Биохимия спорта

  • Вид работы:
    Контрольная работа
  • Предмет:
    Биология
  • Язык:
    Русский
    ,
    Формат файла:
    MS Word
    1005,66 kb
  • Опубликовано:
    2011-07-08
Вы можете узнать стоимость помощи в написании студенческой работы.
Помощь в написании работы, которую точно примут!

Биохимия спорта















Контрольная работа № 1

Биохимия спорта

1. Общая характеристика и роль макроэргических соединений в обмене веществ. Укажите известные Вам макроэргические вещества

Главными материальными носителями свободной энергии в органических веществах являются химические связи между атомами, поэтому при преобразовании химических связей в молекуле уровень свободной энергии соединения изменяется. Если изменение уровня свободной энергии соединения при возникновении или распаде химической связи составляет около 12,5 кДж/моль преобразуемого вещества, то такая связь по своему энергетическому уровню считается нормальной. Именно такую размерность имеет изменение уровня свободной энергии при преобразовании большинства связей в органических соединениях. Однако при новообразовании и распаде некоторых связей уровень свободной энергии в молекулах ряда органических соединений изменяется в гораздо большей степени и составляет 25-50 кДж/моль и более. Такие соединения называются макроэргическими соединениями, а связи, при преобразовании которых наступают столь крупные изменения в энергетическом балансе вещества, ‒ макроэргическими связями. Последние в отличие от обычных связей обозначают значком “~”.

Макроэргические связи представлены преимущественно сложноэфирными, в том числе и тиоэфирными, ангидридными и фосфоамидными связями. Однако наиболее интересно, что почти все известные соединения с макроэргическими связями содержат атомы Р и S, по месту которых в молекуле эти связи локализованы.

Именно та энергия, которая высвобождается при разрыве макроэргических связей, поглощается при синтезе органических соединений с более высоким уровнем свободной энергии, чем исходные. В то же время запасы макроэргических веществ в организме постоянно пополняются путем аккумулирования энергии, выделяющейся при понижении энергетического уровня распадающихся соединений.

Таким образом, макроэргические вещества выполняют функцию и доноров, и акцепторов энергии в обмене веществ; они служат как аккумуляторами, так и проводниками энергии в биохимических процессах. Кроме того, им свойственна роль трансформаторов энергии, так как они способны преобразовывать стационарную форму энергии химической связи в мобильную, т.е. в энергию возбужденного состояния молекулы. Последний вид энергии и служит непосредственным источником реакционной способности молекул; преобразуясь снова в стационарную форму энергии химической связи, он энергетически обеспечивает видоизменение веществ, их преобразование, т.е. их обмен в организме.

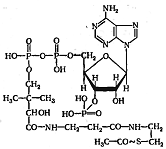
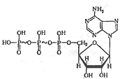
К макроэргическим соединениям относятся, главным образом, аденозинтрифосфорная кислота (АТФ) и вещества, способные образовывать АТФ в ферментативных реакциях переноса преимущественно фосфатных групп, а также нуклеозидтри- (или ди)-фосфорные кислоты, пирофосфорная и полифосфорная кислоты, креатинфосфорная, фосфопировиноградная, дифосфоглицериновая кислоты, ацетил- и сукцинилкоферменты А, аминоацильные производные адениловой и рибонуклеиновых кислот и другие.

Аденозинтрифосфорная кислота (АТФ)

Креатинфосфат

Ацетилкоэнзим А

Энергия, которая выделяется при распаде макроэргических соединений и за счет которой может быть совершена та или иная работа, используется не только для химического синтеза. Она может служить в организме для теплообразования, свечения, накопления электричества, выполнения механической работы и т. п. При этом химическая энергия преобразуется в тепловую, лучистую, электрическую, механическую и пр. Принципиально важно то, что преобразование химической энергии в другие ее виды протекает в организме при обязательном участии соединений с макроэргическими связями, в частности АТФ. В молекуле АТФ происходит трансформация стабильной энергии макроэргических межфосфатных химических связей в подвижную энергию возбуждения электронов пуриновой части молекулы; это и есть, вероятно, первый этап преобразования энергии в организме. Именно поэтому АТФ занимает центральное место в энергетическом обмене живой материи.

Как видно из рис. 1, АТФ играет выдающуюся роль как при запасании, так и при расходовании энергии, т.е. является ключевым веществом в энергетическом обмене организма. Известно много реакций, при посредстве которых АТФ возникает из других макроэргических соединений, и наоборот, есть много процессов, приводящих к синтезу макроэргических соединений при участии АТФ. Такие, например, макроэргические соединения, как креатинфосфат, фосфоенолпировиноградная кислота и 1,3-дифосфоглицериновая кислота, при взаимодействии с АДФ образуют АТФ с выделением креатина, пировиноградной кислоты и 3-фосфоглицериновой кислоты. Эти и подобные им соединения принято обозначать как АТФ-генерирующие вещества. Перечисленные реакции обратимы, и при известных условиях равновесие может быть смещено в сторону распада АТФ.

Рис. 1. Превращения энергии в живой природе

Обмен энергии в процессе жизнедеятельности не исчерпывается превращением химической энергии в другие виды ее и наоборот (рис. 1); он носит более широкий характер. Так, в палочках и колбочках сетчатки глаза световая энергия превращается в электрическую; в специфических структурах внутреннего уха звуковая и гидродинамическая энергия переходит в электрическую и т.п.

Трансформация одного вида энергии в другой осуществляется в организмах в морфологически разнообразных элементах ‒ хлоропластах, мышцах, рецепторных аппаратах тканей и органов, сетчатке глаза, люминесцентных органах и т. п. Однако всем этим разнообразным элементам свойственны некоторые общие черты строения. Они отличаются наличием двухслойных мембран с высоким содержанием липопротеинов в них и присутствием структурного белка, связывающего в упорядоченные образования достаточно унифицированные элементарные частицы. Последние включают в свой состав молекулы определенного строения, которые, собственно, и осуществляют процесс трансформации энергии. При этом энергия одного вида поглощается молекулой-преобразователем и превращается в энергию другого вида. Простейшим примером механизма внутримолекулярного превращения энергии молекулой-преобразователем служит переход стационарной энергии химических связей трифосфатной группировки молекулы АТФ в подвижную энергию возбуждения электронов ее пуриновой части. Более сложным примером являются конформационные изменения белковых молекул в процессе преобразования одного вида энергии в другой (например, мышечное сокращение).

Обмен веществ и энергии представляет единый, неразрывный процесс, где видоизменение вещества всегда сопровождается выделением или поглощением свободной энергии и где выделившаяся или поглотившаяся в том или ином количестве энергия обеспечивает распад или синтез химических связей, т.е. по существу видоизменение самих веществ.

. Белки мышечной ткани, их строение и функции

Среди белков мышечной ткани выделяют три основные группы: саркоплазматические белки, на долю которых приходится около 35 %, миофибриллярные белки, составляющие около 45 %, и белки стромы, количество которых достигает 20 %.

Саркоплазматические белки растворимы в воде и слабых солевых растворах. Основную массу их составляют белки-ферменты, локализованные главным образом в митохондриях и катализирующие процессы окислительного фосфорилирования, а также многие ферменты гликолиза, азотистого и липидного обменов, находящиеся в саркоплазме. К этой группе относится также белок миоглобин, который связывает кислород с большим сродством, чем гемоглобин, и депонирует молекулярный кислород в мышцах. В последнее время открыта группа саркоплазматических белков парвальбуминов, которые способны связывать ионы кальция, однако их физиологическая роль остается невыясненной.

Миофибриллярные белки включают сократительные белки миозин, актин и актомиозин, а также регуляторные белки тропомиозин, тропонин, α- и β-актинины. Миофибриллярные белки обеспечивают сократительную функцию мышц.

Миозин является одним из основных сократительных белков мышц, составляющий около 55 % общего количества мышечных белков. Из него состоят толстые нити (филаменты) миофибрилл. Молекулярная масса этого белка - около 470 000. В молекуле миозина различают длинную фибриллярную часть и глобулярные структуры (головки). Фибриллярная часть молекулы миозина имеет двуспиральную структуру (рис. 2).

Рис. 2. Схема строения молекулы миозина (а), миозинового пучка (б) и миозиновой толстой нити (в)

В составе молекулы выделяют шесть субъединиц: две тяжелые полипептидные цепи (молекулярная масса 200 000) и четыре легкие цепи (молекулярная масса 1500-2700), расположенные в глобулярной части. Основной функцией фибриллярной части молекулы миозина является способность образовывать хорошо упорядоченные пучки миозиновых филаментов или толстые протофибриллы. На головках молекулы миозина расположены активный центр АТФ-азы и актинсвязывающий центр, поэтому они обеспечивают гидролиз АТФ и взаимодействие с актиновыми филаментами.

Молекула миозина содержит значительное количество глутаминовой аминокислоты и имеет большой отрицательный заряд, что усиливает связывание свободных ионов Са2+ и Мg2+. В присутствии ионов Са2+ повышается АТФ-азная активность миозина и скорость гидролиза АТФ согласно уравнению


Химическая энергия АТФ, освобождающаяся в ходе данной ферментативной реакции, используется для изменения конформации белка миозина и генерации напряжения между толстыми и тонкими нитями миозина в сокращающейся мышце. Посредством ионов Мg2+ миозин способен присоединять молекулы АТФ и АДФ, а также взаимодействовать с молекулами актина, находящимися в составе тонких нитей миофибрилл.

Актин - второй сократительный белок мышц, который составляет основу тонких нитей (рис. 3). Известны две его формы - глобулярный G-актин и фибриллярный F-актин. Глобулярный актин - это шарообразный белок с молекулярной массой 42 000. На его долю приходится около 25 % общей массы мышечного белка. В присутствии Мg2+  актин подвергается нековалентной полимеризации с образованием нерастворимого филамента в виде спирали, получившего название F-актин. Обе формы актина не обладают ферментативной активностью. Каждая молекула G-актина способна связывать один ион Са2+, который играет важную роль в инициировании сокращения. Кроме того, молекула G-актина прочно связывает одну молекулу АТФ или АДФ. Связывание АТФ G-актином обычно сопровождается его полимеризацией с образованием F-актина и одновременным расщеплением АТФ до АДФ и фосфата. АДФ остается связанной с фибриллярным актином. Процесс полимеризации актина можно описать следующим уравнением:

актин активирует АТФ-азу миозина, что создает движущую силу процессу сокращения. Актин способен взаимодействовать с миозином, образуя актомиозиновый комплекс. Молярное соотношение актина и миозина в актомиозиновом комплексе - примерно 1:1. Нить F-актина может связывать большое число молекул миозина. Существенным свойством актомиозинового комплекса является диссоциация его в присутствии АТФ и Мg2+.

Рис. 3. Схема строения актиновой, или тонкой нити

В состав тонких нитей наряду с актином входят и другие минорные белки - тропомиозин, тропонины, актинины.

Тропомиозин (Тм) - это структурный белок актиновой нити, представляющий собой вытянутую в виде тяжа молекулу. Две его полипептидные цепи как бы обвивают актиновые нити. На концах каждой молекулы тропомиозина расположены белки тропониновой системы, наличие которой характерно только для поперечно-полосатых мышц.

Тропонин (Тн) является регуляторным белком актиновой нити. Он состоит из трех субъединиц - ТнТ, ТнI и ТнС. Тропонин Т(ТнТ) обеспечивает связывание этих белков с тропомиозином. Тропонин I (ТнI) блокирует (ингибирует) взаимодействие актина с миозином. Тропонин С (ТнС) - это Са2+-связывающий белок, структура и функции которого подобны широко распространенному в природе белку кальмодулину. Тропонин С, как и кальмодулин, связывает четыре иона Са2+ на молекулу белка и имеет молекулярную массу 17 000. В присутствии Са2+ изменяется конформация тропонина С, что приводит к изменению положения Тн по отношению к актину, в результате чего открывается центр взаимодействия актина с миозином.

Таким образом, тонкий филамент миофибриллы поперечно-полосатой мышцы состоит из F-актина, тропомиозина и трех тропониновых компонентов - ТнС, ТнI и ТнТ. Кроме этих белков, в мышечном сокращении участвует белок актинин. Обнаруживается он в зоне Z-линии, к которой крепятся концы F-актиновых молекул тонких нитей миофибрилл. Белки мышечной стромы в скелетной мышце представлены в основном коллагеном и эластином, которые входят в состав сарколеммы и Z-линий миофибрилл. Эти белки обладают эластичностью, большой упругостью, что имеет существенное значение для процесса сокращения и расслабления мышцы.

. Аэробная работоспособность, ее биохимические факторы

Аэробный механизм ресинтеза АТФ в обычных условиях обеспечивает около 90 % общего количества АТФ, ресинтезируемой в организме. Ферментные системы аэробного обмена расположены в основном в митохондриях мышц. Механизм аэробного окисления питательных веществ носит название «окислительное фосфорилирование.

В качестве субстратов аэробного окисления используются глюкоза, высшие жирные кислоты, отдельные аминокислоты, кетоновые тела, молочная кислота и другие недоокисленные продукты метаболизма. Все эти вещества постепенно превращаются в единое вещество - ацетил-КоА, который далее окисляется в цикле лимонной кислоты до конечных продуктов СО2 и Н2О с участием многочисленных окислительных ферментов и вдыхаемого кислорода, доставляемого к тканям гемоглобином эритроцитов крови, а в скелетных мышцах - с участием кислорода, накапливаемого белком миоглобина. Энергия окисления накапливается в восстановленной форме переносчиков водорода НАДН2 и ФАДН2, которые передают высокоэнергетические электроны по дыхательной цепи на вдыхаемый кислород, а протоны водорода создают на мембране митохондрий протонный градиент, который является движущей силой для генерирования АТФ в процессе окислительного фосфорилирования. Когда разница протонного градиента достигает определенной величины (200 мВ), протоны движутся через мембрану митохондрий и взаимодействуют с кислородом с образованием Н2О.

При потреблении одинакового количества кислорода объем выполненной работы будет большим в том случае, если энергетическим субстратом будут углеводы, а не жиры. Углеводы являются более эффективным "топливом" по сравнению с жирами, так как на их окисление требуется на 12 % меньше кислорода в расчете на молекулу синтезированной АТФ. Поэтому в условиях недопоступления кислорода при физических нагрузках энергообразование происходит в первую очередь за счет окисления углеводов.

Поскольку запасы углеводов в организме ограничены, ограничена и возможность их использования в видах спорта, требующих проявления общей выносливости. После исчерпания запасов углеводов к энергообеспечению работы подключаются жиры, запасы которых позволяют выполнять очень длительную работу. Так, в марафонском беге за счет использования мышечного гликогена работа мышц продолжается в течение 80 мин. Часть АТФ может быть получена за счет мобилизации гликогена печени. Следовательно, за счет углеводов можно обеспечить энергией 75 % марафонской дистанции. Остальное количество энергии образуется за счет окисления жирных кислот. Учитывая, что жирные кислоты содержат большое количество энергии, весьма важно развивать способность организма спортсмена к более ранней их мобилизации для энергообеспечения работы. Для этого рекомендуется периодически использовать в тренировке аэробные нагрузки - бег на сверхдлинные дистанции (по 30-40 км и более).

В качестве субстрата окисления могут использоваться и белки-, которые распадаются на аминокислоты, способные превращаться в глюкоз или другие метаболиты аэробного процесса окисления. Однако вклад белков в образование энергии при мышечной деятельности составляет всего 5-10%.

Максимальная мощность аэробного механизма наименьшая и составляет 1,2 кДж∙кг-1∙мин-1 и в равной степени зависит от скорости поступлениия и скорости утилизации О2 в клетках. Мощность аэробного энергообразования оценивается по величине максимального потребления кислорода (МПК), достигнутого при выполнении мышечной работы. У спортсменов эта величина составляет в среднем 5,5-6 л∙мин-1, а у неспортсменов ‒ 2,5-3,5 л∙мин-1. Поскольку она отражает скорость потребления О2 в работающих мышцах, а на скелетные мышцы приходится большая часть активной массы тела, то в целях сравнения аэробных способностей разных людей величины МПК обычно выражают в расчете на 1 кг массы тела. У молодых людей, не занимающихся спортом, МПК составляет 40-45 мл∙кг-1∙мин-1 (800-1000 Дж∙кг-1∙мин-1), у спортсменов, занимающихся видами спорта на выносливость, ‒ 80-90 мл∙кг-1∙мин-1 (1600-1800 Дж∙кг-1∙мин-1).

Максимальная мощность аэробного процесса достигается на 2-3-й минуте неинтенсивной работы у спортсменов и на 4-5-й минуте ‒ у неспортсменов и может поддерживаться до 15-30-й минуты. В более длительных упражнениях она постепенно уменьшается. При марафонском беге средний уровень аэробной энергопродукции составляет 80-85 % максимальной аэробной мощности.

Наиболее интенсивно протекают процессы аэробного энергообразования в медленносокращающихся мышечных волокнах. Следовательно, чем выше процентное содержание таких волокон в мышцах, несущих основную нагрузку при выполнении упражнения, тем больше максимальная аэробная мощность у спортсменов и тем выше физическая работоспособность при продолжительной работе.

Метаболическая емкость аэробного механизма практически безгранична, поскольку имеются большие запасы энергетических источников, дающих большое количество ресинтезируемой АТФ. Так, при окислении 1 молекулы глюкозы в аэробных условиях образуется 38 молекул АТФ, тогда как в анаэробных - только 2 АТФ:


При окислении высших жирных кислот, например пальмитиновой, образуется еще больше энергии:


Эффективность энергообразования этого механизма также высокая и составляет около 50 %. Определяется она по порогу анаэробного обмена (ПАНО): у нетренированных людей ПАНО наступает при потреблении кислорода примерно 50 % от уровня VO2max, а у высокотренированных на выносливость - при 80-90 % МПК. Увеличение показателя ПАНО под влиянием специальной тренировки связано с повышением (адаптацией) возможностей кислородтранспортной системы, а также ферментативных, регуляторных и других систем.

Аэробный механизм энергообразования является основным при длительной работе большой и умеренной мощности: беге на дистанции 5000 и 10 000 м, марафонском беге на 25 000 м, велогонках, плавании на 800 и 1500 м, беге на коньках на 5000 и 10 000 м. Он является биохимической основой общей выносливости.

4. Дайте характеристику ведущего механизма энергообеспечения при работе максимальной мощности (длительность ее - 15 сек., химическая сущность, энергетические субстраты, продукты распада, показатели, биологическая роль)

Максимальную мощность и эффективность образования АТФ имеет креатинфосфокиназный механизм, который является алактатным анаэробным механизмом ресинтеза АТФ и включает использование имеющейся в мышцах АТФ и быстрый ее ресинтез за счет высокоэнергетического фосфогенного вещества - креатинфосфата, концентрация которого в мышцах в 3-4 раза выше по сравнению с АТФ.

Креатинфосфат локализован непосредственно на сократительных нитях миофибрилл и способен быстро вступать в реакцию перефосфорилирования с участием фермента креатинфосфокиназы (КФК) согласно уравнению


В скелетных мышцах человека КФК обладает высокой активностью, а КрФ и АДФ проявляют высокое химическое сродство друг к другу, что приводит к усилению этой реакции в самом начале мышечной работы, когда начинает расщепляться АТФ и накапливаться АДФ.

Максимальная мощность креатинфосфокиназной реакции развивается уже на 0,5-0,7-й секунде интенсивной работы, что свидетельствует о большой скорости развертывания, и поддерживается в течение 10-15 с у нетренированных, а у высокотренированных спринтеров может удерживаться 25-30 с.

Креатинфосфокиназный механизм первым включается в процесс ресинтеза АТФ в начале интенсивной мышечной работы и протекает с максимальной скоростью до тех пор, пока не исчерпаются запасы КрФ в мышцах. Эта реакция выполняет роль своеобразного "энергетического буфера", так как обеспечивает поддержание постоянства содержания АТФ в мышцах при резком ее использовании или избыточном накоплении АТФ в период отдыха. В последнем случае интенсивно протекает реакция перефосфорилирования между АТФ и свободным креатином, т.е. увеличивается скорость обратной креатинфосфокиназной реакции.

Максимальная мощность креатинфосфокиназной реакции составляет 3,8        кДж∙кг-1∙мин-1, что значительно выше мощности анаэробного гликолиза (в 1,5-2 раза) и аэробного процесса (в 3-4 раза). Общие запасы фосфогенов у нетренированных испытуемых обеспечивают образование энергии в количестве около 420 Дж∙кг-11 мышечной ткани, а у тренированных ‒ в 2 раза больше. Скорость расщепления КрФ в работающих мышцах находится в прямой зависимости от интенсивности выполняемого упражнения либо величины мышечного напряжения, а также активности фермента КФК.

Метаболическая емкость этого механизма невелика, так как запасы КрФ в мышцах превышают содержание АТФ всего в 3 раза (табл. 1). Следовательно, поддержание уровня АТФ за счет креатинфосфата ограничено его запасами, которые уже на 5-й секунде уменьшаются на 1/3, а на 15-й секунде ‒ наполовину. После этого скорость креатинфосфокиназной реакции уменьшается, а в ресинтез АТФ вовлекается гликолитический и окислительный механизмы.

Таблица 1 Запасы АТФ и КрФ в скелетных мышцах человека (в расчете на среднюю массу тела 70 кг)

Метаболиты

Концентрация в мышцах, ммоль∙кг-1 мышц

Общее содержание в организме, ммоль

Количество выделенной энергии, кДж∙кг-1

4-6

120-180

0,17-0,25

КрФ

15-16

450-510

0,63-0,71

Общие запасы фосфогенов (АТФ + КрФ)

19-23

570-690

0,80-0,96


Эффективность креатинфосфокиназной реакции очень высокая (76 %), так как реакция протекает непосредственно между двумя веществами на миофибриллах. Запасы КрФ зависят от содержания креатина в организме. Введение креатина в виде пищевых добавок приводит к увеличению запасов креатинфосфата в мышцах (от 84 до 91    ммоль∙кг-1 сухой мышечной ткани), а также к повышению физической работоспособности.

Содержание креатинфосфата в скелетных мышцах увеличивается в процессе адаптации организма к скоростным и силовым физическим нагрузкам в 1,5-2 раза, что влияет на емкость креатинфосфокиназного механизма энергообеспечения мышечной деятельности.

Креатинфосфокиназный путь ресинтеза АТФ играет решающую роль в энергообеспечении кратковременной работы максимальной интенсивности в течение 15-30 с, например бег на 100 м, плавание на короткие дистанции, прыжки, метания, тяжелоатлетические упражнения и т.п. Он обеспечивает возможность быстрого перехода от покоя к работе, внезапных изменений темпа по ходу ее выполнения, а также финишного ускорения. Функционирует креатинфосфокиназная система преимущественно в быстросокращающихся мышечных волокнах, поэтому составляет биохимическую основу скорости и локальной мышечной силы (выносливости).

. Норма сахара в крови. Как изменяется уровень глюкозы при выполнении работы различного характера (бег 100 м, 800 м и 30 000 м)?

Концентрация глюкозы в крови взрослого человека в норме поддерживается в пределах 4,4-6,0 ммоль∙л-1, или 80-120 мг% (в 100 мл крови) несмотря на значительные изменения ее потребления и поступления в течение дня. Постоянный уровень глюкозы в крови регулируется прежде всего печенью, которая может поглощать или выделять глюкозу в кровь в зависимости от ее концентрации в крови и в ответ на воздействие гормонов. Повышение глюкозы в крови после приема углеводной пищи активирует ферментативный процесс синтеза гликогена в печени, а понижение ее уровня усиливает распад гликогена в печени до глюкозы с последующим выделением ее в кровь.

Важную роль в регуляции постоянного содержания глюкозы в крови играют гормоны, главным образом инсулин и глюкагон, проявляющие взаимопротивоположное действие. Инсулин усиленно секретируется поджелудочной железой при повышении глюкозы в крови после приема пищи и стимулирует поступление глюкозы в скелетные мышцы, печень и жировую ткань, что активирует синтез гликогена или жира (в жировой ткани). Глюкагон усиленно выделяется при снижении глюкозы в крови и запускает процесс расщепления (мобилизации) гликогена в печени, выделение глюкозы в кровь. При уменьшении концентрации глюкозы в крови скелетные мышцы и печень в качестве источника энергии начинают использовать жирные кислоты. Это также вносит свой вклад в поддержание определенной концентрации глюкозы в крови.

При значительном поступлении углеводов с пищей или интенсивном распаде гликогена в печени уровень глюкозы в крови может превышать верхнюю границу нормы и достигать 10 ммоль∙л-1 и более, что характеризуется как состояние гипергликемии. Гипергликемия может возникать и при снижении использования глюкозы тканями, что наблюдается при тяжелом заболевании ‒ сахарном диабете. Связано это заболевание со снижением выработки гормона инсулина в поджелудочной железе (гипофункция), который усиливает проникновение глюкозы в ткани, либо с потерей чувствительности инсулиновых рецепторов к гормону. Временное повышение глюкозы в крови сразу после приема пищи, насыщенной углеводами, называется алиментарной, или пищевой гипергликемией. Через 2-3 ч после приема пищи содержание глюкозы в крови нормализуется. Состояние гипергликемии может наблюдаться у некоторых спортсменов перед стартом: оно улучшает выполнение кратковременных физических нагрузок, но ухудшает выполнение длительной работы. Повышение концентрации глюкозы в крови до 8,8-10 ммоль∙л-1 (почечный барьер для глюкозы) приводит к появлению ее в моче. Такое состояние называется глюкозурией.

Снижение уровня глюкозы в крови до 3 ммоль∙л-1 и ниже (гипогликемия) наблюдается очень редко, так как организм способен синтезировать глюкозу из аминокислот и жиров в процессе глюконеогенеза. Гипогликемия может возникнуть при истощении запасов гликогена в печени в результате напряженной длительной физической работы, например при марафонском беге, или длительном голодании. Снижение концентрации глюкозы в крови до 2 ммоль∙л-1 вызывает нарушение деятельности мозга, эритроцитов, почек, для которых глюкоза является главным энергетическим субстратом. При этом возможна потеря сознания - гипогликемический шок или даже смерть. Для предотвращения такого состояния в практике спорта используется дополнительное углеводное питание во время длительной физической работы.

Глюкоза крови в большей степени (около 70 %) используется тканями как энергетический источник и в меньшей степени (30 %) ‒ для пластических процессов. Более 5 % поступившей с пищей глюкозы депонируется печенью в процессе синтеза гликогена. При малоподвижном образе жизни и значительном потреблении углеводов с пищей до 40 % глюкозы превращается в жиры, в том числе в холестерин. Около 90 % глюкозы крови потребляет мозг, где глюкоза служит основным энергетическим субстратом. При мышечной деятельности, особенно при длительной работе, ее больше используют скелетные мышцы, в которых запас углеводных ресурсов истощается.

В состоянии покоя мышцы поглощают около 20 % общего количества глюкозы, поступившей в кровь, а при нагрузке мощностью 60 % МПК ‒ более 80 % глюкозы крови. Связано это с усилением ее доставки кровотоком, повышением скорости транспорта через мембраны мышц и утилизации мышцами. На степень потребления мышцами глюкозы крови влияет вид выполняемой нагрузки, уровень тренированности, питание, половые особенности, метаболическое состояние организма. Высокий уровень гликогена в мышцах, что характерно для высокотренированных спортсменов на выносливость, а также повышенное содержание свободных жирных кислот в крови снижают потребление мышцами глюкозы крови. Гипоксия стимулирует поступление глюкозы в скелетные мышцы. У женщин распад гликогена и окисление глюкозы при мышечной работе менее выражены, чем у мужчин.

При мышечной деятельности возрастает мобилизация глюкозы из печени, где она депонируется в виде гликогена. Гликоген распадается до глюкозы, которая выходит в кровь, что препятствует развитию гипогликемии. Выход глюкозы из печени в кровь усиливается в 2-3 раза при мышечной деятельности умеренной интенсивности и в 7-10 раз ‒ при напряженной работе. Высокий уровень глюкозы в крови благодаря гомеостатической функции печени при мышечной деятельности поддерживается до тех пор, пока в печени не исчерпается запас гликогена. За счет запасов гликогена печени мышцы могут выполнять работу большой мощности в течение 20-40 мин.

При напряженной мышечной работе запас гликогена в печени существенно уменьшается уже через 1-2 ч, что приводит к снижению уровня глюкозы в крови. С увеличением продолжительности работы определенный вклад в поддержание глюкозы крови вносит процесс глюконеогенеза.

В процессе глюконеогенеза, который активен в печени и почках, глюкоза синтезируется из аминокислот, глицерина, молочной и пировиноградной кислот, что предупреждает исчерпание гликогена в тканях. При этом вклад глюконеогенеза в поддержание глюкозы крови при кратковременной работе незначительный (10-20 %), а при продолжительной работе (в течение нескольких часов) возрастает до 50 % по отношению к общей глюкозе, образующейся в печени.

6. Утомление. Укажите причины развития утомления при беге на 1000м?

Основными причинами утомления при выполнении длительных упражнений большой и умеренной мощности становятся факторы, связанные со снижением уровня энергообеспечения работающих мышц (исчерпание внутримышечных запасов гликогена, накопление продуктов неполного окисления жиров, избыточное накопление NН3 и ИМФ, развитие гипогликемического состояния), а также нарушение электрохимического сопряжения в работающих мышцах и ухудшение деятельности ЦНС в условиях выраженной гипертермии, дегидратации и сдвига электролитного баланса организма. Таким образом, при выполнении длительных упражнений большой и умеренной мощности причины, приводящие к возникновению утомления, носят комплексный характер.

В большинстве случаев первичным звеном в развитии утомления при выполнении длительных упражнений большой и умеренной мощности являются изменения в объеме и характере внутримышечных энергетических субстратов. В широком диапазоне усилий при длительной работе (начиная от 25 % VO2 max и выше) значительная доля в ресинтезе АТФ приходится на окисление углеводов. Окисление жиров характерно только для упражнений, относительная мощность которых не превышает 50 % уровня VO2 max.

Рис. 4. Изменение концентрации глюкозы, жирных кислот и лактата в крови при выполнении длительных упражнений

Анаэробные источники энергии (КрФ и гликоген) оказывают заметное влияние на энергетику работы только в тех видах длительных упражнений, относительная мощность которых превышает значения лактатного и креатинфосфатного порогов, локализованных на уровне 60-75 % VO2 max. В связи с изменяющимся характером энергетического обеспечения при длительной работе изменяется и динамика основных биохимических показателей крови (рис. 4). Содержание глюкозы в крови в процессе выполнения длительной работы заметно снижается в случае, когда длительность упражнения превышает 90 мин. Содержание молочной кислоты и свободных жирных кислот в крови сохраняется на уровне покоя до тех пор, пока не будет достигнуто значительное исчерпание углеводных ресурсов организма. С этого момента содержание этих метаболитов в крови проявляет тенденцию к повышению.

Конкретные причины утомления при длительной работе могут быть обусловлены неспособностью работающих мышц поддерживать заданную скорость ресинтеза АТФ из-за снижения углеводных запасов, а также нарушениями в деятельности ЦНС из-за накопления аммиака и кетоновых тел в организме.

Таким образом, при выполнении любого упражнения можно выделить ведущие, наиболее нагружаемые звенья обмена веществ и функции систем организма, возможности которых и определяют способность спортсмена выполнять упражнения на требуемом уровне интенсивности и продолжительности. Это могут быть регуляторные системы (ЦНС, вегетативная нервная, нейрогуморальная), системы вегетативного обеспечения (дыхание, кровообращение, кровь) и исполнительная (двигательная) система.

Комплексный анализ проблемы утомления в спорте, проведенный физиологами, биохимиками, а также специалистами в области теории и методики спортивной тренировки (Я.М. Коц, Н.Н. Яковлев, В.Н. Волков, Н.И. Волков, В.Д. Моногаров, В.Н. Платонов и др.), убедительно показал, что утомление следует рассматривать как следствие выхода из строя какого-либо компонента в сложной системе органов и функций либо как нарушение взаимосвязи между ними. Ведущим звеном в развитии утомления может стать любой орган и его функция, если проявится несоответствие между уровнем физической нагрузки и имеющимися функциональными резервами. Поэтому первопричиной снижения работоспособности могут быть исчерпание энергетических резервов, тканевая гипоксия, снижение ферментативной активности под влиянием "рабочего" метаболизма тканей, нарушение целостности функциональных структур из-за недостаточности их пластического обеспечения, изменение гомеостаза, нарушение нервной и гормональной регуляции и др.

Выяснение механизмов утомления играет важную роль в практике спорта для обоснования узловых положений спортивной тренировки. В частности, утомление расценивается как фактор, стимулирующий мобилизацию функциональных ресурсов, определяющий границы оптимального объема тренирующих воздействий и обеспечивающий эффективность протекания адаптации, успешность соревновательной деятельности и профилактику переадаптации.

. Понятие - выполнение работы в «устойчивом состоянии» - приведите примеры

При переходе от состояния покоя к интенсивной мышечной деятельности потребность в кислороде возрастает во много раз, однако сразу она не может быть удовлетворена. Необходимо время, чтобы усилилась деятельность систем дыхания и кровообращения и чтобы кровь, обогащенная кислородом, могла дойти до работающих мышц. По мере усиления активности этих систем постепенно увеличивается потребление кислорода в работающих мышцах. Если при работе ЧСС превышает 150 уд∙мин-1, то скорость потребления О2 возрастает до тех пор, пока не наступит истинное устойчивое состояние метаболических процессов, при котором потребление О2 в данный момент времени точно соответствует потребности организма в нем. макроэргический белок аэробный глюкоза

Уровень потребления О2 в устойчивом состоянии зависит от мощности выполняемого упражнения (рис. 5). При интенсивной работе мощностью более 200 Вт (ЧСС 150-180 уд∙мин-1) устойчивое состояние не устанавливается и потребление О2 может возрастать до конца работы либо до достижения максимально возможного уровня. В последнем случае может наблюдаться "ложное устойчивое состояние", когда потребление О2 некоторое время (6-10 мин) поддерживается на максимальном уровне не потому, что потребность организма в кислороде полностью удовлетворяется, а потому, что исчерпаны возможности сердечнососудистой системы доставлять его к тканям. Эта система существенно ограничивает доставку О2 к мышцам.

Рис. 5. Потребление кислорода при выполнении упражнений различной интенсивности и продолжительности

Однако основным лимитирующим фактором на уровне мышечных волокон является способность митохондрий утилизировать кислород и способность окислительных ферментов использовать его в работающих мышцах. Максимальный уровень потребления О2 не может поддерживаться долго: во время длительной работы он снижается из-за утомления.

Количество кислорода, необходимое организму для полного удовлетворения энергетических потребностей за счет аэробных процессов, называется кислородным запросом работы. При интенсивной работе реальное потребление кислорода ‒ кислородный приход ‒ составляет только небольшую часть кислородного запроса. Разность между кислородным запросом работы и реально потребляемым кислородом составляет кислородный дефицит организма. В условиях кислородного дефицита активируются анаэробные реакции ресинтеза АТФ, что приводит к накоплению в организме недоокисленных продуктов анаэробного распада.

При работе в устойчивом состоянии часть анаэробных метаболитов может окисляться за счет усиления аэробных реакций в процессе работы, а другая их часть устраняется после работы. При работе, когда не устанавливается устойчивое состояние или при «ложном» устойчивом состоянии, количество недоокисленных продуктов постоянно увеличивается и устраняются они только в восстановительном периоде. Для восстановления энергетических источников и окисления недоокисленных продуктов требуется дополнительное количество кислорода, поэтому некоторое время после окончания работы потребление его продолжает оставаться повышенным по сравнению с уровнем покоя. Этот излишек кислородного потребления в период восстановления получил название "кислородный долг". Кислородный долг всегда больше кислородного дефицита, и чем больше интенсивность и продолжительность работы, тем значительнее это различие.

ЛИТЕРАТУРА

1.       Волков Н.И., Несен Э.Н., Осипенко А.А., Корсун С.Н. Биохимия мышечной деятельности. - М.: Олимпийский спорт, 2001.

2.       Мари Р., Греннер Д., Мейес П., Родуэлл В. Биохимия человека. Перевод с англ. - М.: Мир,1993.

.         Физиология человека. Косицкий К.И. - М.: Медицина, 1985.

.         Филиппович Ю.Б. Основы биохимии. Учеб. для хим. и биол. спец. пед. Ун-тов и ин-тов. - 4-е изд., переб. и доп. - М.: изд-во «Агар», 1999.

.         Яковлев Н.Н. Биохимия спорта. - М.: Физкультура и спорт, 1974.

.         Яковлев Н.Н. Химия движения. - Л.: Наука, 1983.

Похожие работы на - Биохимия спорта

 

Не нашли материал для своей работы?
Поможем написать уникальную работу
Без плагиата!
Без нейросетей!