Кристаллическая и молекулярная структура диаммониевой и монометиламмониевой солей 5-нитраминтетразола
ДИПЛОМ
Тема:
Кристаллическая и молекулярная
структура диаммониевой и монометиламмониевой солей 5-нитраминтетразола
Cодержание
Введение
. Методы
исследования атомной структуры
2. Этапы
определения структуры монокристалла
3.
Практическая часть
.1
Диаммониевая соль 5-нитраминтетразола
.2
Монометиламмониевая соль 5-нитраминтетразола
Выводы
Список
литературы
Введение
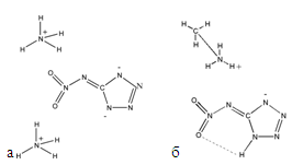
Исследованы структуры диаммониевой (рис. 1а) и монометиламмониевой солей
5-нитраминтетразола (рис. 1б).
Рис. 1
Оба исследуемых вещества содержат гуанидиновый фрагмент (рис. 2а),
который является важной частью молекул энергоемких материалов. Наиболее
известные вещества с гуанидиновым фрагментом: нитрогуанидин (NGu), который широко используется в
ракетах с медленным сгоранием топлива (рис. 2б), и 1,2,3 триамино-гуанидиновый
нитрат (TAGN) (рис. 2в). Поскольку NGu обладает низкой чувствительностью к
ударам и относительно низкой температурой пламени, то перспективным направлением
является синтез и исследование новых соединений на нитрогуанидиновой основе.
Структурные исследования направлены на изучение молекулярного и
кристаллического строения производных Ngu, так как наряду с химическим состоянием конформация молекул и их упаковка
в кристалле определяют свойства веществ.
Рис. 2
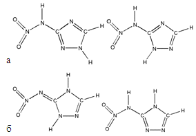
Известно, что существует 2 формы нитрогуанидина: нитримино - амино
(нитраминная) (рис. 3а) и нитрамино - имино (нитриминная) (рис. 3б), в
соответствии с этим его производные имеют нитриминное или нитраминное строение.
Рис. 3
Строение некоторых производных нитрогуанидина не удалось установить из-за
отсутствия качественных монокристаллов. Примером служит
3(5)-нитрамино-1,2,4-триазол, строение которого очень долго было спорным (рис.
4а,б).
В большинстве ранних работ этому соединению приписывается нитраминное
строение, но тогда неизвестно какому атому азота триазольного цикла принадлежит
один из водородов (рис. 4а).
В некоторых работах предполагают возможным равновесие между нитраминной и
нитриминной (рис. 4б) структурами в растворе. Таким образом, однозначно
структура не определена. Знание же структуры необходимо для описания химических
реакций, механизма термического разложения, объяснения спектральных данных и
т.д.
Рис. 4.
Методами структурного анализа можно было бы однозначно определить
строение, но не удалось получить качественные монокристаллы
5-нитрамин-1,2,4-триазола. Однако монокристаллы моноаммониевой соли этого
вещества растут хорошо. Проведённый нами рентгеноструктурный анализ показал,
что они имеют нитриминное строение, но это не означает, что само вещество
является нитримином, так как получение солей могло привести к изменению нитриминного
строения. Поэтому наши исследования были направлены на вещества из того же
класса. Например, было известно, что 5-нитраминтетразол имеет нитриминное
строение [12]. Поэтому если соли этого вещества будут иметь такое же строение,
то можно сделать вывод что депротонирование не приводит к изменению
нитриминного строения и 5- нитрамин-1,2,4-триазол является нитримином. В
настоящей работе с этой целью и были исследованы структуры диамониевой и
монометиламмониевой соли 5-нитраминтетразола. Кроме этого, проведен анализ
геометрии молекул и их упаковки в кристалле.
1. Методы исследования атомной структуры
Основные исследования в области физики твердого тела направлены на
получение новых материалов с важными свойствами, а также на объяснение
физико-химических свойств уже известных веществ. Полный анализ любого материала
невозможен без знания его микроструктуры, атомного строения, так как структура
во многом определяет свойства кристаллов. Кроме того, например, малые изменения
в конформации молекул могут сильно изменить химические свойства вещества в
целом.
Для определения атомной структуры используются дифракционные методы. По
типу используемого излучения существуют рентгенографичес-кий,
нейтронографический и электронографический методы. Они взаимно дополняют друг
друга. Так, в электронографии используют электроны высоких энергий, которые
взаимодействуют с электростатическим потенциалом исследуемого образца. Этот
метод обладает преимуществами при анализе тонких плёнок и поверхностей.
Рентгеновское излучение рассеивается на электронной плотности вещества.
Основным его недостатком является сложность локализации легких атомов в
присутствии тяжелых. Этого недостатка лишен нейтронографический метод, который
основан на взаимодействии пучка нейтронов с ядрами атомов. Рассеяние тепловых
нейтронов не зависит регулярным образом от атомного номера элемента, поэтому
при помощи этого метода можно выявить не только легкие атомы, но и разделить
атомы с близкими атомными номерами. Кроме того, он позволяет определять
магнитную структуру вещества и исследовать динамику решётки. Его основными
недостатками являются слабый эффект рассеяния по сравнению с рентгеновским
излучением и большая дороговизна. Поэтому наиболее распространенным оказался
рентгеноструктурный анализ, особенно после открытия синхротронного излучения, а
нейтронографические исследования применяются либо для исследования магнитной
структуры либо уточняют модели структур локализацией легких атомов.
В зависимости от вида исследуемого образца дифракционные методы бывают монокристальными
и порошковыми. Для порошкообразных образцов (поликристаллов) чаще всего удается
определить лишь параметры ячейки и иногда установить пространственную группу.
Однако, если качество эксперимента высокое, то есть возможность установить модель
структуры, а затем методом Ритвельда и уточнить её. На первом этапе
осуществляется разложение экспериментального спектра на отдельные отражения,
интенсивности которых подсчитываются. По полученным интенсивностям можно
определить фрагмент атомной структуры и рассчитать теоретический спектр. Вторым
этапом строятся разностные синтезы электронной плотности, на которых можно
обнаружить дополнительные атомы, и осуществляется подгонка теоретически
рассчитанного спектра к экспериментальному порошковому спектру путём вариации
координат атомов и прочих параметров структуры и метода.
2. Этапы определения структуры монокристалла
Наиболее точную и полную информацию об образце, в том числе и атомную
структуру, можно узнать при наличии монокристаллического образца. Независимо от
вида используемого излучения определение структуры от монокристалла делится на
ряд этапов:
1) Отбор образца
2) Определение сингонии, решетки Браве и параметров ячейки
) Установление пространственной (или дифракционной) группы
симметрии
4) Измерение интенсивностей рефлексов
5) Пересчет интенсивностей в структурные факторы
) Поиск модели структуры
) Построение распределения электронной плотности, локализация её
максимумов и кристаллохимический анализ результата
8) Уточнение структуры, локализация недостающих атомов
Первый этап является одним из наиболее важных, так как качество
эксперимента сильно зависит от качества кристалла и его геометрии. Под
качеством кристалла подразумевается наличие дефектов, внутренних напряжений и
возможное его двойникование. Дефекты и напряжения приводят к уширению пиков, и
дифракционная картина становится размазанной, что ухудшает качество
эксперимента. Если же кристалл является двойником, то в большинстве случаев не
удается определить даже параметры ячейки. Отбору качественного монокристалла
без двойникования помогает анализ его погасаний в поляризованном свете и
предварительные рентгеновские снимки. Влияние геометрии кристалла на качество
эксперимента объясняется наличием поглощения и экстинкции. Так как
рентгеновский пучок при разных отражениях будет проходить в кристалле разные по
длине пути, то и его поглощение будет различно. Существуют методы расчёта
поправок на поглощение для пластинки и эллипсоида, однако наилучшей формой
кристалла является шар. Для этого монокристалл обтачивается до сферической
формы. Размеры кристалла также играют важную роль. Так, для изометричных и
сферических образцов оптимальное значение размера d=1/m,
где m - коэффициент поглощения кристалла.
Поэтому для сильно поглощающих кристаллов их размеры должны быть очень
маленькими, что уменьшает интенсивность дифракции и ухудшает качество
эксперимента. В таких случаях эксперимент следует снимать при помощи другого
излучения, например MoKa, для которого коэффициент поглощения меньше.
Для выполнения второго этапа наиболее удобны фотометоды. К ним относится
метод Лауэ, в котором используется сплошной спектр; кристалл и пленка являются
неподвижными. Если вывести какой-либо узловой ряд кристалла вдоль пучка, то
расположение и интенсивности пятен на лауэграмме будут подчиняться симметрии
данного направления. Исследуя разные направления в кристалле можно установить
сингонию. Ориентацию осей ячейки выбирают по взаимному расположению осей зон и
зональных кривых. Параметры ячейки можно определить, вращая (качая) кристалл
вокруг выбранного направления и фиксируя отражения на цилиндрическую пленку.
Для определения решетки Браве достаточно прокачать диагонали ячейки. Если
окажется, что длина диагонали в два раза меньше ожидаемой, то ячейка по этой
диагонали центрирована. Для определения пространственной группы необходимо
знать индексы рефлексов. Основными методами для этого являются метод
Вайсенберга и прецессионный метод. В обоих методах движутся как кристалл, так и
пленка. После индицирования анализируются погасания, по которым можно
установить решетку Браве и дифракционную группу. По погасаниям можно различить
лишь 122 дифракционные группы, каждой из которых соответствует от одной до
нескольких пространственных групп. Часто они отличаются лишь наличием центра
инверсии, установить который можно анализируя статистику интенсивностей
отражений. Так же центр инверсии можно определить по физическим свойствам
кристалла, например, по наличию пьезоэффекта.
Итак, это вся информация, которую можно получить, зная только геометрию
дифракционной картины. Нас же интересует атомное строение кристалла, с которым
связан структурный фактор, а, следовательно, и интенсивность рефлексов.
Известно, что структурная амплитуда есть трансформанта Фурье электронной
плотности:
(3)
Однако нас интересует распределение электронной плотности, знание
которого необходимо для определения атомной структуры. Пользуясь обратным
преобразованием, и учитывая, что Fhkl отлична от нуля только при целочисленных h,k,l, можно получить:
(4)
Таким
образом, для определения r(x,y,z) необходимо знать интенсивности рефлексов, которые
пропорциональны
. Стоит отметить, что порошковый метод значительно
уступает монокристальному методу из-за того, что в нем отражения с разными
индексами накладываются друг на друга. Поэтому их сложно разделить и определить
необходимые интенсивности. Кроме того, из-за наличия текстуры в поликристалле
часто интенсивности оказываются измеренными неверно. При использовании
монокристалла можно получить полный набор интенсивностей, и с введением
соответствующих множителей пересчитать их в
. Но и
этого оказывается недостаточно для определения r(x,y,z)
так как фазы ahkl остаются неизвестными.
Интенсивности рефлексов от монокристалла можно измерить различными
способами. Можно, например, зафиксировать рефлексы на пленку и определить
интенсивности отдельных отражений. Однако для этих целей наиболее подходят
автоматические дифрактометры. В них кристалл может вращаться вокруг трех
независимых осей w,
ж, j; вокруг четвертой оси q вращается детектор (рис.5).
В дифрактометрах с однокоординатным детектором ориентация кристалла и
параметры ячейки определяются при помощи случайно найденных отражений. Для
этого детектор устанавливается в положение с минимальным заданным значением 2q, кристалл вращается вокруг оси j (обычно на 180°) при фиксированных ж и w. Затем ж и w изменяются управляющей программой на
соответствующие шаговые значения Dж и Dw,
и кристалл опять вращается вокруг j.
После перебора всех угловых интервалов положение детектора изменяется на
величину Dq и всё
повторяется. Если значение интенсивности, измеренной детектором, будет выше
установленного порога, то считается что это отражение. Установка автоматически
находит его максимум и соответствующие значения w, ж, j и q записываются в
память. После того, как найдётся 10-15 таких отражений, их координаты w, ж, j и q пересчитываются в координаты x, y, z обратного пространства относительно ортогональных осей
дифрактометра E1, E2, E3 (рис.5).
Рис. 5
Среди
всех векторов 
отбираются
3 некомпланарных вектора, на которых и будет построена обратная решетка
кристалла. Пусть это будут вектора:
,
,
. Тогда
изначально векторам приписываются значения индексов Миллера 100, 010 и 001
соответственно и составляется матрица ориентации кристалла
(5)
Эта
матрица позволяет определить индексы отражений всех оставшихся векторов по
формуле:
(6)
Если
не являются целыми, то векторам приписываются другие
значения индексов Миллера или выбираются другие 3 вектора. В конечном итоге
найденная матрица U позволяет легко определить координаты вектора
для любого нужного отражения
. Значения x, y, z
пересчитываются в углы w, ж, j и q. При повороте на эти углы кристалл выводится в нужное отражающее
положение. При помощи компьютера сбор массива отражений hkl
автоматизируется и намного упрощается.
На
самом деле кристалл можно вывести в отражающее положение бесконечным числом
способов, из-за того, что существует дополнительная степень свободы - ось w; это удобно для введения поправок на поглощение. При повороте
кристалла вокруг перпендикулярной к отражающей плоскости оси на некий угол y (рис. 6), интенсивность отражённого пучка меняется в зависимости от
формы кристалла.
Рис.
6
Этот
угол называется азимутальным, а способ такого сканирования называется
азимутальным методом сканирования. Поэтому методом азимутального сканирования
нескольких рефлексов пользуются для введения поправок на поглощения и
корректировки интенсивностей для всех отражений при заданной форме кристалла.
Измерение
интегральных интенсивностей Ihkl основного массива отражений проводят при стандартной
установке с y=0. Это означает, что один из углов зависит от
другого, то есть w=w(ж). Кроме того, интенсивности
измеряются с переменной скоростью сканирования по углу q для того, чтобы относительная ошибка измерения интенсивности:
(7)
была
одинакова для разных значений Ihkl.
Искомые
значения структурных факторов
тогда
будут находиться в зависимости от Ihkl следующим
образом:
,(8)
где
s - шкальный фактор, L - фактор
Лорентца, р - поляризационный фактор B - тепловой параметр. Факторы L и р
легко рассчитываются, т.к. их тригонометрическая форма для конкретного прибора
всегда известна заранее. Далее производится усреднение Ihkl
по узким интервалам q, в которые входят по 10¸15
отражений. Из графика зависимости ln<Ihkl>
от
можно найти s и B.
Существуют
и двухкоординатные детекторы, с помощью которых можно получить информацию не
только в числах, но и наглядную (монитор) как в фотометодах. При этом
непрерывно сканируется всё обратное пространство. Это позволяет исследовать
двойникованные и несоразмерные кристаллы, а время съёмки уменьшается на порядок
при сохранении качества измерений.
Следующим этапом является применение статистики дифракционных отражений.
Всегда полезно начинать этот этап со сравнения эквивалентных отражений, что
позволяет установить истинную сингонию, так как бывают случаи, когда из-за
существующих погрешностей параметры ячейки указывают на более высокую сингонию,
чем существует на самом деле. Для этих целей используют параметр, позволяющий
сравнить эквиваленты всего массива отражений:
(9)
где
оба суммирования включают все исходные рефлексы, для которых усредняется более
чем один эквивалент, но не оставшиеся рефлексы. Если Rint
велик, то, вероятно, сингония определена неверно или эксперимент плохого
качества. Это могло произойти, если кристалл плохо отцентрирован или кристалл
сильно поглощает рентген, особенно если в нем существуют аномально рассеивающие
атомы.
Далее
используется статистика найденных модулей структурных амплитуд
для уточнения пространственной группы. Различие в
статистике отражений для центросимметричного и нецентросимметричного кристалла
заключается в различии вида структурной амплитуды. Так, для
нецентросимметричного случая:
,(10)
а
для центросимметричного:
(11)
Будем
считать, что 2p(hxi+kyi+lzi) - случайная величина, и что члены суммы в Fhkl независимы и их много. Тогда распределение Fhkl является нормальным и вероятность того, что
находится в интервале от
до
равна:
(12)
В
центросимметричном случае:
(13)
Более
простым критерием центросимметричности является отношение Вильсона
, которое для центросимметричного случая равно p/4=0.785, а для нецентросимметричного 2/p=0.637. Если применить этот критерий к отражениям частного типа, то
можно получить информацию о наличии осей симметрии. Так, если в моноклинной
сингонии особое направление выбрано вдоль оси y, и статистика интенсивностей отражений типа h0l
указывает на центральный закон распределения, то вдоль этого направления
существует ось второго порядка, иначе перпендикулярно y
расположена плоскость симметрии. Это объясняется тем, что проекция структуры с
осью второго порядка, на плоскость, перпендикулярной к этой оси, обладает
центром инверсии. А проекция структуры обладающей лишь плоскостью симметрии
нет.
После
выполнения всех вышеперечисленных этапов остался один самый главный -
определение и уточнение структуры. Когда структурный анализ еще начинал
развиваться и исследуемые вещества были простые, пользовались подбором
координат атомов из всех возможных требуя, чтобы разность Ihklэксп.-Ihklвыч была
минимальной.
Существует
несколько методов поиска модели структуры. В нашей работе применялись так
называемые “прямые методы”. Они основаны на различных неравенствах, неотрицательности
электронной плотности или на статистических свойствах структурных амплитуд. При
этом удобно пользоваться нормализованными (Е) или единичными(U)
амплитудами:
(14)
,(15)
где
(Zi -
атомный номер i-го атома). Усреднение <Ihkl>
проводится по всем отражениям кроме систематически гаснущих.
Впервые
идею, положенную в основу прямых методов предложили Харкер и Каспер.
Они
применили неравенство Коши - Шварца:
(16)
к
единичным структурным амплитудам:
(17)
для
различных пространственных групп. Так для группы
справедливо:
(18)
и
считая
(19)
можно
получить
(20)
Из
неравенства ясно, что если
, то U2h2k2l имеет положительное
значение. Этот метод почти неприменим к структурам с большим числом атомов N,
так как
пропорционально 1/N и амплитуды
становятся малы. Поэтому в процесс определения фаз вовлекается малое число
амплитуд и решение структуры затрудняется.
Все
эти неравенства можно получить и из детерминанта связи структурных амплитуд:
(21)
Из
неотрицательности электронной плотности следует, что det(Dn)³0 причем, чем больше его значение, тем вернее модель.
Таким образом, варьируя фазы структурных амплитуд (модули амплитуд известны) и
отыскивая максимум детерминанта можно найти наиболее верный набор фаз.
Другие
методы основаны на статистических свойствах структурных амплитуд. Но для начала
необходимо ввести понятие структурного инварианта. Известно, что структурную
амплитуду можно представить в виде:
(22)
Если
мы сместим начало координат на вектор
, то
структурная амплитуда изменится:
(23)
Видно,
что модуль
не изменился, а изменилась фаза. Рассмотрим
произведение структурных амплитуд Fh1,k1,l1×Fh2,k2,l2×…×Fhn,kn,ln.
Фаза
произведения амплитуд есть
,(24)
где
.
Если
= 0 то, сумма фаз
становится
неизменной
при
любых
. Такое произведение структурных амплитуд называется
структурным инвариантом, сумма фаз - фазовым инвариантом. В тех случаях, когда
существует ограниченный выбор начала координат, а, следовательно, ограниченный
выбор векторов
, говорят о полуинвариантах.
Так
как модули структурных амплитуд являются инвариантами, то из всего массива
можно получить информацию только о таких величинах,
которые сами являются инвариантами. Поэтому, из амплитуд
мы не можем определить отдельные фазы. Но можно
каким-то образом оценить величину суммы фаз структурных амплитуд, для которых
=0. Так Китайгородский [3] исследуя триплет
UHUKUH-K (25)
на
наличие экстремума при всевозможных положениях атомов установил, что он не
может быть меньше -0.125. Следовательно, если
больше
0.125, то произведение (25) должно быть положительным, то есть
=0 или для центросимметричного случая
,
где
si-знак Ui.
Реальные
же статистические вычисления, применяемые к структурным инвариантам, провели
Хауптмана и Карле. Они вычислили условную вероятность распределения фазового
инварианта
при условии что
-
известны, H1, H2, H3 -
фиксированы, а координаты атомов принимают всевозможные случайные значения. Для
нецентросимметричной пространственной группы условная вероятность равна:
,(26)
для
центросимметричной:
,(27)
Где
,
,
fi0 - фактор рассеяния i-го атома при
нулевом угле рассеяния,
Р+
- условная вероятность положительности знака триплета.
Исследуя
полученные распределения можно прийти к выводу, что наиболее вероятное значение
суммы трех фаз составляющих инвариант равно 0. Вероятность тем выше, чем больше
значение A, то есть модули нормализованных структурных амплитуд.
Таким образом, для определения фаз необходимо составить все триплеты, создать
опорную группу из нескольких сильных отражений с известными фазами, которые,
например, могут быть фазами-полуинвариантами. Если в каком-то триплете с
большим значением A известны две фазы (для начала из группы опорных), то
из соотношения
можно найти третью фазу. Однако из-за того, что
соотношение выполняется с некоторой вероятностью, могут возникнуть ошибки в
определении фаз, которые будут накапливаться и в результате привести к неверной
модели.
Ранее
Сэйром [8] был разработан метод, основанный на сравнении электронной плотности
с ее квадратом. В результате чего он получил соотношение,
,(28)
которое
позволяет в центросимметричной группе определить знак sH,
зная sK и sH-K для нескольких значений k:
(29)
Развивая
эту идею при использовании нескольких пар фаз jK и jH-K для определения jH, Карле и
Хауптман получили тангенс формулу:
, (30)
где
A(H,K) - некоторые весовые коэффициенты. Эта формула
более чувствительна, чем
и быстрее приводит к сходимости.
Итак,
мы можем определить фазы некоторых отражений, но ранее было сказано, что
отдельные фазы не являются инвариантами и поэтому различные фазы могут иметь
значения, относящиеся к разным началам координат. Чтобы этого избежать
существует процедура фиксации начала координат. Известно, что рефлексы с
каким-либо нечётным индексом при переходе от одного центра инверсии к другому в
направлении x, y или z соответственно, меняют фазу на p. Для фиксации начала координат задают значения фаз трех отражений,
удовлетворяющих условию:
(31)
В
нецентросимметричной группе кроме этого необходимо задать еще одну фазу
отражения частного типа для выбора одного из двух энантиоморфов.
Другой метод определения структур также является прямым и называется
методом Монте-Карло, или методом фазового отжига. Он заключается в следующем.
Большому числу отражений присваиваются произвольные фазы. Из них составляются
триплеты. В случае наличия центра симметрии вероятность того, что триплет будет
положительным равна
,(32)
Где
Вероятность
отрицательности триплета:
(33)
Отношение
вероятностей равно
(34)
Эта формула очень похожа на отношение Больцмана
за
исключением 1/kБT. Для систем подчиняющихся закону Больцмана уже
сформулирован метод Монте-Карло определения минимума энергии. Поэтому, если в
экспоненте e-A значение A
домножить на 1/kБT, то система триплетов также будет подчиняться
распределению Больцмана. Далее используется стандартная методика Монте-Карло.
Для каждого триплета вычисляется
; если
эта величина больше некоторого случайного числа
, то
считается что знак триплета равен “-”, и, следовательно, знак Eh= -знакEk×знакEh-k. В ином случае знак
триплета считается положительным и, следовательно, знак Eh= знакEk×знакEh-k. Однако эта процедура
была немного модифицирована Г.М. Шелдриком [10] следующим образом. Для каждого
триплета вычисляется отношение
; если
эта величина больше некоторого случайного числа
, то
считается, что знак триплета отрицателен, и, следовательно, знак Eh= - знакEk×знакEh-k. Иначе знак Eh (или фаза в нецентросимметричном случае) определяется по
модифицированной тангенс формуле:
,(35)
Где
,
,
g -
положительная константа. Как мы видим, тангенс формула помимо триплетов
использует квартеты.
Проводится
несколько циклов уточнения при одной температуре T1, затем столько же циклов уточнения при температуре T2=0.95T1, и так
далее. Этот процесс напоминает отжиг. Верная модель соответствует минимуму CFOM,
который вычисляется по следующим правилам:
CFOM=Rα=
eсли Q>NQUAL
CFOM=
+(NQUAL-Q)2 если Q<NQUAL,
(36)
Где
NQUAL=
,
Q примерно на
0.1 меньше ожидаемого значения NQUAL,
, w=1/(α+5).
Обычно
из-за того, что определились фазы не всех отражений и не все фазы верны, можно
установить лишь часть структуры. По этой модели можно вычислить теоретические
значения модулей структурных амплитуд
и фаз
. Далее стоится разностная электронная плотность:
(37)
Так
как информация о структуре содержится не только в фазах, но и в модулях
структурных амплитуд, то на разностном синтезе электронной плотности Dr можно обнаружить сильные пики, соответствующие дополнительным атомам.
Этот цикл можно повторять несколько раз, выявляя новые атомы, удовлетворяющие
разумным межатомным расстояниям.
Существуют
несколько параметров, объективно оценивающих правильность структуры. Это R-факторы:
(38)
(39)
Чем
их значения меньше, тем вернее модель. Отсюда ясен принцип уточнения структуры.
Так как координаты атомов и их тепловые параметры определяют
, то методом МНК можно найти такие их значения, чтобы
,
а,
следовательно, и wR2, были минимальны. Все это реализовано в компьютерных
программах, например SHELX97. Исследователю остается анализировать полученные
параметры, проверять их значения с точки зрения химии и физики и корректировать
модель.
атомный
монокристалл пространственный симметрия
3.
Практическая часть
.1
Диаммониевая соль 5-нитраминтетразола
Экспериментальная
часть
Монокристаллы данного соединения с химической формулой (CN6O2)-2(NH4+)2 получены в Сибирском государственном
технологическом университете кандидатом хим. наук Астаховым А.М. Кристаллы
получены действием расчётного количества 25%-го водного раствора аммиака на
раствор тетразола в минимальном количестве этилового спирта. Выпавший осадок
отфильтровывали и перекристаллизовывали из этанола.
Рентгенографический эксперимент проведен на монокристальном
четырёхкружном автодифрактометре KM-4 (KUMA-diffraction) с ж-геомет-рией, монохроматическим
(графитовый монохроматор) CuKa - излучением, l=1.54056Е. Прозрачный кристалл представлял собой тонкую
пластинку с линейными размерами 0.55´0.22´0.05мм.
В процессе систематического сканирования обратного пространства в области
малых углов рассеяния были зафиксированы 10 отражений, по угловым координатам
которых построена обратная решётка. На основе построенной решётки выбрана
кристаллическая ячейка и рассчитана матрица ориентации кристалла. Параметры
ячейки соответствовали моноклинной сингонии и были уточнены по 24 высокоугловым
отражениям из области 22°<q<28°. Основные кристаллографические
характеристики и параметры съёмки эксперимента представлены в таблице 1.
Таблица 1
|
Химическая формула
|
(CN6O2)-2(NH4+)2
|
|
Используемое излучение
|
CuKa, l=1.54059Е
|
|
Пространственная группа, Z
|
P2/c, 4
|
|
a (Е)
|
7.272(1)
|
|
b (Е)
|
8.647(1)
|
|
c (Е)
|
10.427(1)
|
|
b (°)
|
93.20(1)
|
|
2qmax (°)
|
160
|
|
Число измеренных / независимых отраж.
|
1541/1428 [Rint=0.0197]
|
Пространственная
группа была определена по погасаниям. Для отражений общего типа hkl
никаких систематических погасаний не наблюдалось, следовательно, выбранная
ячейка примитивная. Для отражений частного типа h0l
наблюдались погасания при l=2n+1, где n-целое. Такие погасания возникают из-за плоскости
скользящего отражения перпендикулярной оси b со скольжением
вдоль оси c. Никаких других погасаний не обнаружено, поэтому из
всех пространственных групп возможны лишь две: P2/c или Pc. Первая группа
отличается от второй лишь наличием центра симметрии. Используя статистику
интенсивностей дифракционных отражений, их можно отличить друг от друга. Так
для группы P2/c распределение отражений hkl по
интенсивностям является центральным и величина
,
где E - нормализованные структурные амплитуды и усреднение
проводится по всем отражениям. Для группы Pc это
распределение не является центральным и
. В нашем
случае эта величина равна 0.969, таким образом, пространственная группа P2/c.
Однако, подобный анализ необходим, когда существует большое количество
возможных пространственных групп. В таких случаях анализируются распределения
как для общего типа отражений hkl, так и для частного типа: h0l, 0kl, hk0,
что позволяет во многих случаях однозначно определить пространственную группу.
В нашем случае достаточно попробовать найти модель структуры для обеих
возможных пространственных групп и по результатам уточнений выбрать одну
верную. Структура диаммониевой соли была определена и уточнена одинаково хорошо
как в P2/c так и в Pc. Но в структуре с группой Pc
обнаружена дополнительно ось симметрии второго порядка, а, следовательно, и
центр инверсии, что соответствует группе P2/c.
Таким образом, пространственная группа определена однозначно - P2/c
(граф группы на рис.7).
Рис.
7
Кратность
общей позиции для данной группы равна Zкр=4. Зная кратность общей позиции, объём ячейки V=654.3Е3
и средний объём, занимаемый одним неводородным атомом Vc=15
Е3 можно вычислить количество неводородных атомов в независимой
части ячейки N по формуле
N=V/(VcZкр)=654.3/(15´4)≈11
Рассчитанное
количество атомов в независимой части ячейки равно числу неводородных атомов в
одной молекуле 5-нитраминтетразола и двух ионах аммония. Поэтому в независимой
части ячейки содержится одна молекула 5-нитраминтетразола и два иона аммония.
Таким образом, общее количество формульных единиц в ячейке, Z,
равно кратности общей позиции Zкр=4.
В
начале эксперимента выбрано два контрольных отражения: -4 1 -2 и 0 4 -2,
измерявшиеся через каждые 50 текущих отражений. Контроль за изменением
интенсивностей выбранных отражений в ходе эксперимента позволяет рассчитать и
ввести поправки в основной массив отражений, которые помогут удержать
экспериментальные данные в одной шкале. Изменение интенсивностей происходит по
разным причинам. Например, кристалл может разрушаться под действием рентгена
или от влажности. Также может изменяться мощность генератора, а, следовательно,
и интенсивность первичного пучка.
Интегральная
интенсивность 1541 рефлексов была измерена методом w/2q - сканирования. Наблюдаемыми оказались 1213 рефлексов
(ïFï>4sF),
что составляет 78% - хорошее соотношение. Область изменения индексов: -9£ h £0; -11£ k £7; -13£ l £13.
Максимальная и минимальная скорость сканирования равны: 0.1є/сек и 0.01є/сек
соответственно. Размеры щели детектора 1.5´1.5 мм.
Количество отражений, интенсивность которых необходимо измерить, определяется
по следующим правилам. Во-первых, для качественного эксперимента минимальная
разрешающая способность
должна быть больше 0.6Е-1. Поэтому
максимальный угол θmax, до которого необходимо снимать эксперимент должен
. Для медного излучения λ=1.54059Е и θmax≥67.5є. Во-вторых,
общее число независимых рефлексов должно быть в 9-10 раз больше общего числа
уточняемых параметров структуры. В нашем случае измерено 1428 независимых
рефлексов с θmax=80є. Общее число уточняемых параметров 133. Таким образом, отношение
числа рефлексов к числу параметров равно 10.7, что более чем достаточно. Но при
этом разрешающая способность увеличивается до 0.64 Е-1, что повышает
качество эксперимента и позволяет более детально рассмотреть разностную
электронную плотность.
Методом
y - сканирования измерено 12 отражений с шагом Δy=10° и введена поправка на поглощение для пластинки. Коэффициент
поглощения m=1.28 см-1, индексы плоскости пластинки:
(0,1,-1). Минимальный и максимальный коэффициент пропускания были равны 0.938 и
1.000 соответственно. Таким образом, интенсивности рефлексов изменились
незначительно, что и ожидалось из-за небольшого коэффициента поглощения. Но
результирующий R - фактор для отражений с поправкой на поглощение
оказался на 0.02% меньше R - фактора для рефлексов без поправки, поэтому даже
для органических монокристаллов, имеющих форму пластинки, стоит учитывать
поглощение.
Поиск
модели структуры
Поиск модели проводился с помощью программы SHELXS прямыми методами с фазовым отжигом. В результате на
распределении электронной плотности найдены координаты 11 неводородных атомов.
Два атома кислорода и два азота, соответствующие фрагменту нитрамина, и
остальные атомы пятичленного кольца тетразола были установлены сразу. Также
обнаружены два атома азота, соответствующие двум катионам аммония NH4+. Полученная структура уточнена методом наименьших
квадратов с учетом анизотропии тепловых колебаний для всех неводородных атомов
при помощи программы SHELXL97
[9] . На синтезе электронной плотности по найденным фазам структурных амплитуд,
обнаружено 8 максимумов, отвечающих 8 атомам водорода. Тепловые колебания
атомов водорода уточнялись изотропно; общее количество уточняемых параметров в
результате оказалось равным 133. Уточнение окончательной модели с учётом атомов
водорода завершено при R=0.0380
по 1213 отражениям с F>4sF, R=0.0456 и wR=0.1065
для всех 1428 независимых отражений. Плохо согласующихся с уточнённой моделью
рефлексов не обнаружено. Конечный разностный синтез Фурье не имеет существенных
особенностей. Максимальная и минимальная электронные плотности на нём равны
0.43 и -0.29 e/Е3 соответственно. Первые
3 максимума остаточной электронной плотности находятся на серединах связей C-N в ионе 5-нитраминтетразола. Пики соответствуют максимумам
электронной плотности связывающих орбиталей ковалентных связей (рис. 8).
Разностная электронная плотность построена при помощи программы NXDEN, которая являлась дипломным проектом
Бойко Ю.В.
Рис. 8
Анализ
полученных результатов
Независимая часть ячейки содержит 2 катиона аммония NH4+ и анион (CN6O2)2- (рис. 9). Графическое
представление всех кристаллических структур и молекул построено в программе DIAMOND [13].
Рис. 9
Основные межатомные расстояния и валентные углы приведены в табл.2.
Геометрия молекулы не является плоской, но цикл C1-N2-N1-N6-N4 и остаток N3-N5-O1-O2 являются плоскими (максимальные
отклонения от среднеквадратичных плоскостей -0.002Е для атома N6 и 0.004Е для атома N4). Из-за того, что связь N3-N5 является одинарной, вокруг этой связи разрешен поворот на
любой угол. В нашем случае фрагменты молекулы повернуты так, что угол между
плоскостями составляет 19.56(5)° (рис. 10).
Рис. 10
что длина связи N5-O2 на 0.016Е длиннее N5-O1. Это можно объяснить тем, что атом O2 участвует в одной водородной связи, а атом O1 в двух H-связях. В результате длина связи N5-O2 должна быть
примерно на 0.01Е больше, чем N5-O1. Длины связей C-N и N-N в кольце находятся в пределах между
значениями для длин одинарной и двойной связей. Это является следствием
перераспределения p-связи
N1-N6 по всему кольцу за счет эффекта сопряжения, что вызвало
усиление одинарных связей между атомами в кольце. Однако длина N1-N6 на 0.02Е меньше средней длины связи N-N в кольце и эта связь является единственной двойной связью в
кольце. Длины же связей C1-N2 и C1-N4 одинаковы, что
указывает на нитриминный характер строения. Доказательство этого видно на
рис.3. У нитраминов (рис. 3 а) в цикле должно быть две двойные связи, причём
связи C1-N2 и C1-N4 должны быть всегда различны по
длине, так как одна из них двойная, а другая одинарная. У нитриминов (рис. 3 б)
в цикле должна быть одна двойная связь - N1-N6, а длины C1-N2 и C1-N4 одинаковы. Дополнительным
доказательством нитриминного строения могли бы быть атомы водорода. У
нитриминов, например, никогда не бывает атома водорода у атома азота N3. Однако данная молекула полностью
ионизирована и не содержит водородов вообще. В структуре монометиламмониевой
соли у 5-нитраминтетразола оторван лишь один водород, и по оставшемуся атому
водорода можно будет получить дополнительную информацию.
Особенность строения данной структуры заключается в том, что длина связи C1-N3, которая для нитриминов должна быть двойной, на 0.06Е
больше длин связей C1-N2 и C1-N4, которые должны
быть одинарными. Эта особенность проявляется во всех ранее изученных структурах
того же класса и является следствием эффекта сопряжения.
Для многих соединений содержащих наряду с водородом атомы N, O, F, или Cl, например, для гидратов, оксокислот
и кислых солей важную роль в формировании кристаллических структур играют
водородные связи. Водородная связь образуется между молекулами, содержащими
электроотрицательные атомы, которые имеют неподелёную электронную пару, и
молекулами с активными атомами водорода. Активными называются атомы водорода,
связанные с другим атомом сильно полярной ковалентной связью. Например, H→O-; H→N< и т.д. Так как атом водорода
имеет гораздо меньшие размеры, чем все другие атомы, то он слабо экранирован и
может очень близко подходить к неподеленным электронным парам атомов, образуя
связь. Водородная связь (H-связь)
хотя и является направленной, но по своему характеру в основном является
электростатической. Поэтому её выделяют в отдельный тип связи и обозначают
тремя точками: D-H···A. Энергия H-связи намного меньше энергии ковалентной
связи, тем не менее, она в значительной степени определяет как химические, так
и физические свойства соединения. Объясняется это образованием комплексных
систем, что приводит к уменьшению летучести, увеличению вязкости и т.д.
Ассоциации молекул, возникающие за счёт образования водородных связей, подразделяются
на конечные группы, бесконечные цепи, бесконечные слои и трехмерные каркасы.
Длины связей так же, как и энергия связи, в значительной степени определяется
типом связи D-H···A.
Анализ упаковки молекул показывает, что анионы NH4+
и катионы 5-нитраминтетразола участвуют в межмолекулярных H-связях типа N-H×××O и N-H×××N. Из 10 укороченных межмолекулярных
контактов только 7 отвечают H-связям
(табл.3). За счёт водородных связей образуется комплекс, изображенный на
рис.11. Из рисунка видно, что ион аммония атома N7 координирован четырьмя катионами 5-нитраминтетразола, а ион
аммония атома N8 координирован всего тремя
катионами. Каждый катион 5-нитраминтетразола координирован 7 ионами аммония
(рис.12), причем каждый атом азота в цикле вовлечён в H-связь. Два из них, N4 и N6, участвуют в H-связи с атомом N7. Другие два, N1 и N2, - с N8.
Каждый атом кислорода 5-нитраминтетразола вовлечен в H-связь с N7, и
только атом O2 еще участвует в H-связи с N8.
Рис. 11
Рис. 12
Помимо водородных связей в структуре обнаружены π-π
взаимодействия между
центрами тертазольных колец (рис. 13). На рисунке эти связи изображены
пунктирной линией соединяющей центры колец. Видно, что наличие π-π
связей в этой структуре
приводит к тому, что все молекулы, участвующие в этой связи, ориентированы
параллельно друг другу.
Рис. 13
Взаимодействия такого типа мало изучены, и неизвестно в каких случаях
можно считать, что она существует.
Однако в нашем случае анализ укороченных межмолекулярных контактов при
помощи программы PLATON [11]
показал, что их наличие весьма вероятно. Геометрические характеристики
представлены в таблице 4. В этой таблице Cg(1) - это центр цикла с координатами [0.7537; -0.4152;
0.2506], Cg¢(1) получено преобразованием [1-x,y,0.5-z]
координат цикла Cg(1), Cg¢¢(1) получено преобразованием [2-x,y,0.5-z]
координат цикла Cg(1). Угол α
- диэдрический угол
между первым кольцом I и
вторым кольцом J,
β - угол между
прямой, проходящей через центры колец, и перпендикуляром к кольцу I,
γ - угол между
прямой, проходящей через центры колец, и перпендикуляром к кольцу J. Величина d - это расстояние между центрами колец (в ангстремах), d┴ - расстояние между плоскостями колец
(в ангстремах) и, наконец, Δ - расстояние между центром кольца I и проекцией центра кольца J на плоскость кольца I. Программа PLATON устанавливает следующие ограничения на геометрию π-π
связей: угол β
должен быть меньше 60°, а расстояние d меньше 6.0Е. Под эти ограничения
подходят лишь две связи, и за счёт них образуется бесконечная цепочка молекул
вдоль оси a (рис. 13).
Таблица 2
Длины связей (Е) и углы (°)
|
O2-N5
|
1.2839(14)
|
|
C1-N2-N1
|
104.14(1)
|
|
O1-N5
|
1.2683(14)
|
|
N6-N4-C1
|
104.77(1)
|
|
N2-C1
|
1.3393(15)
|
|
N6-N1-N2
|
109.75(1)
|
|
N2-N1
|
1.3466(15)
|
|
O1-N5-N3
|
125.62(1)
|
|
N4-N6
|
1.3362(16)
|
|
O1-N5-O2
|
117.13(1)
|
|
N4-C1
|
1.3375(15)
|
|
N3-N5-O2
|
117.24(1)
|
|
N1-N6
|
1.3116(17)
|
|
N5-N3-C1
|
118.00(1)
|
|
N5-N3
|
1.2800(15)
|
|
N1-N6-N4
|
109.62(1)
|
|
N3-C1
|
1.3996(16)
|
|
N4-C1-N2
|
111.71(1)
|
|
N8-H5
|
0.917(19)
|
|
N4-C1-N3
|
115.71(1)
|
|
N8-H6
|
0.89(2)
|
|
N2-C1-N3
|
132.39(1)
|
|
N8-H7
|
0.91(2)
|
|
|
N8-H8
|
0.86(2)
|
|
|
N7-H1
|
0.913(19)
|
|
|
N7-H2
|
0.89(2)
|
|
|
N7-H3
|
0.84(2)
|
|
|
N7-H4
|
0.91(2)
|
|
Таблица 3
Водородные связи D-H···A(Е, °)
|
D-H
|
d(D-H)
|
d(H···A)
|
<DHA
|
d(D···A)
|
A
|
|
N7-H1
|
0.913
|
2.028
|
178.27
|
2.941
|
N6 [x, 1+y, z]
|
|
N7-H2
|
0.886
|
2.054
|
165.39
|
2.920
|
N4 [1-x, -y, 1-z]
|
|
N7-H3
|
0.845
|
2.113
|
166.34
|
2.940
|
O1 [x, -y, 1/2+z]
|
|
N7-H4
|
0.906
|
2.040
|
170.45
|
2.938
|
O2 [1-x, y, 1/2-z]
|
|
N8-H5
|
0.917
|
2.089
|
174.64
|
3.003
|
N1 [x, 1+y, z]
|
|
N8-H6
|
0.888
|
2.009
|
175.51
|
2.895
|
N2 [2-x, -y, -z]
|
|
N8-H7
|
0.908
|
1.993
|
175.72
|
2.899
|
O2 [2-x, y, 1/2-z]
|
Таблица 4
|
Центр кольца I - центр кольца J
|
d, Е
|
α, град
|
β, град
|
γ, град
|
Δ, Е
|
d┴, Е
|
|
Cg(1) - Cgґ(1)
|
3.689
|
2.84
|
23.96
|
23.96
|
1.498
|
3.371
|
|
Cg(1) - Cgґґ(1)
|
3.583
|
2.84
|
24.34
|
24.34
|
1.478
|
3.265
|
3.2
Монометиламмониевая соль 5-нитраминтетразола
Экспериментальная
часть
Монокристаллы данного соединения с химической формулой (CN6O2H)(CH3NH3+)
получены в Сибирском государственном технологическом университете кандидатом
хим. наук Астаховым А.М. Кристаллы выращивались из раствора этанола.
Рентгенографический эксперимент проведен на дифрактометре KM-4 (KUMA-diffraction) с использованием монохроматизированного (графитовый монохроматор) CuKa излучения, l=1.54056Е. Прозрачный кристалл имел
призматический габитус с размерами 0.55´0.33´0.22мм.
Матрица ориентации и параметры ячейки определены по 11 отражениям. Ячейка
соответствовала моноклинной сингонии. Параметры ячейки уточнены по 25
высокоугловым отражениям 23°<q<25°. Основные кристаллографические
характеристики и параметры съемки эксперимента в таблице 5.
(CN6O2H-)(CH3NH3+)
|
|
Используемое излучение
|
CuKa, l=1.54059Е
|
|
Пространственная группа, Z
|
P21/n, 8
|
|
a (Е)
|
6.541(2)
|
|
b (Е)
|
19.157(4)
|
|
c (Е)
|
10.726(2)
|
|
b (°)
|
96.26(2)
|
|
2qmax (°)
|
140
|
|
Число измеренных / независимых отраж.
|
2812/2505 [Rint= 0.0157]
|
|
Число уточняемых параметров
|
214
|
Пространственная группа была определена по погасаниям. Для отражений
общего типа hkl никаких систематических погасаний не
наблюдалось, следовательно, выбранная ячейка примитивная.
Для отражений частного типа h0l наблюдались погасания при
h+l=2n+1,
где
n=0,1,2..N. Такие погасания возникают из-за плоскости
скользящего отражения перпендикулярной оси b со скольжением
вдоль вектора
, то есть плоскость n. Дополнительно
были обнаружены погасания для отражений типа 0k0 при k=2n+1.
Погасания такого типа возникают из-за наличия винтовой оси 21 вдоль
оси b.
Таким
образом, пространственная группа определена однозначно - P21/n.
Граф этой группы представлен на рис. 14.
Однако
это нестандартная группа. Её можно преобразовать к стандартной установке: P21/c
(граф на рис. 15) если новые параметры ячейки aґ, bґ, cґ
выбрать следующим способом:
.
Рис. 14
Рис. 15
Рис. 16
Преобразование представлено на рисунке 16. Тогда параметры ячейки станут
равными:
a¢=a=6.541Е;
b¢=b=19.157Е;
c¢=
=11.941Е;
=116.76°.
В
результате угол βґ имеет большое значение, что нежелательно из
соображений простоты представления структуры. Поэтому ячейка была оставлена в
нестандартной установке P21/n.
Кратность
общей позиции для данной группы равна Zкр=4, объём ячейки V=1336.02Е3,
следовательно количество неводородных атомов в независимой части ячейки равно
1336.02/(15×4)≈22. Рассчитанное количество атомов в
независимой части ячейки равно удвоенному числу неводородных атомов в одной
молекуле 5-нитраминтетразола плюс ион монометиламмония. Поэтому в независимой
части ячейки содержится две молекулы 5-нитраминтетразола и два иона
монометиламмония. Таким образом, общее количество молекул в ячейке в два раза
больше кратности общей позиции Zкр=4 и
равно 8.
В
начале эксперимента выбрано два контрольных отражения: -3 -5 1 и -2 8 0,
измеряемые через каждые 50 отражений. Максимальная и минимальная скорость сканирования
равны: 0.1є/сек и 0.01є/сек соответственно. Размеры щели детектора 1.5´1.5 мм. Интегральная интенсивность 2812 рефлексов была
измерена методом w/2q - сканирования.
Область изменения индексов: -7£ h £0; 0£ k £23; -12£ l £13. Отношение общего числа независимых рефлексов 2505
к числу уточняемых параметров 214 равно 11.7. Таким образом, в целях сокращения
времени эксперимента, количество измеряемых отражений можно было бы уменьшить,
но эксперимент необходимо было измерять до θmax=70є.
Наблюдаемыми считались 2255 рефлексов (ïFï>4sF). Из них 7 отражений в данной пространственной группе
должны систематически погасать. При повороте кристалла вокруг оси
перпендикулярной плоскости отражения (y - сканирование)
интенсивности всех 7 рефлексов резко уменьшались. Для примера приведен график
изменения интенсивности для рефлекса 001 (рис. 17).
Рис.
17
Если
отражение действительно существует, то его интенсивность должна быть высока при
всех значениях y, а в нашем случае интенсивность высока только при y=0 (стандартная установка). Наличие пика в области y=0 можно объяснить тем, что одновременное, последовательное отражение
уже дифрагированного от нескольких плоскостей пучка приводит к случайному
появлению отражения в области погасания. Поправка на поглощение не вводилась
из-за того, что кристалл не являлся пластинкой и коэффициент поглощения m=1.28 см-1 достаточно мал.
Поиск
модели структуры
Поиск модели проводился с помощью программы SHELXS прямыми методами. В результате найдены координаты 22
неводородных атомов. Все типы атомов в двух ионах 5-нитраминтетразола были
идентифицированы сразу. Атомы углерода в двух ионах монометиламмония определены
по величине электронной плотности, которая меньше значения электронной
плотности для атома азота. Полученная структура уточнена методом наименьших
квадратов с учетом анизотропии тепловых колебаний для всех неводородных атомов
с помощью программы SHELXL97 [9]. На
разностном синтезе электронной плотности обнаружено 12 пиков, которые
соответствовали 12 атомам водорода. У атомов углерода ионов монометиламмония
наблюдалось только 2 атома водорода вместо трех, поэтому группы CH3 пришлось идеализировать. Для этого из водородов, при
помощи программы, была построена тетраэдрическая группа, в которой все
межатомные расстояния C-H равнялись 0.89Е, а валентные углы H-C-H 104.47°. Затем эта группа вращалась вокруг
связи C-N и вычислялась энергия каждого состояния. Верная ориентация
группы соответствовала минимуму энергии. Координаты атомов водорода для группы NH3 также были идеализированы. Тепловые колебания атомов
водорода уточнялись изотропно. Общее количество независимых уточняемых
параметров составило 214. После нескольких циклов уточнения отражения 311, 013,
004 и 200 были исключены из общего списка отражений, так как их интенсивности
плохо согласовались с теоретическими значениями. В результате найдена
окончательная модель структуры, уточнение которой завершено при R=0.0404 для 2255 отражений с ïFï>4sF, R=0.0446 и wR=0.1019 для всех 2505 независимых
отражений. Конечный разностный синтез Фурье был без особенностей. Максимальная
и минимальная электронные плотности на нём равны 0.30 и -0.23 e/Е3 соответственно. Первые
4 максимума остаточной электронной плотности находятся на серединах связей C-N в ионах 5-нитраминтетразолов. Пики соответствуют максимумам
электронной плотности связывающих орбиталей ковалентных связей для первой
молекулы (рис. 18а) и второй (рис. 18б).
Рис. 18
Анализ
полученных результатов
В независимой части ячейки содержится 2 катиона монометиламмония CH3NH3+
и 2 аниона 5-нитраминтетразола (CN6O2H)- (рис. 19). Основные межатомные расстояния и
валентные углы находятся в табл.6.
Рис. 19
Молекулы 5-нитраминтетразола плоские; максимальные отклонения от
среднеквадратичных плоскостей 0.0076Е для атома O1A первой молекулы (A) и 0.0129Е для атома O1B второй молекулы (B). Плоская форма молекул объясняется
наличием внутримолекулярной водородной связи N-H···O, которая не дает NO2 группе свободно вращаться.
Геометрия обеих молекул 5-нитраминтетразола одинакова: длины связей, за
исключением одной из связи N-O, равны между собой с точностью 4s; углы с точностью 7s. Различие заключается в том, что
длина связи N5A-O1A на 0.02 Е больше длины N5B-O1B. Это объясняется тем, что кислород O1A участвует в межмолекуляной водородной связи, а атом O1B нет. Особенность строения, как и в случае с диаммониевой
солью 5-нитраминтетразола, заключается в том, что длины связей C1A(B)-N3A(B), которые для
нитриминов являются двойными, больше длин связей С1A(B)-N2A(B) и С1A(B)-N4A(B) на 0.03Е, которые должны быть одинарными. Несмотря на это
молекулы являются типичными нитриминами. Это подтверждается наличием атомов
водорода у атомов азота N2A и N2B, а не у атомов N3A и N3B соответственно. Также это
подтверждается тем, что длины связей C1-N2 и C1-N4 равны между
собой и N1-N6 является единственной двойной связью в кольце. Таким
образом, депротонирование молекул 5-нитраминтетразолов не изменяет их
нитриминного строения. Отрыв атомов водорода при ионизации происходит сначала
для атома азота N4, и лишь затем
при дальнейшей ионизации отрывается атом водорода у атома N2. При этом разрушается
внутримолекулярная водородная связь, и ион 5-нитраминтетразола перестает быть
плоским.
Анализ упаковки молекул показывает, что анионы CH3NH3+ и катионы 5-нитраминтетразола участвуют в
межмолекулярных H-связях типа N-H···O и N-H···N. Из
15 укороченных межмолекулярных контактов только 9 отвечают H-связям; 2 из них внутримолекулярные
(табл.7). За счет водородных связей образуется комплекс изображенный на рис. 20.
Молекула A координирована 3 ионами
монометиламмония (рис. 21), а молекула B 2 ионами (рис. 22).
Рис. 20
Рис. 21
Рис. 22
Аналогично структуре диаммониевой соли помимо водородных связей в
структуре обнаружены π-π взаимодействия между центрами
тетразольных колец (рис. 23). На рисунке эти связи изображены пунктирной линией
соединяющей центры колец. Ионы метиламмония на рис. 23 отсутствуют.
Рис. 23
Геометрические характеристики представлены в таблице 8. Cg(1) -центр цикла с координатами
[0.1835; 0.6393; 0.3560], Cg(2)
- центр цикла с координатами [0.2194; 0.9421; 0.8581]. Центр цикла Cg¢(1) получен преобразованием [0.5+x,1.5-y,0.5+z]
координат цикла Cg(1); Cg¢(2) получен преобразованием [-0.5+x,1.5-y,-0.5+z]
координат цикла Cg(2); Cg¢¢(1) - преобразованием [-0.5+x,1.5-y,0.5+z]
координат цикла Cg(1) и Cg¢¢(2) - преобразованием [0.5+x,1.5-y,-0.5+z]
координат цикла Cg(2).
Таблица 6
Длины связей (Е) и углы (°)
|
O1A-N5A
|
1.269(2)
|
|
N6A-N1A-N2A
|
106.58(15)
|
|
N1A-N6A
|
1.292(2)
|
|
C1A-N2A-N1A
|
108.32(15)
|
|
N1A-N2A
|
1.345(2)
|
|
O2A-N5A-O1A
|
119.86(16)
|
|
N2A-C1A
|
1.340(2)
|
|
O2A-N5A-N3A
|
116.72(15)
|
|
N5A-O2A
|
1.251(2)
|
|
O1A-N5A-N3A
|
123.41(15)
|
|
N5A-N3A
|
1.305(2)
|
|
N5A-N3A-C1A
|
117.33(15)
|
|
N3A-C1A
|
1.379(2)
|
|
N4A-C1A-N2A
|
108.38(16)
|
|
C1A-N4A
|
1.325(2)
|
|
N4A-C1A-N3A
|
119.51(16)
|
|
N4A-N6A
|
1.354(2)
|
|
N2A-C1A-N3A
|
132.11(17)
|
|
N5B-O1B
|
1.249(2)
|
|
C1A-N4A-N6A
|
105.71(15)
|
|
N5B-O2B
|
1.260(2)
|
|
N1A -N6A-N4A
|
110.99(15)
|
|
N5B-N3B
|
1.315(2)
|
|
O1B -N5B-O2B
|
119.98(15)
|
|
N2B-C1B
|
1.342(2)
|
|
O1B-N5B-N3B
|
124.05(15)
|
|
N2B-N1B
|
1.344(2)
|
|
O2B-N5B-N3B
|
115.97(15)
|
|
N6B-N1B
|
1.290(2)
|
|
C1B-N2B-N1B
|
109.28(15)
|
|
N6B-N4B
|
1.354(2)
|
|
N1B-N6B-N4B
|
111.02(15)
|
|
N3B-C1B
|
1.371(2)
|
|
N5B-N3B-C1B
|
116.36(15)
|
|
N4B-C1B
|
1.325(2)
|
|
C1B-N4B-N6B
|
106.37(15)
|
|
N8-C3
|
1.468(3)
|
|
N4B-C1B-N2B
|
107.26(16)
|
|
N7-C2
|
1.461(3)
|
|
N4B-C1B-N3B
|
119.89(16)
|
|
|
|
N2B-C1B-N3B
|
132.85(16)
|
|
|
|
N6B-N1B-N2B
|
106.07(14)
|
Таблица 7
Водородные связи D-H···A (Е, °)
|
D-H
|
d(D-H)
|
d(H···A)
|
<DHA
|
d(D···A)
|
A
|
|
N8-H11
|
0.890
|
2.235
|
150.90
|
3.044
|
O1A [ -x, 1-y, 1-z ]
|
|
N8-H12
|
0.890
|
1.981
|
172.85
|
2.866
|
O2B [ 1/2-x, y-1/2, 1/2-z ]
|
|
N7-H4
|
0.890
|
2.413
|
152.30
|
3.228
|
O1A [ 1/2-x, y-1/2, 3/2-z ]
|
|
N7-H5
|
0.890
|
2.154
|
147.37
|
2.942
|
O2B [ x, y-1, z ]
|
|
N7-H6
|
0.890
|
2.130
|
161.55
|
2.988
|
N3A [ -x, 1-y, 1-z ]
|
|
N2A-H1A
|
0.866
|
2.042
|
151.33
|
2.833
|
N4B [ 1/2-x, y-1/2, 3/2-z ]
|
|
N2B-H1B
|
0.834
|
2.074
|
144.48
|
2.794
|
O2A
|
|
N2A-H1A*
|
0.866
|
2.146
|
111.40
|
2.591
|
O1A
|
|
N2B-H1B*
|
0.834
|
2.196
|
108.8
|
2.589
|
O1B
|
* - помечены внутримолекулярные H-связи
Таблица 8
|
Центр кольца I -
центр кольца J
|
d, Е
|
α,
град
|
β,
град
|
γ,
град
|
Δ,
Е
|
d┴, Е
|
|
Cg(1) - Cg¢(2)
|
3.415
|
4.59
|
16.07
|
20.01
|
1.169
|
3.208
|
|
Cg(2) - Cg¢(1)
|
3.415
|
4.59
|
20.01
|
16.07
|
0.945
|
3.281
|
|
Cg(1) - Cg¢¢(2)
|
3.583
|
4.59
|
37.39
|
32.80
|
1.941
|
3.265
|
|
Cg(2) - Cg¢¢(1)
|
3.583
|
4.59
|
32.80
|
37.39
|
2.176
|
3.047
|
Выводы
Определены и проанализированы структуры диаммониевой и
монометиламмониевой солей 5-нитраминтетразола. Доказан нитриминный характер
строения обоих анионов 5-нитраминтетразола. Таким образом, ионизация не
приводит к изменению нитриминного строения, и 5-нитраминтриазол является
нитримином (рис. 3б). Отрыв атомов водорода при ионизации происходит сначала
для атома азота N4, и лишь затем
при дальнейшей ионизации отрывается атом водорода у атома N2. При этом разрушается
внутримолекулярная водородная связь, и ион 5-нитраминтетразола перестает быть
плоским.
Обнаружено несоответствие между длинами связей C1-N3 и С1-N2; C1-N4, что является
особенностью для соединений данного класса. Структуры исследованы на наличие H-связей. При помощи межмолекулярных
водородных связей образуются комплексы. Причем в диаммониевой соли каждый
катион 5-нитраминтетразола координирован 7 ионами аммония, а в
монометиламмониевой соли одна молекула координирована 3 катионами
монометиламмония, а другая 2 катионами. Помимо водородных связей в обеих
структурах обнаружены π-π взаимодействия между центрами
тертазольных колец. Наличие таких связей приводит к тому, что молекулы
5-нитраминтертазола, участвующие в этой связи, ориентированы параллельно друг
другу.
Список
используемой литературы
1. Бокий
Г.Б., Порай-Кошиц М.А. Рентгеноструктурный анализ. т. 1, М.: Изд-во МГУ, 1960.
2. Порай-Кошиц
М.А. Практический курс рентгеноструктурного анализа. т. 2, М.: Изд-во МГУ,
1960.
. Китайгородский
А.И. Теория структурного анализа. М.: Изд-во Академии Наук СССР, 1957.
4. Kaelble
E.F. Handbook of X-rays. McGraw-Hill Inc., 1967.
5. Сринивасан
Р., Партасарати С. Применение статистических методов в рентгеновской
кристаллографии. М.: “Мир”, 1979.
. Лэдд
М., Палмер Р. Прямые методы в рентгеновской кристаллографии. М.: “Мир”, 1983.
. Уэллс
А. Структурная неорганическая химия. т. 2, М.: “Мир”, 1987.
8. Woolfson
M. M. Direct Methods - from Birth to Maturity. Acta Cryst. 1987, A 43, 593-612.
. Sheldrick
G.M. Shelxl-97: a computer program for refinement of crystal structures,
University of Gцttingen, Germany
. Sheldrick
G.M. Phase Annealing in Shelx-90: Direct Methods for Lager Structures. Acta
Cryst. 1990, A 46, 467-473.
. Spek
A.L. PLATON - A Multipurpose Crystallographic Tool. Acta. Cryst. 1990, A46.
. Gao
A., Rheingold A.L., Brill T.B. //Propellants, Explosives, Pyrotechnics. 1991.
Vol. 16. N 3. P. 97-104.
. Brandenburg
K., Berndt M. DIAMOND - Visual Crystal Structure Information System CRYSTAL
IMPACT, Postfach 1251, D-53002 Bonn.