стрелочный
индикатор 17. Питание прибора - батарейное.
Блок питания 18 обеспечивает выработку поляризационного напряжения
для конденсаторного микрофона.
Акустический шум относится в основном к негативным явлениям. В
частности, шум авиационных и ракетных двигателей - источник НЧ-помех в работе
радиоэлектронных устройств и одна из причин нарушения их работоспособности. В
ряде случаев акустический шум служит источником информации. Так, по шуму подводных
лодок и надводных судов осуществляют их пеленгацию. В нефтяной и газовой
промышленности для исследования состояния призабойной зоны скважин и обсадных
колонн применяются методы скважинной шумометрии.
Важной сферой применения шумомеров является исследования уровня
производственных шумов в целях охраны труда, а также экологический мониторинг
уровня шума в населенных пунктах, вблизи аэропортов, автомагистралей и т.п.
Существуют два метода измерений уровней шума: субъективный и
объективный. Для измерения субъективным методом служат приборы-фонометры, в
которых измеряемый звук или шум сравнивается с чистым тоном определенной
частоты, возбуждаемым специальным генератором. Однако из-за сложности измерений
и зависимости их результатов от характеристик слуха оператора они имеют весьма
ограниченное применение.
Для измерения уровней шума объективным методом широкое
распространение получили шумомеры. В этих приборах шум воспринимается с помощью
широкополосного микрофона, который преобразует звуковые колебания в электрические.
Последние усиливаются и подаются на выпрямитель стрелочного прибора
(измеритель). К выходу усилителя могут подключаться частотные анализаторы,
самописцы и другие приборы.
Объективные шумомеры позволяют определить лишь приближенные
значения уровней громкости шума из-за ограниченности частотных характеристик
чувствительности.
Измерения уровней шума в промышленности производятся шумомерами
различных типов, из которых наибольшее распространение получили шумомер Ш-63 с
присоединенным к нему октавным полосовым фильтром ПФ-1 и шумомер Ш-3М с
1/3-октавным анализатором ЛИОТ. На рисунке 12 приведен общий вид шумомера Ш-63.
Рисунок 12
Шумомер имеет три шкалы (А, В и С), учитывающие частотный состав
измеряемого шума. Характеристика шума по шкале А соответствует кривой громкости
40 фон, то есть до некоторой степени субъективному восприятию уровня громкости
и позволяет произвести ориентировочную оценку "неприятности" или
"вредности" шума. Поэтому уровень шума, измеренный по шкале А в
децибелах (дБ А), имеет большое значение для гигиенической практики оценки
промышленных шумов.
Характеристика
шума по шкале
В соответствует кривой, равной громкости 70 фон.
Для получения спектра шума измерения должны производиться по
шкале С. Прямолинейная частотная характеристика С в диапазоне 60-5000 Гц
покажет чисто физическую величину - уровень звукового давления.
Спектральный состав шума исследуется специальными приборами,
получившими название анализаторов шума. Чаще всего применяются октавные
анализаторы, позволяющие измерять уровни звукового давления в октавных полосах.
Октавная полоса - это полоса, в которой верхняя граничная частота равна
удвоенной нижней частоте (например, 45-90; 90-180 и т.д.). Октавная полоса
характеризуется средней частотой (среднегеометрической из верхней f1 и нижней f2 граничных частот fср= (f1*f2) ½. Для измерения постоянного (стационарного) шума производят замеры
уровней шума шумомером в течение 5-10 мин. за это время берется несколько
отсчетов показаний стрелки прибора. Из всех показаний находят минимальное и
максимальное значения и вычисляют средний уровень шума. При гигиенической
оценке источника шума ориентируются на максимальные значения. Полученные уровни
шума выражаются в децибелах или в децибелах А в зависимости от частотной
коррекции, на которой производились замеры, - С или А. Импульсные шумы
(взрывные, ударные и т.п.) не могут быть измерены обычными шумомерами, так как
последние обладают большой инерционностью. Для измерения энергетического уровня
импульса применяются специальные шумомеры 2203 "Брюль и Къер", PSJ 201, РФТ-ГДР (рисунок
13) и др.
Рисунок 13
Нормированные значения предельно допустимых уровней звукового
давления приведены в Санитарных нормах проектирования промышленных предприятий
СН 245-71.
Предельно допустимые уровни звукового давления нормируются в
октавных полосах частот со среднегеометрическими частотами 63, 125, 250, 500,
1000, 2000, 4000, 8000 Гц.
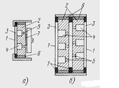
Измеритель
шума и вибрации ВШВ-003-М3
Прибор ВШВ-003-М3 (рисунок 14) является малогабаритным,
портативным измерительным прибором и предназначен для измерения и анализа шума
и вибрации в жилых помещениях, производственных и полевых условиях и
используется для определения источников и характеристик шума и вибрации в
местах нахождения людей, при исследованиях и испытаниях машин и механизмов, при
разработке и контроле качества изделий.
Прибор ВШВ-003-М3 имеет встроенные фильтры с частотными
характеристиками А, В, С, а также полосовые фильтры: октавные и третьоктавные,
позволяющие проводить классификацию, измерение и определение нормируемых
параметров и характеристик шума и вибрации в соответствии с требованиями
санитарных норм и стандартов безопасности труда.
Прибор ВШВ-003-М3 поставляется в удобной для переноса сумке.
Укомплектован пьезоэлектрическими виброизмерительными преобразователями ДН-3-М1
и ДН-4-М1, имеющими коэффициент преобразования соответственно 10 мВ*с2/м
и 1 мВ*с2/м.
Рисунок 14
Шумомер
искробезопасный типа ВШМ-003
Шумомер (рисунок 15) предназначен для
измерения и частотного анализа шумов горношахтного оборудования во
взрывоопасных помещениях всех классов, а также в лабораторных, производственных
и полевых условиях с целью оценки технического состояния оборудования и
снижения шумов.
Принцип действия шумомера основан на преобразовании звуковых
колебаний исследуемых объектов в пропорциональные им электрические сигналы,
которые затем усиливаются и регистрируются измерительным прибором.
Рисунок 15
Конструктивно шумомер состоит из капсюля микрофонного
конденсаторного, предусилителя микрофонного, измерительного прибора, устройства
зарядного.
Частотный диапазон 10…20 000 Гц; динамический диапазон 22…140
дБ; максимально допустимая погрешность измерения ±0,5 дБ; питание от сети
переменного тока напряжения 220 В частотой 50 Гц; от встроенных аккумуляторов
напряжением 7,5 В. Габаритные размеры 240*120*268 мм. Шумомер нормально
функционирует при температуре окружающего воздуха - 10±500С и
относительной влажности воздуха 90%.
Измеритель
шума и вибрации типа ВШВ-003-М2
Предназначен для измерения уровня звука в диапазоне 2 Гц…18
кГц. Применяется в промышленных и жилых помещениях, при разработке и контроля
качества изделий, при исследованиях и испытаниях машин и механизмов.
Динамический диапазон 22…140 дБ, питание от сети переменного тока 220 В или
батарейки напряжением 5…7,5 В. Габаритные размеры 280*240*100 мм.
Обеспечивается нормальная работа при температуре - 10… + 500С и
относительной влажности воздуха при температуре 200С.
Рисунок 16
Шумомер
типа Шум-1М
Предназначен для измерения уровней стационарных, не
импульсных звуков в лабораторных и производственных условиях. Электрическая
часть собрана в малогабаритном металлическом корпусе. Для устранения мешающего
действия отражённых от корпуса звуков верхняя часть имеет конусоидальную форму.
В верхней части корпуса расположен измерительный микрофон. Задняя крышка
съёмная. Частотный диапазон 31,5…8000 Гц, основная погрешность не более ±2%,
температура окружающего воздуха - 10…+400С, относительная влажность
воздуха до 90% при температуре 300С. Габаритные размеры
260*85*65 мм. Масса 1,1 кг.
Рисунок 17
Шумомер
малогабаритный типа ШМ-1М1
Предназначен для измерения уровня звука на промышленных
предприятиях, в лабораториях и полевых условиях. Для преобразования звуковых
колебаний в электрические сигналы используется конденсаторный микрофон,
обеспечивающий точные измерения. Частотный диапазон 20…8000 Гц, верхний предел
динамического диапазона 140 дБ, габаритные размеры 92*74*238 мм, масса 0,85 кг,
температура окружающей среды - 10…+500С, влажность воздуха 90% при
300С.
Рисунок 18
К более современным приборам относятся следующие приборы.
АЛГОРИТМ-01
Современный прибор пятого поколения предназначен для
измерения и анализа шума.
АЛГОРИТМ-01 (рисунок 19) выполняет измерение всех параметров
акустических сигналов и сохраняет результаты во внутренней автономно, в
условиях измерения на объекте выполнять оценку и получать распечатку протокола.
Помимо этого, архитектура прибора максимально адаптирована
для работы с вычислительной техникой. АЛГОРИТМ-01 является лидером среди
подобных приборов по функциональным качествам, надежности и возможностям
сопряжения с компьютерами.
Для связи с вычислительной техникой, впервые в приборах
подобного класса, используется порт HOST USB. Также в приборе имеется
и обычный USB порт. Использование этих двух портов значительно расширяют
функциональные возможности прибора.
Рисунок 19
Прецизионный интегрирующий шумомер (фирмы Bruel&Kjaer). Модульный анализатор
2260 Bruel&Kjear (рисунок 20) - портативный анализатор виброакустических сигналов
в режиме реального времени отличается разнообразием прикладных применений,
благодаря этим особенностям прибор является самой совершенной в мире
портативной системой оценки для измерения и анализа акустических и вибрационных
сигналов.
Рисунок 20
Разработка структурной схемы
Мною предложена следующая структурная схема шумомера.
Рисунок 21 - Структурная схема шумомера
Где:
МФ - электроакустический преобразователь (микрофон);
КН - канал нормализации;
ДАЗ - детектор амплитудного значения;
АЦП - аналогово-цифровой преобразователь;
БУ - блок управления;
ЦИ - цифровой индикатор;
USB - USB интерфейс;
Рассмотрим подробнее данную структурную схему. Как уже говорилось
выше, неотъемлемой частью структурной схемы будет являться электроакустический
преобразователь или микрофон. После того, как микрофон преобразует сигнал в
электрический, он должен быть усилен до входного уровня АЦП. Усиление сигнала и
выделение полезного сигнала осуществляется с помощью канала нормализации.
Последующее звено составляет АЦП, который преобразует аналоговый сигнал в
цифровой. Затем блок управления получает цифровой сигнал от АЦП и выводит
результат измерения на цифровой индикатор или, если это потребуется, через USB интерфейс в другие устройства
"внешнего мира". Данная структурная схема привлекательна своей
простотой исполнения и относительно небольшой стоимостью элементной базы.
Разработка функциональной схемы
Мною предложена следующая функциональная схема устройства.
Рисунок 22 - Функциональная схема шумомера
Где:
М-101 - электроакустический преобразователь (микрофон) типа М-101;
ИУ - измерительный усилитель;
ФНЧ - фильтр нижних частот;
РФ - режекторный фильтр;
ФВЧ - фильтр верхних частот;
ДАЗ - детектор амплитудного значения;
АЦП - аналогово-цифровой преобразователь;
МК - микроконтроллер;
ЦИ МТ-10S1 - цифровой
индикатор типа MT-10S1;
USB - USB интерфейс.
Такая схема объясняется условиями поставленной задачи. Во-первых,
частота входного сигнала от 10 Гц до 20 кГц. Это значит, что взять просто
полосовой фильтр невозможно, так как на таких низких частотах он не окажет
требуемой фильтрации. Следовательно, необходимо использовать два фильтра: ФНЧ и
ФВЧ, общая характеристика которых будет аналогична характеристике полосового
фильтра. К тому же необходим очень чувствительный микрофон, поэтому взят М-101.
Режекторный фильтр необходим для подавления частоты в 50 Гц. Во-вторых,
основная погрешность не более 2%, следовательно, необходимо использовать
высокоточный измерительный усилитель.
Разработка
и расчёт принципиальной схемы
При разработке принципиальной схемы одним из самых главных
являлся вопрос выбора микрофона.
Микрофоны характеризуются следующими параметрами:
1. Чувствительность микрофона - это отношение напряжения
на выходе микрофона к воздействующему на него звуковому давлению при заданной
частоте (как правило 1000 Гц), выраженное в милливольтах на паскаль (мВ/Па).
Чем больше это значение, тем выше чувствительность микрофона.
2. Номинальный диапазон рабочих частот - диапазон частот, в
котором микрофон воспринимает акустические колебания и в котором нормируются
его параметры.
3. Неравномерность частотной характеристики - разность между
максимальным и минимальным уровнем чувствительности микрофона в номинальном
диапазоне частот.
4. Модуль полного электрического сопротивления - нормированное значение
выходного или внутреннего электрического сопротивления на частоте 1 кГц.
. Характеристика направленности - зависимость
чувствительности микрофона (в свободном поле на определённой частоте) от угла
между осью микрофона и направлением на источник звука.
6. Уровень собственного шума микрофона - выраженное в децибелах
отношение эффективного значения напряжения, обусловленного флуктуациями
давления в окружающей среде и тепловыми шумами различных сопротивлений в
электрической части микрофона, к напряжению, развиваемому микрофоном на
нагрузке при давлении 1 Па при воздействии на микрофон полезного сигнала с
эффективным давлением 0,1 Па.
Мною выбран микрофон М-101. Он обладает следующими
характеристиками:
чувствительность микрофона 1 мВ/Па;
номинальный диапазон рабочих частот 2 Гц - 20
кГц;
неравномерность частотной характеристики 4 дБ;
модуль полного электрического сопротивления 250
Ом;
характеристика направленности - ненаправленная
характеристика (НН);
уровень собственного шума микрофона 33 дБ.
Рисунок 23 - Дифференциальная схема включения
конденсаторного микрофона
На рисунке 23 приведена схема, объясняющая принцип работы
конденсаторного микрофона. Выполненные из электропроводного материала мембрана
и электрод разделены изолирующим кольцом и представляют собой конденсатор.
Жёстко натянутая мембрана под воздействием звукового давления совершает
колебательные движения относительно неподвижного электрода. Конденсатор включен
в электрическую цепь последовательно с источником напряжения постоянного тока GB и активным нагрузочным
сопротивлением R. При колебаниях мембраны ёмкость конденсатора меняется с частотой
воздействующего на мембрану звукового давления. В электрической цепи появляется
переменный ток той же частоты и на нагрузочном сопротивлении возникает
переменное напряжение, являющееся выходным сигналом микрофона.
При расчете микрофона возникли некоторые трудности, а в
частности: как преобразовать уровень шума, заданный в децибелах (дБ) в
напряжение (В). Чтобы ответить на этот вопрос сначала поясним, что же такое
децибелы и зачем они применяются. Характерной особенностью абсолютных значений
звукового давления Р, интенсивности I, акустической мощности W звука является большой
динамический диапазон, в пределах которого они могут изменяться. Так, P может изменяться в 107
раз, а I
- в 1014 раз. Поэтому для удобства вычислений принято оценивать
звуковое давление не в абсолютных, а в относительных единицах (белах - Б,
децибелах - дБ) по отношению к пороговым значениям. Измеренные таким образом
величины называются уровнями. Уровень L звукового давления выражается зависимостью L=20lgP/P0, где P0 - пороговое значение
звукового давления (минимальное давление P0=2*10-5 Па,
которое вызывает едва заметное ощущение звука). Посчитаем минимальное и
максимальное значения звукового давления на выходе микрофона, воспользовавшись
вышеприведенной формулой и допустимыми значениями уровня шума, которые
приведены в техническом задании (Lmin=30 дБ, Lmax=130 дБ):
lgPmin/P0 = 30
lgPmin/P0 = 1,5 отсюда Рmin=64*10-5 (Па).
lgPmax/P0 = 130 отсюда Рmax=64 (Па).
Используя характеристику чувствительности микрофона
преобразуем полученные значения давления в напряжение:
Umin= (64*10-5) * 1=64*10-5 (мВ).
Umax= (64) * 1= 64 (мВ).
В таблице приведены соответствия интенсивности звука (Вт/
), звукового давления (Па) и уровней звука
(дБ). В результате сравнения, данных, полученных при вычислениях, с табличными
данными получим, что они совпадают.
Таблица 1
Характеристики некоторых источников шума.
|
Шум
|
Интенсивность
I, Вт/м2
|
Звуковое
давление Р, Па
|
Уровни Ly, дБ
|
|
Порог
слышимости:
|
10-12
|
2*10-5
|
0
|
|
Шорох листвы
|
10-11
|
6,3*10-5
|
10
|
|
Тиканье
карманных часов
|
10-10
|
2*10-4
|
20
|
|
Шепот
|
10-9
|
6,3*10-4
|
30
|
|
Разговор:
|
|
|
|
|
тихий
|
10-8
|
2*10-3
|
40
|
|
обычный
|
10-7
|
6,3*10-3
|
50
|
|
Тихая музыка
|
10-6
|
2*10-2
|
60
|
|
Звук
работающего пылесоса
|
10-5
|
6,3*10-2
|
70
|
|
Звон будильника
|
10-4
|
2*10-1
|
80
|
|
Звук при
работе:
|
|
|
|
|
вентиляторной
установки
|
10-3
|
6,3*10-1
|
90
|
|
турбокомпрессора
|
10-2
|
2,0
|
100
|
|
авиационного
двигателя
|
10-1
|
6,3
|
110
|
|
пневматической
дрели
|
1
|
2*10
|
120
|
|
Взлет
реактивного самолета
|
10
|
6,3*10
|
130
|
|
Болевой порог:
|
102
|
2*102
|
140
|
103
|
|
|
Расчет канала нормализации
1. Расчет разрядности АЦП
где δдоп - допустимая погрешность (по заданию δдоп=2%)
,
но применён будет 10-разрядный АЦП
2. Уровень сигнал - шум на входе системы сбора данных
равен:
Примем
3. Допуск резисторов принимаем равный 1%, тогда Ксин=0,02
4. Так как амплитуда входного сигнала равна 64 мВ, а
уровень входного сигнала АЦП должен достигать 3В, то необходимо усилить сигнал
в 47 раз, т.е. Кдиф=47
. Коэффициент ослабления синфазного сигнала будет
равным
6. Частота среза фильтра равна
при этом
а
, исходя из того, что разрядность
двоичного числа 10, равен
=8,0*106 (69дБ)
ППУ
(полоса пропускания ПУ), при Кдиф=47, равна 150 кГц
Выбираем частоту среза 30 Гц
7. Частота дискретизации АЦП. Так как фильтр второго
порядка, то
,
Измерительный усилитель
В качестве усилителя мною выбрана схему с тремя ОУ. В этой схеме
используются высокие входные сопротивления неинвертирующих входов, благодаря
чему разница внутренних сопротивлений источников сигнала может достигать 1 кОм
без заметного понижения КОСС. В данной схеме коэффициент усиления синфазного
сигнала каждого входного ОУ равен единице при любой величине
, а
выходного разностного усилителя зависит от точности подбора
резисторов. Поэтому при одинаковых ОУ благодаря распределению
между входным и разностным каскадами
схема на трех ОУ обеспечивает по сравнению со схемой на одном ОУ больший
коэффициент ослабления синфазного сигнала.
Рисунок 24 - Схема измерительного усилителя на трех ОУ
Как видно из рисунка 24, напряжение на резисторе R1 составляет U1 - U2.
Отсюда следует, что
Эта разность преобразуется дифференциальным усилителем на ОУ3 в
напряжение Uвых относительно земли.
Обычно выбирается R2 = R3 и
R4 = R5 = R6 =
R7. В таком случае дифференциальный коэффициент усиления
Коэффициент усиления синфазного сигнала (из-за разбаланса
резисторов):
Коэффициент усиления синфазного сигнала (из-за конечного значения
Косс ОУ3):
КСФ2 = 1/КоссОУ3
Расчет усилителя
Так как требуемое входное напряжение АЦП равно 3В, а максимальный
входной сигнал равен 64 мВ, необходимо получить коэффициент усиления
измерительного усилителя равным 47.
Рисунок 25
;
Для данного усилителя имеем соотношения:
;
;

;
В представленной схеме будем использовать прецизионный
операционный усилитель AD8031.
Подбор
и расчет фильтров. Реализация фильтров на операционных усилителях
С ростом порядка фильтра его фильтрующие свойства улучшаются.
На одном ОУ достаточно просто реализуется фильтр второго порядка. Для
реализации фильтров нижних частот, высших частот и полосовых фильтров широкое
применение нашла схема фильтра второго порядка Саллена-Ки. На рисунке 26
приведен ее вариант для ФНЧ. Отрицательная обратная связь, сформированная с
помощью делителя напряжения R3, (a - 1) R3, обеспечивает
коэффициент усиления, равный a. Положительная обратная
связь обусловлена наличием конденсатора С2. Передаточная
функция фильтра имеет вид:
.
Рисунок 26 - Активный фильтр нижних частот второго порядка
Расчет схемы существенно упрощается, если с самого начала задать
некоторые дополнительные условия. Можно выбрать коэффициент усиления a = 1. Тогда (a - 1) R3 =
0, и резистивный делитель напряжения в цепи отрицательной обратной связи можно
исключить. ОУ оказывается включенным по схеме неинвертирующего повторителя. В
простейшем случае он может быть даже заменен эмиттерным повторителем на
составном транзисторе. При a = 1 передаточная функция фильтра принимает вид:
.
Считая, что емкости конденсаторов С1 и С2
выбраны, получим для заданных значений а1 и b1
K0 =
1,
.
Чтобы значения R1 и R2
были действительными, должно выполняться условие
.
Расчеты можно упростить, положив R1 =
R2 = R и С1
= С2 = С. В этом случае для реализации фильтров
различного типа необходимо изменять значение коэффициента a. Передаточная функция фильтра будет иметь
вид
.
Отсюда получим
,
.
Из последнего соотношения видно, что коэффициент определяет
добротность полюсов и не влияет на частоту среза. Величина в этом случае
определяет тип фильтра.
Поменяв местами сопротивления и конденсаторы, получим фильтр
верхних частот (рисунок 27). Его передаточная функция имеет вид:
Рисунок 27 - Активный фильтр верхних частот второго порядка
Для упрощения расчетов положим a = 1 и С1 = С2
=С. При этом получим следующие формулы:
Kбеск = 1, R1 = 2/wcCa1, R2 =a1/2wcCb1.
Если АЧХ фильтра второго порядка оказывается недостаточно крутой,
следует применять фильтр более высокого порядка. Для этого последовательно
соединяют звенья, представляющие собой фильтры первого и второго порядка. В
этом случае АЧХ звеньев фильтра перемножаются (в логарифмическом масштабе -
складываются). Однако следует иметь в виду, что последовательное соединение,
например, двух фильтров Баттерворта второго порядка, не приведет к получению
фильтра Баттерворта четвертого порядка. Результирующий фильтр будет иметь
другую частоту среза и другую частотную характеристику. Поэтому необходимо
задавать такие коэффициенты звеньев фильтра, чтобы результат перемножения их
частотных характеристик соответствовал желаемому типу фильтра.
Полосовой фильтр второго порядка можно реализовать на основе схемы
Саллена-Ки, как это показано на рисунке 28. Передаточная функция фильтра имеет вид:
.
Рисунок 28 - Схема полосового фильтра второго порядка
Приравнивая коэффициенты этого выражения к коэффициентам
передаточной функции (18), получим формулы для расчета параметров фильтра:
fp = 1/2pRC; Kp =a/ (3 - a); Q = 1/ (3 - a).
Недостаток схемы состоит в том, что коэффициент усиления на
резонансной частоте Kp и
добротность Q не являются независимыми друг от друга.
Достоинство схемы - ее добротность изменяется в зависимости от a, тогда как резонансная частота от коэффициента
a не зависит.
Расчет ФНЧ
Рисунок 29 - Фильтр низких частот
Для выбранного ФНЧ имеем следующие соотношения:
;
;
;
;
;
;
;
Расчет
режекторного фильтра
Для подавления фона с частотой сети нередко используют
Т-образные RC-мосты. На рисунке 31 приведена схема режекторного фильтра,
имеющего повышенное входное сопротивление и регулируемую резистором R17 добротность (Qmin=0,3; Qmax=30), что позволяет для
конкретного звукового материала установить оптимальный компромисс между
подавлением нежелательных и искажением полезных составляющих сигнала.
При условии R14=R16=2R15 и C5=C7=C6/2 квазирезонансная частота фильтра определяется
соотношением
.
Рисунок 31 - Режекторный фильтр
Необходимо
=50 Гц. Тогда при R14 = 10
(кОм), получаем
С5 = 320 (нФ);
R14=R16=2R15=10 (кОм), R15=5
(кОм);
C5=C7=C6/2 =320 (нФ), C3=640 (нФ).
Расчет ФВЧ
Рисунок 30 - Фильтр высоких частот
Для выбранного ФВЧ имеем следующие соотношения:



Детектор
амплитудного значения
Выпрямители выполняются по 4 основным схемам:
однополупериодной, двухполупериодной с нулевой точкой (или просто -
двухполупериодной), двухполупериодной мостовой (или просто - мостовой, реже
называется как “схема Герца”), и схема удвоения (умножения) напряжения (схема
Латура).
В этом курсовом проекте используется схема однополупериодного
выпрямителя, поскольку данный выпрямитель является наиболее дешевым и вполне
удовлетворяет поставленной задаче. При проектировании таких схем следует
выбирать следующие элементы:
С=0.5…0.05 мкФ.
R=50…100 кОм.
Рисунок 32
Где: P - коэффициент пульсаций на выходе
выпрямителя;
- напряжение постоянного тока выпрямителя;
- среднее значение выпрямленного тока;
Зададим сопротивление нагрузки:
;
Зададим коэффициент пульсации: Р=0,1%;
Вычислим:
;
.
Исходя из полученных данных найдем значение емкости конденсатора:
Описание
микроконтроллера
PIC18F4550 - микроконтроллер со встроенной Flash-памятью и
полноскоростным USB-интерфейсом для экономичных и взаимосвязанных применений. Три
последовательных порта - FS-USB (12 Мбит/сек), I2C, SPI (до 10 Мбит/сек), и
асинхронный последовательный порт EUSART. Микросхема содержит 13-канальный 10-разрядный
АЦП, два аналоговых компаратора, два 10-разрядных контроллера ШИМ, три
16-разрядных и один 8-разрядный таймер, сторожевой таймер, детектор напряжения
и схему сброса по провалам питания. Модуль USB полностью интегрирован с
ядром микроконтроллера, что позволило добиться максимальной пропускной
способности при меньшей загрузке процессора. Производительность PIC18F4550 достигает 12 MIPS. В основе
микроконтроллера лежит технология Enhanced FLASH (1 000 000 циклов
перезаписи, 40 лет гарантированного хранения), что позволяет использовать их в
устройствах, эксплуатируемых в жестких условиях и требующих периодического
обмена информацией с ПК. Отличительные особенности: Особенности USB порта:
стандарт USB 2.0;
режимы Low Speed (1,5 Мбит/сек) и Full Speed (12 Мбит/сек);
поддерживает до 32 оконечных устройств (16 двунаправленных);
КБ ОЗУ для USB;
встроенный USB трансивер со стабилизатором напряжения;
SPP порт для потоковой передачи данных;
Управление питанием:
три режима энергопотребления: Run, Idle (0,1 мкА), Sleep (0,1 мкА);
генератор Timer1: 1,1 мкА (32 кГц, 2 В);
сторожевой таймер: 2,1 мкА;
Гибкая структура генератора:
режима кварцевого генератора с петлей ФАПЧ для USB,;
возможность внешнего тактирования до 48 МГц;
Блок внутреннего генератора:
выбираемых частот от 31 кГц до 8 МГц;
регулируемая компенсация дрейфа частоты;
второй генератор, использующий Timer1 на 32 кГц;
двойное тактирование позволяет работать микроконтроллеру и
блоку USB на разных частотах,
монитор срыва генерации,
отключение при останове любого генератора;
ЖК-дисплей
Жидкокристаллический модуль MT-10S1 состоит из БИС
контроллера управления и ЖК панели. Модуль выпускается со светодиодной
подсветкой. Внешний вид приведен на рисунке 33. Модуль позволяет отображать 1
строку из 10 символов. Символы отображаются в матрице 5х8 точек. Между
символами имеются интервалы шириной в одну отображаемую точку.
Каждому отображаемому на ЖКИ символу соответствует его код в
ячейке ОЗУ модуля. Модуль содержит два вида памяти - кодов отображаемых символов
и пользовательского знакогенератора, а также логику для управления ЖК панелью.
Рисунок 33 - Внешний вид ЖК-модуля
Модуль позволяет:
модуль имеет программно-переключаемые две страницы
встроенного знакогенератора (алфавиты: русский, украинский, белорусский,
казахский и английский).
работать как по 8-ми, так и по 4-х битной шине данных
(задается при инициализации);
принимать команды с шины данных;
записывать данные в ОЗУ с шины данных;
читать данные из ОЗУ на шину данных;
читать статус состояния на шину данных;
запоминать до 8-ми изображений символов, задаваемых
пользователем;
выводить мигающий (или не мигающий) курсор двух типов;
управлять подсветкой.
Это наиболее простой и дешёвый ЖК - модуль, производимый в
России.
Выбор элементной базы
Исходя из расчетов устройства, необходим операционный
усилитель с полосой пропускания 150 кГц, имеющий малое напряжение смещения,
высокий коэффициент усиления и коэффициент ослабления синфазного сигнала.
Данным условиям соответствует прецизионный операционный усилитель AD8031. AD8031 - одноканальные
быстродействующие операционные усилители производства Analog Devices. Имеют полосу
пропускания 80 МГц, скорость нарастания выходного напряжения 30 В/мкс и время
установления 125 нс. Эти характеристики позволяют получить потери мощности не
более 4 мВт при питании 5 В. Эти ОУ имеют выходной сигнал с размахом, равным
напряжению питания (rail-to-rail) и рассчитаны на напряжение питания +2.7В, +5В и ±5В. Диапазон
входного напряжения до 500 мВ. Выходной перепад напряжения 20 мВ обеспечивает
максимальный выходной динамический диапазон.
В качестве резисторов используется прецизионные резисторы из
серии С2 - 1. Данные резисторы предназначены для работы в высокоточных
электрических цепях постоянного, переменного и импульсного тока в качестве
элементов навесного монтажа.
Конденсаторы выберем из серии К10 - 17 - 4.
USB
интерфейс
Шина USB (Universal Serial Bus - универсальная
последовательная шина) появилась по компьютерным меркам довольно давно - версия
первого утвержденного варианта стандарта появилась 15 января 1996 года.
Разработка стандарта была инициирована весьма авторитетными фирмами - Intel, DEC, IBM, NEC, Northen Telecom и Compaq.
Основная цель стандарта, поставленная перед его
разработчиками - создать реальную возможность пользователям работать в режиме Plug&Play с периферийными
устройствами. Это означает, что должно быть предусмотрено подключение
устройства к работающему компьютеру, автоматическое распознавание его
немедленно после подключения и последующей установки соответствующих драйверов.
Кроме этого, желательно питание маломощных устройств подавать с самой шины.
Скорость шины должна быть достаточной для подавляющего большинства периферийных
устройств. Попутно решается историческая проблема нехватки ресурсов на
внутренних шинах IBM PC совместимого компьютера - контроллер USB занимает только одно
прерывание независимо от количества подключенных к шине устройств.
Расчёт
погрешности
Как следует из задания, погрешность проектируемого прибора не
должна превышать 2% от максимального значения измеряемой величины.
Нормирующий усилитель обладает следующими погрешностями:
погрешность из-за наличия напряжения смещения; погрешность, вызываемая током
сдвига; погрешность, возникающая из-за конечного значения коэффициента
ослабления синфазного сигнала; погрешность из-за рассогласования сопротивлений.
Технические характеристики усилителей взяты из технической
документации. Погрешность, вызванная наличием напряжения смещения усилителя: Δсм = 6 мВ.
Погрешность, вызванная температурным дрейфом смещения нуля:
Δтд = 5мкВ/ºС*25 ºС = 125 мкВ
Смещение нуля на выходе, обусловленное разностью входных
токов:
Δсд = Iсд · R6 · Ku
Iсд=0.6нА - ток сдвига операционного усилителя, так
как ток сдвига очень незначителен, то погрешность от него мы учитывать не
будем.
Смещение нуля на выходе, обусловленное температурным дрейфом
разности входных токов:
Δтдт = ΔIдр · R6 · Ku ·Δt
ΔIдр = 1 мкА/ ºС - дрейф разности входных токов, так как данная величина очень
мала, то погрешностью можно пренебречь.
Погрешность, возникающая из-за конечного значения
коэффициента ослабления синфазного сигнала - Uкосс рассчитывается по
формуле:
Δкосс = Uсф мах · Ксф
Где, Uсф мах = 0,5 В - Максимальное синфазное
напряжение
Ксф - коэффициент усиления синфазного сигнала.
Ксф = 1/Ккосс
Ккосс = 10000В/мВ-коэффициент ослабления
синфазного сигнала
Ксф = 0,0001
Δкосс = 0,5 · 0,0001 = 0,05
мкВ
Суммарная погрешность нормирующего усилителя рассчитывается
по формуле:

Погрешность от аналого-цифрового преобразователя:
Максимальную относительную погрешность АЦП (σацп) можно рассчитать по следующей формуле:
,
где n - разрядность АЦП; Δацп - суммарная абсолютная погрешность АЦП.
Основная погрешность АЦП включает следующие составляющие:
,
где Dинт - интегральная нелинейность,
Dдиф - погрешность дифференциальной нелинейности,
Значения этих погрешностей можно найти в технической документации.
Dинт= ±0,5;
Dдиф= ±1.
Итоговая погрешность, которую вносит АЦП:
Погрешность датчика:
Первичный преобразователь также вносит погрешность.
Инструментальная погрешность датчика составляет 0,005 В.
Общая погрешность устройства:
Суммарная погрешность, таким образом, будет складываться из
погрешности аналоговой части схемы и погрешности АЦП. Что составляет:
.
Следовательно, прибор выполняет требуемую точность 0,8%<2%.
Конструкторско-технологический раздел
Расчет максимального количества ИС на печатной плате при
одностороннем размещении:
где 
- число элементов в одном ряду; 
- количество рядов элементов;

,
- размеры печатной платы; 
,
- размеры между крайними выводами ИС по осям x, y; 
, 
- шаги установки корпусов по осям x, y; 
- краевое поле для элементов внешней коммутации; 
- краевое поле для элементов контроля; 
- краевое поле по оси x.
Предположительно 

= 

= 10 мм

= 10 мм
Тогда
мм
мм
По ОСТ4 ГО.010.009 примем размер печатной платы равным: 170×130.
Выбор
и обоснование материалов
В качестве материала для корпуса прибора выбрана пластмасса.
Пластическими массами (пластмассами) обычно называют неметаллические материалы,
перерабатываемые в изделия методами пластической деформации (прессование,
экструзия, литье под давлением и т.д.), обладающие пластическими свойствами в
условиях переработки и не обладающие этими свойствами в условиях эксплуатации.
Таким образом, при обычных температурах пластмассы представляют собой твердые,
упругие тела. Значение пластмасс в современной жизни трудно переоценить.
Высокая прочность, устойчивость к износу и долговечность делают их одним из
самых современных и распространенных материалов в некоторых отраслях
промышленности. Например, в приборостроении - являются ценным конструкционным и
электротехническим материалом. Они легкие, хорошо противостоят коррозии, имеют
низкий коэффициент трения, обладают повышенной износостойкостью, хорошими
оптическими и изоляционными свойствами.
В качестве материала печатной платы выбран текстолит.
Текстолит - хороший диэлектрик, стоек к действию слабых кислот и щелочей, имеет
низкий коэффициент трения (0,02 со смазкой и 0,32 без смазки), небольшую
плотность (1,3 - 1,4 см), легко поддается механической обработке (фрезерование,
распиловка, сверление, штамповка, шлифование, строгание). Текстолит сохраняет
все свои эксплуатационные свойства при температуре от - 40 до +105ºС. Кроме всего прочего, текстолит прост в механической обработке и
поддается сверлению, фрезерованию, штамповке или шлифованию на любых токарных,
сверлильных и других металлорежущих станках.
Питание
устройства
Питание портативного шумомера будет осуществляться с помощью
4-х литиевых элемента типа АА (батареек) с напряжением питания 1,5 В. Литиевые
элементы питания обладают очень большим сроком хранения, высокой плотностью
энергии и сохраняют работоспособность в большом диапазоне температур, поскольку
не содержат воды. В их состав входит литиевый катод, органический электролит и
анод из различных материалов, так как литий имеет отрицательный наивысший потенциал
по отношению к остальным металлам - следовательно, имеет наибольшее номинальное
напряжение при минимальных размерах.
Батарейки будут давать питание +6В, это напряжение питания
при прохождении через делитель напряжения преобразуется в +5 В. От такого напряжения
питаются все элементы прибора: микрофон, ОУ, микроконтроллер и индикатор.
Разработка
программы и алгоритма
Программа будет реализована через следующий алгоритм.
Рисунок 35 - Алгоритм работы шумомера
В самом начале происходит обнуление регистров
микроконтроллера, инициализация данных и другие действия подготовки
микроконтроллера. Затем, если кнопка управления шумомером нажата, то прибор
начнёт работу. Если же нет, то он будет находится в состоянии ожидания. Когда
сигнал поступает на АЦП, то начинается его обработка. После чего данные
считываются из АЦП. Если после этого кнопка снова нажата, то измерения будут
производится снова. Если кнопка не нажата, произойдёт вывод результатов на
ЖК-дисплей. Если после этого повторно нажать кнопку управления, то измерения
будут повторены. Результаты измерения сохраняются в памяти микроконтроллера. Их
"извлечение" можно осуществить с помощью USB интерфейса.
Программа
Программа осуществляет настройку АЦП микроконтроллера и
применение канала RB5.
processor18f4550
#include <plib. h> // заголовок для всей переферии pic18
#include p18f4550. inc // подключение библиотеки микроконтроллера pic18f4550
// Установка конфигурации PIC18F4550
// SYSCLK = 20 MHz частота 20 МГц
// WDT OFF сторожевой таймер отключить
#pragma config FPLLMUL = MUL_20, FWDTEN = OFF
unsigned int chan_5; // хранит результат
АЦП считаный из канала RB5
unsigned int offset; // смещение на
свободный буфер АЦП
// включить АЦП OpenADC10 | результат в int | режим работы auto | включить автозапуск
АЦП
#define PARAM1 ADC_MODULE_ON | ADC_FORMAT_INTG |
ADC_CLK_AUTO | ADC_AUTO_SAMPLING_ON
// Включить такт АЦП | установить время выборки
#define PARAM3 ADC_CONV_CLK_INTERNAL_RC |
ADC_SAMPLE_TIME_15
#define PARAM4 SKIP_SCAN_ALL // не сканировать каналы АЦП
// RB5 аналоговый вход
#define PARAM5 ENABLE_RB5main (void)
{
// Макрос включает PIC18F4550 на частоту 20 МГц
(макс.48 МГц)(62000000L);(); // Выключить АЦП перед конфигурацией
// Результаты АЦП будут хранится в переменных chan_5
while (1)
{
chan_5 = ReadADC10 (offset); // считать результат RB5 из буфера АЦП
}
return 0;
}
end
Заключение
В результате проделанной работы было спроектировано
устройство для измерения шума - шумомер - с требуемой точностью. Данное
устройство полностью удовлетворяет требованиям технического задания. В работе
были использованы разработки фирмы Microchip как наиболее подходящие по своим
качественным и ценовым характеристикам. Представлена программа на языка Assembler для микроконтроллера.
Общая погрешность шумомера составляет 0,8%, что удовлетворяет
поставленным задачам по точности.
Спроектированное устройство является функционально
законченным модулем и может использоваться в лабораторных условиях, как
самостоятельный прибор.
Список
использованных источников
1.
"Приборы и системы для измерения вибрации, шума и удара" книги 1,2
под ред.В. В. Клюева М. "Машиностроение" 1978 г.
.
"Основы радиоэлектроники" Е.И. Манаев М. "Радио и связь"
1990 г.
.
"Приборы и средства автоматизации" "Информприбор" М. 1991
г. часть 5
.
"Приборы и средства автоматизации" "Информприбор" М. 1989
г. часть 5
.
"Датчики систем измерения, контроля и управления" Пенза 1992 г.
.
Конденсаторные микрофоны и микрофонные предусилители. Руководство по теории и
эксплуатации. Брюль и Къер 1976 г.
.П.
Гарет. Аналоговые устройства для микропроцессоров и мини ЭВМ. Издательство
Москва "Мир" 1981 г.
.Д.
Джонсон, Дж. Джонсон, Г. Мур. Справочник по активным фильтрам. Москва,
Энергоатомиздат 1983 г.
.
И.Н. Сидоров, А. А Димитров. МРБ. Микрофоны и телефоны. Москва "Радио и
связь" 1974 г.
.М.
М. Эфрусси. Микрофоны и их применение. Москва "Энергия " 1974 г.
.И.
И. Четверткова, В.М. Терехова. Резисторы. Справочник. Москва "Радио и
связь" 1991 г.
.П.
Хоровиц, У. Хилл Искусство схемотехники, изд.М. "Мир" 1998 г.
.
А.В. Евстифеев, Микроконтроллеры семейства Tiny и Mega фирмы "Atmel", "Додэка-XXI", М., 2004 г.