Логико-математический исследование учебного материала темы 'Квадратные неравенства'

  • Вид работы:
    Дипломная (ВКР)
  • Предмет:
    Педагогика
  • Язык:
    Русский
    ,
    Формат файла:
    MS Word
    1,23 Mb
  • Опубликовано:
    2011-10-06
Вы можете узнать стоимость помощи в написании студенческой работы.
Помощь в написании работы, которую точно примут!

Логико-математический исследование учебного материала темы 'Квадратные неравенства'

Содержание

Введение

Глава 1. Логико-математический анализ учебного материала темы «Квадратные неравенства»

.1 Анализ представления темы в различных школьных учебниках

.2 Анализ дидактической единицы темы

.3 Анализ теоретического содержания темы

.4 Анализ задачного материала темы

Глава 2. Методика обучения учащихся по теме «Квадратные неравенства»

.1 Обязательные результаты обучения

.2 Анализ методической литературы по теме «Квадратные неравенства»

.3 Тематическое планирование по теме «Квадратные неравенства»

.4 Описание методики обучения теме «Квадратные неравенства»

.5 Методика обучения решению типовых задач

.6 Описание приложения

Заключение

Список используемой литературы

Приложения

Введение

Тема «Квадратные неравенства» занимает важное место в математике. Эта тема связана с другими содержательными линиями: неравенства, квадратичная функция, график функции, решение неравенств.

Тема изучается в 8 классе: изучается определение квадратного неравенства, различные способы его решения.

При изучении темы имеются возможности для развития памяти, логического мышления, формирования у учащихся навыков самостоятельной работы. Квадратные неравенства сами по себе представляют интерес для изучения, так как именно с их помощью на символьном языке записываются важные задачи познания реальной действительности. Как в самой математике, так и в её приложениях с квадратными неравенствами приходится сталкиваться не менее часто, чем с уравнениями. Например, квадратные неравенства используются при изучении свойств функции (нахождение промежутков знакопостоянства функции, определение монотонности и др.)

Ожидаемые результаты - ученики должны знать определение квадратного неравенства, алгоритмов решения квадратного неравенства с помощью графика квадратичной функции и методом интервалов, уметь применять данные алгоритмы к решению задач.

Целью данной работы состоит в том, чтобы разработать методику обучения учащихся теме «Квадратные неравенства». Для реализации цели необходимо решить следующие задачи: проанализировать представление темы в различных школьных учебниках, выполнить анализ теоретического содержания темы, задачного материала темы, сделать анализ методической литературы по данной теме, разработать математического планирование, описать методику обучения теме «Квадратные неравенства», а так же описать методику обучения решению типовых задач.

Данная работа состоит из двух глав и приложения.

В первой главе рассматривается логико-математический анализ учебного материала темы, который включает в себя анализ представления темы в различных школьных учебниках, анализ дидактической единицы темы, анализ теоретического содержания темы и анализ задачного материала темы.

Во второй главе рассматривается методика обучения учащихся по теме, которая включается в себя обязательные результаты обучения, анализ методической литературы, математическое планирование, описание методики обучении, а так же методичку обучения решения типовых задач.

Глава 1. Логико-математический анализ учебного материала темы «Квадратные неравенства»

.1      Анализ представления темы в различных школьных учебниках

Компоненты анализа учебника

Мордкович А.Г. Алгебра 8, 9 кл.

Алимов Ш.А. Алгебра 8 кл.

Никольский С.М. Алгебра 9 кл.

Общая структура а) характеристика частей.

1.1. а) Материал в учебнике по данной теме разделен на 2 главы: глава 6 (в учебнике за 8 класс), которая содержит §35 и глава 1 (в учебнике за 9 класс), которая содержит §1, §2. Нумерация параграфов сквозная. Отдельно имеется задачник. Итого, содержание темы занимает три параграфа.

1.1. а) Материал в учебнике по данной теме представлен в 4 главе «Квадратные неравенства», которая содержит 4 параграфа. Нумерация параграфов сквозная. Итого, содержание темы занимает четыре параграфа.

1.1. а) Материал в учебнике по данной теме представлен в §2, который в свою очередь состоит из 5 пунктов. Итого, содержание темы представлено в пяти пунктах.

б) структура наименьшей части.

б) каждый параграф содержит только теоретический материал, примеры с подробным решением, которые являются либо опорой для введения теоретического материала, либо образцами применения теории.

б) каждый параграф содержит теоретический материал, примеры, которые являются либо опорой для введения теоретического материала, либо образцами применения теории. Имеются задания различной степени трудности.

б) каждый пункт содержит теоретический материал, который подробно объяснен на примерах. Так же имеются задания для проверки знаний и задания, предназначенные для устной работы

Представление задачного материала. а) классификация.

1.2. а) задачный материал разбит на след.блоки: первый - до черты - содержит задания базового и среднего уровня сложности, к ним ответы даны в конце задачника. Второй блок упражнений - после черты - включает задания среднего и выше среднего уровня трудности.

1.2. а) задачный материал разбит на следующие основные блоки: обязательные задачи, дополнительные более сложные задачи и трудные задачи.

1.2. а) задачный материал разбит на следующие основные блоки: наиболее легкие задания, предназначенные для устной работы; задания повышенной трудности.

б) представление текста задачи.

б) задачи представлены математическим текстом.

б) в основном присутствуют задачи, представленные математическим текстом, так же есть задачи, содержащие чертеж по условию.

б) задачи представлены как стандартным математическим текстом, так и нагладно-поисковым текстом.

Другие структурные особенности

1.3. При изложении материала используются различные значки типа «рабочий словарь», «вспомните», «обратите внимание» и т.д.

1.3. При изложении материала используется разный цвет и шрифт

1.3. Других структурных особенностей нет.

Методические особенности Характер изложения.

2. 2.1. Теоретический материал рассматривается сначала на конкретных примерах, а затем делаются обобщения. Следовательно, материал учебника изложен конкретным индуктивным методом.

2. 2.1. Теоретический материал рассматривается сначала на конкретных примерах, а затем делаются обобщения. Следовательно, материал учебника изложен конкретным индуктивным методом.

2. 2.1. В начале вводится теоретический материал, который в последствии объясняется на примерах. Следовательно, материал учебника изложен дедуктивным методом.

Использование цвета, особых выделений главного.

2.2. Материал для заучивания (определения, теоремы, правила) выделяются жирным курсивом. Алгоритмы взяты в рамочку. Номера примеров среднего уровня снабжены значком ○, номера сложных примеров - ●.

2.2. Материал для заучивания (опред-ия, теоремы, алгоритмы) выделяются курсивом и рядом с материалом помещен розовый прямоугольник; текст, который важно знать и полезно помнить (не обязательно наизусть) помещается в рамки.

2.2. Материал для заучивания (определения, теоремы) выделяются жирным шрифтом. ○ и ● - знаки, отмечающие начало и конец текста, необязательного при работе по обычной программе.

Наглядность.

2.3. Наглядность применяется для представления и пояснения некоторых задач и теоретического материала: рисунки, чертежи.

2.3. Имеются рисунки и чертежи для наглядного представления теоретического и задачного материала.

2.3. Для представления и пояснения некоторых задач применяются чертежи, рисунки.

Повторение

2.4. Материал для повторения не выделен.

Другие методические особенности.

2.5. Нет других особенностей.

Выводы. Достоинства.

3.1. Изложение материала характеризуется четкостью, алгоритмичностью, выделяются основные этапы рассуждений с фиксацией внимания читателя на выделенных этапах.

3.1. В учебнике четко выделен материал для запоминания. Есть легкие задачи. Цветное оформление.

3.1. В учебнике выделен текст для запоминания. Достаточно много рисунков и чертежей.

Недостатки.

3.2. Задачник представлен отдельно от теорет. материала. Мало цветов. Нет исторических сведений.

3.2. Мало рисунков и чертежей.

3.2. Нет исторических сведений. Не используется цветное оформление.

1. Объем содержания учебника Мордковича А.Г. по данной теме очень большой. Материал рассматривается и в 8, и в 9 классе. В учебниках Алимова Ш.А. и Никольского С.М. объем содержания примерно одинаков.

. У Мордковича А.Г. задачный материал представлен отдельно от теоретического, что не совсем удобно. В учебнике Алимова Ш.А. присутствует и задачный, и теоретический материал. Причем теоретический материал подкреплен конкретными разобранными примерами. В учебнике Никольского С.М. мало примеров с решением, в основном теоретический и задачный материал.

. В учебнике Мордковича А.Г. используется индуктивный метод изложения теоретического материала. Задачный материал разделен на легкие, средние задачи и задачи повышенной трудности. Цветного оформления нет, но используются различные значки для обозначения «характера» теоретического материала. У Алимова Ш.А. так же индуктивный характер изложения теоретического материала. Причем материал достаточно нагляден - присутствует большое количество рисунков, чертежей. В учебнике Никольского С.М. не используется цветовое оформление. Теоретический материал представлен дедуктивным методом. Рисунков, чертежей мало.

. Таким образом, мой выбор - учебник Алимова Ш.А. Так как он наиболее нагляден для учащихся. Весь теоретический материал подкреплен конкретными примерами. Задачный материал рассчитан на каждого ученика: есть задачи легкого уровня, среднего и повышенной трудности.

квадратный неравенство математический обучение

1.2 Анализ дидактической единицы темы

·        С точки зрения логики:

В теме представлено всего одно понятие - понятие квадратного неравенства, которое определено через род и видовые отличия.

Утверждения темы сформулированы в импликативной форме.

Алгоритма в теме два:

а) алгоритм решения квадратного неравенства с помощью графика квадратичной функции;

б) алгоритм решения квадратного неравенства методом интервалов.

Методы доказательства утверждений и решения задач:

алгебраический;

на применение алгоритма;

эвристический;

на построение графика.

·        С помощью блок-схемы:





























·        Обязательные результаты обучения по теме:

Знать: определение квадратного неравенства, алгоритмы решения квадратного неравенства с помощью графика квадратичной функции и методом интервалов.

Уметь: отличать квадратные неравенства от других неравенств, применять алгоритмы решения квадратных неравенств с помощью квадратичной функции и методом интервалов к решению задач.

1.3 Анализ теоретического содержания темы

Анализ понятий.

В теме представлено 2 понятия, из которых только одно определено явно.

.        Формулировка определения понятия: Если в левой части неравенства стоит квадратный трехчлен, а в правой - нуль, то такое неравенство называют квадратным.

.        Логический анализ структуры определения понятия «квадратное неравенство»:

термин - квадратное неравенство;

род - неравенство;

видовые отличия: в левой части неравенства стоит квадратный трехчлен, а в правой - нуль;

связь между видовыми отличиями -с точки зрения логики - импликативное определение;

вид определения - через род и видовые отличия;

опорные знания - понятие неравенства, понятие квадратного трехчлена.

.        Подведение под понятие (примеры конкретных квадратных неравенств и контрпримеры):

; ; ; ;

.

4.      Следствия из определения понятия: решение квадратного неравенства (графическим методом, аналитическим методом, методом интервалов).

.        Возможные ошибки в формулировке определения: учащиеся вместо двух существенных признаков называют только один; забывают указать слово «неравенства».

Используется импликативная связь между видовыми отличиями в определении понятия. Понятие определяется через род и видовые отличия. Подведение под понятие осуществляется с помощью примеров конкретных квадратных неравенств и контрпримеров. Опорными знаниями являются понятия неравенства и квадратного трехчлена. Возможные ошибки состоят в том, что учащиеся вместо двух существенных могут назвать только один, забывают указать слово «неравенства».

Анализ утверждений.

.

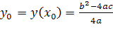
.        Формулировка утверждения: Если D<0, то при всех действительных значениях х знак квадратичной функции  совпадает со знаком числа а.

.        Структура утверждения:

разъяснительная часть - любая квадратичная функция;

условие - 1) D<0; 2) ;

заключение - При всех действительных значениях х знак квадратичной функции  совпадает со знаком числа а.

. Форма формулировки утверждения - импликативная.

. Вид утверждения - сложное (два условия, одно заключение).

. Метод доказательства - алгебраический.

. Достаточное или необходимое условие - достаточное.

. Опорные знания: понятие дискриминанта, понятие квадратного трехчлена, понятие действительного числа.

. Возможные ошибки и затруднения: в формулировке утверждения пропускают слово «действительных».

II.

.        Формулировка утверждения: Если D=0, то при всех действительных значениях х, кроме , знак квадратичной функции  совпадает со знаком числа а; при  значение квадратичной функции равно нулю.

.        Структура утверждения:

разъяснительная часть - любая квадратичная функция;

условие - 1) D=0; 2) ;

заключение - 1) при всех действительных значениях х, кроме , знак квадратичной функции  совпадает со знаком числа а; 2) при  значение квадратичной функции равно нулю.

.        Форма формулировки утверждения - импликативная.

.        Вид утверждения - сложное (два условия, два заключения).

.        Метод доказательства - алгебраический.

.        Достаточное или необходимое условие - достаточное.

.        Опорные знания: понятие дискриминанта, понятие квадратного трехчлена, понятие действительного числа.

.        Возможные ошибки и затруднения: в формулировке утверждения пропускают слово «действительных».

III.

.        Формулировка утверждения: Если D>0, то знак квадратичной функции  совпадает со знаком числа а для всех х, лежащих вне отрезка [x1,x2], т.е. при x<x1 и при x>x2, где x1<x2 - нули функции; знак квадратичной функции противоположен знаку числа а при x1<x<x2.

.        Структура утверждения:

разъяснительная часть - любая квадратичная функция;

условие - 1) D>0; 2) ;

заключение - 1) знак квадратичной функции  совпадает со знаком числа а для всех х, лежащих вне отрезка [x1,x2], 2) знак квадратичной функции противоположен знаку числа а при x1<x<x2.

.        Форма формулировки утверждения - импликативная.

.        Вид утверждения - сложное (два условия, два заключения).

.        Метод доказательства - алгебраический.

.        Достаточное или необходимое условие - достаточное.

.        Опорные знания: понятие дискриминанта, понятие квадратного трехчлена, понятие действительного числа.

.        Возможные ошибки и затруднения: в формулировке утверждения забывают указывать значения х.

Все утверждения даны в импликативной форме. Все теоремы сложные. Во всех теоремах используется алгебраический метод доказательства. Данные теоремы являются достаточными условиями. Опорными знаниями являются понятия дискриминанта, квадратного трехчлена, действительного числа. Возможные ошибки состоят в том, что учащиеся могут забыть в формулировке теорем указывать значения x, пропускать слово «действительных».

Анализ алгоритмов (правил)

В данной теме содержатся два алгоритма: алгоритм решения квадратного неравенства с помощью графика квадратичной функции и алгоритм решения квадратного неравенства методом интервалов.

I. Алгоритм решения квадратного неравенства с помощью графика квадратичной функции:

) определить направление ветвей параболы по знаку первого коэффициента квадратичной функции;

) найти действительные корни соответствующего квадратного уравнения или установить, что их нет;

) построить эскиз графика квадратичной функции, используя точки пересечения (или касания) с осью Ох, если они есть;

) по графику определить промежутки, на которых функция принимает нужные значения.

Правило

Корректировка правила

Характерестич. свойства

Обосновывающ. знания

Опорные знания

1. а) если а<0, то ветви параболы направлены вниз; б) если a>0, то ветви параболы направлены вверх. 2. а) если сущ. х1 и х2 - корни квадратного трехчлена, то график имеет две точки пересечения с осью Ох; б) если сущ. только х1, то график имеет одну точку пересечения с осью Ох; в) если корней нет, то пересечения графика с осью Ох нет. 3. Эскиз графика квадр. функции. 4. Записать ответ.

Расписать правило на 4: 1. ax2+bx+c>0; 2. ax2+bx+c<0; 3. ax2+bx+c≤0; 4. ax2+bx+c≥0;

1. Массовость. 2. Дискрентность. 3. Элементарность. 4. Детерменированность. 5. Результативность.

Сравнение чисел с нулем, нахождение корней квадратного трехчлена.

Сравнение чисел с нулем, нахождение корней квадратного трехчлена, тождественные преобразования неравенств.


II. Алгоритм решения квадратного неравенства методом интервалов:

) Найти корни квадратного трехчлена;

) Отметить данные корни на числовой оси;

) Определить знак квадратного трехчлена на каждом из полученных интервалов;

) Выбрать требуемые промежутки и записать ответ.

Правило

Корректировка правила

Характерестич. свойства

Обосновывающ. знания

Опорные знания

1. Найти корни ax2+bx+c=0; 2. Отметить данные корни на числовой оси; 3. Определить промежутки на которых ax2+bx+c>0 и ax2+bx+c<0; 4. Записать ответ.

Расписать правило на 4: 1. ax2+bx+c>0; 2. ax2+bx+c<0; 3. ax2+bx+c≤0; 4. ax2+bx+c≥0;

1. Массовость. 2. Дискрентность. 3. Элементарность. 4. Детерменированность. 5. Результативность.

Сравнение чисел с нулем, нахождение корней квадратного трехчлена.

Сравнение чисел с нулем, нахождение корней квадратного трехчлена, тождественные преобразования неравенств.


.        Ядерным материалом темы являются одно новое понятие, три утверждения и два алгоритма;

.        Теоретический материал изложен индуктивно;

.        Задачный материал способствует отработке представленной теории на 1 и 2 УУ.

1.4 Анализ задачного материала темы

№ задач

По способу задания

По характеру требования

По сложности

По способу решения

По дидактической цели

По типу задач

652-655; 660-664; 666-669; 687-691; 692-696; 699

Задачи представлены математическим текстом

Решить неравенство

652-654,660-664,667,687-691 - ☺

652-655, 687-688 - алгебраический; 660-664, 666-669, 689-691 - на применение алгоритма.

Отработка алгоритма решения квадратного неравенства с помощью графика

652-655, 687-689, 694, 699 - 1.1, 660-664, 667-669, 692-694, 695-696 - 1.2, 666 - 1.3, 690-691 - 1.4




655,668-669, 692-696 - ☺☺







699 - ☺☺☺




675-682

Задачи представлены математическим текстом

Решить методом интервалов неравенство

675-680 - ☺

На применение алгоритма

Отработка алгоритма решения квадратного неравенства методом интервалов

675-682 - 1.4




681 -☺☺







682 - ☺☺☺




656, 659, 698

Задачи представлены математическим текстом

Построить график функции

659 - ☺ 656, 698 - ☺☺

На построение графика, на применение алгоритма.

Отработка алгоритма решения квадратного неравенства с помощью графика

656, 659- 2.1, 698 - 2.2,

672,673, 685,686.

Текстовые задачи

Найти значение параметра, при котором выполняется данное условие

672,673,685,686- ☺☺☺

Алгебраический

Отработка свойств квадратичной функции, алгоритма решения квадратичного неравенства с помощью графика

672,673 - 3.1, 685 - 3.2, 686 - 3.3.

658, 670, 700.

Текстовые задачи

Найти числа, удовлетворяющие заданному условия

670 - ☺☺

Алгебраический

Отработка свойств квадратичной функции

658 - 4.1, 670 - 4.2, 700 - 4.3.




658, 700 - ☺☺☺




683, 684, 657

Задачи представлены математическим текстом

Доказать, что квадратичная функция имеет действит-ые нули при заданном условии

683, 684 , 657- ☺☺☺

Алгебраический

Отработка свойств квадратичной функции

683 - 5.1, 684 - 5.2, 657 - 5.3

671

Задачи представлены математическим текстом

Показать, что при заданном условии выполняется неравенство

671 - ☺☺☺

Алгебраический

Отработка свойств квадратичной функции, алгоритма решения квадратичного неравенства с помощью графика

671 - 6.1

665

Задача по готовому чертежу

Используя график функции указать ответ

665 - ☺

Эвристический

Отработка алгоритма решения квадратичного неравенства с помощью графика

665 - 7.1


Условные обозначения: ☺ - легкие задачи, ☺☺ - более сложные задачи, ☺☺☺ - трудные задачи.

Типы задач:

.1 - решить неравенство.

1.2 - решить неравенство с помощью графика квадратичной функции.

1.3 - (устно) решить неравенство.

1.4 - решить неравенство методом интервалов.

2.1 - Построить график функции, по графику найти все значения х, при которых функция принимает положительные значения; отрицательные значения; значения, равные нулю.

2.2 - В данной системе координат построить графики функций и выяснить, при каких х значения одной функции больше (меньше) значений другой, результат проверить, решив соответствующее неравенство.

3.1 - Найти все значения r, для которых при всех действительных значениях х выполняется неравенство.

3.2 - Найти все действительные значения b, при которых корни уравнения действительные и такие, что х1>-1, x2>-1.

3.3 - Найти все действительные значения b, при которых корни уравнения действительные и принадлежат интервалу (0;3).

4.1 - Из трех последовательных натуральных чисел произведение первых двух меньше 72, а произведение последних двух не меньше 72. Найти эти числа.

4.2 - Найти все значения х, при которых функция принимает значения, не большие нуля.

4.3 - Найти четыре последовательных целых числа такие, что куб второго из них больше произведения трех остальных.

5.1 - Доказать, что квадратичная функция имеет действительные нули х1 и х2 такие, что х1<M, x2<M, где М - заданное число, только тогда, когда выполняются заданные условия.

5.2 - Доказать, что квадратичная функция имеет действительные нули х1 и х2 такие, что K<x1<M, K<x2<M, где К и М - заданные числа, только тогда, когда выполняются заданные условия.

5.3 - Известно, что числа х1 и х2, где x1<x2, являются нулями функции. Доказать, что если число х0 заключено между х1 и х2, то выполняется заданное неравенство.

6.1 - Показать, что при q>1 решениями неравенства являются все действительные значения х.

7.1 - Используя график функции, указать, при каких значениях х эта функция принимает требуемые значения.

Глава 2. Методика обучения учащихся по теме «Квадратные неравенства»

.1 Обязательные результаты обучения

Федеральный базисный учебный план образовательных учреждений от 09.03.2004г.

Из стандарта основного общего образования по математике:

·        Обязательный минимум содержания по теме «Квадратные неравенства»:

неравенства с одной переменной;

решение неравенства;

квадратные неравенства;

примеры решения дробно-линейных неравенств;

переход от словесной формулировки соотношений между величинами к алгебраической;

решение текстовых задач алгебраическим способом.

·        Требования к уровню подготовки по теме «Квадратные неравенства»:

знать как используются математические неравенства;

знать примеры из применения для решения математических и практических задач;

уметь решать квадратные неравенства с одной переменной и их системы.

2.2 Анализ методической литературы по теме «Квадратные неравенства»

Проанализируем методическую литературу с точки зрения наличия в ней методических приемов, подведения, приемов закрепления и приемов контроля.

Источник анализа

Методические приемы

Подведение

Приемы закрепления

Приемы контроля

1.

Шуругина Н.В. «Разработка урока по алгебре в 9 классе по теме: “Решение квадратных неравенств”» / Н.В. Шуругина. Новосиб.обл., 2007г.

Использование мультимедиа технологий (презентация Power Point), интерактивная доска, линейки согласия-несогласия, предложение в адрес учащихся сделать гипотезы, самостоятельные работы учеников, работы учащихся в группах.

Заранее подготовленные вопросы и задания учителя, устная работа по специально подобранным чертежам.

Работа по готовым чертежам, самостоятельное решение простейших задач, работа в группах.

Проверка решений осуществляется при первом готовом решении одной из групп на интерактивной доске, групповая работа оценивается руководителями, отражая результат в паспорта.

2.

Коломникова С.И. «Решение квадратных неравенств». Работа выполнена в рамках проекта «Повыш. квалификации различных категорий работников образования и формирования у них базовой педагогической ИКТ - компетентности»/ С.И.Коломникова. Новосиб.обл., 2008г.

Использование мультимедиа технологий (презентация Power Point), предложение в адрес учащихся сформулировать алгоритм решения квадратных неравенств, по ходу обсуждения материала учащиеся составляют опорный конспект.

Устная работа по специально подобранным чертежам, работа с таблицей «решение квадратных неравенств», два ученика работают у доски по карточкам, фронтальный опрос остальных учащихся.

Работа по готовым чертежам, работа с опорными конспектами, самостоятельная работа учащихся у доски, составление алгоритма на решение кв.неравенства.

Работа в парах с элементами соревнования, работа с учебником, домашнее задание.

3.

Полякова Е.А. «Методическая разработка по теме “Квадратное неравенство и его решение” по учебнику Алимова Ш.А., Алгебра 8 класс./ Е.А.Полякова. Белгород, 2009г.

Использование мультимедиа технологий (презентация Power Point), использование рабочих карт урока, практические работы.

Кросс-опрос, письменная работа у доски, устная работа по специально подобранным вопросам.

Решение простейших задач у доски, составление алгоритма на решение кв.неравенств,

Самостоятельная работа учеников в тетрадях, с последующей проверкой результатов у доски.

4.

Федоськина О.Д. «Решение квадратных неравенств и неравенств, сводящихся к квадратным с использованием графика квадратичной функции» по учебнику Алимова Ш.А. Алгебра 8 класс./ О.Д.Федоськина. Сов.Гавань, 2004г.

Использование персональных компьютеров, приложения MS Excel, интерактивные тесты в программе MS Excel, раздаточный материал: таблицы 1,2.

Фронтальный опрос учеников, совместное рассмотрение хода решения кв.неравенства, устное компьютерное тестирование.

Задания на чтение графиков функций, работа с таблицами.

Практическая работа на компьютере, самостоятельная работа учащихся, задание на дом.

5.

Матукова Т.А. «Решение квадратных неравенств» в 8 кл., по учебнику «Алгебра» Мордковича А.Г./ Т.А.Матукова. Кемеровская область, 2006г.

Использование проектора, интерактивной доски, мультимедиа технологий (презентации Power Point).

Разминка, на которой повторяют основные теоретические моменты по данной теме, рассматривают различные виды расположения корней квадратного трехчлена и направления парабол при решении неравенств, отрабатывается выбор правильного решения неравенства.

Решение квадратных неравенств с помощью схематического изображения параболы, решение заданий с выбором ответов, самостоятельное приведение примеров учащимися.

Контроль проводится у доски, а также в презентации Power Point, выбирается ответ и нажимается кнопка «проверить».

6.

Рязанцева Е.А. «Открытый урок по теме “Решение неравенств второй степени с одной переменной”» по учебнику Макарычева Ю.Н. Алгебра 9 кл.

Использование медиа-проектора, авторской презентации к уроку, раздаточного материала, копировальной бумаги.

Предложение учащимся выполнить самостоятельную работу (под копирку).

Класс решает неравенство по алгоритму с пошаговым контролем учителя. Проведение физкультразминки (ученики ищут карточку с правильным ответом только что решенного задания и называют ее цвет), ученики поочередно проговаривают алгоритм решения соседу по парте.

Учитель берет один экземпляр самостоятельной работы, по второму экземпляру ученики работают в парах (обсуждают, исправляют), затем ученики сверяют ответы по представленным учителем на экране презентации решениям. Устный контроль. Постановка домашнего задания.



2.3 Тематическое планирование по теме «Квадратные неравенства»

№1.

Тема урока: «Квадратное неравенство».

Цели урока:

ОЦ: Обеспечить усвоение понятия «квадратное неравенство».

ВЦ: Формирование у учащихся навыков самостоятельной работы.

РЦ: Развитие умений анализировать, сравнивать, конкретизировать и делать выводы.

Методы обучения: объяснительно-иллюстративный, частично-поисковый, репродуктивный.

Приемы обучения: использование заранее сделанных записей на доске; выполнение заданий на чтение заданных выражений; придумывание учащимися примеров.

Средства обучения: специально подобранные вопросы и задания учащимся.

Формы контроля: устный контроль; самостоятельная работа учащихся у доски.

Приемы мотивации: предложить решить учащимся задание на новый материал.

Ожидаемы результаты: Дети пытаются решить проблему, но понимают, что не хватает знаний. Дети стараются отвечать на вопросы учителя, стараются решать примеры на узнавание квадратных неравенств, придумывают свои примеры.

№2.

Тема урока: «Квадратное неравенство и его решение».

Цели урока:

ВЦ: формирование у учащихся навыков самостоятельной работы.

РЦ: развивать умение анализировать, сопоставлять и делать выводы.

Методы обучения: объяснительно-иллюстративный, частично-поисковый, репродуктивный.

Приемы обучения: подводящий или побуждающий диалоги, использование заранее сделанных записей на доске, придумывание учащимися примеров.

Средства обучения: специально подобранные вопросы и задания учащимся.

Формы контроля: устный контроль, самостоятельная работа учащихся у доски и в тетрадях.

Приемы мотивации: предложить решить учащимся задание на новый материал.

Ожидаемы результаты: Дети вспоминают, что мы понимаем под квадратным неравенством, говорят о том, что мы называем решением неравенств, пытаются сформулировать способ решения квадратного неравенства.

№3.

Тема урока: «Решение квадратного неравенства с помощью графика квадратичной функции».

Цели урока:

ОЦ: Обеспечить усвоение алгоритма решения квадратного неравенства с помощью графика квадратичной функции.

ВЦ: Формирование у учащихся навыков самостоятельной работы, воспитание сообразительности, воспитание аккуратности.

РЦ: развитие умений анализировать, конкретизировать и делать выводы; развитие памяти через неоднократное повторение.

Методы обучения: объяснительно-иллюстративный, частично-поисковый, репродуктивный.

Приемы обучения: подводящий или побуждающий диалоги, предложение учащимся сформулировать алгоритм, предложение учащимся сравнить новую задачу с решенной.

Средства обучения: интерактивная доска, специально подобранные вопросы и задания учащимся.

Формы контроля: устный контроль, отслеживание грамотности формулирования алгоритма, практическая работа учащихся в тетради.

Приемы мотивации: предложить решить учащимся задание на новый материал.

Ожидаемые результаты: Дети стараются формулировать алгоритм решения квадратного неравенства с помощью графика квадратичной функции, отвечают на вопросы учителя.

№4.

Тема урока: «Метод интервалов».

Цели урока:

ОЦ: Обеспечить усвоение решения квадратных неравенств методом интервалов.

ВЦ: Формирование у учащихся навыков самостоятельной работы, воспитание сообразительности, воспитание аккуратности.

РЦ: Развитие умений анализировать, выделять главное, обобщать, конкретизировать и делать выводы.

Методы обучения: объяснительно-иллюстративный, частично-поисковый, репродуктивный.

Приемы обучения: подводящий диалог, предложение учащимся самостоятельно сформулировать алгоритм решения квадратного неравенства методом интервалов.

Средства обучения: специально подобранные вопросы и задания учащимся.

Формы контроля: устный контроль, письменный контроль.

Приемы мотивации: предложить решить учащимся решить задание на новый материал.

Ожидаемые результаты: Дети стараются формулировать алгоритм решения квадратного неравенства методом интервалов, отвечают на вопросы учителя.

№5.

Тема урока: «Исследование квадратичной функции».

Цели урока:

ОЦ: Обеспечить усвоение теорем, выражающих зависимость знака квадратичной функции от знака коэффициента а и знака D.

ВЦ: Формирование у учащихся навыков самостоятельной работы, воспитание самостоятельности, целеустремленности.

РЦ: Развитие умений анализировать, делать выводы, развивать умение работать с книгой.

Методы обучения: объяснительно-иллюстративный, частично-поисковый, репродуктивный.

Приемы обучения: подводящий диалог, самостоятельная работа учеников у доски.

Средства обучения: специально подобранные вопросы и задания учащимся.

Формы контроля: устный контроль, письменный контроль.

Приемы мотивации: предложить решить учащимся решить задание на новый материал.

Ожидаемые результаты: Дети отвечают на вопросы учителя, работают с учебником.

№6.

Тема урока: «Контрольный урок по теме “Квадратные неравенства”».

Цели урока:

ОЦ: Проверка знаний учащихся.

ВЦ: Формирование у учащихся навыков самостоятельной работы, воспитание сообразительности, воспитание аккуратности.

РЦ: Развитие умений анализировать, выделять главное, обобщать, конкретизировать и делать выводы.

Приемы обучения: самостоятельная работа учеников в тетради.

Средства обучения: специально подобранные вопросы и задания учащимся.

Формы контроля: письменный контроль.

Приемы мотивации: предложить решить учащимся решить задание на пройденный материал.

Ожидаемые результаты: Дети решают контрольную работу.

2.4 Описание методики обучения теме «Квадратные неравенства»

Урок 1: «Квадратное неравенство».

Предмет, класс, количество часов: Алгебра, 8 класс, 1 час.

Тип урока: урок изучения нового.

Цели урока:

ОЦ: Обеспечить усвоение понятия «квадратное неравенство».

ВЦ: Формирование у учащихся навыков самостоятельной работы.

РЦ: Развитие умений анализировать, сравнивать, конкретизировать и делать выводы.

Методы обучения: объяснительно-иллюстративный, частично-поисковый, репродуктивный.

План урока

.        Оргмомент.

.        Актуализация знаний.

.        Введение понятия «квадратное неравенство».

.        Отработка новых знаний.

.        Подведение итогов урока.

.        Постановка домашнего задания.

ХОД УРОКА

1.      Оргмомент.

Ребята, сегодня мы начинаем изучать новую главу «Квадратные неравенства». На сегодняшнем уроке мы с вами постараемся узнать, что же такое квадратное неравенство.

2.      Актуализация знаний.

Для начала давайте вспомним, что вообще мы понимаем под неравенством. (дети говорят, что число а больше числа b, если разность a-b положительна. Число а меньше числа b, если разность a-b отрицательна).

Хорошо. Мы с вами знаем линейные неравенства, которые содержат линейные функции. Скажите, а какую функцию мы называли квадратичной? (Функция , где a,b и c заданные действительные числа, a≠0, х - действительная переменная, называется квадратичной функцией).

Укажите среди записанных на доске функций квадратичную.

; ; ; .

(Квадратичными являются первая и последняя функции. Во втором случае функция является линейной, а в третьем - кубической).

3.      Введение понятия «квадратное неравенство».

Ребята, на доске вы видите записи

, , , ,

, .

Какие из данных неравенств являются линейными?

(Линейными являются неравенства .

Почему вы сделали такие выводы?

(Потому что данные неравенства содержат линейные функции)

Хорошо! Какие еще неравенства вы видите на доске?

(Неравенства .

Молодцы. У нас остались еще два неравенства, которым мы ни как не можем дать названия.

Посмотрите, какие функции стоят в левой части оставшихся неравенств?

(В левой части оставшихся неравенств стоят квадратичные функции).

Правильно! Итак, ребята, если мы с вами вспомним сейчас все, что говорили чуть ранее, какой вывод мы с вами можем сделать? Какие неравенства мы будем называть квадратными?

(Если в левой части неравенства стоит квадратичная функция, то такое неравенство называют квадратным).

Хорошо… Только вы забыли сказать про левую часть неравенства. Что стоит в ней?

(В левой части такого неравенства стоит ноль!)

Молодцы! Значит, если в левой части неравенства стоит квадратный трехчлен, а в правой - нуль, то такое неравенство называют квадратным.

4.      Отработка новых знаний.

Хорошо, ребята, давайте теперь проверим насколько вы усвоили данный материал.

Укажите какие из следующих неравенств являются квадратными:

) ; 2) ; 3);

) ; 5) ; 6) .

(Квадратными неравенствами являются неравенства под цифрами 1), 2) и 5)).

Почему вы сделали такой вывод?

(Т.к. в левой части этих неравенств стоят квадратные трехчлены, а в правой части стоит ноль!).

Хорошо. Давайте теперь вы сами выйдете к доске и приведете примеры квадратных неравенств.

(Ребята по очереди выходят к доске и записывают примеры квадратных неравенств).

Молодцы. Но ведь неравенства могут быть даны не в явном виде. Попробуйте свести к квадратным следующие неравенства:

; ; ;

.

( 1) . Перенесем выражение, стоящее в правой части неравенства, в левую часть данного неравенства. При этом поменяем знаки: . Данное неравенство является квадратным, т.к. удовлетворяет нашему определению.

). Поступим так же, как и в предыдущем примере: . Данное неравенство так же является квадратным.

) . Перенесем квадратный трехчлен из правой части неравенства в левую: . Приведем подобные: . Данное неравенство является квадратным.

) . Так же переносим выражение, стоящее в правой части неравенства, в левую: . Раскроем скобки и приведем подобные: ; . Данное неравенство является квадратным.)

5.      Подведение итогов урока.

Итак, давайте подведем итоги.

С каким новым понятием мы сегодня познакомились?

(С понятием квадратного неравенства).

Какое неравенство мы с вами называем квадратным?

(Если в левой части неравенства стоит квадратный трехчлен, а в правой - нуль, то такое неравенство называют квадратным).

6.      Постановка домашнего задания.

Почитайте §40, стр 174. Определение наизусть.

№649, 650.

Урок 2: «Квадратное неравенство и его решение».

Предмет, класс, количество часов: Алгебра, 8 класс, 1 час.

Тип урока: урок повторения и изучения нового.

Цели:

ОЦ: обеспечить усвоение способа решения квадратного неравенства.

ВЦ: формирование у учащихся навыков самостоятельной работы.

РЦ: развивать умение анализировать, сопоставлять и делать выводы.

Методы обучения: объяснительно-иллюстративный, частично-поисковый, репродуктивный.

План урока

.        Оргмомент.

.        Актуализация знаний.

.        Введение решения квадратного неравенства.

.        Отработка новых знаний.

.        Подведение итогов.

.        Постановка домашнего задания.

ХОД УРОКА

1.      Оргмомент.

Ребята, мы продолжаем изучать квадратные неравенства. На сегодняшнем уроке мы вспомним, что называют решением неравенства и научимся решать квадратные неравенства.

2.      Актуализация знаний.

На прошлом занятии мы с вами познакомились с понятием квадратного неравенства. Давайте вспомним, какое неравенство мы называли квадратным!

(Если в левой части неравенства стоит квадратный трехчлен, а в правой - нуль, то такое неравенство называют квадратным).

Хорошо, ребята! Давайте несколько человек выйдут к доске и приведут примеры квадратных неравенств. Причем сделаем это таким образом, что бы ни одно неравенство не было похоже на другое!

(Ученики выходят к доске и пишут примеры неравенств).

Молодцы!

Мы с вами знаем, что неравенства имеют решения! Вспомните, что мы понимали под решением неравенства с одним неизвестным?

(Решением неравенства с одним неизвестным называется то значение неизвестного, при котором это неравенство обращается в верное числовое неравенство).

А решить неравенство значит…

(Значит найти все его решения или установить, что их нет).

3.      Введение решения квадратного неравенства.

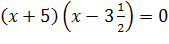
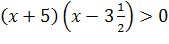
Давайте рассмотрим неравенство .

Квадратное неравенство  имеет два различных корня . Следовательно, квадратный трехчлен  можно разложить на множители:

.

Поэтому данное неравенство можно записать так:

>0.

В каком случае произведение двух множителей положительно?

(Произведение двух множителей положительно, если они имеют одинаковые знаки).

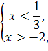
) Рассмотрим случай, когда оба множителя положительны, т.е.  и . Эти два неравенства образуют систему:

.

Давайте, кто-нибудь выйдет к доске и решит данную систему.

(Решая систему, получаем , откуда  ).

Итак, значит все числа являются решениями неравенства

>0.

) Рассмотрим теперь случай, когда оба множителя отрицательны.

Ребята, попробуйте самостоятельно в тетрадях найти решение неравенства >0 в данном случае.

(Получаем систему . Решая данную систему, получаем , откуда ).

Хорошо! Итак, все числа  также являются решениями неравенства >0. Таким образом, решениями неравенства >0, а значит, и исходного неравенства  являются числа , а также числа .

Теперь, ребята, скажите, что же нам нужно сделать для того, что бы решить квадратное неравенство  или ?

(Можно найти корни квадратного трехчлена  и разложить его на множители. Затем решать систему уже не квадратных, а линейных неравенств).

Правильно! Т.е., если квадратное уравнение  имеет два различных корня, то решение квадратных неравенств  и  можно свести к решению системы неравенств первой степени, разложив левую часть квадратного неравенства на множители.

4.      Отработка новых знаний.

Давайте для начала поработаем устно!

На доске вы видите три числа: 0; -1; 2. И четыре неравенства:

) ; 2) ;

) ; 4) .

Задание: какие из данных чисел являются решениями этих неравенств?

Для начала, скажите, что нужно сделать, что бы понять является число решением этого неравенства или нет?

(Для этого нужно подставить это число в неравенство вместо переменной x и посмотреть обращается ли это неравенство в верное числовое неравенство). Правильно! Теперь давайте выполним наше задание.

(Решениями первого неравенства являются числа 0 и 2, т.к. при их подстановке в неравенство, получаются, соответственно, верные числовые неравенства 2>0 и 12>0. А при подстановке -1, числовое неравенство 0>0 не является верным.

Решениями второго неравенства являются числа 0 и 2, т.к. при их подстановке в неравенство, получаются, соответственно, верные числовые неравенства  и . А при подстановке -1, числовое неравенство  не является верным.

Решениями третьего неравенства являются все числа 0, -1 и 2, т.к. при их подстановке в неравенство, получаются, соответственно, верные числовые неравенства ,  и .

Решениями четвертого неравенства являются числа -1 и 2, т.к. при их подстановке в неравенство, получаются, соответственно, верные числовые неравенства  и . А при подстановке 0, числовое неравенство  не верно).

Молодцы ребята! Все правильно. Теперь поработаем у доски. Давайте попробуем решить неравенства:

; ;

; .

( 1)

Произведение двух множителей положительно, если они имеют одинаковые знаки.

Рассмотрим случай, когда оба множителя положительны, т.е.  и . Эти два неравенства образуют систему: . Решая данную систему, получаем , откуда .

Рассмотрим теперь случай, когда оба множителя отрицательны, т.е.  и . Эти два неравенства образуют систему , решая которую, мы получаем , откуда .

Таким образом, решениями неравенства  являются числа , а также числа .

)

Произведение двух множителей отрицательно, если эти множители имеют противоположные знаки.

Получаем две системы:

 и

Решением первой системы являются числа .

Вторая система решений не имеет.

Таким образом, решением неравенства  являются числа .

3)

Произведение двух множителей отрицательно, если эти множители имеют противоположные знаки.

Получаем две системы:

 и

Решением первой системы являются числа .

Вторая система решений не имеет.

Таким образом, решением неравенства  являются числа .

)

Произведение двух множителей положительно, если они имеют одинаковые знаки.

Получаем две системы:

 и

Решением первой системы являются числа .

Решением второй системы являются числа .

Таким образом, решением неравенства  являются числа , а также числа ).

Молодцы, ребята! Вы очень хорошо поработали у доски.

5.      Подведение итогов.

На сегодняшнем уроке мы с вами вспомнили определение квадратного неравенства. Вспомнили, что мы называем решением неравенств и что значит решить неравенство.

Так же сегодня мы рассмотрели решение квадратных неравенств и сказали, что, если квадратное уравнение  имеет два различных корня, то решение квадратных неравенств  и  можно свести к решению системы неравенств первой степени, разложив левую часть квадратного неравенства на множители.

6.      Постановка домашнего задания.

§ 40, стр. 174-176.

№ 653 (1,4); №654.

Урок 3: «Решение квадратного неравенства с помощью графика квадратичной функции»

Предмет, класс, количество часов: Алгебра, 8 класс, 1 час.

Тип урока: урок изучения нового.

Цели:

ОЦ: Обеспечить усвоение алгоритма решения квадратного неравенства с помощью графика квадратичной функции.

ВЦ: Формирование у учащихся навыков самостоятельной работы, воспитание сообразительности, воспитание аккуратности.

РЦ: развитие умений анализировать, конкретизировать и делать выводы; развитие памяти через неоднократное повторение.

Методы обучения: объяснительно-иллюстративный, частично-поисковый, репродуктивный.

План урока

.        Оргмомент.

.        Проверка домашнего задания.

.        Актуализация знаний.

.        Введение алгоритма решения квадратного неравенства с помощью графика квадратичной функции.

.        Отработка новых знаний.

.        Подведение итогов.

.        Постановка домашнего задания.

ХОД УРОКА

1.      Оргмомент.

Сегодня мы продолжаем изучать главу «Квадратные неравенства». На сегодняшнем уроке мы познакомимся с алгоритмом решения квадратного неравенства с помощью графика квадратичной функции и постараемся решить несколько задач.

2.      Проверка домашнего задания.

Для начала давайте посмотрим что было задано вам на дом и проверим как вы справились с заданием.

(На дом был задан § 40 и № 653 (1,4); №654).

Откройте тетрадки, я пройду, посмотрю ваши решения.

3.      Актуализация знаний.

Что значит решить неравенство?

(Решить квадратное неравенство - это значит найти множество всех х, для которых данное неравенство выполняется или доказать, что таких х нет).

Какие ответы могут получиться при решении квадратного неравенства?

(При решении квадратного неравенства могут быть четыре случая:

) Решений может не быть, 2) решением может быть вся числовая ось, 3) решением является объединение промежутков, содержащих знаки бесконечности, 4) решением может быть числовой промежуток.)

В чем «проявляется» каждый коэффициент квадратичной функции на ее графике?

(Коэффициент а влияет на направление ветвей параболы; коэффициент с показывает на то, пересекает ли график ось Оу; коэффициенты а и b участвуют в вычислении вершины; так же все коэффициенты участвуют в вычислении дискриминанта, который влияет на наличие корней).

Ребята, на доске вы видите четыре чертежа.

Докажите, что на чертеже изображено решение данного неравенства.

   

(Учащиеся выходят к доске и, рассматривая каждое неравенство, доказывают, что на графике изображено его решение.

Так, на графике 1 изображено решение неравенства . Т.к. старший коэффициент а=2>0 => ветви параболы направлены вверх. Дискриминант больше нуля, следовательно, существует два корня - две точки пересечения с осью Ох.

На графике 2 изображено решение неравенства . Т.к. дискриминант меньше нуля, следовательно, пересечения графика с осью Ох нет. Старший коэффициент а=2>0, следовательно, ветви параболы направлены вверх.

На графике 3 изображено решение неравенства . Т.к. старший коэффициент а=-1<0, следовательно, ветви параболы направлены вниз. Дискриминант больше нуля, следовательно, уравнение имеет два корня - две точки пересечения графика с осью Ох.

На графике 4 изображено решение неравенства . Старший коэффициент а =1>0, следовательно, ветви параболы направлены вверх. Дискриминант равен нулю, следовательно одна точка пересечения графика с осью Ох).

Молодцы, ребята!

4.      Введение алгоритма решения квадратного неравенства с помощью графика квадратичной функции

Давайте рассмотрим несколько примеров.

. Решить неравенство .

Найдем дискриминант этого квадратного трехчлена. Имеем

, т.е. пересечения графика с осью Ох нет.

Старший коэффициент трехчлена (число 2) положителен, следовательно, ветви параболы направлены вверх.

Схематически график уравнения  имеет вид:


Мы видим, что весь график данной функции лежит выше оси Ох, т.е. все значения положительны. Следовательно, неравенство  имеет решение на всей числовой прямой (-∞, +∞).

Рассмотрим второй случай:

Пусть требуется решить неравенство .

Найдем дискриминант квадратного трехчлена. Имеем  т.е. пересечения графика с осью Ох нет. Старший коэффициент трехчлена (число -1) отрицателен, т.е. ветви параболы направлены вниз.

Схематически график уравнения  имеет вид:


Мы видим, что график данной функции лежит ниже оси Ох, т.е. все значения отрицательны. Следовательно, неравенство  не выполняется ни при каком значении х, т.е. неравенство не имеет решений.

Теперь давайте попробуем сформулировать алгоритм решения квадратного неравенства с помощью графика квадратичной функции.

(Ученики пытаются сформулировать алгоритм, делая опору на решенные примеры).

Хорошо ребята, давайте теперь все вместе проговорим этот алгоритм:

. Найти корни квадратного трехчлена ax2+bx+c.

. Найти знак старшего коэффициента и с учетом этого определить направление ветвей параболы.

. Построить схематический график трехчлена.

. С помощью полученной геометрической модели определить, на каких промежутках оси х ординаты графика положительны (отрицательны); включить эти промежутки в ответ.

Хорошо! Теперь по цепочке, каждый из вас будет проговаривать этот алгоритм по шагам!

5.      Отработка новых знаний.

Давайте посмотрим, насколько хорошо вы усвоили данный алгоритм.

На доске вы видите 4 графика и 5 неравенств.


Перерисуйте аккуратно графики к себе в тетрадь и установите соответствие между графиками данных функций и функциями, входящими в данное неравенство. Укажите решение.

(Учащиеся выходят к доске и сначала сопоставляют графики и вид неравенств, затем отмечают на графиках решение данных неравенств).

Молодцы! Теперь кто-нибудь из вас выйдет к доске и решит неравенство , записывая каждый шаг алгоритма.

(Учащиеся выходят к доске. Обращают внимание на то, что квадратное неравенство является неполным. Разбирают с учителем как решить эту проблемы. Затем, следуя алгоритму, расписывают свои действия по шагам).

6.      Подведение итогов.

На сегодняшнем уроке мы с вами разобрали алгоритм решения квадратного неравенства с помощью графика квадратичной функции и применили его на практике.

7.      Постановка домашнего задания.

§41, стр.178-180.

№660, №661, №665 (устно).

Урок 4: «Метод интервалов»

Предмет, класс, количество часов: Алгебра, 8 класс, 1 час.

Тип урока: урок изучения нового.

Цели:

ОЦ: Обеспечить усвоение решения квадратных неравенств методом интервалов.

ВЦ: Формирование у учащихся навыков самостоятельной работы, воспитание сообразительности, воспитание аккуратности.

РЦ: Развитие умений анализировать, выделять главное, обобщать, конкретизировать и делать выводы.

Методы обучения: объяснительно-иллюстративный, частично-поисковый, репродуктивный.

План урока

.        Оргмомент.

.        Актуализация знаний.

.        Введение метода интервалов при решении квадратных неравенств.

.        Отработка новых знаний.

.        Подведение итогов.

.        Постановка домашнего задания.

ХОД УРОКА

1.      Оргмомент.

На прошлом занятии мы с вами познакомились с алгоритмом решения квадратного неравенства с помощью графика квадратичной функции. Сегодня мы узнаем метод, которым также часто применяется при решении неравенств. Этот метод называется методом интервалов.

2.      Актуализация знаний.

Ребята, давайте вспомним, что мы называем корнем квадратного уравнения?

(Корнем квадратного уравнения называют всякое значение переменной х, при котором квадратный трехчлен ах2 + bx + c = 0 обращается в нуль).

Хорошо, а что значит решить квадратное уравнение?

(Значит найти все его корни или установить, что их нет).

Правильно. Ребята, а что мы понимаем под интервалом?

(Интервалом называется множество чисел или точек на прямой, заключающихся между двумя данными числами или точками a и b).

3.      Введение метода интервалов при решении квадратных неравенств.

Давайте решим следующую задачу: Выяснить, при каких значениях x, квадратный трехчлен  принимает положительные значения, а при каких - отрицательные.

Для начала найдем корни уравнения .

Корнями являются числа , . Поэтому можно записать .

Точки   разбивают числовую ось на три промежутка: ,  и :



Двигаясь вдоль числовой оси справа налево, видим, что на интервале  трехчлен  принимает положительные значения, так как в этом случае оба множителя  и  положительны.

На следующем интервале  этот трехчлен принимает отрицательные значения и на интервале  снова положительные значения:



Из рисунка видим, что  при  и , а  при .

Рассмотренный способ называется методом интервалов решения квадратного неравенства.

Давайте теперь вместе попробуем сформулировать алгоритм решения квадратного неравенства методом интервалов!

(Учащиеся пытаются формулировать алгоритм, опираясь на рассмотренный пример. Учитель поправляет их:

) Найти корни квадратного трехчлена;

) Отметить данные корни на числовой оси;

) Определить знак квадратного трехчлена на каждом из полученных интервалов;

) Выбрать требуемые промежутки и записать ответ).

4.      Отработка новых знаний.

Давайте теперь посмотрим насколько хорошо вы усвоили метод интервалов.

Немного поработаем у доски.

Задание: Решить методом интервалов неравенства:

; ;

; .

(Ученики работают у доски, проговаривая каждый шаг алгоритма вслух).

Молодцы! Теперь поработайте самостоятельно! На доске вы видите два неравенства, которые требуется решить в тетрадке методом интервалов. Будьте аккуратны при выполнении задания!

.

(Учащиеся выполняют задание самостоятельно в тетрадках. Затем учитель записывает решение на доске, и ученики сверяются с верным решением).

5.      Подведение итогов.

На сегодняшнем уроке мы познакомились с вами с новым методом решения квадратных неравенств - методом интервалов. Вместе с вами составили алгоритм решения квадратных неравенств методом интервалов и применили его на практике.

6.      Постановка домашнего задания.

Урок 5: «Исследование квадратичной функции»

Предмет, класс, количество часов: Алгебра, 8 класс, 1 час.

Тип урока: урок изучения нового.

Цели:

ОЦ: Обеспечить усвоение теорем, выражающих зависимость знака квадратичной функции от знака коэффициента а и знака D.

ВЦ: Формирование у учащихся навыков самостоятельной работы, воспитание сообразительности, воспитание аккуратности.

РЦ: Развитие умений анализировать, выделять главное, обобщать, конкретизировать и делать выводы.

Методы обучения: объяснительно-иллюстративный, частично-поисковый, репродуктивный.

Ход урока

.        Оргмомент.

.        Актуализация знаний.

.        Введение теоремы 1 и ее доказательства.

.        Отработка теоремы 1 на примерах.

.        Введение теоремы 2 и теоремы 3.

.        Отработка теоремы 2 и теоремы 3 на примерах.

.        Подведение итогов.

.        Постановка домашнего задания.

ХОД УРОКА

1.      Оргмомент.

На сегодняшнем уроке мы завершим с вами изучение главы «Квадратные неравенства». Рассмотрим три теоремы, которые выражают зависимость знака квадратичной функции от знаков коэффициента а и дискриминанта D.

2.      Актуализация знаний.

Ребята, давайте вспомним, какой формулой задается квадратичная функция. (квадратичная функция - это функция, заданная формулой

,

где a, b, c - заданные действительные числа, причем a≠0, x - действительная переменная).

Что является графиком квадратичной функции?

(Графиком квадратичной функции является парабола).

По каким формулам мы находим вершину параболы, являющейся графиком квадратичной функции? (Вершина параболы  находится по формулам:

, ).

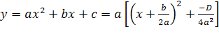
Хорошо. А что мы называем дискриминантом? (Дискриминантом называется выражение

).

Тогда, с учетом вышесказанного, как можно переписать квадратичную функцию ? (Мы можем задать эту функцию следующей формулой:

).

3.      Введение теоремы 1 и ее доказательства.

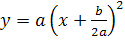
Теорема 1: Если D<0, то при всех действительных значениях х знак квадратичной функции  совпадает со знаком числа а.

Доказательство: Воспользуемся следующей формулой:

.

Выражение в квадратных скобках является положительным при всех действительных значениях х, так как , , . Поэтому при D<0 знак квадратичной функции  совпадает со знаком числа а при всех значениях x.

4.      Отработка теоремы 1 на примерах.

1) Пусть у квадратного уравнения  дискриминант D<0. Как будет расположен график этого трехчлена в зависимости от знака коэффициента а?

(При a>0 вершина параболы лежит выше оси Ох, так как ее ордината , ветви параболы направлены вверх и вся парабола лежит выше оси Ох.

При a<0 вершина параболы лежит ниже оси Ох, ветви параболы направлены вниз и вся парабола лежит ниже оси Ох).

) При каких значениях p вся парабола  лежит выше оси Ох?

(Данная парабола лежит выше оси Ох, если p>0 и . Дискриминант  только при p<4, так как p>0.

Ответ: 0<p<4).

5.      Введение теоремы 2 и теоремы 3.

Также существуют еще две теоремы, описывающие зависимость знака квадратичной функции от знаков коэффициента а и дискриминанта D. Мы рассмотри их без доказательства. А доказательство вы разберете дома самостоятельно в учебнике.

Теорема 2: Если D=0, то при всех действительных значениях х, кроме , знак квадратичной функции  совпадает со знаком числа а; при  значение квадратичной функции равно нулю.

Теорема 3: Если D>0, то знак квадратичной функции  совпадает со знаком числа а для всех х, лежащих вне отрезка [x1,x2], т.е. при x<x1 и при x>x2, где x1<x2 - нули функции; знак квадратичной функции противоположен знаку числа а при x1<x<x2.

6.      Отработка теоремы 2 и теоремы 3 на примерах.

1) Показать, что при  парабола  лежит выше оси Ох, кроме ее вершины, лежащей на оси Ох.

(Так как -2<0, то по теореме 2 дискриминант  должен быть равен нулю. В самом деле, при  дискриминант ).

) При каких значениях p функция  принимает как положительные, так и отрицательные значения?

(По теореме 3 условия задачи означают, что , откуда ).

7.      Подведение итогов.

На сегодняшнем уроке мы рассмотрели три теоремы, показывающие зависимость знака квадратичной функции от знаков коэффициента а и дискриминанта D. Одну теорему мы рассмотрели с доказательством, другие просто рассмотрели на примерах.

8.      Постановка домашнего задания.

§43, стр.186-190. Доказательства теоремы 2 и теоремы 3 посмотреть в учебнике. №683.

Урок 6: «Контрольный урок по теме “Квадратные неравенства”»

Предмет, класс, количество часов: Алгебра, 8 класс, 1 час.

Тип урока: контрольный урок.

Цели:

ОЦ: Проверка знаний учащихся.

ВЦ: Формирование у учащихся навыков самостоятельной работы, воспитание сообразительности, воспитание аккуратности.

РЦ: Развитие умений анализировать, выделять главное, обобщать, конкретизировать и делать выводы.

План урока

.        Оргмомент.

.        Постановка задания.

.        Завершение урока.

ХОД УРОКА

.        Оргмомент.

Ребята, на прошлом занятии мы завершили с вами главу «Квадратные неравенства». Сегодняшний урок будет контрольным по данной теме. Вы напишите контрольную работу, которая покажет, насколько вы усвоили материал пройденной главы.

.        Постановка задания.

Итак, ребята, на доске вы видите задания, которые необходимо решить. Задания разбиты на два варианта, в каждом варианте по 4 заданий. Задание №4 является дополнительным, более сложным.

Каждый решает свой вариант!

На контрольную работу вам дается целый урок.

.        Завершение урока.

Итак, ребятки, время вышло. Прошу вас положить тетради на край стола, я пройду и соберу их.

2.5 Методика обучения решению типовых задач

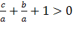
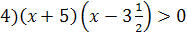
№1. Решить неравенство .

Решение: Чтобы удобнее проводить вычисления, представим данное неравенство в виде квадратного неравенства с положительным первым коэффициентом. Для этого умножим обе его части на -1: .

Хорошо, ребята. Что теперь нам нужно сделать, чтобы решить это неравенство?

(Необходимо найти корни квадратного уравнения и разложить квадратный трехчлен на множители).

Правильно, найдем корни уравнения :

,

.

Разложив квадратный трехчлен на множители, получим:

.

Хорошо. Какой шаг будет следующим?

(Далее, мы знаем, что произведение двух множителей отрицательно, если эти множители имеют противоположные знаки. Поэтому мы можем составить две системы неравенств).

Правильно, получаем две системы:

(Далее необходимо решить каждую из систем).

Первую систему можно записать так:

откуда видно, что она не имеет решений.

Решая вторую систему, находим:

откуда .

(Теперь мы можем записать решение исходного неравенства).

Отсюда следует, что решениями неравенства , т.е. неравенства , являются все числа интервала .

№2. Построить график функции . По графику найти все значения х, при которых функция принимает положительные значения.

Решение: Ребята, скажите, какая функция представлена на доске?

(На доске представлена квадратичная функция).

Хорошо. Что является графиком квадратичной функции?

(Графиком квадратичной функции является парабола).

Что первым делом необходимо сделать для того, чтобы построить параболу?

(Необходимо определить координаты ее вершины).

По какой формуле?

(Вершина параболы вычисляется по формулам

, ).

Хорошо. Найдем вершину нашей параболы:

,

Таким образом, вершина параболы имеет координаты .

Что делаем теперь?

(Теперь необходимо найти нули функции, приравняв квадратный трехчлен к нулю).

,

Следовательно, уравнение не имеет решений и точек пересечения с осью Ох у параболы нет.

Построим параболу по точкам:

x=1, y=3; x=, y=3









Хорошо. Половину задания мы с вами выполнили - построили график функции. Теперь давайте те значения х, при которых функция принимает положительные значения.

(Функция принимает положительные значения на всей числовой оси).

Почему вы сделали такой вывод?

(Потому что весь график функции лежит выше оси Ох).

№3. Найти условия, при которых квадратное уравнение  имеет два корня, большие единицы.

Решение: Для начала запишем формулу корней квадратного уравнения:

.

Из данной формулы следует, что корни действительны, если .

Рассмотрим числа . Они положительны только тогда, когда их сумма и произведение положительны, т.е. ,

. Откуда мы имеем,

, .

Используя теорему Виета, получаем , .

Но, если , , то , .

Ответ: , , .

№4. Найти все значения х, при которых функция  принимает значения, не большие нуля.

Решение: Ребята, каким образом мы будем решать данную задачу?

(Нам необходимо построить график данной функции).

Правильно!

Давайте кто-нибудь из вас выйдет к доске и построит график данной функции.

(Один из учеников выходит к доске. Остальные помогают ему с места).

Находим вершину параболы:

, .

Таким образом, вершина параболы имеет координаты (1,0).

Находим нули функции:

,

Получаем, что .

Какой вывод мы можем сделать, если посмотрим на вершину параболы и на нуль функции?

(Нуль функции совпадает с вершиной параболы).

Возьмем две симметричные точки, относительно оси параболы.

.

Строим параболу.











Хорошо. Половину задания мы выполнили. Теперь мы должны найти те значения х, при которых выполнялось бы .

Какие это значения?

(Это значение х=1. Т.к. в остальных случаях функция принимает только положительные значения).

№5. Найти условия, при которых квадратный трехчлен  является полным квадратом.

Решение: По формуле

 

трехчлен  является полным квадратом, если дискриминант  и A>0. В данном случае A=1>0, , откуда

,

,

,

, .

Это означает, что или , или .

Найденные условия можно было также получить из равенства , рассматривая его как квадратное уравнение относительно а:

,

.

№6. Используя график функции , указать, при каких значениях х эта функция принимает положительные значения; отрицательные значения; значение, равное нулю.










Функция принимает положительные значения на промежутке . Т.к. на этом промежутке график функции лежит выше оси Ох.

Функция принимает отрицательные значения на промежутках , . Т.к. именно здесь график функции лежит ниже оси Ох.

В точках  функция принимает значение, равное нулю. Т.к. эти точки являются нулями данной функции.

Молодцы, ребята!

2.6 Описание приложения

Приложение состоит из приложения №1 «Разработка урока с использованием интерактивной доски interwrite на тему “Решение квадратных неравенств”» и приложения №2 «Контрольная работа по теме “Квадратные неравенства”».

Приложение №1 содержит урок с использованием интерактивной доски interwrite по теме «Решение квадратных неравенств». Данная тема выбрана мной, потому что имеется возможность наглядно продемонстрировать применение алгоритма решения квадратного неравенства с помощью графика квадратичной функции.

Приложение №2 содержит контрольную работу для учеников 8 класса по теме «Квадратные неравенства», решение 1 варианта данной контрольной работы и критерии ее оценивания.

Заключение

Целью данной работы было разработать методику обучения учащихся теме «Квадратные неравенства».

В первой главе я рассмотрела логико-математический анализ содержания темы, включающий в себя анализ представления темы в трех различных учебниках, анализ дидактической единицы темы, общий анализ содержания теоретического содержания темы по учебнику Алимова Ш.А., анализ задачного материала.

Анализ понятийного аппарата показал, что в теме имеется только одно понятие, определенное явно. Анализ утверждений темы показал, что все утверждения имеют сложную форму, и все они рассмотрены с доказательствами. Анализ задачного материала темы показал, что все задачи можно условно разделить на семь типов, согласно теоретическому материалу, на усвоение которого они рассчитаны. Большинство задач являются стандартными, но так же имеются задачи и для более глубокого понимания темы.

Вторая глава содержит описание методики обучения учащихся теме «Квадратные неравенства», включающей составленный мной анализ методической литературы по теме, тематическое планирование, описание методики обучения теоретического и задачного материала темы, а также описание приложения.

Также итогами работы является составленная мной контрольная работа по теме «Квадратные неравенства».

Список используемой литературы

1.      Алимов Ш.А. Алгебра: учебник для 8 кл. общеобразоват. учреждений/ Ш.А.Алимов. - 10-е изд. - М.: Просвещение, 2003. - 255с.

.        Антонова Т.И. теория и методика обучения математике: уч.пособие по системе проф.подготовки учителя общеобразоват. учреждений для студентов 3 курса/ Т.И.Антонова. - Хабаровск: Изд-во ХГПУ, 2004. Часть I. - 118с.

.        Мордкович А.Г. Алгебра: задачник для 9 кл. общеобразоват. учреждений/ А.Г.Мордкович. - 4-е изд. - М.:Мнемозина, 2002. - 143с.

.        Мордкович А.Г. Алгебра: учебник для 9 кл. общеобразоват. учреждений/ А.Г.Мордкович. - 4-е изд. - М.:Мнемозина, 2002. - 192с.

.        Никольский С.М. Алгебра: учебник для 9 кл. общеобразоват. учреждений/ С.М.Никольский.-5-е изд.-М.: Просвещение, 2008.- 255с.

Приложения

Приложение №1

Разработка урока с использованием интерактивной доски interwrite на тему «Решение квадратных неравенств»

Алгебра. 8 класс, Мордкович А.Г.: Учеб. для общеобразоват. учреждений. - 3-е изд., доработ. - М.: Мнемозина, 2001.

Разработал: Тачанова Н.А., студент 241 гр.

Проверил: Кармакова Т.С., доцент кафедры математики

Хабаровск, 2010.

I.       Организационный момент

Мы продолжаем изучать большую тему «Квадратные неравенства».

Сегодня на уроке познакомимся с алгоритмом решения квадратных неравенств, научимся решать квадратные неравенства с помощью графика.

Эта тема очень важна для изучения курса математики средней школы.

Умение быстро, рационально и правильно решать квадратные неравенства облегчает прохождение многих тем курса математики. Например, при изучении следующих тем:

решение задач на составление квадратных неравенств; - квадратная функция и её график;

неравенства второй степени с одной переменной; - тригонометрические уравнения и неравенства;

показательные уравнения и неравенства;

логарифмические уравнения и неравенства.

II.      Проверка готовности к уроку.

Давайте для начала повторим все необходимые знания.

) Кросс-опрос.

. Ребята, как определить квадратное неравенство среди записей на доске?

а)  в)

б)  г)

(Ответ: Квадратными являются неравенства под буквами б и в. Под буквой а - линейное неравенство, под буквой г - кубическое).

. Приведите примеры квадратных неравенств и запишите их на доске.


. Что значит решить неравенство?

(Ответ: Решить квадратное неравенство - это значит найти множество всех х, для которых данное неравенство выполняется или доказать, что таких х нет)

. Какие ответы могут получиться при решении квадратного неравенства?

(Ответ: При решении квадратного неравенства могут быть три случая:

.        Решений может не быть

.        Решением может быть вся числовая ось

.        Решением является объединение промежутков, содержащих знаки бесконечности.

.        Решением может быть числовой промежуток.)

.        В чем «проявляется» каждый коэффициент квадратичной функции на ее графике?

(Ответ: Коэффициент а влияет на направление ветвей параболы; коэффициент с показывает на то, пересекает ли график ось Оу; коэффициенты а и b участвуют в вычислении вершины; так же все коэффициенты участвуют в вычислении дискриминанта, который влияет на наличие корней).

III.    Подведение к изучению нового

·        Докажите, что на чертеже изображено решение данного неравенства.

Учащиеся выходят к доске и, рассматривая каждое неравенство, доказывают, что на графике изображено его решение.

Так, на графике 1 изображено решение неравенства . Т.к. старший коэффициент а=2>0 => ветви параболы направлены вверх. Дискриминант больше нуля, следовательно, существует два корня - две точки пересечения с осью Ох.

На графике 2 изображено решение неравенства . Т.к. дискриминант меньше нуля, следовательно, пересечения графика с осью Ох нет. Старший коэффициент а=2>0, следовательно, ветви параболы направлены вверх.

На графике 3 изображено решение неравенства . Т.к. старший коэффициент а=-1<0, следовательно, ветви параболы направлены вниз. Дискриминант больше нуля, следовательно, уравнение имеет два корня - две точки пересечения графика с осью Ох.

На графике 4 изображено решение неравенства . Старший коэффициент а =1>0, следовательно, ветви параболы направлены вверх. Дискриминант равен нулю, следовательно одна точка пересечения графика с осью Ох.


·        Найдите решение неравенств на графиках.

Учащиеся выходят к доске и самостоятельно указывают промежутки, которые будут являться решениями данных неравенств.

IV.    Введение нового


Итак, ребята, возникает вопрос: как же все таки нам решать квадратные неравенства?

Давайте рассмотрим несколько примеров.

.        Решить неравенство .

Найдем дискриминант этого квадратного трехчлена. Имеем , т.е. пересечения графика с осью Ох нет. Старший коэффициент трехчлена (число 2) положителен, следовательно, ветви параболы направлены вверх.

Схематически график уравнения  имеет вид:


Мы видим, что весь график данной функции лежит выше оси Ох, т.е. все значения положительны. Следовательно, неравенство  имеет решение на всей числовой прямой (-∞, +∞).


Рассмотрим второй случай:

.        Пусть требуется решить неравенство .

Найдем дискриминант квадратного трехчлена. Имеем  т.е. пересечения графика с осью Ох нет. Старший коэффициент трехчлена (число -1) отрицателен, т.е. ветви параболы направлены вниз.

Схематически график уравнения  имеет вид:


Мы видим, что график данной функции лежит ниже оси Ох, т.е. все значения отрицательны. Следовательно, неравенство  не выполняется ни при каком значении х, т.е. неравенство не имеет решений.


Теперь мы с вами можем ответить на поставленный вопрос и сформулировать алгоритм решения квадратного неравенства.

. Найти корни квадратного трехчлена ax2+bx+c.

. Найти знак старшего коэффициента и с учетом этого определить направление ветвей параболы.

. Построить схематический график трехчлена.

. С помощью полученной геометрической модели определить, на каких промежутках оси х ординаты графика положительны (отрицательны); включить эти промежутки в ответ.

V.      Закрепление нового


.        Установите соответствие между графиками данных функций и функциями, входящими в данное неравенство. Укажите решение.

Учащиеся выходят к доске и сначала сопоставляют графики и вид неравенств, затем отмечают на графиках решение данных неравенств


.        Решить неравенство. Записать решение по шагам.

Учащиеся выходят к доске. Обращают внимание на то, что квадратное неравенство является неполным. Разбирают с учителем как решить эту проблемы. Затем, следуя алгоритму, расписывают свои действия по шагам.

.        Самостоятельно решить неравенство.

Ученики самостоятельно решают неравенство. Затем сверяются с преподавателем.

Приложение №2

Решение 1 варианта контрольной работы по теме «Квадратные неравенства»

Задание №1. Решить неравенство:

а) ; б) .

Решение:

а) .

Произведение двух множителей положительно, если они имеют одинаковые знаки.

Рассмотрим случай, когда оба множителя положительны, т.е.  и . Эти два неравенства образуют систему:

.

Решая систему, получаем  , откуда .

Итак, все числа  являются решениями неравенства .

Рассмотрим теперь случай, когда оба множителя отрицательны, т.е.

 и .

Эти два неравенства образуют систему:

.

Решая систему, получаем , откуда .

Итак, все числа  также являются решениями неравенства .

Ответ: , .

б) .

Произведение двух множителей отрицательно, если множители имеют разные знаки. Отсюда получаем две системы:

 и

Первую систему можно записать так:

,

откуда видно, что она не имеет решений.

Решая вторую систему, находим:

,

откуда .

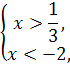
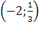
Отсюда следует, что решениями неравенства  являются все числа интервала .

Ответ: .

Задание №2. Решить квадратное неравенство с помощью графика квадратичной функции:

а) ; б) .

Решение:

а) ;

Построим эскиз графика функции .

Ветви этой параболы направлены вверх, т.к. старший коэффициент a=1>0.

Уравнение  имеет два корня , , поэтому парабола касается оси Ох в точках (1,0) и (2,0). Строим эскиз графика:










Для решения данного неравенства необходимо установить, при каких значениях х значения функции не положительны.

Таки образом, неравенству  удовлетворяют те значения х, при которых точки параболы пересекают ось Ох, а также лежат ниже этой оси. Из рисунка видно, что такими являются числа, заключенные в отрезке [1,2].

Ответ: .

б).

Построим эскиз графика функции.

Ветви этой параболы направлены вниз, т.к. старший коэффициент а=-1<0.

Найдем корни уравнения . Корнями являются числа , . Следовательно, график пересекает ось Ох в точках (-1,0) и (4,0). Строим эскиз графика:









Для решения данного неравенства необходимо установить, при каких значениях х значения функции положительны.

Таким образом, неравенству  удовлетворяют те значения х, при которых парабола лежит выше оси Ох. Из рисунка видно, что такими являются числа, лежащие в интервале (-1,4).

Ответ: .

Задание №3: Решить неравенство методом интервалов:

а) ; б) .

Решение:

а) ;

Найдем корни уравнения :

, .

Данные точки разбивают числовую ось на три промежутка: ,

, :



Двигаясь, справа налево, определяем знаки функции на каждом промежутке:




Из рисунка видно, что  при  и .

Ответ: , .

б) .

Найдем корни уравнения :

, .

Данные точки разбивают числовую ось на три промежутка: ,

, :




Двигаясь, справа налево, определяем знаки функции на каждом промежутке:




Из рисунка видно, что  при и .

Ответ: , .

Задание №4: При каких значениях p вся парабола  лежит выше оси Ох?

Данная парабола лежит выше оси Ох, если  и . Дискриминант  только при , так как .

Ответ: .

Критерии оценивания контрольной работы

При выполнении двух заданий из №1-№3 - оценка 3.

При выполнении трех заданий из №1-№3 - оценка 4.

При выполнении двух заданий из №1-№3 и задания №4 - оценка 4.

При выполнении всех четырех заданий - оценка 5.

Похожие работы на - Логико-математический исследование учебного материала темы 'Квадратные неравенства'

 

Не нашли материал для своей работы?
Поможем написать уникальную работу
Без плагиата!
Без нейросетей!