Информация: определение, классификация, измерение

  • Вид работы:
    Реферат
  • Предмет:
    Информационное обеспечение, программирование
  • Язык:
    Русский
    ,
    Формат файла:
    MS Word
    45,59 kb
  • Опубликовано:
    2011-10-04
Вы можете узнать стоимость помощи в написании студенческой работы.
Помощь в написании работы, которую точно примут!

Информация: определение, классификация, измерение

Оглавление

Введение

. Определение информации и ее свойства

. Классификация информации

. Единицы измерения информации

Заключение

Список литературы


Введение


Базовым понятием информатики является информация. Любая деятельность человека представляет собой процесс сбора и переработки информации, принятия на ее основе решений и их выполнения. С появлением современных средств вычислительной техники информация стала выступать в качестве одного из важнейших ресурсов научно-технического прогресса.

Актуальность нашей работы заключается в рассмотрении значения информации в человеческом обществе, ее отличительных черт и влияния на эволюционные процессы.

Цель работы состоит в изучении основных особенностей информации.

Достижение цели предполагает решение ряда задач:

) дать определение информации и ее свойствам;

) рассмотреть классификацию информации;

) изучить единицы измерения информации.

Общение, коммуникации, обмен информацией присущи всем живым существам, но в особой степени - человеку. Будучи аккумулированной и обработанной с определенных позиций, информация дает новые сведения, приводит к новому знанию. Получение информации из окружающего мира, ее анализ и генерирование составляют одну из основных функций человека, отличающую его от остального живого мира.


1. Определение информации и ее свойства


Базовым понятием информатики является информация. Любая деятельность человека представляет собой процесс сбора и переработки информации, принятия на ее основе решений и их выполнения. С появлением современных средств вычислительной техники информация стала выступать в качестве одного из важнейших ресурсов научно-технического прогресса. По современным представлениям информация является одной из исходных категорий мироздания наряду с материей и энергией. Эти категории тесно взаимосвязаны между собой. Эти связи можно усмотреть и в природе и процессах, порожденных человеком. Прогресс человечества неизбежно влечет увеличение общего объема информации, которым оно располагает, причем объем этот растет гораздо быстрее, чем население земного шара и его материальные потребности.

Информация содержится в человеческой речи, текстах книг, журналов, газет, сообщениях радио и телевидения, показаниях приборов и т.д. Человек воспринимает информацию с помощью органов чувств. Хранит и перерабатывает ее с помощью мозга и центральной нервной системы. Передаваемая информация обычно касается каких-то предметов или нас самих и связана с событиями, происходящими в окружающем нас мире.

Слово «информация» происходит от латинского слова informatio, что в переводе обозначает сведение, разъяснение, ознакомление. Понятие информации рассматривалось ещё античными философами. До начала промышленной революции, «определение сути информации оставалось прерогативой преимущественно философов» [5; с. 32]. Далее рассматривать вопросы теории информации стала новая на то время наука кибернетика.

Первоначально смысл слова «информация» трактовался как нечто присущее только человеческому сознанию и общению ― знания, сведения, известия. Затем смысл этого слова начал расширяться и обобщаться. Так, с позиций материалистической теории познания одним из всеобщих свойств материи (наряду с движением, развитием, пространством, временем и др.) было признано отражение, заключающееся в способности адекватно отображать одним реальным объектом другие реальные объекты, а сам факт отражения одного объекта в другом и означает присутствие в нем информации об отражаемом объекте. Таким образом, как только состояния одного объекта находятся в соответствии с состояниями другого объекта (например, соответствие между положением стрелки вольтметра и напряжением на его клеммах или соответствие между нашим ощущением и реальностью), это значит, что один объект отражает другой, т. е. содержит информацию о другом [3; с. 42].

Особенностью понятия «информация» является его универсальность ― оно используется во всех без исключения сферах человеческой деятельности: в философии, естественных и гуманитарных науках, в биологии, медицине, в психологии человека и животных, в социологии, искусстве, в технике и экономике и, конечно, в повседневной жизни.

Рассмотрим ряд понятий, связанных с информацией. Информация ― категория нематериальная, следовательно, она должна быть связана с какой материальной основой, без этого она просто не сможет существовать. При этом хранение информации связана с фиксацией состояния носителя (например, уже напечатанный текст на бумаге), а распространение информации ― с процессом, который протекает в носителе. Сообщение, таким образом, служит переносчиком информации, а информация является содержанием сообщения.

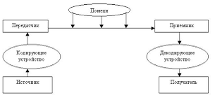
Понятие «информация» обычно предполагает наличие двух объектов ― источника и приемника информации. Информация передается от источника к приемнику в материально-энергетической форме в форме сигналов, распространяющихся в определенной среде. Источник информации - это субъект или объект, порождающий информацию и представляющий ее в виде сообщения. Получатель информации ― это субъект или объект, принимающий сообщение и способный правильно его интерпретировать. Совокупность технических средств, используемых для передачи сообщений от источника к получателю, называется системой связи. Канал связи ― совокупность технических устройств, обеспечивающих передачу сигнала от передатчика к приемнику. Кодирующее устройство предназначено для кодирования информации (преобразования исходного сообщения от источника к виду, удобному для передачи информации). Декодирующее устройство предназначено для преобразования полученного сообщения в исходное [3; с. 48].

Рис. 1. Процесс передачи информации

Сигнал - изменяющийся во времени физический процесс, изменение параметров которого и несёт информацию к получателю. Данные - результат фиксации, отображения информации на каком-либо материальном носителе, то есть зарегистрированное на носителе представление сведений независимо от того, дошли ли эти сведения до какого-нибудь приёмника и интересуют ли они его. Данные - это и текст книги или письма, и картина художника, и ДНК. Данные, являющиеся результатом фиксации некоторой информации, сами могут выступать как источник информации. Информация, извлекаемая из данных, может подвергаться обработке, и результаты обработки фиксируются в виде новых данных. Общая схема взаимоотношений между понятиями «информация» и «данные» в информационных системах может выглядеть следующим образом: процессы внешнего мира → I1 →D1 → I2 → D2 → I3 → …

Совокупность данных, представляющих сообщение на материальном носителе, образует документ. Документ - материальный объект, содержащий информацию в зафиксированном виде и специально предназначенный для её передачи во времени и пространстве. Документ - это материальный объект, содержащий данные, отображающие некоторую информацию.

Характерными чертами информации являются следующие:

) это наиболее важный ресурс современного производства: он снижает потребность в земле, труде, капитале, уменьшает расход сырья и энергии. Так, например, обладая умением архивировать свои файлы (т.е. имея такую информацию), можно не тратиться на покупку новых дискет;

) информация вызывает к жизни новые производства. Например, изобретение лазерного луча явилось причиной возникновения и развития производства лазерных (оптических) дисков;

) информация является товаром, причем продавец информации ее не теряет после продажи. Так, если студент сообщит своему товарищу сведения о расписании занятий в течение семестра, он эти данные не потеряет для себя;

) информация придает дополнительную ценность другим ресурсам, в частности, трудовым. Действительно, работник с высшим образованием ценится больше, чем со средним [2; с. 37].

Качество информации является одним из важнейших параметров для потребителя информации. Оно определяется следующими характеристиками:

― репрезентативность ― правильность отбора информации в целях адекватного отражения источника информации;

― содержательность ― семантическая емкость информации. Рассчитывается как отношение количества семантической информации к ее количеству в геометрической мере;

― достаточность (полнота) ― минимальный, но достаточный состав данных для достижения целей, которые преследует потребитель информации;

― доступность ― простота (или возможность) выполнения процедур получения и преобразования информации;

― актуальность ― зависит от динамики изменения характеристик информации и определяется сохранением ценности информации для пользователя в момент ее использования;

― своевременность ― поступление не позже заранее назначенного срока;

― точность ― степень близости информации к реальному состоянию источника информации;

― достоверность ― свойство информации отражать источник информации с необходимой точностью;

Информацию нельзя считать лишь техническим термином, это фундаментальная философская категория, которой присущи такие свойства как запоминаемость, передаваемость, преобразуемость, воспроизводимость, стираемость. Можно дать следующее определение: информация ― специфический атрибут реального мира, представляющий собой его объективное отражение в виде совокупности сигналов и проявляющийся при взаимодействии с «приемником» информации, позволяющим выделять, регистрировать эти сигналы из окружающего мира и по тому или иному критерию их идентифицировать.

Без информации не может существовать жизнь в любой форме и не могут функционировать созданные человеком любые информационные системы. Общение, коммуникации, обмен информацией присущи всем живым существам, но в особой степени - человеку. Будучи аккумулированной и обработанной с определенных позиций, информация дает новые сведения, приводит к новому знанию. Получение информации из окружающего мира, ее анализ и генерирование составляют одну из основных функций человека, отличающую его от остального живого мира.

2. Классификация информации


. Информация подразделяется по форме представления на 2 вида:

― дискретная форма представления информации ― это последовательность символов, характеризующая прерывистую, изменяющуюся величину (количество дорожно-транспортных происшествий, количество тяжких преступлений и т.п.);

― аналоговая или непрерывная форма представления информации ― это величина, характеризующая процесс, не имеющий перерывов или промежутков (температура тела человека, скорость автомобиля на определенном участке пути и т.п.).

. По области возникновения выделяют информацию:

― элементарную (механическую), которая отражает процессы, явления неодушевленной природы;

― биологическую, которая отражает процессы животного и растительного мира;

― социальную, которая отражает процессы человеческого общества.

. По способу передачи и восприятия различают следующие виды информации:

― визуальную, передаваемую видимыми образами и символами;

― аудиальную, передаваемую звуками;

― тактильную, передаваемую ощущениями;

― органолептическую, передаваемую запахами и вкусами;

― машинную, выдаваемую и воспринимаемую средствами вычислительной техники [4; с. 52].

. Информацию, создаваемую и используемую человеком, по общественному назначению можно разбить на три вида:

― личную, предназначенную для конкретного человека;

― массовую, предназначенную для любого желающего ее пользоваться (общественно-политическая, научно-популярная и т.д.);

― специальную, предназначенную для использования узким кругом лиц, занимающихся решением сложных специальных задач в области науки, техники, экономики.

. По способам кодирования выделяют следующие типы информации:

― текстовую, основанную на использовании комбинаций символов. Здесь так же, как и в предыдущей форме, используются символы: буквы, цифры, математические знаки. Однако информация заложена не только в этих символах, но и в их сочетании, порядке следования. Так, слова КОТ и ТОК имеют одинаковые буквы, но содержат различную информацию. Благодаря взаимосвязи символов и отображению речи человека текстовая информация чрезвычайно удобна и широко используется в деятельности человека: книги, брошюры, журналы, различного рода документы, аудиозаписи кодируются в текстовой форме.

― графическую, основанную на использовании произвольного сочетания в пространстве графических примитивов. К этой форме относятся фотографии, схемы, чертежи, рисунки, играющие большое значение в деятельности человек [4; с. 53].

Свойства информации можно рассматривать в трех аспектах: техническом ― это точность, надежность, скорость передачи сигналов и т.д.; семантическом ― это передача смысла текста с помощью кодов и прагматическом ― это насколько эффективно информация влияет на поведение объекта.

3. Единицы измерения информации


В информатике, как правило, измерению подвергается информация, представленная дискретным сигналом. При этом различают следующие подходы:

.структурный. Измеряет количество информации простым подсчетом информационных элементов, составляющих сообщение. Применяется для оценки возможностей запоминающих устройств, объемов передаваемых сообщений, инструментов кодирования без учета статистических характеристик их эксплуатации.

.статистический. Учитывает вероятность появления сообщений: более информативным считается то сообщение, которое менее вероятно, т.е. менее всего ожидалось. Применяется при оценке значимости получаемой информации.

.семантический. Учитывает целесообразность и полезность информации. Применяется при оценке эффективности получаемой информации и ее соответствия реальности.

В рамках структурного подхода выделяют три меры информации:

•геометрическая. Определяет максимально возможное количество информации в заданных объемах. Мера может быть использована для определения информационной емкости памяти компьютера;

•комбинаторная. Оценивает возможность представления информации при помощи различных комбинаций информационных элементов в заданном объеме. Комбинаторная мера может использоваться для оценки информационных возможностей некоторого системы кодирования;

•аддитивная, или мера Хартли [7; с. 74].

Единицы измерения информации служат для измерения объёма информации - величины, исчисляемой логарифмически. Это означает, что когда несколько объектов рассматриваются как один, количество возможных состояний перемножается, а количество информации - складывается. Чаще всего измерение информации касается объёма компьютерной памяти и объёма данных, передаваемых по цифровым каналам связи. Объёмы информации можно представлять как логарифм количества состояний. Наименьшее целое число, логарифм которого положителен - 2. Соответствующая ему единица - бит - является основой исчисления информации в цифровой технике.

Единица, соответствующая числу 3 (трит <#"526527.files/image002.gif">бита, числу 10 (хартли) -  бита. Такая единица как нат (nat), соответствующая натуральному логарифму применяется в вычислительной технике в инженерных и научных расчётах. Основание натуральных логарифмов не является целым числом.

Целые количества бит отвечают количеству состояний, равному степеням двойки. Особое название имеет 4 бита - ниббл (полубайт, тетрада, четыре двоичных разряда), которые вмещают в себя количество информации, содержащейся в одной шестнадцатеричной цифре. Следующей по порядку популярной единицей информации является 8 бит, или байт. Именно к байту (а не к биту) непосредственно приводятся все большие объёмы информации, исчисляемые в компьютерных технологиях.

Такие величины как машинное слово и т.п., составляющие несколько байт, в качестве единиц измерения почти никогда не используются.

Для измерения больших количеств байтов служат единицы «килобайт» = 1000 байт и «Кбайт» (кибибайт, kibibyte) = 1024 байт. Единицы «мегабайт» = 1000 килобайт = 1000000 байт и «Мбайт» (мебибайт, mebibyte) = 1024 Кбайт = 1 048 576 байт применяются для измерения объёмов носителей информации. Единицы «гигабайт» = 1000 мегабайт = 1000000000 байт и «Гбайт» (гибибайт, gibibyte) = 1024 Мбайт = 230 байт измеряют объём больших носителей информации, например жёстких дисков. Разница между двоичной и десятичной единицами уже превышает 7 %. Размер 32-битного адресного пространства равен 4 Гбайт ≈ 4,295 Мбайт. Такой же порядок имеют размер DVD-ROM и современных носителей на флеш-памяти. Размеры жёстких дисков уже достигают сотен и тысяч гигабайт. Для исчисления ещё больших объёмов информации имеются единицы терабайт - тебибайт (1012 и 240 соответственно), петабайт - пебибайт (1015 и 250 соответственно) и т.д. [1; с. 115].

Байт определяется для конкретного компьютера как минимальный шаг адресации памяти, который на старых машинах не обязательно был равен 8 битам. В современной традиции, байт часто считают равным восьми битам. В таких обозначениях как байт (русское) или B (английское) под байт (B) подразумевается именно 8 бит, хотя сам термин «байт» не вполне корректен с точки зрения теории. Долгое время разнице между множителями 1000 и 1024 старались не придавать большого значения. Во избежание недоразумений следует чётко понимать различие между: двоичными кратными единицами, обозначаемыми согласно ГОСТ <#"526527.files/image004.gif">байт. В качестве терминов для «Кбайт», «Мбайт», «Гбайт» и т.д. МЭК предлагает «кибибайт», «мебибайт», «гибибайт» и т. д., однако эти термины критикуются за непроизносимость и не встречаются в устной речи.

В различных областях информатики предпочтения в употреблении десятичных и двоичных единиц тоже различны. Причём, хотя со времени стандартизации терминологии и обозначений прошло уже несколько лет, далеко не везде стремятся прояснить точное значение используемых единиц. В английском языке для «киби»=1024 иногда используют прописную букву K, дабы подчеркнуть отличие от обозначаемой строчной буквой приставки СИ кило. Однако, такое обозначение не опирается на авторитетный стандарт, в отличие от российского ГОСТа касательно «Кбайт».


Заключение

информация кодирование

В настоящее время не существует единого определения термина информация. С точки зрения различных областей знания, данное понятие описывается своим специфическим набором признаков. В информатике широко используется такое определение: информация - сведения, передаваемые источником получателю (приёмнику). Без информации не может существовать жизнь в любой форме и не могут функционировать созданные человеком любые информационные системы.

Единицы измерения информации служат для измерения объёма информации - величины, исчисляемой логарифмически. Соответствующая ему единица - бит - является основой исчисления информации в цифровой технике.

Чаще всего измерение информации касается объёма компьютерной памяти и объёма данных, передаваемых по цифровым каналам связи. Объёмы информации можно представлять как логарифм количества состояний. Наименьшее целое число, логарифм которого положителен - 2.


Список литературы


1.Воройский, Ф.С. Информатика. Энциклопедический словарь-справочник / Ф.С. Воройский. ― М.: ФИЗМАТЛИТ, 2006. - 768 с.

.Информатика / под ред. Б.В. Соболя. ― Ростов-на-Дону: Феникс, 2007. - 446 с.

. Информатика / под ред. Г.Н. Хубаева. ― Ростов-на-Дону: МарТ, 2010. - 288 с.

. Информатика и информационные технологии / под ред. Ю.Д. Романовой. - М.: Эксмо, 2008. - 592 с.

. Колин, К. Информационная глобализация общества и гуманитарная революция / К.Колин // Alma Mater. - 2002. - № 8. - С. 32-34.

. Меняев, М.Ф.Информатика и основы программирования / М.Ф. Меняев. - М.: Омега-Л, 2007. - 458 с.

. Острейковский, В.А., Полякова, И.В. Информатика. Теория и практика / В.А. Острейковский, И.В. Полякова. - М.: Оникс, 2008. - 608 с.

.Румянцева, Е.Л., Слюсарь, В.В. Информационные технологии / Е.Л. Румянцева, В.В. Слюсарь. ― М.: Инфра-М, 2007. - 256 с.

. Степанов, А.Н. Информатика / А.Н. Степанов. ― СПб.: Питер, 2006. - 684 с.

Похожие работы на - Информация: определение, классификация, измерение

 

Не нашли материал для своей работы?
Поможем написать уникальную работу
Без плагиата!
Без нейросетей!