Синтез и свойства новых биологически активных соединений на основе В-дикетонов нафталинового ряда

  • Вид работы:
    Дипломная (ВКР)
  • Предмет:
    Химия
  • Язык:
    Русский
    ,
    Формат файла:
    MS Word
    92,73 kb
  • Опубликовано:
    2011-05-20
Вы можете узнать стоимость помощи в написании студенческой работы.
Помощь в написании работы, которую точно примут!

Синтез и свойства новых биологически активных соединений на основе В-дикетонов нафталинового ряда

Федеральное агентство по образованию

ГОУ ВПО Сибирский государственный технологический университет

Факультет: Химических технологий

Кафедра: Органической химии и технологии органических веществ

 

 

 

 

 

 

 

Синтез и свойства новых биологически активных соединений на

основе β-дикетонов нафталинового ряда

(ОХ и ТОВ. 000000.148.ПЗ)

 

 

Дипломник И.А. Кашара

Зав. кафедрой Г.А. Субоч

Руководитель М.С. Товбис

Консультанты

Технологической части

Конструкторской части

Научно

исследовательской части А.В. Любяшкин

Безопасности

и экологичности проекта В.Г. Горчакова

Экономической части С.И. Кузичкин

Нормоконтроль Н.А. Гаврилова

Реферат


Дипломная работа выполнена по теме «Синтез и свойства новых биологически активных соединений на основе β-дикетонов нафталинового ряда».

Пояснительная записка состоит из введения, литературного обзора, в котором рассмотрены методы синтеза ароматических соединений, обсуждения результатов, экспериментальной части, выводов, безопасности и экологичности работы и технико-экономических показателей.

В работе описаны эксперименты по введению α- и β-нафтильных заместителей в нитрозоароматические системы. По разработанным методикам впервые получены нитрозопиразолы, содержащие α- и β нафтильные заместители.

Пояснительная записка содержит 57 с. текста, 15 таблиц, 5 рисунков, 19 схем, 59 литературных источников. Графическая часть состоит из 5 листов формата А1.

Введение


Сложность создания новых высокоэффективных лекарственных препаратов обусловлена многообразием факторов, влияющих на фармакологический эффект. Из многих тысяч полученных из природного сырья или синтезированных веществ только единицы оказываются эффективными.

Создание оригинальных лекарственных препаратов очень долгий и трудоемкий процесс. Есть два пути создания новых лекарственных препаратов. Один, имеющий более чем вековую историю, - эмпирический. Другой путь - направленный поиск. Эффективность поиска биологически активных соединений составляет в настоящее время около 0,02%, а по другим данным даже 0,01%, т.е. в среднем из 5000-10000 синтезированных и проверенных на активность соединений, в практику внедряются только одно лекарственное вещество.

Эмпирический поиск осуществляется классическим методом проб и ошибок. Исходя из эмпирически установленных закономерностей о влиянии тех или иных функциональных групп на биологическую активность, осуществляют синтез ряда соединений. Затем проводят предварительные испытания, отбирают наиболее активные вещества, которые подвергаются всестороннему фармакологическому исследованию [1].

Направленный поиск заключается в теоретическом предсказании биологической активности вещества по его химической структуре и осуществлении направленного синтеза этой структуры.

Перспективным направлением в создании оригинальных лекарственных препаратов может служить поиск новых химико фармацевтических препаратов гетероароматического ряда [1].

Известен ряд гетероароматических соединений, проявляющих антибактериальную активность. К ним относятся производные хиноксолина[1], нитрофурана, 8-и 4- гидроксихинолинов, нафтиридина, пиразолона [1]. Все эти соединения обладают достаточно широким спектром действия. Поэтому настоящая дипломная работа посвящена поиску новых, ранее неизвестных соединений пиразольного ряда.

1. Аналитический обзор


Большое значение для химии фармацевтических препаратов имеют гетероароматические соединения, проявляющие антибактериальную активность, например, производные пиразолона [1].

Первым в этом ряду стоит пиразол, который имеет ароматический характер и способен вступать в реакции замещения. Водород у атома азота имеет слабовыраженный кислотный характер. Двойные связи в гетероцикле могут частично или полностью гидрироваться, давая при этом пиразолин и пиразолидин.

                 

пиразол пиразолин пиразолидин 5-пиразолон

Наиболее распространёнными лекарственными веществами в ряду этих соединений являются производные 5-пиразолона, проявляющие жаропонижающее и болеутоляющее действия.

Общую структурную формулу препаратов данной группы можно представить следующим образом:

R                  Название

    Антипирин

  Амидопирин

Анальгин

Исходным продуктом для получения этой группы препаратов служит 3-метил-1-фенил-5-пиразолон, который является продуктом крупнотоннажного производства анилинокрасочной промышленности (его получают конденсацией фенилгидразина с дикетонами или ацетоуксусным эфиром).

. Антипирин (Antipyrinum). 1-Фенил-2,3-диметилпиразолон-5:


Бесцветные кристаллы или белый кристаллический порошок без запаха, слабо горьковатого вкуса.

Антипирин является одним из производных пиразолона. Препараты этой группы оказывают болеутоляющее, жаропонижающее и в той или другой степени противовоспалительное действие. По анальгезирующей и жаропонижающей активности они близки к производным салициловой кислоты. Производные пиразолона уменьшают проницаемость капилляров и препятствуют развитию воспалительных реакций.

Антипирин оказывает умеренное анальгезирующее, жаропонижающее и противовоспалительное действие. При местном применении оказывает некоторое кровоостанавливающее действие. Применяют антипирин внутрь при невралгиях, хорее, простудных заболеваниях.

Антипирин является промежуточным продуктом в синтезе амидопирина и анальгина.Его получают следующей схеме.

Схема 1


Далее антипирин экстрагируют из реакционной массы дихлорэтаном, перекристализовывают из смеси изопрапанол - этанол и направляют на дальнейшую отчистку или далее на стадию получения амидопирина (пирамидона) и анальгина.

. Амидопирин (Amidopyrinum). 1-Фенил-2,3-диметил-4 диметиламинопиразолон-5:


Белые кристаллы, или белый кристаллический порошок, без запаха, слабогорького вкуса. Медленно растворим в воде, легко растворим в спирте.

Оказывает жаропонижающее, болеутоляющее и профилактическое действие. По фармакологическим свойствам амидопирин близок к антипирину, но активнее его.

Применяют амидопирин при головной боли, неврозах, артритах, миозитах, хорее, а также при остром суставном ревматизме.

При длительном лечении амидопирином необходимо периодическое исследование крови, так как в отдельных случаях может наблюдаться угнетение кроветворения (гранулоцитопения и агранулоцитоз). Иногда развиваются кожные сыпи.

Амидопирин выделяется с мочой. Продукты его распада (рубазоновая кислота) могут предавать моче темно-желтую или красную окраску.

Получают амидопирин из антипирина по следующей схеме.

Схема 2


. Восстановление нитрозосоединения солями сернистой кислоты можно представить следующим образом

Схема 3:


. Метилирование по аминогруппе проходит через образование диметилольного производного, которое в результате отщепления двух молекул воды образует алкилированный продукт.

Ссхема 4:

. Анальгин (Analginum). 1-Фенил-2,3-диметил-4 метиламинопиразолон-5-N-метансульфонат натрия:


Белый, или белый с едва заметным желтоватым оттенком, кристаллический порошок. В присутствии влаги быстро разлагается. Легко растворим в воде, трудно в спирте.

Анальгин обладает весьма выраженными анальгезирующим, противовоспалительным и жаропонижающим действием. По характеру действия близок к антипирину; как хорошо растворимый и легко всасывающийся препарат он особенно удобен для применения в тех случаях, когда необходимо быстро создать в крови высокую концентрацию препарата. Хорошая растворимость даёт возможность широко пользоваться анальгином для парэнтерального введения.

Часто анальгин назначают вместе с амидопирином, фенацетином, фенобарбиталом, кофеином и другими средствами.

Одновременное назначение анальгина и амидопирина позволяет получить быстрый (за счёт быстрого поступления в кровь анальгина) и длительный (за счёт более медленного всасывания и выделения амидопирина) лечебный эффект.

Применяют анальгин при болях различного происхождения (головная боль, невралгия, радикулиты, миозиты), лихорадочных состояниях, гриппе, ревматизме, хорее.Анальгии получают по следующей схеме.

Схема 5:


Следует отметить, что антипирин и амидопирин в настоящее время заменены другими, более эффективными средствами. Анальгин сохраняет свое значение как болеутоляющее средство. Хорошая растворимость в воде и устойчивость при стерилизации позволяют использовать его для парентерального введения.

В настоящее время продолжается интенсивный поиск новых производных пиразола, которые могут проявлять биологическую активность. Так, в последние годы были синтезированы соединения, которые имели в своей структуре ароматические конденсированные системы, например нафтильные заместители в пиразольном кольце.

Соединение такого типа синтезировали индийские ученые в 1990г [3].

R= H; Ph; 4-CH3C6H4; замещенный пиридинил.= 4-CH3C6H4; 1,3-триметилбицикло[2,2,1]гептан-2-ил.

Синтез вели по реакции сочетания 1-метил-3-(2-нафтил)пропан-1,3-диона с пара-замещенными бензоилдиазоний хлоридами с последующей циклизацией образующегося 2-арилазо-1-метил-3-(2-нафтил)пропана-1,3-диона с замещенными гидразинами. Некоторые из продуктов обладают антибактериальными и фунгицидными свойствами.

В связи с этим представляет большой интерес получение соединений, содержащих в 5-м положении пиразольного кольца нитрозогруппу.


Соединение такого строения может быть использовано для введения иных функциональных групп в гетероциклическое кольцо, т.к. нитрозогруппу легко превратить в аминогруппу, ацетаминогруппу, алкил- и диалкиламиногруппу и другие.

Простым нитрозированием невозможно получить соединение такого строения. Однако на кафедре органической химии СибГТУ в последние годы ведутся исследования по получению нитрозофенолов с различными заместителями в ароматическом кольце циклоароматизацией изонитрозо-b-дикетонов с кетонами.

Так, методом циклоароматизации из алкилизонитрозо-b-дикетонов и алкилкетонов удается получить алкил-орто-нитрозофенолы.

Схема 6


Если в реакцию вводят изонитрозо-b-дикарбонильное соединение с арильным или гетерильным заместителем, то в качестве продукта образуются исключительно пара- изомеры нитрозофенолов с этими же заместителями в кольце [5]. Такие соединения можно рассматривать как производные дифенила или фенилгетерила.

Схема 7


Метод циклоароматизации позволяет также получать диарилзамещенные нитрозофенолы [6-9]. Конденсацию при этом проводят в трет-бутилате калия, чтобы избежать распада изонитрозодибензоилметана в этилате натрия.

Схема 8


При конденсации изонитрозодикетонов с диэтиловым эфиром ацетондикарбоновой кислоты в молекулу нитрозофенолов вводятся сложноэфирные заместители.

Схема 9


Однако, несмотря на столь широкие возможности использования этой реакции синтеза нитрозофенолов, изучены далеко не все аспекты ее применения. Так, не было сделано попыток ввести в ядро в качестве заместителя ароматические конденсированные системы - нафталин, фенантрен, антрацен. Подобные реакции могут привести к получению принципиально иных соединений. Если продукты известной реакции циклоароматизации представляли собой нитрозопроизводные бензола, дифенила и трифенила, то успех в использовании b-дикетонов нафталинового ряда в подобном синтезе даст возможность получения уникальных производных фенилнафтилов, а в реакции с гидразином - производных нафтилзамещенных пиразолов и других ранее недоступных веществ.

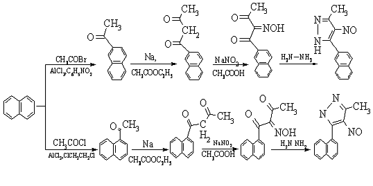
Для осуществления этих реакций необходимы соответствующие изонитрозосоединения нафталинового ряда. В литературе такие соединения не описаны, однако известен метод синтеза b-дикетонов ряда нафталина путем конденсации соответствующих ацетонафтонов с этилацетатом [10].

Методы синтеза исходных a- и b-ацетонафтонов также описаны в литературе. Так, a-ацетонафтон можно получить действием хлористого ацетила на нафталин в присутствии безводного хлорида алюминия в среде дихлорэтана [11]. Иногда его получают из ацетонитрила и магнийорганических реагентов [12-17]. b-Ацетонафтон можно синтезировать действием хлористого ацетила на нафталин в присутствии безводного хлорида алюминия в среде нитробензола [18,19].

Исходя из вышеизложенного, целью настоящей работы стал поиск методов синтеза изонитрозопроизводных b-дикетонов нафталинового ряда и получение на их основе недоступных ранее гетероциклических нитрозосоединений.

Задачами, поставленными в настоящем исследовании, стали:

·   Отработка методов синтеза и получение a- и b-ацетонафтонов.

·   Отработка методов синтеза и получение a- и b-нафтоилацетонов.

·   Изучение реакции нитрозирования нафтоилацетонов, синтез и установление строения неизвестных ранее изонитрозо-a- и b- нафтоилацетонов.

·   Исследование реакции циклизации изонитрозо-a- и b- нафтоилацетонов с гидразином, позволяющей получать a-, b- нафтилзамещеные нитрозофенолы

 

2. Обсуждение результатов


Для реализации поставленной в нашем исследовании цели мы наметили проведение синтезов по следующей схеме

Схема 15


На первой стадии мы провели ацилирование нафталина по реакции Фриделя-Крафтса, причем когда реакцию проводили в среде дихлорэтана, то получали α-ацетонафтон, а в среде нитробензола - β-ацетонафтон (см. экспериментальная часть, стр.13,15)

Следующим шагом нашей работы стало получение α- и β-нафтоилацетонов. Эту реакцию осуществляли в условиях, аналогичных проведению реакции конденсации Кляйзена. Для этого этилацетат вводили в реакцию с α- и β-ацетонафтонами в среде абсолютного эфира (см. экспериментальная часть, стр.14,17). В результате с выходом 44,5% получили α-ацетонафтон и с выходом 68,5% β-ацетонафтон.

Следующим шагом в реализации приведенной схемы стало нитрозирование полученных α- и β- нафтоилацетонов. Это нитрозирование проведено нами впервые.

Нитрозирование b- нафтоилацетона


Загрузка: b-нафтоилацетон - 4,3 г (0,202 моль)

Нитрит натрия - 1,55 г (0,022 моль)

Уксусная кислота - 20,2 мл.

Растворяли 4,2 г (0,202 моль) b-нафтоилацетона в 20,2 мл ледяной уксусной кислоте при 80°С, охлаждали до 15°С и стали добавлять 1,55 г (0,022 моль) сухого нитрита натрия так, чтобы температура не поднималась выше 15°С (магнитная мешалка, водяная баня). После того, как добавили весь нитрит натрия, баню убирали и оставляли на 2 часа. Смесь загустевала и приобретала светло-коричневый цвет. Разбавляли полученную смесь 200 мл ледяной воды. Полученное соединение выпадало в осадок, его отфильтровывали. Температура плавления сырого изонитрозо-b-нафтоилацетона составляла 135-136 °С.

Перекристаллизацию проводили из кипящей воды (объем воды составил 750 мл). Горячий раствор фильтровали через подогретый пористый стеклянный фильтр и охлаждали раствор сначала до комнатной температуры, потом в холодильнике. Выпадали бесцветные иглы. Их опять фильтровали, затем сушили в эксикаторе под вакуумом. Получили 2,8 г продукта. Выход составил 57% . Температура плавления в капилляре 157-158°С. В ЯМР 1Н спектре в гексадейтеродиметилсульфоксиде присутствует сигнал метильной группы в виде синглета с хим. сдвигом 2,54 м.д. и сигналы всех протонов нафталинового кольца в области 7,6-8,4 м.д. Анализ на CHN: вычислено - C-69.7% H-4.6% N-5.81%, найдено - C-69.9% H-4.6% N-5.80%.

    1                    2                      3

Рис 1.1. Тонкослойная хроматограмма изонитрозо-b-нафтоилацетона на пластинках Silufol UV-254 (Элюент: этилацетат- толуол 1:2). 1-ТСХ реакционной смеси; 2- ТСХ сырого продукта; 3- ТСХ перекристаллизованного изонитрозо-b-нафтоилацетона.

Нитрозирование α- нафтоилацетона


Провели по методике, аналогичной получению b-нафтоилацетона.

Загрузка: α -нафтоилацетон - 5,1 г (0,023 моль)

Нитрит натрия - 1,785 г (0,00162моль)

Уксусная кислота - 238 мл.

Получили 4 г сырого маслянистого продукта. После перекристаллизации из горячей воды выход составил 69% .Температура плавления в капилляре 170°С.

Результаты СНN анализа: Найдено: C- 63,68 %, H-4,86 %, N-5,45 %.

Вычислено: C-63,37 %, H-4,56 %, N-5,81 %.

    1                    2                      3

Рис 1.2 Тонкослойная хроматограмма изонитрозо-a-нафтоилацетона на пластинках Silufol UV-254 (Элюент: этилацетат- толуол 1:2). 1-ТСХ реакционной смеси; 2- ТСХ сырого продукта; 3- ТСХ перекристаллизованного изонитрозо-a-нафтоилацетона

Известно, что изонитрозо-b-дикарбонильные соединения вступают в реакцию с гидразином, образуя производные нитрозопиразола [20].

Поэтому на последнем этапе мы провели конденсацию полученых изонитрозо-α- и β-нафтоилацетонов с гидразином.

Конденсация изонитрозо-b-нафтоилацетона с гидразином


Загрузка: Na2СO3 -0,34 г (0,0032 моль)

Н2О - 2,28 мл;2 - NH2 • Н2 SO4 - 0,37 г (0,0029 моль);

Изонитрозо b-нафтоилацетон - 0,7 г (0,0029 моль).

,34 г (0,0032 моль) соды растворяли в 2,28 мл воды при постоянном перемешивании на магнитной мешалке, добавляли 0,37 г (0,0029 моль) сульфат гидразина. В течение 15 минут добавляли 0,7 г (0,0029 моль) изонитрозо-b-нафтоилацетона при комнатной температуре.

Об окончании реакции судили по хроматограмме (рис. 1.3.). Бесцветное пятно, соответствующее изонитрозо-b-дикетону, видимое при ультрафиолетовом освещении или при проявлении парами йода, по мере протекания реакции исчезало, при этом появлялось ярко-зелёное пятно конечного продукта. Через 2 ч 40 мин. цвет смеси изменился с бледно-бежевого на салатово-зеленый. Получили 0.7 г продукта - предполагаемого 3-метил-5-b-нафтил-4-пиразолон-4-оксима.Температура плавления 1530С. Продукт перекристаллизовали из спирта. В ЯМР 1Н спектре в гексадейтеродиметилсульфоксиде присутствует сигнал метильной группы пиразольного кольца виде синглета с хим. сдвигом 2,29 м.д. и сигналы всех протонов нафталинового кольца в области 7,5-8,8 м.д. Анализ на CHN: вычислено - C-70.87% H-4.67% N-17.81%, найдено - C-70.12% H-4.62% N-16.86%. Данные УФ и ИК спектров также подтвердили строение нового изонитрозодикетона и нитрозопиразола.


                                              

                                              

1       2               3              4

Рис 1.3. Тонкослойная хроматограмма 3-метил-5-β-нафтил-4-пиразолон-4-оксима на пластинках Silufol UV-254 (Элюент: этилацетат- толуол 1:2). 1-ТСХ реакционной смеси; 2- ТСХ реакционной смеси через 1 час; 3- ТСХ сырого продукта; 4- ТСХ перекристаллизованного из спирта продукта.

В УФ-спектре 3-метил-5-β-нафтил-4-пиразолон-4-оксима в области 720 нм присутствует максимум поглощения, соответствующий n ® p* переходу нитрозогруппы. Наличие такого поглощения говорит о том, что продукт находится в форме нитрозотаутомера и представляет собой 3-метил-4-нитрозо-5-β-нафтилпиразол.

Конденсация изонитрозо-α-нафтоилацетона с гидразином


Загрузка: Na2СO3 - 0,24 г (0,003 моль)

Н2О - 2,2 мл2 - NH2 • Н2 SO4 - 0,26 г (0,0026 моль)

Изонитрозо-α-нафтоилацетон - 0,5 г (0,0025 моль) 0,24 г (0,003 моль) соды растворяли в 2,2 мл воде при постоянном перемешивании на магнитной мешалке, добавляли 0,26 г (0,0027 моль) сульфат гидразина. В течение 15 минут добавляли 0,5 г (0,0025 моль) изонитрозо-b-нафтоилацетон при температуре 70°С.

Об окончании реакции судили по тонкослойной хроматограмме (рис.1.4). Бесцветное пятно, соответствующее изонитрозо-a-дикетону, видимое при ультрафиолетовом освещении или при проявлении парами йода, по мере протекания реакции исчезало, при этом появлялось ярко-зелёное пятно конечного продукта. Через 30 мин. цвет смеси полностью изменился с бледно-бежевого на зеленый. Для выделения чистого продукта, смесь проэкстрагировали эфиром и в эфирный экстракт добавили активированный уголь. Смесь отфильтровали и дали эфиру испариться. Осадок затерли в петролейном эфире. Получили 0,31 г продукта (62,5% от теоретического) - предполагаемого 3-метил-5-α-нафтил-4-пиразолон-4-оксима. Температура плавления 980С.

Результаты СНN анализа: Найдено: C- 62,15 % , H- 4,82 %, N- 14,12 %.

Вычислено: C- 70,88 % , H- 4,64 %, N- 17,72 %.

                                                       


            2              3                4

Рис 1.4. Тонкослойная хроматограмма 3-метил-5-α-нафтил-4-пиразолон-4-оксима на пластинках Silufol UV-254 (Элюент: этилацетат- толуол 1:2). 1-ТСХ реакционной смеси; 2- ТСХ реакционной смеси через 1 час; 3- ТСХ сырого продукта; 4- ТСХ перекристаллизованного из спирта продукта

В УФ-спектре 3-метил-5-a-нафтил-4-пиразолон-4-оксима в области 720 нм присутствует максимум поглощения, соответствующий n ® p* переходу нитрозогруппы. Наличие этого максимума поглощения подтверждает, что продукт находится в форме нитрозотаутомера и представляет собой 3-метил-4-нитрозо-5-a-нафтилпиразол.

Таким образом, в результате проделанной работы нам удалось расширить представления о границах применения реакции циклоароматизации. Впервые с помощью данной реакции введены a- и β-нафтильные заместители в нитрозоароматическую систему.

3. Экспериментальная часть


В процессе проведения эксперимента необходимо было использовать химически чистые вещества. Чтобы избавиться от примесей мы использовали методы перегонки, прокаливания, осушки различных веществ.

Технический нитробензол перегоняли из круглодонной колбы на установке с воздушным холодильником при атмосферном давлении. Фракцию химически чистого нитробензола собирали при 150-1570С.

Для осушки этилацетата прокаливали 5 ч кальций хлористый в муфельной печи при 2000С. Прокаленный охлажденный кальций хлористый засыпали в этилацетат на 24 ч, затем фильтровали.

Получение абсолютного эфира. На 24 ч в эфир засыпали прокаленный кальций хлористый. Фильтровали. В эфир выдавливали натриевую проволоку и выдерживали еще 24 ч.

Металлический натрий хранили под слоем масла в виде небольших кусочков. Для проведения эксперимента механически удаляли с поверхности натрия масло и выдавливали с помощью ручного пресса натриевую проволоку в сухой гексан.

Получение β-ацетонафтона из нафталина и уксусного ангидрида


Растворяли 35 г (0,245 моль) нафталина и 29,6г (0,29 моль) уксусного ангидрида в 250г нитробензола при механическом перемешивании. Смесь охладили льдом с солью до температуры смеси -3°С, цвет исходного нитробензольного раствора был зеленоватым. В течение получаса добавляли 70г (0,52 моль) безводного хлорида алюминия, цвет практически сразу изменился до буро-коричневого. При добавлении четверти от общего количества AlCl3 смесь загустела, стала студенистой, при увеличении оборотов мешалки гель исчезал. При добавлении всего количества хлорида алюминия, температура поднималась до +6 -10°С.

После выдержки смеси в течение 2-х часов содержимое стакана выливали в ледяную крошку и подкисляли концентрированной соляной кислотой до сильнокислой реакции. Смесь разделяли в делительной воронке, удаляя верхний водный слой. Слой нитробензола промывали водой, 5%-ным раствором натриевой щелочи и опять водой. Сушили над безводным сульфатом натрия, затем отфильтровывали и подвергали вакуумной перегонке. При давлении 3 мм рт.ст. нитробензол отгоняли при температуре от 62°С до 103°С. Продукт - b-ацетонафтон - собирали в пределах от 153°С до158°С. Получили 10,1г продукта в виде густой маслянистой жидкости, застывающей в морозильной камере. После перекристаллизации из петролейного эфира получили белый кристаллический продукт с Т пл. 55 0С.

Получение β-ацетонафтона из нафталина и бромистого ацетила


Нафталин 0,245 моль - 35 г

Бромистый ацетил 0,29 моль - 35,6 г

Нитробензол 250 мл 3 - 0,34 моль - 45,4 г

В высоком литровом стакане растворяли 35 г (0,245 моль )нафталина и 35,6 г (0,29 моль) бромистого ацетила в 250 мл нитробензола при охлаждении и постоянном перемешивании магнитной мешалкой. При -2°С начали добавлять 45,4 г (0,34 моль) безводного AlCl3, все количество добавляли в течение 30 минут. Температура поднялась до +4°С, перемешивание продолжали в течение 6 часов. Через 3 часа выдержки охлаждающую баню убрали. Затем всю смесь выливали в ледяную крошку и сильно подкисляли концентрированной соляной кислотой. Образовавшуюся эмульсию желтого цвета оставляли на ночь.

Утром смесь разделяли в делительной воронке. Слой нитробензола промывали 5%-ной водной NaОН, затем водой до нейтральной среды. Засыпали в жидкую смесь безводный Na2SO4 для удаления лишней воды.

При вакуумной перегонке собирали первую фракцию, состоящую в основном из нитробензола, при температуре от 64 °С до 125°С при 3-5мм рт. ст., затем собирали вторую, основную фракцию β-ацетонафтона при температуре от 148°С до 155°С при 3-5 мм рт. ст.

Выход β-ацетонафтона составил 27,3 г, Т пл. после перекристаллизации из петролейного эфира 56°С. Выход 68,5%.

Получение β-нафтоилацетона


Загрузка: Ацетонафтон 19,2 г (0,112 моль).

Этилацетат 36 г (0,4 моль).

Натрий 3,63 г (0,14 моль).

Абсолютный эфир 125 мл.

В колбу емкостью 500 мл заливали 125 мл абсолютного эфир и растворяли в нем 19,2 г (0,112 моль) b-ацетонафтона и 36г (0,14моль) этилацетата. Затем в полученный раствор вносили 3,63г (0,14 моль) металлического натрия в виде проволоки (перед добавлением натрий активировали несколькими каплями спирта). Через 15 минут смесь самопроизвольно разогревалась и начинала кипеть, примерно через 20 минут включали нагрев и нагревали на водяной бане еще 45 минут. Раствор приобрел темно-бурую, почти бордовую окраску, выпадал коричневатый осадок натриевого производного дикетона. Раствор фильтровали и промывали осадок на воронке Бюхнера абсолютным эфиром до бледно-желтой окраски. Осадок (натриевое соединение) растворяли в воде и опять фильтровали. Фильтрат подкислили уксусной кислотой, при этом продукт выпадал в виде осадка белого насыщенного цвета и его отфильтровывали. В итоге получили 11г b-нафтоилацетона. Температура плавления 81-82°С. Выход 38,5%.

Получение α-ацетонафтона


Загрузка: Нафталин 0,245 моль - 35 г

Бромистый ацетил 0,29 моль - 35,7 г

Дихлорэтан 250 мл 3 - 0,34 моль - 45,4 г

В высоком литровом стакане растворяли 35 г (0,245 моль) нафталин и 35,7 г (0,29 моль) бромистый ацетил в 250 мл дихлорэтана при постоянном перемешивании магнитной мешалкой. Синтез вели при температуре 35°С. После растворения нафталина в течении 30 мин добавляли 45,4 г (0,34 моль) AlCl3. Перемешивание продолжали в течение 2,5 часов. Затем всю смесь выливали в ледяную крошку и сильно подкисляли концентрированной соляной кислотой. Образовавшуюся эмульсию желтого цвета оставляли на 12 ч. Смесь разделяли в делительной воронке. Слой дихлорэтана промывали 5%-ной водной NaОН, затем водой до нейтральной среды. Засыпали в жидкую смесь безводный Na2SO4 для удаления лишней воды. Дихлорэтан сначала отгоняли при комнатной температуре под вакуумом водоструйного насоса, затем при глубокой вакуумной перегонке выделяли основную фракцию α-ацетонафтона при температуре от 152°С до 165°С при 3-5 мм рт. ст. Получили 17,2 г α-ацетонафтона (тёмная вязкая жидкость). Выход 44,5%.

Получение α-нафтоилацетона

Провели по методике получения b-ацетонафтона, описанной выше.

Загрузка: α-Ацетонафтон 17,2 г (0,116 моль).

Этилацетат 32,25 г (0,403 моль).

Натрий 3,03г (0,13 моль).

Абсолютный эфир 112 мл.

Получили 3,5г α-нафтоилдикетона. Тпл 50°С. Выход от теоретического 16%.

4. Выводы


1.   Известными методами по реакции Фриделя-Крафтса синтезированы α и β-ацетонафтоны.

2.      По реакции конденсации Кляйзена получены α- и β- нафтоилацетоны.

.        Проведено нитрозирование α- и β-нафтоилацетонов и впервые получены изонитрозо α- и β-нафтоилацетоны.

.        Осуществлена конденсация изонитрозо α- и β-нафтоилацетонов с гидразином. Впервые получены 3-метил-4-нитрозо-5-α-нафтил- пиразол и 3-метил-4-нитрозо-5-β-нафтилпиразол.

.        Расширены представления о границах применения реакции циклоароматизации. Впервые с помощью данной реакции введены a- и β- нафтильные заместители в нитрозоароматическую систему

5. Безопасность и экологичность работы


Улучшение условий труда - важная задача политики государства. Поэтому большое внимание уделяется созданию здоровых и безопасных условий труда. [22]

Охрана труда - система сохранения жизни и здоровья работников в процессе трудовой деятельности, включающая в себя правовые, социально -экономические, организационно - технические, санитарно - гигиенические, лечебно - профилактические, реабилитационные и иные мероприятия. Охрана труда изучает производственные опасности и профессиональные вредности, разрабатывая методы их предотвращения или ослабления, с целью устранения несчастных случаев на производстве, профессиональных болезней, аварий и пожаров.

Главным объектом исследования является человек в процессе труда, производственная среда и обстановка, взаимодействие человека с промышленным оборудованием, технологическим процессом, организаций труда и производства.

5.1 Характеристика опасных и вредных факторов при проведении работы и методы защиты

Все опасные и вредные факторы по природе действия подразделяются на четыре основные группы:

. физические

. химические

. биологические

.психофизиологические

Из перечисленных факторов, в процессе выполнения научно-исследовательской работы в лаборатории оказывали влияние следующие группы ОПФ и ВПФ: физические; химические; психофизиологические.

Группа физические факторы.

К физическим опасным и вредным факторам относятся:

Повышенная загазованность парами ацетона, толуола, этанола воздуха рабочей зоны в процессе работы;

Повышенный уровень шума и вибрации при работе вентиляции, вакуумного насоса, сушильного шкафа. Величина фактора - 55дБА что соответствует меньшему значению чем нормативная величина - 60 дБА.

Острые и режущие части инструментов и оборудования (при навеске ингредиентов, резке натрия используется острое лезвие ножа);

-Повышенное напряжение электрической цепи - 380/220 В, при замыкании которой, вследствие неисправности зануления или пробоя изоляции, возникает опасность поражения работающего током (при работе с электродвигателями, термостатами, сушильными шкафами).

Группа химические факторы.

Химические опасные и вредные фаторы подразделяются на несколько подгрупп: по характеру воздействия на организм человека - токсичные, раздражающие, сенсибилизирующие, канцерогенные, мутагенные, влияющие на репродуктивную функцию; и по пути проникновения в организм человека через: органы дыхания, желудочно-кишечный тракт, кожные покровы и слизистые оболочки.

Химически опасные и вредные производственные факторы:

. По характеру воздействия на организм человека:

Токсические (толуол, ацетон, этанол, серная кислота);

-Раздражающие (пыль нафталина, кальция хлористого);

Канцерогенные (нафталин).

. По пути проникновения в организм человека:

через органы дыхания (нафталин);

через желудочно-кишечный тракт нафталин);

через кожные покровы и слизистые оболочки (ацетон, этанол, толуол, серная кислота, хлористый ацетил).

Группа психофизиологические факторы.

Психофизиологические факторы подразделяются на физические перегрузки (статические, динамические) и нервно-психические (умственное перенапряжение, монотонность труда, эмоциональные перегрузки).

Группа психофизиологических факторов:

Подгруппа физические перегрузки: так как основная часть работы в лаборатории производится в положении сидя (наблюдение за ходом эксперимента), то это является причиной возникновения статических перегрузок.

Нервно - психические перегрузки подразделяются на:

умственное перенапряжение;

монотонность труда;

- эмоциональные перегрузки.

5.2 Токсикологические и взрыво-пожароопасные свойства используемых веществ

Химическая лаборатория находящаяся на территории кафедры органической химии учебного корпуса АБВ СибГТУ относится к помещениям, которые представляют собой потенциальную опасность профессиональных отравлений и заболеваний работающих. Это происходит из-за того, что в процессе труда человек соприкасаются с химическими веществами, имеющими те или иные токсические свойства. Для нормальных условий работы, содержание вредных химических веществ в воздухе не должно превышать предельно - допустимые концентрации (ПДК).

Токсических свойства веществ, используемых при выполнении работы, приведены в таблице 5.1

дикетон синтез ароматический соединение

Таблица 5.1

Токсикологическая характеристика веществ и материалов

Наименован. веществ и их химическая формула

ПДК Мг/м3

Кл.Оп.

Характер воздействия на организм

Меры и средства первой помощи

Средства индивидуальной защиты

Этанол С2Н5ОН

1000

 4

При отравлении головокружение, тошнота, увеличение печени, снижение остроты зрения.

Промывание желудка, свежий воздух

Фильтрующий промышленный противогаз, маркировка тары и трубопроводов с указанием на токсичность

Серная кислота H2SO4

1

 2

Пары раздражают дыхательные пути и глаза, вызывает сильные ожоги кожных покровов.

Свежий воздух.

Приточно-вытяжная вентиляция, следует применять индивидуальные средства защиты (защитные очки, резиновые перчатки).

Ацетон CH3COCH3

200

4

Наркотическое действие, раздражение кожи.

Промывание желудка, свежий воздух

Приточно-вытяжная вентиляция, следует применять индивидуальные средства защиты (защитные очки, резиновые перчатки,  респиратор)

Соляная кислота HCl

5

2

Пары раздражают дыхательные пути и глаза, вызывает сильные ожоги кожных покровов.

Промывание желудка, свежий воздух

Приточно-вытяжная вентиляция, следует применять индивидуальные средства защиты (защитные очки, резиновые перчатки, респиратор)

 

Толуол С6Н5СН3

50

3

Оказывает вредное воздействие на кровь, органы дыхания, нервные клетки

Свежий воздух

Местные вытяжные устройства и общая вентиляция

 


Таблица 5.2

Взрыво-пожароопасные свойства веществ

Наименование веществ и их химическа-чая формула

Агр. Состояние

Пл. пара По воздухуг/см3

Температура, оС

Температурные пределы распространения пламени, 0С

Концентр. Пределы Распространения пламени, % объемные

Средства пожаротушения




Всп

С.во

Ниж.

Вер

Ниж.

Вер


Этанол С2Н5ОН

ж

1,6

14

400

11

41

3,6

17,7

При крупных проливах Распыляется вода, пена, порошок

Толуол С7Н8

ж

3,1

7

535

6

37

1,27

6,8

Тушение пеной, ПСБ и СО2

Серная кислота H2SO4

Ж

1,860

-

-

-

-

-

-

Углекислый газ, песок

Уксусная кислота CH3COOH

Ж


34

454

-

-

3,3

22,0

Углекислый газ, пена, вода.

Ацетон CH3COCH3

Ж

0,790

-18

465

15

48

2,2

13,0

Тонко распыленная вода со смачивателями и пена


.3. Мероприятия по защите от воздействия опасных и вредных факторов

Для обезвреживания воздуха от паров вредных веществ (см. таблицу 5.2), предусмотрено выполнение работы под тягой, в вытяжном шкафу. Дистанционное управление вытяжного шкафа находится за пределами помещения лаборатории. Это позволяет сначала включить вентиляцию, а потом открыть дверь.

Лаборатория подключена к внутренней четырехпроводной электросети 380/220 В с глухозаземленной нейтралью, поэтому помещение лаборатории по опасности поражения людей электрическим током, относится к 3 классу, как особо опасное: химически активная среда, железобетонный токопроводящий пол, существование возможности одновременного прикосновения человека к имеющей соединение с землей системой центрального отопления и с металлическими поверхностями электроприемников. Так как используемого в работе количества ЛВЖ недостаточно для образования взрывоопасной паровоздушной смеси в количестве, превышающем 5% свободного объема помещения и работа с ними ведется в вытяжных шкафах, без применения открытого пламени, то согласно классификации взрывопожароопасных зон, зоны помещения в которых проводится работа с ЛВЖ не взрывоопасны.

Согласно требованиям электробезопасности, лаборатория оборудована системой зануления и защитного отключения (установлены автоматические выключатели). При этом металлические корпуса электроприемников (хроматограф, холодильная установка, сушильный шкаф) нулевыми защитными проводниками присоединены к магистрали заземления. При занулении пробой на корпус превращается в однофазное короткое замыкание, что приводит к протеканию через защиту большого тока и отключению поврежденного электрооборудования от сети.

Чтобы обеспечить надежную работу электрооборудования в химических лабораториях, исключена возможность проникновения химически активных реагентов в оболочки электрооборудования, применяются конструкционные материалы и защитные покрытия.

Регулярно проводятся периодические и внеочередные осмотры электрооборудования, контролируется состояние изоляции токопроводящих элементов (осмотры производятся людьми которые работают не посредственно в лаборатории, так же проводят плановый осмотр электрики которые работают непосредственно в СибГТУ ).

Щиток с рубильником для подачи электрического тока в лаборатории находится за пределами лаборатории, для того чтобы в случае необходимости была возможность отключить приборы, не находясь в помещении лаборатории.

Для профилактики травматизма и предотвращения ошибочных действий работающих, в лаборатории применяются знаки безопасности (запрещается пользоваться открытым огнем, Не курить, Осторожно! Легковоспламеняющиеся вещества, Осторожно! Едкие вещества, Не тушить водой) и предупредительные плакаты («Не лей воду в кислоту», «Загазованность не допустима», «Береги глаза - пользуйся защитными очками и маской», «Не оставляй никаких химических веществ в посуде без этикетки и надписей»).

5.4 Санитарно - гигиенические мероприятия

5.4.1 Санитарно - гигиенические характеристики лаборатории и меры безопасности

Помещение химической лаборатории оснащено необходимым для проведения эксперимента оборудованием. Планировка должна соответствовать требованиям строительных норм и правил, а также нормам проектирования высших учебных заведений.

Научно - исследовательская работа проводилась в лаборатории, находящейся на территории кафедры органической химии, учебного корпуса АБВ СибГТУ. Помещение занимает площадь 48 м2, объём лаборатории составляет 168 м3. Оборудование занимает 30м2 площади помещения лаборатории. Число рабочих мест в лаборатории - 6. Площадь помещения на одного работающего - 2,4 м2 . Ширина проходов между оборудованием состовляет не менее 1,5 м2; проходы не загромождены, что соответствует нормативам и требованиям.

5.4.2 Характеристика метеорологических условий лаборатории № Б4 22

Работы, выполняемые в лаборатории, можно отнести к категории 1б лёгкие физические работы, производимые сидя, стоя или связанные с ходьбой и сопровождающиеся некоторым физическим напряжением. [31]

Характеристика микроклимата воздуха в рабочей зоне помещения лаборатории приведена в таблице 5.3

Таблица 5.3

Характеристика метеорологических условий лаборатории

Период года

Категория тяжести физических работ

Температура, °С

Относительная влажность, %

Скорость движения воздуха, м/с

Фактические метеоусловия

Холодный

16

 48

0,2

Тёплый

16

20-24

 57

0,2

Нормативные допустимые метеоусловия

Холодный

16

 18-21

 75

Не более 0,1

Тёплый

16

18-21

 60

0,1-0,3


Для поддержания допустимых метеорологических условий в лаборатории предусмотрено центральное водяное отопление. Эта система гигиенична, наиболее проста и безопасна.

Из вышеизложенного следует, можно сделать вывод что микроклимат помещения лаборатории соответствует нормативам и требованиям и обеспечивает высокую производительность труда в комфортных условиях.

5.4.3 Характеристика системы вентиляции

В химической лаборатории для работы ежедневно применялись легколетучие химические реактивы. В связи с этим воздух загрязнялся парами этих веществ, что отрицательно сказывается на самочувствии рабочих. Для поддержания нормальных условий и чистоты воздуха в лаборатории предусматривается естественная и искусственная вентиляция.

Естественная вентиляция во всех лабораториях осуществляется через окна. Поступление свежего воздуха происходит через форточки, удаление загрязнённого воздуха - через решётчатые проёмы в стенах.

В лаборатории предусмотрена искусственная вентиляция (вытяжной шкаф). Назначением вытяжного шкафа является локализация вредных выделений и удаление их из помещения. Вытяжная вентиляция позволяет удалять загрязненный и перегретый воздух, чистый поступает из вне, через окна и двери. В лаборатории работает шесть вытяжных шкафов.

.4.4 Характеристика освещения помещения лаборатории № Б4-22

В процессе работы велись действия с объектами различения от 1 до 5мм, что приводило к напряжению зрительного анализатора. Данный вид зрительных работ относится к V разряду “в” зрительных работ, поэтому необходимо правильное и полное освещение рабочего места. В лаборатории предусмотрено совмещенное освещение.

Естественное освещение помещения лаборатории боковое, одностороннее, осуществляется через окна и характеризуется коэффициентом естественной освещенности КЕОф = 1,42 %, при этом нормативная величина КЕОн = 1,5%. [40]

Искусственное общее равномерное рабочее освещение осуществляется светильниками ОДА с люминесцентными лампами типа ЛБ-40 с равномерным распределением светильников, по две лампы в каждом, располагающихся в два ряда по три светильника. Расстояние между рядами составляет 3 метра, а до стен 1,5 метра. Нормируемая освещенность Ен = 200лк, а фактическая освещенность Еф=210,42 лк.

Естественное освещение лаборатории не соответствует требованиям и может применяться только совмещенно с искусственным освещением. Искусственное освещение соответствует требованиям и может применяться как совместно с естественным, так и отдельно. [40,36,37].

5.4.5 Расчет искусственного освещения помещения лаборатории № Б4 22

Цель расчета: Рассчитать осветительную установку, обеспечивающую комфортные условия для проведения зрительных работ V “в” разряда

Исходные данные: Для освещения лаборатории используются светильники ОДА с люминесцентными лампами типа ЛБ-40 с мощностью светового потока 2480 лм. Рабочее напряжение 220 В. Установлено 6 светильников, по две лампы в каждом, располагающихся в два ряда по три светильника. Расстояние между рядами составляет 3 метра, а до стен 1,5 метра. Высота подвеса светильников равна высоте помещения 3.5м., так как светильники крепятся непосредственно на потолке без подвеса. Расстояние от крепёжного места до ламп равно 10 см.

Ход расчета:

а) Предварительный выбор типа светильников.

Для помещения лаборатории наиболее оптимальным с точки зрения равномерности и экономичности освещения является использование светильников с люминесцентными лампами. Кроме того спектр светового потока таких ламп близок к естественному, что обеспечивает максимальную совместимость с естественным освещением и благоприятно влияет на зрительный анализатор человека. Учитывая вышенаписанное выбираем для рассчитываемого искусственного освещения используемый вид светильника  ОДА, как наиболее оптимальный. Применение в данном светильнике двух ламп со сдвинутыми фазами токов максимально снижает стробоскопический эффект и таким образом устраняет его негативное влияние на зрительный анализатор человека.

б) Предварительный выбор расположения светильников.

Существующее расположение светильников соблюдает правило равноудаленности от всех точек рабочих поверхностей, что обеспечивает оптимальное рассеяние светового потока и равномерность освещения. Поэтому принимаем данное расположение светильников за наиболее оптимальное для заданного вида освещения.

в) Расчет светового потока ламп, необходимого для заданной освещенности горизонтальной поверхности.

Расчет производим методом коэффициента использования светового потока. Этот метод позволяет определить световой поток ламп, необходимый для заданной освещенности горизонтальной поверхности, при общем равномерном освещении с учётом света, отраженного стенами и потолком.

Расчетное уравнение

                       (5.1)

где F - световой поток одной лампы, лм;н - минимальная освещенность, лк, принимаем по СНиПу Ен=200 лк;- коэффициент запаса учитывающий снижение освещённости при эксплуатации; К3=1,5;- поправочный коэффициент, учитывающий неравномерность освещения, для люминесцентных ламп z = 1,1.- площадь помещения, м2;- общее число ламп, N=12 шт.;

hи - коэффициент использования светового потока, падающего на рабочую поверхность, к суммарному потоку всех ламп.

Площадь помещения определяем по формуле:

S = a*b,                                                                                        (5.2)

где а - длина помещения, м;- ширина помещения, м.

= 6*6= 36 м2

Индекс помещения определяем по формуле


где h - высота помещения

.                     (5.3)

Коэффициент использования светового потока определяем по формуле:

hи = hс * hп,                                                                                    (5.4)

где hс - кпд светильника, в долях единицы, согласно справочным данным принимаем hс = 0,7;

hп - кпд помещения, в долях единицы, согласно справочным данным принимаем hп = 0,6.

h = 0,7*0,6 = 0,42

Согласно формуле 5.1 расчетный световой поток одной лампы:


г) Выбор типа лампы. Определение расчетной освещенности рабочих поверхностей и сравнение её с требуемыми.

Произведем подбор ламп для обеспечения необходимого освещения и создание комфортных условий для данного вида зрительных работ. По найденному световому потоку Fр =2357,14 лм подбираем лампу, учитывая, что поток выбранной нами лампы не должен отличаться от расчетного более чем на +20 или -10%. Принимаем лампу люминесцентную типа ЛБ40 с номинальным световым потоком Fл=2480 лм. Отличие от расчётного светового потока составляет + 5,21 %, что соответствует требованиям.

По принятому значению светового потока F определяем расчетную освещенность - E, лк, по формуле:

                                                            (5.5)

Выбранный тип ламп обеспечивает освещенность рабочих поверхностей Ер = 210,42 лк и превышает требуемую освещенность Ен = 200лк на 5,21%, что входит в допустимые 20%.

Рассчитанная осветительная установка обеспечивает освещенность Ер = 210,42 лк и превышает требуемую освещенность Ен = 200лк на 5,21%, это входит в допустимые 20%. и, следовательно, обеспечивает комфортные условия для проведения зрительных работ V “в” разряда.

Этап 3. Расчёт необходимых параметров для элементов электрокоммуникации рассчитываемой световой установки.

Определяем мощность световой установки по формуле

Р = Р1*N,                                                                                        (5.6)

где Р1 - номинальная мощность выбранной лампы, Р1=40 Вт;- количество ламп, шт. N = 12 шт.

Р=40*12 = 480 Вт.

Определим силу тока протекающую через линию питающей сети при номинальной мощности световой установки:

= 1,2 * P/V,= 1,2 * 320/220 = 1,75 А.                                                              (5.7)

где I- сила тока, А;- напряжение в сети, В.

Сечения проводов осветительной сети должны обеспечить их ограниченный нагрев протекающим током и подведение к лампам необходимого уровня напряжения. Допустимая длительная нагрузка проводников не должна быть менее 1,25 номинального тока защитного аппарата. Выбираем провод с алюминиевыми жилами сечением 2,5 мм2 марки АПРТО обеспечивающим длительно допустимый ток 21 А.

Согласно правилам автоматические выключатель должен быть выбран таким образом, чтобы номинальный ток уставки автомата был наиболее близок к расчётному току. В тоже время с целью обеспечения селективности защиты, допускается и некоторый разрыв между расчётным током и током аппарата защиты. Поэтому выбираем стандартный автоматический выключатель AE 1031 - 2У4 с номинальным током 6 А. При этом . допустимая длительная нагрузка проводников в 3,5 раза превышает значение номинального тока защитного аппарата, что удовлетворяет требованиям.

5.5 Пожарная профилактика и средства пожаротушения

В помещении лаборатории находятся легковоспламеняющиеся жидкости (ЛВЖ) с температурой вспышки , используемые при проведении данной работы. В химической лаборатории легковоспламеняющиеся жидкости хранятся в закрытых специальных металлических ящиках, а работа с ними ведется без применения открытого огня. Количество ЛВЖ, согласно требованиям, не превышает 5 л на 18 м2 помещения, что позволяет избежать образование взрывоопасных паровоздушных смесей, при воспламенении которых развивается расчетное давление взрыва превышающее 5 кПа. Однако, данного количества достаточно для возникновения пожара. Работа с ЛВЖ проводилась без применения открытого огня, в вытяжных шкафах, изолированных трудногорючими материалами (керамической плиткой), штепсельные розетки вытяжных шкафов размещены на торцевой стороне. Все ЛВЖ хранятся в закрытой таре, поставленные в металлические ящики. Учитывая выше изложенное, помещение лаборатории можно отнести к пожароопасной категории В-I.

Степень огнестойкости строительных конструкций помещения химической лаборатории - III.

На случай возникновения пожара имеются следующие средства пожаротушения: два огнетушителя ОУ-2, кошма, асбестовое одеяло, ящик с сухим песком. Все эти средства относятся к первичным и предназначены для тушения небольших очагов пожара.

На территории кафедры, где расположено помещение лаборатории, предусмотрена объединённая система водоснабжения, обеспечивающая подачу воды на противопожарные нужды. На территории кафедры находятся три пожарных крана, заключённых в специальные ящики, которые расположенные на высоте 1,35 метра от уровня пола. Расстояние между ними 20 метров. К кранам подсоединяются противопожарные рукава длиной 10 метров.

Состояние пожарной безопасности в СибГТУ контролирует ОГПН (отдел государственного пожарного надзора) по центральному району г. Красноярска, который в свою очередь подчиняется ГПН (государственному пожарному надзору). На основании ст.212 ТК РФ ответственность за состояние пожарной безопасности в СибГТУ возложена на ректора. В соответствии с п.10 ППБ на период отсутствия ректора ответственность за состояние пожарной безопасности возлагается на проректора по АХР.в целях обеспечения контроля за соблюдением требований пожарной безопасности в университете в штатное расписание управления безопасности труда и жизнедеятельности введена единица инженера по ПБ, который непосредственно подчиняется начальнику УБТ и ЖД. Контроль за соблюдением требований пожарной безопасности в структурных подразделениях университета возложен на пожарно-техническую комиссию. Назначенную приказом ректора №50 от 14.02.03. во всех структурных подразделениях имеются лица ответственные за состояние пожарной безопасности согласно приказу №33-0 от 28.01.2005. в случае возникновения пожара в действие приводится добровольная пожарная дружина, назначенная приказом ректора №357-0 от 27.09.2002., в состав которой входят представители структурных подразделений.

Кафедра органической химии подключена к общей пожарной охранной сигнализации. В качестве пожарных извещателей применяются тепловые извещатели типа ИП- 104 2/1. В состав всей пожарной сигнализации входит 105 извещателей, установленных на потолке. Лаборатория оснащена четырьмя извещателями, равномерно расположенными на потолке. Температура срабатывания извещателей 70 °С.

При невозможности устранения пожара своими силами успешная борьба с пожаром зависит от быстрой и точной передачи сообщения о пожаре в ближайшую часть по телефону 01. [44,45,46,47,48,51,52,53,54].

5.6 Меры личной безопасности в проведении экспериментальной работы

С целью обеспечения безопасности в учебной и профессиональной трудовой деятельности был пройден курс лекций и лабораторных занятий по дисциплине БЖД.

Ответственность за создание безопасных условий труда на кафедре возлагается на заведующего кафедрой. На руководителя данной дипломной работы заведующим кафедрой возложены обязанности ответственного за создание безопасных условий труда в лаборатории, где проводились экспериментальные исследования, обязанность проведения инструктажа. Руководителем (Товбисом М.С) были проведены следующие виды инструктажа:

Перед началом работы в лаборатории проведен вводный инструктаж по программе. После проведения вводного инструктажа проведен первичный инструктаж на рабочем месте с практическим показом безопасных приемов и методов труда.

При изменении характера работы или её специфики проводился внеплановый инструктаж.

Согласно действующих норм в лаборатории при проведении экспериментальных работ использовались средства индивидуальной защиты. Каждый работающий в лаборатории обеспечивается средствами индивидуальной защиты: маска из органического стекла, резиновые перчатки, очки, хлопчатобумажный халат. Наряду с защитной одеждой для защиты кожных покровов - резиновые перчатки, а также смягчающие крема и мази.

В каждой лаборатории кафедры органической химии имеется аптечка с необходимыми медикаментами для оказания первой помощи пострадавшему до приезда врача скорой медицинской помощи при необходимости.

В лаборатории установлен шестичасовой рабочий день с 1030 до 1630 и предусмотрен обеденный перерыв с 1230 до 1300. Работникам предоставляются очередные и внеочередные отпуска и дни отдыха.

Для обеспечения бытовых нужд работающего на кафедре предусмотрено хозяйственное водоснабжение кранового типа с подводкой к нему горячей и холодной воды. Расстояние от рабочих мест до устройств водоснабжения не превышает 75 м. Питьевое водоснабжение не предусмотрено. Для использования хозяйственного водоснабжения холодной водой в качестве питьевого, требуется дополнительная установка фильтров для очистки воды.

В здании учебного корпуса АБВ СибГТУ, предусмотрен гардероб для верхней одежды, расположенный в холле на первом этаже и имеется два пункта питания, которые так же расположены на первом этаже.

Всё перечисленное выше позволяет обеспечить личную безопасность и комфортные условия труда при проведении данной научно-исследовательской работы [22,49,50].

.7 Безопасность жизнедеятельности в чрезвычайных ситуациях

В последние годы в России складывается тревожная тенденция роста количества и тяжести последствий чрезвычайных ситуаций от техногенных аварий и природных катастроф, в которых ежегодно гибнет много людей. Ущерб от чрезвычайных ситуаций (ЧС) также сказывается на государственной экономике.

В случае аварий и разрушений на предприятиях химической промышленности в окружающую среду может поступать большое количество вредных и токсичных веществ, представляющих опасность для человека и окружающей среды.

В Российской Федерации существует Единая государственная система предупреждения и ликвидации ЧС, объединяющая органы управления, силы и средства федеральных органов исполнительной власти субъектов РФ, органов местного самоуправления и организаций, в полномочия которых входит решение вопросов о защите населения и территорий от ЧС.[57]

декабря 1994 году вступил в силу федеральный закон "О защите населения и территорий от чрезвычайных ситуаций природного и техногенного характера " [56], который обязывает организации:

планировать и осуществлять необходимые меры в области защиты работников организаций и подведомственных объектов и социального назначения в ЧС;

обеспечивать создание, подготовку и поддержание и готовности к применению сил и средств для предупреждения и ликвидации ЧС, обучения работников организаций способам защиты и действиям в ЧС;

создавать и поддерживать в постоянной готовности локальные системы оповещения о ЧС;

обеспечивать организацию и проведение аварийно-спасательных и других неотложных работ на подведомственных объектах производственного и социального назначения и на прилегающих к ним территориях в соответствие с планами предупреждения и ликвидации чрезвычайных ситуаций.

Подготовка к ликвидации последствий должна проводиться с учетом возможной обстановки.

Данная дипломная работа проводилась в Сибирском Государственном Технологическом Университете (СибГТУ). В случае разрушения Красноярской ГЭС СибГТУ попадает в зону затопления; подвергается радиационному загрязнению (Железногорский ГХК); а также воздействию ураганов, длительных проливных дождей, сильных устойчивых морозов, эпидемий, терактов и землетрясений.

В случае разрушения Красноярской ГЭС СибГТУ находится в 40 минутной зоне затопления после ЧС. В случае возникновения ЧС весь персонал, студенты и жители близ лежащих к СибГТУ домов организованно выдвигаются по ул. Белинского в район ул. Аэровокзальной (на возвышенность).

При радиоактивном загрязнении в СибГТУ имеются подвальные помещения корпуса А, Б, В и лаборатория ГУКа закреплены за факультетом химических технологий, здесь в результате возникновения чрезвычайной ситуации могут укрыться 6952 человека. Кроме того, общежития, находящиеся в собственности СибГТУ, способны укрыть 5433 человека.

Заполнение защитных сооружений производится с плотностью 0,5 м2 на каждого человека.

При урагане может произойти разрушение линий электропередач, повреждение зданий, травмирование людей. Сильные устойчивые морозы могут привести к повреждению трубопроводов, выходу из строя линий электропередач. Сильные снежные заносы парализуют транспортные артерии города и возможны обрывы линий электропередач.

СибГТУ - это центр скопления большого количества людей, где возможно проведение терактов и быстрого распространения эпидемии.

В высших учебных заведениях (в частности в СибГТУ) имеются службы (формирования ГО), состоящие из специально обученных людей, которые отвечают за табельную оснащенность своей службы и осуществляют контроль над накоплением, хранением и использованием средств пожаротушения, а так же за средствами индивидуальной защиты. При угрозе возникновения ЧС в мирное время в задачи таких служб входит приведение в готовность к работе всех своих формирований в ЧС, а именно - сбор и проверка экипировки и оснащенности личного состава.

Обязательным является обучение студентов, служащих и руководителей действиям при возникновении возможной ЧС. Каждому дается определенный объем знаний и практических навыков в эффективном использовании всех средств и способов защиты. Регулярно проводятся командно- штабные учения (КШУ) и тактико-специальные учения (ТСУ). Учения проводят начальник ГО объекта и его заместители (начальник штаба ГО и ЧС, главные специалисты).

В целях защиты от чрезвычайных ситуаций было принято постановление правительства РФ (№1113 от 5.11.1995г., ст.19) №794 от 30.12.2003г., ст. 28 [57], согласно которому основные мероприятия, осуществляются по плану ГО ЧС. Для реализации данной задачи на объекте экономики создается служба оповещения и связи, для которой составляется план действий в трех различных режимах (повседневной готовности, повышенной готовности и режиме чрезвычайной ситуации).

В режиме повседневной готовности:

комплектование личного состава;

участие в разработке плана действий по предупреждению и ликвидации ЧС;

оснащение системы оповещения и связи современными техническими средствами и поддержание их в постоянной готовности к применению;

участие в проводимых на объекте учениях и тренировках согласно плану подготовки по ГО.

В режиме повышенной готовности:

оповещение руководящего и сбор личного составов;

приведение в готовность технических средств связи;

обеспечение личного состава необходимым имуществом и средствами индивидуальной защиты;

обеспечение герметизации помещений службы.

В режиме чрезвычайных ситуаций:

оповещение населения о характере ЧС и о том, что необходимо делать в данный момент;

организация спасательных работ в зоне ЧС;

определение границ зоны ЧС;

обеспечение безопасности и оцепление территории зоны ЧС;

непрерывный контроль за окружающее         средой.

Наличие структур ГО ЧС и высокая степень их готовности и наличие плана действий позволяет принимать грамотные решения в области предупреждения и ликвидации ЧС с наименьшими показателями последствий ЧС. Заблаговременная подготовка к действиям структур ГО и ЧС позволит смягчить отрицательные действия ЧС и обеспечить безопасность постоянного и переменного состава СибГТУ.

6. Технико-экономические показатели


6.1 Научная организация труда

Научная организация труда - это комплекс мероприятий направленных на то, чтобы наиболее рационально организовать труд, изучить условия работы, добиться повышения производительности труда.

Основными разделами научной организации труда являются:

. Организация рабочего места;

. Нормирование труда;

. Охрана труда и эстетика производства;

. Режим труда и отдыха.

При выполнении дипломной работы мы стремились выполнять данные требования.

6.1.1 Организация рабочего места в химической лаборатории

Приступая к выполнению работы, дипломник должен подготовить свое рабочее место. В лаборатории рабочим местом является вытяжной шкаф и лабораторный стол. Рабочее место должно быть чистым и не загроможденным лишними предметами. Проходы должны быть всегда свободными, чтобы не мешать действиям работающих.

Реактивы должны храниться в специально отведенных местах, в таре с ясными надписями. По окончании работы установка разбирается и складывается по элементам в ящики лабораторного стола, там же хранится посуда.

Необходимые реактивы помещают в специальном вытяжном шкафу. Легковоспламеняющиеся реактивы хранятся отдельно в железных ящиках. После окончания работ проводится уборка рабочего места. Химическая лаборатория должна отвечать требованиям СН-245-71.

6.1.2 Нормирование труда

При выполнении работ в химической лаборатории предусмотрены нормы времени для выполнения различных работ. При этом учитывается организация рабочего места и опыт работающего.

6.1.3 Охрана труда и эстетика производства

Охрана труда - широкая система правовых, технических, санитарных и организационных мероприятий, направленных на обеспечение здоровых и безопасных условий труда. Правила по охране труда приведены в соответствующем разделе работы.

Эстетика производства предусматривает чистоту рабочего места, удобства расположения оборудования, правильную освещенность и окраску помещения. Эстетичный вид лаборатории влияет на настроение. Норма освещенности в химической лаборатории - 300 л/ч. Шум лаборатории не должен превышать 3-4 децибел.

6.1.4 Режим труда и отдыха

В химической лаборатории в период выполнения работ устанавливается 6-часовой рабочий день с перерывом на один час. В случае необходимости продолжительность рабочего дня увеличивается на 2 часа, но при этом в лаборатории должно находиться не менее двух человек.

6.2 Организация исследований

6.2.1 Определение трудоемкости

Форма распределения работ по этапам, видам работ и должностей исполнителей приведена в таблице 6.1.

Трудоемкость выполнения НИР определяется по сумме трудоемкостей этапов и видов работ, оцениваемых экспертным путем в человеко-днях, и носят вероятный характер, т.к. зависит от множества трудно учитываемых факторов.

Таблица 6.1

Распределение работ по этапам, видам и должностям исполнителей

Этап проведения НИР

Вид работ

Должность исполнителя

1. Разработка технического задания

Составление и утверждение задания на НИР

Руководитель дипломной работы

2. Выбор направления исследования

Сбор и изучение научно-технической литературы, относящийся к теме исследования

Дипломник


Составление аналитического литературного обзора

Дипломник


Формулирование возможных направлений решения поставленных задач

Дипломник


Выбор методик проведения исследований

Руководитель дипломной работы

3. Экспериментальные исследования

Проведение экспериментов

Дипломник


Обработка полученных данных

Дипломник

4. Обобщение и оценка результатов исследований

Обобщение результатов предыдущих этапов работ

Дипломник


Оценка полноты решения задач

Руководитель дипломной работы


Составление и оформление пояснительной записки

Дипломник


Поэтому применяются оценки минимально возможной и максимально возможной трудоемкости.

Ожидаемое значение трудоемкости i-го вида работ Ti , человеко-дней, определяется по формуле (6.1):

i = (ai+4mi+bi)/6                                                                              (6.1)

где ai - минимально возможная трудоемкость i-го вида работ, человеко дней;

bi - максимально возможная трудоемкость i-го вида работ, человеко-дней;i - наиболее вероятное значение трудоемкости i-го вида работ, человеко-дней.

Дисперсия ожидаемого значения трудоемкости i-го вида работ Di, человеко-дней, определяется по формуле (6.2):

i = ((bi - ai)/6)2                                                                                  (6.2)

Дисперсия характеризует степень неопределенности выполнения работы за ожидаемое время.

Экспертные оценки и расчетные значения трудоемкости приведены в таблице 6.2.

Таблица 6.2 Оценка трудоемкости отдельных видов работ

Вид работ

Минимальная оценка трудоемкости ai, чел. -дни

Наиболее вероятная оценка трудоемкости mi, чел. -дни

Максимальная оценка трудоемкости bi, чел .-дни

Ожидаемая трудоемкость Ti, чел.-дни

Дисперсия ожидаемого значения трудоемкости Di, чел. -дни

Составление и утверждение задания на НИР

0,2

0,4

0,6

0,5

0,004

Сбор и изучение научно-технической литературы, относящийся к теме исследования

3

5

7

6,00

0,45

Составление аналитического литературного обзора

2

3

4

3,00

0,11

Формулирование возможных направлений решения поставленных задач

2

3

4

3,00

0,11

Выбор методик проведения исследований

0,2

0,4

0,6

0,5

0,004

Проведение экспериментов

30

40

50

45,0

11,09

Обработка полученных данных

3

5

7

6,00

0,45

Обобщение результатов предыдущих этапов работ

2

3

4

3,00

0,11

Оценка полноты решения задач

2

3

4

3,00

0,11

Составление и оформление пояснительной записки

3

5

7

6,00

0,45

Итого:




76,00



6.2.2 Построение ленточного графика выполнения НИР

Одной из основных целей планирования НИР является определение общей продолжительности их проведения.

Продолжительность каждой работы П определяется по формуле(6.3):

П = Т/Ч                                                                        й                 (6.3)

где П - продолжительность i-го вида работ, дни;

Т - трудоемкость i-го вида работ, дни;

Ч - численность исполнителей i-го вида работ, чел.

Таблица 6.3 Продолжительность проведения НИР

Виды работ

Исполнитель

Ожидаемая трудоемкость, чел. -дни

Численность, чел.

Продолжительность работы, дни/недели

Составление и утверждение задания на НИР

Руководитель дипломной работы

4

1

4/1

Проведение экспериментов

Дипломник

72

1

72/12


Пример построения ленточного графика проведения НИР приведен в таблице 6.4.

Таблица 6.4 Ленточный график проведения НИР

Виды работ

Исполнитель (должность)

Продолжительность работы, недель



1

2

3

4

5

6

7

8

9

10

11

12

13

Составление и утверждение задания на НИР

Руководитель


Проведение экспериментов

Дипломник



.3 Определение плановой себестоимости выполнения НИР

При определении себестоимости обычно используется группировка затрат по статьям калькуляции, характеризующим функциональную роль расходов в проведении НИР. При этом все затраты, из которых складывается каждая статья калькуляции, можно классифицировать, отнеся их к следующим первичным однородным экономическим элементам затрат:

-    «Материальные затраты» включают стоимость сырья, в том числе покупных изделий, полуфабрикатов, комплектующих изделий, основных и вспомогательных материалов, а так же затраты на топливо и энергию.

-        «Затраты на оплату труда» включают затраты на основную и дополнительную заработную плату работников.

         «Единый социальный налог» отражает отчисления на социальные нужды.

         «Амортизация основных фондов» включает сумму амортизационных отчислений от стоимости используемого оборудования.

         «Прочие затраты» включают затраты, которые не могут быть отнесены ни к одному из перечисленных элементов: командировочные расходы, налоги и сборы, оплата аренды и услуг связи, и т.д.

6.3.1 Материальные затраты

Затраты определяются по действующим рыночным ценам, с учетом транспортно-заготовительных расходов величина, которых принимается в размере (7-10) % от стоимости покупки. Расчет затрат на сырье и материалы производится по форме, приведенной в таблице 7.5.

Таблица 7.5 Расчет затрат на сырье и материалы

Наименование материальных ресурсов и единицы измерения

Потребное количество

Цена за кг, руб.

Сумма, руб.

Нитробензол, кг

4

47,96

191,84

Нафталин, кг

0,2

45,84

9,17

Петролейный эфир, кг

0,08

25,13

2,01

Бромистый ацетил, кг

0,09

7,55

0,68

Этилацетат, кг

0,028

101,19

2,83

Натрий, кг

0,004

50,93

0,20

Гидразин сульфат, кг

0,004

126,99

0,51

Дихлорэтан, кг

0,02

4956

Хлористый ацетил, кг

0,02

7233,4

144,67

Толуол, кг

3

98,99

296,97

Всего



773,12

Транспортно-заготовительные расходы: в процентах от стоимости покупки, % сумма, руб. 54,12

Всего, руб. 827,24


Затраты на покупные изделия и полуфабрикаты рассчитываются по формуле (6.4):

З = Ц * N * К                                                                                 (6.4)

где З - затраты на материалы, руб;

Ц - цена, руб;

К - коэффициент, учитывающий транспортно-заготовительные расходы, К = 1,07-1,10;- количество однотипных покупных изделий, полуфабрикатов, шт.

Расчет затрат на покупные изделия и полуфабрикаты проводится по форме, приведенной в таблице 7.6.

Таблица 6.6 Расчет затрат на покупные изделия и полуфабрикаты

Наименование

Количество

Цена за единицу, руб.

Сумма, руб.

Бюксы, шт

40

47,2

1888

Фильтр Шотта, шт

4

9,44

37,76

Итого

1925,76


Затраты на силовую энергию рассчитываются по формуле (6.5):

                                                                        (6.5)

где My - установленная мощность, кВт;

Фд - планируемое время работы оборудования, час;

Ки - коэффициент использования оборудования, принимается

Ки = 0,70-0,95;

КПД - коэффициент полезного действия оборудования, принимается КПД = 0,8-0,95;

Цэ - цена 1 кВт*час, руб./кВт*час.

Расчет потребления электроэнергии представлен в таблице 6.7.

Таблица 6.7 Расчет потребления электроэнергии

 №

Наименование оборудования

Мощность, кВт

Кол-во часов работы в день

Кол-во рабочих дней

Потребление, кВт*ч

1.

Электрические весы

0,2

0,25

80

0,40

2.

Сушильный шкаф

3,00

2

90

540,00

3.

Электроплита

1,00

5

2

10,00

4.

Вытяжной шкаф

4,00

8

90

2880,00

5.

Электрическая мешалка

1,00

4

40

160,00

6.

Магнитная мешалка

1,00

4

40

160,00


Всего




3750,4


Расчет затрат на энергетические ресурсы проводится по форме, приведенной в таблице 6.8.

Таблица 6.8 Расчет затрат на энергетические ресурсы

Наименование энергетических ресурсов

Единица измерения

Потребность в ресурсах

Цена за единицу, руб.

Сумма, руб.

 1.

Электроэнергия

кВт*ч

3750,4

1,06

3975,4

 2.

Вода холодная

м3

44,0

2,38

104,72


Всего




4080,14


.3.2 Затраты на оплату труда

Затраты на основную заработную плату устанавливаются исходя из численности различных категорий исполнителей, трудоемкости отдельных видов работ и месячной тарифной ставки (оклада) (таблица 7.9).

Таблица 6.9 Расчет основной заработной платы

Категория работников

Трудоемкость, чел. -час

Должностной оклад, руб.

Сумма основной зарплаты, руб.

Руководитель дипломной работы

24

15000

2400

Консультант по экономике

4

12000

1920

ОТ и ТБ

4

12000

1920

Дипломник

72

0

0

Итого Единый социальный налог 26 % Всего

6240 1622,4 7862,4


.3.3 Отчисления на амортизацию

Расчет стоимости оборудования представлен в таблице 6.10.

Таблица 6.10 Стоимость оборудования

Наименование

Цена за единицу, тыс. руб.

Количество, шт.

Стоимость, тыс. руб.

Шкаф вытяжной

15000

1

15000

Шкаф сушильный

6600

1

6600

Электрические весы

4000

1

4000

Электроплитка

200

1

200

Магнитная мешалка

300

1

300

Электрическая мешалка

420

1

420

Всего:



26520


Поскольку здание и оборудование используются не весь год, а только в период выполнения работ, срок его использования учитывается при расчете суммы амортизации.

А=Ф´Н´Т/(100´12)                                                                      (6.6)

где А - сумма амортизации, руб.;

Ф - стоимость основных фондов, руб.;

Н - норма амортизации, %;

Т - продолжительность выполненных работ, мес.

Норму амортизации для химического оборудования, применяемого в научных исследованиях, приняли равной 15%, норму амортизации здания 3 %.

Стоимость лаборатории принимаем в размере 3000 руб. за 1 м3.

Объем лаборатории:

= а ´ b ´ c,                                                                                     (6.7)

где V - объем лаборатории, м3;

а - длина комнаты, м;- ширина комнаты, м; - высота комнаты, м.

= 6 ´ 6 ´ 3 = 108 м3.

Тогда стоимость лаборатории:

Ф = 3000 ´ 108 = 324000 руб.

Алаб. = (324000 ´ 3 ´ 2)/(100 ´ 12) = 1620 руб.

Аобор. = (26520 ´ 15 ´ 2)/ (100 ´ 12) = 663 руб.

Расчет амортизации сводим в таблицу 6.11.

Таблица 6.11 Расчет амортизационных отчислений

Наименование основных фондов

Стоимость, руб.

Срок использования, мес.

Норма амортизации

Сумма отчислений, руб.

 1.

Лаборатория

324000

2

3

1620

 2.

Оборудование

26520

2

15

663


Всего




2283


6.4 Составление калькуляции плановой себестоимости проведения НИР

На основании полученных данных по отдельным статьям затрат составляется плановая калькуляция себестоимости в целом по НИР по форме, приведенной в таблице 6.12.

Таблица 6.12 Калькуляция плановой себестоимости выполнения НИР

Наименование затрат

Сумма, руб.

Удельный вес затрат, %

1.

Сырье и материалы

827,24

4,32542


Покупные изделия и полуфабрикаты

1925,76

10,06929


Электроэнергия

3975,4

20,78632


Вода

104,72

0,547553


Итого в подгруппе материальных затрат

6833,12

35,72858

2.

Основная заработная плата

7862,4

41,11042

3.

Единый социальный налог

1622,4

8,483102

4.

Амортизационные отчисления

2283

11,9372

5.

Накладные расходы

524,16

2,740694

6.

Плановая себестоимость

19125,08

100


Величина накладных расходов составляет 80% от основной заработной платы.

Библиографический список


1.  Данилов, Е.А., Исляйкин, М.К. Введение в химию и технологию химико-фармацевтических препаратов [Текст] / Е.А. Данилов/ Иваново: под ред. Г.П. Шапошникова, 2002. - 284 с.

2.    Машковский, М.Д. Лекарственные вещества. Пособие по фармакологии для врачей [Текст] / М.Д. Машковский - М.: Медицина, 1985.- 620с.

3.      Ahlrwalia. V. K. Synthesis and antimicrobial activities of some new 1-substituted 3-methyl-5-(2-naphthyl)-4-[ p-( substituted sulfamyl) benzeneazo] pyrazoles / H. R. Sharma, R. Tyaqi.Indian J. Chem., Sect. B. - 1989 23B(2), 195-7

4.      Беляев, Е.Ю. Новая реакция образования орто- и пара-нитрозофенолов [Текст] / М.С. Товбис, Л.М. Горностаев, Ельцов А.В. Тез. докл. Шестого Всесоюзного совещания по химии нитросоединений,- Москва,- 1977.- С.95.

.        Беляев, Е.Ю. Синтез нитрозофенолов циклизацией изонитрозо-b-дикарбонильных соединений с кетонами [Текст] / Е.Ю. Беляев М.С. Товбис, А.В. Ельцов, Журн. орган. хим.- 1978,- Т.14, вып.11. - С.2375-2380.

.        Беляев, Е.Ю. Изучение реакции циклизации изонитрозо-b-дикарбонильных соединений с кетонами под действием алкоголятов щелочных металлов / А.В. Ельцов, Б.Б. Кочетков, Н.Ф. Орловская, М.С. Товбис Журн. орган. хим.- 1982,- Т.18, вып.7. - С.1489-1495.

.        Беляев, Е.Ю. №897768 СССР, МКИ С 07 С 81/05. Способ получения диарилзамещенных п-нитрозофенолов /, Товбис М.С., Орловская Н.Ф., Федорова В.В., Ельцов А.В. / опубл. Б.И.- 1982.- №2.

.        Орловская, Н.Ф.. Закономерности циклизации изонитрозо-b-дикетонов с кетонами / М.С. Товбис, Е.Ю. Беляев, А.В. Ельцов Журн. орган. хим.- 1984,- Т.20, вып.9.- С.2029-2030.

.        Belyaev, E.Y, The synthesis of functionalized p-amino & p-hydroxy nitrosoarenes. VI International conference on organic synthesis/ M.E. Savitskaya N.F. Orlovskaya, M.S. Tovbis, G.A. Suboch.- Moscow.- 1986.- A-024.

.        Banchetti, A. Su alcuni β-dichetoni / Gazzetta Chimica Italiana.- 1940.- V.70.- P.134-144.

. Baddeley, G. Acytation of naphtaline by the Fridel-Crafts reaction / J. Chem. Soc.- 1949.- P.100-102.

.        Nunn, L.C. Certain 1- naphthyl ketones / H.R. Heaze J. Org. Chem.- 1947.-V.12.- P.540-542.

.        Tamura, T., Kuyama S. Synthesis of 1- naphthyl ketones / J. Agr. Chem. Soc. Japan.- 1951.- V.25.- P.156-158.

.        Blicke, F.F. Naphthylaminoalkanes / C.E. Maxwell J. Am. Chem. Soc.- 1939.-V.61.- P.1780-1782.

.        Ривкин, С.М. Синтез метилнафтилкетона / Журн. общ. хим.- 1930.- Т.5, вып.2.- С.276-280.

.        Лапкин И.И. Пространственные препятствия при магнийорганических реакциях / А.В. Любимова Журн. общ. хим.- 1949.- Т.19, вып.4.- С.706-716.

.        Fieser L.F. The oxidation of methyl α- and β-naphthyl ketones / H. L. Holmes, M.S. Newman. J. Am. Chem. Soc. - 1936.-V.58.- P.1055.

.        Day, A.R., Immediata T. β-naphthyl derivaties of ethanolamine and N-substituted ethanolamines / J. Org. Chem. - 1940.-V.5. - P.512-527.

.        Lévy P.G. Contribution a l’éthylnaphtaléne / Chem. Ber. - 1902. - Bd.35. - S.4191-4195.

20. Синтезы гетероциклических соединений. Ереван, Изд-во АН АрмССР, вып. 4., 1959, С.44.

21.    Phau St., Ofner. Anleuting zuin chemischen Praktikum fur mediziner / J. Chem. Soc.- 1926. - P.307-309.

22.    Трудовой кодекс Российской Федерации- №197-ФЗ от 30.12.2001г. (в ред ФЗ №90 - ФЗ от 30.06.2006, с изм. Внесенными постановлением Конституционного суда РФ №3- П от 15.03.2005)- М.: ОМЕГА-Л, 2006-272с.

.        ГОСТ 12.0.003 -74* ССБТ Опасные и вредные производственные факторы. Классификация. Переиздание. (сентябрь 1988г) с изм. №1. от 1978г.

.        ГОСТ 12.1.007 - 76* ССБТ Вредные вещества. Классификация и общие требования безопасности переиздание (сентябрь 1999 г.) с Изменениями № 1, 2 утвержденными в сентябре 1981 г., марте 1989 г

25.  Лазарева, Н.В. Вредные вещества в промышленности. [Текст] / Н.В.Лазарева, Э.И.Левиной.-Л.:Химия,1976г.-Т. 1 590с.,Т. 2 624с.

26.    Лазарева, Н.В. Вредные вещества в промышленности. [Текст] / Н.В.Лазарева, И.Д.Гадаскиной - М.:Химия 1977. Т. 3 608с.

.        Пожароопасность веществ и материалов и средства их тушения. А.Н. Баратов. [и др.]. КН.2-М.: справ, изд.: в 2 книгах, 1990 496с.

.        Пожароопасность веществ и материалов и средства их тушения. А.Н. Баратов. [и др.]. КН.2-М.: справ, изд.: в 2 книгах, 1990 384с.

29.  СниП II - 68 - 78 Нормы проектирования. Высшие учебные заведения. М.: Стройиздат, 1979. -18с.

30.    СНиП 2.09.04-87*Административные и бытовые здания / Госстрой России.-М.: ГУП ЦПП 2006.-19с.

.        ГОСТ 12.1.005.-88* ССБТ Общие санитарно-гигиенические требования к воздуху рабочей зоны. С изм.№1 от 09.2000г.

.        СанПиН 2.2.4.548-96. Гигиенические требования к микроклимату производственных помещений.- М.: Госкомсанэпиднадзор России, 1996.-20с.

.        СНиП 2.04.05-2003 Отопление, вентиляция и кондиционирование./ Госстрой России.-М.: ГУП ЦПП 2003.-50с.

.        ГОСТ 12.4.121-75* ССБТ Системы вентиляционные. Общие требования безопасности. С изм.№1. от 04.1998 г.

.        СНиП 23-05-2003 Естественное и искусственное освещение/ Госстрой России.-М.: ГУП ЦПП 2003.-50с.

.        ГОСТ 12.2.007.0- 75* ССБТ. Изделия светотехнические. Требования безопасности

37.  Кнорринг, Г.М. Справочник для проектирования осветительных установок [Текст] / Г.М. Кнорринг // Л., Единое энергетическое издательство, 1960.

.      Справочник по электроснабжению и электрооборудованию: в 2т. /Под ред. А.А. Федорова. - М.: Энергоатомиздат. т.1. Электрооборудование. - 1987. - 592с. ил.

39.    Правила устройства электроустановок ПУЭ. - М.: ЗАО “Энергосервис”, 2000. - 608с.

.        Паспорт санитарно технического состояния условий труда лаборатории № Б4-22.

.        ГОСТ 12.1.030 -81* ССБТ Электробезопасность. Защитное заземление. Зануление. С изм.№1. от 07.1987 г.

.        ГОСТ 12.4.026 - 2001 ССБТ Цвета сигнальные, знаки безопасности и разметка сигнальная. Назначение и правила применения. Общие технические требования и характеристики. Методы испытаний.

.        Правило устройства электроустановок - М.: изд-во «НУЭНАС», 2002.- 170 с.

.        НПБ 105-03. Определение категорий помещений, зданий и наружных установок по взрывопожарной и пожарной опасности.: издательство’’ ДЕАН’’, 2004. - 48с.

.        НПБ 155-96 Пожарная техника. Огнетушители переносные. Основные показатели и методы испытаний.

.        ППБ 01-03 Правила пожарной безопасности в Российской Федерации.-С-Пб: Изд-во «ДЕАН».2004-192 с.

.        ГОСТ 12.1.004-90* ССБТ Пожарная безопасность. Общие требования. С изм.№1. от 10.1993 г. Переиздание 01.1996г.

.        НПБ 88-2001- Установки пожаротушения и сигнализации. Нормы и правила проектирования.- М.: ГПС МВД РФ, 2002.- 45 с.

.        ГОСТ 12.0.004-90 ССБТ. Организация обучения безопасности труда. Общие положения.

.        Правила обеспечения работников специальной одеждой, специальной обувью и другими средствами индивидуальной защиты. М.: В редакции постановления Министерства труда и социального развития РФ от 29.10.1999г. №39-8с.

.        СТ. № 212 ТК РФ ответственность за состояние пожарной безопасности в СибГТУ возложена на ректора.

.        Приказ №50 от 14.02.03. О составе пожарно-технической комиссии.

.        Приказ №33-0 от 28.01.05. О структуре подразделений по пожарной безопасности.

.        Приказ №357-0 от 27.09.02. О назначении добровольной пожарной дружины.

55.  Горчакова, В.Г. Безопасность и экологичность проекта: Методические указания к выполнению раздела в дипломных проектах (работах) для студентов химико-технологических специальностей всех форм обучения [Текст] / В.Г. Горчакова, Е.С. Ставиский, В.С. Петров, Е.И. Авлохова, О.К. Крылова. - Красноярск СибГТУ, 2003. - 22 с.

56.  Федеральный закон №68 «О защите населения и территорий от ЧС природного и техногенного характера», ст.14 от 21 декабря 1994 г.

57.    Постановление правительства РФ №1113 «О Единой государственной системе предупреждения и ликвидации ЧС»

58.  Безопасность жизнедеятельности в ЧС [Текст]: учебное пособие для вузов / В.И. Бас, В.Л. Павленко, Ф.И. Накрохин. Красноярск, СибГТУ-200с.

59.    Абрамкин, В.В. Экономика и организация производства на предприятиях целлюлозно-бумажной, деревообрабатывающей, нефтехимической и химической промышленности: методические указания научно-исследовательской работы для студентов специальностей: 070100, 072000, 170402, 250100, 250300, 250400, 250600, 251100, 251200, 260200, 260300, 280200, 330100 всех форм обучения. [Текст] / В. В. Абрамкин [и др.]. - Красноярск: СибГТУ, 2003 - 36 с.

Похожие работы на - Синтез и свойства новых биологически активных соединений на основе В-дикетонов нафталинового ряда

 

Не нашли материал для своей работы?
Поможем написать уникальную работу
Без плагиата!
Без нейросетей!