Расчет себестоимости изготовления электронного устройства
Расчет
себестоимости изготовления электронного устройства
СОДЕРЖАНИЕ
ВВЕДЕНИЕ
. ОПРЕДЕЛЕНИЕ СЕБЕСТОИМОСТИ
ИЗГОТОВЛЕНИЯ И ЦЕНЫ ИЗДЕЛИЯ
.1 Расчет затрат на материалы,
полуфабрикаты и комплектующие
.2 Расчет фонда заработной платы
производственных рабочих
.3 Расчет отчислений на социальные
мероприятия
.4 Составление калькуляции
себестоимости и определение цены изделия
2.
РАЗРАБОТКА СЕТЕВОГО ГРАФИКА ТЕХНИЧЕСКОЙ ПОДГОТОВКИ ПРОИЗВОДСТВА ЭЛЕКТРОННОГО
УСТРОЙСТВА
ЗАКЛЮЧЕНИЕ
СПИСОК ИСПОЛЬЗОВАННОЙ ЛИТЕРАТУРЫ
ПРИЛОЖЕНИЯ
1. ВВЕДЕНИЕ
Темой данной курсовой работы является
"Определение себестоимости производства электронного устройства" на
примере проектируемого изделия - система управления симистором.
Главная цель написания курсовой работы - это
выявление целесообразности вложения средств в данное производство, а задача
любой сферы производства состоит в том, чтобы получить максимальную прибыль, и
тем самым выявить перспективы развития производства в будущем. Для достижения
поставленной цели данная работа предусматривает систему всех необходимых
расчетов по затратам на производство. Расчеты производятся в соответствии с
установленными законодательством нормами и тарифами.
Производя расчеты по определению себестоимости
единицы продукции можно определить все технико-экономические показатели
производства (расход материальных ресурсов на единицу продукции, себестоимость
единицы продукции, прибыль, рентабельность производства, фондоотдача,
трудоемкость формования и т.д.), на основании которых осуществляется анализ
деятельности предприятия. На основании анализа должны быть сформулированы
основные выводы, которые и являются толчком к принятию решений соответственно
сложившейся ситуации.
Также в данной работе целью является построение
сетевого графика технической подготовки производства электронного устройства.
На основании рассчитанных параметров сетевого графика можно оптимизировать,
максимально повысить эффективность производства, не затрачивая при этом
дополнительных средств.
Акцент в данной работе поставлен на точность и
правильность требуемых расчетов, которые являются базой для решения
поставленной задачи.
1. ОПРЕДЕЛЕНИЕ СЕБЕСТОИМОСТИ ИЗГОТОВЛЕНИЯ И ЦЕНЫ
ИЗДЕЛИЯ
Полная себестоимость изделия определяется
суммарными затратами на его изготовление и состоит из нескольких статей затрат:
(1)
где Сп - полная себестоимость изделия, грн;
См - стоимость материалов, грн;
Спф - стоимость полуфабрикатов и комплектующих
собственного производства, грн;
Скп - стоимость покупных полуфабрикатов и
комплектующих, грн;
Сзп - расходы на суммарную заработную плату
производственных рабочих, грн;
Ссоц - отчисления из заработной платы в фонды
общеобязательного государственного социального страхования, грн;
Стэ - расходы на топливо и электроэнергию, грн;
Соб - расходы на содержание и эксплуатацию
оборудования, грн;
Сцех - цеховые расходы, грн;
Сз - общезаводские расходы, грн;
Спр - прочие накладные расходы, грн;
Схоз - общехозяйственные расходы, грн.
1.1 Расчет затрат на материалы, полуфабрикаты и
комплектующие
Стоимость материалов определяется по формуле:
(2)
где Ртр - процент транспортно-заготовительных
расходов на покупку материалов, %. Выбирается в пределах 5..10%;- количество
наименований материалов;
- норма расхода
i-го материала на изготовление единицы изделия, кг;
- оптовая цена
i-го вида материала, грн/кг;
Сотх - стоимость возвратных отходов, грн.
Принимается как 2% от суммарной стоимости материалов с учетом
транспортно-заготовительных расходов.
Данные по расчету стоимости материалов вынесены
в таблицу 1.1.
Так как заданием не предусматриваются
полуфабрикаты и комплектующие собственного производства, расчет составляющей
Спф пропускается.
Стоимость покупных полуфабрикатов и
комплектующих определяется из выражения (3).
Таблица 1.1 - Расчет стоимости материалов
|
№
п/п
|
Наименование
материала
|
Цена1,
руб/кг
|
Цена,
грн/кг
|
Норма
расхода, кг
|
Стоимость,
грн
|
|
1.
|
Стеклотекстолит
|
134
|
36
|
0.005
|
0.18
|
|
2.
|
Припой
|
600
|
161.1
|
0.0033
|
0.53
|
|
3.
|
Лак
|
1600
|
429.6
|
0.0016
|
0.69
|
|
4.
|
Флюс
|
1270
|
341
|
0.0025
|
0.86
|
|
5.
|
Хлорное
железо
|
195
|
51.55
|
0.025
|
1.29
|
|
ИТОГО:
суммарная стоимость материалов, грн
|
3.55
|
|
Транспортно-заготовительные
расходы на покупку материалов, грн
|
0.35
|
|
Возвратные
отходы, грн
|
0.07
|
|
ИТОГО:
стоимость материалов с учетом транспортно-заготовительных расходов, за
вычетом возвратных отходов, грн
|
3.97
|
1 - цены указаны в RUR по курсу на 2010-02-20.
(3)
где Скп - стоимость покупных полуфабрикатов и
комплектующих, грн;- количество наименований покупных полуфабрикатов и
комплектующих;
- количество
покупных полуфабрикатов и комплектующих i-го типоразмера, шт.
Расчет затрат на покупные комплектующие и
полуфабрикаты сведен в таблицу 1.2.
.2 Расчет фонда заработной платы
производственных рабочих
Согласно Закону Украины «Об оплате труда» фонд
оплаты труда состоит из:
фонда основной заработной платы (Зосн);
фонда дополнительной заработной платы (Здоп);
других поощрительных и компенсационных выплат
(Здр).
Таким образом, расходы на суммарную заработную
плату производственных рабочих определяются выражением:
(4)
где Сзп - расходы на суммарную заработную плату,
грн.
Фонд основной заработной платы включает
начисление вознаграждения за выполненную работу в соответствии с установленными
нормами труда по тарифным ставкам, сделанным по расценкам или должностным окладам,
включая в полном объеме внутреннее совместительство. Фонд дополнительной
заработной платы включает доплаты, надбавки к тарифным ставкам за труд сверх
установленной нормы в размерах, предусмотренных действующим законодательством,
премии и вознаграждения, в том числе за выслугу лет, имеющие систематический
характер, оплата работы в сверхурочное время, в праздничные и выходные дни и
др. Другие поощрительные и компенсационные выплаты включают вознаграждения и
премии, имеющие одноразовый характер, прочие денежные и материальные выплаты,
не предусмотренные актами действующего законодательства или которые
производятся свыше установленных актами норм.
Таблица 1.2 - Расчет стоимости покупных
полуфабрикатов и комплектующих
|
№
п/п
|
Наименование
материала
|
Цена1,
*/шт
|
Цена,
грн/шт
|
Кол-во,
ед
|
Стоимость,
грн
|
|
1.
|
Резистор
SMD 0805 15K
|
1р.
|
0.27
|
1
|
0.27
|
|
2.
|
Резистор
SMD 0805 24K
|
1.4р.
|
0.38
|
1
|
0.38
|
|
3.
|
Резистор
SMD 0805 33K
|
1.4р.
|
0.38
|
2
|
0.76
|
|
4.
|
Резистор
SMD 0805 47K
|
0.74р.
|
0.2
|
2
|
0.40
|
|
5.
|
Резистор
SMD 0805 100K
|
2.9р.
|
0.78
|
2
|
1.56
|
|
6.
|
Резистор
SMD 0805 360K
|
0.9р.
|
0.24
|
1
|
0.24
|
|
7.
|
Резистор
SMD 1206 62R
|
2.0р.
|
0.54
|
1
|
0.54
|
|
8.
|
Резистор
SMD 1206 1K
|
2.8р.
|
0.75
|
1
|
0.75
|
|
9.
|
Резистор
SMD 2010 68R
|
3.5$
|
28.18
|
1
|
28.18
|
|
10.
|
Резистор
SMD 2010 430K
|
3.3$
|
26.57
|
1
|
26.57
|
|
11.
|
Резистор
SMD 2010 680K
|
3.3$
|
26.57
|
1
|
26.57
|
|
12.
|
Конденсатор
SMD 16В 100μ
|
1.68р.
|
0.45
|
1
|
0.45
|
|
13.
|
Конденсатор
SMD 16В 220μ
|
2.4р.
|
0.64
|
1
|
0.64
|
|
14.
|
Конденсатор
SMD 450В 0.33μ
|
7.52р.
|
2.02
|
1
|
2.02
|
|
15.
|
Диод
SS110
|
1.78р.
|
0.47
|
3
|
1.43
|
|
16.
|
Диод
FM4004M
|
0.21€
|
2.24
|
2
|
4.48
|
|
17.
|
Стабилитрон
BZX84C18
|
11р.
|
2.95
|
1
|
2.95
|
|
18.
|
Транзистор
BC849C
|
2.1р.
|
0.56
|
1
|
0.56
|
|
19.
|
Транзистор
BDP948
|
23р.
|
6.18
|
1
|
6.18
|
|
20.
|
Транзистор
MMBT4403
|
12р.
|
3.22
|
4
|
12.89
|
|
21.
|
Тиристор
25TTS12SPBF
|
87р.
|
23.36
|
2
|
46.72
|
|
ИТОГО:
суммарная стоимость покупных полуфабрикатов и комплектующих, грн
|
164.53
|
|
ИТОГО:
стоимость покупных полуфабрикатов и комплектующих с учетом
транспортно-заготовительных расходов, грн
|
180.98
|
1 - цены указаны в валютах: RUR, USD и EUR по
курсу на 2010-02-20.
Формы и системы оплаты труда, нормы труда,
тарифные сетки, схемы должностных окладов, размеры тарифных ставок, сдельных
расценок и должностных окладов, условия применения и размеры надбавок, доплат,
премий и других поозрительных, компенсационных и гарантийных выплат
устанавливаются предприятиями в коллективном договоре с соблюдением норм и
гарантий, предусмотренных законодательством, генеральным, региональным и
отраслевым соглашениями в соответствии с Законом Украины «Об оплате труда»,
раздел 3, статья 15.
В условиях действующих предприятий источником
исходных данных к расчету фонда заработной платы является, как правило,
утвержденное руководством предприятия «Положение об оплате и премировании труда
работников».
Основная заработная плата за выполнение работ по
изготовлению единицы изделия определяется выражением:
(5)
где Зосн - основная заработная плата, грн;-
количество видов работ, необходимых для изготовления изделия;- средняя часовая
тарифная ставка i-го вида работ, грн/ч;- трудоемкость i-го вида работ в расчете
на единицу изделия, нормо-ч.
Часовая тарифная ставка производственного
рабочего соотвествующего разряда работ определяетсяч на основе тарифной сетки и
тарифной ставки рабочего I-го разряда. Тарифная сетка представлена ниже,
тарифная ставка рабочего I-го разряда принимается равной 5грн/ч.разряд -
1;разряд - 1.09;разряд - 1.2;разряд - 1.35;разряд - 1.55;разряд - 1.81;разряд -
2.07.
Дополнительная заработная плата начисляется
пропорционально основной в размере надбавок и доплат к тарифным ставкам, предусмотренных
действующим законодательством. Принимается в размере 50% от основной заработной
платы производственных рабочих. Другие поощрительные и компенсационные выплаты
- в размере 10%.
Расчет фонда заработной платы производственных
рабочих сведен в таблице 1.3.
В рамках курсовой работы принимаем расходы на
топливо и электроэнергию в размере 5% от основной заработной платы
производственных рабочих, расходы на содержание и эксплуатацию оборудования -
10%, цеховые расходы - 8%, общезаводские расходы - 7%, прочие накладные расходы
- 3%, общехозяйственные расходы - 5%.
Получаем следующие значения:
Таблица 1.3 - Расчет фонда заработной платы
производственных рабочих
|
№
п/п
|
Виды
работ
|
Часовая
тарифная ставка, грн/ч
|
Трудоемкость
вида работа, нормо-ч
|
Сумма,
грн
|
|
1.
|
Заготовка
|
9.05
|
1.1
|
9.96
|
|
2.
|
Сверление
|
7.75
|
0.66
|
5.12
|
|
3.
|
Травление
|
6.75
|
0.88
|
5.94
|
|
4.
|
Промывка
|
5
|
0.55
|
2.75
|
|
5.
|
Лужение
|
4.45
|
0.44
|
2.4
|
|
6.
|
Сборка
|
7.75
|
2.2
|
17.05
|
|
7.
|
Паяние
|
7.75
|
2.75
|
21.31
|
|
8.
|
Наладка
|
9.05
|
1.87
|
16.92
|
|
9.
|
Прочие
|
6.75
|
0.55
|
3.71
|
|
Основная
заработная плата, грн
|
85.16
|
|
Дополнительная
заработная плата, грн
|
42.58
|
|
Другие
поощрительные и компенсационные выплаты, грн
|
8.51
|
|
ИТОГО:
расходы на суммарную заработную плату производственных рабочих, грн
|
136.25
|
.3 Расчет отчислений на социальные мероприятия
Отчисления на социальные мероприятия из
суммарного фонда оплаты труда производственных рабочих определяются суммой
взносов в фонды общеобязательного государственного социального страхования.
Виды общеобязательного государственного социального страхования определяются
соответствующим законодательством:
общеобязательное государственное пенсионное
страхование;
общеобязательное государственное социальное
страхование в связи с временной потерей трудоспособности и расходами,
обусловленными погребением;
общеобязательное государственное социальное
страхование на случай безработицы;
общеобязательное государственное социальное
страхование от несчастного случая на производстве и профессионального
заболевания, которые привели к потере трудоспособности.
Для работодателей базой обложения взносами на
указанные виды общеобязательного государственного страхования являются все
выплаты, включаемые в фонд оплаты труда, т.е. размеры страховых взносов по
каждому виду страхования устанавливаются в процентах от сумм фактических
затрат, которые включаются в суммарный фонд оплаты труда.
Размеры страховых взносов на общеобязательное
государственное страхование определяется по каждому виду страхования в
зависимости от страховых тарифов. Страховые тарифы по каждому виду страхования
ежегодно утверждаются Верховной Радой в законах:
Закон Украины «О взносах на общеобязательное
государственное пенсионное страхование»;
Закон Украины «О размере взносов на некоторые
виды общеобязательного государственного страхования»;
Закон Украины «О страховых тарифах на
общеобязательное государственное социальное страхование от несчастных случаев
на производстве и профессиональных заболеваний, которые вызвали потерю трудоспособности».
Правовые и организационные основы
функционирования системы общеобязательного государственного страхования
определены в законах:
Закон Украины «Об общеобязательном
государственном пенсионном страховании»;
Закон Украины «Об общеобязательном государственном
социальном страховании в связи с временной потерей трудоспособности и расходах,
связанных с погребением»;
Закон Украины «Об общеобязательном
государственном социальном страховании на случай безработицы»;
Закон Украины «Об общеобязательном государственном
социальном страховании от несчастных случаев на производстве и профессиональных
заболеваний, которые повлекли потерю трудоспособности».
Размеры страховых тарифов на общеобязательное
государственное страхование от несчастного случая на производстве и
профессионального заболевания, которые привели к потере трудоспособности,
дифференцированы по видам экономической деятельности в зависимости от класса
профессионального риска производства. Классификация видов экономической
деятельности (КВЭД) установлена в Национальном классификаторе Украины. КВЭД
представляет собой систематический перечень видов экономической деятельности,
которые могут осуществляться субъектами хозяйственной деятельности,
зарегистрированными в Украине.
В данной работе принят такой вид экономической
деятельности - 32.10.0 «Производство деталей электронного оборудования», класс
его профессионального риска производства - 36.
Размер отчислений из фонда заработной платы в
фонды общеобязательного государственного социального страхования состоит из
следующих взносов:
взноса на общеобязательное государственное
пенсионное страхование;
взноса на общеобязательное государственное
социальное страхование в связи с временной потерей трудоспособности и
расходами, связанными с погребением;
взноса на общеобязательное государственное
социальное страхование на случай безработицы;
взноса на общеобязательное государственное
социальное страхование от несчастного случая на производстве и
профессионального заболевания, которые привели к потере трудоспособности.
Общая сумма отчислений является суммой всех
перечисленных выше взносов.
Расчет годовых отчислений на социальные
мероприятия из суммарного фонда оплаты труда производственным рабочим сведен в
таблице 1.4.
Таблица 1.4 - Расчет отчислений на социальные мероприятия
|
№
п/п
|
Наименование
взноса в фонд общеобязательного государственного социального страхования
|
Страховой
тариф, %
|
Сумма
отчислений, грн
|
|
1.
|
Взнос
в фонд пенсионного страхования
|
7.1
|
9.67
|
Взнос
в фонд страхования в связи с временной потерей трудоспособности и расходами,
связанными с погребением
|
1.4
|
1.91
|
|
3.
|
Взнос
в фонд страхования на случай безработицы
|
1.6
|
2.18
|
|
4.
|
Взнос
в фонд страхования от несчастного случая на производстве и профессионального
заболевания, которые привели к потере трудоспособности
|
1.66
|
2.26
|
|
ИТОГО:
отчисления на социальные мероприятия из суммарного фонда оплаты труда
производственных рабочих, грн
|
16.02
|
.4 Составление калькуляции себестоимости и
определение цены
изделия
Расчет себестоимости и цены изделия сведен в
таблице 1.5.
Оптовая цена производственного изготовления
изделия формируется из полной себестоимости изделия и планируемого размера
прибыли от реализации единицы изделия в соответствии с установленным на
предприятии уровнем рентабельности производства данного вида изделия:
(6)
где Цопт - оптовая цена изделия, грн;
По - планируемый размер прибыли от реализации
единицы изделия, грн.
Планируемый размер прибыли от реализации единицы
изделия определяется на основании показателя рентабельности производства
продукции:
(7)
где R - рентабельность производства продукции,
%. В данной курсовой работе принято значение рентабельности R = 20%.
Следовательно, планируемый размер прибыли равен:
Отпускная цена изделия включает в себя оптовую
цену и НДС в размере 20% от оптовой цены:
(8)
где Ц - отпускная цена изделия, грн.
Зная предполагаемый размер прибыли, определим
оптовую цену, а также отпускную цену электронного изделия:
Таблица 1.5 - Расчет себестоимости и цены
изделия
|
№
п/п
|
Статья
затрат
|
Значение
|
|
|
грн.
|
%
|
|
1.
|
Стоимость
материалов с учетом транспортно-заготовительных расходов, за вычетом
возвратных отходов (См)
|
3.97
|
1.07
|
|
2.
|
Стоимость
покупных полуфабрикатов и комплектующих с учетом транспортно-заготовительных
расходов, за вычетом возвратных отходов (Скп)
|
180.98
|
48.97
|
|
3.
|
Расходы
на суммарную заработную плату производственных рабочих (Сзп)
|
136.25
|
36.87
|
|
4.
|
Отчисления
на социальные мероприятия из суммарного фонда оплаты труда производственных
рабочих (Ссоц)
|
16.02
|
4.33
|
|
5.
|
Расходы
на топливо и электроэнергию (Стэ)
|
4.26
|
1.15
|
|
6.
|
Расходы
на содержание и эксплуатацию оборудования (Соб)
|
8.52
|
2.31
|
|
7.
|
Цеховые
расходы (Сцех)
|
6.81
|
1.84
|
|
8.
|
Общезаводские
расходы (Сз)
|
5.96
|
1.61
|
|
9.
|
Прочие
накладные расходы (Спр)
|
2.55
|
0.69
|
|
10.
|
Общехозяйственные
расходы (Схоз)
|
4.26
|
1.15
|
|
Полная
себестоимость единицы изделия (Сп)
|
369.58
|
100%
|
|
Прибыль
на единицу изделия, (По)
|
73.92
|
-
|
|
Оптовая
цена изделия, (Цопт)
|
443.5
|
-
|
|
Отпускная
цена изделия, (Ц)
|
532.2
|
-
|
себестоимость затраты заработный
калькуляция
2. РАЗРАБОТКА СЕТЕВОГО ГРАФИКА ТЕХНИЧЕСКОЙ
ПОДГОТОВКИ ПРОИЗВОДСТВА ЭЛЕКТРОННОГО УСТРОЙСТВА
Сетевой график - это информационно-динамическая
модель, в которой изображаются взаимосвязи и результаты всех работ, необходимых
для достижения конечной цели. В основе сетевого моделирования лежит изображение
планируемого комплекса событий и работ в виде графа.
Результаты параметров сетевого графика сведены в
таблице 2.1.
Таблица 2.1 - Расчет параметров сетевого графика
|
Шифр
работы
|
Количество
пред-шествующих работ
|
Количество
последующих работ
|
Продолжительность
работ (t), дней
|
Раннее
начало работ (tрн), дней
|
Раннее
окончание работ (tро), дней
|
Позднее
начало работ (tпн), дней
|
Позднее
окончание работ (tпо), дней
|
Полный
резерв времени работы (Rп), дней
|
Свободный
резерв времени работы (Rс), дней
|
Резерв
времени события (R), дней
|
|
1-2
|
0
|
12
|
3
|
0
|
3
|
0
|
3
|
0
|
0
|
0
|
|
2-3
|
1
|
11
|
4
|
3
|
7
|
55
|
59
|
52
|
0
|
52
|
|
2-4
|
1
|
11
|
18
|
3
|
21
|
33
|
51
|
30
|
0
|
30
|
|
2-5
|
1
|
11
|
24
|
3
|
27
|
3
|
27
|
0
|
0
|
0
|
|
3-6
|
2
|
10
|
3
|
7
|
10
|
59
|
62
|
52
|
52
|
0
|
|
4-6
|
2
|
10
|
11
|
21
|
32
|
51
|
62
|
30
|
30
|
0
|
|
5-6
|
2
|
10
|
35
|
27
|
62
|
27
|
62
|
0
|
0
|
0
|
|
6-7
|
3
|
9
|
5
|
62
|
67
|
62
|
67
|
0
|
0
|
0
|
|
6-8
|
3
|
9
|
6
|
62
|
68
|
62
|
68
|
0
|
0
|
0
|
|
7-9
|
4
|
8
|
5
|
67
|
72
|
67
|
72
|
0
|
0
|
0
|
|
8-10
|
4
|
8
|
4
|
68
|
72
|
68
|
72
|
0
|
0
|
0
|
|
9-11
|
5
|
7
|
7
|
72
|
79
|
72
|
79
|
0
|
0
|
0
|
|
10-12
|
5
|
7
|
7
|
72
|
79
|
72
|
79
|
0
|
0
|
0
|
|
11-13
|
6
|
6
|
3
|
79
|
82
|
79
|
82
|
0
|
0
|
0
|
|
12-13
|
6
|
6
|
3
|
79
|
82
|
79
|
82
|
0
|
0
|
0
|
|
13-14
|
7
|
5
|
2
|
82
|
84
|
82
|
84
|
0
|
0
|
0
|
|
13-15
|
7
|
5
|
17
|
82
|
93
|
82
|
93
|
0
|
4
|
0
|
|
14-16
|
8
|
4
|
11
|
84
|
101
|
84
|
101
|
0
|
0
|
0
|
|
15-17
|
8
|
4
|
6
|
93
|
99
|
93
|
99
|
0
|
0
|
0
|
|
16-18
|
9
|
3
|
7
|
101
|
108
|
101
|
108
|
0
|
0
|
0
|
|
17-18
|
9
|
3
|
9
|
99
|
108
|
102
|
108
|
0
|
0
|
0
|
|
18-19
|
10
|
2
|
19
|
108
|
127
|
108
|
127
|
0
|
0
|
0
|
|
19-20
|
11
|
1
|
127
|
141
|
127
|
141
|
0
|
0
|
0
|
|
20-21
|
12
|
0
|
9
|
141
|
150
|
141
|
150
|
0
|
0
|
0
|
Ожидаемая длительность выполнения работ с шифром
i-j (tij) определяется исходя из выражения:
(9)
где tmin - минимальное время выполнения работ,
дней;нв - наиболее вероятное время выполнения работ, дней;- максимальное врем
выполнения работ, дней.
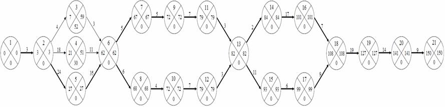
Сетевой график изображен на рисунке 2.1.
Обозначения, нанесенные в ячейках на сетевом
графике, означают:
Рисунок 3.1 - Обозначения на сетевом графике
- номер события;- резерв времени;
- ранний срок
наступления события;
- поздний срок
наступления события.
На графике наносится критический путь.
Критический путь - это наиболее протяженная во времени цепочка событий, ведущих
от исходного события к завершающему событию. Изменение продолжительности любой
работы, лежащей на критическом пути, изменяет срок наступления завершающего
события.
Все события, лежащие на критическом пути, имеют
нулевой резерв времени событий. Самый простой путь выявления критического пути
- определение всех последовательно расположенных событий, имеющих нулевой
резерв времени.
Раннее начало работ - это минимальный срок,
необходимый для выполнения всех работ, предшествующий данному событию. Раннее
начало работ рассчитывается по формуле:
(10)
где
-
ранний срок совершения последующего события (для события с шифром i-j), дней;
где
-
ранний срок совершения предыдущего события (для события с шифром i-j), дней;j -
продолжительность выполнения работы с шифром i-j, дней.
Резерв времени события - промежуток времени, на
который может быть отсрочено наступление этого события без нарушения сроков
завершения разработки в целом. Резерв времени определяется формулой:
(11)
где
-
поздний срок наступления события, дней;
- ранний срок
наступления события, дней.
Позднее начало работ - это максимальный из
допустимых моментов наступления данного события, при котором возможно
соблюдение директивного срока наступления завершающего события.
(12)
где
-
поздний срок совершения последующего события работы с шифром i-j, дней;
- поздний срок
совершения предыдущего события работы с шифром i-j, дней.
Поздний срок свершения завершающего график
события равен его раннему сроку, т.е.:
Исходя из вышеперечисленных выражений, определим
ранние и поздние сроки начала работ соответственно:
(13)
(14)
А ранние и поздние сроки окончания работ по
формулам:
(15)
(16)
Полные резервы времени работ можно найти по
выражению:
(17)
Свободные резервы времени работ:
(18)
Рисунок 3.2 - Сетевой график
ЗАКЛЮЧЕНИЕ
В результате курсовой работы был произведен
расчет полной себестоимости производства электронного устройства на примере
системы управления симистором, была определена ее оптовая и отпускная цены, а
также планируемый размер прибыли. Эти значения составляют:
Сп = 369.58грн;
Цо = 443.5грн;
Ц = 532.2грн;
По = 73.92грн.
Во второй части курсовой работы был построен
сетевой график технической подготовки производства исследуемого электронного
устройства, рассчитаны его параметры и определен критический путь. Критический
путь проходит по таким событиям: 1-2-5-6-8-10-12-13-15-17-18-19-20-21 и равен
150 дням.
СПИСОК ИСПОЛЬЗОВАННОЙ ЛИТЕРАТУРЫ
1.
Національний банк України. URL: #"523305.files/image040.jpg">
Рисунок А.1 - Принципиальная схема электронного
устройства
ПРИЛОЖЕНИЕ Б
Спецификация на электронное устройство
|
Формат
|
Зона
|
Позиция
|
Обозначение
|
Наименование
|
Кол.
|
Приме-чание
|
|
|
|
|
|
|
|
|
|
|
|
Документация
|
|
|
|
|
|
|
|
|
|
|
А4
|
|
|
|
Сборочный
чертеж
|
1
|
|
|
|
|
|
|
|
|
|
|
|
|
Детали
|
|
|
|
|
|
|
|
|
|
|
А4
|
|
1
|
|
Плата
печатная
|
1
|
|
|
|
|
|
|
|
|
|
|
|
|
Устанавливается
при
|
|
|
|
|
|
|
электромонтаже
|
|
|
|
|
|
|
|
|
|
|
|
|
|
Другие
изделия
|
|
|
|
|
|
|
|
|
|
|
|
|
|
Конденсаторы
|
|
|
|
|
|
|
|
|
|
|
|
2
|
|
SMD-2010-0.33мкФ-400В
|
|
C3
|
|
|
3
|
|
SMD-1808-100мкФ-16В
|
|
C2
|
|
|
4
|
|
SMD-1808-220мкФ-16В
|
|
C1
|
|
|
|
|
|
|
|
|
|
|
|
Резисторы
|
|
|
|
|
|
|
|
|
|
|
|
5
|
|
PCF1206-SMD-62Ом
|
1
|
R11
|
|
|
6
|
|
PCF2010-SMD-68Ом
|
1
|
R13
|
|
|
7
|
|
PCF1206-SMD-1КОм
|
1
|
R9
|
|
|
8
|
|
PCF0805-SMD-15КОм
|
1
|
R6
|
|
|
9
|
|
PCF0805-SMD-24КОм
|
1
|
R2
|
|
|
10
|
|
PCF0805-SMD-33КОм
|
2
|
R3,
R4
|
|
|
11
|
|
PCF0805-SMD-47КОм
|
2
|
R5,
R10
|
|
|
12
|
|
PCF0805-SMD-100КОм
|
2
|
R1,
R7
|
|
|
13
|
|
PCF0805-SMD-360КОм
|
1
|
R8
|
|
|
14
|
|
PCF2010-SMD-430КОм
|
1
|
R14
|
|
|
15
|
|
PCF2010-SMD-680КОм
|
1
|
R12
|
|
|
|
|
|
|
|
|
|
|
|
Диоды
|
|
|
|
|
|
|
|
|
|
|
|
16
|
|
SS110
1A-100V-SMA
|
3
|
VD1-VD3
|
|
|
17
|
|
FM4004M
1A-400V-SOD123F
|
1
|
VD6
|
|
|
18
|
|
BZX84C15
250mA-15.6V-SOT23
|
2
|
VD4,
VD5
|
|
|
|
|
|
|
|
|
|
|
|
Транзисторы
|
|
|
|
|
|
|
|
|
|
|
|
19
|
|
MMBT4403
200mA-30V-SOT23
|
4
|
VT1,
VT2, VT4, VT5
|
|
|
20
|
|
BC489C
200mA-30V-SOT23
|
1
|
VT3
|
|
|
21
|
|
BDP948
5A-45V-SOT223
|
1
|
VT6
|
|
|
|
|
|
|
|
|
|
|
|
Тиристоры
|
|
|
|
|
|
|
|
|
|
|
|
22
|
|
25TTS12SPBF
16A 1600V D2PAK
|
2
|
VS1
|
|
|
|
|
|
|
|
ПРИЛОЖЕНИЕ В
Исходные данные к расчету себестоимости и
оптовой цены электронного устройства
|
№
п/п
|
Наименование
показателя
|
Значение
|
|
1.
|
Нормы
расхода материалов, кг (в расчете на плату размером 5x5см):
|
|
|
стеклотекстолит
припой лак флюс хлорное железо
|
0.18
0.53 0.69 0.86 1.29
|
|
2.
|
Цена
материалов, грн./кг:
|
|
стеклотекстолит
припой лак флюс хлорное железо
|
36
161.1 429.6 341 51.55
|
|
3.
|
Цена
полуфабрикатов и комплектующих собственного производства, грн./шт.
|
-
|
|
4.
|
Цена
покупных полуфабрикатов и комплектующих, грн./шт.
|
см.
Таблица 1.2
|
|
5.
|
Трудоемкость
изготовления, в том числе, нормо-ч:
|
11
|
|
заготовление;
сверление; травление; промывка; лужение; сборка; паяние; наладка; прочие.
|
10%
6% 8% 5% 4% 20% 25% 17% 5%
|
1.1
0.66 0.88 0.55 0.44 2.2 2.75 1.87 0.55
|
|
6.
|
Средний
разряд работ, нормо-ч:
|
|
|
|
заготовление;
сверление; травление; промывка; лужение; сборка; паяние; наладка; прочие.
|
VI
V IV I II V V VI IV
|
|
7.
|
Часовая
тарифная ставка производственного рабочего i-го разряда, грн./ч
|
5
|
ПРИЛОЖЕНИЕ Г
Исходные данные к расчету сетевого графика
|
№
п/п
|
Наименование
работ
|
Шифр
работ
|
Длительность
работ, дней
|
|
|
|
tmin
|
tнв
|
tmax
|
|
1.
|
Получение
технического задания
|
1-2
|
1
|
2
|
4
|
|
2.
|
Функционально-стоимостной
анализ
|
2-3
|
2
|
3
|
5
|
|
3.
|
Патентный
поиск
|
2-4
|
14
|
18
|
20
|
|
4.
|
Разработка
технического проекта
|
2-5
|
18
|
24
|
27
|
|
5.
|
Технико-экономическое
обоснование
|
3-6
|
2
|
3
|
4
|
|
6.
|
Обработка
результатов исследования
|
4-6
|
7
|
10
|
14
|
|
7.
|
Разработка
эскизного проекта
|
5-6
|
30
|
34
|
40
|
|
8.
|
Разработка
принципиальной схемы силовой части
|
6-7
|
2
|
4
|
8
|
|
9.
|
Разработка
принципиальной схемы системы управления
|
6-8
|
3
|
6
|
9
|
|
10.
|
Изготовление
макета силовой части
|
7-9
|
2
|
4
|
8
|
|
11.
|
Изготовление
макета системы управления
|
8-10
|
2
|
3
|
6
|
|
12.
|
Испытание
макета силовой части
|
9-11
|
4
|
6
|
9
|
|
13.
|
Испытание
макета системы управления
|
10-12
|
2
|
7
|
10
|
|
14.
|
Обработка
результатов испытания силовой части
|
11-13
|
2
|
3
|
4
|
|
15.
|
Обработка
результатов испытания системы управления
|
12-13
|
1
|
2
|
4
|
|
16.
|
Составление
спецификации на устройство
|
13-14
|
1
|
2
|
3
|
|
17.
|
Оформление
заказа на поставку покупных материалов и комплектующих
|
14-16
|
7
|
10
|
14
|
|
18.
|
Разработка
конструкторской документации
|
13-15
|
13
|
17
|
20
|
|
19.
|
Разработка
технологического процесса
|
15-17
|
4
|
6
|
8
|
|
20.
|
Получение
покупных материалов и комплектующих
|
16-18
|
3
|
6
|
10
|
|
21.
|
Нормирование
труда и расхода материалов
|
17-18
|
5
|
8
|
14
|
|
22.
|
Монтаж
и сборка принципиальной схемы
|
18-19
|
10
|
19
|
25
|
|
23.
|
Изготовление
опытного образца
|
19-20
|
8
|
16
|
|
24.
|
Испытание
опытного образца
|
20-21
|
7
|
8
|
12
|
ПРИЛОЖЕНИЕ Д
Термины
Технический уровень технического объекта
Технический уровень разработки
Прототип изобретения (базовое изделие) -
изделие, которое является основной обязательной составной частью ряда изделий,
различающихся выполняемой служебной функцией и конструкцией.
Технологическое задание - исходный документ для проектирования
сооружения или промышленного комплекса, конструирования технического
устройства, разработки информационных систем, стандартов либо проведения
научно-исследовательских работ.
Технологическая карта - технологическая
документация в виде карты, листка, содержащего описание процесса изготовления,
обработки, производства определенного вида продукции, производственных
операций, применяемого оборудования, временного режима осуществления операций.
Рационализаторское предложение - техническое
решение, являющееся новым и полезным для предприятия, организации, учреждения,
которому оно подано, и предусматривающее изменение конструкции изделий,
технологии производства и применяемой техники или изменение состава материала.
Внедрение законченных разработок в промышленность
(промышленное освоение новой продукции)
Процедура технико-экономического обоснования -
информация, удовлетворяющая требованиям информативности, полноты,
достоверности, актуальности, экономической обоснованности и разработки схемы
возврата вложенных средств и ресурсов.
Диверсификация - распределение инвестируемых или
ссужаемых денежных капиталов между различными объектами вложений с целью
снижения риска возможных потерь капитала или доходов от него; расширение
ассортимента, изменение вида продукции, производимой предприятием, фирмой,
освоение новых видов производств с целью повышения эффективности производства,
получения экономической выгоды, предотвращения банкротства.
Инвестиции: реальные инвестиции - долгосрочные
вложения средств в материальное производство, в материально-вещественные виды
деятельности; финансовые инвестиции - вложения в ценные бумаги (акции,
облигации, векселя и т.п.), выпущенные государством и частными компаниями,
размещенные на депозитных счетах банков и других финансовых учреждений.
Дисконтирование - это процесс определения
сегодняшней (текущей) стоимости денег, когда известна их будущая стоимость,
т.е. метод оценки современной стоимости суммы, которая будет получена в
будущем.