Проектирование раскройного цеха
Содержание
Введение
.
Разработка ассортимента обуви
.
Проектирование раскройного цеха
.1
Описание ассортимента раскройного цеха
.2
Описание выборов материалов и определение чистых площадей деталей верха обуви
.3
Подбор и расчет комбинаций на раскрой кож для верха обуви и определение
количества раскройщиков
.4
Расчет потребности материалов
.5
Составление сменного задания раскройщикам
.6
Разработка технологии раскроя материалов и расчет рабочей силы и оборудования
на участке раскроя
.7
Разработка технологии обработки деталей верха обуви и расчет рабочей силы и
оборудования на участке обработки
Выводы
Литература
Введение
Обувь - изделие, предназначенное для
предохранения ног от внешних воздействий и несущее утилитарные и эстетические
функции.
Обувная промышленность является механизированной
отраслью, в ней применяются даже полуавтоматические машины. О состоянии
промышленности судят по величине производства продукции на душу населения.
Основная задача, которая стоит перед обувной
промышленностью, в целом, и перед каждым обувным предприятием, в частности -
это обеспечение населения высококачественной обувью, в полной мере
удовлетворяющей их потребности. С ростом материального благосостояния и
культурного уровня населения, в условиях насыщения рынка товарами требования к
ассортименту и качеству изделий повышаются.
Для решения этой задачи важным является научно
обоснованный выбор материалов для изделий и бесперебойное снабжение ими
предприятия в необходимом количестве. Исходя из этого, возникает необходимость
в расчете потребности применяемых материалов выпускаемого ассортимента и
разумного его использования, чему и посвящена данная курсовая работа.
Целями и задачами курсовой работы являются:
дальнейшее углубление, систематизация и
закрепление знаний, полученных при изучении курсов «Материаловедение изделий из
кожи», «Конструирование изделий из кожи» и раздела «Рациональное использование
материалов» курса «Технология изделий из кожи»;
развитие навыков, интереса и творческого подхода
к самостоятельному решению конкретных вопросов, что необходимо для формирования
высококвалифицированных специалистов, способных решать задачи, стоящие перед
промышленностью;
Поэтому при проведении данной курсовой работы
ставятся следующие задачи:
научиться пользоваться специальной научно-технической
литературой и критически осмысливать полученную информацию;
научиться анализировать и принимать обоснованное
решение, делать выводы и давать рекомендации по результатам работы.
1. Разработка ассортимента обуви
Производственная мощность специализированных
подготовительных цехов обувной фабрики определяется суммарной мощностью
сборочных потоков. Следует учитывать влияние видового и родового ассортимента
на использование материалов верха и низа обуви при раскрое.
Результаты разработки номенклатурных
характеристик ассортимента обуви сводим в таблицу 1.1.
Таблица 1.1
- Ассортимент фабрики
|
Вид
обуви
|
Назначение
|
Метод
крепления
|
Материалы
верха
|
Материалы
подошвы
|
Выпуск,
пар/см
|
|
1
|
2
|
3
|
4
|
5
|
6
|
|
1.
Ботинки женские
|
Для
повседневной носки
|
Клеевой
|
Полукожник
с полуанилиновой отделкой
|
КПР
|
700
|
|
2.
Сапожки женские утепленные с комбинированными голенищами
|
Для
носки в холодное время года
|
Клеевой
|
Полукожник
с полуанилиновой отделкой, винилуретанискожа-ТР
|
ТЭП
|
530
|
|
3.
Сапожки девичьи нарядные с комбинированными голенищами
|
Для
носки в осеннее-весенний период
|
Клеевой
|
Полукожник
с полуанилиновой отделкой, винилуретанискожа-ТР
|
КПР
|
650
|
|
4.
Ботинки школьные для девочек с комбинированными берцами
|
Для
носки в осеннее-весенний период
|
Клеевой
|
Полукожник
с полуанилиновой отделкой, винилуретанискожа-ТР
|
ТЭП
|
800
|
|
5.
Ботинки дошкольные нарядные
|
Для
носки в осеннее-весенний период года
|
Клеевой
|
Велюр
|
Резина
«Малыш»
|
600
|
|
6.
Сапожки дошкольные утепленные с комбинированными голенищами
|
Для
носки в холодное время года
|
Клеевой
|
Полукожник
с полуанилиновой отделкой, винилуретанискожа-ТР
|
ТЭП
|
700
|
|
7.
Ботинки дошкольные
|
Для
носки в осеннее-весенний период
|
Клеевой
|
Полукожник
с полуанилиновой отделкой
|
Резина
«Малыш»
|
700
|
. Ботинки женские повседневные (ρ=38%)
. Женские сапожки утепленные с комбинированными
голенищами(ρ=55%)
. Сапожки девичьи нарядные с комбинированными
голенищами(ρ=47%)
. Ботинки для школьников-девочек с
комбинированными берцами(ρ=58%)
. Ботинки дошкольные нарядные(ρ=30%)
. Сапожки дошкольные утепленные с
комбинированными голенищами (ρ=48%)
. Ботинки дошкольные(ρ=60%)
. Проектирование раскройного цеха
.1 Описание ассортимента раскройного цеха
Ботинки женские повседневные
Предназначены для повседневной носки, с
настрочными берцами. Обладает классическим силуэтом, в пяточной части
расположен фигурный задний наружный ремень, удерживается на стопе при помощи
шнурков. Каблук средний, с широкой набоечной поверхностью, очень устойчивый,
что имеет большое значение при повседневной носке. Для придания максимально
лучших гигиенических свойств, детали верха и подкладки выполнены из натуральных
материалов - кожи, межподкладка - из термобязи. Для придания лучшего внешнего
вида, верхний кант берцев обрабатывается в загибку, видимый нижний край и края
ЗНР - окрашиваются в цвет верха.
По заднему контуру берцы сострачиваются
переметочным швом, а для укрепления данного шва пристрачивается двойной
строчкой фигурный задний наружный ремень, союзка настрачивается на язычок одной
строчкой, берцы пристрачиваются к союзке по нижнему контуру двумя параллельными
строчками с выполнением П-образной закрепки.
Формуется на колодке обтяжно-затяжным способом.
Конструкции швов, примененные при сборке данной
модели представлены на рисунке 1.
Рисунок 1 - Конструкции швов, применительно для
женских ботинок: а - настрочной однорядный шов; б - настрочной двухрядный шов;
в - переметочный шов + ЗНР, пристроченный двумя строчками; г - вверх в загибку,
подкладка - в обрезку.
|
Таблица
2.1. - Паспорт на модель женских ботинок повседневных
|
|
Наименование
детали
|
Кол-во
деталей в комплекте
|
Материал
детали
|
Толщина
детали, мм
|
ГОСТ,
ТУ на материал
|
|
1
|
2
|
3
|
4
|
5
|
|
Наружные
детали верха
|
|
Союзка
|
2
|
Поукожник
с полуанилиной отделкой
|
1,2
|
ГОСТ
939-94
|
|
Задний
наружный ремень
|
2
|
Поукожник
с полуанилиной отделкой
|
1,2
|
ГОСТ
939-94
|
|
Внутренний
берец
|
2
|
Поукожник
с полуанилиной отделкой
|
1,2
|
ГОСТ
939-94
|
|
Наружный
берец
|
2
|
Поукожник
с полуанилиной отделкой
|
1,2
|
ГОСТ
939-94
|
|
Язычок
|
2
|
Поукожник
с полуанилиной отделкой
|
1,2
|
ГОСТ
939-94
|
|
Внутренние
детали верха
|
|
Подкладка
под союзку
|
2
|
Свиная
подкладочная кожа
|
0,9
|
ГОСТ
940-94
|
|
Подкладка
под наружный берец
|
2
|
Свиная
подкладочная кожа
|
0,9
|
ГОСТ
940-94
|
|
Подкладка
под внутренний берец
|
2
|
Свиная
подкладочная кожа
|
0,9
|
ГОСТ
940-94
|
|
Кожаный
карман
|
2
|
Свиная
подкладочная кожа
|
0,9
|
ГОСТ
940-94
|
|
Подкладка
под язычок
|
2
|
Свиная
подкладочная кожа
|
0,9
|
ГОСТ
940-94
|
|
Вкладная
стелька
|
2
|
Свиная
подкладочная кожа
|
0,9
|
ГОСТ
940-94
|
|
Промежуточные
детали верха
|
|
М/
подкладка под союзку
|
2
|
Термобязь
|
0,3
|
ГОСТ
19196-93
|
|
М/подкладка
под наружный берец
|
2
|
Термобязь
|
0,3
|
ГОСТ
19196-93
|
|
М/
подкладка под внутренний берец
|
2
|
Термобязь
|
0,3
|
ГОСТ
19196-93
|
Сапожки женские утепленные с комбинированными
голенищами
Предназначены для эксплуатации в холодное время
года.
Конструкция представляет собой сапожки с
вытяжной союзкой, комбинированными разрезными голенищами и отрезными задинками,
удерживаются на стопе при помощи застежки «молния». Вокруг голенища имеется
декоративный ремень с пряжкой. Каблук средний, широкий, удобный и практичный,
что и требуется в зимний период года.
Ответственные детали и менее ответственные (в
данном случае это союзка и задинки) выполняются из натуральной кожи, голенище и
декоративный ремень - из винилуретанискожи-ТР, из искусственной кожи так же
выполнена штаферка и клапан под застежку «молния», подкладка - искусственный
мех, кожаный карман - из свиной подкладочной кожи.
Задинка пристрачивается к голенищу двумя
параллельными строчками, по верхнему контуру голенище обрабатывается в загибку,
составные детали между собой - расстрочным швом, по переднему и заднему - тугим
тачным швом; союзка настрачивается двумя строчками; видимые края союзки и
задинки окрашиваются, декоративного ремня - обрабатываются в загибку; молния
пристрачивается к голенищу двумя параллельными строчками.
Формуется на колодке обтяжно-затяжным способом.
Конструкции швов, примененные при сборке данной
модели представлены на рисунке 2.
Рисунок 2 - Конструкции швов, применительно для
женских сапожек утепленных с комбинированными голенищами: а - настрочной
двухрядный шов; б - вверх в загибку, подкладка - в обрезку; в - тугой тачной
шов; г - расстрочной шов.
|
Таблица
2.2 - Паспорт на модель женских сапожек утепленных
|
|
Наименование
детали
|
Кол-во
деталей в комплекте
|
Материал
детали
|
Толщина
детали, мм
|
ГОСТ,
ТУ на материал
|
|
1
|
2
|
3
|
4
|
5
|
|
Наружные
детали верха
|
|
Вытяжная
союзка
|
2
|
Поукожник
с полуанилиной отделкой
|
1,2
|
ГОСТ
939-94
|
|
Наружная
задинка
|
2
|
Поукожник
с полуанилиной отделкой
|
1,2
|
ГОСТ
939-94
|
|
Внутренняя
задинка
|
2
|
Поукожник
с полуанилиной отделкой
|
1,2
|
ГОСТ
939-94
|
|
Передняя
часть наружного голенища
|
2
|
Уретанискожа-Т
|
1,2
|
ГОСТ
16119-70
|
|
Задняя
часть наружного голенища
|
2
|
Уретанискожа-Т
|
1,2
|
ГОСТ
16119-70
|
|
Передняя
часть внутреннего голенища
|
2
|
Уретанискожа-Т
|
1,2
|
ГОСТ
16119-70
|
|
Задняя
часть внутреннего голенища
|
2
|
Уретанискожа-Т
|
1,2
|
ГОСТ
16119-70
|
|
Штаферка
под наружное голенище
|
2
|
Уретанискожа-Т
|
1,2
|
ГОСТ
16119-70
|
|
Штаферка
под внутреннее голенище
|
2
|
Уретанискожа-Т
|
1,2
|
ГОСТ
16119-70
|
|
Клапан
|
2
|
Уретанискожа-Т
|
1,2
|
ГОСТ
16119-70
|
|
Декоративный
ремень
|
2
|
Уретанискожа-Т
|
1,2
|
ГОСТ
16119-70
|
|
Внутренние
детали верха
|
|
Подкладка
под союзку
|
2
|
Мех
искусственный
|
-
|
ТУ
17-09-87-82
|
|
Подкладка
под наружное голенище
|
2
|
Мех
искусственный
|
-
|
ТУ
17-09-87-82
|
|
Подкладка
под переднюю часть внутреннего голенища
|
2
|
Мех
искусственный
|
-
|
ТУ
17-09-87-82
|
|
Подкладка
под заднюю часть внутреннего голенища
|
2
|
Мех
искусственный
|
-
|
ТУ
17-09-87-82
|
|
Кожаный
карман
|
2
|
Свиная
подкладочная кожа
|
0,9
|
ГОСТ
940-94
|
|
Вкладная
стелька
|
2
|
Мех
искусственный
|
-
|
ТУ
17-09-87-82
|
|
Промежуточные
детали верха
|
|
М/
подкладка под союзку
|
2
|
Термобязь
|
0,3
|
ГОСТ
19196-93
|
|
М/
подкладка под наружную задинку
|
2
|
Термобязь
|
0,3
|
ГОСТ
19196-93
|
|
М/
подкладка под внутреннюю задинку
|
2
|
Термобязь
|
0,3
|
ГОСТ
19196-93
|
|
М/
подкладка под переднюю часть наружного голенища
|
2
|
Термобязь
|
0,3
|
ГОСТ
19196-93
|
|
М/
подкладка под заднюю часть наружного голенища
|
2
|
Термобязь
|
0,3
|
ГОСТ
19196-93
|
|
М/
подкладка под переднюю часть внутреннего голенища
|
2
|
Термобязь
|
0,3
|
ГОСТ
19196-93
|
|
М/
подкладка под заднюю часть внутреннего голенища
|
2
|
Термобязь
|
0,3
|
ГОСТ
19196-93
|
Сапожки девичьи нарядные с комбинированными
голенищами.
Предназначены для носки в осеннее - весенний
период. Имеют нарядный вид, что достигнуто с помощью применения в качестве
украшения декоративной вышивки, стразов и перфарации. На стопе удерживаются при
помощи шнуровки, расположенной по заднему контуру, что в свою очередь,
выполняет и декоративную роль. Во избежание травмирования голени, в области
шнуровки располагается язычок.
Данная конструкция заготовки представляет собой
сапожки с вытяжной союзной и отрезными задниками, со шнуровкой по заднему
контуру.
Каблук 3 см., широкий, устойчивый.
По переднему контуру голенище сострачивается
тугим точным швом, задний - по заднему контуру. На голенище задники и союзка
настрачиваются тремя строчками, одна из которых несет более декоративную роль
(передняя строчка), нежели функциональную. На детали союзки, задники и язычок
применяется натуральная кожа - полукожник с полуанилиновой отделкой; на детали
голенища подблочника и штаферки - ИК, уретанискожа-Т. На детали подкладки
применяется шерстяная байка; вкладная стелька и к/карман - из натуральной
свиной подкладочной кожи. На детали межподкладки применяется термобязь. По
верхнему и заднему контуру заготовки обрабатывается в обрезку с последующим
окрашиванием в цвет верха.
Формуется на колодке обтяжно-затяжным способом
а б в
Рисунок 3 - Конструкции швов, применительно для
девичьих сапожек нарядных с комбинированными голенищами: а - настрочной
трехрядный шов с перфорацией; б - вверх и подкладка - в обрезку; в - тугой
тачной шов.
|
Таблица
2.3 - Паспорт на модель девичьих сапожек нарядных
|
|
Наименование
детали
|
Кол-во
деталей в комплекте
|
Материал
детали
|
Толщина
детали, мм
|
ГОСТ,
ТУ на материал
|
|
1
|
2
|
3
|
5
|
|
Наружные
детали верха
|
|
Вытяжная
союзка
|
2
|
Поукожник
с полуанилиной отделкой
|
1,2
|
ГОСТ
939-94
|
|
Наружное
голенище
|
2
|
Уретанискожа-Т
|
1,2
|
ГОСТ
16119-70
|
|
Внутреннее
голенище
|
2
|
Уретанискожа-Т
|
1,2
|
ГОСТ
16119-70
|
|
Наружная
задинка
|
2
|
Поукожник
с полуанилиной отделкой
|
1,2
|
ГОСТ
939-94
|
|
Внутренняя
задинка
|
2
|
Поукожник
с полуанилиной отделкой
|
1,2
|
ГОСТ
939-94
|
|
Язычок
|
2
|
Уретанискожа-Т
|
1,2
|
ГОСТ
16119-70
|
|
Подблочник
|
4
|
Уретанискожа-Т
|
1,2
|
ГОСТ
16119-70
|
|
Штаферка
под наружное голенище
|
2
|
Уретанискожа-Т
|
1,2
|
ГОСТ
16119-70
|
|
Штаферка
под внутреннее голенище
|
2
|
Уретанискожа-Т
|
1,2
|
ГОСТ
16119-70
|
|
Внутренние
детали верха
|
|
Подкладка
под союзку
|
2
|
Байка
шерстяная
|
1,4
|
ГОСТ
292-98
|
|
Подкладка
под наружное голенище
|
2
|
Байка
шерстяная
|
1,4
|
ГОСТ
292-98
|
|
Подкладка
под внутреннее голенище
|
2
|
Байка
шерстяная
|
1,4
|
ГОСТ
292-98
|
|
Подкладка
под язычок
|
2
|
Свиная
подкладочная кожа
|
0,9
|
ГОСТ
940-94
|
|
Кожаный
карман
|
2
|
Свиная
подкладочная кожа
|
0,9
|
ГОСТ
940-94
|
|
Вкладная
стелька
|
2
|
Свиная
подкладочная кожа
|
0,9
|
ГОСТ
940-94
|
|
Промежуточные
детали верха
|
|
М/
подкладка под союзку
|
2
|
Термобязь
|
0,3
|
ГОСТ
19196-93
|
|
М/
подкладка под наружное голенище
|
2
|
Термобязь
|
0,3
|
ГОСТ
19196-93
|
|
М/
подкладка под внутреннее голенище
|
2
|
Термобязь
|
0,3
|
ГОСТ
19196-93
|
|
М/
подкладка под наружную задинку
|
2
|
Термобязь
|
0,3
|
ГОСТ
19196-93
|
|
М/
подкладка под внутреннюю задинку
|
2
|
Термобязь
|
0,3
|
ГОСТ
19196-93
|
Ботинки для школьников - девочек с
комбинированным берцами.
Предназначены для повседневной носки в осеннее -
весенний период. Удерживаются на стопе при помощи застежки «молния» в верхней
части овальной вставки.
Конструкция заготовки представляет собой ботинки
с овальной вставкой и отрезными задниками и застежкой «молния».
Собирается овальная вставка с берцами растречным
швом, задник на берцы настрачиваются двумя параллельными строчками, собирается
заготовка по заднему контуру тугим точным швом, по верхнему контуру - в обрезку
с последующим окрашиванием краской в цвет верха.
На детали союзки и задники применяется натуральная
кожа, на детали берц и клапана - ИК, уретанискожа - Т. На детали подкладки
применяется натуральная свиная подкладочная кожа, на детали межподкладки -
термобязь.
Формируется заготовка на подкладке обтяжно -
затяжным способом.
Рисунок 4 - Конструкции швов, применительно для
ботинок для школьников-девочек с комбинированными берцами: а - расстрочной шов;
б - вверх и подкладка - в обрезку; в - тугой тачной шов; в - настрочной
двухрядный шов
Таблица 2.4 - Паспорт на модель ботинок для
школьников-девочек
|
Наименование
детали
|
Кол-во
деталей в комплекте
|
Материал
детали
|
Толщина
детали, мм
|
ГОСТ,
ТУ на материал
|
|
1
|
2
|
3
|
4
|
5
|
|
Наружные
детали верха
|
|
Овальная
вставка
|
2
|
Поукожник
с полуанилиной отделкой
|
1,2
|
ГОСТ
939-94
|
|
Наружная
задинка
|
2
|
Поукожник
с полуанилиной отделкой
|
1,2
|
ГОСТ
939-94
|
|
Внутренняя
задинка
|
2
|
Поукожник
с полуанилиной отделкой
|
1,2
|
ГОСТ
939-94
|
|
Наружный
берец
|
2
|
Уретанискожа-Т
|
1,2
|
ГОСТ
16119-70
|
|
Внутренний
берец
|
2
|
Уретанискожа-Т
|
1,2
|
ГОСТ
16119-70
|
|
Клапан
|
2
|
Уретанискожа-Т
|
1,2
|
ГОСТ
16119-70
|
|
Внутренние
детали верха
|
|
Подкладка
под наружную часть союзки
|
2
|
Свиная
подкладочная кожа
|
0,9
|
ГОСТ
940-94
|
|
Подкладка
под внутреннюю часть союзки
|
2
|
Свиная
подкладочная кожа
|
0,9
|
ГОСТ
940-94
|
|
Подкладка
под наружный берец
|
2
|
Свиная
подкладочная кожа
|
0,9
|
ГОСТ
940-94
|
|
Подкладка
под внутренний берец
|
2
|
Свиная
подкладочная кожа
|
0,9
|
ГОСТ
940-94
|
|
Кожаный
карман
|
2
|
Свиная
подкладочная кожа
|
0,9
|
ГОСТ
940-94
|
|
Вкладная
стелька
|
2
|
Свиная
подкладочная кожа
|
0,9
|
ГОСТ
940-94
|
|
Промежуточные
детали верха
|
|
М/
подкладка под овальную вставку
|
2
|
Термобязь
|
0,3
|
ГОСТ
19196-93
|
|
М/
подкладка под наружную задинку
|
2
|
Термобязь
|
0,3
|
ГОСТ
19196-93
|
|
М/
подкладка под внутреннюю задинку
|
2
|
Термобязь
|
0,3
|
ГОСТ
19196-93
|
|
М/
подкладка под наружный берец
|
2
|
Термобязь
|
0,3
|
ГОСТ
19196-93
|
|
М/
подкладка под внутренний берец
|
2
|
Термобязь
|
0,3
|
ГОСТ
19196-93
|
Ботинки дошкольные нарядные.
Предназначены для носки в осеннее - весенний
период года, по торжественным случаям, например детский утренник, линейка и т
д.
Нарядный вид заготовке придается благодаря
декоративной вышивке в виде различных узоров на всех отрезных деталях.
Удерживается на стопе при помощи застежки «молния».
Данная конструкция заготовки представляет собой
ботинки с отрезным носком и настрочной союзкой на застежке «молния».
Союзка настрачивается на носок и берцы двумя
параллельными строчками, по переднему и заднему контуру берцы сострачиваются
тугим точным швом, межу собой задняя и передняя детали внутреннего берца
собираются настрочным швом в виде двух параллельных строчек. По верхнему
контуру заготовка обрабатывается в обрезку с последующим окрашиванием.
На детали верха применяется натуральная кожа -
велюр, на детали подкладки - натуральная свиная подкладочная кожа, на детали
межподкладки - термобязь.
Формируется заготовка на колодке обтяжно -
затяжным способом.
а б в
Рисунок 5 - Конструкции швов, применительно
длядошкольных ботинок нарядных: а - вверх и подкладка - в обрезку; б - тугой
тачной шов; в - настрочной двухрядный шов.
|
Таблица
2.5 - Паспорт на модель ботинок дошкольных нарядных
|
|
Наименование
детали
|
Кол-во
деталей в комплекте
|
Материал
детали
|
Толщина
детали, мм
|
ГОСТ,
ТУ на материал
|
|
1
|
2
|
3
|
4
|
5
|
|
Наружные
детали верха
|
|
Союзка
|
2
|
Велюр
|
1,2
|
ГОСТ
939-94
|
|
Носок
|
2
|
Велюр
|
1,2
|
ГОСТ
939-94
|
|
Наружный
берец
|
2
|
Велюр
|
1,2
|
ГОСТ
939-94
|
|
Передняя
часть внутреннего берца
|
2
|
Велюр
|
1,2
|
ГОСТ
939-94
|
|
Задняя
часть внутреннего берца
|
2
|
Велюр
|
1,2
|
ГОСТ
939-94
|
|
Клапан
|
2
|
Велюр
|
1,2
|
ГОСТ
939-94
|
|
Внутренние
детали верха
|
|
Подкладка
под союзку
|
2
|
Свиная
подкладочная кожа
|
0,9
|
ГОСТ
940-94
|
|
Подкладка
под наружный берец
|
2
|
Свиная
подкладочная кожа
|
0,9
|
ГОСТ
940-94
|
|
Подкладка
под переднюю часть внутреннего берца
|
2
|
Свиная
подкладочная кожа
|
0,9
|
ГОСТ
940-94
|
|
Подкладка
под заднюю часть внутреннего берца
|
2
|
Свиная
подкладочная кожа
|
0,9
|
ГОСТ
940-94
|
|
Кожаный
карман
|
2
|
Свиная
подкладочная кожа
|
0,9
|
ГОСТ
940-94
|
|
Вкладная
стелька
|
2
|
Свиная
подкладочная кожа
|
0,9
|
ГОСТ
940-94
|
|
Промежуточные
детали верха
|
|
М/
подкладка под носок
|
2
|
Термобязь
|
0,3
|
ГОСТ
19196-93
|
|
М/
подкладка под союзку
|
2
|
Термобязь
|
0,3
|
ГОСТ
19196-93
|
|
М/
подкладка под наружный берец
|
2
|
Термобязь
|
0,3
|
ГОСТ
19196-93
|
|
М/
подкладка под переднюю часть внутреннего берца
|
2
|
Термобязь
|
0,3
|
ГОСТ
19196-93
|
|
М/
подкладка под заднюю часть внутреннего берца
|
2
|
Термобязь
|
0,3
|
ГОСТ
19196-93
|
Сапожки дошкольные утепленные с комбинированными
голенищами.
Предназначены для носки в холодное время года,
не имеет специального закрепления на стопе.
Данная конструкция заготовки представляет собой
сапожки с настрочной союзкой и обрезными задниками, с разрезными деталями голенища.
На наружном голенище в его верхней части располагается в качестве декоративного
украшения брошка в виде улитки.
Между собой передняя и задняя детали наружного и
внутреннего голенища, а так же по переднему контуру сострачиваются растрочным
швом, по заднему контуру голенища - тугим точным швом. Союзка и задники
настрачиваются на голенище двумя параллельными строчками. По верхнему контуру
заготовка обрабатывается в обрезку с последующим окрашиванием.
На детали союзки, задники и заднюю часть
составного наружного и внутреннего голенищ применяется натуральная кожа -
полукожник с полуанилиновой отделкой, на детали передней части наружного и
внутреннего голенищ применяется ИК - уретонискожа - Т. На детали подкладки
применяется мех на трикотажной основе на к/карман - свиная подкладочная кожа;
на детали межподкладки - термобязь).
Формируется заготовка на подкладке обтяжно -
затяжным способом.
а б в г
Рисунок 6 - Конструкции швов, применительно для
сапожек дошкольных с комбинированными голенищами: а - расстрочной шов; б -
вверх и подкладка - в обрезку; в - тугой тачной шов; в - настрочной двухрядный
шов
Таблица 2.6 - Паспорт на модель сапожек
дошкольных утепленных
|
Наименование
детали
|
Кол-во
деталей в комплекте
|
Материал
детали
|
Толщина
детали, мм
|
ГОСТ,
ТУ на материал
|
|
1
|
2
|
3
|
4
|
5
|
|
Наружные
детали верха
|
|
Отрезная
союзка
|
2
|
Поукожник
с полуанилиной отделкой
|
1,2
|
ГОСТ
939-94
|
|
Наружная
задинка
|
2
|
Поукожник
с полуанилиной отделкой
|
1,2
|
|
Внутренняя
задинка
|
2
|
Поукожник
с полуанилиной отделкой
|
1,2
|
ГОСТ
939-94
|
|
Передняя
часть наружного голенища
|
2
|
Уретанискожа-Т
|
1,2
|
ГОСТ
16119-70
|
|
Задняя
часть наружного голенища
|
2
|
Поукожник
с полуанилиной отделкой
|
1,2
|
ГОСТ
939-94
|
|
Передняя
часть внутреннего голенища
|
2
|
Уретанискожа-Т
|
1,2
|
ГОСТ
16119-70
|
|
Задняя
часть внутреннего голенища
|
2
|
Поукожник
с полуанилиной отделкой
|
1,2
|
ГОСТ
939-94
|
|
Внутренние
детали верха
|
|
Подкладка
под союзку
|
2
|
Мех
искусственный
|
0,8
|
ТУ
17-09-87-82
|
|
Подкладка
под наружное голенище
|
2
|
Мех
искусственный
|
0,8
|
ТУ
17-09-87-82
|
|
Подкладка
под внутреннее голенище
|
2
|
Мех
искусственный
|
0,8
|
ТУ
17-09-87-82
|
|
ЗВР
|
2
|
Свиная
подкладочная кожа
|
0,9
|
ГОСТ
940-94
|
|
Вкладная
стелька
|
2
|
Мех
искусственный
|
0,8
|
ТУ
17-09-87-82
|
|
Промежуточные
детали верха
|
|
М/
подкладка под союзку
|
2
|
Термобязь
|
0,3
|
ГОСТ
19196-93
|
|
М/
подкладка под наружную задинку
|
2
|
Термобязь
|
0,3
|
ГОСТ
19196-93
|
|
М/
подкладка под внутреннюю задинку
|
2
|
Термобязь
|
0,3
|
ГОСТ
19196-93
|
|
М/
подкладка под переднюю часть наружного голенища
|
2
|
Термобязь
|
0,3
|
ГОСТ
19196-93
|
|
М/
подкладка под заднюю часть наружного голенища
|
2
|
Термобязь
|
0,3
|
ГОСТ
19196-93
|
|
М/
подкладка под переднюю часть внутреннего голенища
|
2
|
Термобязь
|
0,3
|
ГОСТ
19196-93
|
|
М/
подкладка под заднюю часть внутреннего голенища
|
2
|
Термобязь
|
0,3
|
ГОСТ
19196-93
|
Ботинки дошкольные.
Предназначены для повседневной носки в осеннее -
весенний период года. Удерживается на стопе при помощи затяжки «молния».
Конструкция заготовки представляет собой ботинки
с высокой вытяжной союзкой, уширенным фигурным задним наружным ремнем, на
застежке «молния».
Союзка и наружный 3НР настрачивается на берцы
двумя параллельными строчками, задняя и передняя части внутреннего берцы между
собой соединяются текже настрочным швом в виде двух параллельных строчек. Между
собой наружный берец и задняя часть внутреннего берца соединяются переметочными
швами. По верхнему канту заготовка загатовка обрабатывается в обрезку с
последующим окрашиванием в цвет верха.
На детали верха применятся натуральная кожа -
полукожник с полуанилиновой отделкой; на детали подкладки - свиная подкладочная
кожа; на детали межподкладки - термобязь.
Формируется заготовка на колодке обтяжно -
затяжным способом.
а б в
Рисунок 7 - Конструкции швов, применительно
длядошкольных ботинок нарядных: а - вверх и подкладка - в обрезку; б -
переметочный шов; в - настрочной двухрядный шов.
|
Таблица
2.7 - Паспорт на модель ботинок дошкольных
|
|
Наименование
детали
|
Кол-во
деталей в комплекте
|
Материал
детали
|
Толщина
детали, мм
|
ГОСТ,
ТУ на материал
|
|
1
|
2
|
3
|
4
|
5
|
|
Наружные
детали верха
|
|
Вытяжная
союзка
|
2
|
Поукожник
с полуанилиной отделкой
|
1,2
|
ГОСТ
939-94
|
|
Фигурный
ЗНР
|
2
|
Поукожник
с полуанилиной отделкой
|
1,2
|
ГОСТ
939-94
|
|
Наружный
берец
|
2
|
Поукожник
с полуанилиной отделкой
|
1,2
|
ГОСТ
939-94
|
|
Внутренний
берец
|
2
|
Поукожник
с полуанилиной отделкой
|
1,2
|
ГОСТ
939-94
|
|
Клапан
|
2
|
Поукожник
с полуанилиной отделкой
|
1,2
|
ГОСТ
939-94
|
|
Внутренние
детали верха
|
|
Подкладка
под союзку
|
2
|
Свиная
подкладочная кожа
|
0,9
|
ГОСТ
940-94
|
|
Подкладка
под наружный берец
|
2
|
Свиная
подкладочная кожа
|
0,9
|
ГОСТ
940-94
|
|
Подкладка
под переднюю часть внутреннего берца
|
2
|
Свиная
подкладочная кожа
|
0,9
|
ГОСТ
940-94
|
|
Подкладка
под заднюю часть внутреннего берца
|
2
|
Свиная
подкладочная кожа
|
0,9
|
ГОСТ
940-94
|
|
Задний
внутренний ремень
|
2
|
Свиная
подкладочная кожа
|
0,9
|
ГОСТ
940-94
|
|
Вкладная
стелька
|
2
|
Свиная
подкладочная кожа
|
0,9
|
ГОСТ
940-94
|
|
Промежуточные
детали верха
|
|
М/
подкладка под союзку
|
2
|
Термобязь
|
0,3
|
ГОСТ
19196-93
|
|
М/
подкладка под наружное голенище
|
2
|
Термобязь
|
0,3
|
ГОСТ
19196-93
|
|
М/
подкладка под переднюю часть внутреннего голенища
|
2
|
Термобязь
|
0,3
|
ГОСТ
19196-93
|
|
М/
подкладка под заднюю часть внутреннего голенища
|
2
|
Термобязь
|
0,3
|
ГОСТ
19196-93
|
2.2 Описание выбора материалов и определение
чистых площадей деталей верха обуви
В соответствии в ГОСТ 26167-2005 «Обувь
повседневная. Общие технические условия» на наружные детали верха женской обуви
могут применяться следующие материалы:
Перед голенище, союзка, берцы, носок, задинка,
наружный ремень, обтяжка, язычок, овальная вставка, окантовочная деталь:
Кожа для верха обуви по ГОСТ 939, ГОСТ 9705
(лаковая), ГОСТ 3717 (замша), ГОСТ 1838 (из спилка), эластичная, с волосяным
покровом, из бахтармяного спилка с полиуретановым покрытием, кожевенные куски
по техническим документам.
Юфть для верха обуви по ГОСТ 485 (сандальная).
Ткани по ГОСТ 19196, по техническим документам.
Дублированные материалы, нетканые материалы,
текстильный обувной материал с полимерной пропиткой, войлок, фетр по
техническим документам.
На внутренние детали верха:
Подкладка:
Кожа для подкладки обуви по ГОСТ 940, кожа для
верха обуви по ГОСТ 939, кожа из спилка для верха и подкладки обуви по ГОСТ
1838 (кроме кож покрывного крашения с казеиновым и акриловым покрытиями),
кожевенные куски по техническим документам.
Ткани для подкладки по ГОСТ 19196, по
техническим документам.
Байка по ГОСТ 29298, холстопрошивные полотна для
подкладки обуви по техническим документам.
Натуральный мех по ГОСТ4 661, искусственный мех
по техническим документам.
Трикотажное полотно, дублированное с
пенополиуретаном, нетканые, термопластические, дублированные материалы по
техническим документам.
Искусственные и синтетические кожи по
техническим документам.
Задний внутренний ремень, в том числе уширенный
в зимней и весеннее - осенней обуви по утвержденному образцу.
Кожа для верха обуви по ГОСТ 939. ГОСТ 9705
(паковая). ГОСТ 3717 (замша), ГОСТ 1838 (из спилка), эластичная, с волосяным
покровом, из бахтармяного спилка с полиуретановым покрытием, кожевенные куски
по техническим документам.
Кожа для подкладки обуви по ГОСТ 940, кожа из
спилка для подкладки обуви по ГОСТ 1836 (кроме кож покрывного крашения с
казеиновым и акриловым покрытиями).
Искусственные и синтетические кожи по технический
документам.
Вкладная и втачная стелька, полустелька,
подпяточник, подносочник.
Кожа для подкладки обуви по ГОСТ 940, кожа для
верха обуви по ГОСТ 939, кожа из спилка по ГОСТ 1838, по техническим
документам.
Кожа из воротков по техническим документам.
Шпальт кож для низа обуви.
Кожевенные куски по техническим документам.
Дублированные материалы по техническим
документам.
Хлопчатобумажные ткани по ГОСТ 19196, ткани по
ГОСТ 29298, по техническим документам.
Искусственная и синтетическая кожа по техническим
документам.
Вкладная стелька:
в зимней и осеннее - весенней обуви
Натуральный мех по ГОСТ4661, искусственный мех
по техническим документам.
Шпальт кож для низа обуви.
Нетканые материалы по техническим документам.
Шерстяные и полушерстяные ткани по ГОСТ 19196,
по техническим документам.
Войлок по техническим документам.
в осеннее - весенней обуви с кожаной подкладкой
Кожа по ГОСТ 940, кожа из спилка для подкладки
по ГОСТ 1838, по техническим документам.
Клапан под застежку «молния».
Кожа для верха обуви по ГОСТ 939, ГОСТ 9705
(лаковая), ГОСТ 3717 (замша), ГОСТ 1838 (из спилка), эластичная, с волосяным
покровом, из бахтармяного спилка с полиуретановым покрытием, кожевенные куски
по техническим документам.
Кожа для подкладки обуви по ГОСТ 940, кожа из спилка
для подкладки обуви по ГОСТ 1838 (кроме кож покрывного крашения с казеиновым и
акриловым покрытиями).
Искусственная и синтетическая кожа по
техническим документам.
Наименование материалов и обозначение
нормативных документов.
. Промежуточные детали верха
Боковинка, межподблочник, межподкрючочник
Хлопчатобумажные ткани по ГОСТ 19196.
Нетканые материалы по техническим документам.
Межподкладка.
Хлопчатобумажные ткани по ГОСТ 19196.
Нетканые материалы по техническим документам.
. Так как регионом сбыта продукции является
Дагестан, горная страна, с изменчивым и суровым климатом, то отдаем
предпочтение материалам, которые могут применяться для обуви эксплуатируемой в
осеннее - зимний период года. Поэтому для наружных и внутренних деталей женских
повседневных ботинок выбираем натуральную кожу, которая обеспечивает достаточно
высокие гигиенические свойства в условиях каждодневной эксплуатации. На детали
межподкладки выбираем термобязь, которая выгодна в технологическом, а также в
экономическом смысле, так как не требует дополнительных операций (намазки
клеем), удовлетворает по гигиеническим свойствам ( термоклеевое покрытие
является не сплошным, а точечным), значительно повышает производительность
труда, количество съема продукции с
производительной
площади.
. На детали верха женских сапожек применяется в
соответствии с ГОСТом натуральная кожа и искусственная. Натуральная -
полукожник с полуанилиновым покрытием; ИК - уретанискожа-Т, которая имеет
морозо - и теплостойкое покрытие (от
),
что имеет немаловажное значение для горной страны, в которой постоянно
происходят постоянные температурные изменения. На внутренние детали выбираем
искусственный мех на трикотажной основе, который имеет достаточные
теплозащитные свойства. экономически и технически выгоден, так как кроится в
несколько слоев, ежели натуральный, то есть значительно повышается
производительность труда. На к/карман применяется подкладочная свиная кожа,
которая обладает удовлетворительным сопротивлением к стиранию, что играет
важную роль в пяточной части обуви, в которой постоянно происходят процессы
трения, особенно во влажном состоянии).
На детали межподкладки применяется термобязь,
которая является экономически и технологически наиболее целесообразным
материалом.
В соответствии с ГОСТом 26165 - 2003 «Обувь
детская. Общие технические условия» на наружные детали верха могут применяться
следующие материалы:
Перед, голенище, союзка, берцы, носок, задинка,
наружный ремень, обтяжка, язычок, овальная вставка, прошва, окантовочная
деталь.
Кожа для верха обуви по ГОСТ 939, ГОСТ 9705
(лаковая), ГОСТ 3717 (замша), ГОСТ 1833 (из бахтармяного спилка), кожи
эластичные, с волосяным покровом, из бахтармяного спилка с полиуретановым
покрытием, куски кожевенные по техническим документам.
ГОСТ 485 (юфть сандальная).
Винилискожа-НТ обувная «Отдых» по ГОСТ 28143.
Искожа-НТ обувная с подкладкой, уретанискожа-Т
обувная, винилискожа-Т обувная, винилискожа-Т замшевая обувная,
винилуретанискожа-ТР обувная, кожа искусственная обувная дублированная, замша
искусственная обувная электростатического производства, материал дублированный
многослойный обувной, кораблинский шелк, дублированный с малимо и шотландкой,
полотно нетканое холстопрошивное обувное по техническим документам.
Синтетическая кожа обувная (марки 1, 2),
синтетическая кожа велюр по ГОСТ 28144, кожа синтетическая мягкая НТ,
синтетическая кожа МСК по техническим документам.
Искусственные кожи, дублированные поролоном
зарубежного производства.
Ткани хлопчатобумажные, шерстяные и
полушерстяные по ГОСТ 19196.
Нетканые и дублированные материалы, материал
текстильный обувной с полимерной пропиткой, обувной тонкошерстный войлок, фетр,
капроновая сетка, триплированные материалы (лицевой слой - трикотажное полотно
или ткань из искусственных волокон; подкладка - трикотажное полотно),
трикотажное полотно по техническим документам.
. Внутренние детали верха.
Подкладка.
Кожа для подкладки обуви по ГОСТ 940, ГОСТ 1838
(из бахтармяного спилка).
Подкладочная искусственная кожа «Кодру»,
амидоискожа НТ обувная
поддкладочная «Нистру» по техническим
документам.
Ткани хлопчатобумажные, шерстяные, полушерстяные
по ГОСТ 19196, байка по ГОСТ 29298.
Натуральный мех по ГОСТ 4661.
Искусственный мех по техническим документам.
Термопластические материалы, кожа синтетическая
подкладочная СК-4, эластоискожа-Т подкладочная по техническим документам.
Задний внутренний ремень, в том числе уширенный,
зимней и весеннее осенней обуви по утвержденному образцу
Кожа по 1 и 2.1 настоящего приложения.
Синтетическая и искусственная кожа по 1 и 2.1
настоящего приложения.
Вкладная и втачная стельки, полустельки,
подпяточник, подносочник, обтяжка стельки.
Кожа для подкладки обуви по ГОСТ 940, ГОСТ 1838
(из бахтармяного спилка), кожа для верха обуви по ГОСТ 939.
Шпальт кож для низа обуви.
Ткани хлопчатобумажные по ГОСТ 19196.
Кожа искусственная по ГОСТ 28143.
Уретанискожа-НТ обувная стелечная пористая,
винилискожа-ТР обувная стелечная пористая, винилискожа-ТР дублированная
натуральным материалом (хлопок + вискоза), подкладочная искусственная кожа
«Кодру», материал дублированный обувной для стелек, эластоискожа-НТ,
уретанискожа-НТ обувная (при наличии вкладной стельки из натуральной кожи) по
техническим документам.
Вкладная стелька:
в зимней и осеннее - весенней обуви
Натуральный мех по ГОСТ 4661.
Искусственный мех по техническим документам.
Нетканые материалы по техническим документам.
Байка по ГОСТ 29298.
Шерстяные и полушерстяные ткани по ГОСТ 19196.
Войлок по техническим документам.
в осеннее - весенней обуви с кожаной подкладкой.
Кожа для подкладки обуви по ГОСТ 940, кожа для
подкладки и верха обуви по ГОСТ 1838 (из бахтармяного спилка).
. В соответствии с данным ГОСТом на наружные
детали девичьих сапожек применяется натуральная кожа (полуножник с полуанилиновым
покрытием), уретонискожа - Т, обладающая стойкостью к большому диапазону
температур (от
). Так как данные
сапожки предназначены для эксплуатации в осенний период, то для подкладки и
вкладной стельки выбираем шерстяную байку, обладающую хорошими теплозащитными
свойствами, и карман - из натуральной свиной подкладочной кожи.
Для межподкладки применяется
высокотехнологический и экономически выгодный современный материал - термобязь,
обладающая необходимыми физико - механическими свойствами.
. В соответствии с требованиями ГОСТа на
наружные детали верха ботинок для школьников - девочек применяется натуральная
кожа (полукожник с полуанилиновым покрытием) и искусственная кожа -
уретанискожа -НТ. Данные материалы обладают необходимыми физико - механическими
и гигиеническими свойствами. На детали подкладки и вкладной стельки применяется
натуральная свиная подкладочная кожа, что обеспечивает высокие гигиенические
свойства обуви и имеет большое значение для детской обуви, эксплуатируемой
каждый день.
На детали межподкладки применяется современный
материал - термобязь, обладающий хорошими характеристиками.
. В соответствии с ГОСТом на детскую обувь, на
наружные детали ботинок дошкольных нарядных, выбираем велюр, обладающий
красивым внешним видом. На детали подкладки и вкладную стельку применяется
свиная натуральная подкладочная кожа барабанного крашения, которая обладает
хорошими гигиеническими свойствами, что играет очень важную роль в детской
обуви. На детали межподкладки применяется высокотехнологический материал -
термобязь, обладающая невысокой тягучестью, что в сочетании с велюром, который,
напротив, обладает повышенной тягучестью, образует необходимую систему
материалов.
Ботинки предназначены для эксплуатации в осеннее
- весенний период года.
. В соответствии с требованиями ГОСТа на детскую
обувь, на наружные детали верха сапожек дошкольных утепленных, применяем
натуральную кожу (полуножник с полуанилиновой отделкой) и искусственную
(уретанич-кожа - НТ). Данные материалы удовлетворяют требованиям, предъявляемые
к материалам, которые применяются для деталей верха обуви, эксплуатируемой в
зимнее время года. На детали подкладки и вкладной стельки выбираем материал,
обладающий хорошими темплозащитными свойствами - искусственный мех, 3ВР - из
свиной подкладочной кожи.
На детали межподкладки выбираем
высокотехнологический и обладающий хорошими характеристиками материал -
термобязь, удовлетворяющий необходимым требованиям.
. Соблюдая требования ГОСТа на детскую обувь, на
наружные детали дошкольных ботинок применяется натуральная кожа (полуножник с
полуанилиновой отделкой), на детскую подкладку и вкладные стельки - свиная
подкладочная кожа барабанного крашения, что обеспечивает высокие гигиенические
свойства и является одним из главных требований при производстве детской обуви.
На детали межподкладки применяется термобязь,
которая является широко распространенным материалом в области производства
обуви, удовлетворяющей экономические и технологические требования и запросы.
.2.1. Определение чистой площади комплекта
деталей верха.
В соответствии с отраслевыми нормами
использования произведем корректировку площади комплекта деталей
средневзвешенного размера для заданного региона сбыта продукции, которым
является Дагестан.
. Ботинки женские повседневные, средневзвешенный
размер для региона сбыта - 240 - корректировка не требуется.
. Женские сапожки утепленные, средневзвешенный
размер для региона сбыта - 245, по отраслевым нормам - 240, поэтому требуется
корректировка, которая составляет 3,2% при переходе от размера к размеру:
Наружные детали:
Внутренние детали:
Промежуточные детали:
. Сапожки девичьи нарядные: средневзвешенный
размер - 235, корректировка не требуется.
. Школьная для девочек: средневзвешенный размер
- 215, корректировка не требуется.
. Ботинки дошкольные нарядные (II
подгруппы): средневзвешенный размер - 125, корректировки не требует.
. Сапожки дошкольные утепленные - 185.
. Ботинки дошкольные - 185. Корректировка не
требуется.
Значение чистых площадей верха приведены в
таблице 2.2.
|
Таблица
2.2.1 - Значения средневзвешенных размеров и чистых площадей деталей верха
|
|
№
п/п
|
Вид
и род обуви
|
Размер
|
Ростовочный
ассортимент
|
Средневзвешенный
размер
|
Наименование
детали
|
Чистая
площадь детали средневзвешенного размера на пару, в дм2
|
|
1
|
2
|
3
|
4
|
5
|
6
|
7
|
|
1.
|
Ботинки
женские
|
215
220 225 230 235 240 245 250 255 260 265 270
|
1,0
2,5 6,0 10,5 15,5 18,0 17,0 13,0 8,0 4,0 3,5 1,0
|
240
|
Наружные
детали верха
|
|
|
|
|
|
Союзка
(2)
|
5,8
|
|
|
|
|
|
Задний
наружный ремень (2)
|
0,8
|
|
|
|
|
|
Внутренний
берец (2)
|
5,18
|
|
|
|
|
|
Наружный
берец (2)
|
5,14
|
|
|
|
|
|
Язычок
(2)
|
0,6
17,5
|
|
|
|
|
|
Внутренние
детали верха
|
|
|
|
|
|
Подкладка
под союзку (2)
|
5,7
|
|
|
|
|
|
Подкладка
под наружный берец(2)
|
3,8
|
|
|
|
|
|
Подкладка
под внутренний берец (2)
|
3,8
|
|
|
|
|
|
Кожаный
карман (2)
|
2,2
|
|
|
|
|
|
Подкладка
под язычок (2)
|
0,605
|
|
|
|
|
|
Вкладная
стелька (2)
|
2,82
18,9
|
|
|
|
|
|
Промежуточные
детали верха
|
|
|
|
|
|
М/
подкладка под союзку (2)
|
5,6
|
|
|
|
|
|
М/подкладка
под наружный берец (2)
|
5,13
|
|
|
|
|
|
М/
подкладка под внутренний берец (2)
|
5,17
15,9
|
|
2.
|
Женские
сапожки утепленные с комбинированными голенищами
|
1,0
2,5 6,0 10,5 15,5 18,0 17,0 13,0 8,0 4,0 3,5 1,0
|
245
|
Наружные
детали верха
|
|
|
|
|
|
Вытяжная
союзка (2)
|
6,4
|
|
|
|
|
|
Наружная
задинка (2)
|
2,7
|
|
|
|
|
|
Внутренняя
задинка (2)
|
2,5
|
|
|
|
|
|
Передняя
часть наружного голенища (2)
|
3,44
|
|
|
|
|
|
Задняя
часть наружного голенища (2)
|
3,4
|
|
|
|
|
|
Передняя
часть внутреннего голенища (2)
|
3,48
|
|
|
|
|
|
Задняя
часть внутреннего голенища (2)
|
3,4
|
|
|
|
|
|
Штаферка
под наружное голенище (2)
|
0,8
|
|
|
|
|
|
Штаферка
под внутреннее голенище (2)
|
0,8
|
|
|
|
|
|
Клапан
(2)
|
1,4
|
|
|
|
|
|
Декоративный
ремень (2)
|
1,88
30,2
|
|
|
|
|
|
Внутренние
детали верха
|
|
|
|
|
|
Подкладка
под союзку (2)
|
6,2
|
|
|
|
|
|
Подкладка
под наружное голенище (2)
|
5,8
|
|
|
|
|
|
Подкладка
под переднюю часть внутреннего голенища (2)
|
3,0
|
|
|
|
|
|
Подкладка
под заднюю часть внутреннего голенища (2)
|
3,0
|
|
|
|
|
|
Кожаный
карман (2)
|
2,6
|
|
|
|
|
|
Вкладная
стелька (2)
|
2,92
23,52
|
|
|
|
|
|
Промежуточные
детали верха
|
|
|
|
|
|
М/
подкладка под союзку (2)
|
6,2
|
|
|
|
|
|
М/
подкладка под наружную задинку (2)
|
2,8
|
|
|
|
|
|
М/
подкладка под внутреннюю задинку (2)
|
1,6
|
|
|
|
|
|
М/
подкладка под переднюю часть наружного голенища (2)
|
1,84
|
|
|
|
|
|
М/
подкладка под заднюю часть наружного голенища (2)
|
1,82
|
|
|
|
|
|
М/
подкладка под переднюю часть внутреннего голенища (2)
|
1,84
|
|
|
|
|
|
М/
подкладка под заднюю часть внутреннего голенища (2)
|
1,82
17,92
|
|
3.
|
Девичьи
сапожки нарядные с комбинированными голенищами
|
230
235 240
|
30,5
34,5 35,0
|
235
|
Наружные
детали верха
|
|
|
|
|
|
Вытяжная
союзка (2)
|
5,6
|
|
|
|
|
|
Наружное
голенище (2)
|
4,0
|
|
|
|
|
|
Внутреннее
голенище (2)
|
4,0
|
|
|
|
|
|
Наружная
задинка (2) Внутренняя задинка (2)
|
1,46
1,46
|
|
|
|
|
|
Язычок
(2)
|
3,3
|
|
|
|
|
|
Подблочник
(4)
|
0,8
|
|
|
|
|
|
Штаферка
под наружное голенище (2)
|
0,4
|
|
|
|
|
|
Штаферка
под внутреннее голенище (2)
|
0,4
21,42
|
|
|
|
|
|
Внутренние
детали верха
|
|
|
|
|
|
Подкладка
под союзку (2)
|
5,4
|
|
|
|
|
|
Подкладка
под наружное голенище (2)
|
5,36
|
|
|
|
|
|
Подкладка
под внутреннее голенище (2)
|
5,36
|
|
|
|
|
|
Подкладка
под язычок (2)
|
3,25
|
|
|
|
|
|
Кожаный
карман (2)
|
2,5
|
|
|
|
|
|
Вкладная
стелька (2)
|
2,7
24,57
|
|
|
|
|
|
Промежуточные
детали верха
|
|
|
|
|
|
М/
подкладка под союзку (2)
|
5,4
|
|
|
|
|
|
М/
подкладка под наружное голенище (2)
|
3,8
|
|
|
|
|
|
М/
подкладка под внутреннее голенище (2)
|
3,8
|
|
|
|
|
|
М/
подкладка под наружную задинку (2)
|
1,45
|
|
|
|
|
|
М/
подкладка под внутреннюю задинку (2)
|
1,45
15,9
|
|
4.
|
Ботинки
для школьников-девочек
|
205
210 215 220 225
|
14,0
16,5 19,5 23,0 27,0
|
215
|
Наружные
детали верха
|
|
|
|
|
|
Овальная
вставка (2)
|
4,2
|
|
|
|
|
|
Наружная
задинка (2)
|
1,6
|
|
|
|
|
|
Внутренняя
задинка (2)
|
1,5
|
|
|
|
|
|
Наружный
берец (2)
|
3,62
|
|
|
|
|
|
Внутренний
берец (2)
|
3,6
|
|
|
|
|
|
Клапан
(2)
|
0,04
14,56
|
|
|
|
|
|
Внутренние
детали верха
|
|
|
|
|
|
Подкладка
под наружную часть союзки (2)
|
2,2
|
|
|
|
|
|
Подкладка
под внутреннюю часть союзки (2)
|
2,2
|
|
|
|
|
|
Подкладка
под наружный берец (2)
|
2,63
|
|
|
|
|
|
Подкладка
под внутренний берец (2)
|
2,63
|
|
|
|
|
|
Кожаный
карман (2)
|
2,1
|
|
|
|
|
|
Вкладная
стелька (2)
|
2,32
14,08
|
|
|
|
|
|
Промежуточные
детали верха
|
|
|
|
|
|
М/
подкладка под овальную вставку (2)
|
4,0
|
|
|
|
|
|
М/
подкладка под наружную задинку (2)
|
1,5
|
|
|
|
|
|
М/
подкладка под внутреннюю задинку (2)
|
1,4
|
|
|
|
|
|
М/
подкладка под наружный берец (2)
|
3,61
|
|
|
|
|
|
М/
подкладка под внутренний берец (2)
|
3,61
14,1
|
|
5.
|
Ботинки
дошкольные нарядные
|
170
175 180 185 190 195 200
|
15,5
15,0 15,0 14,5 13,5 13,0 13,5
|
185
|
Наружные
детали верха
|
|
|
|
|
|
Союзка
(2)
|
2,28
|
|
|
|
|
|
Носок
(2)
|
0,8
|
|
|
|
|
|
Наружный
берец (2)
|
3,8
|
|
|
|
|
|
Передняя
часть внутреннего берца (2)
|
1,7
|
|
|
|
|
|
Задняя
часть внутреннего
|
1,6
|
|
|
|
|
|
берца
(2)
|
|
|
|
|
|
|
Клапан
(2)
|
0,2
10,4
|
|
|
|
|
|
Внутренние
детали верха
|
|
|
|
|
|
Подкладка
под союзку (2)
|
3,0
|
|
|
|
|
|
Подкладка
под наружный берец (2)
|
3,0
|
|
|
|
|
|
Подкладка
под переднюю часть внутреннего берца (2)
|
1,2
|
|
|
|
|
|
Подкладка
под заднюю часть внутреннего берца (2)
|
1,2
|
|
|
|
|
|
Кожаный
карман (2)
|
1,0
|
|
|
|
|
|
Вкладная
стелька (2)
|
1,93
11,33
|
|
|
|
|
|
Промежуточные
детали верха
|
|
|
|
|
|
М/
подкладка под носок (2)
|
0,75
|
|
|
|
|
|
М/
подкладка под союзку (2)
|
2,27
|
|
|
|
|
|
М/
подкладка под наружный берец (2)
|
3,7
|
|
|
|
|
|
М/
подкладка под переднюю часть внутреннего берца (2)
|
1,65
|
|
|
|
|
|
М/
подкладка под заднюю часть внутреннего берца (2)
|
1,56
9,93
|
|
6.
|
Сапожки
дошкольные с комбинированными голенищами
|
170
175 180 185 190 195 200
|
15,5
15,0 15,0 14,5 13,5 13,0 13,5
|
185
|
Наружные
детали верха
|
|
|
|
|
|
Отрезная
союзка (2)
|
4,6
|
|
|
|
|
|
Наружная
задинка (2)
|
1,2
|
|
|
|
|
|
Внутренняя
задинка (2)
|
1,2
|
|
|
|
|
|
Передняя
часть наружного голенища (2)
|
2,26
|
|
|
|
|
|
Задняя
часть наружного голенища (2)
|
1,3
|
|
|
|
|
|
Передняя
часть внутреннего голенища (2)
|
2,26
|
|
|
|
|
|
Задняя
часть внутреннего голенища (2)
|
1,3
14,12
|
|
|
|
|
|
Внутренние
детали верха
|
|
|
|
|
|
Подкладка
под союзку (2)
|
4,4
|
|
|
|
|
|
Подкладка
под наружное голенище (2)
|
4,15
|
|
|
|
|
|
Подкладка
под внутреннее голенище (2)
|
4,15
|
|
|
|
|
|
ЗВР
(2)
|
1,0
|
|
|
|
|
|
Вкладная
стелька (2)
|
1,9
15,6
|
|
|
|
|
|
Промежуточные
детали верха
|
|
|
|
|
|
М/
подкладка под союзку (2)
|
4,4
|
|
|
|
|
|
М/
подкладка под наружную задинку (2)
|
1.1
|
|
|
|
|
|
М/
подкладка под внутреннюю задинку (2)
|
1,1
|
|
|
|
|
|
М/
подкладка под переднюю часть наружного голенища (2)
|
2,16
|
|
|
|
|
|
М/
подкладка под заднюю часть наружного голенища (2)
|
1,22
|
|
|
|
|
|
М/
подкладка под переднюю часть внутреннего голенища (2)
|
2,16
|
|
|
|
|
|
М/
подкладка под заднюю часть внутреннего голенища (2)
|
1,22
13,36
|
|
7.
|
Ботинки
дошкольные
|
170
175 180 185 190 195 200
|
15,5
15,0 15,0 14,5 13,5 13,0 13,5
|
185
|
Наружные
детали верха
|
|
|
|
|
|
Вытяжная
союзка (2)
|
4,58
|
|
|
|
|
|
Фигурный
ЗНР (2)
|
1,66
|
|
|
|
|
|
Наружный
берец (2)
|
2,08
|
|
|
|
|
|
Внутренний
берец (2)
|
2,08
|
|
|
|
|
|
Клапан
(2)
|
0,02
10,4
|
|
|
|
|
|
Внутренние
детали верха
|
|
|
|
|
|
Подкладка
под союзку (2)
|
4,4
|
|
|
|
|
|
Подкладка
под наружный берец (2)
|
1,25
|
|
|
|
|
|
Подкладка
под переднюю часть внутреннего берца (2)
|
0,65
|
|
|
|
|
|
Подкладка
под заднюю часть внутреннего берца (2)
|
0,6
|
|
|
|
|
|
Задний
внутренний ремень (2)
|
1,4
|
|
|
|
|
|
Вкладная
стелька (2)
|
1,9
10,2
|
|
|
|
|
|
Промежуточные
детали верха
|
|
|
|
|
|
М/
подкладка под союзку (2)
|
4,5
|
|
|
|
|
|
М/
подкладка под наружное голенище (2)
|
1,96
|
|
|
|
|
|
М/
подкладка под переднюю часть внутреннего голенища (2)
|
0,99
|
|
|
|
|
|
М/
подкладка под заднюю часть внутреннего голенища (2)
|
0,97
8,42
|
2.3 Подбор и расчет комбинаций на раскрой кожи
верха обуви и определение количества раскройщиков
Чтобы правильно подобрать модели для
комбинированного раскроя, необходимо рассчитать долю ответственных деталей. для
этого мы воспользуемся площадью деталей комплекта (таблица 2.2.1.) и следующей
формулой:
где
-
доля ответственных деталей;
- площадь
ответственной детали;
- площадь
комплекта.
. Ботинки женские повседневные:
где 5,8
-
площадь союзок; 0,8
- площадь 3НР.
. Женские сапожки утепленные с комбинированным
голенищем:
где 6,4
- площадь союзки; 11,6
- площадь кожаных
деталей комплекта.
. Девичьи сапожки нарядные:
где 5,6
- площадь союзки; 11,82
- площадь кожаных
деталей комплекта.
. Ботинки для школьников девочек с
комбинированными берцами:
где 4,2
- площадь союзки; 7,3
- площадь кожаных
деталей комплекта.
. Ботинки дошкольные нарядные.
где 2,28
- площадь союзки; 0,8
- площадь носков.
. Сапожки дошкольные с комбинированными
голенищами:
где 4,6
- площадь союзки; 9,6
- площадь кожаных
деталей комплекта.
. Ботинки дошкольные:
где 4,50
- площадь вытяжной союзки; 1,66
- фигурный 3НР.
Площади ответственных и менее ответственных
деталей комплекта верха и удельное значение доли ответственных деталей приводим
в виде таблицы 2.2.2
Таблица 2.2.2 - Значение соотношения ответственных
деталей верха обуви
|
№
п/п
|
Вид
и род обуви
|
Площадь
менее ответственных деталей на пару, дм2
|
Площадь
ответственных деталей на пару, дм2
|
Площадь
деталей комплекта на пару, дм2
|
Процентное
соотношение ответственных деталей в комплекте, %
|
|
1
|
2
|
3
|
4
|
5
|
6
|
|
1.
|
Женские
ботинки
|
10,9
|
6,6
|
17,5
|
38
|
|
2.
|
Женские
сапожки с комбинированными голенищами
|
23,2
|
7,0
|
30,2
|
55
|
|
3.
|
Сапожки
девичьи нарядные с комбинированными голенищами
|
15,82
|
5,6
|
21,42
|
47
|
|
4.
|
Ботинки
для школьников-девочек с комбинированными берцами
|
10,36
|
4,2
|
14,56
|
58
|
|
5.
|
Ботинки
дошкольные нарядные
|
7,41
|
3,08
|
10,49
|
30
|
|
6.
|
Сапожки
дошкольные утепленные с комбинированными голенищами
|
9,52
|
4,6
|
14,12
|
48
|
|
7.
|
Ботинки
дошкольные
|
4,16
|
6,24
|
10,4
|
60
|
На основании данных таблицы 2.2.2 производим
подбор комбинации и расчет соотношения отдельных видов края в комбинации по
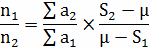
формуле Б.Л. Елен:
;
- удельная площадь
отечественных деталей соответственно в первом и втором комплекте обуви;
и
- площадь, дм2, одного комплекта деталей первого и второго видов обуви;
Комбинация 1.
· женские повседневные ботинки (1)
(см.з.=200)
.
· ботинки для школьников девочек с
комбинированным верхом (2) (см.з.=800)
.
;
- удельная площадь
ответственных деталей соответственно в первом и втором комплекте обуви
= 17,5
=7,3
=0,38
=0,58
=150 пар (женские
ботинки)
=210 пар
(школьников - девочек)
.
.
Рассчитаем количество раскройщиков:
- женские ботинки
- ботинки для
школьников - девочек (комбинированный верх).
(190 х 10%=19,8=20 пар).
пар - 40 пар х 5 чел.=500 пар - необходимо
докроить, т.е. необходима дополнительная комбинация.
.
Расчетное количество раскройщиков = 5 человек.
.
Комбинация 2.
· женские повседневные ботинки (1)
(см.з.=500)
.
· ботинки для школьников девочек с
комбинированным верхом (2) (см.з.=700)
.
Составляем комбинацию:
=0,38
=0,6
. женские ботинки
. ботинки
дошкольные
.
.
Рассчитаем количество раскройщиков:
- женские ботинки
- дошкольные
ботинки.
пар - необходимо
докроить, т.е. необходима дополнительная комбинация.
Берем 1 дополнительного раскройщика на эти 168
пар с НВ=150пар
.
Расчетное количество раскройщиков = 4 чел. + 1
дополнительный.
Всего 5 человек.
.
Комбинация 3.
· девичьи нарядные сапожки с
комбинированными голенищами (см.з.=650)
.
· женские осенние сапожки с
комбинированными голенищами (см.з.=530)
.
Составляем комбинацию:
= 11,82
=11,6
0,47 (девичьи)
=0,55 (женские)
=200 пар (девичьи)
=190 пар (женские)
.
.
Рассчитаем количество раскройщиков
- 66 х 5 =200 пар - необходимо докроить женские
сапожки, т.е. необходима дополнительная комбинация.
Выводим дополнительную комбинацию.
Расчетное количество раскройщиков = 5 человек.
.
.
Комбинация 4.
· дошкольные сапожки утепленные с
комбинированными голенищами (см.з.=700)
.
· женские осенние сапожки с
комбинированными голенищами (см.з.=185)
.
Составляем комбинацию:
= 12,8
=12,8
0,48
=0,55
=245 пар
(дошкольные сапожки)
=190 пар (женские
сапожки)
.
.
Рассчитаем количество раскройщиков
- 151 х 3 =247 пар - необходимо докроить,
поэтому берем 1 дополнительного раскройщика с
пар
(дошкольные сапожки),
.
Расчетное количество раскройщиков = 3 чел. + 1
доп. всего 4 человека.
.
· Дошкольные нарядные осенние ботинки
кроим без комбинации (велюр).
НВ = 300 пар.
Поэтому берем 2 человека.
.
Расчетное количество раскройщиков = 2 человека.
Результаты расчетов заносим в таблицу 2.2.3
Таблица 2.2.3 - Расчет количества раскройщиков
на раскрой кож для верха обуви
|
Комбинации
с указанием вида, рода обуви
|
Количество
пар обуви, раскраиваемой в комбинации, пар
|
Норма
выработки, отраслевая, пар за 8 час.
|
Соотношение
n1:n2
|
Норма
выработки в комбинации, пар
|
Норма
выработки в комбинации, пар
|
Расчетное
количество раскройщиков
|
Принятое
количество раскройщиков для раскроя комбинации
|
|
1
вид обуви
|
2
вид обуви
|
1
вид обуви
|
2
вид обуви
|
|
|
1
вид обуви
|
2
вид обуви
|
1
вид обуви
|
2
вид обуви
|
|
|
1
|
2
|
3
|
4
|
5
|
6
|
7
|
8
|
9
|
10
|
11
|
12
|
|
1. Женские ботинки
|
200
|
|
150
|
|
1:4
|
200
|
40
|
|
18
|
|
5
|
|
2.
Ботинки для школьников-девочек с комбинированными берцами
|
|
800
|
|
210
|
|
|
|
160
|
|
5
|
|
|
1.
Женские ботинки
|
500
|
|
150
|
|
1:2
|
258
|
83
|
|
6
|
|
5
|
|
2.
Ботинки дошкольные
|
|
700
|
|
300
|
|
|
|
175
|
|
4
|
|
|
1.
Девичьи сапожки нарядные с комбинированными голенищами
|
650
|
|
200
|
|
2:1
|
196
|
131
|
|
5
|
|
5
|
|
2.
Женские сапожки с комбинированными голенищами
|
|
330
|
|
190
|
|
|
|
66
|
|
8
|
|
|
1.
Дошкольные сапожки с комбинированными голенищами
|
700
|
|
245
|
|
2:1
|
207
|
140
|
|
5
|
|
4
|
|
2.
Женские сапожки с комбинированными голенищами
|
|
200
|
|
190
|
|
|
|
67
|
|
3
|
|
|
1.
Дошкольные ботинки нарядные - без комбинации
|
600
|
-
|
300
|
-
|
-
|
-
|
-
|
-
|
2
|
-
|
2
|
2.4 Расчет потребности материалов
Согласно примечаниям отраслевых норм
использования хромовых кож на детали верха обуви, расчет потребности всех видов
кож следует производить по выходам основного кроя, поэтому произведен расчет
потребности в материалах на основной крой на смену для каждого вида обуви,
производя корректировку процента использования.
Согласно примечаниям, при применении клеевой
затяжки, процент использования повышается на 1, 5%. Произведем корректировку
процента использования.
. Женские ботинки:
% + 1,5% = 76%.
. Женские сапожки с комбинированными голенищами:
,5% + 1,5% = 79%.
. Девичьи сапожки нарядные с комбинированными
голенищами:
Нормы использования по основному комплектному
крою и общему использованию уменьшается на 1,5% на детали для детской и
дошкольной нарядной обуви, поэтому: 76,5% + 1,5% - 1,5%=76,5%.
. Ботинки для школьников девочек с
комбинированными берцами:
Нормы использования по основному комплектному
крою и общему использованию повышаются на 2% для ботинок без кожаных берцев,
поэтому: 74,5%+1,5%+2%=78%
. Ботинки дошкольные нарядные:
% + 1,5% - 1,5% = 76%.
. Сапожки дошкольные утепленные с
комбинированными голенищами:
,5% + 1,5% = 77%.
. Дошкольные ботинки:
% + 1,5% = 77,5%.
Полученные данные заносим в таблицу 2.4.1.
Рассчитаем площадь материалов нетто на смену:
. Женские ботинки:
,5 х 700 = 12250
. Женские сапожки с комбинированными голенищами:
,6 х 530 = 6148
. Девичьи сапожки нарядные с комбинированными
голенищами:
,82 х 650 = 7683
. Ботинки для школьников девочек с
комбинированными берцами:
,3 х 800 = 5840
. Ботинки дошкольные нарядные:
,4 х 600 = 6240
. Сапожки дошкольные утепленные с
комбинированными голенищами:
,6 х 700 = 6720
. Дошкольные ботинки:
,4 х 700 = 7280
Полученные данные заносим 2.4.1
Рассчитаем потребность материалов брутто на
смену:
. Женские ботинки:
.
. Женские сапожки с комбинированными голенищами:
.
. Девичьи сапожки нарядные с комбинированными
голенищами:
.
. Ботинки для школьников девочек с
комбинированными берцами:
.
. Ботинки дошкольные нарядные:
.
. Сапожки дошкольные утепленные с
комбинированными голенищами:
.
. Дошкольные ботинки:
.
Полученные данные заносим в таблицу 2.4.1
Таблица 2.4.1. - Потребность в материалах для
верха обуви.
|
Вид
и род обуви
|
Наименование
материала
|
Сменное
задание, пар
|
Средне-взвешенная
площадь, нетто на пару,
|
Площадь
материала, нетто на смену,
|
Сорт
материала
|
Процент
использования, %
|
Потребность
материала, брутто на смену
|
Выход
вспомогательного кроя в смену,
|
|
|
|
|
|
|
Основного
кроя
|
Вспомогательного
кроя
|
|
|
|
1
|
2
|
3
|
4
|
5
|
6
|
7
|
8
|
9
|
10
|
|
1.
Ботинки женские
|
полукожник
с полуанилиновой отделкой
|
700
|
17,5
|
12250
|
II
|
76
|
-
|
16118,42
|
-
|
|
2.
Женские сапожки с комбинированными голенищами
|
полукожник
с полуанилиновой отделкой
|
530
|
11,6
|
6148
|
II
|
79
|
-
|
7782,28
|
-
|
|
3.
Девичьи сапожки нарядные с комбинированными голенищами
|
полукожник
с полуанилиновой отделкой
|
650
|
11,82
|
7683
|
II
|
76,5
|
-
|
10043,14
|
-
|
|
4.
Ботинки для школьников девочек с комбинированными берцами
|
полукожник
с полуанилиновой отделкой
|
800
|
7,3
|
5840
|
II
|
78
|
-
|
7487,18
|
-
|
|
5.
Ботинки дошкольные нарядные
|
Велюр
|
600
|
10,4
|
6240
|
II
|
76
|
-
|
8210,53
|
-
|
|
6.
сапожки дошкольные утепленные с комбинированными голенищами
|
полукожник
с полуанилиновой отделкой
|
700
|
9,6
|
6720
|
II
|
77
|
-
|
8727,27
|
-
|
|
7.
Дошкольные ботинки
|
полукожник
с полуанилиновой отделкой
|
700
|
10,4
|
7280
|
II
|
77,5
|
-
|
9393,55
|
-
|
Таблица 2.4.2 - Потребность в материалах для
внутренних и промежуточных деталей
|
Вид
и род обуви
|
Наименование
материала
|
Наименование
детали
|
Средневзвешеннная
площадь, нетто на пару
|
Площадь
материала нетто на смену, дм2
|
Выход
вспомогательного кроя при основном, дм2
|
Потребность
материала с учетом выхода вспомогательного кроя, дм2
|
Сорт
материала
|
Отраслевой
процент использования
|
Потребность
материала, брутто на смену, дм2
|
|
1
|
2
|
3
|
4
|
5
|
6
|
7
|
8
|
9
|
10
|
11
|
|
1.
Ботинки женские
|
Свиная
подкладочная кожа
|
Подкладка
под союзку
|
700
|
5,7
|
3990
|
-
|
13230
|
II
|
78,5
|
16853,5
|
|
|
Подкладка
под наружный берец
|
700
|
3,8
|
2660
|
-
|
-
|
-
|
-
|
-
|
|
|
Подкладка
под внутренний берец
|
700
|
3,8
|
2660
|
-
|
-
|
-
|
-
|
-
|
|
|
Кожаный
карман
|
700
|
2,2
|
1540
|
-
|
-
|
-
|
-
|
-
|
|
|
Подкладка
под язычок
|
700
|
0,605
|
423,5
|
-
|
-
|
-
|
-
|
-
|
|
|
Вкладная
стелька
|
700
|
2,82
|
1974
|
-
|
-
|
-
|
-
|
-
|
|
Термобязь
|
М/
подкладка под союзку
|
700
|
5,6
|
3920
|
-
|
9870
|
I (ш. 160)
|
76,5
|
12901,96
|
|
|
М/подкладка
под наружный берец
|
700
|
5,13
|
3591
|
-
|
-
|
-
|
-
|
-
|
|
|
М/
подкладка под внутренний берец
|
700
|
5,17
|
3619
|
-
|
-
|
-
|
-
|
-
|
|
Искусственный
мех
|
Подкладка
под союзку
|
530
|
6,2
|
3286
|
-
|
11087,6
|
| (ш. 150)
|
76,5
|
14493,59
|
|
2.
Женские сапожки
|
|
Подкладка
под наружное голенище
|
530
|
5,8
|
3074
|
-
|
-
|
-
|
-
|
-
|
|
|
Подкладка
под переднюю часть внутреннего голенища
|
530
|
3,0
|
1590
|
-
|
-
|
-
|
-
|
-
|
|
|
Подкладка
под заднюю часть внутреннего голенища
|
530
|
3,0
|
1590
|
-
|
-
|
-
|
76,5
|
-
|
|
|
Вкладная
стелька
|
530
|
2,92
|
1547,6
|
-
|
-
|
-
|
-
|
-
|
|
Свиная
подкладоч-ная кожа
|
Кожаный
карман
|
530
|
2,6
|
1378
|
1590
|
2968
|
-
|
74,5
|
1849,66
|
|
Термобязь
|
М/
подкладка под союзку
|
530
|
6,2
|
3286
|
-
|
12544
|
I (ш. 160)
|
75,5
|
16614,57
|
|
|
М/
подкладка под наружную задинку
|
530
|
2,8
|
1484
|
-
|
-
|
-
|
-
|
-
|
|
|
М/
подкладка под внутреннюю задинку
|
530
|
1,6
|
848
|
-
|
-
|
-
|
-
|
-
|
|
|
М/
подкладка под переднюю часть наружного голенища
|
530
|
1,84
|
975,2
|
-
|
-
|
-
|
-
|
-
|
|
|
М/
подкладка под заднюю часть наружного голенища
|
530
|
1,82
|
964,6
|
-
|
-
|
-
|
-
|
-
|
|
|
М/
подкладка под переднюю часть внутреннего голенища
|
530
|
1,84
|
975,2
|
-
|
-
|
-
|
-
|
-
|
|
|
М/
подкладка под заднюю часть внутреннего голенища
|
530
|
1,82
|
964,6
|
-
|
-
|
-
|
-
|
-
|
|
3.
Девичьи сапожки
|
Шерстяная
байка
|
Подкладка
под союзку
|
650
|
5,4
|
3510
|
-
|
10478
|
I(ш. 128)
|
74,5
|
14064,43
|
|
|
Подкладка
под наружное голенище
|
650
|
5,36
|
3484
|
-
|
-
|
-
|
-
|
-
|
|
|
Подкладка
под внутреннее голенище
|
650
|
5,36
|
3484
|
-
|
-
|
-
|
-
|
-
|
|
Свиная
подкладочная кожа
|
Кожаный
карман
|
650
|
2,5
|
1625
|
-
|
5492,5
|
-
|
74,5
|
2181,21
|
|
|
Вкладная
стелька
|
650
|
2,7
|
1755
|
-
|
-
|
-
|
77,0
|
2279,22
|
|
Термобязь
|
М/
подкладка под союзку
|
650
|
5,4
|
3510
|
-
|
10335
|
I (ш. 160)
|
75,5
|
13688,74
|
|
|
М/
подкладка под наружную задинку
|
650
|
1,45
|
942,5
|
-
|
-
|
-
|
-
|
-
|
|
|
М/
подкладка под Внутреннюю
|
650
|
1,45
|
942,5
|
-
|
-
|
-
|
-
|
-
|
|
|
задинку
|
|
|
|
|
|
|
|
|
|
|
М/
подкладка под наружное голенище
|
650
|
3,8
|
2470
|
-
|
-
|
-
|
-
|
-
|
|
|
М/
подкладка под внутреннее голенище
|
650
|
3,8
|
2470
|
-
|
-
|
-
|
-
|
-
|
|
4.
Ботинки для школьников девочек
|
Подкладоч-ная
кожа
|
Подкладка
под наружную часть союзки
|
800
|
2,2
|
1760
|
32
|
11296
|
II
|
78,5
|
14724,8
|
|
|
Подкладка
под внутреннюю часть союзки
|
800
|
2,2
|
1760
|
-
|
-
|
-
|
-
|
-
|
|
|
Подкладка
под наружный берец
|
800
|
2,63
|
2104
|
-
|
-
|
-
|
-
|
-
|
|
|
Подкладка
под внутренний берец
|
800
|
2,63
|
-
|
-
|
-
|
-
|
-
|
|
|
Кожаный
карман
|
800
|
2,1
|
1680
|
-
|
-
|
-
|
-
|
-
|
|
|
Вкладная
стелька
|
800
|
2,32
|
1856
|
-
|
-
|
-
|
-
|
-
|
|
Термобязь
|
М/
подкладка под овальную вставку
|
800
|
4,0
|
3200
|
-
|
11280
|
I(ш.160)
|
76,5
|
14745,1
|
|
|
М/
подкладка под наружную задинку
|
800
|
1,5
|
1200
|
-
|
-
|
-
|
-
|
-
|
|
|
М/
подкладка под внутреннюю
|
800
|
1,4
|
1120
|
-
|
-
|
-
|
-
|
-
|
|
|
задинку
|
|
|
|
|
|
|
|
|
|
|
М/
подкладка под наружный берец
|
800
|
3,61
|
2888
|
-
|
-
|
-
|
-
|
-
|
|
|
М/
подкладка под внутренний берец
|
800
|
3,61
|
2888
|
-
|
-
|
-
|
-
|
-
|
|
5.
Ботинки дошкольные нарядные
|
Свиная
подкладочная кожа
|
Подкладка
под союзку
|
600
|
3,0
|
1800
|
120
|
6918
|
II
|
79,5
|
8715,38
|
|
|
Подкладка
под наружный берец
|
600
|
3,0
|
1800
|
-
|
-
|
-
|
-
|
-
|
|
|
Подкладка
под переднюю часть внутреннего берца
|
600
|
1,2
|
720
|
-
|
-
|
-
|
-
|
-
|
|
|
Подкладка
под заднюю часть внутреннего берца
|
600
|
1,2
|
720
|
-
|
-
|
-
|
-
|
-
|
|
|
Кожаный
карман
|
600
|
1,0
|
600
|
-
|
-
|
-
|
-
|
-
|
|
|
Вкладная
стелька
|
600
|
1,93
|
1158
|
-
|
-
|
-
|
-
|
-
|
|
Термобязь
|
М/
подкладка под носок
|
600
|
0,75
|
450
|
-
|
5958
|
I(ш.160)
|
76,5
|
7788,24
|
|
|
М/
подкладка под союзку
|
600
|
2,27
|
1362
|
-
|
-
|
-
|
-
|
-
|
|
|
М/
подкладка под наружный берец
|
600
|
3,7
|
2220
|
-
|
-
|
-
|
-
|
-
|
|
|
М/
подкладка под переднюю часть
|
600
|
1,65
|
990
|
-
|
-
|
-
|
-
|
-
|
|
|
внутреннего
берца
|
|
|
|
|
|
|
|
|
|
|
М/
подкладка под заднюю часть внутреннего берца
|
600
|
1,56
|
936
|
-
|
-
|
-
|
-
|
-
|
|
6.
Сапожки дошкольные
|
Искусственный
мех
|
Подкладка
под союзку
|
700
|
4,4
|
3080
|
-
|
10220
|
I(ш.150)
|
74,5
|
13718,12
|
|
|
Подкладка
под наружное голенище
|
700
|
4,15
|
2905
|
-
|
-
|
-
|
-
|
-
|
|
|
Подкладка
под внутреннее голенище
|
700
|
4,15
|
2905
|
-
|
-
|
-
|
-
|
-
|
|
|
Вкладная
стелька
|
700
|
1,9
|
1330
|
-
|
-
|
-
|
-
|
-
|
|
Свиная
подкла-дочная кожа
|
Кожаный
карман
|
700
|
1,0
|
700
|
-
|
600
|
II
|
74,5
|
805,37
|
|
Термобзь
|
М/
подкладка под союзку
|
700
|
4,4
|
3080
|
-
|
9352
|
I(ш.160)
|
75,5
|
12386,75
|
|
|
М/
подкладка под наружную задинку
|
700
|
1,1
|
770
|
-
|
-
|
-
|
-
|
-
|
|
|
М/
подкладка под внутреннюю задинку
|
700
|
1,1
|
770
|
-
|
-
|
-
|
-
|
-
|
|
|
М/
подкладка под переднюю часть наружного голенища
|
700
|
2,16
|
1512
|
-
|
-
|
-
|
-
|
-
|
|
|
М/
подкладка под заднюю часть наружного
|
700
|
1,22
|
854
|
-
|
-
|
-
|
-
|
-
|
|
|
голенища
|
|
|
|
|
|
|
|
|
|
|
М/
подкладка под переднюю часть внутрен-него голенища
|
700
|
2,16
|
1512
|
-
|
-
|
-
|
-
|
-
|
|
|
М/
подкладка под заднюю часть внутреннего голенища
|
700
|
1,22
|
854
|
-
|
-
|
-
|
-
|
-
|
|
7.
Ботинки дошкольные
|
Свиная
подкладочная кожа
|
Подкладка
под союзку
|
700
|
4,4
|
3080
|
14
|
7154
|
II
|
79,5
|
9095,54
|
|
|
ВНР
|
700
|
1,4
|
980
|
-
|
-
|
-
|
-
|
-
|
|
|
Подкладка
под наружный берец
|
700
|
1,4
|
980
|
-
|
-
|
-
|
-
|
-
|
|
|
Подкладка
под переднюю часть внутреннего берца
|
700
|
0,65
|
455
|
-
|
-
|
-
|
-
|
-
|
|
|
Подкладка
под заднюю часть внутреннего берца
|
700
|
0,6
|
420
|
-
|
-
|
-
|
-
|
-
|
|
|
Вкладная
стелька
|
700
|
1,9
|
1330
|
-
|
-
|
II
|
-
|
-
|
|
Термобязь
|
М/
подкладка под союзку
|
700
|
4,5
|
3150
|
-
|
5894
|
I(ш.160)
|
7704,58
|
|
|
М/
подкладка под наружное голенище
|
700
|
1,96
|
1372
|
-
|
-
|
-
|
-
|
-
|
|
|
М/
подкладка под переднюю часть внутреннего голенища
|
700
|
1,96
|
1372
|
-
|
-
|
-
|
-
|
-
|
|
|
М/
подкладка под заднюю часть внутреннего голенища
|
700
|
1,96
|
1372
|
-
|
-
|
-
|
-
|
-
|
2.5 Составление сменного задания раскройщикам
Произведем расчет размерного ассортимента на
сменное задание.
Комбинация 1
|
Ботинки
женские (Рсм=200 пар) 215=200х0.01=2 220=200х0,025=5 225=200х0,06=12
230=200х0,105=21 235=200х0,155=31 240=200х0,18=36 245=200х0,17=34
250=200х0,13=26 255=200х0,08=16 260=200х0,04=8 265=200х0,035=7 270=200х0,01=2
|
Ботинки
для школьников-девочек с комбинированными берцами (Рсм=800) 205=800х0,14=112
210=800х0,165=132 215=800х0,195=156 220=800х0,23=184 225=800х0,27=216
|
Комбинация 2
|
Ботинки
женские (Рсм=500 пар) 215=500х0.01=5 220=500х0,025=12 225=500х0,06=30
230=500х0,105=53 235=500х0,155=78 240=500х0,18=90 245=500х0,17=85
250=500х0,13=65 255=500х0,08=40 260=500х0,04=20 265=500х0,035=17
270=500х0,01=5
|
Ботинки
дошкольные (Рсм=700 пар) 170=700х0,155=108 175=700х0,15=105 180=700х0,0,15=105
185=700х0,145=102 190=700х0,135=95 195=700х0,13=91 200=700х0,135=94
|
Комбинация 3
|
Девичьи
сапожки с комбинированными голенищами (Рсм=650 пар) 230=650х0,305=198
235=650х0,345=224 240=650х0,35=228
|
Женские
сапожки с комбинированными голенищами (Рсм=330 пар) 220=330х0.01=3
225=330х0,025=8 230=330х0,06=20 235=330х0,105=35 240=330х0,155=51
245=330х0,18=60 250=330х0,17=56 255=330х0,13=43 260=330х0,08=26
265=330х0,04=13 270=330х0,035=12 275=330х0,01=3
|
Комбинация 4
|
Дошкольные
сапожки с комбинированными голенищами (Рсм=700 пар) 170=700х0,155=108
175=700х0,15=105 180=700х0,0,15=105 185=700х0,145=102 190=700х0,135=95
195=700х0,13=91 200=700х0,135=94
|
Женские
сапожки с комбинированными голенищами (Рсм=200 пар) 220=200х0.01=2
225=200х0,025=5 230=200х0,06=12 235=200х0,105=21 240=200х0,155=31
245=200х0,18=36 250=200х0,17=34 255=200х0,13=26 260=200х0,08=16
265=200х0,04=8 270=200х0,035=7 275=200х0,01=2
|
Без комбинации
Ботинки дошкольные нарядные (Рсм=600 пар)
=600х0,155=93
=600х0,15=90
=600х0,0,15=90
=600х0,145=87
=600х0,135=81
=600х0,13=78
=600х0,135=81
Таблица 2.5.1 - Сменное задание раскройщикам и
потребное количество резаков на раскрой комбинации моделей
|
Вид
и род обуви
|
Размер
обуви
|
Размерный
ассортимент
|
Задание
раскройщикам
|
Количество
комплектов резаков
|
Количество
резаков в комплекте
|
Всего
резаков
|
|
|
На
100 пар
|
На
сменное задание
|
1
|
2
|
3
|
4
|
5
|
На
рабочем месте
|
На
резервном
|
Итого
|
|
|
|
1
|
2
|
3
|
4
|
5
|
6
|
7
|
8
|
9
|
10
|
11
|
12
|
13
|
14
|
|
1.
Женские ботинки
|
215
|
1,0
|
2
|
|
2
|
|
|
|
1
|
-
|
1
|
5
|
5
|
|
220
|
2,5
|
5
|
5
|
|
|
|
|
1
|
-
|
1
|
5
|
5
|
|
225
|
6,0
|
12
|
|
|
|
12
|
|
1
|
-
|
1
|
5
|
5
|
|
230
|
10,5
|
21
|
|
|
|
21
|
|
1
|
-
|
1
|
5
|
5
|
|
235
|
15,5
|
31
|
31
|
|
|
|
|
1
|
-
|
1
|
5
|
5
|
|
240
|
18,0
|
36
|
|
|
36
|
|
|
1
|
-
|
1
|
5
|
5
|
|
245
|
17,0
|
34
|
|
34
|
|
|
|
1
|
-
|
1
|
5
|
5
|
|
250
|
13,0
|
26
|
|
|
|
|
26
|
1
|
-
|
1
|
5
|
5
|
|
255
|
8,0
|
16
|
|
|
|
|
16
|
1
|
-
|
1
|
5
|
5
|
|
260
|
4,0
|
8
|
|
|
8
|
|
|
1
|
-
|
1
|
5
|
5
|
|
265
|
3,5
|
7
|
7
|
|
|
|
|
1
|
-
|
1
|
5
|
5
|
|
270
|
1,0
|
2
|
|
2
|
|
|
|
1
|
-
|
1
|
5
|
5
|
|
2.
Ботинки для школьников-девочек
|
205
|
14,0
|
112
|
|
|
|
112
|
|
1
|
-
|
1
|
6
|
6
|
|
210
|
16,5
|
132
|
|
|
132
|
|
|
1
|
-
|
1
|
6
|
6
|
|
215
|
19,5
|
156
|
156
|
|
|
|
|
1
|
-
|
1
|
6
|
6
|
|
220
|
23,0
|
184
|
|
|
24
|
|
160
|
2
|
-
|
2
|
6
|
12
|
|
225
|
27,0
|
216
|
|
160
|
|
56
|
|
2
|
-
|
2
|
6
|
12
|
|
1.
Ботинки женские
|
215
|
1,0
|
5
|
5
|
|
|
|
|
1
|
-
|
1
|
5
|
5
|
|
220
|
2,5
|
12
|
|
|
|
|
12
|
1
|
-
|
1
|
5
|
5
|
|
225
|
6,0
|
30
|
|
|
|
30
|
|
1
|
-
|
1
|
5
|
5
|
|
230
|
10,5
|
53
|
|
|
|
53
|
|
1
|
-
|
1
|
5
|
5
|
|
235
|
15,5
|
78
|
78
|
|
|
|
|
1
|
-
|
1
|
5
|
5
|
|
240
|
18,0
|
90
|
|
|
|
|
90
|
1
|
-
|
1
|
5
|
5
|
|
245
|
17,0
|
85
|
|
85
|
|
|
|
1
|
-
|
1
|
5
|
5
|
|
250
|
13,0
|
65
|
|
|
65
|
|
|
1
|
-
|
1
|
5
|
5
|
|
255
|
8,0
|
40
|
|
|
|
|
40
|
1
|
-
|
1
|
5
|
5
|
|
260
|
4,0
|
20
|
|
|
|
|
20
|
1
|
-
|
1
|
5
|
5
|
|
265
|
3,5
|
17
|
|
|
17
|
|
|
1
|
-
|
1
|
5
|
5
|
|
270
|
1,0
|
5
|
|
|
|
|
5
|
1
|
-
|
1
|
5
|
5
|
|
2.
Ботинки дошкольные
|
15,5
|
108
|
|
66
|
|
42
|
|
2
|
-
|
2
|
6
|
12
|
|
175
|
15,0
|
105
|
|
|
105
|
|
|
1
|
-
|
1
|
6
|
6
|
|
180
|
15,0
|
105
|
|
|
|
105
|
|
1
|
-
|
1
|
6
|
6
|
|
185
|
14,5
|
102
|
84
|
18
|
|
|
|
2
|
-
|
2
|
6
|
12
|
|
190
|
13,5
|
95
|
|
|
72
|
23
|
|
2
|
-
|
2
|
6
|
12
|
|
195
|
13,0
|
91
|
|
91
|
|
|
|
1
|
-
|
1
|
6
|
6
|
|
200
|
13,5
|
94
|
94
|
|
|
|
|
1
|
-
|
1
|
6
|
6
|
|
1.
Девичьи сапожки нарядные
|
230
|
30,5
|
198
|
130
|
|
|
68
|
|
2
|
-
|
2
|
6
|
12
|
|
235
|
34,5
|
224
|
|
130
|
|
62
|
32
|
3
|
-
|
3
|
6
|
18
|
|
240
|
35,0
|
228
|
|
|
130
|
|
98
|
2
|
-
|
2
|
6
|
12
|
|
2.
Сапожки женские
|
220
|
1,0
|
3
|
|
|
3
|
|
|
1
|
-
|
1
|
9
|
9
|
|
225
|
2,5
|
8
|
|
|
|
8
|
|
1
|
-
|
1
|
9
|
9
|
|
230
|
6,0
|
20
|
|
20
|
|
|
|
1
|
-
|
1
|
9
|
9
|
|
235
|
10,5
|
35
|
|
|
35
|
|
|
1
|
-
|
1
|
9
|
9
|
|
240
|
15,5
|
51
|
51
|
|
|
|
|
1
|
-
|
1
|
9
|
9
|
|
245
|
18,0
|
60
|
|
|
|
60
|
|
1
|
-
|
1
|
9
|
9
|
|
250
|
17,0
|
56
|
|
|
|
|
56
|
1
|
-
|
1
|
9
|
9
|
|
255
|
13,0
|
43
|
|
43
|
|
|
|
1
|
-
|
1
|
9
|
9
|
|
260
|
8,0
|
26
|
|
|
26
|
|
|
1
|
-
|
1
|
9
|
9
|
|
265
|
4,0
|
13
|
13
|
|
|
|
|
1
|
-
|
1
|
9
|
9
|
|
270
|
3,5
|
12
|
|
|
|
|
12
|
1
|
-
|
1
|
9
|
9
|
|
275
|
1,0
|
3
|
|
3
|
|
|
|
1
|
-
|
1
|
9
|
9
|
|
1.
Дошкольные сапожки
|
170
|
15,5
|
108
|
108
|
|
|
|
|
1
|
-
|
1
|
4
|
4
|
|
175
|
15,0
|
105
|
|
105
|
|
|
|
1
|
-
|
1
|
4
|
4
|
|
180
|
15,0
|
105
|
|
|
105
|
|
|
1
|
-
|
1
|
4
|
4
|
|
185
|
14,5
|
102
|
|
|
|
102
|
|
1
|
-
|
1
|
4
|
4
|
|
190
|
13,5
|
95
|
|
|
45
|
95
|
|
2
|
-
|
2
|
4
|
8
|
|
195
|
13,0
|
91
|
|
46
|
|
|
|
1
|
-
|
1
|
4
|
4
|
|
200
|
13,5
|
94
|
43
|
|
|
51
|
|
2
|
-
|
2
|
4
|
8
|
|
2.
Сапожки женские
|
220
|
1,0
|
2
|
|
|
2
|
|
|
1
|
-
|
1
|
9
|
9
|
|
225
|
2,5
|
5
|
|
5
|
|
|
|
1
|
-
|
1
|
9
|
9
|
|
230
|
6,0
|
12
|
12
|
|
|
|
|
1
|
-
|
1
|
9
|
9
|
|
235
|
10,5
|
21
|
21
|
|
|
|
|
1
|
-
|
1
|
9
|
9
|
|
240
|
15,5
|
31
|
|
|
31
|
|
|
1
|
-
|
1
|
9
|
9
|
|
245
|
18,0
|
36
|
|
36
|
|
|
|
1
|
-
|
1
|
9
|
9
|
|
250
|
17,0
|
34
|
|
|
34
|
|
|
1
|
-
|
1
|
9
|
9
|
|
255
|
13,0
|
26
|
26
|
|
|
|
|
1
|
-
|
1
|
9
|
9
|
|
260
|
8,0
|
16
|
|
16
|
|
|
|
1
|
1
|
9
|
9
|
|
265
|
4,0
|
8
|
8
|
|
|
|
|
1
|
-
|
1
|
9
|
9
|
|
270
|
3,5
|
7
|
|
7
|
|
|
|
1
|
-
|
1
|
9
|
9
|
|
275
|
1,0
|
2
|
|
|
2
|
|
|
1
|
-
|
1
|
9
|
9
|
|
1.
Ботики дошкольные нарядные
|
170
|
15,5
|
93
|
93
|
|
|
|
|
1
|
-
|
1
|
6
|
6
|
|
175
|
15,0
|
90
|
|
90
|
|
|
|
1
|
-
|
1
|
6
|
6
|
|
180
|
15,0
|
90
|
90
|
|
|
|
|
1
|
-
|
1
|
6
|
6
|
|
185
|
14,5
|
87
|
|
87
|
|
|
|
1
|
-
|
1
|
6
|
6
|
|
190
|
13,5
|
81
|
81
|
|
|
|
|
1
|
-
|
1
|
6
|
6
|
|
195
|
13,0
|
78
|
|
78
|
|
|
|
1
|
-
|
1
|
6
|
6
|
|
200
|
13,5
|
81
|
36
|
45
|
|
|
|
2
|
-
|
2
|
6
|
12
|
2.6 Разработка технологии раскроя материалов и
расчет рабочей силы и оборудования на участке раскроя
При раскрое натуральной и искусственных кож, а
также тканей необходимо использовать такую систему размещения шаблонов
(резаков), которая обеспечивала бы максимальное использование площади материала
и высокое качество деталей.
На применение той или иной системы при раскрое
влияют свойства и площадь материала, требования, предъявляемые к деталям.
Сложность раскроя во многом определяется изменчивостью показателей
физико-механических свойств материалов по площади и в разных направлениях. В
связи с этим все раскраиваемые материалы подразделяют на три группы:
) изотропно-однородные (резины, искусственные
кожи на нетканой основе и др.);
) анизотропно-однородные (ткани, искусственные
кожи на тканевой основе и др.);
) анизотропно-неоднородные (натуральные кожи).
Первая часть термина означает изменчивость (или
постоянство) показателей физико-механических свойств в разных направлениях, а
вторая по площади. В связи с изложенным раскрой каждого материала имеет свои
особенности. Наиболее сложен раскрой материалов третьей группы.
Системы размещения шаблонов при раскрое кож па
детали верха и подкладки обуви.
При раскрое кож для верха обуви учитывают в
основном толщину, плотность, удлинение и качество лицевого слоя. Удлинения кож
для верха обуви в продольном и поперечном направлениях неодинаковы: обычно в
продольном направлении удлинение меньше, чем в поперечном. Удлинение
центральной части кожи во всех направлениях более или менее одинаково. Длина
детали должна совпадать с направлением наименьшей тягучести. Удлинение пол и
особенно лап в продольном поперечном направлениях отличается значительно. Полы
опойка, выростка, свиных кож кроме продольного имеют и второе направление
наименьшего удлинения - под углом 45° (приблизительно параллельно задним
лапам). Кроме поперечного направления наибольшей тягучести имеется второе
направление - под углом 135°. Главным направлением наименьшей тягучести воротка
является направление под углом 135° к хребтовой линии. Направления наименьшей
тягучести кож для верха обуви показаны на рис. 8.
Особое внимание надо уделять внешнему виду
деталей, поэтому при раскрое необходимо учитывать характер лицевого слоя
материала. Центральная часть кожи обычно бывает совершенно гладкой. На воротке
имеются молочные полосы, идущие поперек хребта; на полах, лапах и воротке
встречаются неразглаженные места. Цвет и тон лицевого слоя на разных участках
кожи неодинаковы, мерея также различна.
Поэтому детали, входящие в комплект одной пары
обуви, надо размещать, учитывая мерею. При раскрое шаблоны располагают в
следующем. порядке: союзки, носки и переда, т. е. ответственные детали,- на
центральной части кожи
Рисунок 8 - Направления наименьшей тягучести
берцы, задинки, голенища, т. е. менее ответственные
детали,- на воротках, прлах и лапах. Для лучшего использования по назначению
всех топографических участков кожи следует комбинировать виды и размеры
комплектов с разными удельными площадями ответственных деталей, а также детали
большой и малой площади.
Рисунок 9 - Системы размещения шаблонов
Общепринятой является
прямолинейно-поступательная система (система параллелограмма), применяемая при
раскрое кож для верха обуви средней и большой площади. Она используется
преимущественно при раскрое чепрака яловки, полукожника, выростка, обойка,
свиных и конских кож.
Начинают раскрой от середины огузка или от
порока. Детали по указанной системе должны совмещаться по оптимальному
варианту, определяемому при построении модельной шкалы. Это означает, что
союзки с союзками, носки с носками следует совмещать наиболее плотно на чепраке
кожи. Краевые же участки кож раскраивают с некоторыми отклонениями от
прямолинейно-поступательной системы, соблюдая основные правила укладки деталей
и учитывая направления наименьшей тягучести. Кожи для верха обуви с большим
числом пороков, а также кожи относительно малой площади по сравнению с площадью
выкраиваемых деталей раскраивают без определенной системы, что значительно
ухудшает их использование.
Все варианты совмещения деталей можно разделить
на четыре группы:
) совмещение в одну сторону, т. е. все детали
1-б во всех рядах ориентированы в одну сторону ;
Например, детали туфель-лодочек, детали
подкладки и т. д.;
) совмещение в разные стороны, т. е. детали
одного ряда 1, 2 укладывают в одну сторону, а детали 3, 4 смежного - в
противоположную первому (рис. 2,6) и т. д. Например, союзки ботинок,
полуботинок с настрочными берцами, туфель-лодочек, берцы, задинки и т. д.,
) совмещение под углом, т. е. последующая деталь
расположена в противоположном направлении или под углом к предыдущей детали.
Например, союзки полуботинок с няотрочными, берцами и отрезным носком, союзки
полуботинок, берцы и другие детали;
) совмещение «гнездо», т, е. 'несколько разных
деталей комплекта, совмещаясь, образуют «гнездо» . Такое «гнездо» совмещается с
другим «гнездом» по любому из перечисленных вариантов. Широко используется при
раскрое кож на детали модельной обуви, когда важно получить крой высокого
качества (по плотности, толщине, оттенкам и другим признакам).
Многослойные настилы обувных тканей и
синтетических кож следует раскраивать по прямолинейно-поступательной системе,
совмещая детали под непрямым и прямым углами. При малой ширине материала и
больших линейных размерах или большой площади деталей часто укладка под
непрямым углом невыгодна, так как, несмотря на плотное совмещение деталей,
вызывает значительные краевые отходы. В этом случае детали следует совмещать
под прямым углом (детали подкладки ботинок и др.). Под непрямым углом совмещают
лишь детали малых линейных размеров или небольшой площади (детали подкладки под
союзку полуботинок и туфель, носки, берцы и т. д.).
При выборе системы раскроя рулонных материалов
необходимо учитывать их удлинение в продольном и поперечном направлениях (для
тканей по основе и утку). Если удлинение в продольном направлении меньше, чем в
поперечном, детали • верха и межподкладки необходимо выкраивать следом в
продольном направлении, детали подкладки - в поперечном. При примерно равных
удлинениях детали можно располагать как в предельном, так и в поперечном
направлении.
Для обувных тканей и рулонных синтетических кож
исключительное значение имеет ширина, так как по ширине необходимо уложить
целое число совмещенных деталей без потерь в виде неиспользуемых полосок. При
отсутствии материала оптимальной ширины обязательно комбинирование моделей по
размерам, видам и назначению в пределах действующего на предприятии
ассортимента для полного использования материала по ширине.
При раскрое многослойного настила ткани на
детали мужских полуботинок совмещаются союзка с берцами 2 и 3 с поворотом на
180° и берцы 2 и 3 с носком 4. При раскрое материалов на детали подкладки
ботинок с прямоугольной укладкой нечетное число деталей в ряду увеличивает краевые
отходы и снижает процент использования материала по сравнению с процентом
использования ткани, ширина которой позволяет выкраивать четное число деталей.
При ширине материала 84-87 см больше двух
голенищ выкроить невозможно. При несоответствии ширины материала ширине
совмещенных деталей остается узкая полоска шириной 3-4 см, снижающая процент
использования.
Технологические операции раскроя кожевенных
материалов на детали верха обуви выполняются при помощи прессов консольного
типа S 120 ф. Atom,
S 200 SAB/25
ф. Atom, ПКП-10, ПКП-16.
Используют комплекты резаков высотой 19 мм, ножницы, толщиномер по ТНПА с ценой
деления 0,1 мм.
Технологические операции по раскрою многослойных
настилов на детали верха обуви выполняются при помощи прессов траверсного типа
ПТО-25, ПТО-40; траверсного типа с передвижной кареткой HS
588/3, НS 588/5 ф. Atom,
K.S
Aver ф. Vigevano.
Используют комплекты резаков высотой 32 мм, щетки для смахивания пыли,
измерительная линейка с ценой деления 0,1 мм по ГОСТ 425-75, толщиномер по ТНПА
с ценой деления 0,1 мм.
Прессы ПТО оснащены рулонодержателями и
механизмом подачи настилов. Минимальный диаметр рулона 350 мм и максимальное
количество рулонов 12 штук. По требованию заказчика прессы могут поставляться
без рулонодержателей и механизма подачи настила, в этом случае пресс
комплектуется столом.
Основные типы и размеры резаков:
для раскроя деталей верха из кожи и заменителей
кожи;- для раскроя деталей верха из текстиля и заменителей кож из многослойных
настилов.
Для изготовления резаков используется полоса 2 х
19ВЕ; 2 х 19ВД; 2 х 32ВЕ. Резачная полоса 2 х 19ВД имеет лезвия с двух сторон.
К резакам предъявляются следующие требования
качества:
изготавливаются из холоднокатаной
профилированной, предварительно термически обработанной, полосовой стали;
соответствие резаков по конфигурации, размещению
ножей, наколов и перфораторов, форма перфораторов контролируется контрольным
лекалом (шаблоном);
лезвие резака должно строго соответствовать
контрольным лекалам (шаблонам);
допустимые величины отклонений по периметру
лезвия
Периметр лезвия, мм Величина допустимого зазора
или покрытия, мм
до 300 0,4
от 300 до 500 0,6
от 500 и выше 1,0
для предотвращения деформации резаков должна
применяться распора (планка, стяжка) из стальной полосы шириной 25-40 мм,
толщиной 2-6 мм;
ось вставных ножей, наколов и перфораторов
должна быть перпендикулярна горизонтальной плоскости;
при установке готового резака на плоскость зазор
между лезвием и плоскостью не должен быть более:
для резаков периметром до 300 мм - 3 мм;
для резаков периметром свыше 300 мм - 0,5 мм;
сварной шов на резаках должен быть обработан
так, чтобы на лезвии резака не было заметных следов сварки, сварной шов на
резаке должен быть расположен в таком месте вырубаемой детали, которое в
дальнейшем будет подвергаться обработке;
клеймение резаков, определяющее размер, фасон
обуви, обозначение детали и т.п., производится выбиванием соответствующих
знаков (цифровых, буквенных) на наружной боковой поверхности резака;
наколы устанавливаются на высоте 0,5 мм ниже
лезвия резака;
плоскости лезвий (для двухсторонних резаков) или
лезвия и обуха резака (для односторонних резаков) должны быть строго
параллельны;
при сварке любых мест резаков не допускается
пережигание лезвия;
места сварки подлежат тщательной зачистке.
Вырубочные плиты для раскроя применяют из
полимерных масс: поливинилхлорида, полиуретана, полипропилена
Таблица 2.6.1 - Потребное количество рабочих и
резаков для раскроя кож подкладочных и настилов
|
Род
и вид обуви
|
Сменный
выпуск, пар
|
Наименование
детали
|
Материал
детали
|
Отраслевые
нормы выработки за 8 час, пар
|
Расчетное
количество раскройщиков
|
Размер
обуви
|
Размерный
ассортимент
|
Количество
комплектов резаков
|
Количество
резаков в комплекте
|
|
|
|
|
|
|
|
На
100 пар
|
На
сменноезадание
|
На
рабочем месте
|
На
резервном
|
|
|
1
|
2
|
3
|
4
|
5
|
6
|
7
|
8
|
9
|
10
|
11
|
12
|
|
1.
Женские ботинки повседневные
|
700
|
Подкладка
под союзку Подкладка под наружный берец Подкладка под внутренний берец
Кожаный карман Подкладка под язычок Вкладная стелька
|
Свиная
подкладочная кожа
|
560
|
1,25
|
215
220 225 230 235 240 245 250 255 260 265 270
|
1,0
2,5 6,0 10,5 15,5 18,0 17,0 13,0 8,0 4,0 3,5 1,0
|
7
17 42 74 109 126 119 91 56 28 24 7
|
1
1 1 1 1 1 1 1 1 1 1 1
|
- - - - - - - - - - - -
|
6
6 6 6 6 6 6 6 6 6 6 6
|
|
700
|
М/
подкладка под союзку М/подкладка под наружный берец М/ подкладка под
внутренний берец
|
Термобязь
|
11000
|
0,064
|
215
220 225 230 235 240 245 250 255 260 265 270
|
1,0
2,5 6,0 10,5 15,5 18,0 17,0 13,0 8,0 4,0 3,5 1,0
|
7
17 42 74 109 126 119 91 56 28 24 7
|
1
- - 1 - - 1 - - 1 - -
|
- - - - - - - - - - - -
|
5
- - 5 - - 5 - - 5 - -
|
|
2.
Женские сапожки утепленные
|
530
|
Передняя
часть наружного голенища Задняя часть наружного голенища Передняя часть
внутреннего голенища
|
Уретанискожа-НТ
|
1800
|
0,29
|
220
225 230 235 240 245 250 255 260 265 270 275
|
1,0
2,5 6,0 10,5 15,5 18,0 17,0 13,0 8,0 4,0 3,5 1,0
|
5
13 32 56 82 96 90 69 42 21 19 5
|
1
1 1 1 1 1 1 1 1 1 1 1
|
- - - - - - - - - - - -
|
10
10 10 10 10 10 10 10 10 10 10 10 10
|
|
с
комбинированными голенищами
|
|
Задняя
часть внутреннего голенища Штаферка под наружное голенище Штаферка под
внутреннее голенище Декоративный ремень
|
|
|
|
|
|
|
|
|
|
|
530
|
Подкладка
под союзку Подкладка под наружное голенище Подкладка под переднюю часть
внутреннего голенища Подкладка под заднюю часть внутреннего голенища
Вкладная стелька
|
Мех
искусственный
|
1800
|
0,29
|
220
225 230 235 240 245 250 255 260 265 270 275
|
1,0
2,5 6,0 10,5 15,5 18,0 17,0 13,0 8,0 4,0 3,5 1,0
|
5
13 32 56 82 96 90 69 42 21 19 5
|
1
1 1 1 1 1 1 1 1 1 1 1
|
- - - - - - - - - - - -
|
9
9 9 9 9 9 9 9 9 9 9 9 2
|
|
|
Кожаный
карман
|
Свиная
подкладочная кожа
|
2400
|
0,22
|
|
|
|
|
|
|
|
530
|
М/
подкладка под союзку М/ подкладка под наружную задинку М/ подкладка под
внутреннюю задинку М/ подкладка под переднюю часть наружного голенища М/
подкладка под заднюю часть наружного голенища
|
Термобязь
|
6795
|
0,078
|
220
225 230 235 240 245 250 255 260 265 270 275
|
1,0
2,5 6,0 10,5 15,5 18,0 17,0 13,0 8,0 4,0 3,5 1,0
|
5
13 32 56 82 96 90 69 42 21 19 5
|
1
- - 1 - - 1 - - 1 - -
|
- - - - - - - - - - - -
|
13
- - 13 - - 13 - - 13 - -
|
|
|
М/
подкладка под переднюю часть внутреннего голенища М/ подкладка под заднюю
часть внутреннего голенища
|
|
|
|
|
|
|
|
|
|
|
3.
Сапожки девичьи нарядные с комбинированными голенищами
|
650
|
Наружное
голенище Внутреннее голенище Подблочник Штаферка под наружное голенище
Штаферка под внутреннее голенище
|
Уретанискожа-НТ
|
2200
|
0,3
|
230
235 240
|
30,5
34,5 35,0
|
198
224 228
|
1
1 1
|
- - -
|
8
8 8
|
|
650
|
Подкладка
под союзку Подкладка под наружное голенище Подкладка под внутреннее голенище
|
Шерстяная
байка
|
7240
|
0,09
|
230
235 240
|
30,5
34,5 35,0
|
198
224 228
|
1
1 1
|
- - -
|
5
5 5
|
|
|
Подкладка
под язычок Кожаный карман Вкладная стелька
|
Свиная
подкладочная кожа
|
850
|
0,76
|
230
235 240
|
30,5
34,5 35,0
|
198
224 228
|
1
1 1
|
- - -
|
4
4 4
|
|
650
|
М/
подкладка под союзку М/ подкладка под наружное голенище М/ подкладка под
внутреннее голенище М/ подкладка под наружную задинку М/ подкладка под
внутреннюю задинку
|
Термобязь
|
6700
|
0,097
|
230
235 240
|
30,5
34,5 35,0
|
198
224 228
|
1
- -
|
- - -
|
9
- -
|
|
4.
Ботинки для школьников-девочек с комбинированными берцами
|
800
|
Наружный
берец Внутренний берец Клапан
|
Уретанискожа-НТ
|
2300
|
0,35
|
205
210 215 220 225
|
14,0
16,5 19,5 23,0 27,0
|
112
132 156 184 216
|
1
1 1 1 1
|
- - - - -
|
5
5 5 5 5
|
|
|
Подкладка
под наружную часть союзки Подкладка под внутреннюю часть союзки Подкладка
под наружный берец Подкладка под внутренний берец Кожаный карман Вкладная
стелька
|
Свиная
подкладочная кожа
|
560
|
1,4
|
205
210 215 220 225
|
14,0
16,5 19,5 23,0 27,0
|
112
132 156 184 216
|
1
1 1 1 1
|
- - - - -
|
6
6 6 6 6
|
|
800
|
М/
подкладка под овальную вставку М/ подкладка под наружную задинку М/ подкладка
под внутреннюю задинку М/ подкладка под наружный берец М/ подкладка под
внутренний берец
|
Термобязь
|
6700
|
0,12
|
205
210 215 220 225
|
14,0
16,5 19,5 23,0 27,0
|
112
132 156 184 216
|
1
- - 1 -
|
- - - - -
|
10
- - 10 -
|
|
5.
Ботинки дошкольные нарядные
|
600
|
Подкладка
под союзку Подкладка под наружный берец Подкладка под переднюю часть
внутреннего берца Подкладка под заднюю часть внутреннего берца Кожаный
карман Вкладная стелька
|
Свиная
подкладочная кожа
|
600
|
1
|
170
175 180 185 190 195 200
|
15,5
15,0 15,0 14,5 13,5 13,0 13,5
|
93
90 90 87 81 78 81
|
1
1 1 1 1 1 1
|
-
- - - - - -
|
6
6 6 6 6 6 6
|
|
600
|
М/
подкладка под носок М/ подкладка под союзку М/ подкладка под наружный
берец М/ подкладка под переднюю часть внутреннего берца М/ подкладка под
заднюю часть внутреннего берца
|
Термобязь
|
11000
|
0,06
|
170
175 180 185 190 195 200
|
15,5
15,0 15,0 14,5 13,5 13,0 13,5
|
93
90 90 87 81 78 81
|
1
- - 1 - - 1
|
-
- - - - - -
|
8
- - 1 - - 1
|
|
6.
Сапожки дошкольные утепленные с комбинированными голенищами
|
700
|
Передняя
часть наружного голенища Передняя часть внутреннего голенища
|
Уретанискожа-НТ
|
2400
|
0,29
|
170
175 180 185 190 195 200
|
108
105 105 102 95 91 94
|
1
1 1 1 1 1 1
|
- - - - - - -
|
4
4 4 4 4 4 4
|
|
700
|
Подкладка
под союзку Подкладка под наружное голенище Подкладка под внутреннее
голенище Вкладная стелька
|
Мех
искусственный
|
1900
|
0,4
|
170
175 180 185 190 195 200
|
15,5
15,0 15,0 14,5 13,5 13,0 13,5
|
108
105 105 102 95 91 94
|
1
1 1 1 1 1 1
|
-
- - - - - -
|
8
8 8 8 8 8 8
|
|
|
Кожаный
карман
|
Свиная
подкладочная кожа
|
2400
|
0,29
|
|
|
|
|
|
|
|
700
|
М/
подкладка под союзку М/ подкладка под наружную задинку М/ подкладка под
внутреннюю задинку М/ подкладка под переднюю часть наружного голенища
|
Термобязь
|
10000
|
0,07
|
170
175 180 185 190 195 200
|
15,5
15,0 15,0 14,5 13,5 13,0 13,5
|
108
105 105 102 95 91 94
|
1
- - 1 - - 1
|
-
- - - - - -
|
13
- - 13 - - 13
|
|
|
М/
подкладка под заднюю часть наружного голенища М/ подкладка под переднюю часть
внутреннего голенища М/ подкладка под заднюю часть внутреннего голенища
|
|
|
|
|
|
|
|
|
|
|
7.
Ботинки дошкольные
|
700
|
Подкладка
под союзку Подкладка под наружный берец Подкладка под переднюю часть
внутреннего берца Подкладка под заднюю часть внутреннего берца Задний
внутренний ремень Вкладная стелька
|
Свиная
подкладочная кожа
|
600
|
1,17
|
170
175 180 185 190 195 200
|
15,5
15,0 15,0 14,5 13,5 13,0 13,5
|
108
105 105 102 95 91 94
|
1
1 1 1 1 1 1
|
- - - - - - -
|
6
6 6 6 6 6 6
|
|
700
|
М/
подкладка под союзку М/ подкладка под наружное голенище М/ подкладка под
переднюю часть внутреннего голенища М/ подкладка под заднюю часть внутреннего
голенища
|
Термобязь
|
11000
|
0,06
|
170
175 180 185 190 195 200
|
15,5
15,0 15,0 14,5 13,5 13,0 13,5
|
108
105 105 102 95 91 94
|
1
- - 1 - - 1
|
- - - - - - -
|
7
- - 7 - - 7
|
Таблица 2.6.2 - Потребное количество рабочих и
оборудования для участка раскроя материалов
|
Наименование
операции
|
Характер
работы
|
Разряд
|
Норма
выработки пар в сену
|
Программа
в смену, пар
|
Количество
рабочих
|
Количество
оборудования
|
Характеристика
оборудования
|
|
|
|
|
|
|
Действующего
|
Резервного
|
Всего
|
Наименование
|
Завод-изготовитель
|
Габариты,
мм
|
|
|
|
|
|
|
|
|
|
|
|
Длина
|
Ширина
|
|
1
|
2
|
3
|
4
|
5
|
6
|
7
|
8
|
9
|
10
|
11
|
12
|
13
|
|
1.
Подбор и сортировка производственных партий (4 комбинации)
|
Р
|
3
|
-
|
-
|
4
|
4
|
-
|
4
|
тележки
козелки
|
|
1000
1200
|
1200
1500
|
|
2.
Раскрой кож на детали верха 2.1. 1 комбинация 2.2. 2 комбинация 2.3. 3
комбинация 2.4. 4 комбинация 2.5. без комбинации
|
М
|
7
|
200
|
1000
|
5
|
5
|
-
|
5
|
ПКП-10 стол
|
|
1175 1200
|
1080 600
|
|
М
|
7
|
240
|
1200
|
5
|
5
|
1
|
6
|
ПКП-10
стол
|
|
1175
1200
|
1080
600
|
|
М
|
7
|
196
|
980
|
5
|
5
|
-
|
5
|
ПКП-10
стол
|
|
1175
120
|
1080
600
|
|
М
|
7
|
225
|
900
|
4
|
4
|
-
|
4
|
ПКП-10
стол
|
|
1175
1200
|
1080
600
|
|
М
|
7
|
300
|
600
|
2
|
2
|
1
|
3
|
ПКП-10
стол
|
|
1175
1200
|
1080
600
|
|
3,
Раскрой кож на детали подкладки
|
М
|
5
|
|
|
|
|
|
|
|
|
|
|
|
-
женские ботинки повседневные
|
М
|
5
|
2400
|
530
|
0,22
|
-
|
-
|
-
|
ПКП-10
стол
|
|
1175
1200
|
1080
600
|
|
-
сапожки девичьи нарядные с комбинированным голенищем
|
М
|
5
|
850
|
650
|
0,76
|
1
|
-
|
1
|
ПКП-10
стол
|
|
1175
1200
|
1080
600
|
|
-
ботинки для школьников девочек
|
М
|
5
|
560
|
800
|
1
|
1,4
|
-
|
1
|
ПКП-10
стол
|
|
1175
1200
|
1080
600
|
|
-
сапожки дошкольные с комбинированным голенищем
|
М
|
5
|
2400
|
700
|
1
|
0,29
|
-
|
1
|
ПКП-10
стол
|
|
1175
1200
|
1080
600
|
|
-
ботинки дошкольные нарядные
|
М
|
5
|
600
|
600
|
1
|
1
|
-
|
1
|
ПКП-10
стол
|
|
1175
1200
|
1080
600
|
|
-
ботинки дошкольные
|
М
|
5
|
600
|
700
|
1
|
1
|
1
|
2
|
ПКП-10
стол
|
|
1175
1200
|
1080
600
|
|
4.
Раскрой текстильных материалов. Из искусственной кожи (для верха):
|
|
|
|
|
|
|
|
|
|
|
|
|
|
-
Женские сапоги утепленные с комбинированным голенищем
|
М
|
4
|
1800
|
530
|
0,29
|
-
|
-
|
-
|
-
|
|
-
|
-
|
|
-
сапоги девичьи нарядные с комб. голенищем
|
М
|
4
|
2200
|
650
|
0,3
|
-
|
-
|
-
|
-
|
|
-
|
-
|
|
-
ботинки для школьников девочек с комбинированными берцами
|
М
|
4
|
2300
|
800
|
0,35
|
-
|
-
|
-
|
-
|
|
-
|
-
|
|
-
сапожки дошкольные с комбинированным голенищем
|
М
|
4
|
2400
|
700
|
0,29
|
1
|
-
|
1
|
ПОТГ-20-1600
стол
|
|
2280
1200
|
2000
600
|
|
Из
искусственного меха (подкладка):
|
|
|
|
|
|
|
|
|
|
|
|
|
|
-
женские сапожки утепленные с комб. голенищем
|
М
|
4
|
1800
|
530
|
0,29
|
-
|
-
|
-
|
-
|
|
-
|
-
|
|
-
сапоги дошкольные с комб. голенищами
|
М
|
4
|
1900
|
700
|
0,4
|
1
|
-
|
1
|
ПОТГ-20-1600
стол
|
|
2280
1200
|
2000
600
|
|
Из
шерстяной байки
|
|
|
|
|
|
|
|
|
|
|
|
|
|
-
сапоги девичьи нарядные с комбинированным голенищем (20 слоев)
|
М
|
4
|
7240
|
650
|
0,09
|
-
|
-
|
-
|
-
|
|
-
|
-
|
|
Из
термобязи:
|
|
|
|
|
|
|
|
|
|
|
|
|
|
-женские
ботинки повседневные
|
М
|
4
|
11000
|
700
|
0,064
|
-
|
-
|
-
|
-
|
|
-
|
-
|
|
-
женские сапоги утепленные
|
М
|
4
|
6795
|
530
|
0,078
|
-
|
-
|
-
|
-
|
|
-
|
-
|
|
-
сапоги девичьи нарядные с комбинированными голенищами
|
М
|
4
|
6700
|
650
|
0,097
|
-
|
-
|
-
|
-
|
-
|
|
-
ботинки для школьников - девочек с комб. берцами
|
М
|
4
|
6700
|
800
|
0,12
|
-
|
-
|
-
|
-
|
|
-
|
-
|
|
-
ботинки дошкольные нарядные
|
М
|
4
|
11000
|
600
|
0,06
|
-
|
-
|
-
|
-
|
|
-
|
-
|
|
-
сапоги дошкольные с комб. голенищами
|
М
|
4
|
10000
|
700
|
0,07
|
-
|
-
|
-
|
-
|
|
-
|
-
|
|
-
ботинки дошкольные
|
М
|
4
|
11000
|
700
|
0,06
|
1
|
-
|
1
|
ПОТГ-20-160
стол
|
|
2280
1200
|
2000
600
|
|
2.7
Разработка технологии обработки деталей верха обуви и расчет рабочей силы и
оборудования на участке обработки
|
|
Таблица
2.7.1 - Разработка технологии обработки деталей верха обуви
|
|
№
п/п
|
Род,
вид, назначение обуви
|
Наименование
детали
|
Перечень
технологических операций обработки
|
|
|
|
Клеймение
реквизитов и № дневки на к/кармане (2 дет.)
|
Клеймение
парников на деталях верха
|
Окрашивание
деталей верха
|
Выравнивание
деталей верха по толщине
|
Спускание
краев деталей верха
|
|
1
|
2
|
3
|
4
|
5
|
6
|
7
|
8
|
|
1
|
Ботинки
женские повседневные
|
Наружные
детали верха
|
|
|
Союзка
(2)
|
-
|
+
|
+
|
+
|
+
|
|
|
Задний
наружный ремень (2)
|
-
|
+
|
+
|
+
|
+
|
|
|
Внутренний
берец (2)
|
-
|
+
|
+
|
+
|
+
|
|
|
Наружный
берец (2)
|
-
|
+
|
+
|
+
|
+
|
|
|
Язычок
(2)
|
-
|
+
|
-
|
+
|
+
|
|
|
Внутренние
детали верха
|
|
|
Подкладка
под союзку (2)
|
-
|
+
|
-
|
+
|
+
|
|
|
Подкладка
под наружный берец(2)
|
-
|
+
|
+
|
+
|
+
|
|
|
Подкладка
под внутренний берец (2)
|
-
|
+
|
+
|
+
|
+
|
|
|
Кожаный
карман (2)
|
+
|
-
|
+
|
+
|
+
|
|
|
Подкладка
под язычок (2)
|
-
|
+
|
+
|
+
|
+
|
|
|
Вкладная
стелька (2)
|
-
|
-
|
-
|
+
|
-
|
|
2.
|
Женские
сапожки утепленные с комбинированными голенищами
|
Наружные
детали верха
|
|
|
Вытяжная
союзка (2)
|
-
|
+
|
+
|
+
|
+
|
|
|
Наружная
задинка (2)
|
-
|
+
|
+
|
+
|
+
|
|
|
Внутренняя
задинка (2)
|
-
|
+
|
+
|
+
|
+
|
|
|
Передняя
часть наружного голенища (2)
|
-
|
+
|
-
|
-
|
+
|
|
|
Задняя
часть наружного голенища (2)
|
-
|
+
|
-
|
-
|
+
|
|
|
Передняя
часть внутреннего голенища (2)
|
-
|
+
|
-
|
-
|
+
|
|
|
Задняя
часть внутреннего голенища (2)
|
-
|
+
|
-
|
-
|
+
|
|
|
Штаферка
под наружное голенище (2)
|
-
|
+
|
+
|
-
|
+
|
|
|
Штаферка
под внутреннее голенище (2)
|
-
|
+
|
+
|
-
|
+
|
|
|
Клапан
(2)
|
-
|
+
|
-
|
-
|
+
|
|
|
Декоративный
ремень (2)
|
-
|
+
|
-
|
-
|
+
|
|
|
Внутренние
детали верха
|
|
|
Подкладка
под союзку (2)
|
-
|
+
|
-
|
-
|
+
|
|
|
Подкладка
под наружное
|
-
|
+
|
-
|
-
|
+
|
|
|
голенище
(2)
|
|
|
|
|
|
|
|
Подкладка
под переднюю часть внутреннего голенища (2)
|
-
|
+
|
-
|
-
|
+
|
|
|
Подкладка
под заднюю часть внутреннего голенища (2)
|
-
|
+
|
-
|
-
|
+
|
|
|
Кожаный
карман (2)
|
+
|
-
|
-
|
-
|
+
|
|
3.
|
Сапожки
девичьи нарядные с комбинированными голенищами
|
Наружные
детали верха
|
|
|
Вытяжная
союзка (2)
|
-
|
+
|
+
|
+
|
+
|
|
|
Наружное
голенище (2)
|
-
|
+
|
+
|
-
|
+
|
|
|
Внутреннее
голенище (2)
|
-
|
+
|
+
|
-
|
+
|
|
|
Наружная
задинка (2) Внутренняя задинка (2)
|
-
|
+
|
+
|
+
+
|
+
|
|
|
Язычок
(2)
|
-
|
+
|
+
|
+
|
+
|
|
|
Подблочник
(4)
|
-
|
+
|
+
|
-
|
+
|
|
|
Штаферка
под наружное голенище (2)
|
-
|
+
|
+
|
-
|
+
|
|
|
Штаферка
под внутреннее голенище (2)
|
-
|
+
|
+
|
-
|
+
|
|
|
Внутренние
детали верха
|
|
|
Подкладка
под союзку (2)
|
-
|
+
|
-
|
-
|
-
|
|
|
Подкладка
под наружное голенище (2)
|
-
|
+
|
-
|
-
|
-
|
|
|
Подкладка
под внутреннее голенище (2)
|
-
|
+
|
-
|
-
|
-
|
|
|
Подкладка
под язычок (2)
|
-
|
+
|
+
|
+
|
+
|
|
|
Кожаный
карман (2)
|
+
|
-
|
-
|
+
|
+
|
|
|
Вкладная
стелька (2)
|
-
|
-
|
-
|
+
|
-
|
|
4.
|
Ботинки
для школьников-девочек с комбинированными берцами
|
Наружные
детали верха
|
|
|
Овальная
вставка (2)
|
-
|
+
|
+
|
+
|
+
|
|
|
Наружная
задинка (2)
|
-
|
+
|
+
|
+
|
+
|
|
|
Внутренняя
задинка (2)
|
-
|
+
|
+
|
+
|
+
|
|
|
Наружный
берец (2)
|
-
|
-
|
+
|
+
|
|
|
Внутренний
берец (2)
|
-
|
+
|
-
|
+
|
+
|
|
|
Клапан
(2)
|
-
|
+
|
-
|
+
|
+
|
|
|
Внутренние
детали верха
|
|
|
Подкладка
под наружную часть союзки (2)
|
-
|
+
|
+
|
+
|
+
|
|
|
Подкладка
под внутреннюю часть союзки (2)
|
-
|
+
|
+
|
+
|
+
|
|
|
Подкладка
под наружный берец (2)
|
-
|
+
|
+
|
+
|
+
|
|
|
Подкладка
под внутренний берец (2)
|
-
|
+
|
+
|
+
|
+
|
|
|
Кожаный
карман (2)
|
+
|
-
|
-
|
+
|
+
|
|
|
Вкладная
стелька (2)
|
-
|
-
|
-
|
+
|
-
|
|
5.
|
Ботинки
|
Наружные
детали верха
|
|
дошко
|
Союзка
(2) - + + + +
|
|
льные
нарядные
|
Носок
(2)
|
-
|
+
|
-
|
+
|
+
|
|
|
Наружный
берец (2)
|
-
|
+
|
+
|
+
|
+
|
|
|
Передняя
часть внутреннего берца (2)
|
-
|
+
|
+
|
+
|
+
|
|
|
Задняя
часть внутреннего берца (2)
|
-
|
+
|
+
|
+
|
+
|
|
|
Клапан
(2)
|
-
|
+
|
-
|
+
|
+
|
|
|
Внутренние
детали верха
|
|
|
Подкладка
под союзку (2)
|
-
|
+
|
-
|
+
|
+
|
|
|
Подкладка
под наружный берец (2)
|
-
|
+
|
+
|
+
|
+
|
|
|
Подкладка
под переднюю часть внутреннего берца (2)
|
-
|
+
|
+
|
+
|
+
|
|
|
Подкладка
под заднюю часть внутреннего берца (2)
|
-
|
+
|
+
|
+
|
+
|
|
|
Кожаный
карман (2)
|
+
|
-
|
-
|
+
|
+
|
|
|
Вкладная
стелька (2)
|
-
|
-
|
-
|
+
|
-
|
|
6.
|
Сапожки
дошкольные утепленные с комбинированными голенищами
|
Наружные
детали верха
|
|
|
Отрезная
союзка (2)
|
-
|
+
|
+
|
+
|
+
|
|
|
Наружная
задинка (2)
|
-
|
+
|
+
|
+
|
+
|
|
|
Внутренняя
задинка (2)
|
-
|
+
|
+
|
+
|
+
|
|
|
Передняя
часть наружного голенища (2)
|
-
|
+
|
+
|
-
|
+
|
|
|
Задняя
часть наружного голенища (2)
|
-
|
+
|
+
|
+
|
+
|
|
|
Передняя
часть внутреннего голенища (2)
|
-
|
+
|
+
|
-
|
+
|
|
|
Задняя
часть внутреннего голенища (2)
|
-
|
+
|
+
|
+
|
+
|
|
|
Внутренние
детали верха
|
|
|
Подкладка
под союзку (2)
|
-
|
+
|
-
|
-
|
+
|
|
|
Подкладка
под наружное голенище (2)
|
-
|
+
|
+
|
-
|
+
|
|
|
Подкладка
под внутреннее голенище (2)
|
-
|
+
|
+
|
-
|
+
|
|
|
ЗВР
(2)
|
+
|
-
|
+
|
+
|
+
|
|
7.
|
Ботинки
дошкольные
|
Наружные
детали верха
|
|
|
Вытяжная
союзка (2)
|
-
|
+
|
+
|
+
|
+
|
|
|
Фигурный
ЗНР (2)
|
-
|
+
|
+
|
+
|
+
|
|
|
Наружный
берец (2)
|
-
|
+
|
+
|
+
|
+
|
|
|
Внутренний
берец (2)
|
-
|
+
|
+
|
+
|
+
|
|
|
Клапан
(2)
|
+
|
-
|
-
|
+
|
+
|
|
|
Внутренние
детали верха
|
|
|
Подкладка
под союзку (2)
|
-
|
+
|
-
|
+
|
+
|
|
|
Подкладка
под наружный берец (2)
|
-
|
+
|
+
|
+
|
+
|
|
|
Подкладка
под переднюю часть внутреннего берца (2)
|
-
|
+
|
+
|
+
|
+
|
|
|
Подкладка
под заднюю часть внутреннего берца (2)
|
-
|
+
|
+
|
+
|
+
|
|
|
Задний
внутренний ремень(2)
|
-
|
+
|
+
|
+
|
+
|
|
|
Вкладная
стелька (2)
|
|
+
|
-
|
+
|
-
|
Таблица 2.7.2 - Технология обработки деталей
верха обуви на раскройном участке
|
Род,
вид обуви
|
Наименование
детали
|
Перечень
технологических операций
|
Технологические
нормативы
|
Марка
оборудования
|
Вспомогательные
инструменты и материалы
|
|
1
|
2
|
3
|
4
|
5
|
6
|
|
1.Ботинки
женские повседневные
|
К/карман
|
Клеймение
реквизитов и № дневки на к/кармане
|
Реквизиты
на к/кармане клеймят путем горячего тиснения через фольгу. Режим горячего
тиснения через фольгу: температура печати фольги (цветной и золотистой на
лавсановой пленке)100-110, восковой - 90-100, длительность выдержки, - 1-2 с.
|
КДВ-1-О
|
Фольга
для печати
|
|
Союзка,
ЗНР, Внутренний берец Наружный берец Язычок Подкладка под союзку Подкладка
под наружный берец Подкладка под внутренний берец Подкладка под язычок
|
Клеймение
парников на деталях верха
|
Парники
на деталях верха и подкладки клеймят путем горячего тиснения через фольгу.
Режим горячего тиснения через фольгу: температура печати фольги (цветной и
золотистой на лавсановой пленке)100-110, восковой - 90-100, длительность
выдержки, - 1-2с.
|
КДВ-1-О
|
Фольга
для печати
|
|
Союзка,
ЗНР Внутренний берец Наружный берец Подкладка под наружный берец Подкладка
под внутренний берец Подкладка под язычок К/карман
|
Окрашивание
деталей верха
|
Торцы
краев деталей, остающиеся в готовой обуви открытыми, окрашивают под цвет
лицевой стороны кожи. Краску наносят ровным тонким слоем без пропусков и
подтеков, не загрязняя детали верха. Окрашенные детали перед проведением
последующих операций должны быть высушены, сушка в теч. 5-10 мин.
|
Стол
с вытяжным устройством
|
Кисть,
казеино- вый концентрат, этилацетат, часы
|
|
Союзка,
ЗНР Внутренний берец Наружный берец
|
Выравнивание
деталей верха
|
Детали
выравнивают по толщине за один проход по всей площади при этом колебания
толщины деталей в комплекте верха обуви не
|
UAF-470
фирмы
|
Толщиномер
ТР 25-100 с
|
|
Язычок
Подкладка под союзку Подкладка под наружный берец Подкладка под внутренний
берец Подкладка под язычок К/карман Вкладная стелька
|
по
толщине
|
должны
превышать ± 1 мм. Толщина детали после выравнивания 0,9-1,1 мм
|
«Fortuna»
|
ценой
деления 0,1 м
|
|
Союзка
|
Спускание
краёв деталей
|
Союзку
спускают по линии сострачивания с язычком на1/3 первоначальной толщины.
Спущенные края должны быть одинаковыми по ширине и толщине на всем
протяжении. Ширина спущенного края 4 мм.
|
Машина
3S-RZ
|
Толщиномер
ТР 25-100 с ценой деления 0,1 м, линейка измерительная металлическая с ценой
деления 1 мм.
|
|
ЗНР
|
Спускание
краёв деталей
|
ЗНР
спускают по верхнему краю и с боковых сторон с бахтармяной стороны на 1/3
первоначальной толщины. Спущенные края должны быть одинаковыми по ширине и
толщине на всем протяжении. Ширина спущенного края 4 мм.
|
Машина
3S-RZ
|
Толщиномер
ТР 25-100 с ценой деления 0,1 м, линейка измерительная металлическая с ценой
деления 1 мм.
|
|
Берцы
|
Спускание
краёв деталей верха
|
·
Берцы
спускают по нижнему краю с бахтармяной стороны на 1/3 первоначальной толщины.
Ширина спущенного края 4 мм. · По
верхнему и переднему краям берцы спускают с бахтармяной стороны на 1/2
первоначальной толщины. Ширина спущенного края 7 мм (под загибку). · Берцы спускают по заднему
краю под строчку с бахтармяной ·
|
Машина
3S-RZ
|
Толщиномер
ТР 25-100 с ценой деления 0,1 м, линейка измерительная металлическая
|
|
|
|
·
стороны
на 1/3 первоначальной толщины. Ширина спущенного края 3 мм.Спущенные края
должны быть одинаковыми по ширине и толщине на всем протяжении.
|
|
с
ценой деления 1 мм.
|
|
2.
Женские сапожки утепленные с комбинированными голенищами
|
Клапан
|
Клеймение
реквизитов и № дневки на к/кармане
|
Реквизиты
на к/кармане клеймят путем горячего тиснения через фольгу. Режим горячего
тиснения через фольгу: температура печати фольги (цветной и золотистой на
лавсановой пленке)100-110, восковой - 90-100, длительность выдержки, - 1-2 с.
|
КДВ-1-О
|
Фольга
для печати
|
|
Вытяжная
союзка, наружная и внутренняя задинки, передняя и задняя части наружного
голенища, передняя и задняя части внутреннего голенища, штаферка под наружное
и внутреннее голенище, декоративный ремень, кожаный карман
|
Клеймение
парников на деталях верха
|
Парники
на деталях верха и подкладки клеймят путем горячего тиснения через фольгу.
Режим горячего тиснения через фольгу: температура печати фольги (цветной и
золотистой на лавсановой пленке)100-110, восковой - 90-100, длительность
выдержки, - 1-2с.
|
КДВ-1-О
|
Фольга
для печати
|
|
Вытяжная
союзка, наружная и внутренняя задинки, кожаный карман
|
Выравнивание
по толщине деталей верха
|
Детали
выравнивают по толщине за один проход по всей площади при этом колебания
толщины деталей в комплекте верха обуви не должны превышать ± 1 мм. Толщина
детали после выравнивания 0,9-1,1 мм
|
UAF-470
фирмы «Fortuna»
|
Толщиномер
ТР 25-100 с ценой деления 0,1 м
|
|
Вытяжная
союзка, наружная и внутренняя задинки
|
Окрашивание
деталей верха
|
Торцы
краев деталей, остающиеся в готовой обуви открытыми, окрашивают под цвет
лицевой стороны кожи. Краску наносят ровным тонким слоем без пропусков и
подтеков, не загрязняя детали верха. Окрашенные детали перед проведением
последующих операций должны быть высушены, сушка в теч. 5-10 мин.
|
Стол
с вытяж-ным устрой-ством
|
Кисть,
казеино- вый концентрат, этилацетат, часы
|
|
Вытяжная
союзка
|
Спускание
кра
|
Союзку
спускают по верхнему контуру 1/3 первоначальной толщи
|
Машина
|
Толщиномер
|
|
|
ёв
деталей верха
|
ны
под строчку. Спущенные края должны быть одинаковыми по ширине и толщине на
всем протяжении. Ширина спущенного края 4 мм.
|
3S-RZ
|
ТР
25-100 с ценой деления 0,1 м, линейка измерительная металлическая с ценой
деления 1 мм.
|
Спускание
краёв деталей верха
|
Задинки
по переднему, заднему и верхнему контуру спускаются под настрочной шов на 1/3
первоначальной толщины шириной 4мм. Спущенные края должны быть одинаковыми по
ширине и толщине на всем протяжении.
|
Машина
3S-RZ
|
Толщиномер
ТР 25-100 с ценой деления 0,1 м, линейка измерительная металлическая с ценой
деления 1 мм.
|
|
Передняя
и задняя части наружного голенища. передняя и задняя части внутреннего
голенища
|
Спускание
краёв деталей верха
|
Детали
составного голенища по нижнему, среднему, заднему и переднему контурам
спускаются на 1/3 первоначальной толщины, шириной 4 мм (под строчку); по верхнему
контуру - на 1/2 толщины под загибку шириной 7мм. Ширина спущенного края до
|
Машина
3S-RZ
|
Толщиномер
ТР 25-100 с ценой деления 0,1 м, линейка измерительная металлическая с ценой
деления 1 мм.
|
|
Штаферка
под наружное и внутреннее голенище
|
Спускание
краёв деталей верха
|
Штаферку
спускают по одному краю на1/3 первоначальной толщины. Спущенные края должны
быть одинаковыми по ширине и толщине на всем протяжении. Ширина спущенного
края 4 мм.
|
Машина
3S-RZ
|
Толщиномер
ТР 25-100 с ценой деления 0,1 м, линейка измерительная металлическая
|
|
|
|
|
|
с
ценой деления 1 мм.
|
|
Дакекоративный
ремень
|
Спускание
краёв деталей верха
|
Декоративный
ремень по длине с двух сторон спускают на 1/2 первоначальной толщины шириной
7мм на загибку, по линии ширины по обе стороны спускают на 1/3 под строчку -
4 мм. Спущенные края должны быть одинаковыми по ширине и толщине на всем
протяжении.
|
Машина
3S-RZ
|
Толщиномер
ТР 25-100 с ценой деления 0,1 м, линейка измерительная металлическая с ценой
деления 1 мм.
|
|
Подкладка
под голенище и союзку
|
Спускание
краёв деталей верха
|
Голенище
и союзка по всему периметру спускаются на ширину 7мм на величину ворса меха
|
Машины
АСГ-13
|
Толщиномер
ТР 25-100 с ценой деления 0,1 м, линейка измерительная металлическая с ценой
деления 1 мм.
|
|
3.
Сапожки девичьи нарядные с комбинированными голенищами
|
Штаферка
под наружное голенище
|
Клеймение
реквизитов и № дневки на к/кармане
|
Реквизиты
на к/кармане клеймят путем горячего тиснения через фольгу. Режим горячего
тиснения через фольгу: температура печати фольги (цветной и золотистой на
лавсановой пленке)100-110, восковой - 90-100, длительность выдержки, - 1-2 с.
|
КДВ-1-О
|
Фольга
для печати
|
|
Вытяжная
союзка, наружное и внутреннее голенища, наружная и внутренняя задинки,
язычок, подблочник, штаферка под наружное и внутреннее голенища
|
Клеймение
парников на деталях верха
|
Парники
на деталях верха и подкладки клеймят путем горячего тиснения через фольгу.
Режим горячего тиснения через фольгу: температура печати фольги (цветной и
золотистой на лавсановой пленке)100-110, восковой - 90-100, длительность
выдержки, - 1-2с.
|
КДВ-1-О
|
Фольга
для печати
|
|
Вытяжная
союзка, наружное и внутреннее голенища, наружная и внутренняя задинки,
язычок, подблочник, штаферка под наружное и внутреннее голенища
|
Окрашивание
деталей верха
|
Торцы
краев деталей, остающиеся в готовой обуви открытыми, окрашивают под цвет
лицевой стороны кожи. Краску наносят ровным тонким слоем без пропусков и
подтеков, не загрязняя детали верха. Окрашенные детали перед проведением
последующих операций должны быть высушены, сушка в теч. 5-10 мин.
|
Стол
с вытяж-ным устрой-ством
|
Кисть,
казеино- вый концентрат, этилацетат, часы
|
|
Вытяжная
союзка, наружная и внутренняя задинки, язычок, вкладная стелька
|
Выравнивание
деталей верха по толщине
|
Детали
выравнивают по толщине за один проход по всей площади при этом колебания
толщины деталей в комплекте верха обуви не должны превышать ± 1 мм. Толщина
детали после выравнивания 0,9-1,1 мм
|
UAF-470
фирмы «Fortuna»
|
Толщиномер
ТР 25-100 с ценой деления 0,1 м
|
|
Вытяжная
союзка
|
Спускание
краев деталей верха
|
Союзку
по верхнему контуру спускают на 1/3 первоначальной толщины шириной 4 мм, под
строчку. Спущенные края должны быть одинаковыми по ширине и толщине на всем
протяжении.
|
Машина
3S-RZ
|
Толщиномер
ТР 25-100 с ценой деления 0,1 м, линейка измерительная металлическая с ценой
деления 1 мм.
|
|
Наружное
и внутреннее голенища, наружная и внутренняя задинки
|
Спускание
краев деталей верха
|
Наружное
и внутреннее голенища, наружная и внутренняя задинки спускаются по всему
контуру (кроме нижнего) под строчку на ширину 4 мм, 1/3 первоначальной
толщины. Спущенные края должны быть одинаковыми по ширине и толщине на всем
протяжении.
|
Машина
3S-RZ
|
Толщиномер
ТР 25-100 с ценой деления 0,1 м, линейка измерительная металлическая с ценой
деления 1 мм.
|
|
Язычок,
подблочник, штаферка под наружное
|
Спускание
краев деталей
|
Спускаются
по всему контуру на величину 1/3 первоначальной толщины, шириной 4 мм.
Спущенные края должны быть одинако-
|
Машина
3S-RZ
|
Толщиномер
ТР 25-100 с
|
|
и
внутреннее голенища
|
верха
|
выми
по ширине и толщине на всем протяжении.
|
|
ценой
деления 0,1 м, линейка измерительная металлическая с ценой деления 1 мм.
|
|
4.
Ботинки для школьников-девочек с комбинированными берцами
|
К/карман
|
Клеймение
реквизитов и № дневки на к/кармане
|
Реквизиты
на к/кармане клеймят путем горячего тиснения через фольгу. Режим горячего
тиснения через фольгу: температура печати фольги (цветной и золотистой на
лавсановой пленке)100-110, восковой - 90-100, длительность выдержки, - 1-2 с.
|
КДВ-1-О
|
Фольга
для печати
|
|
Овальная
вставка, наружная и внутренняя задинки, наружный и внутренний берцы, клапан,
подкладка под наружный и внутренний берцы, подкладка под наружную и
внутреннюю части союзки
|
Клеймение
парников на деталях верха
|
Парники
на деталях верха и подкладки клеймят путем горячего тиснения через фольгу.
Режим горячего тиснения через фольгу: температура печати фольги (цветной и
золотистой на лавсановой пленке)100-110, восковой - 90-100, длительность
выдержки, - 1-2с.
|
КДВ-1-О
|
Фольга
для печати
|
|
Овальная
вставка, наружная и внутренняя задинки, наружный и внутренний берцы
|
Окрашивание
деталей верха
|
Торцы
краев деталей, остающиеся в готовой обуви открытыми, окрашивают под цвет
лицевой стороны кожи. Краску наносят ровным тонким слоем без пропусков и
подтеков, не загрязняя детали верха. Окрашенные детали перед проведением
последующих операций должны быть высушены, сушка в теч. 5-10 мин.
|
Стол
с вытяж-ным устрой-ством
|
Кисть,
казеино- вый концентрат, этилацетат, часы
|
|
Овальная
вставка, наружная и внутренняя задинки, подкладка под наружный и внутренний
берцы, подкладка под
|
Выравнивание
деталей верха по толщине
|
Детали
выравнивают по толщине за один проход по всей площади при этом колебания
толщины деталей в комплекте верха обуви не должны превышать ± 1 мм. Толщина
детали после выравнивания 0,9-1,1 мм
|
UAF-470
фирмы «Fortuna»
|
Толщиномер
ТР 25-100 с ценой деления 0,1 м
|
|
наружную
и внутреннюю части союзки
|
|
|
|
|
|
Овальная
вставка, наружная и внутренняя задинки, наружный и внутренний берцы
|
Спускание
краев деталей верха
|
Спускаются
по всему контуру (кроме нижнего) под строчку на 1/3 первоначальной толщины,
шириной 4 мм с бахтармяной стороны. Спущенные края должны быть одинаковыми по
ширине и толщине на всем протяжении.
|
Машина
3S-RZ
|
Толщиномер
ТР 25-100 с ценой деления 0,1 м, линейка измерительная металлическая с ценой
деления 1 мм.
|
|
5.
Ботинки дошкольные нарядные
|
К/карман
|
Клеймение
реквизитов и № дневки на к/кармане
|
Реквизиты
на к/кармане клеймят путем горячего тиснения через фольгу. Режим горячего
тиснения через фольгу: температура печати фольги (цветной и золотистой на
лавсановой пленке)100-110, восковой - 90-100, длительность выдержки, - 1-2 с.
|
КДВ-1-О
|
Фольга
для печати
|
|
Союзка,
носок, наружный берец, передняя и задняя части внутреннего берца, клапан,
подкладка под союзку, подкладка под наружный берец, подкладка под переднюю и
заднюю части внутреннего берца
|
Клеймение
парников на деталях верха
|
Парники
на деталях верха и подкладки клеймят путем горячего тиснения через фольгу.
Режим горячего тиснения через фольгу: температура печати фольги (цветной и
золотистой на лавсановой пленке)100-110, восковой - 90-100, длительность
выдержки, - 1-2с.
|
КДВ-1-О
|
Фольга
для печати
|
|
Союзка,
наружный берец, передняя и задняя части внутреннего берца
|
Окрашивание
деталей верха
|
Торцы
краев деталей, остающиеся в готовой обуви открытыми, окрашивают под цвет
лицевой стороны кожи. Краску наносят ровным тонким слоем без пропусков и
подтеков, не загрязняя детали верха. Окрашенные детали перед проведением
последующих операций должны быть высушены, сушка в теч. 5-10 мин.
|
Стол
с вытяж-ным устрой-ством
|
Кисть,
казеино- вый концентрат, этилацетат, часы
|
|
Союзка,
носок, наруж
|
Выравнивание
|
Детали
выравнивают по толщине за один проход по всей площади
|
UAF-470
|
Толщиномер
|
|
ный
берец, передняя и задняя части внутреннего берца, клапан, подкладка под
союзку, подкладка под наружный берец, подкладка под переднюю и заднюю части
внутреннего берца
|
деталей
верха по толщине
|
при
этом колебания толщины деталей в комплекте верха обуви не должны превышать ±
1 мм. Толщина детали после выравнивания 0,9-1,1 мм
|
фирмы
«Fortuna»
|
ТР
25-100 с ценой деления 0,1 м
|
|
Союзка
|
Спускание
краев деталей верха
|
Спускают
по верхнему и нижнему контуру под строчку на ширину 4 мм на 1/3
первоначальной толщины. Спущенные края должны быть одинаковыми по ширине и
толщине на всем протяжении.
|
Машина
3S-RZ
|
Толщиномер
ТР 25-100 с ценой деления 0,1 м, линейка измерительная металлическая с ценой
деления 1 мм.
|
|
Наружный
берец
|
Спускание
краев деталей верха
|
Спускают
по переднему и заднему контуру под тугой тачной шов на ширину 3 мм на 1/2
первоначальной толщины. Спущенные края должны быть одинаковыми по ширине и
толщине на всем протяжении.
|
Машина
3S-RZ
|
Толщиномер
ТР 25-100 с ценой деления 0,1 м, линейка измерительная металлическая с ценой
деления 1 мм.
|
|
Передняя
и задняя части внутреннего голенища
|
Спускание
краев деталей верха
|
Спускают
по переднему и заднему контуру под тугой тачной шов на ширину 3 мм на 1/2
первоначальной толщины. Спущенные края должны быть одинаковыми по ширине и
толщине на всем протяжении.
|
Машина
3S-RZ
|
Толщиномер
ТР 25-100 с ценой деления 0,1 м, линейка измерительная металлическая.
|
|
|
|
|
|
с
ценой деления 1 мм
|
|
6.
Сапожки дошкольные утепленные с комбинированными голенищами
|
ЗВР
|
Клеймение
реквизитов и № дневки на к/кармане
|
Реквизиты
на к/кармане клеймят путем горячего тиснения через фольгу. Режим горячего
тиснения через фольгу: температура печати фольги (цветной и золотистой на
лавсановой пленке)100-110, восковой - 90-100, длительность выдержки, - 1-2 с.
|
КДВ-1-О
|
Фольга
для печати
|
|
Отрезная
союзка, наружная и внутреняя задинки, передняя и задняя части наружного
голенища, передняя и задняя части внутреннего голенища
|
Клеймение
парников на деталях верха
|
Парники
на деталях верха и подкладки клеймят путем горячего тиснения через фольгу.
Режим горячего тиснения через фольгу: температура печати фольги (цветной и
золотистой на лавсановой пленке)100-110, восковой - 90-100, длительность
выдержки, - 1-2с.
|
КДВ-1-О
|
Фольга
для печати
|
|
Отрезная
союзка, наружная и внутреняя задинки, передняя и задняя части наружного
голенища, передняя и задняя части внутреннего голенища
|
Окрашивание
деталей верха
|
Торцы
краев деталей, остающиеся в готовой обуви открытыми, окрашивают под цвет
лицевой стороны кожи. Краску наносят ровным тонким слоем без пропусков и
подтеков, не загрязняя детали верха. Окрашенные детали перед проведением
последующих операций должны быть высушены, сушка в теч. 5-10 мин.
|
Стол
с вытяж-ным устрой-ством
|
Кисть,
казеино- вый концентрат, этилацетат, часы
|
|
Отрезная
союзка, наружная и внутреняя задинки, задняя часть наружного голенища, задняя
часть внутреннего голенища, ЗВР
|
Выравнивание
деталей верха по толщине
|
Детали
выравнивают по толщине за один проход по всей площади при этом колебания
толщины деталей в комплекте верха обуви не должны превышать ± 1 мм. Толщина
детали после выравнивания 0,9-1,1 мм
|
UAF-470
фирмы «Fortuna»
|
Толщиномер
ТР 25-100 с ценой деления 0,1 м
|
|
Отрезная
союзка
|
Спускание
краев деталей верха
|
Спускают
по верхнему контуру под строчку на ширину 4 мм на 1/3 первоначальной толщины.
Спущенные края должны быть одинаковыми по ширине и толщине на всем
протяжении.
|
Машина
3S-RZ
|
Толщиномер
ТР 25-100 с ценой деления 0,1 м, линейка измерительная металлическая с ценой
деления 1 мм.
|
|
Наружная
и внутреняя задинки
|
Спускание
краев деталей верха
|
Спускают
по верхнему контуру под строчку на ширину 4 мм на 1/3 первоначальной толщины,
по заднему контуру - на ширину 3 мм под тугой тачной шов. Спущенные края
должны быть одинаковыми по ширине и толщине на всем протяжении.
|
Машина
3S-RZ
|
Толщиномер
ТР 25-100 с ценой деления 0,1 м, линейка измерительная металлическая с ценой
деления 1 мм.
|
|
Задняя
часть наружного голенища, задняя часть внутреннего голенища
|
Спускание
краев деталей верха
|
Спускают
по переднему контуру под строчку на ширину 4 мм на 1/3 первоначальной
толщины, по заднему контуру - на ширину 3 мм под тугой тачной шов. Спущенные
края должны быть одинаковыми по ширине и толщине на всем протяжении.
|
Машина
3S-RZ
|
Толщиномер
ТР 25-100 с ценой деления 0,1 м, линейка измерительная металлическая с ценой
деления 1 мм.
|
|
Передняя
часть наружного голенища, передняя часть внутреннего голенища
|
Спускание
краев деталей верха
|
Спускают
по переднему, заднему и нижнему контуру под строчку на ширину 4 мм на 1/3
первоначальной толщины. Спущенные края должны быть одинаковыми по ширине и
толщине на всем протяжении.
|
Машина
3S-RZ
|
Толщиномер
ТР 25-100 с ценой деления 0,1 м, линейка измерительная металлическая
|
|
|
|
|
|
с
ценой деления 1 мм.
|
|
Подкладка
под союзку, подкладка под наружное и внутреннее голенище
|
Спускание
краев деталей верха
|
Подкладка
под голенище и союзку по всему периметру спускаются на ширину 7мм на величину
ворса меха
|
Машины
АСГ-13
|
Толщиномер
ТР 25-100 с ценой деления 0,1 м, линейка измерительная металлическая с ценой
деления 1 мм.
|
|
7.
Ботинки дошкольные
|
Клапан
|
Клеймение
реквизитов и № дневки на к/кармане
|
Реквизиты
на к/кармане клеймят путем горячего тиснения через фольгу. Режим горячего
тиснения через фольгу: температура печати фольги (цветной и золотистой на
лавсановой пленке)100-110, восковой - 90-100, длительность выдержки, - 1-2 с.
|
КДВ-1-О
|
Фольга
для печати
|
|
Вытяжная
союзка, наружный берец, передняя и задняя части внутреннего берца, фигурный
ЗНР
|
Клеймение
парников на деталях верха
|
Парники
на деталях верха и подкладки клеймят путем горячего тиснения через фольгу.
Режим горячего тиснения через фольгу: температура печати фольги (цветной и
золотистой на лавсановой пленке)100-110, восковой - 90-100, длительность
выдержки, - 1-2с.
|
КДВ-1-О
|
Фольга
для печати
|
|
Вытяжная
союзка, наружный берец, передняя и задняя части внутреннего берца, фигурный
ЗНР
|
Окрашивание
деталей верха
|
Торцы
краев деталей, остающиеся в готовой обуви открытыми, окрашивают под цвет
лицевой стороны кожи. Краску наносят ровным тонким слоем без пропусков и
подтеков, не загрязняя детали верха. Окрашенные детали перед проведением
последующих операций должны быть высушены, сушка в теч. 5-10 мин.
|
Стол
с вытяжным устройством
|
Кисть,
казеино- вый концентрат, этилацетат, часы
|
|
Вытяжная
союзка, наружный берец, внутренний берец, фигурный ЗНР, подкладка под союзку,
подкладка под на
|
Выравнивание
деталей верха по толщине
|
Детали
выравнивают по толщине за один проход по всей площади при этом колебания
толщины деталей в комплекте верха обуви не должны превышать ± 1 мм. Толщина
детали после выравнивания 0,9-1,1 мм
|
UAF-470
фирмы «Fortuna»
|
Толщиномер
ТР 25-100 с ценой деления 0,1 м
|
|
ружный
берец, подкладка под переднюю и заднюю части внутреннего берца, ЗВР, вкладная
стелька, клапан
|
|
|
|
|
|
Вытяжная
союзка, наружный берец, внутренний берец, фигурный ЗНР, подкладка под союзку,
подкладка под наружный берец
|
Окрашивание
деталей верха
|
Торцы
краев деталей, остающиеся в готовой обуви открытыми, окрашивают под цвет
лицевой стороны кожи. Краску наносят ровным тонким слоем без пропусков и
подтеков, не загрязняя детали верха. Окрашенные детали перед проведением
последующих операций должны быть высушены, сушка в теч. 5-10 мин.
|
Стол
с вытяжным устройством
|
Кисть,
казеино- вый концентрат, этилацетат, часы
|
|
Вытяжная
союзка
|
Спускание
краев деталей верха
|
Спускают
по верхнему контуру под строчку на ширину 4 мм на 1/3 первоначальной толщины.
Спущенные края должны быть одинаковыми по ширине и толщине на всем
протяжении.
|
Машина
3S-RZ
|
Толщиномер
ТР 25-100 с ценой деления 0,1 м, линейка измерительная металлическая с ценой
деления 1 мм.
|
|
Наружный
берец, внутренний берец, фигурный ЗНР
|
Спускание
краев деталей верха
|
Спускают
по верхнему контуру и боковым сторонам с бахтармяной стороны под строчку на
ширину 4 мм на 1/3 первоначальной толщины. Спущенные края должны быть
одинаковыми по ширине и толщине на всем протяжении.
|
Машина
3S-RZ
|
Толщиномер
ТР 25-100 с ценой деления 0,1 м, линейка измерительная металлическая с ценой
деления 1 мм.
|
Таблица 2.7.3 - Расчет потребности рабочих на
операции обработки деталей верха обуви
|
№
п/п
|
Род,
вид обуви
|
Наименование
технологической операции
|
Способ
работы
|
Наименование
деталей
|
Программа
в смену
|
Отраслевая
норма выработки пар в смену
|
Расчетное
количество рабочих
|
Наименование
оборудования
|
|
1
|
2
|
3
|
4
|
5
|
6
|
7
|
8
|
9
|
|
1
|
1.
Ботинки женские повседневные
|
Клеймение
реквизитов и № дневки на к/кармане (2 дет.)
|
|
К/карман
|
700
|
2328
|
0,3
|
КДВ-1
стол
|
|
2
|
|
Клеймение
парников на деталях верха (10 дет)
|
|
Союзка
(2)
|
700
|
745
|
0,94
|
КДВ-1
стол
|
|
|
|
|
Задний
наружный ремень (2)
|
700
|
|
|
|
|
|
|
|
Внутренний
берец (2)
|
700
|
|
|
|
|
|
|
|
Наружный
берец (2)
|
700
|
|
|
|
|
|
|
|
Язычок
(2)
|
700
|
|
|
|
|
3
|
|
Окрашивание
деталей верха (8 дет)
|
|
Союзка
(2)
|
700
|
692
|
1,0
|
Стол
|
|
|
|
|
Задний
наружный ремень (2)
|
|
|
|
|
|
|
|
|
Внутренний
берец (2)
|
|
|
|
|
|
|
|
|
Наружный
берец (2)
|
|
|
|
|
|
|
|
|
Язычок
(2)
|
|
|
|
|
|
4
|
|
Выравнивание
деталей верха по толщине
|
|
Союзка
|
700
|
409
|
1,7
|
UAF-470 стол
|
|
|
|
|
Подкладка
под союзку (2)
|
|
|
|
|
|
|
|
|
Подкладка
под наружный берец(2)
|
|
|
|
|
|
|
|
|
Подкладка
под внутренний берец (2)
|
|
|
|
|
|
|
|
|
Кожаный
карман (2)
|
|
|
|
|
|
|
|
|
Подкладка
под язычок (2)
|
|
|
|
|
|
5
|
|
Спускание
краев деталей верха
|
|
Союзка
|
700
|
205
|
3,4
|
3
S-RZ
стол
|
|
|
|
|
Задний
наружный ремень
|
|
|
|
|
|
|
|
|
Внутренний
берец
|
|
|
|
|
|
|
|
|
Наружный
берец
|
|
|
|
|
|
|
|
|
Язычок
|
|
|
|
|
|
|
|
|
Подкладка
под союзку (2)
|
700
|
375
|
1,9
|
|
|
|
|
|
Подкладка
под наружный берец (2)
|
|
|
|
|
|
|
|
|
Подкладка
под внутренний берец (2)
|
|
|
|
|
|
|
|
|
Кожаный
карман (2)
|
|
|
|
|
|
|
|
|
Подкладка
под язычок (2)
|
|
|
|
|
|
|
|
|
Вкладная
стелька (2)
|
|
|
|
|
|
1
|
2.
Женские сапожки утепленные с комбинированными голенищами
|
Клеймение
реквизитов и № дневки на к/кармане (2 дет.)
|
|
Штаферка
под наружнее голенище
|
530
|
2328
|
0,23
|
КДВ-1
стол
|
|
2
|
|
Клеймение
парников на деталях верха (14 дет.)
|
|
Вытяжка
союзка (2)
|
530
|
580
|
0,9
|
КДВ-1
стол
|
|
|
|
|
Наружная
задинка (2)
|
|
|
|
|
|
|
|
|
Внутренняя
задинка (2)
|
|
|
|
|
|
|
|
|
Передняя
часть наружного голенища (2)
|
|
|
|
|
|
|
|
|
Задняя
часть наружного голенища (2)
|
|
|
|
|
|
|
|
|
Штаферка
под внутреннее голенище (2)
|
|
|
|
|
|
|
|
|
Клапан
(2)
|
|
|
|
|
|
|
|
|
Декоративный
ремень (2)
|
|
|
|
|
|
3
|
|
Окрашивание
деталей верха (8 дет)
|
|
Вытяжка
союзка (2)
|
530
|
690
|
0,8
|
Стол
|
|
|
|
|
Наружная
задинка (2)
|
|
|
|
|
|
|
|
|
Внутренняя
задинка (2)
|
|
|
|
|
|
|
|
|
Передняя
часть наружного голенища (2)
|
|
|
|
|
|
|
|
|
Задняя
часть наружного голенища (2)
|
|
|
|
|
|
|
|
|
Передняя
часть внутреннего голенища (2)
|
|
|
|
|
|
|
|
|
Задняя
часть внутреннего голенища (2)
|
|
|
|
|
|
|
|
|
Штаферка
под наружное голенище (2)
|
|
|
|
|
|
|
|
|
Штаферка
под внутреннее голенище
|
|
|
|
|
|
|
|
|
Клапан
(2)
|
|
|
|
|
|
|
|
|
Декоративный
ремень (2)
|
|
|
|
|
|
4
|
|
Выравнивание
деталей верха по толщине
|
|
Вытяжка
союзка (2)
|
530
|
900
|
0,6
|
UAF-470 стол
|
|
|
|
|
|
|
|
|
Внутренняя
задинка
|
|
|
|
|
|
|
|
|
Кожаный
карман (2)
|
530
|
3409
|
0,2
|
|
|
5
|
|
Спускание
краев деталей верха
|
|
Вытяжная
союзка (2)
|
530
|
100
|
5,3
|
3 S-R стол
|
|
|
|
|
Наружная
задинка (2)
|
|
|
|
|
|
|
|
|
Внутренняя
задинка (2)
|
|
|
|
|
|
|
|
|
Передняя
часть наружного голенища (2)
|
|
|
|
|
|
|
|
|
Задняя
часть наружного голенища (2)
|
|
|
|
|
|
|
|
|
Штаферка
под наружное голенище (2)
|
|
|
|
|
|
|
|
|
|
|
|
|
|
|
|
|
|
Штаферка
под внутреннее голенище (2)
|
|
|
|
|
|
|
|
|
Клапан
(2)
|
|
|
|
|
|
|
|
|
Декоративный
ремень (2)
|
|
|
|
|
|
|
|
|
Подкладка
под союзку (2)
|
530
|
130
|
4,1
|
3
S-RZ стол
|
|
|
|
|
Подкладка
под наружное голенище (2)
|
|
|
|
|
|
|
|
|
Подкладка
под переднюю часть внутреннего голенища (2)
|
|
|
|
|
|
|
|
|
Подкладка
под заднюю часть внутреннего голенища (2)
|
|
|
|
|
|
|
|
|
Кожаный
карман (2)
|
|
|
|
|
|
1
|
3.
Сапожки девичьи нарядные с комбинированными голенищами
|
Клеймение
реквизитов и № дневки на к/кармане (2 дет)
|
|
Штаферка
под наружное голенище (2)
|
650
|
2328
|
0,3
|
КДВ-1
стол
|
|
2
|
|
Клеймение
парников на деталях верха
|
|
Вытяжная
союзка (2)
|
650
|
745
|
0,9
|
КВД-1
стол
|
|
|
|
|
Наружное
голенище (2)
|
|
|
|
|
|
|
|
|
Наружная
задинка (2)
|
|
|
|
|
|
|
|
|
Внутренняя
задинка (2)
|
|
|
|
|
|
|
|
|
Язычок
(2)
|
|
|
|
|
|
|
|
|
Подблочник
(4)
|
|
|
|
|
|
|
|
|
Штаферка
под наружное голенище (2)
|
|
|
|
|
|
|
|
|
Штаферка
под наружное голенище (2)
|
|
|
|
|
|
3
|
|
Окрашивание
деталей верха (10 дет)
|
|
Вытяжная
союзка (2)
|
650
|
474
|
1,4
|
Стол
|
|
|
|
|
Наружное
голенище (2)
|
|
|
|
|
|
|
|
|
Внутреннее
голенище (2)
|
|
|
|
|
|
|
|
|
Наружная
задинка (2)
|
|
|
|
|
|
|
|
|
Внутренняя
задинка (2)
|
|
|
|
|
|
|
|
|
Язычок
(2)
|
|
|
|
|
|
|
|
|
Подблочник
(4)
|
|
|
|
|
|
|
|
|
Штаферка
под наружное голенище (2)
|
|
|
|
|
|
|
|
|
Штаферка
под внутреннее голенище (2)
|
|
|
|
|
|
4
|
|
Выравнивание
деталей верха по толщине
|
|
Вытяжная
союзка (2)
|
650
|
900
|
0,7
|
UAF-470 стол
|
|
|
|
|
Наружная
задинка (2)
|
|
|
|
|
|
|
|
|
Внутренняя
задинка (2)
|
|
|
|
|
|
|
|
|
Язычок
(2)
|
|
|
|
|
|
|
|
|
Подкладка
под язычок
|
650
|
1600
|
0,4
|
|
|
|
|
|
(2)
|
|
|
|
|
|
|
|
|
Кожаный
карман (2)
|
650
|
3409
|
0,19
|
|
|
|
|
|
Вкладная
стелька (2)
|
650
|
1500
|
0,4
|
|
|
5
|
|
Спускание
краев деталей верха
|
|
Вытяжная
союзка (2)
|
650
|
115
|
5,7
|
3
S-RZ
стол
|
|
|
|
|
Наружное
голенище (2)
|
|
|
|
|
|
|
|
|
Внутренне
голенище (2)
|
|
|
|
|
|
|
|
|
Наружная
задинка (2)
|
|
|
|
|
|
|
|
|
Внутренняя
задинка (2)
|
|
|
|
|
|
|
|
|
Язычок
(2)
|
|
|
|
|
|
|
|
|
Подблочник
(2)
|
|
|
|
|
|
|
|
|
Штаферка
под наружное голенище (2)
|
|
|
|
|
|
|
|
|
Штаферка
под наружное голенище (2)
|
|
|
|
|
|
|
|
|
Подкладка
под язычок (2)
|
|
|
|
|
|
|
|
|
Кожаный
карман (2)
|
410
|
1,6
|
|
|
|
1
|
4.
Ботинки для школьников - девочек
|
Клеймение
реквизитов и № дневки на к/кармане (2 дет)
|
|
Кожаный
карман (2)
|
800
|
2328
|
0,3
|
КДВ-1
стол
|
|
2
|
|
Клеймение
парников на деталях верха (10 дет)
|
|
Овальная
вставка (2)
|
800
|
745
|
1,1
|
КДВ-1
стол
|
|
|
|
|
Наружная
задинка (2)
|
|
|
|
|
|
|
|
|
Внутрення
задинка (2)
|
|
|
|
|
|
|
|
|
Наружный
берец (2)
|
|
|
|
|
|
|
|
|
Внутренний
берец (2)
|
|
|
|
|
|
|
|
|
Клапан
(2)
|
|
|
|
|
|
3
|
|
Окрашивание
деталей верха (10 дет)
|
|
Овальная
вставка (2)
|
800
|
501
|
1,6
|
Стол
|
|
|
|
|
Наружная
задинка (2)
|
|
|
|
|
|
|
|
|
Внутрення
задинка (2)
|
|
|
|
|
|
|
|
|
Наружный
берец (2)
|
|
|
|
|
|
|
|
|
Внутренний
берец (2)
|
|
|
|
|
|
|
|
|
Клапан
(2)
|
|
|
|
|
|
4
|
|
Выравнивание
деталей верха по толщине
|
|
Овальная
вставка (2)
|
800
|
1000
|
0,8
|
UAF-470 стол
|
|
|
|
|
Наружная
задинка (2)
|
|
|
|
|
|
|
|
|
Внутрення
задинка (2)
|
|
|
|
|
|
|
|
|
Подкладка
под наружную часть союзки (2)
|
800
|
1923
|
0,4
|
|
|
|
|
|
Подкладка
под внутреннюю часть союзки (2)
|
|
|
|
|
|
|
|
|
Подкладка
под наружный берец (2)
|
|
|
|
|
|
|
|
|
Подкладка
под внутренний берец (2)
|
|
|
|
|
|
|
|
|
Кожаный
карман (2)
|
800
|
3409
|
0,2
|
|
|
|
|
|
Вкладная
стелька (2)
|
800
|
1500
|
0,5
|
|
|
5
|
|
Спускание
|
|
Овальная
вставка (2)
|
800
|
167
|
4,8
|
3 S-RZ
|
|
|
краев
детали
|
|
Наружная
задинка (2)
|
|
|
|
стол
|
|
|
верха
|
|
Внутренняя
задинка (2)
|
|
|
|
|
|
|
|
|
Наружный
берец (2)
|
|
|
|
|
|
|
|
|
Внутренний
берец (2)
|
|
|
|
|
|
|
|
|
Клапан
(2)
|
|
|
|
|
|
|
|
|
Подкладка
под наружную часть союзки (2)
|
800
|
377
|
2,1
|
|
|
|
|
|
Подкладка
под внутреннюю часть союзки (2)
|
|
|
|
|
|
|
|
|
Подкладка
под наружный берец (2)
|
|
|
|
|
|
|
|
|
Подкладка
под внутренний берец (2)
|
|
|
|
|
|
|
|
|
Кожаный
карман (2)
|
|
|
|
|
|
|
|
|
Вкладная
стелька (2)
|
|
|
|
|
|
1
|
5.
Ботинки дошкольные нарядные
|
Клеймение
реквизитов и № дневки на к/кармане (2 дет)
|
|
Клапан
(2)
|
600
|
2328
|
0,3
|
КВД-1
стол
|
|
2
|
|
Клеймение
парников на деталях верха (10 дет)
|
|
Союзка
(2)
|
600
|
745
|
0,8
|
КВД-1
стол
|
|
|
|
|
Носок
(2)
|
|
|
|
|
|
|
|
|
Наружный
берец (2)
|
|
|
|
|
|
|
|
|
Передняя
часть внутреннего берца (2)
|
|
|
|
|
|
|
|
|
Задняя
часть внутреннего берца (2)
|
|
|
|
|
|
3
|
|
Окрашивание
деталей верха (6 дет)
|
|
Союзка
(2)
|
600
|
900
|
0,7
|
Стол
|
|
|
|
|
Носок
(2)
|
|
|
|
|
|
|
|
|
Наружный
берец (2)
|
|
|
|
|
|
|
|
|
Передняя
часть внутреннего берца (2)
|
|
|
|
|
|
|
|
|
Задняя
часть внутреннего берца (2)
|
|
|
|
|
|
4
|
|
Выравнивание
деталей верха по толщине
|
|
Союзка
(2)
|
600
|
409
|
1,5
|
UAF-470 стол
|
|
|
|
|
Носок
(2)
|
|
|
|
|
|
|
|
|
Наружный
берец (2)
|
|
|
|
|
|
|
|
|
Передняя
часть внутреннего берца (2)
|
|
|
|
|
|
|
|
|
Задняя
часть внутреннего берца (2)
|
|
|
|
|
|
|
|
|
Клапан
(2)
|
600
|
8900
|
0,07
|
|
|
|
|
|
Подкладка
под союзку (2)
|
600
|
643
|
0,9
|
|
|
|
|
|
Подкладка
под наружный берец (2)
|
|
|
|
|
|
|
|
|
Подкладка
под переднюю часть внутреннего берца (2)
|
|
|
|
|
|
|
|
|
Кожаный
карман (2)
|
600
|
3409
|
0,2
|
|
|
|
|
|
Вкладная
стелька (2)
|
600
|
1500
|
0,4
|
|
|
5
|
|
Спускание
|
|
Союзка
(2)
|
600
|
250
|
2,4
|
3 S-RZ
|
|
|
краев
деталей
|
|
Носок
(2)
|
|
|
|
стол
|
|
|
верха
|
|
Наружный
берец (2)
|
|
|
|
|
|
|
|
|
Передняя
часть внутреннего берца (2)
|
|
|
|
|
|
|
|
|
Задняя
часть внутреннего берца (2)
|
|
|
|
|
|
|
|
|
Клапан
(2)
|
|
|
|
|
|
|
|
|
Подкладка
под союзку (2)
|
600
|
385
|
1,6
|
|
|
|
|
|
Подкладка
под наружный берец (2)
|
|
|
|
|
|
|
|
|
Подкладка
под переднюю часть внутреннего берца (2)
|
|
|
|
|
|
|
|
|
Подкладка
под заднюю часть внутреннего берца (2)
|
|
|
|
|
|
|
|
|
Кожаный
карман (2)
|
|
|
|
|
|
|
|
|
Вкладная
стелька (2)
|
|
|
|
|
|
1
|
6.
Сапожки дошкольные с крмбинированными голенищами
|
Клеймение
реквизитов и № дневки на к/кармане (2 дет)
|
|
ЗВР
(2)
|
700
|
2328
|
0,3
|
КДВ-1
стол
|
|
2
|
|
Клеймение
парников на деталях верха (14 дет)
|
|
Отрезная
союзка (2)
|
700
|
580
|
1,2
|
КДВ-1
стол
|
|
|
|
|
Наружная
задинка (2)
|
|
|
|
|
|
|
|
|
Внутренняя
задинка (2)
|
|
|
|
|
|
|
|
|
Передняя
часть наружного голенища (2)
|
|
|
|
|
|
|
|
|
Задняя
часть наружного голенища (2)
|
|
|
|
|
|
|
|
|
Передняя
часть внутреннего голенища (2)
|
|
|
|
|
|
|
|
|
Задняя
часть внутреннего голенища (2)
|
|
|
|
|
|
3
|
|
Окрашивание
деталей верха (14 дет)
|
|
Отрезная
союзка (2)
|
700
|
480
|
1,5
|
Стол
|
|
|
|
|
Наружная
задинка (2)
|
|
|
|
|
|
|
|
|
Внутренняя
задинка (2)
|
|
|
|
|
|
|
|
|
Передняя
часть наружного голенища (2)
|
|
|
|
|
|
|
|
|
Задняя
часть наружного голенища (2)
|
|
|
|
|
|
|
|
|
Передняя
часть внутреннего голенища (2)
|
|
|
|
|
|
|
|
|
Задняя
часть внутреннего голенища (2)
|
|
|
|
|
|
4
|
|
Выравнивание
деталей верха по толщине
|
|
Отрезная
союзка (2)
|
700
|
415
|
1,7
|
UAF-470 стол
|
|
|
|
|
Наружная
задинка (2)
|
|
|
|
|
|
|
|
|
Внутренняя
задинка (2)
|
|
|
|
|
|
|
|
|
Задняя
часть внутреннего голенища (2)
|
|
|
|
|
|
|
|
|
ЗВР
(2)
|
700
|
3400
|
0,2
|
|
|
5
|
|
Спускание
краев деталей верха
|
|
Отрезная
союзка (2)
|
700
|
130
|
5,4
|
3 S-RZ стол
|
|
|
|
|
Наружная
задинка (2)
|
|
|
|
|
|
|
|
|
Внутренняя
задинка (2)
|
|
|
|
|
|
|
|
|
Передняя
часть наружного голенища (2)
|
|
|
|
|
|
|
|
|
Задняя
часть наружного голенища (2)
|
|
|
|
|
|
|
|
|
Передняя
часть внутреннего голенища (2)
|
|
|
|
|
|
|
|
|
Задняя
часть внутреннего голенища (2)
|
|
|
|
|
|
|
|
|
Подкладка
под союзку (2)
|
700
|
195
|
3,6
|
|
|
|
|
|
Подкладка
под наружнее голенище (2)
|
|
|
|
|
|
|
|
|
Подкладка
под внутреннее голенище (2)
|
|
|
|
|
|
|
|
|
ЗВР
(2)
|
700
|
1140
|
0,6
|
|
|
|
|
|
Вкладная
стелька (2)
|
|
|
|
|
|
1
|
7.
Ботинки дошкольные
|
Клеймение
реквизитов и № дневки на к/кармане (2 дет)
|
|
Клапан
(2)
|
700
|
2328
|
0,3
|
|
2
|
|
Клеймение
парников на деталях верха (10 дет)
|
|
Вытяжная
союзка (2)
|
700
|
745
|
0,9
|
КВД-1
стол
|
|
|
|
|
Фигурный
ЗНР (2)
|
|
|
|
|
|
|
|
|
Наружный
берец (2)
|
|
|
|
|
|
|
|
|
Внутренний
берец (2)
|
|
|
|
|
|
|
|
|
Клапан
(2)
|
|
|
|
|
|
3
|
|
Окрашивание
деталей верха (4 дет)
|
|
Вытяжная
союзка (2)
|
700
|
1406
|
0,5
|
Стол
|
|
|
|
|
Фигурный
ЗНР (2)
|
|
|
|
|
|
|
|
|
Наружный
берец (2)
|
|
|
|
|
|
|
|
|
Внутренний
берец (2)
|
|
|
|
|
|
|
|
|
Клапан
(2)
|
|
|
|
|
|
4
|
|
Выравнивание
деталей верха по толщине
|
|
Вытяжная
союзка (2)
|
700
|
409
|
1,7
|
UAF-470 стол
|
|
|
|
|
Фигурный
ЗНР (2)
|
|
|
|
|
|
|
|
|
Наружный
берец (2)
|
|
|
|
|
|
|
|
|
Внутренний
берец (2)
|
|
|
|
|
|
|
|
|
Клапан
(2)
|
700
|
3409
|
0,2
|
|
|
|
|
|
Подкладка
под союзку (2)
|
700
|
643
|
1,1
|
|
|
|
|
|
Подкладка
под наружный берец (2)
|
|
|
|
|
|
|
|
|
Подкладка
под переднюю часть внутреннего берца (2)
|
|
|
|
|
|
|
|
|
Подкладка
под заднюю часть внутреннего берца (2)
|
|
|
|
|
|
|
|
|
Задний
внутренний
|
700
|
3400
|
0,2
|
|
|
|
|
|
ремень
(2)
|
|
|
|
|
|
|
|
|
Вкладная
стелька (2)
|
700
|
1500
|
0,5
|
|
|
5
|
|
Спускание
краев деталей верха
|
|
Вытяжная
союзка (2)
|
700
|
175
|
4
|
3 S-RZ стол
|
|
|
|
|
Фигурный
ЗНР (2)
|
|
|
|
|
|
|
|
|
Наружный
берец (2)
|
|
|
|
|
|
|
|
|
Внутренний
берец (2)
|
|
|
|
|
|
|
|
|
Клапан
(2)
|
|
|
|
|
|
|
|
|
Подкладка
под союзку (2)
|
700
|
400
|
1,8
|
|
|
|
|
|
Подкладка
под наружный берец (2)
|
|
|
|
|
|
|
|
|
Подкладка
под переднюю часть внутреннего берца (2)
|
|
|
|
|
|
|
|
|
Подкладка
под заднюю часть внутреннего берца (2)
|
|
|
|
|
|
|
|
|
Задний
внутренний ремень (2)
|
|
|
|
|
|
|
|
|
Вкладная
стелька (2)
|
|
|
|
|
Таблица 2.7.4 - Потребное количество рабочих и
оборудования на участке обработки деталей верха обуви
|
Наименование
технологической операции
|
Способ
работы
|
Разряд
|
Род
и вид обуви, наименование деталей
|
Программа
в смену
|
Норма
выработки в смену
|
Количество
рабочих
|
Количество
оборудования
|
Характер
оборудования
|
|
|
|
|
|
|
По
расчету
|
фактическое
|
действующего
|
резерв
|
Всего
|
наименование
|
Завод-изготовитель
(фирма-поставщик)
|
Габариты,
мм
|
|
|
|
|
|
|
|
|
|
|
|
|
|
фронт
|
глубина
|
|
1
|
2
|
3
|
4
|
5
|
6
|
7
|
8
|
9
|
10
|
11
|
12
|
13
|
14
|
15
|
|
Клеймение
реквизитов и № дневки на к/кармане (2 дет.)
|
М
|
2
|
1.
Ботинки женские повседневные К/карман
|
700
|
2328
|
0,3
|
-
|
-
|
-
|
-
|
|
|
|
|
|
Клеймение
парников на деталях верха (10 дет)
|
М
|
2
|
Союзка
(2)
|
700
|
745
|
0,9
|
1
|
1
|
-
|
1
|
КДВ-1
|
|
700
|
750
|
|
|
|
Задний
наружный ремень (2)
|
700
|
|
|
|
|
|
|
Стол
|
|
1200
|
600
|
|
|
|
Внутренний
берец (2)
|
700
|
|
|
|
|
|
|
|
|
|
|
|
|
|
Наружный
берец (2)
|
700
|
|
|
|
|
|
|
|
|
|
|
|
|
|
Язычок
(2)
|
700
|
|
|
|
|
|
|
|
|
|
|
|
Окрашивание
деталей верха (8 дет)
|
Р
|
2
|
Союзка
(2)
|
700
|
692
|
1,0
|
1
|
1
|
-
|
1
|
Стол
|
|
1200
|
600
|
|
|
|
Задний
наружный ремень (2)
|
700
|
|
|
|
|
|
|
|
|
|
|
|
|
|
Внутренний
берец (2)
|
700
|
|
|
|
|
|
|
|
|
|
|
|
|
|
Наружный
берец (2)
|
700
|
|
|
|
|
|
|
|
|
|
|
|
|
|
Язычок
(2)
|
700
|
2500
|
0,28
|
-
|
-
|
-
|
-
|
-
|
-
|
-
|
-
|
|
Выравнивание
деталей верха по толщине
|
М
|
3
|
Союзка
|
700
|
409
|
1,7
|
2
|
2
|
-
|
2
|
UAF-470
|
Fortuna
|
1600
|
1000
|
|
|
|
Подкладка
под союзку (2)
|
700
|
|
|
|
|
|
|
Стол
|
|
1200
|
600
|
|
|
|
Подкладка
под наружный берец(2)
|
700
|
|
|
|
|
|
|
|
|
|
|
|
|
|
Подкладка
под внутренний берец (2)
|
700
|
|
|
|
|
|
|
|
|
|
|
|
|
|
Кожаный
карман (2)
|
700
|
3409
|
0,2
|
-
|
-
|
-
|
-
|
-
|
-
|
-
|
-
|
|
|
|
Подкладка
под язычок (2)
|
700
|
2500
|
0,3
|
-
|
-
|
-
|
-
|
-
|
-
|
-
|
|
|
Спускание
краев деталей верха
|
М
|
3
|
Союзка
|
700
|
205
|
3,4
|
3
|
3
|
-
|
5
|
3S-RZ
|
Fortuna
|
1050
|
540
|
|
|
|
Задний
наружный ремень
|
700
|
|
|
|
|
|
|
Стол
|
|
1200
|
600
|
|
|
|
Внутренний
берец
|
700
|
|
|
|
|
|
|
|
|
|
|
|
|
|
Наружный
берец
|
700
|
|
|
|
|
|
|
|
|
|
|
|
|
|
Язычок
|
700
|
|
|
|
|
|
|
|
|
|
|
|
|
|
Подкладка
под союзку (2)
|
700
|
375
|
1,9
|
2
|
2
|
-
|
-
|
-
|
-
|
-
|
-
|
|
|
|
Подкладка
под наружный берец (2)
|
700
|
|
|
|
|
|
|
|
|
|
|
|
|
|
Подкладка
под внутренний берец (2)
|
700
|
|
|
|
|
|
|
|
|
|
|
|
|
|
Кожаный
карман (2)
|
700
|
|
|
|
|
|
|
|
|
|
|
|
|
|
Подкладка
под язычок (2)
|
700
|
|
|
|
|
|
|
|
|
|
|
|
|
|
Вкладная
стелька (2)
|
700
|
|
|
|
|
|
|
|
|
|
|
|
Клеймение
реквизитов и № дневки на к/кармане (2 дет.)
|
М
|
2
|
2.
Сапожки женские утепленные с комбинированными голенищами Штаферка под
наружное голенище
|
530
|
2328
|
0,23
|
-
|
-
|
-
|
-
|
|
|
|
|
|
Клеймение
парников на деталях верха (14 дет.)
|
М
|
2
|
Вытяжка
союзка (2)
|
530
|
580
|
0,9
|
1
|
1
|
-
|
1
|
КДВ-1
|
|
700
|
750
|
|
|
|
Наружная
задинка (2)
|
530
|
|
|
|
|
|
|
Стол
|
|
1200
|
600
|
|
|
|
Внутренняя
задинка (2)
|
530
|
|
|
|
|
|
|
|
|
|
|
|
|
|
Передняя
часть наружного голенища (2)
|
530
|
|
|
|
|
|
|
|
|
|
|
|
|
|
Задняя
часть наружного голенища (2)
|
530
|
|
|
|
|
|
|
|
|
|
|
|
|
|
Штаферка
под внутреннее голенище (2)
|
530
|
|
|
|
|
|
|
|
|
|
|
|
|
|
Клапан
(2)
|
530
|
|
|
|
|
|
|
|
|
|
|
|
|
|
Декоративный
ремень (2)
|
530
|
|
|
|
|
|
|
|
|
|
|
|
Окрашивание
деталей верха (8 дет)
|
Р
|
2
|
Вытяжка
союзка (2)
|
530
|
690
|
0,8
|
1
|
1
|
-
|
1
|
Стол
|
|
1200
|
600
|
|
|
|
Наружная
задинка (2)
|
530
|
|
|
|
|
|
|
|
|
|
|
|
|
|
Внутренняя
задинка (2)
|
530
|
|
|
|
|
|
|
|
|
|
|
|
|
|
Передняя
часть наружного голенища (2)
|
530
|
|
|
|
|
|
|
|
|
|
|
|
|
|
Задняя
часть наружного голенища (2)
|
530
|
|
|
|
|
|
|
|
|
|
|
|
|
|
Передняя
часть внутреннего голенища (2)
|
530
|
|
|
|
|
|
|
|
|
|
|
|
|
|
Задняя
часть внутреннего голенища (2)
|
530
|
|
|
|
|
|
|
|
|
|
|
|
|
|
Штаферка
под наружное голенище (2)
|
530
|
|
|
|
|
|
|
|
|
|
|
|
|
|
Штаферка
под внутреннее голенище
|
530
|
|
|
|
|
|
|
|
|
|
|
|
|
|
Клапан
(2)
|
530
|
|
|
|
|
|
|
|
|
|
|
|
|
|
Декоративный
ремень (2)
|
530
|
|
|
|
|
|
|
|
|
|
|
|
Выравнивание
деталей верха по толщине
|
М
|
3
|
Вытяжка
союзка (2)
|
900
|
0,6
|
1
|
1
|
-
|
1
|
UAF-470
|
Fortuna
|
1600
|
1000
|
|
|
|
Наружная
задинка (2)
|
530
|
|
|
|
|
|
|
Стол
|
|
1200
|
600
|
|
|
|
Внутренняя
задинка
|
530
|
|
|
|
|
|
|
|
|
|
|
|
|
|
Кожаный
карман (2)
|
530
|
3409
|
0,2
|
-
|
-
|
-
|
-
|
-
|
-
|
-
|
-
|
|
Спускание
краев деталей верха
|
М
|
3
|
Вытяжная
союзка (2)
|
530
|
100
|
5,3
|
5
|
5
|
-
|
10
|
3S-RZ
|
Fortuna
|
1050
|
540
|
|
|
|
Наружная
задинка (2)
|
530
|
|
|
|
|
|
|
Стол
|
|
1200
|
600
|
|
|
|
Внутренняя
задинка (2)
|
530
|
|
|
|
|
|
|
|
|
|
|
|
|
|
Передняя
часть наружного голенища (2)
|
530
|
|
|
|
|
|
|
|
|
|
|
|
|
|
Задняя
часть наружного голенища (2)
|
530
|
|
|
|
|
|
|
|
|
|
|
|
|
|
Штаферка
под внутреннее
|
530
|
|
|
|
|
|
|
|
|
|
|
|
|
|
Голенище
(2)
|
|
|
|
|
|
|
|
|
|
|
|
|
|
|
Клапан
(2)
|
530
|
|
|
|
|
|
|
|
|
|
|
|
|
|
Декоративный
ремень (2)
|
530
|
|
|
|
|
|
|
|
|
|
|
|
|
|
Подкладка
под союзку (2)
|
530
|
130
|
4,1
|
4
|
4
|
-
|
-
|
-
|
-
|
-
|
-
|
|
|
|
Подкладка
под наружное голенище (2)
|
530
|
|
|
|
|
|
|
|
|
|
|
|
|
|
Подкладка
под переднюю часть внутреннего голенища (2)
|
530
|
|
|
|
|
|
|
|
|
|
|
|
|
|
Подкладка
под заднюю часть внутреннего голенища (2)
|
530
|
|
|
|
|
|
|
|
|
|
|
|
|
|
Кожаный
карман (2)
|
530
|
1125
|
0,5
|
1
|
1
|
-
|
-
|
-
|
-
|
-
|
-
|
|
Клеймение
реквизитов и № дневки на к/кармане (2 дет)
|
М
|
2
|
3.
Сапожки девичьи нарядные с комбинированными голенищами Штаферка под наружное
голенище (2)
|
650
|
2328
|
0,3
|
1
|
1
|
-
|
1
|
КДВ-1 Стол
|
|
700 1200
|
750 600
|
|
Клеймение
парников на деталях верха
|
М
|
2
|
Вытяжная
союзка (2)
|
650
|
745
|
0,9
|
-
|
-
|
-
|
-
|
-
|
-
|
-
|
-
|
|
|
|
Наружное
голенище (2)
|
650
|
|
|
|
|
|
|
|
|
|
|
|
|
|
Наружная
задинка (2)
|
650
|
|
|
|
|
|
|
|
|
|
|
|
|
|
Внутренняя
задинка (2)
|
650
|
|
|
|
|
|
|
|
|
|
|
|
|
|
Язычок
(2)
|
650
|
|
|
|
|
|
|
|
|
|
|
|
|
|
Подблочник
(4)
|
650
|
|
|
|
|
|
|
|
|
|
|
|
|
|
Штаферка
под наружное голенище (2)
|
650
|
|
|
|
|
|
|
|
|
|
|
|
|
|
Штаферка
под наружное голенище (2)
|
650
|
|
|
|
|
|
|
|
|
|
|
|
Окрашивание
деталей верха (10 дет.)
|
Р
|
2
|
Вытяжная
союзка (2)
|
650
|
474
|
1,4
|
1
|
1
|
-
|
1
|
Стол
|
|
1200
|
600
|
|
|
|
Наружное
голенище (2)
|
650
|
|
|
|
|
|
|
|
|
|
|
|
|
|
Внутреннее
голенище (2)
|
650
|
|
|
|
|
|
|
|
|
|
|
|
|
|
Наружная
задинка (2)
|
650
|
|
|
|
|
|
|
|
|
|
|
|
|
|
Внутренняя
задинка (2)
|
650
|
|
|
|
|
|
|
|
|
|
|
|
|
|
Язычок
(2)
|
650
|
|
|
|
|
|
|
|
|
|
|
|
|
|
Подблочник
(4)
|
650
|
|
|
|
|
|
|
|
|
|
|
|
|
|
Штаферка
под наружное голенище (2)
|
650
|
|
|
|
|
|
|
|
|
|
|
|
|
|
Штаферка
под внутреннее голенище (2)
|
650
|
|
|
|
|
|
|
|
|
|
|
|
Выравнивание
деталей верха по толщине
|
М
|
3
|
Вытяжная
союзка (2)
|
650
|
900
|
0,7
|
2
|
2
|
-
|
2
|
UAF-470
|
Fortuna
|
1600
|
1000
|
|
|
|
Наружная
задинка (2)
|
650
|
|
|
|
|
|
|
Стол
|
|
1200
|
600
|
|
|
|
Внутренняя
задинка (2)
|
650
|
|
|
|
|
|
|
|
|
|
|
|
|
|
Язычок
(2)
|
650
|
|
|
|
|
|
|
|
|
|
|
|
|
|
Подкладка
под язычок (2)
|
650
|
1600
|
0,4
|
-
|
-
|
-
|
-
|
-
|
-
|
-
|
-
|
|
|
|
Кожаный
карман (2)
|
650
|
3409
|
0,19
|
-
|
-
|
-
|
-
|
-
|
-
|
-
|
-
|
|
|
|
Вкладная
стелька (2)
|
650
|
1500
|
0,4
|
-
|
-
|
-
|
-
|
-
|
--
|
-
|
-
|
|
Спускание
краев деталей верха
|
М
|
3
|
Вытяжная
союзка (2)
|
650
|
115
|
5,7
|
6
|
6
|
-
|
6
|
3S-RZ
|
Fortuna
|
1050
|
540
|
|
|
|
Наружное
голенище (2)
|
650
|
|
|
|
|
|
|
Стол
|
|
1200
|
600
|
|
|
|
Внутренне
голенище (2)
|
650
|
|
|
|
|
|
|
|
|
|
|
|
|
|
Наружная
задинка (2)
|
650
|
|
|
|
|
|
|
|
|
|
|
|
|
|
Внутренняя
задинка (2)
|
650
|
|
|
|
|
|
|
|
|
|
|
|
|
|
Язычок
(2)
|
650
|
|
|
|
|
|
|
|
|
|
|
|
|
|
Подблочник
(2)
|
650
|
|
|
|
|
|
|
|
|
|
|
|
|
|
Штаферка
под наружное голенище (2)
|
650
|
|
|
|
|
|
|
|
|
|
|
|
|
|
Штаферка
под наружное голенище (2)
|
650
|
|
|
|
|
|
|
|
|
|
|
|
|
|
Подкладка
под язычок (2)
|
650
|
|
|
|
|
|
|
|
|
|
|
|
|
|
Кожаный
карман (2)
|
650
|
|
|
|
|
|
|
|
|
|
|
|
Клеймение
реквизитов и
|
М
|
2
|
4.
Ботинки для школьников-девочек с комби нированными берцами
|
|
|
|
|
|
|
|
|
|
|
|
|
№
дневки на к/кармане (2 дет)
|
|
|
Кожаный
карман (2)
|
800
|
2328
|
0,3
|
1
|
1
|
-
|
1
|
КДВ-1
Стол
|
|
700
1200
|
750
600
|
|
Клеймение
парников на деталях верха (10 дет)
|
М
|
2
|
Овальная
вставка (2)
|
800
|
745
|
1,1
|
-
|
-
|
-
|
-
|
-
|
-
|
-
|
-
|
|
|
|
Наружная
задинка (2)
|
800
|
|
|
|
|
|
|
|
|
|
|
|
|
|
Внутрення
задинка (2)
|
800
|
|
|
|
|
|
|
|
|
|
|
|
|
|
Наружный
берец (2)
|
800
|
|
|
|
|
|
|
|
|
|
|
|
|
|
Внутренний
берец (2)
|
800
|
|
|
|
|
|
|
|
|
|
|
|
|
|
Клапан
(2)
|
800
|
|
|
|
|
|
|
|
|
|
|
|
Окрашивание
деталей верха (10 дет)
|
Р
|
2
|
Овальная
вставка (2)
|
800
|
501
|
1,6
|
2
|
2
|
-
|
2
|
Стол
|
|
1200
|
600
|
|
|
|
Наружная
задинка (2)
|
800
|
|
|
|
|
|
|
|
|
|
|
|
|
|
Внутрення
задинка (2)
|
800
|
|
|
|
|
|
|
|
|
|
|
|
|
|
Наружный
берец (2)
|
800
|
|
|
|
|
|
|
|
|
|
|
|
|
|
Внутренний
берец (2)
|
800
|
|
|
|
|
|
|
|
|
|
|
|
|
|
Клапан
(2)
|
800
|
|
|
|
|
|
|
|
|
|
|
|
Выравнивание
деталей верха по толщине
|
М
|
3
|
Овальная
вставка (2)
|
800
|
1000
|
0,8
|
1
|
1
|
-
|
2
|
UAF-470
|
Fortuna
|
1600
|
1000
|
|
|
|
Наружная
задинка (2)
|
800
|
|
|
|
|
|
|
Стол
|
|
1200
|
600
|
|
|
|
Внутрення
задинка (2)
|
800
|
800
|
1923
|
0,4
|
-
|
-
|
-
|
-
|
|
|
|
|
|
|
|
Подкладка
под внутреннюю часть союзки (2)
|
800
|
|
|
|
|
|
|
|
|
|
|
|
|
|
Подкладка
под наружный берец (2)
|
800
|
|
|
|
|
|
|
|
|
|
|
|
|
|
Подкладка
под внутренний берец (2)
|
800
|
|
|
|
|
|
|
|
|
|
|
|
|
|
Кожаный
карман (2)
|
800
|
3409
|
0,2
|
1
|
1
|
-
|
-
|
|
|
|
|
|
|
|
Вкладная
стелька (2)
|
800
|
1500
|
|
|
|
|
|
|
|
|
|
|
Спускание
|
М
|
3
|
Овальная
вставка (2)
|
800
|
167
|
4,8
|
5
|
5
|
-
|
7
|
3S-RZ
|
Fortuna
|
1050
|
540
|
|
краев
детали
|
|
|
Наружная
задинка (2)
|
800
|
|
|
|
|
|
|
Стол
|
|
1200
|
600
|
|
верха
|
|
|
Внутренняя
задинка (2)
|
800
|
|
|
|
|
|
|
|
|
|
|
|
|
|
Наружный
берец (2)
|
800
|
|
|
|
|
|
|
|
|
|
|
|
|
|
Внутренний
берец (2)
|
800
|
|
|
|
|
|
|
|
|
|
|
|
|
|
Клапан
(2)
|
800
|
|
|
|
|
|
|
|
|
|
|
|
|
|
Подкладка
под наружную часть союзки (2)
|
800
|
377
|
2,1
|
2
|
2
|
-
|
-
|
|
|
|
|
|
|
|
Подкладка
под внутреннюю часть союзки (2)
|
800
|
|
|
|
|
|
|
|
|
|
|
|
|
|
Подкладка
под наружный берец (2)
|
800
|
|
|
|
|
|
|
|
|
|
|
|
|
|
Подкладка
под внутренний берец (2)
|
800
|
|
|
|
|
|
|
|
|
|
|
|
|
|
Кожаный
карман (2)
|
800
|
|
|
|
|
|
|
|
|
|
|
|
|
|
Вкладная
стелька (2)
|
800
|
|
|
|
|
|
|
|
|
|
|
|
Клеймение
реквизитов и № дневки на к/кармане (2 дет)
|
М
|
2
|
5.
Ботики дошкольные нарядные Клапан (2)
|
600
|
2328
|
0,3
|
1
|
1
|
-
|
1
|
КДВ-1 Стол
|
|
700 1200
|
750 600
|
|
Клеймение
парников на деталях верха (10 дет)
|
М
|
2
|
Союзка
(2)
|
600
|
745
|
0,8
|
-
|
-
|
-
|
-
|
|
|
|
|
|
|
|
Носок
(2)
|
600
|
|
|
|
|
|
|
|
|
|
|
|
|
|
Наружный
берец (2)
|
600
|
|
|
|
|
|
|
|
|
|
|
|
|
|
Передняя
часть внутреннего берца (2)
|
600
|
|
|
|
|
|
|
|
|
|
|
|
|
|
Задняя
часть внутреннего берца (2)
|
600
|
|
|
|
|
|
|
|
|
|
|
|
Окрашивание
деталей верха (6 дет)
|
Р
|
2
|
Союзка
(2)
|
600
|
900
|
0,7
|
1
|
1
|
-
|
1
|
Стол
|
|
1200
|
600
|
|
|
|
Носок
(2)
|
600
|
|
|
|
|
|
|
|
|
|
|
|
|
|
Наружный
берец (2)
|
600
|
|
|
|
|
|
|
|
|
|
|
|
|
|
Передняя
часть внутреннего берца (2)
|
600
|
|
|
|
|
|
|
|
|
|
|
|
|
|
Задняя
часть внутреннего берца (2)
|
600
|
|
|
|
|
|
|
|
|
|
|
|
Выравнивание
деталей верха по толщине
|
М
|
3
|
Союзка
(2)
|
600
|
409
|
1,5
|
2
|
2
|
-
|
3
|
UAF-470
|
Fortuna
|
1600
|
1000
|
|
|
|
Носок
(2)
|
600
|
|
|
|
|
|
|
Стол
|
|
1200
|
600
|
|
|
|
Наружный
берец (2)
|
600
|
|
|
|
|
|
|
|
|
|
|
|
|
|
Передняя
часть внутреннего берца (2)
|
600
|
|
|
|
|
|
|
|
|
|
|
|
|
|
Задняя
часть внутреннего берца (2)
|
600
|
|
|
|
|
|
|
|
|
|
|
|
|
|
Клапан
(2)
|
600
|
8900
|
0,07
|
-
|
-
|
-
|
-
|
|
|
|
|
|
|
|
Подкладка
под союзку (2)
|
600
|
643
|
0,9
|
1
|
1
|
-
|
1
|
|
|
|
|
|
|
|
Подкладка
под наружный берец (2)
|
600
|
|
|
|
|
|
|
|
|
|
|
|
|
|
Подкладка
под переднюю часть внутреннего берца (2)
|
600
|
|
|
|
|
|
|
|
|
|
|
|
|
|
Кожаный
карман (2)
|
600
|
3409
|
0,2
|
-
|
-
|
-
|
-
|
|
|
|
|
|
|
|
Вкладная
стелька (2)
|
600
|
1500
|
0,4
|
-
|
-
|
-
|
-
|
|
|
|
|
|
Спускание
краев деталей верха
|
М
|
3
|
Союзка
(2)
|
600
|
250
|
2,4
|
2
|
2
|
-
|
4
|
3S-RZ
|
Fortuna
|
1050
|
540
|
|
|
|
Носок
(2)
|
600
|
|
|
|
|
|
|
Стол
|
|
1200
|
600
|
|
|
|
Наружный
берец (2)
|
600
|
|
|
|
|
|
|
|
|
|
|
|
|
|
Передняя
часть внутреннего берца (2)
|
600
|
|
|
|
|
|
|
|
|
|
|
|
|
|
Задняя
часть внутреннего берца (2)
|
600
|
|
|
|
|
|
|
|
|
|
|
|
|
|
Клапан
(2)
|
600
|
|
|
|
|
|
|
|
|
|
|
|
|
|
Подкладка
под союзку (2)
|
600
|
385
|
1,6
|
2
|
2
|
-
|
-
|
|
|
|
|
|
|
|
Подкладка
под наружный берец (2)
|
600
|
|
|
|
|
|
|
|
|
|
|
|
|
|
Подкладка
под переднюю часть внутреннего берца
|
600
|
|
|
|
|
|
|
|
|
|
|
|
|
|
(2)
|
|
|
|
|
|
|
|
|
|
|
|
|
|
|
Подкладка
под заднюю часть внутреннего берца (2)
|
600
|
|
|
|
|
|
|
|
|
|
|
|
|
|
Кожаный
карман (2)
|
600
|
|
|
|
|
|
|
|
|
|
|
|
|
|
Вкладная
стелька (2)
|
600
|
|
|
|
|
|
|
|
|
|
|
|
Клеймение
реквизитов и № дневки на к/кармане (2 дет)
|
М
|
2
|
6.
Сапожки дошкольные утепленные с комбинированными голенищами ЗВР (2)
|
700
|
2328
|
0,3
|
1
|
1
|
-
|
2
|
КДВ-1 Стол
|
|
700 1200
|
750 600
|
|
Клеймение
парников на деталях верха (14 дет)
|
М
|
2
|
Отрезная
союзка (2)
|
700
|
580
|
1.2
|
1
|
1
|
-
|
-
|
КДВ-1
|
|
700
|
750
|
|
|
|
Наружная
задинка (2)
|
700
|
|
|
|
|
|
|
Стол
|
|
1200
|
600
|
|
|
|
Внутренняя
задинка (2)
|
700
|
|
|
|
|
|
|
|
|
|
|
|
|
|
Передняя
часть наружного голенища (2)
|
700
|
|
|
|
|
|
|
|
|
|
|
|
|
|
Задняя
часть наружного голенища (2)
|
700
|
|
|
|
|
|
|
|
|
|
|
|
|
|
Передняя
часть внутреннего голенища (2)
|
700
|
|
|
|
|
|
|
|
|
|
|
|
|
|
Задняя
часть внутреннего голенища (2)
|
700
|
|
|
|
|
|
|
|
|
|
|
|
Окрашивание
деталей верха (14 дет)
|
Р
|
2
|
Отрезная
союзка (2)
|
700
|
480
|
1,5
|
2
|
2
|
-
|
2
|
Стол
|
|
1200
|
600
|
|
|
|
Наружная
задинка (2)
|
700
|
|
|
|
|
|
|
|
|
|
|
|
|
|
Внутренняя
задинка (2)
|
700
|
|
|
|
|
|
|
|
|
|
|
|
|
|
Передняя
часть наружного голенища (2)
|
700
|
|
|
|
|
|
|
|
|
|
|
|
|
|
Задняя
часть наружного голенища (2)
|
700
|
|
|
|
|
|
|
|
|
|
|
|
|
|
Передняя
часть внутрен него голенища (2)
|
700
|
|
|
|
|
|
|
|
|
|
|
|
|
|
Задняя
часть внутреннего голенища (2)
|
700
|
|
|
|
|
|
|
|
|
|
|
|
Выравнивание
деталей верха по толщине
|
М
|
3
|
Отрезная
союзка (2)
|
700
|
415
|
1,7
|
2
|
2
|
-
|
2
|
UAF-470
|
Fortuna
|
1600
|
1000
|
|
|
|
Наружная
задинка (2)
|
700
|
|
|
|
|
|
|
Стол
|
|
1200
|
600
|
|
|
|
Внутренняя
задинка (2)
|
700
|
|
|
|
|
|
|
|
|
|
|
|
|
|
Задняя
часть внутреннего голенища (2)
|
700
|
|
|
|
|
|
|
|
|
|
|
|
|
|
ЗВР
(2)
|
700
|
3400
|
0,2
|
-
|
-
|
-
|
-
|
|
|
|
|
|
Спускание
краев деталей верха
|
М
|
3
|
Отрезная
союзка (2)
|
700
|
130
|
5,4
|
5
|
5
|
-
|
9
|
3S-RZ
|
Fortuna
|
540
|
|
|
|
Наружная
задинка (2)
|
700
|
|
|
|
|
|
|
Стол
|
|
1200
|
600
|
|
|
|
Внутренняя
задинка (2)
|
700
|
|
|
|
|
|
|
|
|
|
|
|
|
|
Передняя
часть наружного голенища (2)
|
700
|
|
|
|
|
|
|
|
|
|
|
|
|
|
Задняя
часть наружного голенища (2)
|
700
|
|
|
|
|
|
|
|
|
|
|
|
|
|
Передняя
часть внутреннего голенища (2)
|
700
|
|
|
|
|
|
|
|
|
|
|
|
|
|
Задняя
часть внутреннего голенища (2)
|
700
|
|
|
|
|
|
|
|
|
|
|
|
|
|
Подкладка
под союзку (2)
|
700
|
195
|
3,6
|
4
|
4
|
-
|
-
|
|
|
|
|
|
|
|
Подкладка
под наружнее голенище (2)
|
700
|
|
|
|
|
|
|
|
|
|
|
|
|
|
Подкладка
под внутреннее голенище (2)
|
700
|
|
|
|
|
|
|
|
|
|
|
|
|
|
ЗВР
(2)
|
700
|
1140
|
0,6
|
-
|
-
|
-
|
-
|
|
|
|
|
|
Клеймение
реквизитов и № дневки на к/кармане (2 дет)
|
М
|
2
|
7.
Ботинки дошкольные Клапан (2)
|
700
|
2328
|
0,3
|
1
|
1
|
-
|
1
|
КДВ-1
Стол
|
|
700
1200
|
750
600
|
|
Клеймение
парников на деталях верха (10 дет)
|
М
|
2
|
Вытяжная
союзка (2)
|
700
|
745
|
0,9
|
-
|
-
|
-
|
-
|
|
|
|
|
|
|
|
Фигурный
ЗНР (2)
|
700
|
|
|
|
|
|
|
|
|
|
|
|
|
|
Наружный
берец (2)
|
700
|
|
|
|
|
|
|
|
|
|
|
|
|
|
Внутренний
берец (2)
|
700
|
|
|
|
|
|
|
|
|
|
|
|
|
|
Клапан
(2)
|
700
|
|
|
|
|
|
|
|
|
|
|
|
Окрашивание
деталей верха (4 дет)
|
Р
|
2
|
Вытяжная
союзка (2)
|
700
|
1406
|
0,5
|
1
|
1
|
-
|
1
|
Стол
|
|
1200
|
600
|
|
|
|
Фигурный
ЗНР (2)
|
700
|
|
|
|
|
|
|
|
|
|
|
|
|
|
Наружный
берец (2)
|
700
|
|
|
|
|
|
|
|
|
|
|
|
|
|
Внутренний
берец (2)
|
700
|
|
|
|
|
|
|
|
|
|
|
|
|
|
Клапан
(2)
|
700
|
|
|
|
|
|
|
|
|
|
|
|
Выравнивание
деталей верха по толщине
|
М
|
3
|
Вытяжная
союзка (2)
|
700
|
409
|
1,7
|
2
|
2
|
-
|
3
|
UAF-470
|
Fortuna
|
1600
|
1000
|
|
|
|
Фигурный
ЗНР (2)
|
700
|
|
|
|
|
|
|
Стол
|
|
1200
|
600
|
|
|
|
Наружный
берец (2)
|
700
|
|
|
|
|
|
|
|
|
|
|
|
|
|
Внутренний
берец (2)
|
700
|
|
|
|
|
|
|
|
|
|
|
|
|
|
Клапан
(2)
|
700
|
3409
|
0,2
|
-
|
-
|
-
|
-
|
|
|
|
|
|
|
|
Подкладка
под союзку (2)
|
700
|
643
|
1,1
|
1
|
1
|
-
|
-
|
|
|
|
|
|
|
|
Подкладка
под наружный берец (2)
|
700
|
|
|
|
|
|
|
|
|
|
|
|
|
|
Подкладка
под переднюю часть внутреннего берца (2)
|
700
|
|
|
|
|
|
|
|
|
|
|
|
|
|
Подкладка
под заднюю часть внутреннего берца (2)
|
700
|
|
|
|
|
|
|
|
|
|
|
|
|
|
Задний
внутренний ремень (2)
|
700
|
3400
|
0,2
|
-
|
-
|
-
|
-
|
|
|
|
|
|
|
|
Вкладная
стелька (2)
|
700
|
1500
|
0,5
|
-
|
-
|
-
|
-
|
|
|
|
|
|
Спускание
краев деталей верха
|
М
|
3
|
Вытяжная
союзка (2)
|
700
|
175
|
4
|
4
|
4
|
-
|
6
|
3S-RZ
|
Fortuna
|
1050
|
540
|
|
|
|
Фигурный
ЗНР (2)
|
700
|
|
|
|
|
|
|
Стол
|
|
1200
|
600
|
|
|
|
Наружный
берец (2)
|
700
|
|
|
|
|
|
|
|
|
|
|
|
Окончание
таблицы 2.7.4
|
|
1
|
2
|
3
|
4
|
5
|
6
|
7
|
8
|
9
|
10
|
11
|
12
|
13
|
14
|
15
|
|
|
|
Внутренний
берец (2)
|
700
|
|
|
|
|
|
|
|
|
|
|
|
|
|
Клапан
(2)
|
700
|
|
|
|
|
|
|
|
|
|
|
|
|
|
Подкладка
под союзку (2)
|
700
|
400
|
1,8
|
2
|
2
|
-
|
-
|
|
|
|
|
|
|
|
Подкладка
под наружный берец (2)
|
700
|
|
|
|
|
|
|
|
|
|
|
|
|
|
Подкладка
под переднюю часть внутреннего берца (2)
|
700
|
|
|
|
|
|
|
|
|
|
|
|
|
|
Подкладка
под заднюю часть внутреннего берца (2)
|
700
|
|
|
|
|
|
|
|
|
|
|
|
|
|
Задний
внутренний ремень (2)
|
700
|
|
|
|
|
|
|
|
|
|
|
Выводы
Целями и задачами курсовой работы являлись:
дальнейшее углубление, систематизация и
закрепление знаний, полученных при изучении курсов «Материаловедение изделий из
кожи», «Конструирование изделий из кожи» и раздела «Рациональное использование
материалов» курса «Технология изделий из кожи»;
развитие навыков, интереса и творческого подхода
к самостоятельному решению конкретных вопросов, что необходимо для формирования
высококвалифицированных специалистов, способных решать задачи, стоящие перед
промышленностью;
Поэтому при проведении данной курсовой работы
ставятся следующие задачи:
научиться пользоваться специальной
научно-технической литературой и критически осмысливать полученную информацию;
научиться анализировать и принимать обоснованное
решение, делать выводы и давать рекомендации по результатам работы.
По окончании разработки данного курсового
проекта поставленные в начале работы цели достигнуты, получены практические
навыки пользования научно-технической литературой, разработка, освоение и
принятие собственных творческих решений в области экономичного и разумного
материалообеспечения раскройного цеха.
ассортимент раскрой цех обувь
Литература
1. Приказ
№299. О введении шкал размеров кожаной обуви по регионам страны. - Москва:
1982.-9с.
2. ГОСТ
26167-2005. Обувь повседневная. Общие технические условия. Москва,
Стандартформ, 2006. - 10с.
. ГОСТ
26165 - 2003. Обувь детская. Взамен ГОСТ 26165-84;введ. 01.05.2005. -
МинскГосстандарт РБ, 2005.-10с.
. Максина
З.Г., Загайгора К.А. Проект подготовительного цеха: методические указания к
самостоятельной работе по курсу «Технология изделий из кожи» для студентов
специальности 1-50 02 01 специализации 1-50 02 01 01 «Технология обуви» дневной
и заочной форм обучения. Витебск: Министерство образования Республики Беларусь,
УО «ВГТУ», 2009 г.
. Фукин
В.А, Калита А.Н. Технология изделий из кожи: Учебник для вузов. В 2 ч. Ч.1. -
М.: Легпромбытиздат, 1988. - 272 с.
. Справочник
обувщика. Технология:справочное издание / Е.Я.Михеева и др. - Москва:
Легпромбытиздат, 1989. - 416с.
. Зурабян,
К.М. Материаловедение изделий из кожи / К.М. Зурабян, М.М. Бернштейн, Б.Я.
Краснов - Москва : Легпромбытиздат, 1988. -416с.
. Справочник
обувщика. Проектирование обуви, материалы:/Л.П.Морозова и др.под общей ред.
А.Н. Калиты - Москва: Легпромбытиздат, 1988. - 427с.
. Карагезян,
Ю.А.Новое отечественное оборудование обувного производства / В.В. Разумовская,
Б.П.Григорьев - Москва : Легпромбытиздат, 1990. -167 с.
. Отраслевые
нормы использования хромовых кож на детали верха обуви (взамен норм,
утвержденных Минлегпром СССР 20.02.90г. и дополнения к отраслевым нормам,
утвержденного концерна «Беллегпром 25.06.97 г.). Срок введения 01.03.2001 г.
.
Отраслевые нормы расхода текстиля, искусственной и синтетической кожи на детали
верха одной пары обуви (взамен норм, утвержденных Минлегпромом СССР 20.04.84г).
Срок введения 01.03.2001 г.
.
Отраслевые нормы использования обувных тканей, искусственных и синтетических
материалов на внутренние и промежуточные детали верха обуви. - Минск:
ЦНИлегпром, 200. - 18с.