Моделирование алгоритма оценки вероятного ущерба от несанкционированного доступа злоумышленника к конфиденциальной информации
Введение
Каждый этап развития человечества характеризуется какими-то присущими ему
особенностями. Так современный век смело можно назвать информационным. Нас
окружает большое количество информации различного характера и применения, не
вся эта информация предназначена для широкого доступа.
По режиму доступа информация делится на открытую и с ограниченным
доступом. В свою очередь информация с ограниченным доступом делится на
конфиденциальную и секретную. Под конфиденциальной информацией понимаются
сведения, находящиеся в собственности, использовании или в распоряжении
отдельных физических или юридических лиц и распространяются по их желанию в
соответствии с предусмотренными ими условиями.
По содержанию конфиденциальная информация может иметь профессиональный,
деловой, производственный, банковский, коммерческий, персональный и иной
характер.
Практически в любой сфере жизни человека существует информация, не
предназначенная для широкого ознакомления. В настоящее время существует
множество методов позволяющих существенно снизить возможность доступа
злоумышленников к конфиденциальной информации. Все они в идеале призваны
обеспечить полную защиту сведений, но на практике не существует способа,
который бы давал 100% защиту от действий злоумышленников. Поэтому, наряду с
методами защиты информации, также разрабатываются методы оценки величины ущерба
от её утечки, методы оценки риска утечки конфиденциальной информации, методы
оценки вероятности осуществления угроз конфиденциальной информации и д.р. Все
эти направления необходимы для полного анализа проблемы защиты информации.
Среди них особо следует выделить методы оценки ущерба.
Актуальность исследований в данном направлении состоит в том, что
разрабатываемые методы позволяют определить как потери, которые может понести
владелец конфиденциальной информации, так и выявить и описать возможные пути
реализации угроз. Помимо вышеописанных свойств этих методов, они также
используются для обоснования затрат, которые производятся для создания систем
защиты. Так, например, экономически не выгодно тратиться на систему защиты,
которая по затратам больше, чем цена защищаемой информации. Данной проблемой
занимается много специалистов по защите информации. Кроме того, в современных
системах оценки рисков от утечки конфиденциальных сведений также заложен
аппарат оценки ущерба (например, в системе Гриф).
Таким образом, объектом исследования является процесс
моделирования алгоритма оценки вероятного ущерба от несанкционированного
доступа злоумышленника к конфиденциальной информации на примере
автоматизированной информационной системы.
Предметом исследования стала реализация алгоритма в пакете
прикладных программ Mathcad, в связи с
рядом преимуществ, предоставляемых данным пакетом.
Целью работы является построение математической модели для определения
вероятного ущерба от несанкционированного доступа к конфиденциальной
информации.
Исходя из поставленной цели, были определены следующие задачи:
1. Рассмотреть основные виды угроз конфиденциальной информации и
провести их классификацию.
. Изучить основные методы оценки ущерба.
3. Определить внешние параметры модели оценки ущерба.
. Построить математическую модель оценки ущерба на основе
проведенных исследований.
Необходимо также отметить, что разработка и исследование новых методов
оценки ущерба от угроз конфиденциальной информации, а также применение
существующих позволяет в значительной степени повышает уровень систем защиты.
Целью дипломной работы является разработка модели оценки ущерба
конфиденциальной информации от внешних угроз. Для достижения поставленной
задачи требуется проанализировать виды угроз конфиденциальной информации,
проанализировать основные методы оценки ущерба, определить внешние параметры
модели оценки ущерба конфиденциальной информации от внешних угроз и построить
модель оценки ущерба конфиденциальной информации от внешних угроз.
Работа состоит из 5 глав.
В первой главе рассматриваются анализ и классификация угроз
конфиденциальной информации, существующих методов оценки ущерба
конфиденциальной информации от внешних угроз.
Во второй главе рассматривается построение математической модели оценки
ущерба от воздействия на конфиденциальную информацию внешних угроз.
В третьей главе рассматривается алгоритм построения математической модели
оценки ущерба конфиденциальной информации от внешних угроз, Реализация
алгоритма построения математической модели оценки ущерба и анализ влияния
входных параметров модели на величину ущерба..
В четвертой главе рассчитывается технико-экономическая эффективность
проекта.
В пятой главе рассматривается безопасность и экологичность проекта.
В заключении даются краткие выводы, сделанные в результате работы.
1. Анализ задачи оценки ущерба конфиденциальной информации
1.1
Классификация угроз конфиденциальной информации
Угроза информационной безопасности - это потенциальная возможность
нарушения режима информационной безопасности. Преднамеренная реализация угрозы
называется атакой на информационную систему. Лица, преднамеренно реализующие
угрозы, являются злоумышленниками.
Чаще всего угроза является следствием наличия уязвимых мест в защите
информационных систем, например, неконтролируемый доступ к персональным
компьютерам или нелицензионное программное обеспечение (к сожалению даже
лицензионное программное обеспечение не лишено уязвимостей).
История развития информационных систем показывает, что новые уязвимые
места появляются постоянно. С такой же регулярностью, но с небольшим
отставанием, появляются и средства защиты.
В этой связи более приемлемым является другой способ - способ упреждающей
защиты, заключающийся в разработке механизмов защиты от возможных,
предполагаемых и потенциальных угроз.
Некоторые угрозы нельзя считать следствием целенаправленных действий
вредного характера. Существуют угрозы, вызванные случайными ошибками или
техногенными явлениями.
Знание возможных угроз информационной безопасности, а также уязвимых мест
системы защиты, необходимо для того, чтобы выбрать наиболее экономичные и
эффективные средства обеспечения безопасности.
Угрозы информационной безопасности классифицируются по нескольким
признакам:
– по составляющим информационной безопасности (доступность,
целостность, конфиденциальность), против которых, в первую очередь, направлены
угрозы;
– по компонентам информационных систем, на которые угрозы нацелены
(данные, программы, аппаратура, персонал);
– по характеру воздействия (случайные или преднамеренные, действия
природного или техногенного характера);
– по расположению источника угроз (внутри или вне рассматриваемой
информационной системы).
Отправной точкой при анализе угроз информационной безопасности является
определение составляющей информационной безопасности, которая может быть
нарушена той или иной угрозой: конфиденциальность, целостность или доступность.
Угрозы, классифицируемые по расположению источника угроз, бывают внутренние
и внешние.
Внешние угрозы исходят также от субъектов, не входящих в
состав пользователей и обслуживающего персонала системы, разработчиков системы,
и не имеющих непосредственного контакта с информационными системами и
ресурсами.
Внутренние угрозы исходят от пользователей и обслуживающего
персонала системы, разработчиков системы, других субъектов, вовлеченных в
информационные процессы и имеющих непосредственный контакт с информационными
системами и ресурсами, как допущенных, так и не имеющих доступа к информации.
Источниками внешних угроз являются:
– недобросовестные конкуренты;
– преступные группировки и формирования;
– отдельные лица и организации административно-управленческого
аппарата.
Источниками внутренних угроз могут быть:
– администрация предприятия;
– персонал;
– технические средства обеспечения производственной и трудовой
деятельности.
Основная особенность любой вычислительной сети состоит в том, что ее
компоненты распределены в пространстве. Связь между узлами сети осуществляется
физически с помощью сетевых линий и программно с помощью механизма сообщений.
При этом управляющие сообщения и данные, пересылаемые между узлами сети,
передаются в виде пакетов обмена. Особенность данного вида угроз заключается в
том, что местоположение злоумышленника изначально неизвестно.
Каждая угроза влечет за собой определенный ущерб - моральный или
материальный, а защита и противодействие угрозе призвано снизить его величину,
в идеале - полностью, реально - значительно или хотя бы частично. Но и это
удается далеко не всегда.
С учетом этого угрозы конфиденциальной информации могут быть
классифицированы следующим образом (рисунок 1.1):
По величине принесенного ущерба:
– предельный, после которого фирма может стать банкротом;
– значительный, но не приводящий к банкротству;
– незначительный, который фирма за какое-то время может
компенсировать и др.;
По вероятности возникновения:
– весьма вероятная угроза;
– вероятная угроза;
– маловероятная угроза;
По причинам появления:
– стихийные бедствия;
– преднамеренные действия;
По характеру нанесенного ущерба:
– материальный;
– моральный;
По характеру воздействия:
– активные;
– пассивные;
По отношению к объекту:
– внутренние;
– внешние.
По сфере воздействия на информационные ресурсы и системы источник угроз
информационной безопасности можно разделить на внешние и внутренние с точки
зрения их нахождения вне или внутри системы при ее проектировании и
функционировании, а также места приложения возможных способов нарушения
информационной безопасности.
Попытка реализации угрозы называется атакой, а тот, кто предпринимает
такую попытку - злоумышленником. Потенциальные злоумышленники называются
источниками угрозы.
Чаще всего угроза является следствием наличия уязвимых мест в защите
информационных систем (таких, например, как возможность доступа посторонних лиц
к критически важному оборудованию или ошибки в программном обеспечении).
Промежуток времени от момента, когда появляется возможность использовать
слабое место, и до момента, когда пробел ликвидируется, называется окном
опасности, ассоциированным с данным уязвимым местом. Пока существует окно
опасности, возможны успешные атаки на ИС.
Если речь идет об ошибках в ПО, то окно опасности «открывается» с
появлением средств использования ошибки и ликвидируется при наложении заплат,
ее исправляющих.
Для большинства уязвимых мест окно опасности существует сравнительно
долго (несколько дней, иногда - недель), поскольку за это время должны
произойти следующие события:
– должно стать известно о средствах использования пробела в защите;
– должны быть выпущены соответствующие заплаты;
– заплаты должны быть установлены в защищаемой ИС.
Новые уязвимые места и средства их использования появляются постоянно;
это значит, во-первых, что почти всегда существуют окна опасности и, во-вторых,
что отслеживание таких окон должно производиться постоянно, а выпуск и
наложение заплат - как можно более оперативно.
Некоторые угрозы нельзя считать следствием каких-то ошибок или просчетов;
они существуют в силу самой природы современных ИС. Например, угроза отключения
электричества или выхода его параметров за допустимые границы существует в силу
зависимости аппаратного обеспечения ИС от качественного электропитания.
Иметь представление о возможных угрозах, а также об уязвимых местах,
которые эти угрозы обычно эксплуатируют, необходимо для того, чтобы выбирать
наиболее экономичные средства обеспечения безопасности. Слишком много мифов
существует в сфере информационных технологий, поэтому незнание в данном случае
ведет к перерасходу средств и, что еще хуже, к концентрации ресурсов там, где
они не особенно нужны, за счет ослабления действительно уязвимых направлений.
Понятие «угроза» в разных ситуациях зачастую трактуется по-разному.
Например, для подчеркнуто открытой организации угроз конфиденциальности может
просто не существовать - вся информация считается общедоступной; однако в
большинстве случаев нелегальный доступ представляется серьезной опасностью.
Иными словами, угрозы, как и все в ИБ, зависят от интересов субъектов
информационных отношений (и от того, какой ущерб является для них
неприемлемым).
1.2 Анализ
потенциальных угроз конфиденциальной информации
Конфиденциальная информация - информация, не составляющая государственную
тайну, доступ к которой ограничивается в соответствии с законодательством
Российской Федерации.
Конфиденциальная информация, в свою очередь, включает множество видов
тайны, которые сводятся к шести основным видам:
1. Персональные данные.
2. Тайна следствия и судопроизводства.
. Служебная тайна.
. Профессиональная тайна.
. Коммерческая тайна.
. Тайна изобретения, полезной модели и промышленного образца.
Под угрозой, или опасностью, утраты информации понимается единичное или
комплексное, реальное или потенциальное, активное или пассивное проявление
неблагоприятных возможностей внешних или внутренних источников угрозы создавать
критические ситуации, события, оказывать дестабилизирующее воздействие на
защищаемую информацию, документы и базы данных.
Обобщенная
схема потенциальных угроз конфиденциальной информации представлена на рисунке
1.2, где параметр 
характеризует
множество угроз конфиденциальной информации, а параметры 
, 
, …, 
-
определенные угрозы конфиденциальной информации.
Риск
угрозы дестабилизирующего воздействия любым (открытым и ограниченного доступа)
информационным ресурсам создают стихийные бедствия, экстремальные ситуации,
аварии технических средств и линий связи, другие объективные обстоятельства, а
также заинтересованные и незаинтересованные в возникновении угрозы лица. К
угрозам, создаваемым этими лицами, относятся: несанкционированное уничтожение
документов, ускорение угасания (старения) текста или изображения, подмена или
изъятие документов, фальсификация текста или его части и др.
Для
информационных ресурсов ограниченного доступа диапазон угроз, предполагающих
утрату информации (разглашение, утечку) или утерю носителя, значительно шире в
результате того, что к этим документам проявляется повышенный интерес со
стороны различного рода злоумышленников.
Под
злоумышленником понимается лицо, действующее в интересах конкурента, противника
или в личных корыстных интересах (агентов иностранных спецслужб, промышленного
и экономического шпионажа, криминальных структур, отдельных преступных
элементов, лиц, сотрудничающих со злоумышленником, психически больных лиц и т.
п.).
В
отличие от объективного распространения утрата информации влечет за собой
незаконный переход конфиденциальных сведений, документов к субъекту, не
имеющему права владения ими и использования в своих целях.
Основной
угрозой безопасности информационных ресурсов ограниченного распространения
является несанкционированный (незаконный, неразрешенный) доступ злоумышленника
или постороннего лица к документированной информации и как результат -
овладение информацией и противоправное ее использование или совершение иных
дестабилизирующих действий.
Под
посторонним лицом понимается любое лицо, не имеющее непосредственного отношения
к деятельности фирмы (работники других организационных структур, работники
коммунальных служб, экстремальной помощи, прохожие, посетители фирмы), а также
сотрудники данной фирмы, не обладающие правом доступа в определенные помещения,
к конкретному документу, информации, базе данных. Каждое из указанных лиц может
быть злоумышленником или его сообщником, агентом, но может и не быть им.
Целями
и результатами несанкционированного доступа может быть не только овладение
ценными сведениями и их использование, но и их видоизменение, модификация,
уничтожение, фальсификация, подмена и т. п.
Обязательным
условием успешного осуществления попытки несанкционированного доступа к
информационным ресурсам ограниченного доступа является интерес к ним со стороны
конкурентов, определенных лиц, служб и организаций. При отсутствии такого
интереса угроза информации не возникает даже в том случае, если создались
предпосылки для ознакомления с ней постороннего лица. Основным виновником
несанкционированного доступа к информационным ресурсам является, как правило,
персонал, работающий с документами, информацией и базами данных. При этом надо
иметь в виду, что утрата информации происходит в большинстве случаев не в
результате преднамеренных действий злоумышленника, а из-за невнимательности и
безответственности персонала. Следовательно, утрата информационных ресурсов
ограниченного доступа может наступить при:
- наличии интереса конкурента, учреждений, фирм или лиц к конкретной
информации;
- возникновении риска угрозы, организованной злоумышленником,
или при случайно сложившихся обстоятельствах;
- наличии условий, позволяющих злоумышленнику осуществить
необходимые действия и овладеть информацией.
Эти условия могут включать:
- отсутствие системной аналитической и контрольной работы по выявлению и
изучению угроз, каналов и степени риска нарушений безопасности информационных
ресурсов;
- неэффективную систему защиты информации или отсутствие этой
системы, что образует высокую степень уязвимости информации;
- непрофессионально организованную технологию обработки и
хранения конфиденциальных документов;
- неупорядоченный подбор персонала и текучесть кадров, сложный
психологический климат в коллективе;
- отсутствие системы обучения сотрудников правилам защиты
информации ограниченного доступа;
- отсутствие контроля со стороны руководства фирмы за
соблюдением персоналом требований нормативных документов по работе с
информационными ресурсами ограниченного доступа;
- бесконтрольное посещение помещений фирмы посторонними лицами.
Рассмотрение наиболее распространенных угроз, которым подвержены
современные информационные системы дает представление о возможных угрозах, а
также об уязвимых местах, которые эти угрозы обычно эксплуатируют, необходимо
для того, чтобы выбирать наиболее экономичные средства обеспечения
безопасности.
Задание возможных угроз информационной безопасности проводится с целью
определения полного перечня требований к разрабатываемой системе защиты.
Перечень угроз, оценки вероятностей их реализации, а также модель нарушителя
служат основой для анализа риска реализации угроз и формулирования требований к
системе защиты автоматизированной системы (АС). Кроме выявления возможных
угроз, должен быть проведен их анализ на основе классификационных признаков.
1.3
Классификация последствий от воздействия угроз
Наиболее актуальной является классификация по величине ущерба. Эта
классификация является наиболее значимой для данной работы. Каждая угроза
влечет за собой определенный ущерб. Исходя из этого основания, угрозы можно
классифицировать по следующим уровням ущерба:
1. Угрозы, приводящие к предельным уровням ущерба, после которых фирма
может стать банкротом. Являются наиболее серьезными видами ущерба. Величина
затрачиваемых ресурсов злоумышленниками, как правило, пропорциональна
нанесенному ущербу. Из-за большой ресурсоемкости, а также большой сложности
данный вид угроз на практике реализуется не так часто, как остальные виды
угроз. Основу данного типа составляют внешние угрозы.
2. Угрозы, приводящие к значительному уровню ущерба, но не
приводящие к банкротству. Обычно составляет основу для рассмотрения при
составлении систем защиты. Данный вид угроз примерно в одинаковых пропорциях
составляют внутренние и внешние угрозы. При исследовании и составлении
различных моделей часто ориентируются на этот вид угроз.
Угрозы, приводящие к незначительному уровню ущерба, который фирма за
какое-то время может компенсировать. На практике является наиболее часто
встречающимся. Основу данного вида ущерба составляют внутренние угрозы.
Основным фактором при реализации является человеческое звено: действия
персонала, администрации предприятия и т.д.
.4 Анализ
существующих методов оценки ущерба
В настоящее время наряду с увеличением сложности и надежности методов
защиты информации, совершенствуются также методы несанкционированного доступа к
конфиденциальной информации. В результате наносится определенный экономический
ущерб организации, который в ряде случаев может привести к серьезным
последствиям. Для того, чтобы заранее определить возможный ущерб, используются
различные методы анализа. Среди них можно выделить следующие: натурный
эксперимент, полунатурное моделирование, методы математического моделирования и
экспертные методы
Натурный эксперимент. Натурный эксперимент применяется при исследовании,
как правило, внешних угроз, приводящих к существенным уровням риска. Суть
метода заключается в создании полной копии реального объекта защиты, а также
всех его взаимосвязей (внутренних и внешних) с другими объектами некоторой
системы. После завершения подготовительного этапа, на полученной модели
начинается моделирование различных действий злоумышленников по реализации
несанкционированного доступа к объекту защиты. Все результаты моделирования
оформляются документально и подвергаются статистической обработке, на основании
которой выводятся практические рекомендации по обеспечению целостной защиты
информации. Преимуществом данного метода является высокая достоверность
результатов эксперимента, а также возможность в реальном времени и на реальных
системах исследовать поставленную задачу. Недостатком является сложность и
большая стоимость экспериментальных исследований, так как требуется на практике
реализовать несколько десятков одинаковых экспериментов. Таким образом,
применение данного метода является достаточно проблематичным.
Полунатурное моделирование. Полунатурное моделирование позволяет избежать
недостатков, присущих натурным экспериментальным исследованиям. Данный метод
исключает необходимость создания полной копии реального объекта. Суть метода
заключается в замене некоторых частей реальной системы приближенными до
некоторой степени объектами. Обычно на практике при использовании этого метода
заменяют только самые сложные части реального объекта. При этом уменьшается
стоимость экспериментальных исследований и снижается сложность моделирования,
но в результате точность и достоверность полученных сведений также снижается
пропорционально принятым допущениям при создании копии системы. Еще одним
недостатком данного метода можно считать недостаточность решенности проблемы
подобия человеко-машинной системы реальной системе, в результате чего
объективность и достоверность результатов снижается по сравнению с натурным
экспериментом.
Методы математического моделирования. Методы математического
моделирования являются одними из наиболее распространенных при моделировании и
анализе ущерба от несанкционированного доступа к конфиденциальной информации.
Под математическим моделированием будем понимать процесс
установления соответствия данному реальному объекту некоторого математического
объекта, называемого математической моделью, и исследование этой модели,
позволяющее получать характеристики рассматриваемого реального объекта. Вид
математической модели зависит как от природы реального объекта, так и задач
исследования объекта и требуемой достоверности и точности решения этой задачи.
Любая математическая модель, как и всякая другая, описывает реальный объект
лишь с некоторой степенью приближения к действительности. Математическое
моделирование для исследования характеристик процесса функционирования систем
можно разделить на аналитическое, имитационное и комбинированное.
Для аналитического моделирования характерно то, что процессы
функционирования элементов системы записываются в виде некоторых функциональных
соотношений (алгебраических, интегродифференциальных, конечноразностных и т.
п.) или логических условий. Аналитическая модель может быть исследована
следующими методами:
1. Аналитическим, когда стремятся получить в общем виде явные
зависимости для искомых характеристик;
2. Численным, когда, не умея решать уравнений в общем виде,
стремятся получить числовые результаты при конкретных начальных данных;
. Качественным, когда, не имея решения в явном виде, можно найти
некоторые свойства решения (например, оценить устойчивость решения).
Наиболее полное исследование процесса функционирования системы можно
провести, если известны явные зависимости, связывающие искомые характеристики с
начальными условиями, параметрами и переменными системы_S. Однако такие зависимости удается получить только для
сравнительно простых систем. При усложнении систем исследование их
аналитическим методом наталкивается на значительные трудности, которые часто
бывают непреодолимыми. Поэтому, желая использовать аналитический метод, в этом
случае идут на существенное упрощение первоначальной модели, чтобы иметь
возможность изучить хотя бы общие свойства системы. Такое исследование на
упрощенной модели аналитическим методом помогает получить ориентировочные
результаты для определения более точных оценок другими методами. Численный
метод позволяет исследовать по сравнению с аналитическим методом более широкий
класс систем, но при этом полученные решения носят частный характер. Численный
метод особенно эффективен при использовании ЭВМ.
В отдельных случаях исследования системы могут удовлетворить и те выводы,
которые можно сделать при использовании качественного метода анализа
математической модели. Такие качественные методы широко используются, например,
в теории автоматического управления для оценки эффективности различных
вариантов систем управления.
В настоящее время распространены методы машинной реализации исследования
характеристик процесса функционирования больших систем. Для реализации
математической модели на ЭВМ необходимо построить соответствующий моделирующий
алгоритм.
При имитационном моделировании реализующий модель алгоритм
воспроизводит процесс функционирования системы S во времени, причем имитируются элементарные явления,
составляющие процесс, с сохранением их логической структуры и
последовательности протекания во времени, что позволяет по исходным данным
получить сведения о состояниях процесса в определенные моменты времени, дающие
возможность оценить характеристики системы S.
Основным преимуществом имитационного моделирования по сравнению с
аналитическим является возможность решения более сложных задач. Имитационные
модели позволяют достаточно просто учитывать такие факторы как наличие дискретных
и непрерывных элементов, нелинейные характеристики элементов системы,
многочисленные случайные воздействия и др., которые часто создают трудности при
аналитических исследованиях. В настоящее время имитационное моделирование -
наиболее эффективный метод исследования больших систем, а часто и единственный
практически доступный метод получения информации о поведении системы, особенно
на этапе ее проектирования.
Когда результаты, полученные при воспроизведении на имитационной модели
процесса функционирования системы S, являются
реализациями случайных величин и функций, тогда для нахождения характеристик
процесса требуется его многократное воспроизведение с последующей
статистической обработкой информации и целесообразно в качестве метода машинной
реализации имитационной модели использовать метод статистического
моделирования. Первоначально был разработан метод статистических испытаний,
представляющий собой численный метод, который применялся для моделирования
случайных величин и функций, вероятностные характеристики которых совпадали с
решениями аналитических задач (такая процедура получила название метода
Монте-Карло). Затем этот прием стали применять и для машинной имитации с целью
исследования характеристик процессов функционирования систем, подверженных
случайным воздействиям, т. е. появился метод статистического моделирования.
Таким образом, методом статистического моделирования будем в дальнейшем
называть метод машинной реализации имитационной модели, а методом
статистических испытаний (Монте-Карло) - численный метод решения аналитической
задачи.
Метод имитационного моделирования позволяет решать задачи анализа больших
систем S, включая задачи оценки: вариантов структуры системы,
эффективности различных алгоритмов управления системой, влияния изменения
различных параметров системы. Имитационное моделирование может быть положено
также в основу структурного, алгоритмического и параметрического синтеза
больших систем, когда требуется создать систему, с заданными характеристиками
при определенных ограничениях, которая является оптимальной по некоторым
критериям оценки эффективности.
При решении задач машинного синтеза систем на основе их имитационных
моделей помимо разработки моделирующих алгоритмов для анализа фиксированной
системы необходимо также разработать алгоритмы поиска оптимального варианта
системы. Далее в методологии машинного моделирования будем различать два
основных раздела: статику и динамику, - основным содержанием которых являются
соответственно вопросы анализа и синтеза систем, заданных моделирующими
алгоритмами.
Комбинированное (аналитико-имитационное) моделирование при
анализе и синтезе систем позволяет объединить достоинства аналитического и
имитационного моделирования. При построении комбинированных моделей проводится
предварительная декомпозиция процесса функционирования объекта на составляющие
подпроцессы и для тех из них, где это возможно, используются аналитические
модели, а для остальных подпроцессов строятся имитационные модели. Такой
комбинированный подход позволяет охватить качественно новые классы систем,
которые не могут быть исследованы с использованием только аналитического и
имитационного моделирования в отдельности.
Экспертные методы. Экспертные методы, применяемые в теории безопасности
конфиденциальной информации, могут быть разбиты на два направления: методы
первого направления преследуют цель создания базы данных путем экспертного
опроса специалистов по защите информации и информационной безопасности. При
этом принимаются следующие допущения:
1. Стоимость затрат на защиту конкретных сведений не учитывается.
Правомочность такого допущения оправдывается тем, что экономический ущерб от
утечки конфиденциальной информации, как правило, многократно превышает
стоимость мероприятий по ее защите, так как эти мероприятия применяются к ряду
или всем сведениям и имеют постоянный характер.
2. Оценка числового значения ущерба проводится для случая, когда
вероятность утечки сведения принимается равной единице. Правомочность такого
допущения оправдывается тем, что важность сведений определяется максимальным
(потенциальным) ущербом для предприятия вследствие утечки этих сведений.
Оценка возможного ущерба от утечки конфиденциальной информации проводится
в следующей последовательности (общий подход):
1. Применительно к сфере деятельности предприятия, сведения о которой
подлежат экспертизе, соответствующим руководителем (ответственным лицом за
данную сферу деятельности) разрабатываются предложения по формированию
экспертной комиссии. В нее включаются специалисты, компетентные в данной сфере
деятельности. В случае, если сфера деятельности охватывает кооперацию
предприятий, то в состав экспертной комиссии могут включаться, по согласованию
с соответствующими руководителями, представители этих предприятий. Численность
экспертной комиссии зависит от сложности рассматриваемых вопросов, однако
практика свидетельствует, что ее состав должен состоять не менее, чем из 5-7
экспертов. Формирование экспертной комиссии утверждается соответствующим
приказом руководителя предприятия. В составе комиссии назначается ее
председатель, а также секретарь, на которого возлагаются подготовка исходной
документации, опросных листов для членов комиссии, оформление протокола
заседания комиссии.
2. На заседании экспертной комиссии экспертам выдаются опросные
листы. По предложениям экспертов принимается совместное решение по перечню
сведений о рассматриваемой сфере деятельности, подлежащих экспертизе. Для
ускорения решения этого вопроса председатель комиссии может поручить отдельным
экспертам предварительную подготовку перечня возможных сведений о
рассматриваемой сфере деятельности и доклад его на заседании комиссии. Перечень
сведений, подлежащих экспертизе, принятый на заседании комиссии, вносится в
опросные листы экспертов. Экспертные оценки проводятся отдельно по каждому из сведений.
Эксперты совместно принимают решение о возможных действиях со стороны
конкурентов в случае их осведомленности о рассматриваемых сведениях.
. Председателем комиссии сообщаются исходные данные по
экономическому показателю предприятия, а также экономический показатель сферы
(области) деятельности предприятия (например, контракта или контрактов), к
которой имеют отношение рассматриваемые сведения. Указанные показатели могут
сообщаться в относительных значениях.
. Каждым экспертом в опросном листе проставляется его мнение об
относительном снижении экономического показателя предприятия применительно к
каждому действию со стороны конкурентов, определяется суммарное относительное
снижение экономического показателя предприятия вследствие всех возможных действий
со стороны конкурентов.
. Окончательное значение ущерба от утечки сведений по результатам
экспертной оценки комиссией определяется путем усреднений решений всех
участвовавших в оценке экспертов. Критерием отнесения сведений к
конфиденциальной информации предприятия является условие, когда значение ущерба
больше нуля. Уровни возможного ущерба от утечки конкретных сведений
характеризуют относительную важность этих сведений.
. Заседание экспертной комиссии оформляется протоколом.
Использование метода экспертных оценок предполагает присвоение конкретным
экспертам «весовых коэффициентов» по признаку их компетенции, проведение
повторных туров опросов в случае появления большого удаления оценок отдельных
экспертов от усредненного значения групповой опенки.
Методы второго направления связаны с использованием материалов баз данных
для формирования баз знаний экспертных систем. Как правило, экспертные методы
используются в качестве основы для методов математического моделирования, в
результате чего достигается большая точность при описании системы.
Анализ задачи оценки ущерба позволяет утверждать, что:
1. Источниками конфиденциальной информации являются люди, документы,
публикации, технические носители информации, технические средства обеспечения
производственной и трудовой деятельности, продукция и отходы производства.
. Каждая угроза влечет за собой определенный ущерб - моральный или
материальный, а защита и противодействие угрозе призвано снизить его величину.
. Математическое моделирование для исследования характеристик
процесса функционирования систем можно разделить на аналитическое, имитационное
и комбинированное. Среди этих видов математического моделирования выбрано
аналитическое моделирование.
4. При составлении математической модели необходимо учитывать
большое количество внешних и внутренних факторов, что в конечном итоге
усложняет модель.
. Для того, чтобы заранее определить возможный ущерб, используются
различные методы анализа. Среди них можно выделить следующие: натурный
эксперимент, полунатурное моделирование, методы математического моделирования и
экспертные методы.
2. Построение математической модели оценки ущерба от
воздействия на конфиденциальную информацию внешних угроз
2.1
Концепция математической модели оценки ущерба конфиденциальной информации от
внешних угроз
Информацию к расходуемому без остатка ресурсу непосредственно отнести
нельзя (справедливость этого вывода подтверждается тем фактом, что в
информационных процессах не действует закон сохранения). Поэтому нельзя
определить ценность информации при рассмотрении модели ее использования только
на информационном (внутреннем) уровне. Для установления цены информации
необходимо установить связь ее содержания с ресурсом, который расходуется без
остатка. Для этого необходимо связать содержание информации с величинами более
высокого (внешнего) уровня, для которых выполняются законы сохранения или
существуют более простые балансовые соотношения.
В качестве такой величины целесообразно принять значение потенциала
информации, являющегося обобщенной количественной характеристикой мощи
информации, достигаемой средствами, расходуемыми без остатка. Так как
содержание мощи сложно и многомерно, потенциал является простейшим
скалярным приближением, точности которого достаточно для сравнительной оценки
эффективности (важности, ценности) обеспечивающих «вещей», к которым относится
и информация.
Так
как полученная таким образом цена информации будет не абсолютной, а
сравнительной (субъективной, условной), т.е. справедливой только в определенных
условиях, то кроме свойства частичной адекватности важно свойство наглядности
получаемой оценки. В связи с этим достаточно наглядную оценку ценности
информации можно получить при использовании более простой модели потенциала -
раскрытого потенциала, зависящего от эффективности защиты информации. Он равен
произведению значения общего потенциала информации, взятого до момента начала
моделирования - 
, на
вероятность реализации несанкционированного доступа к конфиденциальной
информации, определяемую на математической модели функционирования системы - 
:

(2.1)
Под
общим потенциалом информации 
будем понимать тот положительный эффект (материальный
или моральный), который может быть получен при использовании её на указанном
интервале времени. При этом формальной основой отношения соперников при
несанкционированном доступе к информации и при ее защите является максиминная
задача:

(2.2)
где,

- значение раскрытого потенциала; r,
z -
стратегии по несанкционированному доступу к конфиденциальной информации и
защиты информации, соответственно, реализуемые в условиях системы S.
2.2 Анализ
внешних параметров модели оценки ущерба конфиденциальной информации от внешних
угроз
Модель оценки ущерба не является замкнутой. Как известно, для полного
отражения действительности модель должна учитывать множество внешних
параметров, то есть данных из среды функционирования модели. Но на практике
учесть все возможные параметры, в той или иной степени влияющие на итог
моделирования, не представляется возможным или является настолько сложной и
трудоемкой задачей, что само моделирование становится невыгодной задачей.
Рассмотрим наиболее важные параметры, в значительной степени влияющие на итог
моделирования, а также попытаемся обозначить числовые величины, в которых будут
измеряться эти параметры.
Одним из основных внешних факторов можно выделить квалификацию
злоумышленника: чем она выше, тем больше шанс на несанкционированный доступ.
При одинаковых прочих условиях вероятность несанкционированного доступа будет
больше у того злоумышленника, у которого выше квалификация. Так как данная
величина не имеет четкой регламентированной единицы измерения и, кроме того,
является абстрактной характеристикой, то применительно к рассматриваемому
случаю ограничим квалификацию злоумышленника числом, заключенным в интервале от
0 до 1, при этом 0 говорит о профессиональной безграмотности злоумышленника, а
1 о его полном профессионализме.
Другим
не менее важным параметром является время, проведенное злоумышленником над
реализацией попытки несанкционированного доступа. Чем больше времени, тем
больше шанс на то, что попытка закончится успехом, но тем больше и шанс того,
что злоумышленника поймают с поличным. На практике для этой величины в нашей
модели будем использовать Марковские процессы с дискретными состояниями и
непрерывным временем, которые, как известно, в большинстве случаев
характеризуются двумя параметрами интенсивности 
и 
, где
параметр 
характеризует
интенсивность прямых переходов между составляющими 
системы S,
а параметр 
, -
обратных переходов (рисунок 2.1).
Рисунок 2.1 - Пример графа Марковского процесса
Кроме того, необходимо также учитывать количество злоумышленников. Чем
больше их количество, тем более вероятен случай несанкционированного доступа к
объекту защиты. Когда происходит оценка ущерба при одновременном
несанкционированном доступе нескольких злоумышленников. В нашем случае этот
факт будет учтен при использовании максиминной задачи, когда среди возможного
ущерба будет выбираться максимальный наносимый наиболее квалифицированным
злоумышленником.
Также необходимо заметить, что любая конфиденциальная информация имеет
также физическую составляющую. Которая, характеризует защиту
конфиденциальной информации с физической стороны. Так, например, если
информация находится в сети, то немаловажную роль при несанкционированном
доступе к конфиденциальной информации играет техническое снаряжение
злоумышленника. Чем оно выше, тем незаметнее, легче и качественнее он сможет
реализовать угрозу. В математической модели для каждой её составляющей
необходимо будет определить так называемую энергетическую вероятность
обнаружения конфиденциальной информации, зависящую от технического оснащения
злоумышленника.
Кроме
параметров, связанных с действиями злоумышленников, в модели используются также
параметры, связанные с различными законами распределения вероятностей. Значения
этих параметров определяются при использовании статистических методов.
Ограничения, накладываемые на эти параметры, связаны с самими законами
распределения.
2.3 Разработка процедуры определения размеров ущерба
вследствие утечки конфиденциальной информации
Определение размеров ущерба вследствие распространения сведений,
составляющих тайну, с использованием различных моделей является основой для
решения о необходимости ограничения доступа к данным сведения и оценки
эффективности мер защиты информации.
Наиболее общей характеристикой при этом являются размеры экономического
ущерба. Методы определения размеров ущерба, который может быть нанесен
безопасности общества или государства вследствие распространения сведений,
составляющих тайну, зависят от следующих факторов:
– сферы деятельности, к которой относятся рассматриваемые сведения
(экономической, научно-технической и др.);
– степени неопределенности информации, используемой при оценках
величины ущерба;
– сферы проявления ущерба (в отдельных сферах деятельности, либо
комплексно в некоторых сферах).
Рассмотрим модель для определения размеров ущерба, применимая в ситуации,
когда сведения касаются достаточно узкой сферы деятельности, сфера проявления
ущерба ограниченна, и исходящая информация для оценок вполне определенна. В
данном случае целесообразно применять метод, основанный на модели
«осведомленность-эффективность», позволяющий получить количественные оценки
величины ущерба. В качестве методологической основы определения размеров ущерба
при неопределенности исходной информации и сфер нанесения ущерба целесообразно
выбрать метод, разработанный Т. Л. Саати.
Представленный метод оценки размеров ущерба, наступающего в результате распространения
сведений, составляющих тайну, основан на анализе влияния изменения
осведомленности соперника (конкурента) об этих сведениях на эффективность
функционирования объектов защиты - носителей сведений. При этом анализируются
объекты защиты, находящиеся в наиболее остром конфликте с соответствующими
объектами соперника, от результатов которого зависит эффективность объектов
защиты, их живучесть, а также затрагиваются жизненно важные интересы сторон.
Для определения возможного ущерба вследствие распространения сведений о
защищаемых объектах выполняются определенные процедуры (рисунок 2.2).
Концепция процедуры оценки ущерба конфиденциальной информации
Оценка априорной осведомленности соперника об объекте представляет
собой задачу прогнозирования «за соперника» характеристик объекта, а также
оценку точности и достоверности такого прогноза. Источниками информации при
программировании являются:
– характеристики аналогичных объектов, опубликованные в открытой
печати, передаваемые другим сторонам при проведении переговоров;
– характеристика аналогичных объектов соперника;
– технические, физические, экономические и другие ограничения на
достижимые значения других характеристик защищаемых объектов;
– материалы, поступающие от служб безопасности организации, владеющим
защищаемым объектом.
В качестве показателей оценки осведомленности соперника о защищаемых
объектах могут использоваться:
– для сведений количественного характера - среднеквадратическая ошибка
определения значения сведения (характеристики); отключение (смещение)
математического ожидания значения; вероятность определения (измерения) значения
с заданной точностью;
– для сведений качественного характера (например, наличие объекта
или определенного свойства объекта) - вероятность правильного распознавания
объекта; вероятность вскрытия данного сведения.
Оценка влияния распространения влияния сведений об объектах на
осведомленность соперника. Такая оценка осуществляется путем сравнения
истинных значений сведений, которые могут быть известны сопернику. Если ошибки
определения сведений по результатам прогнозирования несущественны, то
распространение сведений об объекте практически не повлияет на осведомленность
соперника на них.
Прогнозирование возможных контрмер злоумышленника против объекта защиты.
Оно осуществляется с использованием информации о имеющихся у соперника способах
и средствах воздействия на функционирование объекта и об их возможном развитии.
При этом необходимо определить, какие из контрмер могут быть быстро реализованы
в краткосрочном периоде времени. Следует отметить, что соперник предпринимает
дополнительные контрмеры, если рассматриваемых объект представляет для него
реальную угрозу (например, эффективность новых технологий конкурента
значительно превышает эффективность уже существующих).
В процессе жизненного цикла объектов защиты, как правило, происходит
постепенное изменение осведомленности соперника от незнания их характеристик до
полного и достоверного их знания. Защищаемые объекты, как правило, сложны по
составу, могут характеризоваться значительным количеством сведений, поэтому
число возможных вариантов (состояний осведомленности) соперника может быть
велико.
В то же время некоторые состояния осведомленности могут отличаться
несущественно с точки зрения реализуемых на их основе контрмер и наносимого при
этом ущерба. Поэтому в интересах сокращения числа исследуемых контрмер
соперника выбирается ограниченное число принципиально отличающихся друг от
друга состояний осведомленности о защищаемых объектах. Назовем эти состояния
критическими. Каждое критическое состояние осведомленности характеризуется
совокупностью (комбинацией) сведений, необходимых для реализации хотя бы одной
из контрмер.
Между различными критическими состояниями осведомленности устанавливаются
отношения предшествования и следования во времени в соответствии с расширением
множества сведений, характеризующих эти варианты. В результате этого
формируется граф изменения осведомленности об объекте (рисунок 2.3).
Вершинами графа соответствуют различные состояния осведомленности, дугам
- переходы из одного состояния в другое. Начальное состояние графа
соответствует случаю отсутствия у соперника достоверных сведений; конечное
состояние - его полной осведомленности о защищаемом объекте.
Контрмеры соперника по возможности их одновременной реализации
подразделяются на следующие классы:
– простые (для данного состояния осведомленности существует только
одна контрмера);
– альтернативные (из нескольких вариантов контрмер одновременно
может реализоваться только одна);
– обобщенные, реализуемые путем наращивания контрмер, принятых для
более ранних состояний осведомленности (при реализации всех мер формируется
обобщенная мера).
Рисунок
2.3 - Обобщенная графическая модель взаимосвязи состояния осведомленности соперника
об объекте, соответствующих им контрмер и эффективность функционирования
объекта
Отношения
между различными контрмерами отображаются в виде графа обобщенных контрмер,
реализуемых путем наращивания. Вершинам графа соответствуют простые и обобщенные
контрмеры, а дугам - включение данной контрмеры в обобщенную контрмеру.
Взаимосвязи между вариантами осведомленности и контрмерами отображаются в виде
дуг, соединяющих эти графы. Каждой из дуг, связывающих различные состояния
графа, может быть поставлена в соответствие оценка вероятности и времени
перехода системы из состояния в состояние.
Моделирование
влияния контрмер соперника на эффективность функционирования защищаемого
объекта происходит с использованием следующих мер.
Оценка
возможного снижения эффективности объекта в зависимости от контрмер соперника
осуществляется при применении моделей функционирования защищаемых объектов
путем изменения исходных данных и параметров этих моделей. Для этого модели
должны быть чувствительны к изменениям в действиях соперника в зависимости от
его осведомленности об объекте.
Для
получения оценок влияния осведомленности об объекте на эффективность его
функционирования и величину возникающего ущерба моделируются процессы,
отображаемые тремя взаимосвязанными графами: изменением осведомленности,
реализацией контрмер и изменением эффективности функционирования объекта.
Содержание этих процессов состоит в следующем.
Последовательно
к определенному моменту времени достигается одно из состояний графа
осведомленности, при котором начинается процесс реализации соответствующей
контрмеры. При реализации этой контрмеры достигается одно из состояний в графе
изменения эффективности функционирования объекта. Время достижения заданного
состояния в графе изменения эффективности функционирования объекта определяется
как сумма времени, необходимого сопернику для достижения соответствующего
состояния осведомленности, и времени, необходимого для реализации связанных с
этим состоянием контрмер.
Результаты
расчетов эффективности функционирования объекта при различной осведомленности
соперника упорядочиваются по величине эффективности и отображаются в виде графа
изменения эффективности функционирования объекта.
Таким
образом, рисунок 2.3, наглядно иллюстрирует процесс изменения величины эффективности
функционирования защищаемого объекта от изменения осведомленности соперника о
нем.
Оценка
ущерба вследствие снижения эффективности защищаемого объекта может
основываться на двух способах (рисунок 2.4).
Первый
способ применим в случае, когда объектов защиты может быть несколько. Он
заключается в определении дополнительных материальных затрат, необходимых для
восстановления утраченной эффективности объекта путем применения
дополнительного количества объектов защиты. Величина ущерба при восстановлении
эффективности за счет применения дополнительного числа объектов рассчитывается
по формуле:

, (2.3)
где N - объем
производства рассматриваемых объектов защиты;

-
необходимое увеличение числа объектов защиты для восстановления утраченной
эффективности, рассчитывается с использованием моделей оценки эффективности
объектов;

-
стоимость создания объекта защиты;

-
стоимость готовой эксплуатации объекта защиты;

-
продолжительность эксплуатации объекта защиты.
Второй
способ оценки ущерба применим для единичных объектов защиты, является и
основывается на оценке денежных затрат на создание защиты с требуемой проектной
эффективностью. При снижении этой эффективности вследствие возрастания
осведомленности соперника и принятия и контрмер считается, что определенная
доля затрат на создание объекта, пропорциональная снижению эффективности
объекта, потеряна и отражает и отражает величину ущерба.
В
этом случае величина ущерба ориентировочно рассчитывается по_формуле:

, (2.4)
где

-
относительное снижение эффективности объекта вследствие возрастания
осведомленности соперника о его характеристиках;

-
проектная эффективность объекта;

-
ожидаемое снижение эффективности объекта вследствие возрастания осведомленности
соперника и принятия им контрмер.
Пример. Рассматриваемый материал является основной для приготовления
элементов конструкции изделий, используемых в ситуациях противоборства и
конкуренции.
. Прогнозируется изменение априорной осведомленности конкурента о
материале за время его жизненного цикла. Результаты представляются в виде
матрицы

. 
, (2.5)
где

- оценки
в виде вероятностей определения сведений;

-
количество сведений о материале;

- число
этапов жизненного цикла материала.
Пример
представления оценок приведен в таблице 2.1
Таблица
2.1 - Представление оценок в виде вероятностей определения_сведений
|
Сведения о материале
|
Значения показателя
априорной осведомленности на тапах жизненного цикла
|
|
Исследования
|
Разработка
|
Испытания
|
Производство
|
Примечание
|
|
Назначение
|
0
|
0,3
|
0,6
|
0,65
|
0,8
|
|
Рецептура
|
0,2
|
0,2
|
0,5
|
0,5
|
0,6
|
|
Технология создания
|
0
|
0
|
0,7
|
0,8
|
0,9
|
угроза конфиденциальный информация ущерб
2. Определяются возможные состояния осведомленности злоумышленника о
материале. Результаты представляются в виде матрицы:

(2.6)
. Прогнозируются
возможные способы и средства разрушения (уничтожения) элементов конструкции
изделия при получении информации о материале, из которого изделие изготовлено.
Ущерб от снижения эффективности (живучести) изделий при их применении 
оценивается
в денежном выражении как нерационально используемые затраты на создание
изделия, потерявшего определенную долю своей проектной эффективности, включая
затраты на создание материала.
Информация
о характеристиках материалов и технологиях их создания может быть использована
для воссоздания и применения подобного материала в изделиях конкурента. Это
может привести к снижению конкурентоспособности защищаемых изделий, повышению
конкурентоспособности изделий самого конкурента и возникновению
соответствующего ущерба 
.
Результаты
прогнозирования состояния осведомленности о материале и возможные последствия
представлены в таблице 2.2:
Таблица
2.2. - Результаты прогнозирования состояния осведомленности о материале и
возможные последствия
|
№ состояния
|
Известные сведения
(нумерация в соответствии с таблицей 1)
|
Возможные последствия
|
|
1
|
2.
|
3.
|
|
|
1
|
2
|
3
|
4
|
5
|
|
1.
|
1
|
0
|
0
|
-
|
|
2.
|
1
|
1
|
0
|
Снижение живучести изделий
|
|
3.
|
1
|
1
|
1
|
Снижение
конкурентоспособности
|
4. Прогнозируется время реализации контрмер. Результаты прогнозирования
представляются в виде оценок среднего времени и среднеквадратического
отклонения времени реализации контрмер.
5. Оцениваются максимальные (без мер защиты) и минимальные (с мерами
защиты) значения вероятностей определения сведений о материале на различных
стадиях жизненного цикла материала (с мерами / без мер защиты) представлены в
таблице 2.3:
Таблица 2.3. - Максимальные и минимальные значения вероятностей
определения сведений о материале на различных стадиях жизненного цикла
материала (с мерами/без мер защиты)
|
Сведения о материале
|
Вероятности определения
сведений
|
|
Исследования
|
Разработка
|
Испытания
|
Производство
|
Примечание
|
|
1
|
2
|
3
|
4
|
5
|
6
|
|
Назначение
|
0/0
|
0/0
|
0/0,3
|
0,1/0,5
|
1/1
|
|
Рецептура
|
0/0
|
0/0,2
|
0,1/0,5
|
0,1/0,7
|
0,1/0,9
|
|
Технология создания
|
0/0
|
0/0,1
|
0/0,3
|
0,1/0,7
|
0,5/1
|
6. Вычисляются
вероятности определения конкурентом 
-го
сведения к 
этапу
жизненного цикла материала (с мерами и без мер защиты)

, (2.7)
где

-
вероятность определения сведений к i-му этапу жизненного цикла материала в результате
утечки информации по техническим каналам;

-
прогноз априорной осведомленности.

, (2.8)
здесь

-
вероятность определения 
-го
сведения на 
-м тапе
жизненного цикла (см. таблицу 2.1).
Результаты приводятся в виде матрицы

(2.9)
и в виде таблицы, аналогичной таблицы 2.1.
7. Вычисляются
вероятности достижения конкурентом 
-го
варианта осведомленности о материале к i-му этапу его жизненного цикла

, (2.10)
где

-
значения элементов таблицы 2.2.
Результаты вычислений представляются в виде матрицы

. (2.11)
Вероятности достижения состояния осведомленности к различным этапам
жизненного цикла материала (с мерами/без мер защиты) представлены в таблице
2.4:
Таблица 2.4 - Вероятности достижения состояния осведомленности к
различным этапам жизненного цикла материала (с мерами/без мер защиты)
|
№ состояния
|
Вероятности определения
сведений
|
|
Исследования
|
Разработка
|
Испытания
|
Производство
|
Примечание
|
|
1
|
2
|
3
|
4
|
5
|
6
|
|
1
|
0,1/0,2
|
0,2/0,5
|
0,8/0,9
|
1,0/1,0
|
|
2
|
0,05/0,1
|
0,1/0,3
|
0,3/0,4
|
0,6/0,9
|
0,9/1,0
|
|
3
|
0,03/0,05
|
0,05/0,07
|
0,2/0,3
|
0,5/0,8
|
0,8/1,0
|
8. Вычисляются
вероятности реализации -й контрмеры к моменту времени 
(у-му
этапу жизненного цикла) как свертка законов распределения времени определения
сведения и времени реализации контрмер:

(2.12)
где

-
вероятность достижения конкурентом -го варианта осведомленности к i-му этапу ее жизненного цикла (элементы матрицы 
); 
- время
окончания i-го этапа
жизненного цикла; 
-
среднеквадратическое отклонение времени реализации 
-й
контрмеры; 
-
математическое ожидание реализации 
-й
контрмеры; 
-
переменная интегрирования.
Результаты
вычислений представляются в виде вектора

(2.13)
. Вычисляются
вероятности реализации 
-й
контрмеры к моменту времени 

, (2.14)
где

, 
-
вероятности реализации соответственно 
и 
-й
контрмеры к моменту времени 
(элементы
вектора 
).
Отметим,
что для 

. (2.15)
Результаты
вычислений представляются в виде вектора:

. (2.16)
. Вычисляется
математическое ожидание величины ущерба к моменту окончания жизненного цикла
материала 

, (2.17)
где

-
величина ущерба при реализации соперником 
-й
контрмеры; 
-
вероятность реализации 
-й
контрмеры к моменту времени 
(элемент
вектора_
).
2.4
Разработка математической модели оценки ущерба конфиденциальной информации от
внешних угроз
При определении ущерба при утечке информации необходимо определиться с
понятием общего потенциала и создать модель для его определения. С
понятием общего потенциала неразрывно связано понятие ценности информации.
Под ценностью информации будем понимать тот положительный эффект
(материальный или моральный), который может быть получен при использовании её в
указанный момент времени. Как видно из определения ценности, эта величина не
является постоянной и в разные периоды времени может варьироваться в различных
пределах. Например, при создании чипа нового поколения ценность информация об
его архитектуре очень высока, но со временем при появлении аналогов или при
рассекречивании его архитектуры его ценность также уменьшается до определенного
уровня. Потенциал является интервальной характеристикой, а ценность точечной.
Большинство объектов реального мира подчиняются нормальному распределению
по времени. Не исключением является и потенциал. Как известно, нормальным
называют распределение вероятностей непрерывной случайной величины, которое
описывается плотностью:

(2.18)
Графиком плотности нормального распределения является следующая
нормальная кривая (рисунок 2.5):
Рисунок 2.5 - График нормальной кривой
Из
определения потенциала следует, что для его расчета на интервале 
необходимо
взять определенный интеграл на этом же интервале от функции плотности
нормального распределения, умноженной на начальную стоимость информации. Кроме
того, необходимо учитывать тот факт, что функция плотности нормального
распределения при сдвиге её вправо вдоль оси абсцисс имеет своим началом точку
(0,0), а так как начальный потенциал равен начальной стоимости информации, то
необходимо поднять начало кривой в точку (0,1), что соответствует функции 
. Таким образом, суммируя все вышесказанное, для расчета
общего потенциала 
необходимо
использовать следующую формулу:

(2.19)
где С - начальная стоимость информации;

-
границы временного интервала моделирования;

- функция плотности вероятности.
При
определении потенциала информации необходимо знать всего 4 параметра: 
и 
,
определяющие вид кривой, и 
-
определяющие интервал расчета. Если параметры 
являются варьируемыми при различных расчетах, то 
и 
являются
постоянными для данной информации и поэтому их правильное определение в
значительной мере определяет корректность полученных данных. Среди параметров 
и 
наибольшую
важность имеет параметр 
. Его
изменение влияет на ординату максимума кривой потенциала: с возрастанием 
максимальная
ордината потенциала убывает, а сама кривая становится более пологой, т.е.
сжимается к оси абсцисс; при убывании о кривая потенциала становится более
островершинной и растягивается в положительном направлении оси ординат.
Физический
смысл параметра 
- это
максимальное количество прибыли, которое может быть получено при использовании
информации. Поэтому для определения параметра 
на
практике различными статистическими методами определяют максимальную прибыль от
использования конфиденциальной информации, после чего подбирают параметр 
таким образом,
чтобы он отвечал полученной величине. В свою очередь также важен параметр 
: с увеличением параметра 
график
сдвигается вправо по оси абсцисс, при уменьшении - влево по оси абсцисс
(рисунок 2.6).
Таким
образом, перед началом моделирования параметр 
выбирают
так, чтоб кривая 
, где

- функция
плотности нормального распределения, имела своим началом точку (0,1).
Для
формального решения поставленной задачи необходимо определить: потенциал и его
зависимость от содержания конфиденциальной информации; содержание стратегии
несанкционированного доступа к конфиденциальной информации и ее защиты.
Рисунок
2.6 - Графики нормальной кривой при различных значениях 
При
нахождении общего потенциала информации 
ее
представляют совокупностью типовых объектов, потенциалы которых определяются на
математических моделях их функционирования по основному назначению. За
потенциал принимается значение эффективности функционирования объектов,
определенной для зафиксированных условий системы S.
Математические модели функционирования требуются не для всех типовых
объектов, а только для нескольких - эталонных, потенциалы которых принимаются
за единицу. Для остальных типовых объектов находятся коэффициенты соизмеримости
относительно эталонного путем сравнения сходных характеристик функционирования.
Потенциал информации суммируется из потенциалов входящих в неё типовых
объектов.
Таким образом, содержание конфиденциальной информации определяется
составом типовых объектов и характеристиками их функционирования. В
совокупности их можно считать набором признаков, описывающих состав и
функционирование рассматриваемых группировок типовых объектов, что справедливо
в соответствии с гипотезой. Она гласит, что содержание любой информации, в том
числе и хранящейся в виде записей, с какой угодно точностью, можно представить
совокупностью признаков - «сгустков» информации.
Интенсивность утечки информации определяется показателем утечки
конфиденциальной информации по совокупности признаков, которым может служить
вероятность несанкционированного доступа к конфиденциальной информации. При
этом необходима математическая модель несанкционированного доступа, включающая
модель энергетического обнаружения, динамическую модель несанкционированного
доступа и последовательной интерпретации данных.
Построение математической модели. Защита информации выполняется
тремя способами: исключением средств добывания из состава правильно
действующих; ограничением доступа к источникам утечки информации; отвлечением
средств добывания на ложные источники. Стратегия защиты состоит в целесообразном
сочетании указанных способов, обосновываемых по критерию «эффект-затраты».
Рассмотрим
оценку ущерба при несанкционированном доступе к конфиденциальной информации в
автоматизированной системе - АС. Пусть АС включает K уровней,
каждый из которых состоит из N подсистем 
, где
параметр 
характеризует
интенсивность прямых переходов между составляющими 
системы S,
а параметр 
, -
обратных переходов (рисунок 2.7).
Каждая
из подсистем с требуемой детальностью описывается совокупностью признаков 
. Среди признаков существует подмножество 
признаков
распознавания. Тогда механизм дифференцированной защиты информации в
соответствии с выражением (2.17) формально задается выражением_(2.20):

(2.20)
где

- потенциал j-ой подсистемы АС; 
- вероятность благополучного исхода
несанкционированного доступа к конфиденциальной информации, реализуемая в 
-ой
подсистеме АС злоумышленниками по совокупности признаков 

-
совокупность ресурсов 
-го типа,
используемых для защиты информации 
-ой
подсистеме АС .
Рисунок 2.7 - Структурная схема системы автоматизированной системы
Вероятность
несанкционированного доступа к конфиденциальной информации в 
-ой
подсистеме АС равна:

=
(2.21)
где

-
вероятность несанкционированного доступа к конфиденциальной информации
злоумышленниками при их действии в j-ой подсистеме АС;

- вероятность распознавания информации по совокупности
признаков распознавания 
.
Вероятность несанкционированного доступа:

(2.22)
где

- число
признаков j-ой подсистемы АС;

- вероятность несанкционированного доступа к
конфиденциальной информации при использовании i-ого
признака j-ой подсистемы злоумышленником;

- бинарный
показатель, равный 1, если на m-ом месте в пространстве описания объекта имеется
признак 
и 0 в противном случае;

- вероятность группировки данных в совокупность
признаков, описывающих j-ую подсистему АС (определяется на основе физического
содержания признаков подсистемы АС);

- вероятность распознавания j-ой
подсистемы АС .

определяется как интервально-переходная вероятность
Марковского процесса несанкционированного доступа и имеет вид:

(2.23)
где

- финальная вероятность перехода из состояния в
состояние Марковской_цепи;

(*) -
плотность вероятности времени нахождения в состоянии (на практике было
установлено, что она описывается распределением Вейбулла со значениями
показателя масштаба b = 0,02..0,5 и показателя формы с = 0,3..0,7);

- вероятность энергетического обнаружения признака
(определяется физикой подсистемы АС).
Для
определения 
-
предельной вероятности перехода из состояния в состояние Марковской цепи
обратимся к рисунку 2.7. Граф состояний, представленный на этом рисунке,
состоит из конечного числа взаимосвязанных состояний, где состояние 
обозначает, что произошел несанкционированный доступ к
i-ой подсистеме. Вышесказанное, а также вид графа
состояний позволяет утверждать, что каждый уровень АС представляет собой не что
иное, как процесс «гибели-размножения» (рисунок 2.8).
Рисунок
2.8 - Общий вид уровней автоматизированной системы
Согласно
виду размеченного графа состояний однородного Марковского процесса, матрица λ плотностей вероятностей перехода системы S
из одного состояния в другое имеет вид:

(2.24)
Этой
матрице соответствует однородная система линейных алгебраических уравнений
относительно вектора предельных вероятностей состояний:
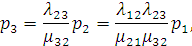
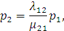
Из первого уровня записанной системы имеем:

(2.26)
значит, второе уравнение может быть представлено в виде:

(2.27)
Продолжив
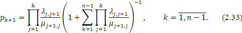
аналогичные выкладки, приходим к следующим соотношениям:


(2.28)
или,
что то же самое,


. (2.29)
Таким
образом,
Для окончательного нахождения предельных вероятностей состояний,
воспользуемся тем, что данный граф состояний составляет полную группу и
соответственно исходя из свойства:

(2.31)
находим:
Подставляя
это значение 
в систему (2.30), получаем:
Переходные
характеристики Марковского процесса 
для
соответствующего случая определяются на имитационных моделях, соответствующих
физическому содержанию задачи.
Вероятности

и 
определяются байесовскими алгоритмами структурного
распознавания. Так как используемые признаки 
не имеют накопленной статистики, для формального
представления алфавитов распознаваемых объектов используются фреймы
искусственного интеллекта.
Выводы
Построение математической модели оценки ущерба конфиденциальной
информации от внешних угроз показало, что:
. Субъективная оценка ценности определяется умножением значений
потенциалов типовых объектов информации на вероятность их вскрытия.
. Вероятность вскрытия определяется на комбинированной
аналитико-имитационной модели, разработанной с учетом физических особенностей
задачи на основе положений теории Марковских процессов, структурного
распознавания и фреймов искусственного интеллекта.
. На основе анализа внешних параметров модели оценки ущерба
рассматриваются следующие задачи: анализ потенциальных угроз от внешних и
сущность методов оценки, концептуальная модель оценки ущерба внешних параметров
и оценки ущерба, математическая модель оценки ущерба, алгоритм оценки ущерба и
анализ влияния входных параметров на величину ущерба.
. Для определения возможного ущерба вследствие распространения
сведений о защищаемых объектах выполняются определенные процедуры.
. Оценка ущерба вследствие снижения эффективности защищаемого
объекта основывается на двух способах: при нескольких объектах защиты и при
единичных объектах защиты
3. Реализация и исследование математической модели оценки
ущерба конфиденциальной информации от внешних угроз
3.1
Алгоритм построения математической модели оценки ущерба конфиденциальной
информации от внешних угроз
Как исследует из математической модели для определения оценки ущерба от
внешних угроз к конфиденциальной информации необходимо:
ШАГ 0 Выбрать количество экспериментов N.
ШАГ
1 Выбрать параметры 
и С для расчета потенциала.
ШАГ
2 Определить значение общего потенциала - 
:

(3.1)
ШАГ
3 Для каждого из N экспериментов определить количество подсистем
АС.
ШАГ
4 Выбрать параметры прямых 
и
обратных 
переходов
между подсистемами автоматизированных систем, а так же финальные вероятности
перехода 
между
подсистемами автоматизированных систем. ШАГ 5 Рассчитать на основе
введенных параметров вероятности НСД_
:

(3.2.)
ШАГ
6 Вычислить итоговую вероятность НСД - 
:

(3.3)
ШАГ
7 На основе найденных значений общего потенциала 
и 
определить величину ущерба - 
:

(3.4)
ШАГ
8 Среди найденных значений величин ущерба выбрать максимальное 
.
.2
Реализация алгоритма математической модели оценки ущерба
Для реализации алгоритма воспользуемся пакетом прикладных программ для
математических расчетов MathCad.
Пакет MathCad обладает одним основным
преимуществом по сравнению с языками программирования и другими аналогичными
пакетами: все расчеты производятся при помощи обычной математической символики.
Кроме того, по сравнению с языками программирования в математических пакетах
удобнее редактировать и вносить изменения в процессе разработки. UML-диаграмма математической модели
оценки ущерба представлена на рисунке 3.1.
Результаты расчетов в пакетe
прикладных программ MathCad 13
представлены в приложении А.
3.3 Анализ влияния входных параметров модели на величину
ущерба
Любая
модель рассчитывает значения выходных параметров на основе каких-либо входных
или начальных значений. В нашем случае входными являются следующие параметры: 
; выходным
же является один параметр, характеризующий величину ущерба - раскрытый потенциал.
Рисунок 3.1 - UML-диаграмма
математической модели оценки ущерба
Рассмотрим зависимость выходного параметра модели относительно изменения
входных данных.
Для этого зафиксируем все значения входных параметров, кроме исследуемых,
и оценим их влияние на итоговый результат моделирования.
Параметры

влияют на величину ущерба, причем значения этих
параметров выбираются для определенного случая один раз и на протяжении периода
моделирования не изменяются. Таким образом, исходя из объяснения поведения
потенциала при изменении данных параметров, на величину ущерба влияет только
параметр 
: чем он
меньше, тем больше значение общего потенциала и как следствие больше величина
ущерба.
Параметры

используются
в модели в качестве величин характеризующих техническое оснащение (
) и
квалификацию злоумышленника 
Из формул (3.6) и (3.8), можно сделать вывод о том,
что их влияние на величину ущерба прямо пропорционально, что подтверждается
соответствующими расчетами представленными в таблице 3.1 и таблице 3.2.
Таблица
3.1 - Зависимость величины раскрытого потенциала от изменения технического
оснащения злоумышленника (

)
Из
рисунка 3.2 видно, что чем выше техническое оснащение злоумышленника (
), тем
выше вероятность несанкционированного доступа и, как следствие, тем выше
величина ущерба.
Таблица
3.2 - Зависимость величины раскрытого потенциала от изменения квалификации злоумышленника
(
)
Из
рисунка 3.3 видно, что чем выше квалификация злоумышленника 
, тем
выше вероятность несанкционированного доступа и, как следствие, тем выше
величина ущерба.
Параметры
c, b. Оба
параметра с, b используются в модели для описания функции
распределения Вейбулла, которая характеризуют плотность времени нахождения
злоумышленника в подсистеме при реализации им угроз несанкционированного
доступа. Рассмотрим поведение величины ущерба в зависимости от изменения этих
параметров. Для начала рассмотрим поведение при изменении параметра b.
Зафиксируем остальные параметры на следующих отметках 
получим
следующие результаты представленные в таблице 3.3.
Таблица 3.3 - Зависимость величины раскрытого потенциала от изменения
параметра b функции распределения Вейбулла
|
b
|
0,2
|
0,068
|
0,116
|
0,164
|
0,212
|
0,26
|
0,308
|
0,356
|
0,404
|
0,452
|
|
|
89830
|
87410
|
85100
|
83050
|
81220
|
79580
|
78090
|
76720
|
75470
|
74300
|
Рисунок 3.4 - График зависимости величины раскрытого потенциала от
изменения параметра b
функции распределения Вейбулла
Из рисунка 3.4 видно, что при росте параметра b наблюдается падение величины раскрытого потенциала,
причем при различных значениях падение происходит по разному: при с=0,3
происходит более резко, чем, например, при с=0,5; при с=0,7
падения почти не происходит.
Теперь рассмотрим поведение при изменении параметра с. Как и в
предыдущем случае, зафиксируем параметры на следующих отметках:

Результаты
моделирования приведены в таблице 3.4
Таблица 3.4 - Зависимость величины раскрытого потенциала от изменения
параметра c функции распределения Вейбулла
|
с
|
0,3
|
0,34
|
0,38
|
0,42
|
0,46
|
0,5
|
0,54
|
0,58
|
0,62
|
0,66
|
|
|
31330
|
32710
|
33770
|
34560
|
35120
|
35510
|
35760
|
35930
|
36030
|
36090
|
Рисунок 3.5 - График зависимости величины раскрытого потенциала от
изменения параметра c
функции распределения Вейбулла
Таким
образом, как видно из рисунка 3.5, при увеличении параметра с
увеличивается также и значение раскрытого потенциала, при этом, чем больше
значение параметра b, тем резче происходит увеличение значения раскрытого
потенциала. Параметры 
. Теперь
рассмотрим поведение величины ущерба при изменении параметров 
. Для
этого зафиксируем остальные параметры. Пусть 
, тогда,
изменяя
, при 
получим ущерб приведенный в таблице 3.5:
Таблица
3.5 - Зависимость величины раскрытого потенциала от изменения параметра интенсивности
действий злоумышленника 
|
|
1
|
10
|
20
|
30
|
40
|
50
|
60
|
70
|
80
|
90
|
|
|
67815
|
72622
|
71855
|
68946
|
64173
|
58470
|
52726
|
47442
|
42797
|
38795
|
|
|
100
|
110
|
120
|
130
|
140
|
200
|
300
|
500
|
700
|
|
|
|
35371
|
32439
|
29916
|
27734
|
25833
|
18222
|
12176
|
7309
|
5221
|
|
Рисунок
3.6 - График зависимости величины раскрытого потенциала от изменения параметра
интенсивности действий злоумышленника 
Теперь
при тех же значениях 
и при 
, изменяя

получим результаты приведенные в таблице 3.6:
Таблица
3.6 - Зависимость величины раскрытого потенциала от изменения параметра
интенсивности действий злоумышленника 

|
|
1
|
10
|
20
|
30
|
40
|
50
|
60
|
70
|
80
|
90
|
|
|
1461
|
14598
|
28781
|
41387
|
51346
|
58470
|
63266
|
66410
|
68465
|
69821
|
|
|
100
|
110
|
120
|
130
|
140
|
200
|
300
|
500
|
700
|
|
|
|
70730
|
71352
|
71786
|
72095
|
72319
|
72874
|
73041
|
73081
|
73086
|
|
Рисунок
3.7 - График зависимости величины раскрытого потенциала от изменения параметра
интенсивности действий злоумышленника 
Итак,
из произведенных вычислений видно, что при увеличении параметра 
, в
условиях стационарности остальных параметров, мы получаем вначале резкий скачок
до определенного значения, после которого рост величины ущерба прекращается;
иным образом дело обстоит с параметром 
: при
увеличении этого параметра наблюдается резкий спад значения величины ущерба до
определенного значения, после которого происходит плавное снижение величины
ущерба до 0.
Из
приведенных графиков видно, что резкий скачок (в случае с изменением 
)
(рисунок 3.7) и резкий спад (в случае с изменением 
)
(рисунок 3.6) происходит на определенном интервале (в нашем случае от 0 до
150). Данное свойство было выявлено при проведении множества экспериментов. Для
объяснения этого факта необходимо рассмотреть физическую составляющую модели.
Параметр 
характеризует
число успешных переходов злоумышленника от одной подсистемы АС к другой, а
параметр 
- число
вынужденных переходов на предыдущие подсистемы АС, вследствие невозможности
НСД. Таким образом, при увеличении параметра 
вероятность
НСД растет, что в свою очередь близко приближается к 100%. Соответственно при
увеличении параметра 
вероятность
НСД уменьшается и тем быстрее чем больше разница между 
и 
.
Выводы
Реализация и исследование математической модели оценки ущерба
конфиденциальной информации от внешних угроз показывает, что:
1. Результаты моделирования были проанализированы с учетом влияния
входных параметров.
2. Чем выше техническое оснащение злоумышленника, тем выше
вероятность несанкционированного доступа и, как следствие, тем выше величина
ущерба.
3. При
увеличении параметра интенсивности действий злоумышленника 
вероятность
НСД растет, что в свою очередь близко приближается к 100%. Соответственно при
увеличении параметра интенсивности действий злоумышленника 
вероятность
НСД уменьшается и тем быстрее чем больше разница между 
и 
.
. Математическая
модель гибко реагирует на изменение входных данных. Были выявлены особенности
поведения модели при различных значениях входных параметров.
. Разработанная
математическая модель учитывает только небольшое количество факторов. С одной
стороны их количество достаточно для описания сути проблемы и понимания общей
структуры функционирования модели, с другой - для полного анализа существующей
проблемы необходимо учитывать как можно больше параметров, что приведет как к
увеличению сложности моделирования, так и к более точным результатом.
4. Безопасность и экологичность работы
4.1 Анализ
опасных и вредных факторов, возникающих на рабочем месте пользователя ПЭВМ
Операторы ПЭВМ, программисты сталкиваются с воздействием таких физически
опасных и вредных производственных факторов, как повышенный уровень шума,
неудовлетворительные микроклиматические параметры, отсутствие или недостаток
естественного света, недостаточная освещенность рабочей зоны, возможность
поражения электрическим током, статическое электричество и электромагнитные
излучения. Также оказывают воздействие психофизиологические факторы: умственное
перенапряжение, перенапряжение зрительных и слуховых органов, монотонность
труда, эмоциональные перегрузки.
Воздействие указанных неблагоприятных факторов приводит к снижению
работоспособности, утомлению и раздражению, появлению недомогания и болей.
Рассмотрим подробнее основные вредные факторы:
Для избежания недостаточной освещенности искусственное освещение в
помещении с ПЭВМ осуществляется люминесцентными источниками света в потолочных
светильниках. Величина освещенности при искусственном освещении в
горизонтальной плоскости будет не ниже 300 лк. Местное освещение на рабочем
месте операторов обеспечивается светильниками, установленными непосредственно
на рабочем столе. Они должны иметь не просвечивающиеся отражатели и
располагаться ниже или на уровне линии зрения оператора, чтобы не вызывать
ослепления.
В помещениях, оборудованных ПЭВМ, токи статического электричества чаще
всего возникают при прикосновении персонала к любому из элементов ПЭВМ. Такие
разряды опасности для человека не представляют, однако кроме неприятных
ощущений могут привести к выходу оборудования из строя.
Для предотвращения образования и защиты от статического электричества в
помещении используются нейтрализаторы и увлажнители, а полы имеют
антистатическое покрытие в виде поливинилхлоридного антистатического линолеума
марки АСН.
Шум на исследовательском рабочем месте создаётся вентиляционной системой
ПЭВМ и печатающим устройством. Уровень шума, создаваемый вентиляционной
системой, составляет примерно 40 дбА. В процессе рабочего дня принтер
включается по мере необходимости, поэтому шум следует квалифицировать как
непостоянный, прерывистый.
Для снижения шума в помещении компьютеры, принтеры установлены на
амортизирующие прокладки (резина).
Уровни звука и эквивалентные уровни звука в помещении, где работают
операторы ПЭВМ, не должны превышать 65 дБ.
Устройства визуального отображения генерируют несколько типов излучения,
в том числе рентгеновское, радиочастотное, видимое и ультрафиолетовое. Однако
уровни этих излучений достаточно низки и не превышают действующих норм.
Недостаточная чистота и количество необходимого воздуха. Основной задачей
установок кондиционирования воздуха является поддержание параметров воздушной
среды в допустимых пределах, обеспечивающих надёжную работу ПЭВМ и комфортные
условия для операторов.
Воздух необходимо очищать от пыли, так как пыль, оседающая на устройства
и узлы ПЭВМ, ухудшает теплоотдачу, может образовывать токопроводящие цепи,
вызывает стирание подвижных частей и нарушение контактов.
При длительной работе за экраном дисплея, у операторов отмечается
выраженное напряжение зрительного аппарата, появляются болезненные ощущения в
глазах и в пояснице, головные боли, усталость.
Это приводит к нарушению сна, раздражительности, неудовлетворенности
работой и др.
Для предотвращения этих проявлений работники во время рабочего дня должны
выполнять комплекс производственной гимнастики. Через каждые два часа работы
должны предусматриваться перерывы на 10-15 минут.
Данная дипломная работа посвящена разработке модели оценки ущерба
конфиденциальной информации от внешних угроз при кафедре защиты информации.
В рабочем помещении площадью 6 x 6 м и высотой 3,5 м находятся: четыре ПЭВМ и два печатающих устройства,
три рабочих стола для инженеров-программистов, два вспомогательных стола, сейф
для хранения дискет и другого вспомогательного инвентаря, необходимого при
работе с ПЭВМ, шкаф.
Площадь под основное и вспомогательное оборудование составляет
10,85_кв.м.
Общая площадь помещения составляет 36 кв.м. Рассчитаем площадь,
приходящуюся на одного человека по формуле:

(4.1)
где 
-
площадь установленного оборудования,

-
площадь помещения,

-
количество работающих в помещении человек.

кв.м. (4.2)
Таблица
4.1 - Площадь под основное и вспомогательное оборудование
|
Оборудование
|
Количество
|
Размеры, мм
|
Площадь, м2
|
Объем, м3
|
|
1
|
2
|
3
|
4
|
5
|
|
Рабочий стол
|
4
|
1200*900*725
|
4,32
|
3,13
|
|
Вспомогательный стол
|
3
|
1000*600*725
|
1,80
|
|
Стул
|
4
|
450*450*800
|
0,81
|
0,65
|
|
Шкаф
|
1
|
3000*800*2000
|
2,40
|
4,80
|
|
Сейф
|
1
|
700*400*1500
|
0,28
|
0,42
|
|
Силовой щит
|
1
|
200*100*400
|
0,02
|
0,01
|
|
Системный блок
|
4
|
200*450*350
|
0,36
|
0,13
|
|
Монитор
|
4
|
350*450*350
|
0,63
|
0,22
|
|
Принтер
|
2
|
450*250*100
|
0,23
|
0,02
|
|
Итого
|
10,85
|
10,68
|
Это удовлетворяет норме СанПиН 2.2.2.542-03, предусматривающей не менее 6
кв.м свободной от оборудования площади на одного человека.
Высота помещения равна 3,5 м. Расчет объема помещения, приходящегося на
одного человека, рассчитывается по аналогичной формуле:
Vчел = Vпомещ - Vуст.обор / N, (4.3)
где Vуст.обор - объем установленного оборудования,
Vпомещ - объем помещения,
N
- количество работающих в помещении человек.

куб.м. (4.4)
Это
удовлетворяет норме СанПин, предусматривающей не менее 20 м3
свободного объема на одного человека.
Микроклимат и организация воздухообмена. Под микроклиматическими
условиями производственного помещения понимают состояния температуры,
относительной влажности, скорости движения воздуха. Перечисленные параметры
оказывают огромное влияние на функциональную деятельность человека, его
самочувствие и здоровье и на надежность работы средств вычислительной техники.
Эти микроклиматические параметры влияют как каждый в отдельности, так и в
различных сочетаниях.
С целью создания нормальных условий для персонала вычислительного зала
используем нормы производственного микроклимата (СанПиН) для категории работ
1б. По этим нормам устанавливаем значения температуры, относительной влажности
и скорости движения воздуха для рабочей зоны помещения с ПЭВМ, которые
представлены в таблице 4.2.
Таблица 4.2 - Микроклиматические условия
|
Период года
|
Температура воздуха, град.
С не более
|
Относит. влажность воздуха,
%
|
Скорость движения воздуха,
м/с
|
|
оптимальная
|
оптимальная
|
оптимальная
|
|
Холодный
|
21 - 23
|
40 - 60
|
0,1
|
|
Теплый
|
22 - 24
|
40 - 60
|
0,1
|
В данном компьютерном зале применяется водяная система центрального отопления.
Она должна обеспечить достаточное, постоянное и равномерное нагревание воздуха
в помещениях в холодный период года.
На микроклимат оказывают влияние источники тепла, находящиеся в
помещениях с ПЭВМ. Для обеспечения установленных норм микроклиматических
параметров и чистоты воздуха применяют вентиляцию и кондиционирование. Расчет
воздухообмена проводится по теплоизбыткам от ПЭВМ и вспомогательного
оборудования, людей, солнечной радиации и искусственного освещения. Расчет
производится для теплого периода года.
(4.5)
где L
- объем приточного воздуха, м3/ч;
Qизб - избыточные тепловыделения, кДж/ч;
с - теплоемкость воздуха (1,005 кДж/(кг*О
С));
-
плотность приточного воздуха, кг/м3, (
=1,2 кг/м3);
tвытяж,
tприточ -
температура вытяжного и приточного воздуха, ОС.
Теплоизбытки
в машинном зале можно определить по формуле:

(4.6)
где
Qобор. - выделение тепла от оборудования,
Qлюдей - поступление тепла от людей,
Qосв. - выделение тепла от электрического освещения,
Qрад. - поступление тепла от солнечной радиации,
Рассмотрим
определение отдельных составляющих теплоизбытков в машинном зале.
Выделение
тепла от оборудования, потребляющего электроэнергию:

, (4.7)
где N
- суммарная установленная мощность оборудования, кВт;

-
коэффициент использования установочной мощности(
=0,95);

-
коэффициент одновременности работы (
= 0,8).

,
(4.8)
где 
-
установочная мощность одной ЭВМ;

-
мощность печатающего устройства.

кВт, (4.9)

кДж/ч. (4.10)
Выделение
тепла от людей:

, (4.11)
где n
- количество людей, одновременно работающих в машинном зале;
q - количество тепла, выделяемого одним
человеком (для категории работ на q = 150 ккал/ч = 4,1868*150 = 628,02
Дж/ч).

(кДж/ч)
(4.12)
Поступление
тепла от электрического освещения:

(4.13)
где N
- мощность одной лампы, кВт;
n
- количество ламп.

, 
-
коэффициенты, учитывающие способ установки и особенности светильников (для
встроенных в подвесной потолок светильников с люминесцентными лампами 
= 0,3; 
= 1,3).

(кДж/ч) (4.13)
Количество
тепла, поступающее от солнечной радиации:

(4.14)
где
q' - поступление тепла при наклонном заполнении светового
проема, облучаемого прямой солнечной радиацией, ккал/м2
ч,
F
- суммарная площадь окон в помещении;
С
- коэффициент относительного проникновения солнечной радиации (С=0,59
для окон со средними по окраске шторами);

, 
- температура наружная и внутренняя;
R -
сопротивление теплопередачи, ч
м2
ОС/ккал (R=0,4 для окон со шторами);
Второе
слагаемое в правой части формулы для вентиляции с испарительным охлаждением не
учитывается.

, (4.15)
где

-
коэффициент, учитывающий затенение остекления световых проемов переплетами и
загрязнение атмосферы (
=0,9);

-
коэффициент, учитывающий загрязнение стекла (
=0,95);

и 
-
количество тепла прямой солнечной радиации в июле на широте 45 градусов,
поступающего в помещение через окна соответственно горизонтального и
вертикального заполнения светового проема, ккал/ч
м2;

-
количество тепла рассеянной солнечной радиации в июле на широте 45 градусов,
поступающего в помещение через окна горизонтального заполнения светового
проема, ккал/ч
м2.
Значения
этих параметров возьмем максимальными из возможных в течение рабочего дня: 
360
ккал/ч
м2 
100
ккал/ч
м2 (оба
окна ориентированы на запад).
Значения
коэффициентов 
и 
при угле
наклона плоскости окна к горизонту 90о соответственно равны 0 и 1.

кДж/м2
ч. (4.16)
Площадь
окон вычисляется с учетом неизбежной установки кондиционеров:

м2,
(4.17)

= 1925,28

7,362 
0,59 =
8361,39 кДж/ч. (4.18)
В
ориентировочных расчетах вентиляции можно принять:

28 
18 
10 (
С)
(4.19)
Найдем
количество приточного воздуха:
Для
подачи воздуха в помещение предполагается использование кондиционера типа
БК-2500, который имеет габариты 460 х 660 х 615 мм, способный подавать объем
воздуха 620 м3/ч. Кондиционер обеспечивает перепад температур на 10 градусов.
Необходимое
число кондиционеров:

, (4.21)
где
V - производительность кондиционера.
n = 1116,88 / 620 = 1,8. (4.22)
Округляем
результат до целого числа: n = 2.
Таким
образом, для создания благоприятных условий в выбранном помещении должны
находиться 2 кондиционера типа БК-2500, которые устанавливаются в оконные рамы.
Итак,
для обеспечения необходимого микроклимата в помещении и соблюдения санитарных
норм достаточно оснастить офисное помещение всего двумя кондиционерами
отечественного производства.
Конечно
же, для соблюдения санитарных норм необходимо также минимизировать воздействие
других вредных факторов.
4.2
Безопасность в чрезвычайных ситуациях
Основными
видами ЧС при эксплуатации ПЭВМ являются: поражение электрическим током, пожар.
Необходимо проанализировать влияние опасных факторов на рабочем месте.
Так
как ЭВМ подключен к сети электропитания, то возможны следующие чрезвычайные
ситуации:
- поражение электрическим током;
- пожар в помещении.
Для исключения данных ситуаций следует соблюдать нормы и требования по
электробезопасности.
Электрические установки, к которым относится практически все оборудование
ПЭВМ, представляют для человека опасность.
Основное питание ПЭВМ осуществляется от трехфазной сети частотой 50 Гц и
напряжением 220 В, с глухозаземленной нейтралью. Рабочее помещение,
оборудованное ПЭВМ, относится к помещениям без повышенной опасности: сухое, с
нормальной температурой воздуха, с токонепроводящими полами и отсутствием
возможности одновременного прикосновения к корпусу ПЭВМ и металлическим
конструкциям, имеющим соединение с землей.
В целях защиты от поражения электрическим током все установки заземлены в
соответствии с ПУЭ. Предельно допустимые уровни напряжений и токов
прикосновения при частоте переменного тока равной 50 Гц не должны превышать: U
= 2 В и I = 0,3 мА. При аварийном режиме значения уровней напряжения и тока не
должны превышать значений U = 20 В и I = 6 мА.
Возможность поражения электрическим током от видеотерминала и принтера
исключена ввиду того, что их корпуса выполнены из пластмассы.
Режим противопожарного состояния помещений СевКавГТУ в соответствии с
Правилами противопожарной безопасности. Ответственность за пожарную
безопасность отдельных кабинетов, лабораторий и других помещений возлагается на
руководителей этих структурных подразделений. В кабинетах, лабораториях
находятся план эвакуации и средства индивидуальной защиты.
Противопожарный осмотр и запись в журнале проводит, как правило,
заведующий кабинетом, лабораторией в конце рабочего дня (перед закрытием
помещения).
Кабинет оборудован огнетушителем порошковым марки ОП-2(б)-1А и
автоматическими установками пожарной сигнализации и пожаротушения, выполненной
в соответствии с нормами и требованиями.
4.3 Экологичность работы
В ходе разработки дипломной работы необходимо соблюдать предложенные
экологические нормы, обеспечивающие защиту здоровья преподавателей и студентов,
а так же окружающей среды в ходе работы.
Разработка данной дипломной работы соответствует экологическим нормам и
дальнейшее использование работы не вносит никаких изменений в экологию
окружающей среды.
Выводы
1. Выявлены основные негативные факторы, воздействующие на пользователя
ЭВМ во время работы.
2. Рассчитана система поддержания постоянного микроклимата в
помещении для работы на ЭВМ.
. Проверена на соответствие санитарным нормам помещения для работы
на ЭВМ.
. Установлены параметры системы кондиционирования в помещении,
необходимые для обеспечения комфортной работы.
5. Расчет технико-экономической эффективности
.1 Основы расчета затрат, необходимых на разработку модели
Расчет затрат целесообразно проводить точным методом на основе
нормативных материалов и трудовых затрат. Исходными данными для расчета являются:
нормы трудоемкости по выполнению отдельных видов работ, часовые тарифные ставки
специалистов различной квалификации, спецификации оборудования, норматив
отчислений на социальные нужды, тариф на электроэнергию.
Основная заработная плата специалистов, определяемая с учетом количества
инженерно-технических работников, их квалификации, трудоемкости работ и часовых
тарифных ставок исполнителей, задается выражением

(5.1)
где i - трудоемкость
i -го вида работ, часы;

-
часовая тарифная ставка исполнителя i -го вида
работ.
Дополнительная заработная плата определяется следующим образом:

(5.2)
На статью «дополнительная зарплата» относятся выплаты, связанные с
очередными и дополнительными отпусками, оплатой времени по выполнению
государственных и общественных обязанностей. При проведении ОКР можно принять К
= 1,1 ... 1,2.
Отчисления на социальные нужды берутся от суммы основной и дополнительной
заработной платы в размере 34%. о значения R
Расчеты
затрат на электроэнергию выполняется с учетом потребляемой мощности отдельных
электроприемников Р (кВт) длительности эксплуатации оборудования
при проведении ОКР
и тарифа
на электроэнергию Ц.

(5.4)
Результаты расчета отдельных составляющих затрат на электроэнергию
заносятся в определенные формы.
Основными статьями расходов является:
– сырье и материалы;
– затраты на электроэнергию;
– основная и дополнительная заработная плата рабочих на
производстве;
– отчисления в фонд внебюджетного страхования;
– расходы на содержание и эксплуатацию оборудования.
Расчет отдельных составляющих можно произвести по ранее приведенным
формулам (5.1-5.4) При этом основную заработную плату производственных рабочих
следует определять по формуле:

(5.5)
где

-
коэффициент, учитывающий премию (1,1... 1,2);
норма времени изготовления изделия по d-му разряду, нормо-ч.;

- часовая
тарифная ставка рабочего d -го разряда, руб/нормо-ч .
Чистую прибыль получают как разность плановой прибыли П и налога
на прибыль НП.
П = П0(1-НП/100) (5.6)
Налог на прибыль установлен в размере 20.
Договорная цена выпускаемой модели устанавливается с учетом налога на
добавленную стоимость НД (НД составляет 18% от оптовой цены).

(5.7)
.2 Проведение расчета затрат, необходимых на разработку
модели
Составим смету затрат на разработку модели оценки ущерба конфиденциальной
информации от внешних угроз, в нее включаются:
Произведем расчет материальных затрат на разработку модели указаны в
таблице 5.1:
Таблица 5.1 - Расчет материальных затрат
|
Наименование
|
Количество
|
Единица измерения
|
Цена, руб.
|
Затраты, руб.
|
|
1
|
2
|
3
|
4
|
5
|
|
Лазерные диски CD-R
|
5
|
шт.
|
20
|
100
|
|
Канцелярские принадлежности
|
1
|
шт.
|
15
|
15
|
|
Бумага формат А4
|
2
|
Пачка (500 л.)
|
150
|
300
|
|
Картридж на принтер
|
1
|
шт.
|
2500
|
2500
|
|
Итого
|
2915
|
Определим основную и дополнительную заработная плата разработчика:
Основная
заработная плата
разработчика рассчитывается по следующей формуле:
, (5.8)
где
- среднедневная заработная плата персонала, денежные
единицы, рубли;
- общая
трудоёмкость проекта, дни (
).
При
выполнении расчета времени разработки модели следует учитывать следующие работы
на следующих стадиях:
– техническое задание;
– техническая работа;
– разработка модели;
В проекте каждая из стадий имеет следующие трудоёмкости:
– техническое задание - 2 дня;
– техническая работа - 28 дней;
– разработка модели - 40 дней;
Заработная плата в день составит:
, (5.9)
где
- заработная плата разработчика в месяц;
-
количество рабочих дней в месяц (22 дня);
. (5.10)
Тогда
основная заработная плата
равна:
. рублей (5.11)
Дополнительная
зарплата рассчитывается, как 10% от основной:
рублей (5.12)
Общая
заработная плата равна
.
Отчисления
на социальные нужды составляют 34% от общей заработной платы и равняются
5354,857 рублей (
). Из них:
– пенсионный
фонд - 26%. Отчисления составляют 5264,86 рублей
;
– социальное
страхование - 2.9%. Отчисления составляют 456,7378 рублей (
);
– ФФОМС
- 2.1%. Отчисления составляют 330,7412 рублей
;
– ТФОМС
- 3%. Отчисления составляют 472,4874 рубля
. Затраты
машинного времени зависят от себестоимости машино-часа работы ЭВМ и времени
работы ЭВМ и включает амортизацию ЭВМ и оборудования и затраты на
электроэнергию:
, (5.13)
где
- амортизационные отчисления, денежные единицы;
-
затраты на ЭВМ и оборудования: затраты на компьютер 16000 рублей; затраты на
принтер 4500 рублей.
рублей. (5.14)
- норма
амортизации, принята равной
;
- время
использования оборудования (дни) - равное:
(5.15)
где
- затраты времени на разработку технической работы,
разработки модели и внедрения соответственно, дни.
дня.
(5.16)
рублей.
(5.17)
Затраты
на электроэнергию рассчитываются по формуле:
(5.18)
где
- стоимость 1 кВт/ч электроэнергии, денежные единицы
(4,25 рублей);
-
мощность ЭВМ, кВт (0,6);
-
суточное время работы ЭВМ, ч (8 ч);
рублей. (5.19)
Затраты
на инструментальные средства составляют 8500 рублей. Накладные расходы
определяются, как 20% от основной заработной платы. Составляют 3149,916 рублей
в месяц. Сведем все данные по затратам в таблицу
Таблица 5.2 -Общие затраты на разработку модели
|
Элементы затрат
|
Затраты, руб.
|
|
Материальные затраты
|
2835
|
|
Основная и дополнительная
зарплата
|
15749,58
|
|
Отчисления на социальные
нужды
|
5354,857
|
|
Затраты на оплату машинного
времени
|
1240
|
|
Накладные расходы (20%)
|
3149,916
|
|
Итого
|
28329,35
|
5.3 Анализ
затрат на разработку модели сотрудниками сторонней организации
Затраты на работу зависят от предъявляемых функциональных требований,
используемых технологий, объёма работ, сроков разработки, передачи прав на
разработанную модель.
Ставки специалистов компании «IT Митра»:
- программист - от 500 до 800 руб. в час (для расчета возьмем 700 рублей в
час);
- бизнес-аналитик - 750 руб. в час;
- менеджер проектов (работ) - 750 руб. в час;
Затраты на составление технического задания (ТЗ) составляет 10 - 20% от
затрат на разработку модели. Минимальная затрата составления ТЗ - 10 000 руб.
Работу по составлению технического задания ведёт менеджер работы совместно с
программистами.
На разработку технического задания, технической работы, рабочей модели и
внедрения модели оценки ущерба конфиденциальной информации от внешних угроз
понадобится квалифицированная помощь программиста, менеджера проектов (работ).
Так как работу по разработке будет вести 3 специалиста, соответственно общее
время разработки можно уменьшить в три раза.
Тогда трудоемкость по этапам составит:
– техническое задание - 2 дня;
– техническая работа - 11 дней;
– разработка модели - 15 дней;
получим, что предприятию нужно оплатить следующие работы:
- программиста
- 224 часов (
дней или 224 часов);
- менеджера
проектов - 16 часов (
дня или 16 часов);
С учетом этих данных получим основную заработную плату сотрудников
сторонней организации:
рублей. (5.20)
Кроме этого затраты технического задания составляют:
рублей. (5.21)
Получается,
что затраты на разработку модели оценки ущерба конфиденциальной информации
составляют:
рублей. (5.22)
5.4 Экономическое
обоснование
Для
расчета экономической эффективности определим приведенные затраты по каждому из
вариантов внедрения модели оценки ущерба конфиденциальной информации от внешних
угроз. Для этого необходимо вычислить сумму капитальных и текущих затрат. К
капитальным затратам относятся затраты на покупку ЭВМ и прочих аппаратных
средств (
). К текущим затратам относятся затраты на оплату:
программного обеспечения
, инструментальных средств (
) и на обучение персонала (
).
(5.23)
Так
как затраты на покупку одного принтера и одной ЭВМ носят капитальный характер,
то для расчета применяется следующая формула:
(5.24)
где
- затраты капитального характера;
-
коэффициент приведения, равный 0.15.
Подставив
значения в формулу (5.23), получим:
рублей в
год (5.25)
Для
разработки модели оценки ущерба конфиденциальной информации от внешних угроз
понадобится:
рублей. (5.26)
Для
разработки модели оценки ущерба конфиденциальной информации от внешних угроз
сотрудниками организации «Митра» понадобится:
рублей. (5.27)
Приведем
в таблицах 5.3, 5.4 и 5.5 анализ расчета затрат на разработку модели оценки
ущерба конфиденциальной информации от внешних угроз.
Таблица 5.3 - Расчет затрат на разработку модели оценки ущерба
конфиденциальной информации от внешних угроз
|
Составные компоненты
|
Затраты, рубли
|
Структура затрат в %
|
|
Материальные затраты
|
2835
|
7
|
|
Основная и дополнительная
зарплата
|
15749,58
|
39
|
|
Отчисления на социальные
нужды
|
5354,857
|
13
|
|
Затраты на оплату машинного
времени
|
1240
|
3
|
|
Накладные расходы
|
3149,916
|
8
|
|
Себестоимость программного
продукта
|
28329,35
|
71
|
|
Затраты на инструментальные
средства
|
8500
|
21
|
|
Затраты на аппаратные
средства
|
3075
|
8
|
|
Суммарные затраты
|
39904,353
|
100
|
Таблица 5.4 - Расчет затрат на разработку модулей администрирования и
шифрования данных информационной системы учета заявок предприятия сотрудниками
сторонней организации
|
Составные компоненты
|
Затраты, рубли
|
Структура затрат в %
|
172615
|
94
|
|
Затраты на инструментальные
средства
|
8500
|
5
|
|
Затраты на аппаратные
средства
|
3075
|
1
|
|
Суммарные затраты
|
184190
|
100
|
Таким образом, для разработки модели оценки ущерба конфиденциальной
информации от внешних угроз сотрудниками сторонней организации необходимо
184190 рублей, а для разработки модели оценки ущерба конфиденциальной
информации от внешних угроз сотрудниками предприятия необходимо 39904,353
рублей, что в 5 раз меньше альтернативных решений.
Выводы
Анализ технико-экономической эффективности проекта позволяет утверждать,
что:
1. Разработка модели оценки ущерба конфиденциальной информации от
внешних угроз потребует работу одного специалиста в течение 70 дней.
2. Полученная заработная плата составит 15749,58 рублей.
. Затраты на разработку и внедрение программного продукта составят
39904 рублей 353 копейки.
. Затраты на разработку модели оценки ущерба конфиденциальной
информации от внешних угроз в 5 раз меньше затрат, необходимых на привлечение
сотрудников сторонней организации.
Это показывает экономическую выгоду разработки модели оценки ущерба конфиденциальной
информации от внешних угроз.
Заключение
В данной дипломной работе были рассмотрены основные методы оценки ущерба:
натурный эксперимент, полунатурное моделирование, методы экспертных оценок,
математическое моделирование. Все эти методы обладают как рядом плюсов, так и
минусов. Но для исследования в рамках данной дипломной работы наиболее
интересным явился метод математического моделирования. В результате была
разработана математическая модель с учетом современного представления данного
вопроса. Для разработки моделей такого типа был применен аппарат Марковских
процессов, которые на сегодняшний день широко применяются как в системах
массового обслуживания, так и при анализе действий злоумышленников.
При математическом моделировании учитываются только определенное
количество параметров, влияющих на исход моделирования. Обычно выбирают только
основные критичные в условиях проведения моделирования. Созданная
математическая модель также использует только самые критичные и необходимые
внешние параметры. Это с одной стороны позволило упростить модель и уделить
большее внимание самой структуре математической модели. С другой стороны,
полученные результаты являются приближенными, и для получения более точных
результатов необходимо использовать большее количество параметров (как внешних,
так и внутренних).
Разработанная модель позволяет внести в свою структуру дополнения и
изменения для получения более точных результатов. Например, в модели
используется ряд константных значений параметров, определение которых может
быть проведено на собственных математических моделях. И, как было описано выше,
более детальное определение этих параметров может повысить точность
результатов, но при этом увеличится и сложность полученной модели.
Список использованных источников
1. Российская Федерация. Законы. Об информации,
информационных технологиях и о защите информации [Текст] : федер. закон :
[принят Гос.: Думой 8 июля 2006 г. : одобр. Советом Федерации 14 июля 2006 г.].
- М. : Омега-Л, 2007. - 24 с.: - 500 экз. - ISBN 5-370-00202-9,
978-5-370-00202-1
2. ГОСТ 12.0.003-74 (СТ СЭВ 790-77). ССБТ. Опасные и
вредные производственные факторы. Классификация.
. ГОСТ 12.1.003-1999 ССБТ. Шум. Общие требования
безопасности. [Текст] - Взамен ГОСТ 12.1.003-83 ; Введ. 1999-01-01. - М. :
Изд-во стандартов, 1999. - 18 с.
. ГОСТ 12.1.004-1999 ССБТ. Пожарная безопасность.
Общие требования [Текст] - Взамен ГОСТ 12.1.004-91 ; Введ. 1999-01-01. - М. :
Изд-во стандартов, 1999. - 19 с.
. ГОСТ 12.2.032-2001 ССБТ. Рабочее место при
выполнении работ сидя. [Текст] - Взамен ГОСТ 12.1.032-78 ; Введ. 2001-01-01. -
М. : Изд-во стандартов, 2001. - 16 с.
6. СНиП 2.2.2.5.542-96. Гигиенические требования к
видеодисплейным терминалам, персональным ЭВМ и организация работ. [Текст] -
Взамен Временных санитарных норм и правил для работников вычислительных центов
; Введ. 1996-07-14. - М. : Изд-во стандартов, 1996. - 19 с.
7. Белов, Е. Б. Основы информационной безопасности
[Текст] : учеб. пособие для вузов / Е. Б. Белов, В. П. Лось, Р. В. Мещеряков,
А. А. Шелупанов. - М. : Горячая линия - Телеком, 2006. - 544 с.: - ил. - 3000
экз. - ISBN: 5-93517-292-5.
8. Бузов, Г. А. Защита от утечки информации по
техническим каналам [Текст] : учеб. пособие / Г. А. Бузов, С. В. Калинин, А. В.
Кондратьев. - М. : Горячая линия - Телеком, 2005. - 416 с.: - ил. - 3000 экз. -
ISBN: 5-93517-204-6.
. Гмурман, В. Е. Теория вероятностей и математическая
статистика [Текст] : учеб. пособие для вузов / В. Е. Гмурман. - М. : Высшая
школа, 2003. - 479 с.: - ил. - 20000 экз. - ISBN: 5-06-004214-6.
10. Гришина, Н. В. Организация комплексной системы защиты
информации [Текст] : учеб. пособие / Н. В. Гришина. - М. : Гелиос АРВ, 2007. -
256 с.: - ил. - 400 экз. - ISBN: 978-5-85438-171-0.
11. Грушко, А. А. Теоретические основы компьютерной
безопасности [Текст] : учеб. пособие / А. А. Грушо, Э. А. Применко, Е. Е.
Тимонина. - М. : Академия, 2009. - 272 с.: - ил. - 2500 экз. - ISBN:
978-5-7695-4242-8.
. Домарев, В. В. Безопасность информационных
технологий. Методология создания систем защиты [Текст] : учебное пособие / В.
В. Домарев. - М. : ТИД «ДС», 2006. - 688 с.: - ил. - 2000 экз. - ISBN
966-7992-02-0.
13. Крысин, А. В. Информационная безопасность [Текст] :
практическое руководство / А. В. Крысин - М. : Спаррк, 2003. - 320 с.: - ил. -
3000 экз. - ISBN: 5-7315-0144-0.
14. Максимов, Ю. Н. Технические методы и средства защиты
информации [Текст] : учебное пособие / Ю. Н. Максимов, В. Г. Сонников, В. Г.
Петров. - СПб : Полигон, 2000. - 314 с.: - ил. - 2000 экз. - ISBN:
5-89173-096-0.
15. Малюк, А. А. Информационная безопасность:
концептуальные и методологические основы защиты информации [Текст] : учебное
пособие для вузов / А. А. Малюк. - М. : Горячая линия-Телеком, 2004. - 208 с.:
- ил. - 2000 экз. - ISBN: 5-93517-197-Х.
16. Мельников В. В. Безопасность информации в
автоматизированных системах [Текст] : учебное пособие / В. В. Мельников. - М. :
Финансы и статистика, 2003. - 368 с.: - ил. - 4000 экз. - ISBN: 5-279-02560-7.
. Мельников В. П. Информационная безопасность и защита
информации [Текст] : учебное пособие / В. П. Мельников, С. А. Клийменов, А. М.
Петраков. - М. : Академия, 2008. - 336 с.: - ил. - 2500 экз. - ISBN:
978-5-7695-4884-0.
18. Михайлов, Г. А. Численное статистическое моделирование.
Методы Монте-Карло [Текст] : учебное пособие / Г. А. Михайлов, А. В. Войтишек.
- М. : Академия, 2006. - 368 с.: - ил. - 1500 экз. - ISBN: 5-7695-2739-0.
19. Романец, Ю. В. Защита информации в компьютерных
системах и сетях [Текст] : учебное пособие / Ю. В. Романец, П. А. Тимофеев, В.
Ф Шаньгин. - М. : Радио и связь, 2001. - 304 с.: - ил. - 3000 экз. - ISBN:
5-256-01518-4.
. Семкин, С. Н. Основы организационного обеспечения
информационной безопасности объектов информатизации [Текст] : учебное пособие /
С. Н. Семкин, Э. В. Беляков, С. В. Гребенев , В. И. Козачок. - М. :
Гелиос АРВ, 2005. - 192 с.: - ил. - 2000 экз. - ISBN: 5-85438-042-0.
. Степанов, Е. А. Информационная безопасность и защита
информации [Текст] : учебное пособие / Е. А. Степанов, И. К. Корнеев. - М. :
Инфра-М, 2001. - 304 с.: - ил. - 2000 экз. - ISBN: 5-16-000491-2.
22. Чашкин, Ю. Р. Математическая статистика. Анализ и
обработка данных [Текст] : учеб. пособие для студентов вузов / Ю. Р. Чашкин. -
Ростов н/Д. : Феникс, 2010. - 240 с.: - ил. - 2000 экз. - ISBN:
978-5-222-16474-7.
23. Чипига, А. Ф. Информационная безопасность
автоматизированных систем [Текст] : учеб. пособие для студентов вузов,
обучающихся по специальностям в обл. информ. безопасности / А. Ф. Чипига. - М.
: Гелиос АРВ, 2010. - 336 с.: - ил. - 500 экз. - ISBN: 978-5-85438-183-3.
. Шелухин, О. И. Моделирование информационных систем
[Текст] : учеб. пособие для студентов вузов / О. И. Шелухин. - М. : Горячая
Линия - Телеком, 2011. - 536 с.: - ил. - 1000 экз. - ISBN: 978-5-9912-0193-3.
25. Ярочкин, В. И. Информационная безопасность [Текст] :
учебник для студентов вузов / В. И. Ярочник. - М. : Академический проект, 2004.
- 544 с.: - ил. - 3000 экз. - ISBN: 5-8291-0408-3.