Премии в области качества. Инструменты контроля качества

  • Вид работы:
    Реферат
  • Предмет:
    Менеджмент
  • Язык:
    Русский
    ,
    Формат файла:
    MS Word
    707,12 kb
  • Опубликовано:
    2011-10-01
Вы можете узнать стоимость помощи в написании студенческой работы.
Помощь в написании работы, которую точно примут!

Премии в области качества. Инструменты контроля качества

1.      Метод FMEA. Цель проведения FMEA-анализа. Принципы проведения FMEA-анализа

Метод FMEA (Failure Mode and Effects Analysis) - "Анализ характера и последствий отказов" (часто его также называют "Анализ потенциальных несоответствий и их последствий") появился в США в середине шестидесятых годов и был использован впервые при разработке проекта космического корабля "Аполлон", а затем в медицине и ядерной технике. В 80-е годы метод получил дальнейшее развитие под названием FMEA и нашел применение также в автомобильной и других отраслях промышленного производства США, а затем в Европе и Японии. В некоторых областях промышленного производства метод стал основой обеспечения качества. В ФРГ метод нормирован стандартом ДИН 25448 (Центр сертификации Казань).

Это - один из наиболее эффективных методов аналитической оценки результатов конструкторской деятельности, процессов (в том числе и испытаний) на таких важнейших стадиях жизненного цикла продукции, как ее создание и подготовка к производству.

Прогнозирование дефектов и предупреждение их появления на этапе создания новой техники на основе теории проб и ошибок является важнейшей задачей этого метода.

Этот метод нацелен на "внедрение " качества в продукцию, поэтому он должен применяться как можно раньше, по крайней мере, до начала производства. Этот метод сначала применялся в основном при конструировании и создании процессов во всех технических сферах.При конструировании методом FMEA решаются следующие задачи:

• получение сведений о риске альтернативных вариантов,

• определение "слабых" мест конструкций и нахождение мер по их устранению,

• сокращение дорогостоящих экспериментов.

В свете ответственности за качество продукции, этот метод определяет технический уровень продукции с точки зрения предотвращения ошибок, то есть выявления потенциальных ошибок и оценки тяжести последствий для заказчика (внешней стороны), а также устранение ошибок или уменьшение степени их влияния на качество (выводы для внутренней стороны). Анализ конструкции основан на теоретических знаниях и информации о прошлом опыте. Анализ проходит параллельно самому процессу разработки, придает ему документированную форму. Он как бы обобщает все поиски и рассуждения в процессе разработки. Снижение риска появления ошибок, которые вызывают неудовлетворенность потребителя и потерю у него интереса к продукции, является важнейшим элементом для сохранения конкурентоспособности. На этапе создания процессов методом FMEA решаются задачи:

• принятие решений о пригодности альтернативных процессов и оборудования при предварительном планировании и определении лучших из них;

• обнаружение "слабых" мест и принятие мер по их устранению при планировании производства;

• подготовка серийного производства;

• исправление процессов серийного производства, которые оказываются нестабильными или неспособными.

Наиболее часто метод FMEA применяют при:

• разработке новых изделий;

• разработке новых материалов и методов;

• изменении продукции, процесса или операции;

• новых условиях применения существующей продукции;

• недостаточных возможностях технологического процесса;

• ограниченных возможностях контроля;

• ограниченных возможностях контроля;

• использовании новых установок, машин или инструментов;

• высокой доле брака;

• возникновении риска загрязнения окружающей среды, нарушении норм техники безопасности;

• существенных изменениях организации работы.

В настоящее время метод FMEA применяется как в технических, так и других отраслях. При этом он может быть продуктивно использован при анализе закупок, организации работы, программном обеспечении и в других случаях.- это эффективный инструмент повышения качества как для разработчиков и конструкторов, так и инженеров, связанных с организацией труда, процессами и производством. Он позволяет идентифицировать недостатки способа и самой продукции при новых разработках. Метод FMEA позволяет выявить потенциальные несоответствия, их причины и последствия, оценить риск предприятия и принять меры для устранения или снижения опасности.- это общепринятый и самостоятельный инструмент, который подготавливает базу для дальнейшего применения аналитических и статистических методов.

Структура FMEA содержит известные элементы методик структурирования, анализа и оценки вместе с перечнем мероприятий и обязательными контрольными нормативами.требует от человека, применяющего этот метод, систематического документирования своих рассуждений и идей. С точки зрения предприятия, документирование постоянно пополняет опыт работы. Это устраивает также и заказчика, который убеждается в том, что исполнители критически подходят к проверке собственной работы. Все это позволяет заранее оценить риск от появления несоответствий и снизить или вообще избежать затрат на устранение последствий отказов. Таким образом, при последовательном применении метода FMEA можно с самого начала выявить потенциальные несоответствия и избежать их появления в продукции.

Следует обратить внимание на необходимость внимательного рассмотрения особенностей метода FMEA и целей его применения. Этот метод, позволяющий исключить ошибки на ранней стадии создания продукции и процессов, исходит прежде всего из их детализации и строгого учета всех исполняемых функций. Он обладает значительной эффективностью при создании конкурентоспособной продукции в короткие сроки и значительно экономит время и средства. Однако этот метод не является всеобъемлющим. Он, например, не обеспечивает анализа и обобщения пожеланий заказчиков (покупателей). Какой объем багажного отделения должен быть в новом легковом автомобиле - большой, средний или маленький? То есть, при формировании перечня показателей качества помог бы метод "QFD" (Quality Function Deployment). Метод QFD осуществляет связь между ожиданиями заказчика и характеристиками продукции, компонентами комплексной продукции, процессами производства, а также отдельными технологиями для того, чтобы определить потребности в улучшении с учетом выполнения ожиданий заказчика и возрастающей конкуренции. При оценке надежности всей системы с учетом всевозможных отказов был бы целесообразен метод графов. На других этапах исследований бывает необходимо и полезно применение также статистического регулирования процессов, метода Тагуши и других. Поэтому для создания конкурентоспособной продукции в короткие сроки предприятие само должно решить, какой набор методов анализа и планирования, дополнительно к FMEA, целесообразно применить для данной продукции и конкретных условий. Только при удачном совокупном подборе таких методов, система качества будет активно функционировать и соответствовать требованиям МС ИСО 9001-9003, а предприятие будет иметь стабильно высокие прибыли. Удовлетворенный потребитель является лучшим показателем качества продукции и эффективной организации работы!

К особенностям метода можно отнести:

. Прогнозирование несоответствий (ошибок) и превентивность при обеспечении качества. Эта особенность была отмечена ранее.

. Систематические действия, которые выполняются по формализованной и апробированной многими предприятиями методике (рис. 4) с применением типовых формуляров. Все это позволяет, с одной стороны, выявить и изобразить в логической последовательности и взаимосвязи потенциальные ошибки, и с помощью количественного показателя оценить в связи с этим риск предприятия, а, с другой стороны, накопить соответствующий опыт для последующих разработок и совершенствований.

. Коллективный подход. FMEA обычно проводит рабочая группа, составленная из специалистов разных служб и отделов с целью:

• использования большего объема знаний и опыта. Опыт работы имеет существенное значение для эффективного использования метода FMEA при оценке качества раз работок. Для анализа многих объектов бывает достаточно машинное или компьютерное моделирование, чтобы оценить объект без его физического изготовления и испытания. Число моделируемых объектов и их компонентов увеличивается вместе с накоплением опыта анализа;

• повышения эффективности решения проблемы за счет применения синергического эффекта, а также одновременного, а не последовательного принятия решения;

• расширения круга лиц, признающих результаты;

• мотивации качественного труда.

. Функциональное рассмотрение, т.-е. метод имеет целенаправленное значение для анализа функций систем, конструкций и процессов, контролирующий выполнение поставленных задач (в соответствии с техзаданием, чертежом или рабочим планом).

. Критический анализ для выявления по возможности всех потенциальных отказов, слабых мест или рисков. Анализ позволяет наметить способы снижения риска и оценки.

. Творческий подход при реализации метода на всех стадиях анализа.

Выявление ошибок, причин их появления, оценка последствий и выполнение других работ требует аналитического, творческого мышления. Такое мышление, поддерживаемое применением различных методов коллективной работы, требуется и при поиске идей и способов уменьшения риска. Специалистам, выполняющим такой анализ, приходится сталкиваться с многовариантностью решений, которая может привести к определенным замешательствам и разногласиям у участников. Но возможность многовариантного решения и выбора наиболее эффективного (или эффективных) из них - это, безусловно, удача и, как правило, результат грамотной организации работы. В таких случаях необходимо применить обоснованный выбор критериев отбора вариантов.

Хорошо, если такие критерии будут иметь числовые характеристики, и при этом представлены в виде математических зависимостей от факторов влияния. Тогда анализ достоинств вариантов будет сведен к элементарному сравнению числовых значений обобщенных показателей.

. Детализация. Метод рассматривает риск применения отдельных элементов объектов в соответствии с заданными функциями. Анализ дает картину отказа системы в целом на основе изучения отказов отдельных компонентов. Комбинация отказов не рассматривается.

. Метод FMEA является формализованным аналитическим методом для систематизированного и полного определения и устранения потенциальных ошибок при планировании, конструировании, на производстве.

. Преимущество метода состоит в том, что его можно применять на ранних, наиболее важных стадиях планирования и создания продукции и процессов, о чем будут даны разъяснения в следующем разделе.

Метод FMEA может быть успешно внедрен лишь сверху вниз. Это означает, что введение и реализация метода возможны лишь при активном участии руководства предприятия, которое должно обеспечить обучение персонала, предоставить время, достаточное для получения результата, и не ограничивать поле организационной деятельности работников. После окончания анализа также требуется участие руководства для поддержки реализации разработанных мероприятий (Центр сертификации Казань).

.        Премии в области качества. Американская премия (премия Болдриджа): критерии премии, порядок присуждения

Сегодня в бизнесе философия совершенствования тесно связана с обеспечением качества процессов внутри организации и с их управлением. Качество становится краеугольным камнем конкурентоспособности бизнеса, и эту точку зрения разделяет все больше людей. Эволюция понятия "качество" определила несколько этапов развития этой детерминанты современного менеджмента. Контроль, а затем гарантия качества продуктов и услуг трансформировались в управление качеством процессов и тотальное (всеобщее) управление качеством (Total Quality Management - TQM).

Награды за качество и достижение превосходства в бизнесе приносят признание лучшим организациям и являются важным элементом в стратегиях совершенствования, повышения производительности и конкурентоспособности как на микро-, так и на макроэкономическом уровне.

Сегодня существует множество конкурсов качества, таких как "Сто лучших товаров России", "Народная марка", "Товар года", где оцениваются потребительские свойства продуктов и услуг, объем продаж, позиция в рейтинге брэндов. Мы же хотим обратить внимание на премии за качество систем управления и организацию бизнеса. Подобные конкурсы, как правило, инициируются на государственном уровне. Многие национальные и региональные премии в области качества учреждаются с целью систематизировать и структурировать менеджмент компаний на основе философии качества, чтобы в результате повысить конкурентоспособность и производительность бизнеса как внутри страны, так и на мировом рынке. Значимость наградам придает и тот факт, что вручают их первые лица государства: так, в США премию Болдриджа ежегодно вручает лично Президент, а в России премии Правительства РФ в области качества вручает премьер-министр или один из его заместителей.

Современные широко распространенные и признанные в мире премии в области качества - Премия Болдриджа и Европейская премия качества - не просто награды за победу в конкурсах: они формируют национальную политику в области качества Америки и Европы. В подтверждение тому стоит вспомнить текст знаменитого Закона 100-107, учреждавшего премию Болдриджа "…лидерство США в обеспечении качества изделий и качества процессов оспаривалось (и иногда успешно) зарубежными конкурентами, и темпы роста нашего национального производства оказались меньше, чем у наших конкурентов за последние два десятилетия". С этого момента (20 августа 1987 г.) Правительство США объявило войну низкому качеству с целью защитить американские компании от давления со стороны конкурентов и преодолеть экономический спад 1980-х гг. Идея национальной награды за качество сполна оправдала надежды организаторов конкурса. За годы своего существования Премия Болдриджа сформировала принципиально новый подход к управлению компаниями. Президент США Дж. Буш на церемонии вручения премии 2000 г. отметил: "Критерии премии Болдриджа являются отличным стандартом для компаний в борьбе за превосходство в бизнесе. Это возможность посмотреть на себя глазами потребителей и рынка. Премия Болдриджа становится мировым стандартом, подтверждением тому является растущее число аналогичных программ по всему миру".

Именно на основе критериев Болдриджа разработана и адаптирована к национальной практике менеджмента Японская премия качества (Japan Quality Award). Ш. Саба, экс-председатель комитета конкурса, выступая на форуме Азиатской организации производительности в 1999 г., обосновал появление Японской премии качества следующим образом: "Успех премии Болдриджа в деле совершенствования систем управления показал, что японским компаниям следует не только заботиться о качестве своих продуктов и услуг, но и уделять пристальное внимание качеству менеджмента. В связи с этим в Японии встал вопрос о создании национальной премии в области качества".

Критерии премии Болдриджа основаны на оценке различных результатов деятельности предприятия и сравнении их с соответствующими итогами предыдущих периодов. Такое постоянное наблюдение за развитием компании стимулирует непрерывные усовершенствования. Отчасти причиной сосредоточенности именно на результатах качества является общепризнанный и подтвержденный опытом факт, что "если результаты деятельности не сравниваются непрерывно, компания не совершенствуется".

Для обеспечения прогресса фирма самостоятельно должна непрерывно сравнивать свои достижения по основным критериям с соответствующими показателями компаний-лидеров в ее отрасли. Это становится возможным благодаря определению эталона (Benchmarking). Критерии Болдриджа служат исходными пунктами для оценки состояния каждого элемента структуры организации, и это стимулирует самооценку компании. На основе таких исходных данных компания может корректировать свои основные цели и пересматривать стратегию.

Целью премии являлось повысить значимость качества в работе американских компаний. В соответствии с требованиями, установленными этой премией, компании, которые ее получают, должны информировать другие компании через публикации и лекции о ходе и результатах своей работы по улучшению качества. Так (как надеялся ASQC) можно повысить значимость качества в работе американских компаний и обеспечить распространение знаний в области качества, которые будут давать практические результаты для улучшения экономики США. Премия была названа именем Мэлкома Болдриджа (Malcom Baldnge), который являлся Секретарем Торговли (Secretary of Commerce) с 1981 г. и вплоть до своей трагической смерти в 1987 г. в результате несчастного случая. Считается, что М. Болдридж оказал огромное влияние на улучшение и продуктивность работы правительственной администрации. Он также был активным сторонником идеи присуждения премии. качества по результатам работы. Было решено присуждать премию М. Болдриджа трем категориям компаний:

бизнес (производственным компаниям, сервисным компаниям, компаниям малого бизнеса, под которыми понимаются производственные или сервисные компании с числом служащих не более 500 человек);

образование

здравоохранение.

Премия М. Болдриджа (Центр сертификации Казань) присуждается не более чем двум компаниям в каждой категории. Национальная премия М. Болдриджа была инспирирована DAP (призом Деминга), и поэтому требования этих двух премий близки, например в части критериев, оценивающих работу претендента. Однако критерии премии М. Болдриджа более детализированы, чем критерии приза Деминга, а системы оценки претендентов различны.

Просьба (заявление) компании, претендующей на премию М. Болдриджа, рассматривается группой людей из Совета ревизоров (экзаменаторов - examiners board), состоящего примерно из 150 экспертов по качеству, представляющих промышленность, правительство и университеты. Процедура рассмотрения претендентов, считающих себя достойными получить национальную премию М. Болдриджа, приведена на рисунке 2.

От компаний, претендующих на премию, требуется представить документацию на свою Систему Качества. Компании, прошедшие первую стадию рассмотрения, подлежат более тщательному рассмотрению на последующих стадиях. Анализ претендентов на премию М. Болдриджа проводится в соответствии со следующими семью критериями. Для каждого критерия в скобках приводится его вес в процентах (данные на 1994 г.).

. Руководство (10 %). Оцениваются успехи высшего руководства (top management) в создании культуры качества внутри компании.

. Информация и анализ (7,0 %). Оцениваются успехи компании в сборе и анализе информации и как эта информация используется для улучшения качества и в планировании качества работы.

. Стратегия планирования качества (6 %). Оцениваются успехи компании в интеграции требовании потребителя для улучшения качества работы компании.

. Человеческие ресурсы (15 %). Ревизорами изучается вопрос о том, насколько успешно компания вовлекает своих служащих в работу по улучшению качества и как их знания и опыт используются компанией.

. Уверенность в качестве товаров и услуг (14 %), обеспечиваемая соответствующим управлением качеством процесса, которое и должно создавать уверенность в качестве товаров и услуг. Оцениваются деятельность компании в достижении хорошего качества всех операций технологического процесса и цель компании в постоянных улучшения

премия контроль качество

Рисунок.1. Процедура оценки претендентов на национальную премию М. Болдриджа

. Результаты качества (18 %). Изучаются успехи компании в работе по качеству и его улучшению, оцениваемые соответствующими количественными показателями качества и подтвержденные результатами измерений.

. Фокус на потребителя и удовлетворение его нужд и пожеланий (30 %). Анализируется вопрос о том, насколько хорошо компания определяет требования потребителей своей продукции и насколько хорошо эти требования удовлетворяются.

Приведенный в скобках процентный вес каждого критерия соответствует тому максимальному числу очков, которое могут дать эксперты, участвующие в рассмотрении претендентов на премию М. Болдриджа. Так, 10 % веса критерия "Руководство" соответствует максимум 100 очкам, которые могут быть даны ревизорами при оценке работы претендента, в то время как удовлетворенность потребителей оценивается максимальным числом очков, равным 300, что показано на рисунке 3.

Рассмотрение включает в себя изучение представленных претендентами документов на премию М. Болдриджа и ознакомление группы ревизоров с работой компании непосредственно в самой компании и за ее пределами у потребителей. Ревизоры ищут, например, доказательства того, что высшее руководство широко использует "ценности" качества в повседневном управлении; являются ли продукты или услуги претендента, по крайней мере, такими же хорошими, как у конкурентов, или лучше; обучены ли сотрудники компании статистическим методам и методам совершенствования качества; работает ли компания с поставщиками по улучшению качества; удовлетворены ли потребители. Придавая большое значение вопросу удовлетворения потребителя, модель оценки МВА (как и модель оценки ДАР) предусматривает развертку этой оцениваемой категории 1-го уровня на 2-м уровне (см. рис. 2).

Рисунок. 2. Развертка 1-го уровня и примеры статей (категорий) при развертке 2-го уровня в модели оценки МВА (1991 г.)

Все претенденты получают письменный отчет о результатах работы группы ревизоров с обязательным указанием сильных и слабых сторон управления качеством у претендента и с предложениями этой группы по улучшению деятельности компании в области качества (Центр сертификации Казань).

Процесс прохождения конкурса может потребовать много усилий как для рабочих, так и для администрации при существенных затратах компании. Однако участие в конкурсе мотивирует работу компании по улучшению качества. В результате некоторые из участвующих в конкурсе компаний делают гигантские шаги в улучшении качества и конкурентоспособности своей продукции.

Каждая компания, претендующая на награду, а не только победители, может впоследствии изучить оценку и комментарии, как и в случае с DAP. Обратной связью будет то, что точка зрения экспертов (ревизоров) действительно очень важна в непрерывном процессе улучшения качества.

Первая премия М. Болдриджа была присуждена в 1988 г. В группу производственных компаний, получивших премию, вошла компания Motorola с примерно 99 000 служащими, известная всеми миру своими коммуникационными системами и полупроводниковыми приборами.

Общим для всех победителей конкурса премии М. Болдриджа является тот факт, что они все концентрировали свои усилия на обучении служащих и предупредительной (превентивной) деятельности. В компании Xerox, например, все служащие имели 28 часов подготовки в решении проблем улучшения качества. Компания инвестировала более 125 млн. дол. США на эти цели, обращая особое внимание на решение проблем улучшения в специально образованных для этих целей командах улучшения качества, которые получили название "Команда Xerox". Результатом создания и дальнейшего развития концепции "Команда Xerox" стало то, что 75 % всех работающих в компании были включены в постоянно действующие команды улучшения качества. Реализация предложенных этими командами различных превентивных действий позволила компании в 1988 г. сэкономить 115 млн. дол. США на исправлении несоответствий, одновременно повысив производительность на 75%.

Наиболее важным эффектом от учреждения статуса премии М. Болдриджа стало то, что многие компании в США при разработке Системы Качества и дальнейшем ее совершенствовании для конкретных условий работы компании ориентировались на критерии премии М. Болдриджа. О большом интересе к этим критериям говорит хотя бы такой факт, что в 1990 и 1991 гг. было затребовано 180 000 копий критериев оценки претендентов на премию М. Болдриджа, а в конкурсе участвовало за этот же период всего около 100 компаний.

Во всех компаниях, получивших премию М. Болдриджа, администрация убедительно показала, что качество для нее очень важно и что она сама активно участвует в процессе его улучшения.

.        Семь инструментов контроля качества. Метод стратификации (расслоения) данных. Диаграмма разброса. Диаграмма Исикавы

Обычно для анализа данных используются семь, так называемых, статистических методов или инструментов контроля качества: расслаивание (стратификация) данных; графики; диаграмма Парето; причинно-следственная диаграмма (диаграмма Исикавы или «рыбий скелет»); контрольный листок и гистограмма; диаграмма разброса; контрольные карты.

Расслаивание (стратефикация)

При разделении данных на группы в соответствии с их особенностями группы именуют слоями (стратами), а сам процесс разделения - расслаиванием (стратификацией). Желательно, чтобы различия внутри слоя были как можно меньше, а между слоями - как можно больше.В результатах измерений всегда есть больший или меньший разброс параметров. Если осуществлять стратификацию по факторам, порождающим этот разброс, легко выявить главную причину его появления, уменьшить его и добиться повышения качества продукции.

Применение различных способов расслаивания зависит от конкретных задач. В производстве часто используется способ, называемый 4М, учитывающий факторы, зависящие от: человека (man); машины (machine); материала (material); метода (method).

То есть расслаивание можно осуществить так:

по исполнителям (по полу, стажу работы, квалификации и т.д.);

по машинам и оборудованию (по новому или старому, марке, типу и т.д.);

по материалу (по месту производства, партии, виду, качеству сырья и т.д.);

по способу производства (по температуре, технологическому приему и т.д.).

В торговле может быть расслаивание по районам, фирмам, продавцам, видам товара, сезонам.

Метод расслаивания в чистом виде применяется при расчете стоимости изделия, когда требуется оценка прямых и косвенных расходов отдельно по изделиям и партиям, при оценке прибыли от продажи изделий отдельно по клиентам и по изделиям и т.д. Расслаивание также используется в случае применения других статистических методов: при построении причинно-следственных диаграмм, диаграмм Парето, гистограмм и контрольных карт.

Рассмотрим форму причинно-следственной диаграммы на рис. 4 (она называется еще «рыбий скелет» или диаграмма Исикавы).

Причинно-следственная диаграмма используется, когда требуется исследовать и изобразить возможные причины определенной проблемы. Ее применение позволяет выявить и сгруппировать условия и факторы, влияющие на данную проблему.

а) пример условной диаграммы, где: 1 - факторы (причины); 2 - большая «кость»; 3 - малая «кость»; 4 - средняя «кость»; 5 - «хребет»; 6 - характеристика (результат).

б) пример причинно-следственной диаграммы факторов, влияющих на качество продукции.

Рис. 4 Примеры причинно-следственной диаграммы.

Порядок составления диаграммы:

. Выбирается проблема для решения - «хребет».

. Выявляются наиболее существенные факторы и условия, влияющие на проблему - причины первого порядка.

. Выявляется совокупность причин, влияющих на существенные факторы и условия (причины 2-, 3- и последующих порядков).

. Анализируется диаграмма: факторы и условия расставляются по значимости, устанавливаются те причины, которые в данный момент поддаются корректировке..

. Составляется план дальнейших действий.

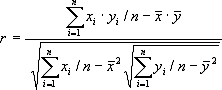
Диаграмма разброса (рассеяния) применяется для выявления зависимости (корреляции) одних показателей от других или для определения степени корреляции между n парами данных для переменных x и y:

(x1,y1), (x2,y2), ..., (xn, yn).

Эти данные наносятся на график (диаграмму разброса), и для них вычисляется коэффициент корреляции по формуле


где

    ковариация;

          стандартные отклонения случайных переменных x и у;

n - размер выборки (количество пар данных - хi и уi);

       и  - среднеарифметические значения хi и уi cоответственно.

Рассмотрим различные варианты диаграмм разброса (или полей корреляции) на рис. 5:

Рис. 5 Варианты диаграмм разброса

В случае:

а) можно говорить о положительной корреляции (с ростом x увеличивается y);

б) проявляется отрицательная корреляция (с ростом x уменьшается y);

в) при росте x y может как расти, так и уменьшаться, говорят об отсутствии корреляции. Но это не означает, что между ними нет зависимости, между ними нет линейной зависимости. Очевидная нелинейная (экспоненциальная) зависимость представлена и на диаграмме разброса г).

Коэффициент корреляции всегда принимает значения в интервале

т.е. при r>0 - положительная корреляция, при r=0 - нет корреляции, при r<0 - отрицательная корреляция.

Для тех же n пар данных (x1,y1), (x2,y2), ..., (xn, yn) можно установить зависимость между x и y. Формула, выражающая эту зависимость, называется уравнением регрессии (или линией регрессии), и ее представляют в общем виде функцией

у = а + bх.

Для определения линии регрессии (рис.4.19) необходимо статистически оценить коэффициент регрессии b и постоянную a. Для этого должны быть выполнены следующие условия:

) линия регрессии должна проходить через точки (x,y) средних значений x и y.

) сумма квадратов отклонений от линии регрессии значений y по всем точкам должна быть наименьшей.

) для расчета коэффициентов а и b используются формулы


Т.е. уравнением регрессии можно аппроксимировать реальные данные.

Рис. 6. Пример линии регрессии

Список литературы


1.   Ю.И. Ребрин. Управление качеством. Учебное пособие. Таганрог: Изд-во ТРТУ, 2004.

2.      Гаффорова Е.Б. Управление качеством: Учебное пособие. - Владивосток, 2001

.        Федюкин В.К. Методы оценки и управления качеством промышленной продукции. М., 2001

Похожие работы на - Премии в области качества. Инструменты контроля качества

 

Не нашли материал для своей работы?
Поможем написать уникальную работу
Без плагиата!
Без нейросетей!