Разработка сбытовой политики в отношении конкретного товара (на примере предприятия ОАО 'Автоагрегат')

  • Вид работы:
    Дипломная (ВКР)
  • Предмет:
    Маркетинг
  • Язык:
    Русский
    ,
    Формат файла:
    MS Word
    940,31 kb
  • Опубликовано:
    2011-08-23
Вы можете узнать стоимость помощи в написании студенческой работы.
Помощь в написании работы, которую точно примут!

Разработка сбытовой политики в отношении конкретного товара (на примере предприятия ОАО 'Автоагрегат')

КУРСОВАЯ РАБОТА

По дисциплине “Маркетинг”

Тема: Разработка сбытовой политики в отношении конкретного товара (на примере предприятия)” На материалах ОАО “Автоагрегат”

СОДЕРЖАНИЕ

ВВЕДЕНИЕ

. основы СБЫТОВОЙ ПОЛИТИКИ ПРЕДПРИЯТИЯ

.1 Сущность и основные понятия сбытовой политики

1.2 Процесс разработки сбытовой политики

.3 Современные проблемы разработки эффективной политики формирования спроса и стимулирования сбыта на промышленных предприятиях

2. Анализ эффективности сбытовой политики ОАО «Автоагрегат» в отношении определенного товара предприятия

2.1 Характеристика ОАО «Автоагрегат»

.2 Анализ маркетинговой деятельности ОАО «Автоагрегат»

.3 Оценка формирования сбытовой политики ОАО «Автоагрегат»

3. Совершенствование политики формирования сбыта фильтрующих элементов ОАО «Автоагрегат»

3.1 Моделирование конкурентоспособности продукции ОАО «Автоагрегат» как ключевого элемента сбытовой политики фильтрующих элементов предприятия

.2 Проектирование комплекса стимулирующих мероприятий в рамках реализации сбыта фильтрующих элементов ОАО «Автоагрегат»

3.3 Обоснование целесообразности предлагаемых мер по совершенствованию политики формирования сбыта фильтрующих элементов ОАО «Автоагрегат»

Заключение

Список используемой литературы

ПРИЛОЖЕНИЯ

ВВЕДЕНИЕ

Для того чтобы управлять предприятием, воздействуя на спрос, нужно изучить не только сами методы воздействия, различные концепции (приемы) управления спросом, но и возможные виды состояния спроса. Задачи менеджмента по маркетингу заключаются в мониторинге за состоянием и уровнем спроса и поддержанием на этом уровне предложения. Задача управления спросом заключается в воздействии на уровень, время и характер спроса таким образом, чтобы это помогло организации в достижении стоящих перед ней целей. Рыночная система включает в себя по крайней мере, три элемента: участников, деловые отношения и каналы распределения товаров.

Управление сбытом товаров промышленного назначения включает в себя движение материальных ценностей от предприятий изготовителей, так и встречный поток товаров. Наряду с этим оно охватывает движение товаров к государственным организациям, деловым предприятиям непромышленного характера, экспортерам, а также движение товаров между самими предприятиями.

Проблема сбыта решается уже на стадии разработки политики предприятия в области формирования сбыта. Здесь осуществляется выбор наиболее эффективной системы, каналов и методов сбыта применительно к конкретно определенным рынкам. Это означает, что производство продукции с самого начала ориентируется на конкретные формы и методы сбыта, наиболее благоприятные условия. Поэтому разработка сбытовой политики имеет целью определение оптимальных направлений и средств, необходимых для обеспечения наибольшей эффективности процесса реализации товара, что предполагает обоснованный выбор организационных форм и методов сбытовой деятельности, ориентированных на достижение намечаемых конечных результатов. Учитывая данные аспекты, тема курсовой работы является актуальной.

Целью данной работы является изучение особенностей построения политики формирования сбыта на конкретную продукцию (товар) предприятия. Цель определяет решение следующих задач:

-       изучить сущность и основные понятия сбытовой политики;

-       проанализировать процесс разработки сбытовой политики;

-       определить современные проблемы разработки эффективной политики сбыта на промышленных предприятиях;

-       представить характеристику ОАО «Автоагрегат»;

-       дать анализ маркетинговой деятельности ОАО «Автоагрегат»;

-       дать оценку политики формирования сбыта конкретного товара ОАО «Автоагрегат»;

-       представить моделирование конкурентоспособности продукции ОАО «Автоагрегат» как элемента сбытовой политики фильтрующих элементов производства предприятия

-       проиллюстрировать проектирование комплекса стимулирующих мероприятий в рамках реализации сбыта фильтрующих элементов ОАО «Автоагрегат»;

-       обосновать целесообразность предлагаемых мер по совершенствованию сбытовой политики фильтрующих элементов ОАО «Автоагрегат».

Предметом исследования является управленческая и маркетинговая деятельность предприятия в части реализации сбытовой политики продукции.

Объектом исследования является ОАО «Автоагрегат» - крупное машиностроительное предприятие по производству фильтров и фильтроэлементов.

В первой части работы приводятся теоретические основы сбытовой политики.

Во второй части проводится анализ эффективности сбытовой политики на ОАО «Автоагрегат».

В третьей части курсовой работы представлены мероприятия по совершенствованию сбытовой политики фильтрующих элементов ОАО «Автоагрегат».

Для написания работы использовались источники из различных областей наук: менеджмента, маркетинга, социологии, психологии, экономики. Среди них - это периодические издания, монографии, учебники и др. Особенно следует отметить статьи таких авторов, как: Багиева Г. Л., Аренкова И. А., Долинской М. Г., Соловьева И. А., Афонина И.В., Виханского О.С., Котлера Ф., Портера М., Юданова А. Ю. и др.

1. основы СБЫТОВОЙ политики ПРЕДПРИЯТИЯ

.1 Сущность и основные понятия сбытовой политики

Политика сбыта - это совокупность мер в системе маркетинга, направленных на формирование спроса и стимулирование сбыта в интересах производителя при одновременном учете требований рынка (покупателей).

Это понятие, появилось в русском языке как аналог английских понятий «promotion and advertising» и «маркетинг коммуникейшн» - формирование спроса и стимулирование сбыта - ФОСCТИС. Занимает особое место в производственно-сбытовой сфере современного маркетинга, так как представляет собой наиболее активную часть всего маркетингового инструментария.

Политика сбыта включает товарную и престижную рекламу, отношения фирмы с общественностью, другие возможные средства воздействия на внешнюю среду; она предусматривает осуществление определенных комплексов маркетинговых коммуникаций по формированию спроса и стимулирования сбыта.

В сбыта следует различать коммуникационный (информирующий) и коммерческий эффекты. Благодаря коммуникационному воздействию средств сбыта потенциальные и реальные покупатели воспринимают товар как обладающий высокой потребительной стоимостью.

При подготовке кампании сбыта прежде всего формируется ее цель, которая обычно не совпадает с коммерческими целями буквально. Мероприятия сбыта могут быть нацелены, например, на распространение информации о предприятии, его истории, достижениях, клиентуре; преодоление предубежденности по отношению к товару; распространение данных о качестве сервиса фирмы; показ мер, принимаемых для обеспечения высокой экологичности изделий предприятия. Во время кампании сбыта решаются не только текущие коммерческие задачи, но и закладывается основа уважения и доверия к фирме-производителю или продавцу.

Обычный коммерческий эффект хорошо поставленной рекламы следующий: осведомленность обычно проявляют 60-80% обследуемых, предпочитают данный товар другим всего лишь 20-25%, а намерение купить сразу же данный товар имеют не более 12-15%.

При планировании расходов на сбыта целесообразно распределять средства следующим образом: на рекламу в прессе - 30%, на печатную рекламу (проспекты, каталоги и т.д.) - 15, на выставки и ярмарки - 15, на прямую рекламу - 10; на сувениры, приемы и другие мероприятия СТИС - 7,5, на поездки агентов (дилеров) для знакомства с предприятием-экспортером - 7,5, на отношения с общественностью - 7,5 и на непредвиденные расходы - 7,5%. В зависимости от товара, рынка и других обстоятельств структура расходов может меняться.

На многих фирмах имеются самостоятельные подразделения маркетинга, сбыта как комплекс мероприятий по повышению эффективности функционирования каналов сбыта все чаще разрабатывается и осуществляется многими фирмами в дополнение к традиционным составляющим сбытовой деятельности (реклама, упаковка, сервис и т.п.).

Задача сбытовой политики - разработать и распространить среди потенциальных покупателей информацию о товаре, а именно:

что за товар имеется в наличии;

какие потребности удовлетворяет использование данного товара;

доказательства качества удовлетворения этих потребностей;

информация о гарантиях защиты интересов покупателя. Эта информация доводится до покупателя с помощью рекламы, выставок, ярмарок, других мероприятий, стимулирующих спрос.

Задача СТИС - поддерживать и повышать достигнутый уровень реализации товара. Для достижения этих целей разрабатываются и осуществляются следующие мероприятия:

предоставление скидок за количество и регулярность закупок (иногда в виде различных премий, подарков);

резкое снижение цен (например, распродажи товаров ширпотреба в конце сезона или в связи с переходом на выпуск новых моделей);

предоставление кредита, в том числе потребительского, на более льготных условиях;

«паблик рилейшн» (взаимоотношения с общественностью).

1.2 Процесс разработки сбытовой политики

Разработка политики формирования спроса и стимулирования сбыта на промышленном предприятии - это относительно самостоятельный, специализированный и обособленный участок его маркетинговой деятельности. Условно процесс сбыта можно разделить на две функции: формирование спроса и стимулирование сбыта.

Алгоритм формирования спроса зависит от характера спроса на товар на данной рынке. Ниже приводятся варианты различных маркетинговых воздействий на рынок, в зависимости от характера спроса.

Отрицательный спрос имеет место в тех случаях, когда рынок не интересуется или отвергает данный товар. Покупатель может даже заплатить определенную цену за отказ от использования «нелюбимого» продукта. Некоторые люди, например, боятся уколов и пытаются избежать вакцинации при поездках в тропические страны, осознавая, тем не менее, чем это может грозить. Задача маркетинга в том, чтобы, выявив причины негативного отношения потребителей к товару, разработать и внедрить определенную маркетинговую программу по формированию в их сознании необходимого позитивного отношения, предпочтения данному товару на основе, например, переделки продукта, рекламной компании, снижения цены, продаже в определенных точках и т.д.

Нулевой спрос наблюдается тогда, когда потребителю все равно, существует данный товар или нет. В качестве примера можно привести тот факт, сто спрос на магнитофоны при начале их выпуска был нулевым. Люди привыкли пользоваться проигрывателями и не интересовали новинками техники в этой области. Компаниям, освоившим выпуск магнитофонов, удалось искусственно сформировать спрос на свою продукцию. При нулевом спросе основная задача стимулирующего маркетинга состоит в том, чтобы найти и предложить способы и средства связи между потребительскими качествами товара и представлениями потенциальных потребителей об их собственных потребностях и желаниях.

Латентный (скрытый) спрос. При данном виде спроса можно утверждать, что существует определенная группа потенциальных потребителей, чьи потребности и желания не могут быть удовлетворены предлагаемыми рынком товарами, но в явном виде это не проявляется. В мировом масштабе существует скрытый спрос на безвредные сигареты, бесшумные машины и т.д. В этом случае задача развивающего маркетинга заключается в оценке потенциала целевого рынка и разработке на основе этого комплекса мер по оповещению потребителей о товаре и формированию у них спроса на него.

Уменьшающийся спрос. В любой предпринимательской структуре, выпускающей несколько наименований товаров, спрос на них не одинаков. Это относится как к производителям, так и к общественным организациям и т.п. Например, в результате развития рыночных отношений в России в ВУЗах резко упал спрос на технические специальности. Основная задача ремаркетинга в похожей ситуации - проанализировать причины уменьшающегося спроса и предложить меры по его стимулированию путем усовершенствования продукта, возможной его переориентации на другую группу потребителей, улучшения рекламы и т.п.

Нерегулярный спрос. Данный вид спроса характерен для сезонных товаров, например, пляжные костюмы или электроэнергия (спрос на нее меняется в течение суток). Это создает определенные проблемы при организации производства товаров или выполнении услуг, которые приводят к неравномерной загрузке производственных мощностей и нарушению графика работы оборудования. В практике работы предпринимательских структур, занимающихся производством таких товаров, имеются примеры сглаживания спроса. Например, в ночное время стоимость услуг сети "Интернет" в несколько раз ниже, чем днем. Задача синхромаркетинга заключается в том, чтобы найти новые, подходящие для производства на имеющихся мощностях товары, спрос на которые не совпадает по времени со спросом на основную продукцию (диверсификация продукции).

Оптимальный спрос. Нередко товары данного производителя пользуются спросом, который позволяет полностью загрузить производственные мощности вопреки усилиям конкурентов. Задача поддерживающего маркетинга заключается в том, чтобы всеми силами сохранить статус-кво независимо от изменений во внешней среде, действий конкурентов и т. д. Другими словами, более быстро и успешно реагировать на изменения внешних условий маркетинговой среды предпринимательской структуры по сравнению с конкурентами.

Чрезмерный спрос. Количество товаров значительно меньше, чем объем спроса на них. То есть определенная доля желающих приобрести потребителей не может этого сделать из-за ограниченного количества товаров, имеющихся на рынке. Например, высокий конкурс на юридический факультет среди абитуриентов или огромное количество желающих попасть на концерт популярной группы «Роллинг стоунз». Задача демаркетинга при таком виде спроса - предложить и осуществить мероприятия по уменьшению спроса до оптимального. Традиционные средства - увеличение цены, ограничение льгот и введение запретов (например, во Франции во время жары в период прохождения чемпионата мира по футболу в четные дни разрешено было выезжать автомобилям с четными номерами, а в нечетные - с нечетными).

Иррациональный спрос. В современном обществе существует спрос на некоторые товары, заведомо известные потребителям, как приносящие вред здоровью. Тем не менее, данный вид спроса не только не падает, но и имеет тенденцию к росту. Тревожная ситуация складывается, например, в России, в связи с расширением деятельности различного рода структур, занимающихся производством и продажей наркотиков. Аналогично обстоит дело и с технологиями производств некоторых товаров, наносящих огромный ущерб экологической ситуации. Например, в городе Новокузнецке, где сосредоточено огромное количество металлургических заводов, жители уже много лет не видели белого снега. Его цвет зависит от того, выплавка какого металла на комбинате производится в момент выпадения снеговых осадков. Задача противодействующего маркетинга заключается в ограничении и переориентации потребительского спроса путем предложения подходящих альтернатив, организации рекламной компании, основанной на откровенной и точной информации о вреде соответствующего продукта для самих потребителей, а также - на предложение комплекса эффективных ограничительных мер.

Функция формирования системы стимулирования сбыта (СТИС) имеет четко выраженное содержание, разработанный процесс осуществления и определенную структуру, в рамках которой завершается ее организационное обособление [14].

Формирование, расширение, реструктуризация и сокращение системы сбыта осуществляется на самом верхнем уровне управления сбытовой деятельностью промышленного предприятия, которое обеспечивает оптимизацию сбытовых каналов. Контрольные показатели сбытовой деятельности, которые используются для этого, могут представлять собой как количественные, так и качественные параметры.

Алгоритм планирования организации и управления сбытовой деятельностью на промышленном предприятии показан на рисунке 1.

























Рисунок 1 - Алгоритм формирования системы стимулирования сбыта на промышленном предприятии

Из рисунка 1 видно, что при планировании сбыта учитываются объемы возможных поставок продукции на основании факторов сезонности продаж т.е. календарные планы. Основанием для планирования сбыта являются показатели продаж за предшествующие годы (или другие временные отрезки). Исходные данные представлены обычно в виде таблиц. Анализ оборота предприятия за прошлые годы охватывает многолетний период. В таблицах должны быть показаны:

оборот продаж (количество);

стоимость продаж (оборота);

продажные цены продукции (собственного предприятия и основных конкурентов);

собственные прогнозы сбыта, составлявшиеся в прошлом;

колебания между плановыми и фактическими показателями, имевшие место в прошлом.

Такой подробный анализ с показателями по месяцам и возможностью более детально рассмотреть все виды колебаний позволяет предсказать перспективные данные сбыта. Статистика сбыта расшифровывается по следующим позициям:

товары и группы товаров;

торговые районы и районы представителей (продавцов);

группы покупателей;

количество и частота заказов;

каналы сбыта продукции.

Планирование сбыта и продвижения товаров (услуг) включает разработку программы или плана формирования системы сбыта и распределение продукции, а также программы управления рекламой и стимулированием сбыта.

Процесс формирования системы сбыта и распределения продукции включает:

разработку прогнозов конъюнктуры;

составление и осуществление планов реализации товаров (услуг);

подготовку прогнозов реализации товаров (услуг);

планирование оптимальных хозяйственных связей предприятия;

выбор каналов распределения;

планирование запасов готовой продукции;

планирование предоставления дополнительных услуг хозяйственным партнерам;

планирование контрактных соглашений;

планирование товарооборота по ассортиментным позициям.

Сбыт планируется по месяцам и неделям. Если не проявляются тенденции к перераспределению, то можно воспользоваться в качестве основы временным распределением сбыта в прошлом. При этом годовое количество принимается за 100%, а месячные обороты рассчитываются как части годового оборота.

Этот годовой план оказывает влияние на план производства, так как процесс производства протекает, как правило, параллельно сбыту. Для лучшего контроля план сбыта составляется на основе тех же методов, что и статистика сбыта.

После разработки плана в количественных показателях проводится расчет стоимостных показателей, при этом обычно исходят из средних цен. После чего можно определить плановую прибыль, а с учетом стоимости производства и минимальную предельную продажную цену. Здесь как раз и следует определить максимальные скидки и условия платежа.

В соответствии с этими планами разрабатываются плановые задания и дополнительные инструкции для всех продавцов.

Однако эффективное формирование сбытовой системы предприятия невозможны без действенного и четко отлаженного механизма управления.

1.3 Современные проблемы разработки эффективной политики формирования спроса и стимулирования сбыта на промышленных предприятиях

политика сбыт спрос конкурентоспособный

Для преодоления барьера недоверия к товару, а главным образом к фирме-продуценту, предлагающей товар, ставится задача создать положительный имидж фирмы. Для этого:

а) проводятся пресс-конференции о некоммерческих (положительных) событиях в жизни фирм;

б) используется различная реклама престижного характера, представляющая уже не товар, а фирму и ее предприятия;

в) применяется спонсорство (субсидирование, финансирование, организационная и финансовая поддержка, ручательство и т.д.). Например, финансируются: издание книг, научные исследования и экспедиции в гуманитарных целях, разнообразные культурные акции, а также различные некоммерческие статьи, телепередачи и т.п.

Разумеется, о всех мероприятиях «паблик рилейшн» через средства массовой информации оповещаются потенциальные потребители.

Действенность всех этих мероприятий и в целом эффективность функционирования каналов сбыта во многом зависят от квалификации персонала, занимающегося сбытовыми операциями. Считается, что работники сбыта должны как минимум обладать следующими знаниями и информацией:

о политике и тенденциях развития фирмы;

о методах представления товара, включая рекламу и технику заключения сделок;

о требованиях, традициях и привычках покупателей применительно к продукции фирмы;

о конкурентах - характеристика выпускаемых изделий, цены, политика и т.д.

Особенно тщательно подбираются управляющие по сбыту. Требования к ним, как и к руководителям других подразделений фирмы (или к кандидатам на выдвижение), могут быть сформулированы примерно так:

наличие коммерческих и технических знаний и опыта;

способность к долгосрочному планированию;

умение планировать и организовывать повседневные задания, контролировать их выполнение и энергично доводить дело до конца;

способность работать с людьми (руководить и координировать) и повышать их деловую квалификацию.

Деятельность персонала, занимающегося сбытовыми операциями, систематически контролируется вице-президентом фирмы или начальником отдела маркетинга. Много внимания уделяется анализу загрузки рабочего времени, поскольку считается, что активность сбытовой деятельности зависит от того, как и на что расходуется время. Одна компания провела следующий эксперимент. Все управляющие сбытовых отделов в течение месяца должны были вести хронометраж рабочего дня, отмечая, что было сделано за каждые 15 минут. Затем эти данные были сопоставлены с объемом продаж за анализируемый месяц. На основе этих материалов для управляющих были организованы занятия, на которых детально был проработан вопрос оптимального использования и распределения рабочего времени с точки зрения увеличения объема продаж.

При таких общих установках по подбору и организации работы персонала по сбыту у каждой фирмы, конечно, имеются свои особенности в зависимости от номенклатуры сбываемых товаров. Если, например, фирмы, реализующие сырье, полуфабрикаты или товары бытового назначения, обращают внимание главным образом на коммерческую подготовку работников сбыта, то от работника, занимающегося сбытом продукции машиностроения, наряду с коммерческими знаниями требуется хорошая техническая подготовка. Такой работник должен располагать исчерпывающими техническими сведениями о предлагаемой им продукции. В случае необходимости он должен быть в состоянии проконсультировать клиента по вопросам подбора технологического оборудования, оценки его эффективности и другим техническим вопросам.

2. Анализ эффективности сбытовой политики ОАО «Автоагрегат» в отношении определенного товара предприятия

2.1 Характеристика ОАО «Автоагрегат»

В 1939 году в городе Ливны началось строительство мотороремонтной тракторной мастерской (МТМ). В 1941 году строительство в основном было закончено, но вероломное нападение фашистской Германии прервало планы мирного строительства. В 1941 году все было разрушено и сожжено. Остались одни стены мастерской.

В 1943 году в трудных условиях началось восстановление мастерской. Приказом по Орловскому земельному отделу от 17 марта 1945 года, во исполнение постановления Исполкома Облсовета депутатов трудящихся и Бюро Обкома ВКП(б) от 10 марта 1945 г. и приказа Наркомзема СССР от 30 января 1945 г. №70, было принято решение об организации Ливенского моторно-ремонтного завода (МРЗ) на базе восстанавливаемой мотороремонтной тракторной мастерской. Эта дата является датой основания Ливенского Автоагрегатного завода, началом его трудовой летописи.

До 1960 года МРЗ производил капитальный ремонт автомобильных и тракторных моторов, изготавливал запасные части к тракторам, диски для кольчатых колес, конуса крышек насоса и насосы ГН-200, ГН-500, фильтры для очистки горючего при заправке тракторов, бороны, сеялки для лесного хозяйства, кольчатые катки для сельскохозяйственной техники.

В августе 1960 года Ливенский Мотороремонтный завод переименован в Завод маслонасосов.

С декабря 1963 года на правах производства завод входил в состав объединения по производству насосов «Автоагрегат» управления машиностроения Приокского совнархоза.

В 1966 году он был передан Минавтопрому СССР и получил название «Завод Автонасосов», а в августе 1967 года переименован в «Ливенский автоагрегатный завод». С этого времени началась новая страница в истории завода.

Затем было решено произвести на заводе коренную реконструкцию, чтобы производить продукцию для Волжского автомобильного завода.

Строительство новых площадей завода началось в 1968 году на окраине г. Ливны, а уже в 1970 году продукция поставлялась на Волжский автомобильный завод по производству автомобилей «Жигули».

декабря 1970 года было принято Постановление Совета Министров СССР №1000 «О строительстве и реконструкции заводов Министерства автомобильной промышленности для обеспечения Камского автомобильного завода комплектующими изделиями».

На протяжении последующих десятилетий предприятие динамично развивалось, увеличивалась номенклатура выпускаемой продукции.

В начале 90-х годов ОАО «Автоагрегат» преобразовано в акционерное общество в результате приватизации государственного предприятия «Ливенский автоагрегатный завод». Перед предприятием возникли проблемы, связанные с изменением общественного строя государства, становлением рыночных отношений, развитием новых форм собственности.

С 2002 года ОАО «Автоагрегат» входит в холдинг ОАО «Орловская промышленная компания».

На деятельности ОАО «Автоагрегат» отражаются все изменения в области автомобилестроения и машиностроения, происходящие в России. Конкурентная борьба, недавний спад в области производства отечественной автомобильной техники привели к уменьшению потребности выпускаемых изделий на сборочных конвейерах автогигантов: АО «АвтоВАЗ», ОАО «КамАЗ», АМО ЗИЛ, ОАО «ГАЗ» и др. В то же время, появление на рынке импортных грузовых и легковых автомобилей, импортной сельскохозяйственной техники, а также переориентация отечественных автомобилестроителей на новые современные технологии, позволили предприятию осваивать на имеющихся мощностях и площадях производство фильтров и фильтрующих элементов очистки масла, топлива и воздуха для легковых и грузовых автомобилей, тракторов, комбайнов, автобусов, судовых двигателей, дорожно-строительной техники, погрузчиков, газокомпрессорных станций как отечественного, так и импортного производства. Произошел рост номенклатуры товарной продукции в основном за счет освоения новых фильтров и фильтрующих элементов для сельхозмашин, тракторов, импортных машин и мотоциклов.

Основными потребителями производимой предприятием продукции являются предприятия: ОАО «КамАЗ», АО «АвтоВАЗ», ОАО «Автомобильный завод «Урал», г. Миасс, ОАО ПО «Алтайский моторный завод», г. Барнаул, ООО «Комбайновый завод «Ростсельмаш», г. Ростов- на - Дону, ОАО «Красноярский комбайновый завод» г. Красноярск, Волгоградский тракторный завод, ОАО «Промтрактор», г. Чебоксары, АМО ЗИЛ, г. Москва, ОАО ГАЗ, г. Нижний Новгород, Волгоградский моторный завод и другие автомобильные и тракторные заводы, технические центры сервиса перечисленных предприятий. С 2005 года ОАО «Автоагрегат» поставляет фильтрующие элементы очистки воздуха двух наименований на сборочный конвейер «FORD MOTOR COMPANY ZAO» в г. Всеволжске Ленинградской области.

2.2 Анализ маркетинговой деятельности ОАО «Автоагрегат»

Маркетинговая деятельность ОАО «Автоагрегат» на рынке отличается целевой ориентацией и комплексностью. Именно маркетинг как функция предпринимательской деятельности характеризует производителя и его работу на рынке.

Целями маркетинговой деятельности ОАО «Автоагрегат» являются:

−       достижение максимально возможного потребления производимого товара;

−       достижение максимально возможной потребительской удовлетворенности;

−       представление максимально широкого выбора товаров и услуг;

−       максимальное повышение качества жизни общества.

За 2007 г. предприятием получено денежных средств за готовую продукцию в сумме 848 255 тыс. руб., что составило 100,3 % от запланированной суммы, прирост к 2006 году составил 24,7%.

Отгружено 395 770 единиц продукции, среднемесячное количество составило 32 980 шт. Прирост отгрузки в денежном выражении к 2006 году составил 24%.

В 2007 году заключено 475 договоров поставок на общую сумму 436 782 300 руб.

Отделом маркетинга в третьем квартале проводилось анкетирование потенциальных потребителей предприятия, проведены мероприятия по привлечению к сотрудничеству новых региональных дилеров. Установлены контакты с 20 организациями. С ниже перечисленными организациями в 2007 году были заключены договора поставки и отгружена продукция согласно заявок:

-       ОАО «КамАЗ»

-       АО «АвтоВАЗ»

-       ОАО «Автомобильный завод «Урал» г. Миасс

-       ОАО ПО «Алтайский моторный завод» г. Барнаул

-       ООО «Комбайновый завод «Ростсельмаш» г. Ростов- на - Дону

-       ОАО «Красноярский комбайновый завод» г. Красноярск

-       Волгоградский тракторный завод

-       ОАО «Промтрактор» г. Чебоксары

-       АМО ЗИЛ г. Москва

-       ОАО ГАЗ г. Нижний Новгород

-       Волгоградский моторный завод

-       другие автомобильные и тракторные заводы

-       технические центры сервиса перечисленных предприятий

В 2007 году отделом маркетинга проводилась работа по расширению существующей дилерской сети. Было заключено 10 дилерских договоров и договоров о сотрудничестве. По итогам работы за 2007 год из указанного числа новых договоров были пролонгированы 43 договоров на 2007 год со следующими организациями:

-       ООО "СК-Авто"

-       ООО "Архангельский АЦ КамАЗ"

-       ООО Нефтехимкомплект

-       ЧП "Тетеркин"

-       Газель-моторс - ИП Мишекин

-       ООО Волготехснаб

-       ЗАО "Автоэлемент"

-       ИП Селютин В.Д.

-       ООО "Крона 95"

-       ЧП "Баскаков"

-       ООО "Уралфильтркомплект"

-       "Калужский автоцентр КАМАЗ"

-       ООО "СибЗил"

-       ЗАО "Красногорский автоцентр КАМАЗ"

-       ИП Шалыгин

-       ЧП "Денисов"

-       ЗАО Сервисзапчасть

-       ООО "Интермашсервис"

-       ООО "ТД Караги Плюс"

-       ООО "ПАСКЕР лтд"

-       ООО "Эдельвейс Плюс"

-       ООО "ТД АвтоСнабЦентр"

-       ЛААЗ АвтоМаркет

-       ООО «АПК Союз»

-       ООО "Зубр"

-       ООО МПАТП Транссервис

-       ООО "Агросибторг"

-       ЗАО "Автопульс"

-       ООО "Лик-96"

-       ООО "ЮгАвтофильтр"

-       ООО ТТК "Югтехкомплект"

-       ООО "КамАЗ-Дон"

-       ЧП "Мезляков"

-       ООО "БалтКам"

-       ООО"ВехаСнабСервис"

-       ТОО "Лада М"

-       ЗАО КПК "Ставропольстройоптторг"

-       ООО "Автоцентр КамАЗ"

-       Склад-магазин "Дон-фильтр" ИП Гаврилов

-       ООО ТД Русойл

-       ООО "Тантал"

-       ЧП "Тополь"

-       ООО "ПКФ Прагма"

В настоящее время дилерская сеть ОАО «Автоагрегат» состоит из 45 организаций. Сумма денежных поступлений от дилеров в 2007 году составила 376 778 тыс. руб., что составило 53,7% от общих поступлений. Прирост к 2006 году - 34,8%.

В 2007 году отделом маркетинга проводились мероприятия по увеличению сбыта фильтров и фильтрующих элементов, глушителей выхлопа и насосов ручных гидравлических, основные результаты которых приведены в таблице 1.

Таблица 1 - Анализ отгрузки продукции ОАО «Автоагрегат»

Наименование продукции

Отгружено в 2006г., шт.

Отгружено в 2007 г., шт.

Соотношение отгрузки, %

1

2

3

4

Фильтры и фильтрующие элементы

158963

174258

109,6

Глушители Выхлопа

2487

3521

141,6

Насосы ручные гидравлические

1024

1201

117,3


Из таблицы 2 видно, что в 2007году существенный рост получила реализация глушителей выхлопа - 141,6% , в меньшей динамике росли насосы ГН - 117,3%, на 109,6% выросла реализация фильтров.

По итогам 2007 года был проведен анализ удовлетворённости потребителей имиджем предприятия, продукцией, продажей и послепродажным обслуживанием.

Наибольшая удовлетворенность наблюдается по следующим критериям (по 10-ти балльной системе):

доставка - 9,17

качество продукции - 8,78

профессиональные навыки торгового персонала - 8,38.

Наименьшая удовлетворённость наблюдается по следующим критериям:

активность поведения - 6,38

техническая помощь - 5,80

рассылаемая техническая информация - 4,25

2.3 Оценка формирования сбытовой политики ОАО «Автоагрегат»

Политика сбыта ОАО «Автоагрегат» реализуется путем создания и передачи различных форм сообщений для информации, убеждения, напоминания о собственных товарах, услугах, общественной деятельности, и т.д. Процесс формирования спроса на продукцию ОАО «Автоагрегат» осуществляется посредством реализации рекламных мероприятий.

Рекламная деятельность ОАО «Автоагрегат» развивается в следующих направлениях: наличие сайта предприятия в Интернет, рассылка электронной рекламы, создание рекламных буклетов, реклама в СМИ, создание рекламных щитов, участие в выставках.

Наличие собственного сайта в Интернет и рассылка электронной рекламы говорит о том, что предприятие заботится о том, чтобы использовать современные перспективные средства коммуникаций.

Рекламные щиты располагаются в городе и на территории предприятия. Их рекламное воздействие рассчитано в основном на гостей города.

С позиции соотношения затраты-результаты довольно эффективной рекламой можно считать рекламу в Интернет. Данный вид деятельности осуществляется в виде рассылки электронной почты постоянным клиентам. Это не требует специальных затрат и поэтому можно считать вполне окупающимся процессом.

Рекламные буклеты создаются в основном для выставок или же используются в других случаях непосредственного контакта с потенциальным клиентом. Рекламные буклеты ОАО «Автоагрегат» представлены в Приложении В.

В основу своей рекламной деятельности предприятие ставит участие в выставках. Это, скорее всего, обусловлено тем, что основная часть продукции предприятия не принадлежит к товарам массового потребления и предназначена для неширокого круга покупателей. По мнению заводоуправления, участие в российских и международных выставках должно являться, и является основным видом рекламной деятельности.

Особое внимание следует уделить такому направлению политики сбыта ОАО «Автоагрегат» как разработка и поддержание Интернет-ресурса - собственного сайта предприятия.

Главная страница сайта www.laaz.ru <#"523292.files/image001.gif">

Рисунок 2 - Главная станица Интернет-сайта ОАО «Автоагрегат»

В рамках реализации политики сбыта 2-3 марта 2006г. в ОАО "АвтоВАЗ" прошла ежегодная конференция поставщиков предприятия. На ней были подведены итоги работы за 2005 год, обсуждены вопросы сотрудничества и разработаны направления развития в дальнейшей совместной деятельности. Ответственность за качество автомобиля одинаково разделяют как автопроизводитель, так и его поставщики, поэтому АвтоВАЗ стремится к конструктивному диалогу с предприятиями - смежниками.

Традиционно конференция началась с церемонии награждения лучших поставщиков по итогам работы в 2005 году. В группе "Резинотехнические, неметаллические и пластмассовые изделия" дипломы получили представители АД "Пластик" (Хорватия), ЗАО "Химформ" (г.Балаково), ОАО "Нижнекамскшина" (г.Нижнекамск), ЗАО "Уралэластотехника" (г.Екатеринбург). Благодарственных писем в этой группе удостоились ООО "Компания СИС" ("Союзинтерсервис", г.Тольятти) и ОАО "Норма" (г.Таллинн).

В группе "Металлоизделия, электроизделия и электроника" лучшими поставщиками были названы НПО "Итэлма" (г.Москва), ОАО "СЧЕТМАШ"( г. Курск), ЗАО "Аком" (г.Жигулевск), ООО "ЗМЗ-Подшипники скольжения" (г. Заволжье), ЗАО "Мотор-Супер" (г. Тольятти), ЗАО ПКК "Автокомплект" (г.Чебоксары), торговый дом "Европейская подшипниковая компания" (г.Москва). Благодарственные письма получили ЗАО "Группа Компаний ВАЗинтерСервис-Снаб" (г.Тольятти), ОАО "Автоагрегат" (г.Ливны) и ЗАО "ГЕРКОН-АВТО" (г. Рязань).

На конференции с докладом "Анализ развития автомобильного рынка в России и Европе" выступил начальник управления по маркетингу ОАО "АвтоВАЗ" Александр Бредихин. Согласно приведенным данным, за последние 11 лет автомобильный парк в России вырос в 2 раза и сейчас составляет 24,2 млн. автомобилей. Как отметил Александр Бредихин, возрастающая емкость рынка, более высокие требования потребителей к автомобилям и жесткая конкуренция должны стать ключевым мотивирующим фактором для российских поставщиков автокомпонентов.

Также перед поставщиками выступил заместитель директора по качеству ОАО "АВТОВАЗ" Георгий Юнак. В своем докладе он подчеркнул, что АВТОВАЗ намерен и дальше ужесточать требования в сфере поставок, особенно в свете новой программы развития и постановки на производство перспективных моделей разных классов. На сегодняшний день 59 процентов всех ВАЗовских поставщиков обладают сертификатами ИСО 9001 версии 2000 года и 6 процентов уже сертифицированы на новые нормы ИСО/ТУ 16949. Требование по сертификации остается главенствующим в партнерстве автозавода и его партнеров. Кроме того, в ближайшие годы планируется создание при АвтоВАЗе сертифицирующего органа.

Главный конструктор ОАО "АвтоВАЗ" Владимир Губа рассказал представителям предприятий-смежников о планах по развитию модельного ряда, поставив таким образом перед поставщиками новые задачи в сфере освоения материалов и комплектующих изделий.

Во второй день конференции поставщики провели рабочие совещания со специалистами ОАО "АвтоВАЗ".

Согласно отчётам департамента качества ОАО "АвтоВАЗ", ливенское предприятие входит в десятку лучших поставщиков.

По результатам конференции предприятию было вручено благодарственное письмо, которое размещено на сайте предприятия и является одним из визуальных стимулов привлечения новых покупателей предприятия. Копия благодарственного письма ОАО «Автоагрегат» от имени ОАО «Автоваз» приведена на рисунке 3.

Рисунок 3 - Благодарственное письмо ОАО «Автоагрегат» от имени ОАО «Автоваз»

На основании проведенного системного анализа построения политики сбыта ОАО «Автоагрегат» выявлено, что наиболее узкими местами маркетинговой деятельности предприятия в указанной части являются:

-       отсутствие механизма моделирования конкурентоспособности продукции как элемента политики формирования сбыта предприятия;

-       отсутствие механизма проектирования комплекса стимулирующих мероприятий в рамках реализации политики сбыта.

3. Совершенствование политики формирования сбыта фильтрующих элементов ОАО «Автоагрегат»

.1 Моделирование конкурентоспособности продукции ОАО «Автоагрегат» как ключевого элемента сбытовой политики фильтрующих элементов предприятия

Моделирование конкурентоспособности продукции имеет целью создание цифровой математической модели, заменяющей реальную продукцию в процессе изучения спроса на нее и поиска возможных путей его формирования. Задачами моделирования конкурентоспособности продукции являются:

·              выделение наиболее значимых факторов, оказывающих влияние на конкурентоспособность продукции предприятия;

·              их агрегирование в единую цифровую модель;

·              определение и оценка конкурентоспособности продукции предприятия на рынке;

·              выделение закономерностей изменения отдельных параметров продукции и ее конкурентоспособности.

Моделирование конкурентоспособности продукции в рамках данного раздела основывается на методике предложенной Вороновым А.А. в работе [3].

По мнению Воронова А.А. нет ни одного вида продукции, который мог бы быть описан термином «идеальный». В условиях конкуренции для этого применяют термин «лучший образец», который также не является идеалом. С точки зрения потребителя идеал - абсолютное качество (которое количественно измерить невозможно) по нулевой цене. Самое главное - модель не дает понимания взаимосвязей между конкурентоспособностью продукции (в объективной оценке, которую дает рынок), ее качеством и ценой.

Существуют различные подходы к математическому моделированию конкурентоспособности продукции. В частности, моделирование конкурентоспособности автомобиля на стадии его проектирования приведено С. Фасхиевым и О. Ситниковой.[2] Для новой техники инвестиционного назначения конкурентоспособность может быть оценена комплексным критерием «чистая текущая стоимость» (ЧТС), которая равна разности суммарных дисконтированных денежных потоков (ДЧДП) и инвестиций I, связанных с этим товаром, что отражено в формуле (1)

(1)

где Тс - срок службы объекта,

Тi - период инвестирования,- текущий период.

ДЧТПt есть чистое денежное поступление после уплаты налогов в счет хозяйствующего субъекта, пересчитанное дисконтированием на начальный период инвестиций.

Показатель ЧТС учитывает результаты от эксплуатации инвестиционного товара, единовременные и текущие издержки, связанные с этим товаром за весь жизненный цикл объекта, показывает прирост капитала хозяйствующего субъекта.

Применительно к объекту исследования конкурентоспособность потребительских товаров, например элементов фильтрующих очистки воздуха, экономическую выгоду которых трудно определить, можно оценить критерием, похожим на ЧТС, - дисконтированные чистые расходы (ДЧР), определяемые по формуле (2)

(2)

где ДТРt - дисконтированные текущие расходы t-го периода [2].

Результатом недостаточной разработанности проблемы моделирования конкурентоспособности товаров явилась принципиально новая концепция моделирования конкурентоспособности, лишенная недостатков аналогичных ей моделей. В ее основе лежат следующие принципы построения:

·              применение только количественных методов оценки;

·              использование общеизвестных научных методов и показателей измерения;

·              относительный характер конкурентоспособности продукции предприятия.

Задача моделирования конкурентоспособности продукции ОАО «Автоагрегат» сводится к моделированию рыночного механизма распределения рынка между продукцией предприятий-конкурентов. В основе этого лежит механизм формирования конкурентоспособности продукции представленный на рисунке 4.

Рисунок 4 - Механизм формирования конкурентоспособности продукции ОАО «Автоагрегат»

Исходным пунктом формирования конкурентоспособности продукции предприятия является ее качество - «совокупность свойств, признаков продукции, обусловливающих их способность удовлетворять потребности и запросы людей, соответствовать своему назначению и предъявляемым требованиям. Качество определяется мерой соответствия товаров, работ, услуг условиям и требованиям стандартов, договоров, контрактов, запросов потребителей» [3].

Уровень качества продукции Уq является относительной характеристикой качества продукции и определяется в общем виде по формуле (3)

(3)

где Q - значение отдельного (обобщенного или главного) показателя качества оцениваемого изделия в соответствующих единицах измерения;б - значение аналогичного показателя качества эталонного (базового) изделия в тех же единицах измерения [4].

К показателям качества продукции относятся следующие группы показателей:

·              назначения;

·              надежности (безотказности, долговечности, ремонтопригодности, сохраняемости);

·              экологичности;

·              эргономичности;

·              технологичности;

·              эстетичности;

·              стандартизации и унификации;

·              патентно-правовые;

·              безопасности применения;

·              сертификационные.

Качество продукции непосредственно связано с его потребительной стоимостью и прямо определяет границы и уровень удовлетворения потребности, для реализации которой она приобретается. Качество продукции является фундаментом механизма конкурентоспособности продукции предприятия, причем относительно низкое качество не означает низкой конкурентоспособности. Более того, высокое качество - тоже не синоним конкурентоспособности.

Однако не только качество влияет на конкурентоспособность продукции предприятия - обязательным при ее моделировании является учет фактора спроса или потребительских предпочтений. Потребители готовы покупать только ту продукцию, которая удовлетворяет их потребности должным образом (или они в этом уверены). От потребительских предпочтений зависит уровень запросов, предъявляемых потребителями к продукции, и, следовательно, уровень ее оценки.

Моделирование конкурентоспособности продукции ОАО «Автоагрегат» осуществляется в несколько этапов:

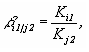
.        Моделирование частных конкурентных преимуществ (цена, качество, потребительские предпочтения). Например, конкурентоспособность i-й продукции 1-го предприятия относительно j-й продукции 2-го предприятия по цене находится в обратной зависимости от их цен

(4)

где  конкурентоспособность i-й продукции 1-го предприятия относительно j-й продукции 2-го предприятия по цене;

Цj2 - цена j-й продукции 2-го предприятия; Цi1 - цена i-й продукции 1-го предприятия.

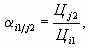
Конкурентоспособность продукции предприятия относительно продукции конкурентов по качеству имеет прямую зависимость выраженной формулой (5):

(5)

где - конкурентоспособность i-й продукции 1-го предприятия относительно j-й продукции 2-го предприятия по выбранному количественному критерию качества;

Кi1 - реальный уровень показателя качества i-й продукции 1-го предприятия;

Кj2 - то же j-й продукции 2-го предприятия.

Аналогично могут быть смоделированы другие частные показатели конкурентоспособности продукции (потребительские предпочтения, наиболее важные качественные параметры, издержки эксплуатации и т.д.), обозначаемые. Количество используемых в модели показателей зависит от количества значимых для потребителей параметров конкурентоспособности продукции.

.        Объединение частных конкурентных преимуществ продукции ОАО «Автоагрегат» в модель конкурентоспособности выражено формулой (6)

(6)

где - интегральный показатель конкурентоспособности i-й продукции 1-го предприятия по отношению к j-й продукции 2-го предприятия.

Если на рынке присутствуют не два вида продукции, а более, то количественный уровень любого из них (не обязательно самого лучшего) может быть принят за базу сравнения, по отношению к которой и будет рассчитываться конкурентоспособность остальных образцов.

.        Определение доли продаж i-й продукции 1-го предприятия и j-й продукции 2-го предприятия.

Например, если = 2, то экономический смысл показателя: по совокупности важнейших потребительских параметров i-я продукция 1-го предприятия в 2 раза конкурентоспособнее j-й продукции 2-го предприятия. В этом случае объем продаж распределится как 2/3 к 1/3: 66,7% продаж придется на i-ю продукцию 1-го предприятия и 33,3% - на j-ю продукцию 2-го предприятия.

Однако такое распределение объема продаж на рынке возможно только в идеальных условиях, когда объем производства продукции всеми производителями на рынке равен объему потребления. На практике производители продукции действуют в условиях значительного уровня неопределенности, поэтому производство продукции часто превышает ее потребление. В этом случае возможны две модели поведения потребителя на рынке продукции:

·              более конкурентоспособная продукция реализуется полностью, а дефицит (разность между ее производством и потреблением) погашается за счет менее конкурентоспособной продукции;

·              объем продаж распределяется пропорционально конкурентоспособности продукции предприятия с учетом всех повышающих и понижающих показателей (конкурентных преимуществ и недостатков продукции). В этом случае введем коэффициент реализации, отражающий взаимосвязь между частным показателем конкурентоспособности продукции предприятия и объемом ее реализации на рынке: чем больше частный показатель конкурентоспособности продукции предприятия, тем выше при прочих равных условиях повышающий коэффициент реализации. Реальные значения взаимосвязи конкурентных преимуществ продукции предприятия и коэффициентов реализации можно получить посредством прикладных маркетинговых и статистических исследований.

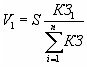
Объем конкурентной заявки продукции ОАО «Автоагрегат» в этом случае составит (7):

(7)

где КЗ - объем конкурентной заявки (объем предложения продукции конкретного предприятия, скорректированный в зависимости от таких ее параметров, как уровень качества, уровень сервиса, новизна и т.д.);- количество произведенной продукции (в стоимостном или натуральном измерении);i, bi ..., ki - коэффициенты реализации, отражающие конкурентные преимущества продукции предприятия.

Например, при моделировании конкурентоспособности новой продукции ОАО «Автоагрегат» коэффициент ее реализации в модели может быть принят за 1,1 (т.е. при прочих равных условиях за счет фактора новизны эта продукция в 1,1 раза конкурентоспособнее старых образцов).

Объем продаж на рынке продукции в этом случае распределится пропорционально конкурентным заявкам всех предприятий (8):

, (8)

где V1 - доля продаж рынка продукции 1-го предприятия;- спрос (объем потребления на рынке продукции);

КЗ1 - конкурентная заявка продукции 1-го предприятия;- число предприятий на данном рынке продукции;

- общий объем конкурентных заявок продукции всех предприятий-производителей на рынке.

После моделирования распределения рынка появляется возможность планирования выручки от реализации продукции, которая в свою очередь служит основой для исчисления прибыли ОАО «Автоагрегат», показателей эффективности использования ресурсов, рентабельности.

Рассмотрим пример моделирования конкурентоспособности продукции ОАО «Автоагрегат» с помощью данной модели.

Предмет конкуренции - элемент фильтрующий очистки воздуха 2112-1109080-04 (Панельный ВАЗ 2110, 2112, 2108, 2109, 21099 - инжектор). Для учета в модели взяты два фактора: качество и новизна модели. Их зависимость приведена в таблицах 3 и 4.

Участвуют 2 предприятия - ЗАО ПКФ «Невский фильтр» г. Санкт- Петербург и объект исследования - ОАО «Автоагрегат» г. Ливны. Критерий победы - максимум прибыли (могут использоваться и другие критерии). Отправная точка игры - объем спроса. Пусть он равен 10 000 шт. Каждое предприятие формирует свою производственную программу в условиях неопределенности со стороны конкурента. Пусть производственная программа (конкурентная заявка) ЗАО ПКФ «Невский фильтр» 7 тыс. фильтров 2-й категории качества «старой» модели ЭФ 21213-1109100-06-02, ОАО «Автоагрегат»- 6 тыс. фильтров 1-й категории качества «новой» модели 2112-1109080-04. Суммарный объем производства 13 тыс. фильтров при платежеспособном спросе 10 тыс. штук.

Таблица 3 - Зависимость качества моделей фильтров

Категория качества

Отпускная цена

Себестоимость единицы

Коэффициент реализации

1

107,99

95,03

1

2

64,92

1,1

3

44,16

38,86

1,2

Таблица 4 - Зависимость новизны моделей фильтров

Модель

Коэффициент роста цены

Коэффициент роста себестоимости

Коэффициент реализации

ЭФ 21213-1109100-06-02

1,0

1,0

1,0

ЭФ 2112-1109080-04

1,1

1,1

1,1


Конкурентные заявки составят:

КЗ1 = 7000 x 1,1 x 1 = 7700,

где 7000 - произведено продукции 1-м предприятием,

,1 - коэффициент реализации в соответствии со 2-й категорией качества,

- коэффициент реализации в соответствии со «старой» моделью;

КЗ2 = 6000 x 1 x 1,2 = 7200,

где 6000 - произведено продукции 2-м предприятием,

- коэффициент реализации в соответствии с 1-й категорией качества,

,2 - коэффициент реализации в соответствии с «новой» моделью.

Объемы продаж составят

Таким образом, из 7 тыс. фильтров ЗАО ПКФ «Невский фильтр» реализовало 5168 шт, ОАО «Автоагрегат» - из 6 тыс. фильтров 4832 шт. Прибыль ЗАО ПКФ «Невский фильтр» составит (64,92 руб. - 57,13 руб.) x 5168 = 40 258,72 руб., где 64,92 руб. - цена фильтров 2-й категории качества, 57,13 руб. - их себестоимость, 5168 - число реализованных фильтров. Аналогично для ОАО «Автоагрегат» (107,99 x 1,1 - 95,03 x 1,1) x 4832 = 68 884,992 руб. Вывод: за счет реализации конкурентного преимущества в обновлении продукции ОАО «Автоагрегат» выиграло у ЗАО ПКФ «Невский фильтр» конкурентную борьбу.

3.2 Проектирование комплекса стимулирующих мероприятий в рамках реализации сбыта фильтрующих элементов ОАО «Автоагрегат»

В настоящее время перечень методов стимулирования потребителей достаточно велик и продолжает расширяться. В рамках проводимого исследования предлагается сформировать для ОАО «Автоагрегат» комплекс следующих стимулирующих мероприятий:

-       использование купонов;

-       продажа по сниженным ценам или ценовая скидка;

-       премии и сувениры с рекламой; возвращение части цены;

-       лотереи, конкурсы, соревнования и игры;

-       пакетные продажи по сниженным ценам; бесплатное предоставление образцов и их бесплатное испытание.

Купон - сертификат, который даст право покупателям ОАО «Автоагрегат» приобретать определенные продукты по льготным ценам. Купоны, представляющие собой отрезаемые части рекламы, информационных проспектов и т.п., вместе с ними посылаются по почте, прилагаются к другим товарам, вложены или наклеены на упаковку. Покупатель должен послать или предъявить купон по указанному адресу фирмы, магазина и т.п. Ему в этом случае предоставляются при покупке товара определенные льготы или он становится участником какой-то лотереи или конкурса.

Купоны применяют для стимулирования желания купить новый товар, увеличить частоту покупок традиционных товаров, спрос на которые начал падать.

Главная проблема при использовании купонов заключается в получении информации относительно того, сколько потребителей увидят купон, вырежут его, не забудут положить в бумажник и, наконец, предъявят в соответствии с правилами, чтобы получить обещанные льготы.

Следует отметить, что все очень сильно зависит от конкретной ситуации, от предложений конкурентов. Кроме того, так как купонную систему применяют многие организации, данный метод стимулирования сбыта со временем может обесцениться.

Стимулирование потребителей путем продажи по сниженным ценам (с использованием торговых скидок) представляет собой кратковременное снижение розничной цены товара ОАО «Автоагрегат». Этот метод может реализовываться по-разному, - начиная с обычных упаковок товара с указанием величины скидки до распродажи по низкой цене и бесплатных раздач.

Торговая скидка может заключаться в возвращении части денег, уплаченных покупателем за товар, приобретенный на льготных продажах, которые организуются торговыми посредниками в определенном месте и в определенное время, удобные производителю. Покупатель посылает производителю купон, подтверждающий факт покупки, а производитель после получения его переводит по почте деньги покупателю.

Торговая скидка может применяться для поощрения постоянной клиентуры. Данное поощрение осуществляется в виде наличности, бесплатных или частично оплаченных товаров или услуг, предоставляемых постоянным клиентам компании.

При определении величины ценовой скидки важно знать ценовую эластичность продаваемого товара, учесть дополнительные издержки потребителей, связанные с реализацией купона. Может оказаться, что ценовая скидка будет находиться в зоне безразличия потребителей к изменению цен. В этом случае скорее всего купон привлечет случайных покупателей, приобретающих товар на основе цены, но не будет действовать на покупателей, приверженных товарам определенных марок.

Премия (подарок) - товары, предлагаемые покупателям бесплатно или по сниженным ценам к основной покупке с целью стимулирования покупок; премия может находиться как внутри, так и снаружи упаковки, которая также может выступать в качестве премии.

К этой же группе методов стимулирования покупателей относятся сувениры с рекламой - различные полезные, но недорогие товары с отпечатанной на них рекламой, предоставляемые потребителям бесплатно (авторучки, календари, зажигалки, брелки, пакеты, майки и т.п.).

Рекламные сувениры являются примером «доброй воли» и напоминают потребителю имя фирмы и ее логотип. Текст на сувенире может быть посвящен новому товару, открытию новой фирмы. Многими сувенирами, особенно самыми практичными, можно пользоваться многие годы, и сувенир будет являться напоминанием о фирме-производителе, ресторане, гостинице. К тому же к их услугам помогают прибегнуть реквизиты этих организаций, указанные на сувенире.

Другим методом стимулирования покупателей является выдача возмещений в наличной форме или купонами (возвращение части цены), которые можно использовать при покупке того же товара в следующий раз. Чтобы получить возмещение, необходимо представить доказательство покупки, например три крышки от бутылок.

Ценовые скидки и возмещения часто сопровождаются применением других методов стимулирования потребителей, таких как лотереи, конкурсы, соревнования и игры.

Призы отличаются от премий и подарков. Получатель приза всегда оказывает продавцу какое-то одолжение - приобретает товар, высылает купон, присутствует на демонстрации товаров и т.п. В качестве приза может использоваться дорогостоящий товар, поэтому на призе, как правило, отсутствует рекламный текст.

Хороший приз должен обладать высокой привлекательностью и ценностью, а также быть либо практичным, либо необычным. Помимо включения в упаковку товара практикуется также бесплатная рассылка призов по почте или же распространение за определенную плату по предъявлении доказательства покупки. Приз также может быть выдан вместе с приобретаемым товаром.

Купонные призы, требующие от покупателя накопления определенного количества купонов, находящихся внутри упаковки, чтобы в дальнейшем их можно было предъявить и получить ценный приз, могут способствовать развитию приверженности потребителей к тому или иному виду товара.

При стимулировании потребителей путем проведения соревнований победителям, продемонстрировавшим лучшее знание или сноровку, предлагаются призы. При проведении конкурсов призы выдаются на основе случайного отбора имен участников. В игре присутствует элемент случайности, как и в конкурсе, однако игра занимает более продолжительное время. Проведение игр обычно рассчитано на повышение посещаемости той или иной торговой точки, на увеличение объема продаж товара определенной марки. Их большое преимущество заключается в том, что покупатели должны посетить магазин несколько раз, чтобы не выбыть из игры.

Как соревнования, так и конкурсы имеют общую цель: поощрить потребление товара путем вовлечения покупателей в активную деятельность. Обычно, чтобы стать участником соревнования, необходимо отправить доказательство покупки, например ярлык или крышку от коробки.

Соревнования могут заключаться в решении головоломок, кулинарных состязаниях и т.д. Чтобы расширить круг участников, организаторы пытаются упростить соревнования до предела. Правила должны быть четкими, а условия выигрыша - ясными.

Чтобы быть успешными, соревнования и конкурсы должны сопровождаться рекламой.

Пакетные продажи по сниженным ценам предоставляют покупателям возможность приобретать продукты по ценам ниже регулярных. Сниженные цены указываются производителями прямо на этикетках или упаковках; упаковки могут содержать несколько одинаковых продуктов или продукты, дополняющие друг друга.

Бесплатное предоставление образцов заключается в предоставлении потребителям возможности получить в пользование какой-то товар бесплатно. Потребителю предлагается испробовать товар бесплатно в надежде, что он купит его и станет постоянным клиентом. Для достижения успеха товар, распределяемый таким образом, должен являться предметом повседневного пользования и выпускаться в упаковке меньше стандартных размеров (косметика, бытовая химия, лекарства, кондитерские изделия и т.п.). Успех применения данного метода напрямую зависит от достоинств товара. Помимо этого распределение пробных образцов должно сопровождаться рекламой. Образцы могут распространяться бесплатно или за чисто символическую плату. Данный метод часто применяется одновременно с использованием купонов:

Предоставление образцов для испытаний - самый дорогостоящий метод в арсенале рассмотренных методов стимулирования потребителей. Он предполагает предоставление во временное пользование бесплатно более сложных товаров, например холодильников, оборудования и т.п.

Помимо изложенного в качестве комплексных методов стимулирования сбыта, которые направлены как на потребителей, так и на торговых посредников, можно назвать проведение выставок и ярмарок, организацию демонстрации товара в месте его продажи.

В рамках основных отраслей народного хозяйства ежегодно проводятся выставки и ярмарки, во время которых производители, торговые посредники и покупатели могут собраться вместе для демонстрации продукции и переговоров. Участники выставок имеют возможность экспонировать новые изделия, литературу и образцы как старым, так и новым покупателям.

Сооружение выставочных стендов стало одним из основных факторов в планах по стимулированию сбыта. Несмотря на высокие затраты, многие организации полагают, что они оправдываются, так как эффективно охватывается целевая аудитория. В США предприятия, выпускающие продукцию производственно-технического назначения, примерно пятую часть своего маркетингового бюджета тратят на участие в выставках, В Европе этот показатель даже выше - там на подобные мероприятия идет одна четвертая маркетингового бюджета.

Демонстрация товара в магазине, торговом центре, на улице, во время проведения выставок-продаж, особенно с предоставлением его для пробы, является эффективным методом продвижения. Рекомендуется демонстрировать товар в его естественном применении, что подразумевает и нормальное его количество, если это пища. А еще лучше устроить демонстрацию в виде настоящего приготовления пищи, а не просто раздачи кусочков на пробу.

Разработка методов стимулирования потребителей является чрезвычайно творческой задачей. Преимущество, полученное за счет «изобретения» нового инструмента стимулирования, может быть очень быстро утеряно, поскольку в случае, если он является эффективным, его быстро возьмут «на вооружение» конкуренты. В этом случае придется изобретать что-то другое. Недаром маркетинг можно сравнить с рекой, в воду которой невозможно войти дважды. Иногда говорят, что маркетинг на 80% лежит в сфере психологии.

3.3 Обоснование целесообразности предлагаемых мер по совершенствованию политики формирования сбыта

Целесообразность использования предлагаемой модели конкурентоспособности продукции заключается в простоте, понятности, универсальности, открытости, что в конечном счете позволит в достаточной мере объективно моделировать конкурентоспособность продукции ОАО «Автоагрегат» с целью формирования спроса на нее.

К достоинствам данного подхода относятся следующие обстоятельства:

·              раскрыта логическая взаимосвязь между отдельными конкурентными преимуществами продукции предприятия ОАО «Автоагрегат» и ее конкурентоспособностью;

·              смоделирован механизм распределения объема продаж на рынке продукции ОАО «Автоагрегат» между предприятиями в зависимости от конкурентных преимуществ выпускаемой ими продукции;

·              создан инструментарий для моделирования конкурентоспособности подавляющего большинства видов продукции ОАО «Автоагрегат» на конкурентных рынках.

Практическая значимость данного подхода заключается в возможности получения максимально приближенных к действительности моделей конкурентоспособности продукции ОАО «Автоагрегат». В прикладных исследованиях на основании данных о важнейших параметрах конкретной продукции и коэффициентах реализации появляется обоснованная возможность моделирования и прогнозирования конкурентоспособности продукции ОАО «Автоагрегат».

Высокое качество товара вовсе не гарантирует его высокую конкурентную способность - доходы потребителей могут быть столь невысокими, что предпочтение будет отдано товару с очень низкими потребительскими свойствами, невысоким качеством и с невысокой ценой»[1].

Безусловно, у данного метода моделирования конкурентоспособности продукции есть как свои достоинства так и недостатки. К недостаткам можно отнести отсутствие в данной формуле весов значимости для частных показателей конкурентоспособности. Однако исчисление этих весов само по себе представляет практически неразрешимую задачу, ведь для их расчета необходимо исследование всех потребителей продукции и определение у каждого из них его потребительских предпочтений, что возможно в теории, но невозможно на практике. Кроме того, возможность исключить показатели весов появляется на первом этапе расчета, когда выбираются основные, действительно значимые факторы. Оценить их важность для конечного потребителя гораздо легче, чем исчислить их значимость. Таким образом, в данной формуле сведены к минимуму так называемые экспертные оценки - субъективные мнения экспертов.

Целесообразность мероприятий по проектированию комплекса стимулирующих воздействий в рамках реализации политики сбыта на ОАО «Автоагрегат» определяется в результате сравнения эффективности двух сценариев: сценарий А - политика сбыта строится по старой схеме, сценарий Б - реализуются предлагаемые мероприятия по совершенствованию. В нижеприведенных таблицах 5 и 6 представлены данные о движении денежных потоков от реализации воздушных салонных фильтров производства ОАО «Автоагрегат».

В таблице 5 представлены укрупненные данные о движении денежных потоков от реализации воздушных салонных фильтров при построении политики сбыта в существующем режиме.

Таблица 5 - Укрупненные данные о движении денежных потоков от реализации воздушных салонных фильтров по сценарию А

Показатели

Интервалы планирования (кварталы)

Всего


I

II

III

IV


Поступления денежных средств (всего), тыс.руб.

9358,34

8456,45

8534,23

8645,87

34994,89

Выручка от реализации, тыс.руб.

7658,34

8456,45

8534,23

8645,87

33294,89

Кредиты банков, тыс.руб.

1700,00

0,00

0,00

0,00

1700,00

Платежи денежных средств (всего), тыс.руб.

6748,96

6081,62

5200,75

6947,29

24978,62

Оплата поставщикам, тыс.руб.

413,65

456,76

460,96

466,99

1798,35

Накладные расходы, тыс.руб.

2446,60

2446,60

2446,60

2446,60

9786,40


В таблице 5 приведены данные о движении денежных потоков до внедрения мероприятий по совершенствованию политики сбыта ОАо «Автоагрегат».

В таблице 6 представлены укрупненные данные о движении денежных потоков от реализации воздушных салонных фильтров в случае внедрения рекомендуемых мероприятий по стимулированию сбыта ОАО «Автоагрегат».

Таблица 6 - Укрупненные данные о движении денежных потоков от реализации воздушных салонных фильтров по сценарию Б (гипотетические данные)

Показатели

Интервалы планирования (кварталы)

Всего


I

II

III

IV


Поступления денежных средств (всего), тыс.руб.

9541,21

8674,12

8793,38

8901,40

35910,11

Выручка от реализации, тыс.руб.

7841,21

8674,12

8793,38

8901,40

34210,11

Кредиты банков, тыс.руб.

1700,00

0,00

0,00

0,00

1700,00

Платежи денежных средств (всего), тыс.руб.

6019,52

5665,29

4488,88

6237,00

22410,68

Оплата поставщикам, тыс.руб.

397,63

412,47

430,89

441,32

1682,31

Накладные расходы, тыс.руб.

1241,93

1241,93

1241,93

1241,93

4967,72


Из таблицы 6 видно, что в результате реализации предлагаемого комплекса мероприятий по стимулированию сбыта в рамках политики сбыта, будут достигнуты определенные результаты в деятельности предприятия связанные с изменением объемов денежных потоков, по причине прироста объемов реализации воздушных салонных фильтров в среднем возрасти на 2,7%, что в абсолютном выражении составит более 915 тыс.руб.

В целом комплекс внедряемых мероприятий может эффективно отразиться на снижении накладных расходов. В частности, в рассматриваемом примере такое снижение произошло почти в два раза.

Таким образом, по всем ключевым показателям внедрение комплекса стимулирующих мероприятий позволит добиться положительных результатов. Тем не менее, для обоснования такого применения необходимо рассчитать экономический эффект. В рассматриваемом примере он заключается в определении одной из основных критериальных оценок характерных для любого инвестиционного проекта - чистого приведенного эффекта.

В таблице 7 сведены результаты расчетов чистого приведенного эффекта по двум сценариям реализации политики сбыта.

Таблица 7 - Чистый приведенный эффект от реализации воздушных салонных фильтров ОАО «Автоагрегат» по двум сценариям


Чистый приведенный эффект (NPV), тыс. руб.

Сценарий А

6694,95

Сценарий Б

8967,15


Таким образом, из таблицы 7 видно, что чистый приведенный эффект от реализации воздушных салонных фильтров с внедрением комплекса мероприятий стимулирующих их сбыт на 2 272,20 тыс.руб. больше эффекта от реализации того же товара в условиях существующей политики сбыта.

Предложенный комплекс стимулирующих мероприятий в рамках политики сбыта ОАО «Автоагрегат» может обеспечить существенный рост объемов сбыта предприятия.

ЗАКЛЮЧЕНИЕ

Таким образом, в ходе реализации политики сбыта прежде всего формируется ее цель, которая обычно не совпадает с коммерческими целями буквально. Мероприятия сбыта могут быть нацелены, например, на распространение информации о предприятии, его истории, достижениях, клиентуре; преодоление предубежденности по отношению к товару; распространение данных о качестве сервиса фирмы; показ мер, принимаемых для обеспечения высокой экологичности изделий предприятия, и т.д. Комплекс мероприятий сбыта решает не только текущую коммерческую задачу, но и создают основу уважения и доверия к фирме-экспортеру.

В процессе выполнения данной курсовой работы выполнена ее основная цель, а именно - изучены особенности построения политики формирования спроса и стимулирования сбыта на продукцию промышленного предприятия, в частности ОАО «Автоагрегат». Поставленная в работе цель была достигнута путем изучения сущности и основных понятий сбыта, анализом процессов разработки политики сбыта, определением современных проблем разработки эффективной политики формирования спроса и стимулирования сбыта на промышленных предприятиях; изучением общей характеристики объекта исследования - ОАО «Автоагрегат», анализом его маркетинговой деятельности, оценкой политики формирования спроса и стимулирования сбыта ОАО «Автоагрегат», моделированием конкурентоспособности продукции ОАО «Автоагрегат» как элемента сбытовой политики предприятия, проектированием комплекса стимулирующих мероприятий в рамках реализации политики сбыта на ОАО «Автоагрегат»; обоснованием целесообразности предлагаемых мер по совершенствованию политики сбыта ОАО «Автоагрегат».

Общий анализ объекта исследования показал, что по большинству показателей ОАО «Автоагрегат» имеет стабильный рост а в целом на предприятии наблюдается положительная тенденция развития производственно-хозяйственной деятельности.

Анализ маркетинговой деятельности ОАО «Автоагрегат» выявил положительные направления развития политики, направленной на укрепление своих позиций на рынке, тесного сотрудничества с поставщиками и посредниками, активном привлечении новых и удержании существующих потребителей своей продукции.

На основании проведенного системного анализа построения политики сбыта ОАО «Автоагрегат» выявлено, что наиболее узкими местами маркетинговой деятельности предприятия в указанной части являются:

-       отсутствие механизма моделирования конкурентоспособности продукции как элемента сбытовой политики предприятия;

-       отсутствие механизма проектирования комплекса стимулирующих мероприятий в рамках реализации политики сбыта.

Установлено, что реализация мероприятий по моделированию конкурентоспособности продукции ОАО «Автоагрегат» как элемента политики формирования спроса предприятия может позволить выиграть конкурентную борьбу за счет реализации конкурентного преимущества в обновлении собственной продукции. При этом возможная экономическая эффективность может составить до 70%.

Предложенный комплекс стимулирующих мероприятий в рамках политики сбыта ОАО «Автоагрегат» может обеспечить существенный рост объемов сбыта предприятия. Так рассчитанный чистый приведенный эффект от реализации воздушных салонных фильтров с внедрением комплекса мероприятий стимулирующих их сбыт на 2 272,20 тыс.руб. больше эффекта от реализации того же товара в условиях существующей политики сбыта.

Список используемой литературы

1.      Акулич, И.Л. Маркетинг: учеб. пособие для вузов / А.Л. Акулич, И.З. Герчиков. - Мн.: Интер-прессервис: Мисанта, 2005. - 397 с.

.        Бурцева, Т.А. Управление маркетингом: учеб. пособие для вузов / Т.А. Бурцева, В.С. Сизов, О.А. Цень. - М.: Экономистъ, 2007. - 223 с.

.        Воронов, А.А. Моделирование конкурентоспособности продукции предприятия // Маркетинг в России и зарубежом. №4 / 2003

.        Григорьев, М.Н. Маркетинг: Учеб. пособие для вузов / М.Н. Григорьев. - М.: Гардарики, 2006. - 366 с.

.        Ефименко, А.З. Основы маркетингового управления предприятием: учеб. пособие для вузов / А.З. Ефименко. - М.: АСВ, 2006. - 312 с.

.        Каменева, Н.Г. Маркетинговые исследования: учеб. пособие / Н.Г. Каменева, В.А. Полякова. - М.: Вузовский учебник, 2006. - 439 с.

.        Китчен Ф. Паблик рилейшнз. Принципы и практика: учеб. пособие для вузов / Ф. Китчен; пер. с англ. под. ред. Б.Л. Еремина. - М.: ЮНИТИ-ДАНА, 2006. - 254 с.

.        Коротков А.В. Маркетинговые исследования: учеб. пособие для вузов / А.В. Коротков. - М.: ЮНИТИ-ДАНА, 2007. - 304 с.

.        Котлер, Ф. Маркетинг. Менеджмент / Ф. Котлер. - Изд. 11-е. - СПб.: Питер, 2006. - 800 с. : ил.

.        Лебедева, О.А. Маркетинговые исследования рынка: учебник для сред. проф.образования / О.А. Лебедева, Н.И. Лыгина. - М.: ФОРУМ: ИНФРА-М, 2007. - 192 с. : ил.

.        Лукин, В.П. Маркетинг инноваций и инновационного процесса: учеб. пособие / В.П. Лукин, Ж.Н. Чупахина. - Орел: ОрелГТУ, 2007. - 51 с.

.        Лукин, В.П. Маркетинг. Ч1: Маркетинг в системе управления предприятием : учеб. пособие / В.П. Лукин, О.В. Фирсанова. - Орел: ОрелГТУ, 2006. - 122 с.

.        Лукин, В.П. Управление маркетингом: учебное пособие / В.П. Лукин, Ж.Н. Чупахина. - Орел: ОрелГТУ, 2002. - 113 с.

.        Лыгина, Н.И. Маркетинг товаров и услуг: учебник для сред. проф. образования / Н.И. Лыгина, И.Р. Ляпина. - М.: ФОРУМ: ИНФРА-М, 2007. - 240 с.: ил.

.        Макашев, М.О. Бренд: учеб. пособие для вузов / М.О. Макашев. - М.: ЮНИТИ-ДАНА, 2006. - 207с.

.        Моисеева, Н.К. Управление маркетингом: теория, практика, информационные технологии: учеб. пособие / Н.К. Моисеева, М.В. Конышева; под ред. Н.К. Моисеевой. - Изд. 2-е, перераб. и доп. - М. Финансы и статистика, 2007. - 416 с.: ил.

.        Основы маркетинга: учеб. пособие для вузов / под ред. Г.А. Васильева. - М.: ЮНИТИ-ДАНА, 2007. - 543 с.

.        Соловьев, Б.А. Маркетинг: учебник для вузов / Б.А. Соловьев. - М.: ИНФРА-М, 2007. - 383 с.

.        Токарев, Б.Е. Маркетинговые исследования: учебник для вузов / Б.Е. Токарев. - М.: Экономистъ, 2007. - 624 с.

.        Управление маркетингом: учеб. пособие для вузов / под ред. А.В. Короткова, И.М. Синяевой. - Изд. 2-е, перераб. и доп. - М.: ЮНИТИ-ДАНА, 2007. - 463 с.

ПРИЛОЖЕНИЯ

Приложение А

Номенклатура выпускаемой продукции ОАО «Автоагрегат» (ФРАГМЕНТ)




Приложение Б

Образцы рекламных буклетов ОАО «Автоагрегат»


Не нашли материал для своей работы?
Поможем написать уникальную работу
Без плагиата!
Без нейросетей!