Оценка эффективность деятельности кондитерского предприятия в области использования экономических ресурсов
Негосударственное образовательное
учреждение высшего профессионального образования «Русско-Британский Институт
Управления» (НОУВПО РБИУ) Кафедра экономики и финансов
Контрольная работа
по дисциплине: Анализ хозяйственной
деятельности
Челябинск 2011
Содержание
Введение
. Задание №1
.1 Решение
.2 Проанализируем выполнение договорных обязательств
поставщиками
. Задание №2
.1 Решение
. Задание №3
.1 Решение
. Задание №4
.1 Решение
.2 Проанализируем техническое состояние основных фондов
. Задание №5
.1 Решение
. Задание №6
.1 Решение
. Задание №7
.1 Решение
. Задание №8
.1 Решение
Введение
материальный ресурс кондитерский предприятие
В работе приведены сведения о некоторых сторонах деятельности
кондитерской «Мэри», специализирующегося на производстве и реализации
хлебобулочных изделий. Необходимо оценить эффективность деятельности
предприятия в области использования экономических ресурсов.
1. Задание №1
На основании данных таблиц проанализировать:
. Обеспеченность предприятия материальными ресурсами на основании
заключенных договоров.
. Выполнение договорных обязательств поставщиками.
. Обеспечение предприятия материальными ресурсами в соответствии с
плановой потребностью.
. Какие меры необходимо принять для полного обеспечения предприятия
материальными ресурсами?
Исходные данные: Обеспеченность материальными ресурсами.
Таблица 1.1.
|
Наименование
|
Плановая потребность
|
Заключено договоров
|
|
Мука, тн
|
100
|
105
|
|
Яйца, шт
|
15000
|
16000
|
|
Маргарин, тн
|
50
|
40
|
|
Сахар, тн
|
140
|
140
|
|
Соль, кг
|
400
|
405
|
Выполнение договорных обязательств поставщиками.
Таблица 1.2 Мука
|
Поставщики
|
По договору
|
Фактическая поставка
|
|
Хлебокомбинат №1
|
50
|
50
|
|
Хлебпром
|
40
|
37
|
|
Мелкооптовая фирма
|
15
|
5
|
|
Итого
|
105
|
92
|
Таблица 1.3 Яйца
|
Поставщики
|
По договору
|
Фактическая поставка
|
|
Челябинская птицефабрика
|
10000
|
9000
|
|
Чебаркульская птицефабрика
|
6000
|
7000
|
|
Мелк.опт. фирма
|
0
|
0
|
|
Итого
|
16000
|
16000
|
Таблица 1.4 Маргарин
|
Поставщики
|
По договору
|
Фактическая поставка
|
|
Челябинский майонезный
завод
|
20
|
20
|
|
Коркинский молочный завод
|
10
|
5
|
|
Чебаркульский молочный
завод
|
10
|
12
|
|
Итого
|
40
|
37
|
Таблица 1.5 Сахар
|
Поставщики
|
По договору
|
Фактическая поставка
|
|
Волоконовский сахарный
завод
|
100
|
100
|
|
Оптовая фирма
|
40
|
20
|
|
Итого
|
140
|
120
|
Таблица 1.6 Соль
|
Поставщики
|
По договору
|
Фактическая поставка
|
|
Пермский завод
|
300
|
300
|
|
Оптовая фирма
|
105
|
80
|
|
Итого
|
405
|
380
|
1.1 Решение
Материальные ресурсы предприятия - это предметы труда, которые образуют
материально-вещественную субстанцию готового продукта и изменяют в процессе
производства свою форму, а также способствуют производственному процессу.
. Рассчитываем уровень обеспеченности предприятия материальными ресурсами
на основании заключенных договоров по формуле:
где Кобесп - коэффициент обеспеченности данным материалом;
Мф - фактическое наличие данного материала;
Мн - потребность в материале данного вида, в соответствии с нормами их
потребления в производстве.
Расчет данного коэффициента в долях и в % представлен в таблице 1.7.
Таблица 1.7 - Уровень обеспеченности предприятия материальными ресурсами
на основании заключенных договоров
|
Наименование
|
Плановая потребность
|
Заключено договоров
|
Отклонение абс. ед.
|
К обесп., доли
|
К обесп., %
|
|
Мука, тн
|
100
|
105
|
5
|
1,1
|
105,0
|
|
Яйца, шт
|
15000
|
16000
|
1000
|
1,1
|
106,7
|
|
Маргарин, тн
|
50
|
40
|
-10
|
0,8
|
80,0
|
|
Сахар, тн
|
140
|
140
|
0
|
1,0
|
100,0
|
|
Соль, кг
|
400
|
405
|
5
|
1,0
|
101,3
|
Таким образом, согласно заключенным договорам ожидается следующее
обеспечение материальными ресурсами:
выполнение плановой потребности в сахаре (100%);
перевыполнение плановой потребности (излишек) в муке (105%), яйцах
(106,7%), соли (101,3%);
невыполнение плановой потребности в маргарине (80%).
Это говорит о том, при соблюдении данного уровня обеспечения согласно
заключенным договорам, в плановом периоде у предприятия возникнет недостача в
маргарине, и из-за этого очень вероятны перебои в производстве, отгрузке
готовой продукции и, соответственно, большие финансовые потери.
.2 Проанализируем выполнение договорных обязательств поставщиками
Расчет выполнения обязательств по поставке муки приведен в таблице 1.8.
Таблица 1.8
|
Поставщики
|
По договору, тонн
|
Фактическая поставка, тонн
|
Отклонение, тонн
|
К обесп., %
|
|
Хлебокомбинат №1
|
50
|
50
|
0
|
100,0
|
|
Хлебпром
|
40
|
37
|
-3
|
92,5
|
|
Мелкооптовая фирма
|
15
|
5
|
-10
|
33,3
|
|
Итого
|
105
|
92
|
-13
|
87,6
|
Таким образом, поставщики выполнили свои обязательства по поставке муки
только на 87,6 %, недопоставка составила 13 тонн.
Хлебокомбинат №1 выполнил свои обязательства в полном объеме.
Хлебпром выполнил свои обязательства на 92,5%, недопоставив 3 тонны муки.
Мелкооптовая фирма выполнила свои обязательства только на 33,3%,
недопоставка составила 10 тонн. Это говорит о том, что мелкооптовая фирма -
очень ненадежный поставщик.
Расчет выполнения обязательств по поставке яиц приведен в таблице 1.9.
Таблица 1.9
|
Поставщики
|
По договору, шт.
|
Фактическая поставка, шт.
|
Отклонение, шт.
|
К обесп., %
|
|
Челябинская птицефабрика
|
10000
|
9000
|
-1000
|
90,0
|
|
Чебаркульская птицефабрика
|
6000
|
7000
|
1000
|
116,7
|
|
Мелк.опт. фирма
|
0
|
0
|
0
|
0,0
|
|
Итого
|
16000
|
16000
|
0
|
100,0
|
Таким образом, совокупные обязательства по поставке яиц выполнены в
полном объеме. Но выполнение этих обязательств по поставщикам неоднозначны.
Челябинская птицефабрика недовыполнила план по поставке яиц на 1000шт,
выполнив договорные обязательства на 90%.
Чебаркульская птицефабрика поставила дополнительные 1000 яиц, выполнив
свои обязательства на 116,7%.
Расчет выполнения обязательств по поставке маргарина приведен в таблице
1.10.
Таблица 1.10
|
Поставщики
|
По договору
|
Фактическая поставка
|
Отклонение, тонн.
|
К обесп., %
|
|
Челябинский майонезный
завод
|
20
|
20
|
0
|
100,0
|
|
Коркинский молочный завод
|
10
|
5
|
-5
|
50,0
|
|
Чебаркульский молочный
завод
|
10
|
12
|
2
|
120,0
|
|
Итого
|
40
|
37
|
-3
|
92,5
|
Таким образом, поставщики выполнили свои обязательства по поставке
маргарина только на 92,5%, недопоставка составила 3 тонны.
Челябинский майонезный завод выполнил свои обязательства в полном объеме.
Коркинский молочный завод выполнил свои обязательства на 50 %,
недопоставив 5 тонн маргарина. Это говорит о том, что Коркинский молочный завод
- очень ненадежный поставщик.
Чебаркульский молочный завод выполнил свои обязательства на 120%,
дополнительно поставив 2 тонны маргарина.
Расчет выполнения обязательств по поставке сахара приведен в таблице
1.11.
Таблица 1.11
|
Поставщики
|
По договору
|
Фактическая поставка
|
Отклонение, тонн.
|
К обесп., %
|
|
Волоконовский сахарный
завод
|
100
|
100
|
0
|
100,0
|
|
Оптовая фирма
|
40
|
20
|
-20
|
50,0
|
|
Итого
|
140
|
120
|
-20
|
85,7
|
Таким образом, поставщики выполнили свои обязательства по поставке сахара
только на 85,7%, недопоставка составила 20 тонн.
Волоконовский сахарный завод выполнил свои обязательства в полном объеме.
Оптовая фирма выполнила свои обязательства на 50%, недопоставив 20 тонн
сахара. Это говорит о том, что оптовая фирма - очень ненадежный поставщик.
Расчет выполнения обязательств по поставке соли приведен в таблице 1.12.
Таблица 1.12
|
Поставщики
|
По договору
|
Фактическая поставка
|
Отклонение, кг.
|
К обесп., %
|
|
Пермский завод
|
300
|
300
|
0
|
100,0
|
|
Оптовая фирма
|
105
|
80
|
-25
|
76,2
|
|
Итого
|
405
|
380
|
-25
|
93,8
|
Таким образом, поставщики выполнили свои обязательства по поставке сахара
только на 85,7%, недопоставка составила 20 тонн.
Пермский завод выполнил свои обязательства в полном объеме.
Оптовая фирма выполнила, свои обязательства на 76,2 недопоставив 25кг
соли. Это говорит о том, что оптовая фирма - очень ненадежный поставщик.
Итак, по результатам анализа выполнения договорных обязательств
поставщиками, можно сделать следующие выводы:
. Планы поставки по видам сырья выполнены следующим образом:
мука 87,6%.
яйца 100%.
маргарин 92,5%.
сахар 85,7%.
соль 93,8%.
. То есть мы получили недовыполнение поставок практически по всем видом
сырья (за исключением яиц). Это говорит о том, что предприятию нужно более
тщательно подходить к выбору поставщиков, заключать договора на более жестких
условиях (предусмотреть санкции за недопоставку), более тщательно
контролировать процесс поставки.
. По-возможности отказаться от сотрудничества со следующими поставщиками:
Мелкооптовая фирма;
Оптовая фирма;
Коркинский молочный завод, так как эти поставщики зарекомендовали себя,
как ненадёжные.
. Проанализируем обеспечение предприятия материальными ресурсами в
соответствии с плановой потребностью.
Расчет уровня обеспечения предприятия материальными ресурсами в
соответствии с плановой потребностью представлен в таблице 1.13.
Таблица 1.13
|
Наименование
|
Плановая потребность
|
Фактическая поставка
|
Отклонение, абс. ед.
|
К обесп., %
|
|
Мука, тн
|
100
|
92
|
-8
|
92,0
|
|
Яйца, шт
|
15000
|
16000
|
1000
|
106,7
|
50
|
37
|
-13
|
74,0
|
|
Сахар, тн
|
140
|
120
|
-20
|
85,7
|
|
Соль, кг
|
400
|
380
|
-20
|
95,0
|
Таким образом, удовлетворена в полном объеме (перевыполнена на 1000шт.)
только потребность в яйцах. Наибольший дефицит возник в маргарине (потребность
удовлетворена на 74%, недостаток сырья составил 13 тонн). Кроме того, имеется
недостаток в сахаре (20 тонн), муке (8 тонн), соли (20 кг.)
. Обобщим полученные данные и дадим рекомендации, о том, какие
меры необходимо принять для полного обеспечения предприятия материальными
ресурсами:
вследствие недостаточно грамотного планирования, невыполнения
обязательств поставщиками у предприятия возник недостаток практически по всем
видам сырья, что способно привести к огромным финансовым потерям;
необходимо более тщательно относиться к процессу планирования закупок;
нельзя изначально заключать договора на поставку сырья меньше необходимого
уровня;
нужно более тщательно подходить к выбору поставщиков, заключать договора
на более жестких условиях (предусмотреть санкции за недопоставку), более
тщательно контролировать процесс поставки.
по-возможности отказаться от сотрудничества со следующими поставщиками:
Мелкооптовая фирма;
Оптовая фирма;
Коркинский молочный завод, так как эти поставщики зарекомендовали себя,
как ненадёжные.
2. Задание №2
. Проанализировать состояние запасов в днях и в натуральных
единицах, используя данные таблиц 2.1,2.2.
. Отражается ли на работе предприятия:
а) избыток запаса,
б) необеспеченность запасами.
. Какие меры необходимо принять для обеспечения нужного количества
запасов?
Исходные данные.
Таблица 2.1.
|
Наименование
|
Норма запаса в днях
|
|
Мука, тн
|
20
|
|
Яйца, шт
|
20
|
|
Маргарин, тн
|
10
|
|
Сахар, тн
|
30
|
|
Соль, кг
|
50
|
Таблица 2.2.
|
Наименование
|
Среднесуточный расход
|
Остаток на складе
|
|
Мука, тн
|
0,3
|
6
|
|
Яйца, шт
|
45
|
630
|
|
Маргарин, тн
|
0,1
|
0,5
|
|
Сахар, тн
|
0,4
|
8
|
|
Соль, кг
|
1
|
15
|
2.1 Решение
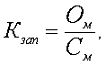
. Проанализируем состояние запасов в днях и в натуральных
единицах.
Показатель обеспеченности предприятия запасами (Кзап) выражается в днях и
исчисляется как отношение остатка данного вида материала находящегося в запасах
к среднедневному его расходу по формуле:
где Ом - остатки материала;
См - среднедневной расход данного вида материала.
Составление данных об уровне обеспеченности запасами с установленной
нормой запаса в днях позволяет установить по каждому виду материалов запасы, их
излишек или недостаток.
Расчет представлен в таблице 2.3.
Таблица 2.3
|
Наименование
|
Среднесуточный расход
|
Остаток на складе
|
К зап., дни
|
Норма запаса в днях
|
Излишек (+) или недостаток
(-), дни
|
|
Мука, тн
|
0,3
|
6
|
20
|
20
|
0
|
|
Яйца, шт
|
45
|
630
|
14
|
20
|
-6
|
|
Маргарин, тн
|
0,1
|
0,5
|
5
|
10
|
-5
|
|
Сахар, тн
|
0,4
|
8
|
20
|
30
|
-10
|
|
Соль, кг
|
1
|
15
|
15
|
50
|
-35
|
Таким образом, на предприятии имеется достаточный запас муки. Наиболее
острый недостаток на настоящий момент в соли. Также недостаточно яиц,
маргарина, сахара.
. На работе предприятия негативно отражается, как избыток, так и
недостаток запаса.
Избыток запаса приводит к тому, что предприятие вынуждено тратить лишние
средства на их хранение, а в случае скоропортящихся товаров, можно их не
использовать в срок, тогда предприятие потерпит финансовые потери.
Недостаток запаса также приводит к финансовым потерям, обусловленным тем,
что возникает риск бесперебойной работы производства, простои, невыполнение
своих договорных обязательств, необходимость срочного поиска новых (не всегда
надежных) поставщиков.
. Поэтому необходимо принять меры для обеспечения нужного
количества запасов:
тщательный расчет и планирование поставок и запасов;
тщательно подходить к поиску поставщиков;
предусматривать жесткие условия договоров и контроль за выполнением
поставщиками своих обязательств.
3. Задание №3
1. Проанализировать общий расход сырья
на предприятии.
2. Соблюдаются ли нормы расхода на
предприятии?
3. Какое количество изделий можно
выпустить дополнительно, если фактические отходы сократить на 10%?
4. Какие бы вы предложили пути экономии
материальных ресурсов?
Исходные данные.
Таблица 3.1.
|
Показатели
|
По плану
|
Фактически
|
|
Количество изделий, шт
|
12500
|
12400
|
|
Вес сырья, тн
|
140
|
120
|
|
Коэффициент использования
|
0,94
|
0,95
|
.1 Решение
Рассчитаем удельный расход сырья на единицу продукции, проанализируем
общий расход сырья на предприятии.
Таблица 3.1
|
Показатели
|
По плану
|
Фактически
|
Отклонение
|
|
Количество изделий, шт
|
12500,00
|
12400,00
|
-100,00
|
|
Вес сырья, тн
|
140,00
|
120,00
|
-20,00
|
|
Коэффициент использования
|
0,94
|
0,95
|
0,01
|
|
Отходы, тонн
|
8,40
|
6,00
|
-2,40
|
|
Использовано сырья, тонн
|
131,60
|
114,00
|
-17,60
|
|
Уд. расход, кг/шт.
|
11,91
|
10,19
|
-1,73
|
Изготовлено меньше изделий, чем запланировано. Это обусловлено тем, что
фактический вес сырья меньше, чем ожидалось по плану. Но, вследствие более
экономичного использования сокращены отходы сырья и его удельный расход на
единицу продукции.
Как следует, из таблицы 3.1 нормы расхода сырья на единицу продукции на
предприятии соблюдаются.
Если фактические отходы сократить на еще 10%, то мы получим дополнительно
600 кг, сырья, из которого можно изготовить 600/10,19 = 58 изделий.
Можно предложить следующие пути экономии материальных ресурсов:
автоматизация производственного процесса;
более тщательная упаковка сырья;
мотивация персонала, личная ответственность;
более совершенная система хранения сырья;
система безопасности, исключающая хищение сырья.
4. Задание №4
1. Проанализировать наличие основных
фондов в текущем году.
2. Проанализировать структуру основных
фондов.
3. Проанализировать техническое
состояние основных фондов.
Исходные данные.
Таблица 4.1.
|
Показатели
|
Сумма, тыс. руб.
|
|
1. Остаточная стоимость ОФ
на начало года
|
|
|
1.1. Всего
|
126000
|
|
1.2. в том числе:
|
|
|
а) здания, сооружения;
|
50000
|
|
б) духовые шкафы;
|
17000
|
|
в) замесочное
оборудование;
|
31000
|
|
г) транспортные средства;
|
25000
|
|
д) инструмент, инвентарь.
|
3000
|
|
2. Поступило в течение года
|
12800
|
|
3. Выбыло в течение года
|
1800
|
|
4. Остаточная стоимость ОФ
на конец года
|
|
|
4.1. всего
|
137000
|
|
4.2. в том числе:
|
|
|
а) здания, сооружения;
|
53000
|
|
б) духовые шкафы;
|
17000
|
|
в) замесочное оборудование;
|
32000
|
|
г) транспортные средства;
|
31000
|
|
д) инструмент, инвентарь.
|
4000
|
|
5. Износ основных фондов
|
|
|
5.1. на начало года
|
800
|
|
5.2. на конец года
|
1200
|
|
6. Среднегодовая стоимость
ОФ прошлого года
|
128000
|
|
7. Плановая среднегодовая
стоимость ОФ текущего года
|
130000
|
4.1 Решение
.
Проанализируем наличие основных фондов в текущем году.
Остаточная стоимость ОФ на начало года составляет 126000 тыс. руб.
Остаточная стоимость ОФ на конец года составила 137000 тыс. руб. То есть
фактическая среднегодовая стоимость ОФ составила (126000 + 137000)/2 = 131500
тыс. руб. Плановая среднегодовая стоимость ОФ текущего года составляет 130000
тыс. руб. То есть, в текущем году нет недостатка в основных фондах. Избыток
составляет 1500 тыс. руб.
. Проанализируем структуру основных фондов. Расчет представлен в
таблице 4.2.
Таблица 4.2
|
Основные фонды
|
На начало года
|
На конец года
|
Изменение
|
Изменение структуры
|
|
тыс. руб.
|
%
|
тыс. руб.
|
%
|
тыс. руб.
|
%
|
%
|
|
Всего
|
126000,0
|
100,0
|
137000,0
|
100,0
|
11000,0
|
108,7
|
0,0
|
|
а) здания, сору-жения;
|
50000,0
|
39,7
|
53000,0
|
38,7
|
3000,0
|
106,0
|
-1,0
|
|
б) духовые шкафы;
|
17000,0
|
13,5
|
17000,0
|
12,4
|
0,0
|
100,0
|
-1,1
|
|
в) замесочное
обору-дование;
|
31000,0
|
24,6
|
32000,0
|
23,4
|
1000,0
|
103,2
|
-1,2
|
|
г) транспортные средства;
|
25000,0
|
19,8
|
31000,0
|
22,6
|
6000,0
|
124,0
|
2,8
|
|
д) инструмент, ин-вентарь.
|
3000,0
|
2,4
|
4000,0
|
2,9
|
1000,0
|
133,3
|
0,5
|
Таким образом, общая стоимость основных фондов увеличилась на 110000 тыс.
руб. (на 8,7%). В целом, увеличение произошло по всем видам основных фондов, за
исключением духовых шкафов. Наибольшее изменение в структуре произошло по
статье «транспортные средства». Их стоимость возросла на 6000 руб. (24%), доля
в структуре увеличилась с 19,8% до 22,6%.
Сравнение данных о величине основных фондов (средств) наконец и начало
анализируемого периода позволяет выявить их динамику.
Рассчитаем показатели движения основных фондов (ОФ):
.2 Проанализируем техническое состояние основных фондов
Износ на начало года составлял 800 тыс. руб. или:
/126000*100 = 0,63%.
На конец года износ составил 1200 или:
/137000*100=0,88%.
В целом, размер износа относительно невелик техническое состояние
основных фондов хорошее, но имеется тенденция к увеличению износа.
5. Задание №5
. Проанализировать общее выполнение плана реализации.
. Проанализировать выполнение плана реализации по номенклатуре.
. Как влияют запасы готовой продукции на складе и объем
поступления продукции из производства на объем реализованной продукции?
. Какие могут быть причины невыполнения плана реализации, как их
предотвратить?
Исходные данные.
Таблица 5.1
|
Показатели
|
Значение показателя
|
|
план
|
факт
|
|
Реализация продукции в
базисном году (в т.р.)
|
|
119000
|
|
Реализация отчетного года
всего (в т.р.)
|
118000
|
120000
|
|
в том числе: продукция А
|
35000
|
39000
|
|
продукция Б
|
39000
|
35000
|
|
продукция В
|
44000
|
46000
|
|
Поступило продукции из
производства (в т.р.)
|
109000
|
111000
|
|
Запасы готовой продукции на
складе (в т.р.):
|
|
на начало года
|
14800
|
15500
|
|
на конец года
|
5800
|
6500
|
.1 Решение
Проанализируем общее выполнение плана реализации и выполнение плана
реализации по номенклатуре. Расчет отклонения в тыс. руб. и в % представлен в
таблице 5.2.
Таблица 5.2
|
Показатели
|
Значение показателя
|
Коэф. вып. плана, %
|
Отклонение
|
|
план
|
факт
|
|
тыс. руб.
|
в %
|
|
Реализация продукции в
базисном году (в т.р.)
|
х
|
119000
|
х
|
х
|
|
Реализация отчетного года
всего (в т.р.)
|
118000
|
120000
|
101,69
|
2000
|
1,69
|
|
в том числе: продукция А
|
35000
|
39000
|
111,43
|
4000
|
11,43
|
|
продукция Б
|
39000
|
35000
|
89,74
|
-4000
|
-10,26
|
|
продукция В
|
44000
|
46000
|
104,55
|
2000
|
4,55
|
|
Поступило продукции из
производства (в т.р.)
|
109000
|
111000
|
101,83
|
2000
|
1,83
|
|
Запасы готовой продукции на
складе (в т.р.):
|
|
на начало года
|
14800
|
15500
|
104,73
|
700
|
4,73
|
|
на конец года
|
5800
|
6500
|
112,07
|
700
|
12,07
|
|
|
|
|
|
|
|
Таким образом, общий план по реализации в отчетном году перевыполнен на
2000 тыс. руб. или 1,69%.
Оценка выполнения плана по номенклатуре основывается на сопоставлении
плановой и фактической реализации продукции по основным видам, включенным в
номенклатуру.
По номенклатуре в отчетном году выполнение плана реализации неоднородно.
План по продукции А перевыполнен на 4000 тыс. руб., план по продукции Б
недовыполнен на 4000 тыс. руб. План по продукции В перевыполнен на 2000 тыс.
руб. Это говорит о том, что имеются недостатки в планах продаж.
Оценка выполнения плана по ассортименту может производиться по способу
наименьшего процента; в нашем случае выполнение плана по номенклатуре составило
89,74%.
Запасы готовой продукции на складе и объем поступления продукции из
производства оказывают большое влияние на объем реализованной продукции. В
случае недостаточного запаса и/или несвоевременного поступления готовой
продукции возникают перебои в поставках клиентам, теряется деловая репутация,
предприятие несет финансовые потери. В случае избыточного запаса и/или чрезмерного
поступления готовой продукции на склад возможна несвоевременная их реализация,
а в случае пищевой промышленности это опасно тем, что могут истечь сроки
годности и товар испортится. Кроме того, в этом случае предприятие несет
финансовые потери от хранения излишней партии товаров на складе.
Возможны причины невыполнения плана реализации:
недостаточный спрос;
невыполнение планов производства продукции (может быть вызвано рядом
факторов).
ошибки в планировании.
Можно предложить следующие пути для предотвращения невыполнения планов
реализации продукции:
маркетинговые мероприятия по изучению рынка и стимулированию спроса;
грамотное, основанное на принципах, планирование продаж и производства;
организация четкой логистической цепочки по доставке/хранению сырья и
готовой продукции.
6. Задание №6
. Проанализировать обеспеченность предприятия кадрами (определить
все возможные коэффициенты).
. Какие меры вы можете предложить для снижения текучести кадров
. Проанализировать фонд оплаты труда.
Исходные данные.
Таблица 6.1.
|
Показатели
|
Значение
|
|
план
|
факт
|
|
1.Среднесписочная
численность работающих
|
182
|
180
|
|
а) рабочие
|
23
|
24
|
|
б) служащие
|
159
|
156
|
|
2. Состояло в спис. составе
на нач. года
|
178
|
|
3. Принято в течение года
|
9
|
|
а) принято самим
предприятием
|
8
|
|
б) направлено службой
занятости
|
1
|
|
в) переведено с других
предприятий
|
0
|
|
4. Выбыло в течение года
|
5
|
|
а) уволено за прогулы
|
3
|
|
б) по собственному желанию
|
1
|
|
в) призыв в армию
|
1
|
|
г) уход на пенсию
|
0
|
|
д) другие причины, предусм.
законом
|
0
|
|
5. Состояло в спис. составе
на конец года
|
182
|
|
Предшествующий год
|
|
1.Среднесписочная
численность работающих
|
180
|
|
а) рабочие
|
22
|
|
б) служащие
|
158
|
|
2. Состояло в спис. составе
на нач. года
|
182
|
|
3. Принято в течение года
|
8
|
|
а) принято самим
предприятием
|
5
|
|
б) направлено службой
занятости
|
2
|
|
в) переведено с других
предприятий
|
1
|
|
4. Выбыло в течение года
|
12
|
|
а) уволено за прогулы
|
1
|
|
б) по собственному желанию
|
6
|
|
в) призыв в армию
|
2
|
|
г) уход на пенсию
|
2
|
|
д) другие причины, предусм.
законом
|
1
|
|
5. Состояло в спис. составе
на конец года
|
178
|
Таблица 6.2.
|
Показатели
|
Значение показателя
|
|
план
|
отчет
|
|
Фонд оплаты труда
|
44800
|
45090
|
|
Средняя заработная плата
|
?
|
?
|
|
Среднесписочная численность
|
182
|
180
|
6.1 Решение
Проанализируем обеспеченность предприятия кадрами. В таблице 6.3
представлен расчет показателей выполнения плана по кадрам.
|
Показатели
|
Значение
|
Отклонения
|
|
план
|
факт
|
чел.
|
% вып. пл.
|
|
1.Среднесписочная
численность работающих
|
182
|
180
|
-2
|
98,9
|
|
а) рабочие
|
23
|
24
|
1
|
104,3
|
|
б) служащие
|
159
|
156
|
-3
|
98,1
|
То есть, план по численности рабочих выполнен на 98,9%. Имеется
недостаток (3 человека) в служащих и избыток (1 человек) рабочих.
Показатели движения персонала рассчитываются следующим образом:
То есть коэффициент оборота по поступлению выше оборота по выбытию, это
положительно характеризует деятельность предприятия. В целом, текучесть
невелика.
Для снижения текучести кадров можно предложить следующие меры:
создание единой командной атмосферы в коллективе;
социальные гарантии;
участие персонала в процессе руководства на разных уровнях управления;
создание эффективной системы мотивации персонала;
стабильная и своевременная выплата заработной платы.
Проанализируем фонд оплаты труда, рассчитаем среднюю заработную плату.
Расчет представлен в таблице 6.4.
Таблица 6.4.
|
Показатели
|
Значение показателя
|
Отклонения
|
|
план
|
отчет
|
абс. ед.
|
%
|
|
Фонд оплаты труда
|
44800,0
|
45090,0
|
290,0
|
100,6
|
|
Средняя заработная плата
|
246,2
|
250,5
|
4,3
|
101,8
|
|
Среднесписочная численность
|
182,0
|
180,0
|
-2,0
|
98,9
|
То есть фонд оплаты труда несколько превысил плановую величину. Средняя
заработная плата на 4,3 усл.ед. больше плановой.
7. Задание №7
. Проанализировать затраты на производство и реализацию продукции
в:
а) в абсолютной сумме,
б) структуру затрат,
в) затраты на рубль товарной продукции.
. Каковы причины увеличения затрат?
. Какие меры вы можете предложить для снижения затрат?
Исходные данные.
Таблица 7.1.
|
Показатели
|
Значения
|
|
смета
|
отчет
|
|
Затраты на материалы и
комплектующие
|
37000
|
36300
|
|
Затраты на заработную плату
|
44800
|
45090
|
|
Амортизационн. отчисления*
|
7%
|
7%
|
|
Затраты на социальные нужды
|
15830
|
15870
|
|
Прочие затраты
|
2000
|
3000
|
|
Полная себестоимость
|
?
|
?
|
*Амортизационные отчисления составляют 25% от первоначальной стоимости
основных средств на начало года (см. таблицу 4.1.).
.1 Решение
Проанализируем затраты на производство и реализацию продукции. Расчет
представлен в таблице 7.2.
Таблица 7.2
|
Показатели
|
Значения
|
Структура себестоимости, %
|
Отклонения
|
Изменение структуры, %
|
|
смета
|
отчет
|
смета
|
отчет
|
в тыс. руб.
|
в %
|
|
|
Затраты на материалы и
комплектующие
|
37000,0
|
36300,0
|
36,3
|
35,4
|
-700,0
|
98,1
|
-1,0
|
|
Затраты на заработную плату
|
44800,0
|
45090,0
|
44,0
|
43,9
|
290,0
|
100,6
|
-0,1
|
|
Амортизационн. отчисления*
|
2205,0
|
2397,5
|
2,2
|
2,3
|
192,5
|
108,7
|
0,2
|
|
Затраты на социальные нужды
|
15830,0
|
15870,0
|
15,5
|
15,5
|
40,0
|
100,3
|
-0,1
|
|
Прочие затраты
|
2000,0
|
3000,0
|
2,0
|
2,9
|
1000,0
|
150,0
|
1,0
|
|
Полная себестоимость
|
101835,0
|
102657,5
|
100,0
|
100,0
|
822,5
|
100,8
|
0,0
|
|
Выручка отчетного года
|
118000,0
|
120000,0
|
х
|
х
|
2000,0
|
101,7
|
х
|
|
Затраты на рубль продукции
|
0,86
|
0,86
|
х
|
х
|
0,4
|
1,0
|
х
|
То есть, полная себестоимость по отчету выше расчетной на 822,5 тыс. руб.
Произошло увеличение затрат на заработную плату, амортизацию, социальные нужды,
существенно увеличились прочие затраты.
В структуре затрат наибольший вес имеют затраты на материалы и
комплектующие, их фактическая доля составила 35,4%. Кроме того, произошла их
экономия, что положительно характеризует финансово-хозяйственную деятельность
предприятия.
Затраты на рубль продукции практически соответствуют сметным. Это
обусловлено соответствием темпов роста себестоимости и выручки.
Причины увеличения затрат могут быть различны. Так, возросла амортизация
за счет превышения фактической стоимости основных фондов над плановой.
Увеличились отчисления на оплату труда, социальные нужды, это связано с ростом
объема работ.
Можно порекомендовать следующие пути снижения затрат:
более ответственно подходить к процессу планирования на предприятии;
по-возможности, исключить простои оборудования, минимизировать брак;
ответственно подходить к поиску поставщиков.
8. Задание №8
. Проанализировать балансовую прибыль предприятия.
. Проанализировать прибыль от реализации продукции.
. Проанализировать прибыль от прочей реализации.
. Проанализировать прибыль от внереализационной деятельности
. Определить величину налога на прибыль при ставке налога 25%.
. Определить величину чистой и нераспределенной прибыли.
. Определить рентабельность работы по чистой и по балансовой прибыли.
. Определить рентабельность продаж.
. Сделать выводы насколько эффективно сработало предприятие.
Исходные данные.
Таблица 8.1
|
Показатели
|
Значение
|
|
Прибыль от реализации
продукции
|
?
|
|
Доход от продажи основных
фондов
|
4000
|
|
Расходы от продажи ОФ
|
3100
|
|
Прибыль (убыток) от продажи
материалов
|
460
|
|
Доходы от участия в других
организациях
|
1110
|
|
Проценты к получению
|
100
|
|
Проценты к уплате
|
400
|
|
Расходы на ЖКХ
|
1000
|
|
Прибыль от прочей
реализации
|
?
|
|
Прибыль от
внереализационной деятельности
|
?
|
|
Балансовая прибыль
|
|
Налог на прибыль
|
25%
|
|
Чистая прибыль
|
?
|
|
Отвлеченные средства
|
7450
|
|
Нераспределенная прибыль
|
?
|
8.1 Решение
Расчет показателей для решения задачи представлен в таблице 8.2.
Таблица 8.2
|
Показатели
|
Значение
|
|
Прибыль от реализации
продукции
|
17342,5
|
|
Доход от продажи основных
фондов
|
4000
|
|
Расходы от продажи ОФ
|
3100
|
|
Прибыль (убыток) от продажи
материалов
|
460
|
|
Доходы от участия в других
организациях
|
1110
|
|
Проценты к получению
|
100
|
|
Проценты к уплате
|
400
|
|
Расходы на ЖКХ
|
1000
|
|
Прибыль от прочей
реализации
|
1360
|
|
Прибыль от
внереализационной деятельности
|
-190
|
|
Балансовая прибыль
|
18512,5
|
|
Налог на прибыль
|
4628
|
|
Чистая прибыль
|
13884
|
|
Отвлеченные средства
|
7450
|
|
Нераспределенная прибыль
|
6434
|
|
Рентабельность по чистой
прибыли
|
11,6
|
|
Рентабельность по
балансовой прибыли
|
15,4
|
|
Рентабельность продаж
|
14,5
|
Прибыль от продаж составила 17343 тыс. руб., балансовая прибыль 18512,5
тыс. руб. Это говорит о том, что у предприятия в текущем году были
дополнительные доходы, не связанные с производством и реализацией продукции.
То есть рентабельность продаж в отчетном году составила 14,5%,
рентабельность по балансовой прибыли 15,4% рентабельность по чистой прибыли
11,6%. Эти показатель относительно невелики, находятся в пределах инфляции,
поэтому нельзя сказать о том, что предприятие в отчетном году сработало
эффективно. Однако оно получило прибыль, это, безусловно, положительный факт.
Для более точной оценки деятельности предприятия, желательно изучить эти
показатели в динамике.