Структура управления предприятием (организацией) и исследование ее эффективности

  • Вид работы:
    Дипломная (ВКР)
  • Предмет:
    Менеджмент
  • Язык:
    Русский
    ,
    Формат файла:
    MS Word
    1,90 Mb
  • Опубликовано:
    2011-08-04
Вы можете узнать стоимость помощи в написании студенческой работы.
Помощь в написании работы, которую точно примут!

Структура управления предприятием (организацией) и исследование ее эффективности













КУРСОВАЯ РАБОТА

по дисциплине "Менеджмент "

Тема работы Структура управления предприятием (организацией) и анализ ее эффективности

СОДЕРЖАНИЕ

ВВЕДЕНИЕ

. ТЕОРЕТИЧЕСКИЕ АСПЕКТЫ ФОРМИРОВАНИЯ ОРГАНИЗАЦИОННОЙ СТРУКТУРЫ ПРЕДПРИЯТИЯ

1.1 Понятие и виды организационной структуры предприятия

1.2 Концепция взаимосвязи стратегии и организационной структуры

.3 Подходы к совершенствованию организационной структуры как условия реализации стратегии

. ХАРАКТЕРИСТИКА ДЕЯТЕЛЬНОСТИ ОАО "ЖЕЛЕЗНОГОРСКОГО ХЛЕБОЗАВОДА" И АНАЛИЗ ЕГО ОРГАНИЗАЦИОННОЙ СТРУКТРЫ

.1 Общая характеристика деятельности ОАО "Железногорского хлебозавода"

.2 Анализ основных технико-экономических и финансовых показателей деятельности организации за 2006-2008 гг.

.3 Оценка существующей организационной структуры

. РЕКОМЕНДАЦИИ ПО СОВЕРШЕНСТВОВАНИЮ ОРГАНИЗАЦИОННОЙ СТРУКТРЫ ОАО "ЖЕЛЕЗНОГОРСКИЙ ХЛЕБОЗАВОД"

.1 Мероприятия по совершенствованию организационной структуры ОАО "Железногорский хлебозавод"

.2 Обоснование эффективности предлагаемых мероприятий

ЗАКЛЮЧЕНИЕ

СПИСОК ИСПОЛЬЗОВАННЫХ ИСТОЧНИКОВ

ВВЕДЕНИЕ

Актуальность темы исследования. Любая организация состоит как минимум из двух человек, а соответственно между ними возникает связь. Следовательно, организация не может существовать без определенной структуры. В организациях взаимосвязь между персоналом представляет собой организационную структуру.

Наука не стоит на месте, и организационные структуры тоже эволюционируют: от жестких бюрократических структур до гибких органических. Современное предприятие должно осознавать необходимость совершенствования организационной структуры - важнейшего звена внутренней среды. Если же говорить о стратегическом планировании, то компетентному менеджеру важно понимать необходимость отказа от "закостенелости" организационной структуры.

Целью курсовой работы является совершенствование организационной структуры управления ОАО "Железногорского хлебозавода".

Задачи курсовой работы:

описать сущность и виды организационных структур;

выявить взаимосвязь организационной структуры и стратегии предприятия;

описать динамику основных финансовых показателей ОАО "Железногорского хлебозавода ";

оценить существующую организационную структуру ОАО "Железногорского хлебозавода ";

разработать мероприятия по совершенствованию организационной структуры ОАО " Железногорского хлебозавода";

оценить эффективность предлагаемых мероприятий.

Объектом исследования данной курсовой является организация ОАО "Железногорский хлебозавод". Предмет исследования - организационная структура ОАО "Железногорский хлебозавод".

Исходные данными, используемыми при написании курсовой работы, являются учебные пособия отечественных авторов, экономические журналы, законодательные акты, а также Интернет ресурсы.

1. ТЕОРЕТИЧЕСКИЕ АСПЕКТЫ ФОРМИРОВАНИЯ ОРГАНИЗАЦИОННОЙ СТРУКТУРЫ ПРЕДПРИЯТИЯ

.1 Понятие и виды организационной структуры предприятия

Построение структуры управления организацией - это важная составная часть общей функции управления - организация, одной из центральных задач которой является создание необходимых условий для выполнения всей системы планов организации. Ее реализация может потребовать реструктуризации как самой организации, так и ее управляющей системы, а также создания условий для формирования высокочувствительной к изменениям культуры организации.

Под организационной структурой понимается совокупность взаимосвязанных элементов, находящихся между собой в устойчивых отношениях, обеспечивающих их функционирование и развитие как единого целого. Элементами структуры могут являться: отдельные работники, отделы, службы, другие звенья.

Между структурой управления и организационной структурой существует тесная связь: структура организации отражает принятое в ней разделение работ между подразделениями, группами и людьми, а структура управления создает механизмы координации, обеспечивающие эффективное достижение общих целей и задач организации. Как правило, мероприятия по проектированию или изменению состава самой организации (разукрупнение, объединение, слияние с другими организациями и др.) вызывают необходимость соответствующих перемен в структуре управления.

Структура управления представляет собой упорядоченную совокупность связей между звеньями и работниками, занятыми решением управленческих задач организации. В ней выделяют такие понятия, как элементы (звенья), связи и уровни. Элементы - это службы, группы и работники, выполняющие те или иные функции управления в соответствии с принятым разделением управленческих задач, функций и работ. Отношения между элементами поддерживаются благодаря связям, которые принято подразделять на горизонтальные и вертикальные.

Горизонтальные связи носят характер согласования и являются, как правило, одноуровневыми. Вертикальные связи - это связи подчинения, и необходимость в них возникает при иерархичности управления, т.е. при наличии нескольких уровней управления. Кроме того, связи в структуре управления могут носить линейный и функциональный характер. Линейные связи отражают движение управленческих решений и информации между так называемыми линейными руководителями, т.е. лицами, полностью отвечающими за деятельность организации или ее структурных подразделений. Функциональные связи имеют место по линии движения информации и управленческих решений по тем или иным функциям управления .

В современной теории и практике менеджмента выделяют 2 типа организационных структур:

. бюрократические (механистические): начало 20 века.

Главными понятиями бюрократического типа структур являются: рациональность, ответственность, иерархичность. Поэтому бюрократические структуры эффективны в крупных и сверхкрупных организациях, в которых необходимо обеспечить слаженную и четкую работу больших коллективов людей, работающих на единую цель.

Существует несколько видов бюрократических организационных структур, среди которых выделяют линейную, функциональную, линейно-функциональную, линейно-штабную и дивизиональную организационные структуры.

В линейной структуре управления каждый руководитель обеспечивает руководство нижестоящими подразделениями по всем видам деятельности. Достоинство - простота, экономичность, предельное единоначалие. Основной недостаток - высокие требования к квалификации руководителей. Сейчас практически не используется.

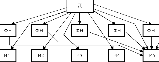
В основе формирования функциональной структуры (рисунок 1) лежит принцип полноправного распорядительства, когда каждый руководитель имеет право давать указания по вопросам, входящим в его компетенцию. Преимуществом данной структуры является принцип полноправного распорядительства, создающий условия для формирования аппарата специалистов, которые в силу своей компетенции отвечает лишь за определенный участок работы. Это позволяет ликвидировать дублирование в решении задач. Недостатком является способствование психологической обособленности отдельных руководителей, считающих свои задачи главными.

Рисунок 1 - Функциональная организационная структура

Основу линейно-функциональной структуры (рисунок 2) составляет шахтный принцип построения и специализация управления персонала по функциональным подсистемам организации. По каждой подсистеме формируется иерархия служб ("шахт"), пронизывающая всю организацию сверху донизу. Данная структура является самой распространенной.

К достоинствам линейно-функциональной структуры относятся:

эффективна в тех организациях, где аппарату управления приходится выполнять множество часто повторяющихся процедур и операций при сравнительной стабильности управленческих задач и функций.

посредством жесткой системы связей обеспечивается четкая работа каждой подсистемы и организации в целом.

Недостатками являются:

невосприимчивость к изменениям

медленная передача и переработка информации из-за множества согласований, а следовательно замедляются процессы принятия управленческих решений.

Рисунок 2 - Линейно-функциональная структура

Линейно-штабная структура также построена по принципу функционального разделения управленческого труда, используемого в штабных службах разных уровней. Главная задача линейных руководителей в такой структуре: координировать действия функциональных служб и направлять их в русло общих интересов организации.

В рамках дивизиональной структуры (рисунок 3) крупные организации выделяют из своего состава производственные отделения с предоставлением им определенной самостоятельности в осуществлении оперативного управления, но важнейшей функцией управления остаются введении центрального аппарата управления.

Рисунок 3 - Дивизиональная структура

. органические (гибкие): 60-е года 20 века.

Органический тип структуры возник как антипод бюрократическому типу структур. Принципиальными отличиями органических структур являются: высокая гибкость, меньшая связанность правилами и нормами, использование в качестве базы групповой организации труда.

Видами органических организационных структур являются проектная, матричная и бригадная.

Проектная формируется при разработке организационных проектов, охватывающих любые процессы целенаправленных изменений в системе. В рамках данной структуры создается специальное подразделение (проектная команда), работающая на временной основе. Достоинствами данной структуры являются большая гибкость, простота и экономичность. Она позволяет параллельно разрабатывать несколько проектов, не меняя привычной структуры управления. Основным недостатком проектной структуры является проблема распределения ресурсов между проектами.

Важнейшее значение приобретает интеграция комплекса работ, направленных на достижение поставленных целей. Матричная структура (рисунок 4) построена на основе принципа 2-го подчинения исполнителей: с 1 стороны непосредственному руководителю функционального подразделения, а с другой - руководителю временной группы, который наделен необходимыми полномочиями и несет ответственность за сроки, качество и ресурсы. Недостаток структуры заключается в сложности формирования.

Рисунок 4 - Матричная структура

Бригадная состоит из небольших мобильных команд (бригад), отвечающих на практике на любые запросы рынка. Основным недостатком этой структуры является недостаточная координация организации работ взаимосвязанных бригад. Преимущества заключаются в следующем:

ориентация на относительно малоемкие рынки,

ускорение процессов, связанных с обновлением производства,

повышение требований к качеству обслуживания потребителей .


.2 Концепция взаимосвязи стратегии и организационной структуры

Значение стратегии, позволяющей фирме выживать в конкурентной борьбе в долгосрочной перспективе, резко возросло в последние десятилетия. Ускорение изменений в окружающей среде, появление новых запросов и изменение позиции потребителя, появление новых возможностей для бизнеса, развитие информационных сетей, широкая доступность современных технологий, изменение роли человеческих ресурсов, и другие причины привели к возрастанию значения выработки стратегии развития организации.

В менеджменте стратегия рассматривается как долгосрочное качественно определенное направление развития организации, касающееся сферы, средств и формы ее деятельности, системы взаимоотношений внутри организации, а также позиции организации к окружающей среде, приводящее организацию к ее целям. Стратегия представляет собой набор правил, которыми руководствуется организация при принятии управленческих решений, чтобы обеспечить осуществление миссии и достижение хозяйственных целей организации.

Единой стратегии для всех организаций не существует. Каждая организация уникальна в своем роде, поэтому и процесс выработки стратегии для каждой организации свой, так как зависит от позиции организации на рынке, динамики ее развития, ее потенциала, поведения конкурентов, характеристик производимого ею товара или оказываемых услуг, состояния экономики, культурной среды и т.д.

Суть стратегического управления заключается в том, что в организации, существует четко организованное комплексное стратегическое планирование, чтобы обеспечить выработку долгосрочной стратегии для достижения целей фирмы и создание управленческих механизмов реализации этой стратегии через систему планов.

Основой стратегического менеджмента составляют стратегические решения. К числу прочих стратегических решений относится также и изменения структуры производства и управления .

Организационная структура управления - совокупность специализированных функциональных подразделений, взаимосвязанных в процессе обоснования, выработки, принятия и реализации управленческих решений. Графически чаще всего изображается в виде иерархической диаграммы, показывающей состав, подчиненность и связи структурных единиц организации

Организационная модель - это принципы формирования подразделений, делегирования полномочий и наделения ответственностью. На практике применяют следующие принципы формирования подразделений:

функциональная модель: "одно подразделение = одна функция";

процессная модель: "одно подразделение = один процесс";

матричная модель: "один процесс или один проект = группа сотрудников из разных функциональных подразделений";

модель, ориентированная на контрагента: "одно подразделение = один контрагент (клиент или клиентская группа и т.п.).

Последняя модель применяется в случае, если рынок контрагента ограниченный. Например, в случае если число потребителей сильно ограничено, целесообразно применить модель, ориентированную на клиента или клиентскую группу: "одно подразделение = один клиент". В большинстве же случаев распространение получили функциональная и процессная модели, а также их различные модификации. Выбор определенной субмодели зависит от специфики и особенности бизнеса .

При принятии решения об организационных изменениях нельзя забывать об особенностях следующих особенностях стратегических решений:

сопряжены со значительной неопределенностью;

рискованные;

связаны с вовлечением значительных ресурсов и могут иметь чрезвычайно серьезные последствия для предприятия;

требуют знаний;

субъективны по своей природе.

В связи с этим, любая организация, прежде всего, должна для себя осознать необходимость перехода к новой организационной структуре, а также выявить кадровый потенциал, способный квалифицированно внедрить такие изменения.

При проектировании организационной структуры организация должна определиться с доминирующей в данный момент стратегией и ознакомиться с аналогичными организациями.

Стратегический выбор организации может быть связан с приоритетом одного из трех направлений развития, характерных для разных стадий существования организации:

а) Если организация делает ставку на создание нового продукта, то закономерно, в ее организационной структуре должны будут доминировать проектные формы организации;

б) Если организация делает ставку на продвижение товара на рынке, то в ее организационной структуре будут возникать функциональные звенья, появляться департаменты, ответственные за те или иные сегменты рынка;

в) Если организация озабочена технологией, снижение затрат на производство, экономией средств, то, скорее всего в ее организационной структуре будут доминировать линейные звенья, обусловленные жесткими технологическими процессами .

Анализируя прототипы, можно увидеть, что они представлены двумя типами: первый - общетеоретические; вторые - конкретные, примеры существующих кампаний. Работающих в аналогичных областях бизнеса и примерно похожих технологический условиях.

Для получения информации о конкретных прототипах можно воспользоваться специальной литературой, литературой по менеджменту, пройти стажировку в аналогичных компаниях, а также обратиться за помощью к консультантам. Делая выбор из ряда возможных прототипов, необходимо учитывать и стратегию организации, специфичную для каждой фирмы.

Несоответствие организационной структуры и выбранной стратегии очень сложно предсказать в далекой перспективе. Именно поэтому команды, которые занимаются разработкой новых бизнесов, обычно дают излишне оптимистичные прогнозы и недооценивают сложности их выполнения. Так же данное несоответствие предполагает, что компания, если она не готовы действовать по стратегии А, должна выбрать стратегию Б (по крайней мере как промежуточный вариант). Развивая мысль дальше можно сказать, что осуществление выбранной стратегии и организационные изменения - это два процесса, которые должны идти параллельно и оказывать взаимное влияние. Именно это позволит организациям развиваться, по крайней мере, так же быстро, как и их рынки.

В сегодняшней экономической ситуации многие руководители компаний ищут резервы в совершенствовании организационной структуры. Сомнений нет: правильно организованное взаимодействие между сотрудниками и подразделениями способно существенно повысить эффективность бизнеса .

Всегда организационная структура компании была следствием принятых стратегических решений, и наоборот, структура, не соответствующая выбранной стратегии, мешала развитию компании и неизбежно подвергалась трансформации. Этому высказыванию соответствует общий принцип подчинённости структуры по отношению к стратегии. Учёт этого принципа при разработке организационной структуры позволит избежать необязательных ошибок и будет способствовать повышению эффективности бизнеса.

.3 Подходы к совершенствованию организационной структуры как условия реализации стратегии

Одним из наиболее болезненных процессов для любой фирмы является перестройка организационной структуры, затрагивающая материальные и карьерные интересы сотрудников. Основная проблема, возникающая в связи с этим, заключается в необходимости одновременного сохранения устойчивого "ядра" коллектива и введения новых работников. Эффективная организационная структура, кроме того, дает возможность как согласованного взаимодействия всех отделов, служб и должностных лиц в соответствии с принятыми планами, так и возможность самореализации всех работников, которые обеспечивают развитие, прогресс организации.

Организационная структура является тем механизмом, который обеспечивает достижение поставленных целей за счет эффективного использования ресурсов. В российском бизнесе наиболее распространенными являются иерархические структуры, для которых характерна низкая устойчивость к воздействию отрицательных внешних и внутренних возмущений .

Возникает проблема, решение которой требует изменения в распределении прав, задач и ответственности работников и/или структурных подразделений в соответствии с изменениями стратегических и тактических целей организации при сохранении основных организационных конструкций и взаимодействий. Решение этой проблемы возможно за счет перепроектирования бизнес-процессов организации. Можно выделить три уровня изменений во внешней среде по степени их влияния на цели деятельности фирмы:

стратегические изменения, влекущие за собой необходимость пересмотра стратегических целей фирмы;

тактические изменения, влекущие за собой изменения в тактических целях деятельности фирмы;

оперативные изменения, влекущие за собой изменения в оперативных целях деятельности фирмы .

Стратегические изменения могут возникать, например, при макроэкономических изменениях - это изменения конкурентной структуры рынка, диверсификация деятельности фирмы. Примером тактических изменений могут служить проблемы во взаимоотношениях с основными поставщиками ключевых ресурсов, крупнейшими потребителями, органами государственного регулирования. К оперативным изменениям можно отнести рутинные проблемы, последствиями которых является, как правило, корректировка сроков реализации оперативных целей деятельности фирмы. В таблице 1 приведено влияние трех рассмотренных типов изменений внешней среды на организационные структуры фирмы.

Таблица 1 - Влияние изменения внешней среды на организационную структуру

Типы изменений внешней среды

Типы организационных структур


Иерархические: линейно-функциональные, линейно-штабные

Неиерархические: матричные, дивизиональные

Стратегические

Необходима коренная перестройка деятельности фирмы, реорганизация структуры

Разработка новых стратегических программ, частичная реорганизация структуры

Тактические

Изменение количественных характеристик элементов структуры

Корректировка ресурсного обеспечения программ

Оперативные

Усиление контрольных механизмов

Корректировка сроков выполнения программ


Следовательно, в рамках используемых в настоящее время организационных структур изменение стратегических целей фирмы обусловливает необходимость полной или частичной реорганизации ее структуры управления. Однако, как следует из таблицы, развитие горизонтальных связей смягчает эту проблему. Поэтому одним из условий успешной адаптации организационной структуры к изменениям во внешней среде является развитие горизонтальных связей и, соответственно, перенос акцентов в управленческой деятельности от планирования изменений организационной структуры фирмы к скоординированному планированию изменений внутрифирменных процессов, согласованному с изменениями внешней среды .

Под оптимизацией организационной структуры понимается приведение структуры предприятия, его взаимодействий с рынком и внутренних взаимодействий в состояние, способствующее максимально эффективному достижению целей предприятия в рамках принятых стратегий.

В общем случае необходимость в структурных изменениях на предприятии возникает при существенных изменениях рыночной ситуации, переопределении целей и корректировке стратегий предприятия, при достижении предприятием определенных этапов развития, когда существующая структура сдерживает дальнейший рост. На практике большинство структур предприятий не оптимальны: инструментарий обработки рынка беден, внутренние взаимодействия противоречивы, управление неэффективно. Такое положение вещей объясняется объективным отсутствием достаточного управленческого опыта у руководителей, знаний о практической эффективности методов взаимодействия с рынком, быстрым изменением экономической ситуации. Неоптимальная структура часто способна приносить прибыль и обеспечивать выживание предприятия, поэтому и сохраняется в неизменном виде до наступления кризиса. Реально оптимизация корректирует методы обработки рынка предприятием (либо внедряет новые), устраняет противоречия и дублирование во внутренних взаимодействиях, снимает проблемы, возникшие из-за несовершенства структуры. Проблемы, возникшие из-за несовершенства управления, поддаются решению через оптимизацию организационной структуры ровно в той мере, в какой поддается коррекции управление. Проблемы, обусловленные конфликтностью целей фирмы структурной оптимизацией не решаются. Эффект от оптимизации организационной структуры предприятия, в зависимости от ситуации, может быть, например, следующим:

сокращение непроизводительных расходов и пресечение воровства на предприятии;

перегруппировка персонала, избавление от балласта;

улучшение методов взаимодействия со старыми клиентами, прекращение их потерь;

повышение эффективности работы с новыми клиентами, рост валовых поступлений;

высвобождение руководства от рутины для решения именно стратегических задач;

более эффективное распределение капитала, ускорение оборачиваемости средств;

значительную пользу приносит диагностика, предшествующая оптимизации, выявляющая действительные проблемы предприятия.

Побочным эффектом от проведения оптимизации организационной структуры может стать уход части дееспособного персонала из-за неприятия новой ситуации. Оптимизация может сопровождаться и увеличением затрат: перераспределение функций, увеличение нагрузки персонала в некоторых случаях должны подкрепляться дополнительным материальным стимулированием. В общем случае оптимизация организационной структуры изменяет эффективность предприятия следующим образом:

Идеальная эффективность недостижима ни при каких обстоятельствах;

внедрение новых технологий сначала снижает эффективность, а лишь потом повышает;

этап адаптации также характеризуется некоторым снижением эффективности

В отдельных случаях оптимизация организационной структуры может носить частичный характер: затрагиваются не все взаимодействия предприятия, а лишь часть (обычно - сбыт или маркетинг). Чаще изменениям подвергаются все функциональные области и системы предприятия - тогда речь идет о реструктуризации. Таким образом, эффективность предприятия лишь в слабой степени зависит от формальной организационной структуры. Любая "идеальная" схема сама по себе не гарантирует качество работы. Отдельные функции могут выполняться персоналом с высоким качеством, либо нет - и тогда не существенно, заложены они в формальную схему, или не заложены. Поэтому организация должна осознано идти на такой шаг.

2. ХАРАКТЕРИСТИКА ДЕЯТЕЛЬНОСТИ ОАО "ЖЕЛЕЗНОГОРСКОГО ХЛЕБОЗАВОДА" И АНАЛИЗ ЕГО ОРГАНИЗАЦИОННОЙ СТРУКТРЫ

.1 Общая характеристика деятельности ОАО "Железногорского хлебозавода"

Открытое акционерное общество - хозяйственное общество, уставной капитал которого разделен на определенное число акций, при чем его участники могут отчуждать принадлежащие им акции без согласия других акционеров.

За последние 20 лет на хлебозаводе была проведена модернизация производства с практически полной заменой оборудования, смонтирована югославская линия по выпечке батонов, проведена реконструкция тестоведения на хлебных линиях, установленная линия по выпечки формового хлеба.

Сейчас на Хлебозаводе, в ассортименте которого в настоящий момент около 40 наименований, выпекается более 30 тонн хлебобулочных и кондитерских изделий в сутки. Основным видом деятельности ОАО "Железногорского хлебозавода" является выпуск хлебопродуктов, а именно:

хлебобулочные изделия;

кондитерские изделия мучные;

печенье.

Хлебозавод оснащен двумя технологическими линиями по выпуску хлеба формового на базе хлебопекарных печей ХПА-40, двумя технологическими линиями по выпуску подового хлеба на базе чешских печей ППЦ-238 и линией по производству изделий на базе печи БН-25 (Германия). Кондитерское производство оснащено комплексно-механизированной линией по производству пирожных "Эклер", технологической линией по производству тортов и пирожных, в большом ассортименте вырабатываются различные кексы, пряники.

ОАО "Железногорский хлебозавод" растет и развивается, продолжается внедрение современных технологий, модернизация существующего и приобретение нового оборудования.

Для производства хлебобулочной и кондитерской продукции предприятие использует только высококачественное натуральное экологически чистое сырье, в основном отечественного производства. Все используемые ингредиенты обязательно проходят входной контроль качества, осуществляемый производственной лабораторией хлебозавода. Основным сырьем для производства хлебобулочных изделий является мука, которая поставляется на хлебозавод Московскими и Тверскими мелькомбинатами. На входе мука анализируется по всем показателям государственного стандарта: проверяется количество и качество клейковины, белизна, число падения, а также по другим показателям. Помимо муки технологи проверяют качественные показатели и другого используемого сырья: отрубей, крупки, соли, мака, кунжута, тмина, сахара, маргарина, яичного порошка, масла, сухого молока, яиц, джемов, творога, сыра и много другого.

Анализ готовой продукции осуществляется регулярно и охватывает весь ассортимент.

Успешное решение задач по разработке и производству широкого ассортимента продукции складывается из двух составляющих - творческого подхода к делу специалистов-технологов и максимального использования ими возможностей современного высокотехнологичного оборудования.

В лаборатории постоянно ведется работа над созданием новой продукции, и над совершенствованием уже выпускающейся. Учитываются все нюансы: тенденции в социально-экономических условиях, изменения потребительского восприятия, а так же прогрессивные технологии.

Ржано-пшеничные сорта хлеба ("Столовый", "Украинский новый") вырабатываются традиционным способом на большой густой закваске. Технологический процесс от замеса до выхода готовой продукции из печи длится 6 часов. Такой способ позволяет получить наиболее вкусную и ароматную продукцию.

Нарезные батоны в настоящее время вырабатываются опарным способом, но без улучшителей. Продолжительность брожения теста составляет почти 2 часа, это дает возможность получать батоны хорошего вкуса и аромата. В ближайшее время мы планируем установить современное оборудование и наладить производство нарезных батонов опарным способом. Технологический процесс производства удлинится и будет составлять 5,5 часов от замеса опары до выхода из печи, это улучшит вкус хлеба, и сделает его более ароматным и душистым.

Наряду с традиционными сортами пшеничного и ржано-пшеничного хлеба на предприятии выпускается большое количество диетических изделий (батоны с отрубями, булочные изделия с бета-каротином, пшеничный хлеб обогащенный йодированным белком, хлебцы), изделия из зерновых смесей - "8 злаков", "Вильякас", сдобные изделия - слойки "Свердловская", сдоба с маком, булочка повышенной калорийности, рулеты, изделия "Улыбка" с различными начинками и многое другое.

В настоящее время на предприятии освоен выпуск нового вида изделий из теста "Улыбка" с начинками из натуральных ягод - пирожков с черной смородиной и с вишней. Причем, все новые виды начинок, которые производятся различными фирмами проходят обязательное тестирование нашими технологами. Имея опыт и богатую фантазию наши специалисты и сами придумывают и разрабатывают новые начинки.

Не менее разнообразен и ассортимент кондитерской продукции: заварные пряники с начинками, слоеные "Ушки", печенье, рулеты кексы, торты, восточные сладости.

Все кондитерские изделия имеют большие сроки годности:

пряники и "Ушки" выпускаемые сейчас имеют срок годности до 6 месяцев включительно.

торты на основе лукума и восточные сладости - 3 месяца

кексы 2 месяца;

суфлейные торты - 3 месяца.

Возможность вырабатывать изделия с длительным сроком годности обеспечивается высоким уровнем санитарно-гигиенического состояния производства, персонала, а так же механизацией многих операций технологического процесса.

Оснащение производства современным высокотехнологичным оборудованием - залог стабильного качества выпускаемой хлебозаводом продукции.

Использование оборудования самого высокого уровня - тестомесильных машин "Диосна", тесторазделочного оборудования ведущих фирм производителей, линий для производства круассанов и слоеных изделий "Рондо-Дож", современных печей "МIWE" и "ROTOPASSAT" и др. позволяет хлебозаводу постоянно развиваться за счет гибкости производства, и всегда предлагать нашим покупателям лучший выбор.

Большинство хлебопекарных производств в России для выпечки хлебобулочных изделий используют газовые и электрические печи. В мае 2004 года мы запустили новую линию по выпечке нарезных батонов, оборудованную термомасляной печью фирмы "MIWE" (Германия). Особенностью этой печи является то, что обогрев идет не газом, а горячим маслом. Хлеб испеченный в такой печи лучше пропекается, имеет более насыщенный аромат и вкус, на батоне получается более ровная корочка.

.2 Анализ основных технико-экономических и финансовых показателей деятельности организации за 2006-2008 гг.

Для анализа основных технико-экономических показателей ОАО "Железногорский хлебозавод" следует обратиться к таблице 2

Таблица 2 - Основные технико-экономические показатели за 2006-2008 гг.

Наименование показателя

2006 г.

2007 г.

2008 г.

1. Выручка от реализации, тыс. руб.

84 990

106 161

138 124

2. Себестоимость, тыс. руб.

(78 082)

(96 983)

(126 324)

3. Прибыль (убыток) от реализации, т. р.

3 544

9 268

11 800

4. Прочие доходы, тыс. руб.

775

376

491

5. Прочие расходы, тыс. руб.

(2 504)

(2 188)

(3 377)

6. Балансовая прибыль, тыс. руб.

1 605

2 045

2 603

7. Чистая прибыль, тыс. руб.

575

809

1 154

8. Рентабельность продаж

0,042

0,087

0,085

9. Основные средства, тыс. руб.

10 045

20 607

18 829

10. Фондоотдача по реализованной продукции, тыс.руб./тыс. руб.

8,46

7,34

11. Фондоемкость, тыс.руб./тыс. руб.

0,118

0,194

0,136

12. Среднесписочная численность, чел.

337

338

335

13. Фондовооруженность, тыс. руб./ чел.

29,8

60,9

56,2

14. Фонд оплаты труда, тыс. руб.

42 462

43 804,8

45 024

15. З/плата (среднемесячная), тыс. руб.

10,5

10,8

11,2

16. Производительность труда, т. р./чел.

252,2

314,1

412,3

17. Оборотные средства, тыс. руб.

11 987

13 144

13 300

18. Коэффициент оборачиваемости оборотных средств, раз

7,1

8,1

10,4


За рассматриваемый период наблюдается рост выручки от реализации ОАО "Железногорского хлебозавода" с 84 990 тыс. руб. в 2006 году до 138 124 тыс. руб. в 2008 году. Несмотря на увеличение себестоимости продукции, произошел рост прибыли от реализации более чем в 3 раза в 2008 году по сравнению с 2006 годом. Это характеризует предприятие с положительной стороны.

Рассматривая рентабельность продаж, также можно отметить положительную динамику данного показателя, что связано с увеличением прибыли от реализации ОАО "Железногорского хлебозавода". Стоит также отметить увеличение показателя чистой прибыли.

В целом можно говорить об увеличении эффективности деятельности хлебозавода.

Увеличение основных средств в 2008 году по сравнению с 2006 годом более быстрыми темпами, чем выручки от реализации повлияло на постепенное снижение фондоотдачи до 7,34 тыс. руб./ тыс. руб.

За рассматриваемый период произошло незначительное изменение численности персонала, что характеризует постоянство коллектива хлебозавода. Положительной динамикой является рост среднемесячной заработной платы с 10,5 тыс. руб. в 2006 году до 11,2 тыс. руб. в 2008 году. Также увеличилась производительность труда почти в два раза.

В целом следует отметить, что организация характеризуется положительными финансово-экономическими показателями. Также важно отметить, что в Курской области ОАО "Железногорский хлебозавод" занимает лидирующие позиции в области производства хлебобулочных изделий.

Для того чтобы комплексно оценивать финансово-экономическое положение организации необходимо также рассчитывать другие группы показателей, для чего обратимся к таблице 3.

Таблица 3 - Анализ финансовых показателей ОАО "Железногорского хлебозавода"

Показатели

2006 г.

2007 г.

2008 г.

Индекс роста основных фондов

1,2

1,7

0,92

Коэффициент износа основных средств

28,1

31,2

39,6

Коэффициент текущей ликвидности

0,87

0,78

0,85

Коэффициент абсолютной ликвидности

0,43

0,49

0,32

Коэффициент автономии (финансовой независимости)

0,31

0,29

0,34

Соотношение собственных и заёмных средств

0,45

0,41

0,52


За рассматриваемый период произошло увеличение, а затем замедление роста основных фондов. Не смотря на рост коэффициента износа основных средств следует отметить, что в ОАО "Железногорский хлебозавод" применяется малоизношенное оборудование.

Соотношение собственных и заемных средств находится на приемлемом уровне и характеризуется положительной тенденцией.

В целом необходимо отметить стабильное финансовое состояние ОАО "Железногрского хлебозавода". Угрозы банкротства не существует, так как оно ликвидно и имеет высокий уровень рентабельности.

.3 Оценка существующей организационной структуры

На сегодняшний день численность хлебозавода составляет 335 человек. Органами управления ОАО "Железногорского хлебозавода" являются:

общее собрание акционеров;

совет директоров общества;

генеральный директор;

правление.

Органом контроля предприятия является ревизионная комиссия.

Организационная структура ОАО "Железногорского хлебозавода" представлена на рисунке 5.

Рисунок 5 - Существующая организационная структура

Существующая организационная структура является линейно-функциональной. Ее основу составляет шахтный принцип построения и специализации управленческого персонала по функциональным подсистемам организации. По каждой подсистеме формируется иерархия служб ("шахт"), пронизывающая всю организацию сверху донизу.

Данный вид организационной структуры относится к бюрократическому типу. Главными понятиями бюрократического типа структур являются:

рациональность,

ответственность,

иерархичность.

Поэтому бюрократические структуры эффективны в крупных и сверхкрупных организациях, в которых необходимо обеспечить слаженную и четкую работу больших коллективов людей, работающих на единую цель. ОАО "Железногорский хлебозавод" можно отнести к средним организациям, поскольку штат составляет 335 сотрудников. В связи с этим, существующая структура может не совсем точно отвечать потребностям организации.

Достоинствами данной организационной структуры являются:

) эффективна в тех организациях, где аппарату управления приходится выполнять множество часто повторяющихся процедур и операций при сравнительной стабильности управленческих задач и функций;

) посредством жесткой системы связей обеспечивается четкая работа каждой подсистемы и организации в целом.

Можно отметить, что хлебозавод работает достаточно долгое время на рынке хлебопекарных предприятий и зарекомендовал себя с наилучшей стороны. Положительная деятельность хлебозавода связана со слаженной работой подразделений и проявленными достоинствами существующей организационной структуры.

При этом в деятельности любого предприятия существуют недостатки. Недостатки существующей в ОАО "Железногорском хлебозаводе" организационной структуры являются:

) невосприимчивость к изменениям;

) медленная передача и переработка информации из-за множества согласований и, следовательно, замедляются процессы принятия управленческих решений.

Таким образом, наряду с явными достоинствами представленной в ОАО "Железногорском хлебозаводе" организационной структуры, весьма значительными являются ее недостатки. В связи с этим, организации необходимо, если не изменить, то усовершенствовать существующую организационную структуру. При этом изменения будут направлены на оптимизацию деятельности и повышением адаптации к внешнему рынку.

В заключении хотелось бы отметить, что ОАО "Железногорский хлебозавод" существует более 30 лет и смог зарекомендовать себя у жителей Курской области с наилучшей стороны. ОАО "Железногорский хлебозавод" растет и развивается, продолжается внедрение современных технологий, модернизация существующего и приобретение нового оборудования.

Анализ технико-экономических показателей деятельность показал, что хлебозавод характеризуется стабильным финансовым состоянием и способен погасить наиболее срочные обязательства. За рассматриваемый период произошел рост всех основных показателей, что также с наилучшей стороны характеризует предприятие.

3. РЕКОМЕНДАЦИИ ПО СОВЕРШЕНСТВОВАНИЮ ОРГАНИЗАЦИОННОЙ СТРУКТРЫ ОАО "ЖЕЛЕЗНОГОРСКИЙ ХЛЕБОЗАВОД"

.1 Мероприятия по совершенствованию организационной структуры ОАО "Железногорский хлебозавод"

Одной из ключевых задач ОАО "Железногорского хлебозавода" на ближайшую перспективу остается сохранение и увеличение объемов производства, финансовой устойчивости, конкурентоспособности предприятия, эффективное управление имеющимися ресурсами.

Для того чтобы не только сохранить устойчивое положение на рынке, но и развиваться дальше, необходимо:

совершенствовать качество выпускаемой продукции;

осваивать новые технологии, расширять ассортимент выпускаемой продукции;

повышать конкурентную активность;

устанавливать цивилизованный диалог с партнерами, позволяющий максимально учитывать взаимные интересы.

Увеличение производства в сложившейся ситуации на рынке возможно только за счет расширения собственной доли рынка, вытеснения конкурентов.

Поскольку в целом увеличение объема рынка маловероятно, необходимо рассматривать изменение его структуры с учетом большего разнообразия потребительских вкусов. Все большее значение будет приобретать сегмент специальных сортов хлеба и сдобы. Из современных тенденций развития хлебного рынка можно отметить производство обогащенных и лечебно-профилактических продуктов.

С ростом количества специальных сортов хлеба и сдобы усилится значение маркетинговой политики предприятия по оценке спроса потребителей. Ориентация на массовый рынок сменится ориентацией на конкретные группы потребителей по полу, возрасту и уровню доходов.

Изменения основной деятельности не предполагается. При этом необходимо усовершенствовать существующую организационную структуру ОАО "Железногорского хлебозавода", поскольку она непосредственно связана со стратегией предприятия.

Поскольку существующая организационная структура имеет значительные преимущества, то необходимо ее только оптимизировать. Основные недостатки связаны с ограниченностью процесса передачи информации, а также невосприимчивостью к изменениям внешней среды. В связи с этим можно предложить внедрить элементы проектной организационной структуры.

Поскольку одной из стратегических целей ОАО "Железногорского хлебозавода" являются расширение ассортимента выпускаемой продукции, то проектные группы необходимо создавать в подразделениях, отвечающих за производство отдельных групп товаров. Таким образом, созданный штаб проектных групп будет обеспечен необходимыми средствами, информациями и что не мало важно таким набором сотрудников, которые работая над одной конечной целью будут представлять интересы различных подразделений.

Работа проектной группы будет направлена на изучение специфики конкретной группы изделий, предпочтений данной группы потребителей, а также поиск наиболее оптимальных способов решения возникающих проблем. Необходимо оценить возможность внедрения информационных технологий, технологическое и экономическое обоснование данных мероприятий.

Между тем, сотрудники, включенные в состав группы, формально остаются закреплены за своим структурным подразделением. Это позволит снизить "бумажную волокиту", а по окончании проекта спокойно вернуться на свое рабочее место или в новую проектную группу. Также не потребуется дополнительных затрат по оформлению и оплате труда, поскольку сотрудник будет выполнять те же обязанности и функции.

Также возможно внедрение элементов линейно-штабной организационной структуры, которые будут заключаться в создании временных штабов на уровне проектных групп. Данное мероприятие будет целесообразным, поскольку общая цель всех проектных групп едина - развитие ассортиментной линейки. В рамках этого обмен опытом, совместная работа послужит хорошим заделом для выполнения конкретных задач на местах.

Так как открытие данных групп будет проводиться не всегда параллельно, то возможен переход сотрудника из одной проектной группы в другую. Следовательно, при работе штаба работник будет уже ознакомлен с существующими проблемами, будет владеть информацией и опытом, а значит ему легче будет "втянуться" в работу над другим проектом.

Следующее приоритетное направление совершенствования организационной структуры хлебозавода связано с такой стратегической целью, как повышение конкурентной активности. Для осуществления поставленной задачи необходимо скоординировать работу маркетингового отдела, отдела снабжения и бартера и отдела распространения.

Это возможно осуществить также за счет создания координирующего штаба. Данная структурная единица может получить и постоянный характер, поскольку связана с развитием основной деятельности и будет действовать в условиях постоянно изменяющегося внешнего окружения.

Также в целях оптимизации организационной структуры необходимо отнести директора профкома к кадровому отделу, так как его функции заключаются в представлении интересов сотрудников. Следовательно, более рационально осуществление указанных полномочий совместно с начальником кадрового подразделения. При этом необходимо вывести данные подразделения из под контроля заместителя директора по экономике и финансам, поскольку это не должно относиться к его компетенции.

В результате внедрения предложенных мероприятий ОАО "Железногорский хлебозавод" сможет получить более гибкую стратегическую линию развития предприятия. Предлагаемая модель организационной структуры представлена на рисунке 6.

Внесение изменений в организационную структуру не столь значительны. Благодаря внедрению временных структур не должно произойти существенных негативных последствий для персонала ОАО "Железногорского хлебозавода". Это весьма сильно отражается на морально-психологическом климате в организации, а также корпоративной культуре организации в целом.

Рисунок 6 - Предлагаемая организационная структура

Далее будет целесообразно остановиться на оценке потенциальной эффективности предлагаемых мероприятий по оптимизации организационной структуры ОАО "Железногорского хлебозавода".

3.2 Обоснование эффективности предлагаемых мероприятий

Для того чтобы стратегию можно было начать реализовывать на предприятии, для начала необходимо оценить ее эффективность. Это обусловлено тем, что реализация стратегических задач требует значительных затрат ресурсов и их нерациональное использование может весьма негативно отразиться на деятельности всего предприятия в целом. Также к негативным факторам можно отнести потерю времени.

Следовательно, при внедрении стратегических мероприятий необходимо использовать различные методы оценки эффективности внедряемых мероприятий. При этом эффект может носить как экономический, так и социальный характер. Рассматривая стратегию ОАО "Железногорского хлебозавода" важно отметить, что в плане развития предприятия имеются цели, выражаемые количественными и качественными показателями.

К количественным целям относят те, которые можно измерить конкретными показателями. Примером может послужить расширение ассортимента выпускаемой продукции и увеличение конкурентной активности, поскольку, произведя некоторые расчеты, мы сможем получить измеримый результат в рублях или процентах. Затем сравнить его с имеющимися данными. В результате эффективность предлагаемых мероприятий будет весьма наглядна.

Достижение первой стратегической цели (расширение ассортимента выпускаемой продукции) может весьма благоприятно отразиться на деятельности всего хлебозавода. Это связано с тем, что выпуск новых изделий будет приносить заводу дополнительную прибыль, при этом особых затрат на их изготовление не требуется, поскольку на хлебозаводе работает новое оборудование, которое позволяет применять различные технологические процессы.

Рассматривая историю предприятия отмечалось, что постоянно внедряются новые технологии, выпускаются новые виды изделий. Именно это позволило ОАО "Железногорскому хлебозаводу" оставаться конкурентоспособным и привлекать новых клиентов. В связи с этим, необходимо поддерживать сложившийся у покупателей имидж.

Занятие активной конкурентной позиции на рынке является хорошим рычагом для достижения предыдущей цели, поскольку увеличение клиентской базы должно привести к росту прибыли компании. Достижение данной стратегической цели возможно за счет внедрения проектных групп, которые смогут добиться качественного обслуживания клиентов, поднятия престижа хлебозавода в целом. Данное мероприятие может привести к увеличению количества потребителей примерно на 5 %.

Рисунок 6 - Предполагаемое распределение хлебопекарных предприятий на Курском рынке

Таким образом, объем ОАО "Железногорского хлебозавода" на курском рынке составит около 30 % (рисунок 6). Благодаря этому компания приблизится к позиции своего основного конкурента, благодаря чему сможет получать определенные преимущества.

Если же говорить о совершенствовании качества продукции или об установление диалога с партнерами, то следует отметить что эффективность данных мероприятия трудно оценить количественными показателями.

Такая стратегическая цель как совершенствование организационной структуры обладает социальным характером и может сопровождаться улучшением морально-психологического климата в ОАО "Железногорском хлебозаводе", укреплению корпоративного духа, сплочению команды.

Предлагаемые изменения предполагают увеличение координации внутри организации, расширение коммуникационных связей между различными подразделениями ОАО "Железногорского хлебозавода". Следовательно, работа сотрудников станет качественнее и сможет принести удовлетворенность для каждого отдельного сотрудника.

К тому же, предлагаемая модернизация организационной структуры должна поспособствовать повышению гибкости компании и улучшению реакции при изменении внешней среды. Это произойдет благодаря работе временных подразделений, которые будут следить за изменением внешней среды и осуществлять своевременные ответные мероприятия.

Таким образом, предполагаемый эффект от реализации стратегии ОАО "Железногорского хлебозавода" оказывается многосторонним и характеризуется с положительной стороны.

Не стоит забывать, что понятие эффективности универсально. Эффективность связана с результативностью работы (действия) и экономичностью, т.е. минимальным объемом затрат для выполнения данной работы (действия). На ряду с оценкой эффективности выбранной стратегии следует остановиться также и на эффективности управления организацией.

Управленческий труд относится к наиболее сложным видам человеческой деятельности и его оценка не всегда может быть произведена прямым путем из-за отсутствия формализованных результатов, количественной оценки отдельных видов выполняемой работы. Поэтому для измерения его эффективности часто применяют косвенные методы.

Критерием оценки управленческого труда является эффективность управленческого труда:

 (1)

Следовательно, в результате реализации стратегических целей ОАО "Железногорского хлебозавода" сможет получить следующее значение эффективности управленческого труда:

Э = 1 000 000 / 800 000 = 1,25

стратегия экономический финансовый

Поскольку данный показатель больше единицы, то управленческий труд можно признать эффективным.

При определении экономического эффекта менеджмента наряду с оценкой его величины учитывают эффективность его распределения и потребления, т.е. величину прибыли, направляемую на развитие предприятия и создание потенциала для будущего обновления. Необходимо отметить, что ОАО "Железногорского хлебозавода" выделяет около 5% нераспределенной прибыли на развитие организации ежегодно. За весь рассматриваемый период завод имел положительный результат деятельности, а значит имелись средств для совершенствования.

Результат управленческого труда выражается не только экономическим, но и социальным эффектом. С позиции социально - экономической системы социальный эффект менеджмента проявляется в качестве и уровне жизни работника, а также в развитии личности.

Обновленная организационная структура позволит сотрудникам ОАО "Железногорского хлебозавода" работать более продуктивно и раскрывать свой творческий потенциал. Создание проектных групп позволит работникам проявлять инициативу и положительно скажется на всем коллективе. Как уже отмечалось выше, в компании будет сформирована команда единомышленников.

Подводя итог, следует отметить ключевую роль организационной структуры ОАО "Железногорского хлебозавода", поскольку ее оптимизация послужит рациональному достижению намеченных стратегических целей предприятия.

ЗАКЛЮЧЕНИЕ

ОАО "Железногорский хлебозавод" является одним из наиболее крупных хлебопекарных предприятий на территории Курской области. Значение данных предприятий трудно переоценить, поскольку хлеб считается главным продуктом в любое время в каждой семье.

В сегодняшней экономической ситуации многие руководители компаний ищут резервы в совершенствовании организационной структуры. Сомнений нет: правильно организованное взаимодействие между сотрудниками и подразделениями способно существенно повысить эффективность бизнеса. Организационная структура тесно взаимосвязана со стратегией предприятия. Всегда организационная структура компании была следствием принятых стратегических решений, и наоборот, структура, не соответствующая выбранной стратегии, мешала развитию компании и неизбежно подвергалась трансформации. Этому высказыванию соответствует общий принцип подчинённости структуры по отношению к стратегии.

Рассмотрев существующую на ОАО "Железногорском хлебозаводе" организационную структуру, можно сделать вывод о необходимости ее усовершенствования для того, чтобы она смогла более точно соответствовать стратегическим целям организации. Между тем ОАО "Железногорский хлебозавод" располагает значительным стратегическим потенциалом в области персонала, маркетинга и при этом обладает благоприятным имиджем у покупателей.

Поскольку существующая организационная структура имеет значительные преимущества, то необходимо лишь ее оптимизировать. Основные недостатки связаны с ограниченностью процесса передачи информации, а также невосприимчивостью к изменениям внешней среды. В связи с этим можно предложить внедрить элементы проектной и линейно-штабной организационной структуры.

Стратегия ОАО "Железногорского хлебозавода" направлена на расширение ассортимента выпускаемой продукции, а также улучшения конкурентной позиции. Мероприятия, способствующие реализации стратегических целей, носят разноплановый характер. При этом полученный эффект соразмерен затратам на их проведение.

Следует отметить роль организационной структуры в деятельности ОАО "Железногорского хлебозавода". Ее оптимизация позволитпредприятию достичь определенных результатов в хозяйственной деятельности и улучшит конкурентные позиции на рынке.

Также в результате внедрения предложенных мероприятий ОАО "Железногорский хлебозавод" сможет получить более гибкую стратегическую линию развития предприятия.






СПИСОК ИСПОЛЬЗОВАННЫХ ИСТОЧНИКОВ

1.     Виханский О.С., Наумов А.И. Менеджмент. Человек, стратегия, организация, процесс./ М.: Гардарика, 2003. - 135 с.

.       Маракулин М.В. Оптимизация структуры компании в целях повышения конкурентоспособности // Менеджмент в России и за рубежом. - 2003. - №4

.       Менеджмент /Т.В. Алесинская, Л.Н. Дейнека, А.Н. Проклин, Л.В. Фоменко, А.В. Татарова и др.; Под общей ред. В.Е. Ланкина. - Таганрог: Изд-во ТРТУ, 2006. - 304 с.

4.      Морозова И.В. Антикризисный менеджмент. Часть I. Кризисы и их диагностика (теоретико-методическая основа): учебное пособие / И.В. Морозова, Г.И. Татенко. - Орел: ОрелГТУ, 2007. - 186 с.

.        Область применения. Оптимизация организационной структуры предприятия/ Гончарук В.А. - ''Маркетинговое консультирование'', 2001. - 12 с.

.        Основы менеджмента. Ч. 1. Технология менеджмента : учеб. пособие / В.А. Князева; О.В. Магомедалиева. - Орел : Изд-во ОрелГТУ , 2008. - 117 с.

.        Организационная структура предприятий/ Коноков Д.Г., Рожков М.А., изд. 2-е. М.: ИСАРП, 1999. - 176 с.

.        Управление персоналом: Учебник/ Под ред. Базарова Т.Ю., Еремена Б.Л. - "Центр Кадровых Технологий - XXI век", 1999. - 235 с.

9.      www.businessstudio.ru/procedures/glossary/orgstructure <http://www.businessstudio.ru/procedures/glossary/orgstructure>: Организационная структура управления - Business Studio

Похожие работы на - Структура управления предприятием (организацией) и исследование ее эффективности

 

Не нашли материал для своей работы?
Поможем написать уникальную работу
Без плагиата!
Без нейросетей!