Исследование проблемы механизмов агрессивного поведения человека в современной психологии

  • Вид работы:
    Дипломная (ВКР)
  • Предмет:
    Психология
  • Язык:
    Русский
    ,
    Формат файла:
    MS Word
    811,17 kb
  • Опубликовано:
    2011-08-13
Вы можете узнать стоимость помощи в написании студенческой работы.
Помощь в написании работы, которую точно примут!

Исследование проблемы механизмов агрессивного поведения человека в современной психологии

Содержание

агрессия поведение социометрический межличностный

Введение

Глава 1. Понятие «агрессии»

Глава 2. Основные теоретические подходы к проблеме агрессии

.1 Агрессия как целесообразный инстинкт - теория З. Фрейда

.2 Этологический подход - теория К. Лоренца

.3 Теория агрессии А. Бассе

.4 Агрессия как зло - теория Э. Фромма

2.5 Теория фрустрационной агрессивности Дж. Долларда и Н. Миллера

.6 Теория посылов к агрессии Л. Берковица

.7 Теория социального научения А. Бандуры

.8 Когнитивные теории

.8.1 Когнитивная теория Д. Зильманна

2.8.2 Модель образования новых когнитивных связей Л. Берковица

Глава 3. Агрессия в жизни человека

3.1     Становление агрессивного поведения

3.1.1 Семейные взаимоотношения

.1.2 Отношения со сверстниками

.1.3 Модели агрессии в средствах массовой информации

3.2     Биологические факторы возникновения агрессии

3.3    Внешние детерминанты агрессии

.4      Социальные детерминанты агрессии

.5      Индивидуальные детерминанты агрессии

Глава 4. Эмпирические исследования

4.1     Методики исследования

4.1.1 «Диагностика склонности к агрессии (BPAQ-24)» А. Басс, М. Перри

.1.2 «Диагностика межличностных и межгрупповых отношений («Социометрия») Дж. Морено

4.2     Результаты исследования

4.3    Анализ и обсуждение исследования

Заключение

Список используемой литературы

ВВЕДЕНИЕ

агрессия психология исследование

В данной работе я хотела бы показать современное состояние и методику исследований проблемы агрессивного поведения человека. Эта проблема уже длительное время привлекает к себе внимание многих ученых во многих странах мира. Немало трудов уже написано на данную тему, а с ростом агрессивности человека в мире, изучение этой проблемы становится более глобальным.

Из-за сложившейся нестабильной ситуации в стране и экономического кризиса уровень жизни населения резко снизился. У людей многие неприятности происходят связи с работой: не выплачиваются зарплаты, резко сокращают, нет стимула работать. Многие не имеют возможности зарабатывать деньги на проживание, а цены все растут и растут. Людям просто не на что существовать.

Все это естественно отражается на населении и их взаимоотношении. Люди стали раздражительными, агрессивными. Из-за неприятностей на работе они «срывают зло» на свих близких, что приводит к скандалам в семье, к напряженным отношениям, к разводам.

Во всех источниках массовой информации постоянно сообщают о различных актах агрессии или насилия. Статистика свидетельствует о том, что насилие в мире процветает. С каждым годом увеличивается число террористов во всем мире. В различных странах вспыхивают войны. В настоящее время многие государства имеют различные виды оружия, которыми возможно смести с лица Земли все живое. Все это может привести к глобальной катастрофе.

В свете этих тенденций невозможно не признать, что насилие и конфликты относятся к числу наиболее серьезных проблем, перед которыми сегодня оказалось человечество.

Объект исследования: агрессивное поведение человека

Предмет исследования: исследование закономерностей и механизмов агрессивного поведения человека

Цель исследования: выявление общих закономерностей и механизмов агрессивного поведения человека.

В данном исследовании выдвигается гипотеза - общая агрессивность в группе, находится в прямой зависимости от уровня социометрических статусов в группе. Чем больше уровень социометрических статусов в группе, тем больше положительных взаимосвязей, тем меньше проявление агрессивности в данной группе.

Задачи исследования:

)        Теоретическое исследование проблемы на основе литературных трудов З. Фрейда, К. Лоренца, Д. Долларда, А. Бандуры, Л. Берковица и др.

)        Обозначить основные характеристики агрессивного поведения

)        Рассмотреть особенности агрессивного поведения

)        Проанализировать взаимоотношения студентов в группе

)        Изучить взаимосвязь агрессивного поведения и социометрического статуса в группе

Методы исследования:

-         изучение и анализ научной литературы по проблеме исследования;

-        Диагностика склонности к агрессии (BPAQ-24) методика А. Басса, М. Перри;

         методика диагностики межличностных и межгрупповых отношений («Социометрия») Дж. Морено.

Характеристика выборки исследования: эмпирическое исследование проводилось в Москве в 2009 г., в исследовании приняли участие 11 студентов 4 курса очного отделения факультета аэрокосмический Московского авиационного института, в возрасте от 22 до 26 лет.

А так же 15 студентов 4 курса очного отделения факультета пищевой биотехнологии Московского государственного университета прикладной ​биотехнологии, в возрасте от 22 до 26 лет.

Глава 1. Понятие «агрессии»

Агрессия в переводе с латинского языка («aggressio») означает «нападение». В настоящее время термин «агрессия» употребляется чрезвычайно широко. Данный феномен связывают и с негативными эмоциями (например, гневом), и с негативными мотивами (например, стремлением навредить), а также с негативными установками (например, расовыми предубеждениями) и разрушительными действиями.

В психологии под агрессией понимают тенденцию (стремление), проявляющуюся в реальном поведении или фантазировании, с целью подчинить себе других либо доминировать над ними. Агрессия может быть как позитивной, служащей жизненным интересам и выживанию, так и негативной, ориентированной на удовлетворение агрессивного влечения самого по себе.

Целью агрессии может быть как собственно причинение страдания (вреда) жертве (враждебная агрессия), так и использование агрессии как способа достижения иной цели (инструментальная агрессия). Агрессия бывает направлена на внешние объекты (людей или предметы) или на себя (тело или личность). Особую опасность для общества представляет агрессия, направленная на других людей.

Различают четыре основные формы агрессии - агрессия реактивная, агрессия враждебная, агрессия инструментальная и автоагрессия.

Первая форма агрессии - реактивная - возникает как реакция на фрустрацию и сопровождается эмоциональными состояниями гнева, враждебности, ненависти и т.п. К данной форме агрессии относят так же аффективную, импульсивную и экспрессивную агрессии.

Экспрессивная агрессия - это устрашающе-агрессивное поведение, главной целью которого является выразить и обозначить свои потенциально агрессивные намерения, запугать оппонентов. Это не всегда и не обязательно выражается в разрушительных действиях. Классические примеры экспрессивной агрессии - ритуальные танцы, военные парады, различного рода массовые шествия.

Импульсивная агрессия - обычно спровоцированное в результате действия какого-то фактора, мгновенно возникающее и достаточно быстро проходящее агрессивное поведение. Такая агрессия может носить прерывистый («импульсный») характер, возникая как бы «волнами», в виде своеобразных «приливов» и «отливов» агрессивного поведения.

Аффективная агрессия - эмоциональный феномен, практически полностью лишенный действенного компонента. Аффективная агрессия, как правило, представляет собой наиболее впечатляющий, но и самый бессмысленный вид агрессии. Например, в состоянии аффективной агрессии толпы нападающих повстанцев, могут разбиваться о хорошо организованную оборону властей и будут обречены на поражение. Это то, что иногда называется «агрессивным ажиотажем» - особое состояние, требующее немедленных, любой ценой, жертв и разрушений. Как правило, жертвы в таких случаях как раз и превосходят достигаемые результаты.

Вторая форма агрессии - враждебная - агрессивное поведение намеренного характера, с явной демонстрацией позиции врага и желания причинить умышленный вред.

Третья форма агрессии - инструментальная - агрессивное поведение не является выражением эмоциональных состояний; цель проявления данной агрессии нейтральна и агрессия применяется лишь как средство достижения этой цели. Иногда инструментальную агрессию толкуют как агрессивное поведение целью, которого является достижение позитивного результата.

Четвертая форма агрессии - автоагрессия или аутоагрессия - агрессивное поведение и действия направлены на самого себя. Проявляется в самообвинениях, самоунижении, нанесении себе телесных повреждений, поведении суицидном.

Привычными проявлениями агрессии считаются конфликтность, злословие, давление, принуждение, негативное оценивание, угрозы или применение физической силы. Скрытые формы агрессии выражаются в уходе от контактов, бездействии с целью навредить кому-то, причинении вреда себе и самоубийстве.

Одним из наиболее интенсивных и сложных агрессивных аффектов, несомненно, выступает ненависть. Важнейшей целью человека, захваченного ненавистью, является уничтожение объекта агрессии. При определенных условиях ненависть и желание мести могут неадекватно усиливаться.

Попытаемся уточнить характер взаимосвязи между агрессией и агрессивным поведением. Очевидно, что переживание агрессии человеком не однозначно приводит к разрушительным действиям. С другой стороны, совершая насилие, человек может находиться как в состоянии чрезвычайного эмоционального возбуждения, так и полного хладнокровия. К тому же совсем не обязательно агрессор должен ненавидеть свою жертву. Многие люди причиняют страдания своим близким - тем, к кому привязаны и кого искренне любят.

Ведущими признаками агрессивного поведения можно считать такие его проявления, как:

- выраженное стремление к доминированию над людьми и использованию их в своих целях;

-        тенденцию к разрушению;

         направленность на причинение вреда окружающим людям;

         склонность к насилию (причинению боли).

Обобщая все перечисленные признаки, можно говорить о том, что агрессивное поведение личности подразумевает любые действия с выраженным мотивом доминирования. А насилие (физическое, эмоциональное) является самым серьезным проявлением и нежелательным следствием агрессивного поведения.

Глава 2. Основные теоретические подходы к проблеме агрессии

Человек был, есть и, возможно, еще долго будет агрессивным. Это кажется ясным и бесспорным. Но почему он агрессивен? Что заставляет быть таковым? На этот вопрос всегда пытались найти ответ. Высказывались противоположные, порой взаимоисключающие мнения в отношении причин ее возникновения, ее природы, факторов, способствующих ее формированию и проявлению. На сегодня многообразны как теории агрессивного поведения, так и выделенные формы поведенческой активности животных и человека. Среди теорий, естественно, следует указать на теории З. Фрейда, К. Лоренца, Э. Фромма, Дж.. Долларда, Л. Берковица, А. Бандуры, А. Баса и др.

Все существующие ныне теории агрессии, при всем их многообразии, можно подразделить на четыре основные категории, рассматривающие агрессию как:

·   врожденное побуждение или задаток - теории влечения (З.Фрейд, К. Лоренц);

·        потребность, активируемая внешними стимулами - фрустрационные теории (Дж. Доллард, Л. Берковиц);

·        познавательные и эмоциональные процессы - когнитивные теории (Л. Берковиц, Зильманн);

·        актуальное проявление социального - теории социального научения (А. Бандура).

Первая категория теорий, несмотря на многообразие подходов, исходит из того , что агрессивность рассматривается ее сторонниками как врожденная инстинктивная форма поведения. Иными словами, агрессия проявляется потому, что она генетически запрограммирована. Следовательно, какие-либо, даже самые положительные, изменения в социальной среде не способны предотвратить ее проявление. Максимум, возможно, ослабить ее. И в этом, несомненно, есть доля истины.

Вторая категория теорий - агрессия как потребность, активируемая внешними стимулами, агрессия как побуждение. Сторонники данных теорий относят саму агрессию к проявлениям влияния и воздействия внешней среды и условий (фрустрации, возбуждающих и аверсивных событий). Таким образом, они считают, что возможно не только ослабление, но и полное искоренение агрессии.

Третья группа теорий, учитывает такие аспекты человеческого опыта, как когнитивная и эмоциональная деятельность. Сторонники этих теорий утверждают возможность управления агрессией, контроля над поведением «простым» научением людей реально представлять себе потенциальные опасности, адекватно оценивать угрожающие ситуации.

Наконец, согласно четвертой группе теорий (теории социального научения), агрессия представляет собой приобретенную в процессе научения модель социального поведения. Агрессивные реакции усваиваются и поддерживаются путем непосредственного участия в ситуациях проявления агрессии, а также путем пассивного наблюдения агрессивных проявлений.

.1 Агрессия как целесообразный инстинкт - теория З. Фрейда

Фрейд уделял феномену агрессии сравнительно мало внимания, считая сексуальность (либидо) и инстинкт самосохранения главными и преобладающими силами в человеке. В этом контексте агрессия рассматривалась просто как реакция на блокирование или разрушение либидозных импульсов. Агрессия как таковая не трактовалась ни как неотъемлемая, ни как постоянная и неизбежная часть жизни.

Однако в 20-е гг. он полностью отказывается от этого представления. Уже в работе «Я и Оно», а также во всех последующих трудах он выдвигает новую дихотомическую пару: влечение к жизни (эрос) и влечение к смерти (танатос). Он утверждал, что все человеческое поведение является результатом сложного взаимодействия этого инстинкта с эросом и что между ними существует постоянное напряжение.

Инстинкт смерти направлен против самого живого организма и потому является инстинктом либо саморазрушения, либо разрушения другого индивида (в случае направленности вовне). Если инстинкт смерти оказывается связан с сексуальностью, то он находит выражение в формах садизма или мазохизма. И хотя Фрейд неоднократно подчеркивал, что интенсивность этого инстинкта можно редуцировать, основная его теоретическая посылка гласит: человек одержим одной лишь страстью - жаждой разрушить либо себя, либо других людей, и этой трагической альтернативы ему вряд ли удастся избежать.

Из гипотезы о влечении к смерти следует вывод, что агрессивность по сути своей является не реакцией на раздражение, а представляет собой некий постоянно присутствующий в организме подвижный импульс, обусловленный самой конституцией человеческого существа, самой природой человека.1

Фрейд сделал очень важный шаг вперед от механического физиологизма к биологическому воззрению на организм как целое и к анализу биологических предпосылок феноменов любви и ненависти. Однако его теория страдает серьезным недостатком: она опирается на чисто абстрактные спекулятивные рассуждения и не имеет убедительных эмпирических доказательств. Поэтому является одной из наиболее спорных теорий психоанализа. Она была фактически отвергнута многими учениками Фрейда, разделявшими его взгляды по другим вопросам. Тем не менее, утверждение о том, что агрессия берёт начало из врожденных, инстинктивных сил, в целом находило поддержку даже у этих критиков.

2.2.Этологический подход - теория К. Лоренца

Эволюционный подход к развитию человеческой агрессивности опирается, в первую очередь, на теорию К. Лоренца, разработанную в результате изучения поведения животных. Взгляды К. Лоренца достаточно близки к взглядам З. Фрейда. Согласно концепции К. Лоренца агрессия берет свое начало из врожденного инстинкта борьбы за выживание. Этот инстинкт развился в ходе эволюции и выполняет три важные функции:

-    борьба рассеивает представителей видов на широком географическом пространстве,

-        агрессия помогает улучшить генетический фонд вида за счет того, что оставляют потомство только наиболее сильные и энергичные,

         сильные животные лучше защищаются и обеспечивают выживание своего потомства.

Энергия агрессии генерируется в организме спонтанно, непрерывно, в постоянном темпе, регулярно накапливаясь с течением времени. Чем больше количество агрессивной энергии имеется в данный момент, тем меньшей силы стимул нужен для того, чтобы агрессия «выплеснулась» вовне. Это так называемая «психогидравлическая модель» агрессии, созданная на основе исследования агрессии животных. Люди и животные обычно находят возбудитель раздражения, чтобы сорвать на нем зло и тем самым освободиться от энергетической напряженности. Им нет нужды пассивно дожидаться подходящего раздражителя, они сами ищут его и даже создают соответствующие ситуации.

Теория К. Лоренца объясняет тот факт, как у людей, в отличие от большинства других живых существ, широко распространено насилие в отношении представителей своего собственного вида. Все живые существа, особенно хищные животные, обладают способностью подавлять свои стремления. Это препятствует нападению на представителей своего вида. Люди же, как менее опасные с биологической точки зрения существа, обладают гораздо более слабым сдерживающим началом. На ранних этапах становления человечества это было не очень опасным, поскольку возможность нанесения серьезных повреждений была достаточно низка. Однако технический прогресс привел к неимоверному росту возможностей человечества нанесения «серьезных повреждений» и поставил под угрозу сам факт выживания человека как вида и всего человечества как такового.

Для Лоренца агрессия, не является реакцией на внешние раздражители, а представляет собой собственное внутреннее напряжение, которое требует разрядки и находит выражение, невзирая на то, есть для этого подходящий внешний раздражитель или нет.

Так же можно сказать, что теория Лоренца покоится на двух фундаментальных посылках: первая - это гидравлическая модель агрессии, которая указывает на механизм возникновения агрессии. Вторая - идея, что агрессивность служит делу самой жизни, способствует выживанию индивида и всего вида. В общем и целом Лоренц исходит из предположения, что внутривидовая агрессия (агрессия по отношению к членам своего же вида) является функцией, служащей выживанию самого вида. Лоренц утверждает, что агрессивность играет именно такую роль, распределяя отдельных представителей одного вида на соответствующем жизненном пространстве, обеспечивая селекцию «лучших производителей» и защиту материнских особей, а также устанавливая определенную социальную иерархию. Причем агрессивность может гораздо успешнее выполнять функцию сохранения вида, чем устрашения врага, которое в процессе эволюции превратилось в своего рода форму поведения, состоящую из «символических и ритуальных» угроз, которые никого не страшат и не наносят виду ни малейшего ущерба.

2.3   
Теория агрессии А. Бассе

Согласно теории А. Басса, агрессия - это любое поведение, содержащее угрозу или наносящее ущерб другим.

Из представления о том, что агрессия предполагает или ущерб, или оскорбление жертвы, следует, что нанесение телесных повреждений реципиенту не является обязательным. Агрессия имеет место, если результатом действий являются какие-то негативные последствия. Таким образом, помимо оскорблений действием, такие проявления, как выставление кого-либо в невыгодном свете, очернение или публичное осмеяние, лишение чего-то необходимого и даже отказ от любви и нежности могут при определенных обстоятельствах быть названы агрессивными.

По мнению А. Басса, агрессивные действия можно описать на основании трех шкал: физическая - вербальная, активная - пассивная, прямая - непрямая.

Их комбинация дает восемь возможных категорий, под которые попадает большинство агрессивных действий.

·        Физическая - активная - прямая.

Нанесение другому человеку ударов холодным оружием, избиение или ранение при помощи огнестрельного оружия.

·        Физическая - активная - непрямая.

Сговор с наемным убийцей с целью уничтожения врага.

·        Физическая - пассивная - прямая.

Стремление физически не позволить другому человеку достичь желаемой цели или заняться желаемой деятельностью.

·        Физическая - пассивная - непрямая.

Отказ от выполнения необходимых задач.

·        Вербальная - активная - прямая.

Словесное оскорбление или унижение другого человека.

·        Вербальная - активная - непрямая.

Распространение злостной клеветы или сплетен о другом человеке.

·        Вербальная - пассивная - прямая.

Отказ разговаривать с другим человеком.

·        Вербальная - пассивная - непрямая.

Отказ дать определенные словесные пояснения или объяснения.

Люди часто наносят удары по различным неодушевленным предметам, например, по мебели, посуде, подобное поведение не может рассматриваться, как агрессивное до тех пор, пока не будет причинен вред живому существу. Мы можем говорить об агрессии только тогда реципиент или жертва стремится избежать подобного обращения. Иногда жертвы оскорбления или болезненных действий не стремятся избежать неприятных для себя последствий (определенные формы любовной игры, носящей садомазохистский характер). Самоубийство также не является агрессией, так как здесь агрессор выступает в роли собственной жертвы. Поэтому подобные действия не могут быть классифицированы как агрессия. Даже если целью суицида является не смерть, а отчаянный призыв к помощи, самоубийца все-таки стремится причинить вред себе.

.4 Агрессия как зло - теория Э. Фромма

В своей капитальной работе «Анатомия человеческой деструктивности» Эрих Фромм (1994) представил обобщенный анализ всевозможных исследований человеческой агрессивности. Все разрушительное в человеке им переосмыслено филогенетически и онтогенетически как основополагающая проблема зла на уровне индивида и общества.

Феномен агрессии, с точки зрения Э. Фромма, является реакцией человека на разрушение нормальных условий бытия. Агрессия есть «благоприобретенное свойство», и человек не является по своей природе разрушителем. Он - жертва своей истории, жертва своей свободы, под которой он имеет в виду «меру ответственности».

Поведение человека Э. Фромм не сводит целиком к врожденным нейропсихологическим механизмам - стимулам. Поведение человека - это реализация его свободы. Но свобода - это удел немногих. Подавляющее большинство людей не способны на поступок, то есть не могут реализовать силу своего духа и воли, в силу своей безликости. Большинство людей живет исключительно по шаблонам и стандартам. Реализация человеческой свободы сопровождается деструктивностью. При этом Э. Фромм всегда исходит из тезиса о первичности психических процессов, которые во многом определяют структуру социальных феноменов в истории человечества.

Проблему деструктивности он рассматривает с биосоциальной точки зрения. Он исходит из того, что тип и склад личности вписывается в конкретный социальный фон, оказывающий воздействие на индивида, вырабатывающий социальные характеры.

В проблеме агрессии и деструктивности Э. Фромм объединяет две, казалось бы, диаметрально противоположные точки зрения на проблему агрессивности - инстинктивизм и бихевиоризм. Первая точка зрения - инстинктивизм - все деструктивное в человеке объясняет и сводит к его животной сущности. Вторая точка зрения - бихевиоризм - выводит деструктивность человека исключительно из его социальной природы. Казалось бы, внешне приемлемое соединение двух крайних позиций, выигрывает в методологии, которая позволила Фромму разделить агрессивность на доброкачественную и злокачественную. При этом первая восходит к инстинктам, животному началу, вторая опирается на характер, на человеческие страсти, за которыми стоят экзистенциальные побуждения (любовь, ненависть, страх, вера, корысть, властолюбие, зависть и т.д. и т.п.).

Взаимодействие инстинктов и страстей человека выражает попытку человека преодолеть банальное существование во времени и перейти в трансцендентное бытие. Любой барьер на пути к реализации своих потребностей приводит к деструкции социальных отношений, деформации психологических механизмов. Э. Фромм выделяет несколько видов их - мазохистический, садистский, деструктивный и конформистский.

.5 Теория фрустрационной агрессивности Дж. Долларда и Н. Миллера

Фрустрация - психическое состояние переживания неудачи, обусловленное невозможностью удовлетворения потребностей, возникающее при наличии реальных или мнимых непреодолимых препятствий на пути к некоей цели. Может рассматриваться как одна из форм психологического стресса. Проявляется в переживаниях разочарования, тревоги, раздражительности, наконец, отчаянии. Эффективность деятельности, при этом, резко снижается. Фрустрация сопровождается гаммой в основном отрицательных эмоций: гневом, раздражением, чувством вины и пр.

Д. Доллард определял агрессивность как «предрасположенность к гневу; негодование и насильственное устранение всякой помехи или препятствия, мешающих свободному осуществлению любой другой тенденции».

Суть теории Дж. Долларда достаточно проста и заключается в том, что фрустрация всегда приводит к агрессии в какой-либо форме и агрессия всегда является результатом фрустрации. Эта теория исходит из двух положений:

·      агрессия всегда есть результат и следствие фрустрации;

·        фрустрация всегда влечет за собой агрессию.

При этом предполагается, что фрустрация, определяемая как блокирование или создание помех для какого-либо целенаправленного поведения, провоцирует агрессию (побуждает к агрессии), что, в свою очередь, с одной стороны ясно, что фрустрированные индивидуумы прибегают к вербальным или физическим нападкам на других. Они скорее демонстрируют весь спектр реакций на фрустрацию: от покорности и уныния до активных попыток преодолеть препятствие на своем пути.

Эмпирические исследования показывают следующее: несмотря на то, что фрустрация иногда способствует агрессии, это бывает не столь часто.

Большинство психологов считают: связь между агрессией и фрустрацией гораздо менее жесткая, чем когда-то предполагали Дж. Доллард и Н. Миллер.

Миллер, одним из первых сформировавший теорию фрустрации - агрессии внес поправки в первое положение: фрустрациия порождает различные модели поведения, и агрессия является лишь одной из них.

Предположение, согласно которому агрессия всегда обусловлена фрустрацией, также уводит слишком далеко. Нет практически никаких сомнений в том, что агрессия является следствием многих факторов, помимо фрустрации.

Дж. Доллард и Н. Миллер полагали, что чем в большей степени субъект предвкушает удовольствие, чем сильнее препятствие и чем больше количество ответных реакций блокируется, те сильнее будет толчок к агрессивному поведению. Также они пришли к выводу, что «степень замедления в любом акте агрессии варьирует в прямом соответствии с предполагаемой тяжестью наказания, могущего последовать за этим действием».

Если индивидуума предостеречь от нападения на того, кто его фрустрировал, предварительно запугав каким-либо наказанием, он все еще будет стремится к агрессивным действиям. В результате могут иметь место агрессивные действия, направленные на совершенно другого человека, нападение на которого ассоциируется с меньшим наказанием.

Миллер предложил особую модель, объясняющую появление смещенной агрессии - то есть тех случаев, когда индивидуумы проявляют агрессию не по отношению к своим фрустраторам, а по отношению к совершенно другим людям. Автор предположил, что в подобных случаях выбор агрессорам жертвы обусловлен тремя факторами:

·      силой побуждения к агрессии;

·        силой факторов, тормозящих данное поведение;

·        стимульным сходством каждой потенциальной жертвы с фрустрировавшим фактором.

Миллер полагал, что барьеры, сдерживающие агрессию, исчезают более быстро, чем побуждение к подобному поведению, по мере увеличения сходства с фрустрировавшим агентом.

Важнейшим фактором для прогнозирования последствий фрустрации и их интенсивности является характер индивида. Например, обжора будет негодовать, если не получит вдоволь еды, жадный становится агрессивным, если ему не удается выторговать что-то и купить по дешевке. Нарциссическая личность испытывает фрустрацию, если не получает ожидаемых похвал, признания и восхищения. Итак, от характера человека зависит, во-первых, что вызывает в нем фрустрацию и, во-вторых, насколько интенсивно он будет реагировать на фрустрацию.

2.6 Теория посылов к агрессии Л. Берковица

Л. Берковиц внес наиболее значительные поправки в теорию фрустрации - агрессии. Он утверждал, что фрустрация - один из множества различных аверсивных стимулов, которые способны лишь спровоцировать агрессивные реакции, но не приводят к агрессивному поведению напрямую, а скорее создают готовность к агрессивным действиям. Подобное поведение возникает только тогда, когда присутствуют соответствующие посылы к агрессии - средовые стимулы, связанные с актуальными или предшествовавшими факторами, провоцирующими злость, или с агрессией в целом.

Рис. 2. Модель теории посылов к агрессии Л. Берковица

Согласно Л. Берковицу, стимулы приобретают свойство провоцировать агрессию, подобно с классической выработкой условных рефлексов. Стимул может приобрести агрессивное значение, если связан с позитивно подкрепленной агрессией или ассоциируется с пережитыми ранее дискомфортом и болью.

Берковиц утверждал, что у сильно фрустрированных индивидуумов агрессивное побуждение может ослабевать только при условии причинения ущерба фрустратору. Только успешные атаки, сопровождающиеся причинением ущерба объекту агрессии, способны ослаблять или полностью устранять агрессивное побуждение.

2.7 Теория социального научения А. Бандуры

Теория социального научения, предложенная А. Бандурой, уникальна: агрессия рассматривается здесь как специфическое социальное поведение, которое усваивается и поддерживается в основном точно так же, как и многие другие формы социального поведения.

Согласно Бандуре, анализ агрессивного поведения требует учета трех моментов:

1.       способов усвоения подобных действий;

2.      факторов, провоцирующих их появление;

.        условий, при которых они закрепляются.

Теория социального научения рассматривает агрессию как социальное поведение, включающее в себя действия, «за которыми стоят сложные навыки, требующие всестороннего научения».

Агрессия приобретается посредством биологических факторов и научения (наблюдение, непосредственный опыт).

Биологические факторы.

Совершение агрессивного действия зависит от основных нейрофизиологических механизмов. Проще говоря, нервная система участвует в осуществлении любого действия, включая и агрессивное. Однако влияние этих основных структур и процессов ограничено, нейропсихологические механизмы активируются в зависимости от соответствующей стимуляции, и контролируется сознанием.

Научение

Наблюдение. Дети и взрослые легко перенимают новые для них агрессивные реакции, к которым ранее не были предрасположены, просто в процессе наблюдения за поведением других людей. Еще большее значение имеют случаи, когда люди наблюдают за тем, как примеры агрессии встречают одобрение или, остаются безнаказанными - это часто вдохновляет на подобное поведение.

Непосредственный опыт.

Один из важных способов усвоения человеком широкого диапазона агрессивных реакций - прямое поощрение такого поведения. Получение подкрепления за агрессивные действия повышает вероятность того, что подобные действия будут повторяться и в дальнейшем.

Доказательства этого эффекта были получены во многих экспериментах на животных. В этих исследованиях животные получали различные виды подкрепление за агрессивное поведение (воду, пищу и т.д.). Животные, получавшие подкрепление быстро приобретали выраженную наклонность к агрессивному поведению. Однако, во многих случаях человеческого научения, по сравнению с научением у разных видов животных, к числу положительных факторов, приводящих к заметному усилению тенденции агрессивного поведения взрослых и детей, относятся получение материальных поощрений (деньги, вещи, игрушки), социальное одобрение или более высокий статус, а также хорошее отношение со стороны других людей.

Согласно теории агрессия провоцируется воздействием шаблонов (возбуждение, внимание), неприемлемым обращением (нападки, фрустрации), побудительными мотивами( деньги, восхищение), инструкциями (приказы), эксцентричными убеждениями (параноидальные идеи).

А. Бандура выделял три вида поощрений и наказаний, регулирующих агрессивное поведение.

·   внешние поощрения и наказания: например, материальные поощрения и наказания, общественная похвала или порицание и/или ослабление или усиление негативного отношения со стороны других;

·        викарный опыт: например, путем предоставления возможности наблюдать, как вознаграждают или наказывают других;

·        Механизм саморегуляции: например, человек может сам себе назначить поощрения и наказания.

2.8 Когнитивные теории

.8.1 Когнитивная теория Д. Зильманна

Несмотря на более предпочтительную трактовку возбуждения, и когнитивных процессов как независимо влияющих на агрессивное поведение, Зильманн доказывал, что «познание и возбуждение теснейшим образом взаимосвязаны; они влияют друг на друга на всем протяжении процесса переживания приносящего страдания опыта и поведения».

Таким образом, он вполне отчетливо указывал на специфичность роли познавательных процессов в усилении и ослаблении эмоциональных агрессивных реакций и роли возбуждения в когнитивном опосредовании поведения. Он подчеркивал, что независимо от момента своего появления (до или после возникновения нервного напряжения) осмысление события, вероятно, может влиять на степень возбуждения. Если же рассудок человека говорит ему, что опасность реальна, или индивид зацикливается на угрозе и обдумывании своей последующей мести, то у него сохранится высокий уровень возбуждения. С другой стороны, угасание возбуждения является наиболее вероятным следствием того, что, проанализировав ситуацию, человек обнаружил смягчающие обстоятельства или почувствовал уменьшение опасности.

Подобным же образом возбуждение может влиять на процесс познания. Д. Зильманн доказывал, что при очень высоких уровнях возбуждения снижение способности к познавательной деятельности может приводить к импульсивному поведению. В случае агрессии импульсивное действие будет агрессивным по той причине, что дезинтеграция когнитивного процесса создаст помеху торможению агрессии. Так, когда возникают сбои в познавательном процессе, обеспечивающем возможность подавить агрессию, человек, вероятнее всего, будет реагировать импульсивно (то есть агрессивно). В тех условиях, которые Зильманн описывает как «скорее узкий диапазон» умеренного возбуждения, вышеупомянутые сложные когнитивные процессы будут разворачиваться в направлении ослабления агрессивных реакций.

Рис. 3. Модель агрессивного поведения Д. Зильманна.

.8.2 Модель образования новых когнитивных связей Л. Берковица

В своих поздних работах Л. Берковиц подверг пересмотру свою оригинальную теорию, перенеся акцент с посылов к агрессии на эмоциональные и познавательные процессы и тем самым подчеркнув, что именно последние лежат в основе взаимосвязи фрустрации и агрессии.

В соответствии с его моделью образования новых когнитивных связей, фрустрация или другие аверсивные стимулы (например, боль, неприятные запахи, жара) провоцируют агрессивные реакции путем формирования негативного аффекта.

Л. Берковиц утверждал, что «препятствия провоцируют агрессию лишь в той степени, в какой они создают негативный аффект». Блокировка достижения цели, таким образом, не будет побуждать к агрессии, если она не переживается как неприятное событие. В свою очередь, то, как сам индивидуум интерпретирует негативное воздействие, и определяет его реакцию на это воздействие.

В редакции 1989 года теория Берковица гласит, что посылы к агрессии вовсе не являются обязательным условием для возникновения агрессивной реакции. Скорее они лишь «интенсифицируют агрессивную реакцию на наличие некоего барьера, препятствующего достижению цели». Он также представил доказательства того, что индивидуум, которого что-то спровоцировало на агрессию (то есть он объясняет свои негативные чувства как злость), может стать более восприимчивым и чаще реагировать на посылы к агрессии. Итак, хотя агрессия может появляться в отсутствие стимулирующих ее ситуационных факторов, фрустрированный человек будет все-таки чаще обращать внимание на эти стимулы, и они, скорее всего, усилят его агрессивную реакцию.

Глава 3. Агрессия в жизни Человека

.1 Становление агрессивного поведения

Дети черпают знания о моделях агрессивного поведения из трех основных источников:

·   Семья - может одновременно демонстрировать модели агрессивного поведения и обеспечивать его подкрепление.

·        Сверстники - обучаются агрессии при взаимодействии с ними, узнавая о преимуществах агрессивного поведения во время игр.

·        СМИ - учатся агрессивным реакциям на символических примерах масс-медиа.

.1.2 Семейные взаимоотношения

Именно в семье ребенок проходит первичную социализацию. На примере взаимоотношений между членами семьи он учится взаимодействовать с другими людьми, обучается поведению и формам отношений, которые сохранятся у него в подростковом периоде и в зрелые годы. Реакции родителей на неправильное поведение ребенка, характер отношений между родителями и детьми, уровень семейной гармонии или дисгармонии, характер отношений с родными братьями или сестрами - вот факторы, которые могут предопределять агрессивное поведение ребенка в семье и вне нее, а также влиять на его отношения с окружающими в зрелые годы.

Сильно сказываются негативные взаимоотношения в паре «родители - ребенок». Если у детей плохие отношения с одним или обоими родителями, если они чувствуют, что их считают никуда не годными, или не ощущают родительской поддержки, они, будут ополчаться на других детей; сверстники не будут воспринимать их; будут вести себя агрессивно по отношению к своим родителям.

Взаимоотношения ребенка с братом или сестрой являются основополагающими для научения агрессивному поведению.

Дети проявляют больше физической или вербальной агрессии против брата или сестры, чем против всех остальных детей, с которыми они общаются.

Изучение зависимости между практикой семейного руководства и агрессивным поведением у детей сосредоточилось на характере и строгости наказаний, а также на контроле родителей поведения детей. В общем выявлено, что жестокие наказания связаны с относительно высоким уровнем агрессивности у детей, а недостаточный контроль и присмотр за детьми коррелирует с высоким уровнем асоциальности, зачастую сопровождающимися агрессивным поведением.

Эрон и другие обнаружили, что дети, подвергшиеся строгим наказаниям, характеризовались своими сверстниками как более агрессивными.

Паттерсон и его коллеги обнаружили, что два параметра семейного руководства - контроль (степень опеки и осведомленности о своих детях и последовательность (постоянство в предъявляемых требованиях и методах дисциплинарного воздействия) связаны с его личной оценкой собственного образа жизни по отношению к социальным нормам. При этом сыновья родителей, которые не следили за их поведением и были последовательны в наказаниях, как правило, вели себя асоциально.

С детской агрессивностью связаны:

·        негативизм матери - враждебность, отчужденность, безразличие ребенка;

·        терпимое отношение матери к проявлению ребенком агрессии по отношению к сверстникам или членам семьи;

·        применение родителями силовых дисциплинарных методов - физических наказаний, угроз, скандалов;

·        темперамент ребенка - уровень активности и вспыльчивость.

Использование физических наказаний как средства воспитания детей в процессе социализации скрывает в себе ряд специфических «опасностей». Во-первых, родители, наказывающие своих детей, фактически могут оказаться для тех примером агрессивности. В таких случаях наказание может провоцировать агрессивность в дальнейшем. Ребенок узнает, что физическая агрессия - средство воздействия на людей и контроля над нами, и будет прибегать к нему при общении с другими детьми [4,35].

Во-вторых, дети, которых слишком часто наказывают, будут стремиться избегать родителей или оказывать им сопротивление.

В-третьих, если наказание слишком возбуждает и расстраивает детей, они могут забыть причину породившую подобные действия. То есть ребенок будет помнить только о боли нанесенной ему, а не об усвоении правил приемлемого поведени

.1.2 Отношения со сверстниками

Игра со сверстниками дает детям возможность научиться агрессивным реакциям (например, пущенные в ход кулаки или оскорбление).

Существуют свидетельства, что дети, посещавшие дошкольные учреждения регулярно, более агрессивны, чем дети, которые делали это реже.

Агрессивных детей сверстники не любят и часто навешивают на них ярлык «самых неприятных». Такие дети демонстрируют социальное поведение, такое как вербальное (угрозы, ругательства), физическое (удары, пинки), вызывающие неприязнь.

Исследователи обнаружили, что школьников с высоким уровнем агрессии называло в качестве своих лучших друзей такое же количество сверстников, что и менее агрессивных. Как и предполагалось, агрессивные дети склонны объединятся со столь же агрессивными сверстниками.

Одно из классических открытий социальной психологии - то, что на людей зачастую сильно влияют поступки или слова окружающих. Такое обучающее поведение играет важную роль в объяснениях воздействий примеров насильственного поведения.

Индивидуум, наблюдающий агрессивное действие других, зачастую может кардинально пересмотреть поставленные ранее им самим ограничения подобного поведения, рассуждая, что если другие безнаказанно проявляют агрессию, то, значит, и ему позволительно то же самое. Этот эффект снятия запретов может увеличить вероятность проявления агрессивных действий со стороны наблюдателя, более того, постоянное наблюдение сцен насилия способствует постепенной утрате эмоциональной восприимчивости к агрессии и признакам чужой боли.

Люди, часто наблюдающие насилия, склонны ожидать его и воспринимать окружающий мир как враждебно настроенный по отношению к ним.

Эксперименты приводят к одному и тому же выводу: дети, наблюдающие агрессию у взрослых, склонны вести себя во взаимоотношениях с окружающими агрессивно.

.1.3 Модели агрессии в средствах массовой информации

Изучая популярные телевизионные программы, было обнаружено, что две из каждых трех программ содержат сюжеты насилия («действия физического принуждения, сопровождающиеся угрозой избиения или убийства»). К чему это ведет? К моменту окончания средней школы ребенок просматривает по телевидению около 8000 сцен с убийствами и 100000 других действий с применением насилия.

С начала эры телевидения количество преступлений, связанных с насилием, стало увеличиваться в несколько раз быстрее, чем численность населения. Защитники же утверждают, что эпидемия насилия является результатом действия многих факторов. Споры продолжаются до сих пор.

Чем больше насилия в передаче, тем более агрессивен ребенок. Эта связь умеренно выраженная, но она постепенно обнаруживается в различных странах.

Изучая мальчиков, исследователи сделали вывод, что в отличие от тех из них, кто смотрел незначительное количество передач, содержащих сцены жестокости, смотревшие их в большем количестве совершали почти в два раза больше правонарушений в течение последних шести месяцев. Это дало основание полагать, что у «заядлых» отклонение в поведении действительно происходит благодаря телевидению.

Ирон и Хьюсман обнаружили, что тридцатилетние мужчины, которые в детском возрасте смотрели много «крутых» телепередач, с большей вероятностью совершали серьезные преступления.

Заключение некоторых исследователей таково; просмотр фильмов, содержащих антисоциальные сцены тесно связан с антисоциальным поведением. Это влияние является не очень сильным; фактически иногда оно настолько умеренное, что некоторые критики сомневаются в его существовании. Более того, агрессия в экспериментах скорее находится на уровне толкания друг друга, оскорбительного замечания. Но нельзя не прийти к выводу, что наблюдение сцен насилия повышает общий уровень насилия. Скорее речь идет о том, что телевидение является одной из причин.

Проведенные опросы среди подростков и взрослых показали, что «заядлые» зрители (четыре часа в день и более) чаще, чем балующиеся (два часа и менее), преувеличивали степень насилия, существующего в окружающем мире, и опасались, что на них будет совершенно нападение.

.2 Биологические факторы возникновения агрессии

Генетические влияния.

Люди, обладающие аналогичными биологическими характеристиками, ведут себя сходным образом. То есть, если люди имеют одинаковые гены, проявляют и одинаковые особенности в поведении, можно считать подобное поведение наследственным.

Наследственность влияет на чувствительность нервной системы к возбудителям агрессии. Наш темперамент - то, насколько мы восприимчивы и реактивны, - частично дан нам от рождения и зависит от реактивности нашей симпатической нервной системы.

Нервная система

Агрессия представляет собой сложный поведенческий комплекс, и потому невозможно говорить о существовании в человеческом мозгу четко локализуемого «центра агрессии». Однако и у животных, и у человека ученые обнаружили участки нервной системы, отвечающие за проявление агрессии. При активизации этих структур мозга враждебность возрастает; дезактивация их ведет к уменьшению враждебности. Поэтому даже самых кротких животных можно привести в ярость, а самых свирепых - укротить.

Биохимические факторы

Химический состав крови - еще один фактор, влияющий на чувствительность нервной системы к стимуляции агрессии. Лабораторные эксперименты говорят: находящихся в состоянии алкогольного опьянения гораздо легче спровоцировать на агрессивное поведение. Люди, виновные в совершении насилия, часто:

) злоупотребляют алкоголем;

) становятся агрессивными после интоксикации.

В реальном мире под воздействием алкоголя совершается почти половина преступлений, связанных с совершением насилия, в том числе сексуального.

На агрессивность также влияет мужской половой гормон тестостерон. Препараты, понижающие уровень тестостерона у мужчин, склонных к насилию, ослабляют их агрессивные тенденции. После 25 лет уровень содержания тестостерона в крови мужчины снижается, а вместе с ним и количество «насильственных» преступлений среди мужчин соответствующего возраста.

Среди других источников агрессивного поведения предполагают низкий уровень нейромедиатора серотонина, недостаток которого также отмечается у людей, страдающих депрессией. Среди людей и приматов низкий уровень серотонина обнаруживается у индидуумов, склонных к насилию. Более того, искусственное понижения уровня серотонина в ходе лабораторных экспериментов заставляет испытуемых сильнее проявлять агрессию в ответ на провоцирующие явления (в частности, они охотнее соглашаются «наказывать» другого испытуемого разрядом электрического тока).

Важно иметь в виду, что между уровнем тестостерона и серотонина и поведением существует двухсторонняя зависимость. Например, высокий уровень тестостерона способствует развитию таких качеств личности, как доминантность и агрессивность. С другой стороны, при агрессивном поведении повышается уровень тестостерона. У людей, чье положение в обществе внезапно изменилось в худшую сторону, понижается уровень серотонина.

.3 Внешние детерминанты агрессии

 

Боль

Исследователи обнаружили, что особи самых разных животных, подвергавшиеся болевому воздействию, проявляют друг к другу большую жестокость, чем вызванные у них болевые ощущения. Также и у людей боль усиливает агрессивность. Берковиц сделал вывод, что скорее аверсивная стимуляция, чем фрустрация, является основным спусковым механизмом враждебной агрессии. Любое аверсивное событие, будь то несбывшиеся ожидание, личное оскорбление или физическая боль, может привести к эмоциональному взрыву.

Жара

Изменение климата могут влиять на поведение. Отвратительные запахи, табачный дым, загрязнение воздуха - все это может быть увязано с агрессивным поведением. Но наиболее изученным является жара.

Массовые беспорядки имели место в жаркие, чем в холодные дни. Наибольшее количество преступлений, связанных с насилием, совершается не только в жаркие дни, но и в жаркое время года, особенно в те года, когда лето бывает особенно жарким. Водители автомобилей, не оснащенных кондиционером, чаще сигналят сбавляющим скорость машинам.

Атакующее поведение

Атакующее поведение другого человека, например сознательное причинение боли или оскорбительное действие, является особо сильным возбудителем агрессии. Чаще всего действует принцип «око за око, зуб за зуб».

Теснота

Тесното-субъективное ощущение нехватки пространства - также является фактором стресса.

Состояние стресса, испытываемое животными в перенаселенном замкнутом пространстве, повышает уровень агрессивности. Так же и у людей в сильно заселенных больших городах происходит большее количество преступлений и люди там испытывают больший эмоциональный дистресс.

Возбуждение

Проведенные исследования убедительно показывают, что возбуждение действительно усиливает эмоции.

Сексуальное возбуждение и другие его виды, такие как гнев, могут усиливать друг друга. На основании лабораторных экспериментов выяснено, что эротические стимулы действуют более возбуждающе на тех людей, которые только что пережили испуг.

Фрустрация, жара, теснота оскорбление усиливают возбуждение. При этом возбуждение в сочетании с враждебными мыслями и чувствами может обеспечить появление агрессивного поведения.

.4 Социальные детерминанты агрессии

Выделяют такие социальные детерминанты, как фрустрации; физические и вербальные провокации окружающих; моменты подстрекательства со стороны окружающих

Фрустрация

Уровень и непредвиденность фрустрации порождают негативные эмоции, наличие которых Л. Берковитц считает необходимым для возникновения агрессивных намерений. Посылы к агрессии могут усилить (или подавить) побуждение к агрессии. Повлечет ли фрустрация за собой агрессию или нет, зависит от интерпретации индивидуумом множества ситуационных факторов (таких как интенсивность фрустрации и связанные с агрессией стимуляторы) и от его эмоциональной реакции на них.

Физические и вербальные провокации окружающих

Провокационные нападения: прямая провокация, вербальная или физическая, часто вызывает агрессивную реакцию. По данным исследования О'Лири и Денджеринка, люди отвечают тем же на провокацию со стороны, практически все испытуемые придерживались принципа «око за око, зуб за зуб», даже на малость, не уступая своему оппоненту.

На проявление агрессии так же влияет и пол агрессора. По данным экспериментов, было выявлено, что женщины подвергаются физическому нападению реже, чем мужчины. Ричардсон, Ванденберги Хамфриз, провели эксперимент, по результатам которого было выявлено, что женщины вызывают меньшую агрессивность, так как воспринимаются менее угрожающими, чем мужчины. В эксперименте, поставленном для выявления факторов, увеличивающих вероятность агрессии мужчин против женщин, Ричардсон, Леонард, Тэйлор и Хэммок, доказали, что нет оснований считать, что женщины подвергаются агрессии реже мужчин. Страх является одним из множества факторов, подавляющих предполагаемое сдерживающее начало не причинять вреда женщине.

Так же рядом исследований было выдвинуто два основных предположения. Первое: люди склонны быть более агрессивными по отношению к лицам, чья раса отличается от их собственной, чем к лицам одной с ними расы. Более комплексное предположение: люди с расовыми предрассудками будут вести себя более агрессивно по отношению к расе, против которой имеют какое-либо предубеждение, чем по отношению к собственной расе.

Подстрекательства со стороны окружающих

Третья сторона - люди присутствующие, но не являющиеся ни агрессором, ни жертвой - может повлиять на агрессивные взаимодействия множеством способов. Например, третья сторона может обладать властью и приказать одному человеку причинить вред другому. Менее авторитетная третья сторона может влиять на агрессию простым подстрекательством или «подначиванием» агрессора или его жертвы. Толпа зевак часто подначивает разозленных противников, способствуя разжиганию опасных ссор.

Даже простое присутствие другого человека, который не распоряжается и не подстрекает, может повлиять на взаимодействие конфликтующих, например присутствие милиционера. По данным некоторых исследований известно, что третья сторона более склонна подстрекать к агрессии или сама принимать участие в агрессивных действиях, чем быть посредником в примирении.

3.5 Индивидуальные детерминанты агрессии

Черты характера играют важную роль в определении вероятности того, станут ли определенные лица агрессорами или жертвами.

Результаты, полученные Денгеринком, Дорски, Тэйлором и другими, показывают, что тревога - особенно обеспокоенность социальным неодобрением - имеет прямое отношение к агрессии. Очевидно, тревога о том, что скажут другие, может послужить сильным сдерживающим фактором агрессии, по крайней мере, в обстановке, когда сильные ситуационные факторы не в состоянии помешать подобной сдержанности.

По результатам исследования Доджа выявлено, что склонность приписывать недоброжелательность и дурные намерения другим лицам, даже если этого на самом деле нет, является важной чертой, которая может привести индивидов к более частым, чем обычно, агрессивным столкновениям с другими.

Капрара и его коллеги разработали опросник для оценки двух личностных характеристик: раздражительность (устойчивая тенденция обижаться даже на минимальную провокацию) и эмоциональная чувствительность (устойчивая тенденция, свойственная некоторым индивидам, ощущать себя некомпетентными и испытывать дистресс в ответ на самые умеренные фрустрации. Исследования показали, что люди с высоким уровнем раздражительности и эмоциональной чувствительности чаще склонны к агрессивным действиям, в отличие от людей с низким уровнем данных характеристик.

Данные, полученные Денгеринком и его коллегами, свидетельствуют, что уверенность индивидов в своей способности влиять на собственную судьбу является личностным фактором, имеющим отношение к агрессии во многих ситуациях.

По данным исследования Тангни, Вагнера, Флетчера и Грамзоу, чем чаще люди испытывают чувство стыда в процессе взаимодействия с другими, тем выше их склонность к гневу и агрессивному реагированию.

Глава 4. Эмпирические исследования

4.1 Методики исследования

.1.1 «Диагностика склонности к агрессии (BPAQ-24)» А. Басс, М. Перри

Методика предназначена для диагностики агрессивных и враждебных реакций человека. Агрессивное поведение рассматривается как противоположное адаптивному.

Высокий уровень агрессивности личности влияет на социальное поведение, способствует проявлению соперничества, конфронтации в отношениях и конфликтов с окружающими людьми, препятствует успешности деятельности.

В агрессивных проявлениях можно выделить три основных компонента:

- Поведенческий компонент - физическая агрессия - самоотчет о склонности к физической агрессии в поведении.

Эмоциональный компонент - гнев - самоотчет о склонности к раздражительности.

Когнитивный компонент - враждебность - включает в себя подозрительность и обидчивость.

Измеряемые параметры:

. Физическая агрессия (самоотчет о склонности к физической агрессии в поведении (поведенческий компонент).

. Гнев (самоотчет о склонности к раздражительности (эмоциональный компонент).

. Враждебность (шкала, включающая в себя утверждения двух подшкал «Подозрительность» и «Обидчивость» (когнитивный компонент).

. Интегральная шкала (суммарный показатель по всем вопросам трех шкал).

Испытуемым предлагалось ответить на 24 утверждения и оценить их по пятибалльной шкале:

- очень на меня не похоже

- коре не похоже на меня, чем похоже

- частично на меня похоже

- скорее похоже на меня, чем не похоже

- очень на меня похоже.

.1.2 «Диагностика межличностных и межгрупповых отношений («Социометрия») Дж. Морено

Термин социометрия означает измерение межличностных взаимоотношений в группе. Основоположник социометрии известный американский психиатр и социальный психолог Дж. Морено не случайно так назвал этот метод. Совокупность межличностных отношений в группе составляет, по Дж. Морено, ту первичную социально-психологическую структуру, характеристики которой во многом определяются не только целостными характеристиками группы, но и душевными составляющими человека.

Социометрическая техника применяется для диагностики межличностных и межгрупповых отношений в целях их изменения, улучшения и совершенствования. С помощью социометрии можно изучать типологию социального поведения людей в условиях групповой деятельности, судить о социально-психологической совместимости членов конкретных групп.

Социометрическая процедура.

Каждому члену группы выдают карточки с вопросами, они должны отвечать на них, выбирая тех или иных членов группы в зависимости от большей или меньшей склонности, предпочтительности их по сравнению с другими, симпатий или, наоборот, антипатий, доверия или недоверия и т. д.

При этом социометрическая процедура может проводиться в двух формах. Первый вариант - непараметрическая процедура. В данном случае испытуемому предлагается ответить на вопросы социометрической карточки без ограничения числа выборов испытуемого. Достоинством данного варианта процедуры является то, что она позволяет выявить так называемую эмоциональную экспансивность каждого члена группы, сделать срез многообразия межличностных связей в групповой структуре.

Недостатком непараметрической процедуры является большая вероятность получения случайного выбора. Некоторые испытуемые, руководствуясь личным мотивом, нередко пишут в опросниках: «выбираю всех». Ясно, что такой ответ может иметь только два объяснения: либо у испытуемого действительно сложилась такая обобщенная аморфная и недифференцированная система отношений с окружающими (что маловероятно), либо испытуемый заведомо дает ложный ответ, прикрываясь формальной лояльностью к окружающим и к экспериментатору (что наиболее вероятно).

Второй вариант - параметрическая процедура с ограничением числа выборов. Испытуемым предлагают выбирать строго фиксированное число из всех членов группы. Величина ограничения числа социометрических выборов получила название «социометрического ограничения» или «лимита выборов».

Многие исследователи считают, что введение «социометрического ограничения» значительно превышает надежность социометрических данных и облегчает статистическую обработку материала. С психологической точки зрения социометрическое ограничение заставляет испытуемых более внимательно относиться к своим ответам, выбирать для ответа только тех членов группы, которые действительно соответствуют предлагаемым ролям партнера, лидера или товарища по совместной деятельности. Лимит выборов значительно снижает вероятность случайных ответов и позволяет стандартизировать условия выборов в группах различной численности в одной выборке, что и делает возможным сопоставление материала по различным группам.

Недостатком параметрической процедуры является невозможность раскрыть многообразие взаимоотношений в группе. Возможно выявить только наиболее субъективно значимые связи. Социометрическая структура группы в результате такого подхода будет отражать лишь наиболее типичные, «избранные» коммуникации. Введение «социометрического ограничения» не позволяет судить об эмоциональной экспансивности членов группы.

В нашем исследовании использовался непараметрический метод, т.е. метод без ограничения числа выборов, студентам предлагались социометрические карточки, состоящие из 8 вопросов. В инструкции предлагалось ответить на данные вопросы, указав фамилий своих сокурсников.

Когда социометрические карточки заполнены и собраны, начинается этап математической обработки. Вначале строится простейшая социоматрица. Результаты выборов разносятся по матрице с помощью условных обозначений. Для удобства обработки данных каждый член группы получает свой номер и далее на протяжении всех этапов эксперимента фигурирует под ним.

Основное достоинство социоматрицы - возможность представить выборы в числовом виде, что в свою очередь позволяет проранжировать членов группы по числу полученных и отданных выборов, установить порядок влияний в группе.

На основе социоматрицы строится социограмма - карта социометрических выборов (социометрическая карта), производится расчет социометрических индексов.

Социограмма - графическое изображение реакции испытуемых друг на друга при ответах на социометрический критерий. Социограмма позволяет произвести сравнительный анализ структуры взаимоотношений в группе в пространстве на некоторой плоскости («щите») с помощью специальных знаков. Она даёт наглядное представление о внутригрупповой дифференциации членов группы за их статусом (популярностью).

Социограммная техника является существенным дополнением к табличному подходу в анализе социометрического материала, ибо она дает возможность более глубокого качественного описания и наглядного представления групповых явлений.

Анализ социограммы заключается в отыскании центральных, наиболее влиятельных членов, затем взаимных пар и группировок. Группировки составляются из взаимосвязанных лиц, стремящихся выбирать друг друга. Наиболее часто в социометрических измерениях встречаются положительные группировки из 2, 3 членов, реже из 4 и более членов.

Социометрические индексы

Различают персональные социометрические индексы (П.С.И.) и групповые социометрические индексы (Г.С.И.). Первые характеризуют индивидуальные социально-психологические свойства личности в роли члена группы. Вторые дают числовые характеристики целостной социометрической конфигурации выборов в группе. Они описывают свойства групповых структур общения.

Основными П.С.И. являются: индекс социометрического статуса i-члена; эмоциональной экспансивности j-члена, объема, интенсивности и концентрации взаимодействия ij-члена. Символы i и j обозначают одно и то же лицо, но в разных ролях; i - выбираемый, j - он же выбирающий, ij - совмещение ролей.

Индекс социометрического статуса i-члена группы определяется по формуле:


где Сi - социометрический статус i-члена, R+ и R- - полученные i-членом выборы, Z - знак алгебраического суммирования числа полученных выборов i-члена, N- число членов группы.

Социометрический статус - это свойство личности как элемента социометрической структуры занимать определенную пространственную позицию (локус) в ней, т. е. определенным образом соотноситься с другими элементами. Такое свойство развито у элементов групповой структуры неравномерно и для сравнительных целей может быть измерено числом - индексом социометрического статуса.

Элементы социометрической структуры - это личности, члены группы. Каждый из них в той или иной мере взаимодействует с каждым, общается, непосредственно обменивается информацией и т. д. В то же время каждый член группы, являясь частью целого (группы), своим поведением воздействует на свойства целого. Реализация этого воздействия протекает через различные социально-психологические формы взаимовлияния. Субъективную меру этого влияния подчеркивает величина социометрического статуса. Но личность может влиять на других двояко - либо положительно, либо отрицательно. Поэтому принято говорить о положительном и отрицательном статусе. Статус тоже измеряет потенциальную способность человека к лидерству. Чтобы высчитать социометрический статус, необходимо воспользоваться данными социоматрицы.

Возможен также расчет С-положительного и С-отрицательного статуса в группах малой численности (N).

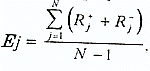
Индекс эмоциональной экспансивности j-члена группы высчитывается по формуле:


где Ej - эмоциональная экспансивность j-члена, Rj - сделанные /членом выборы (+, -). С психологической точки зрения показатель экспансивности характеризует потребность личности в общении.

Из Г.С.И. наиболее важными являются: Индекс эмоциональной экспансивности группы и индекс психологической взаимности.

Индекс эмоциональной экспансивности группы высчитывается по формуле:


где Ag - экспансивность группы, N - число членов группы; Rj (+,-) - сделанные j-членом выборы.

Индекс показывает среднюю активность группы при решении задачи социометрического теста (в расчете на каждого члена группы).

Индекс психологической взаимности («сплоченности группы») в группе высчитывается по формуле:


где Gg - взаимность в группе по результатам положительных выборов, Аij+ - число положительных взаимных связей в группе N - число членов группы.

.2 Результаты исследования

Результаты исследования Группы №1.

Социоматрица.

Кто выбирает: фамилия j члены

 j члены: Кого выбирают

Сделаные выборы

Всего



1

2

3

4

5

6

7

8

9

10

(+)

(-)


1

Гамзюкова Алекс-ра

 

3-

2-

3-

4+

3+

4-

3+

2+

4+

 

16

12

28

2

Геворков Андрей

4 -

 

4+

+

4 -

2+

 

4+

 

+

4 -

12

12

24

3

Головин Александр

3 -

4+

 

+

3 -

-

1+

+

4+

4+

4 -

15

12

27

4

Давыдова Юлия

+

 

3+

 

3 -

 

2-

 

3+

4+

 

11

5

16

5

Зайцева Алена

4+

 

 

3 -

 

4+

3 -

4+

3 -

-

-

12

11

23

6

Козлов Алексей

3+

3+

-

4-

2+

 

 

4+

4-

+

4-

13

13

26

7

Пашура Яна

4-

3+

2+

4+

4-

4-

 

2+

4+

2-

2+

18

14

32

8

Пирогов Георгий

2+

4+

3-

4-

3+

4+

3+

 

1+

3+

4-

21

12

33

9

Ткачук Владимир

2+

2-

4+

-

+

4-

2+

1+

 

4+

2-

14

12

26

10

Харламов Александр

2+

4-

4+

+

2+

4-

4-

4+

4+

 

3+

20

12

32

11

Цыганкова Ульяна

2+

4-

4-

2+

2+

 

3-

-

3+

3+

 

12

12

24

 

 сумма(+)

16

14

18

9

14

13

6

23

21

25

5

164

 

 

 

 сумма (-)

11

13

10

15

14

13

19

2

8

3

19

 

127

 

 

Всего

27

27

28

24

28

26

25

25

29

28

24

 

 

291


Социограммы
















          положительный обоюдный выбор

       отрицательный обоюдный выбор

        положительный односторонний выбор

     отрицательный односторонний выбор

Индексы социометрического статуса i-члена группы:

Фамилия Имя

Индекс

1

Гамзюкова Александра

2,7

2

Геворков Андрей

2,7

3

Головин Александр

2,8

4

Давыдова Юлия

2,4

5

Зайцева Алена

2,8

6

Козлов Алексей

2,6

7

Пашура Яна

2,5

8

Пирогов Георгий

2,5

9

Ткачук Владимир

2,9

10

Харламов Александр

2,8

11

Цыганкова Ульяна

2,4


Индексы эмоциональной экспансивности j-члена группы:

Фамилия Имя

Индекс

1

Гамзюкова Александра

2,8

2

Геворков Андрей

2,4

3

Головин Александр

2,7

4

Давыдова Юлия

1,6

5

Зайцева Алена

2,3

6

Козлов Алексей

2,6

7

Пашура Яна

3,2

8

Пирогов Георгий

3,3

9

Ткачук Владимир

2,6

10

Харламов Александр

3,2

11

Цыганкова Ульяна

2,4


Индекс эмоциональной экспансивности группы:

Ag = 26.4

Индекс психологической взаимности («сплоченности группы»):

Gg = 0.4

Результаты исследования Группы №2.

Социоматрица.

Кто выбирает: фамилия j члены

 j члены: Кого выбирают

Сделан-ный выбор

Всего



1

2

3

4

5

6

7

8

9

10

11

12

13

14

15

(+)

(-)


1

Абдыша Е.

 

 

3+

4-

3+

4+

2+

 

 

3-

 

3-

2+

3+

17

11

28

2

Беляев Евгений

 

 

 

4-

2+

+

 

 

 

3+

 

 

4-

 

 

6

8

14

3

Березкина Ксенья

4+

 

 

 

4+

 

 

4-

4-

 

 

4-

 

 

2+

10

12

22

4

Бурцева А.

4-

4-

 

 

 

 

 

4+

 

 

 

4+

 

 

 

8

8

16

5

Васильева Н.

4+

4+

4+

 

 

 

 

4-

4-

 

4+

4-

 

 

 

16

12

28

6

Дроздова Дарья

4+

+

 

 

 

 

2+

2-

2-

 

 

3-

4-

 

4+

11

11

22

7

Зубарева Е.

4+

 

 

3-

 

 

 

 

 

 

2+

4-

3-

4+

4+

14

10

24

8

Иванова Н.

 

 

4-

+

2-

2-

 

 

4-

4+

 

 

2+

 

 

7

12

19

9

Колесникова О.

4-

 

+

2+

 

 

 

 

 

4+

2+

2+

3+

4-

4-

14

12

26

10

Куликова И.

 

 

 

 

 

4-

 

2+

3+

 

 

 

2+

 

4-

7

8

15

11

Поволоцкая Ольга

 

 

 

4-

4+

 

 

 

 

4-

 

3-

 

 

 

4

11

15

12

Портнова Е.

4-

 

 

 

4-

 

 

 

4+

 

4-

 

4+

 

 

8

12

20

13

Сидорова М.

 

4-

 

 

 

 

 

2+

3+

3+

+

4-

 

 

 

9

8

17

14

Торкова Анна

 

 

 

 

 

 

 

 

 

 

 

 

 

 

 

 

 

0

15

Фокина Мария

3+

 

2+

4-

+

3+

4+

 

 

4-

2+

 

 

4+

 

19

8

27

 

 сумма(+)

19

5

10

3

14

8

8

8

10

14

11

6

11

10

13

150

 

 

 

 сумма (-)

12

8

4

19

6

6

0

10

14

11

4

25

12

4

8

 

143

 

 

Всего

31

13

14

22

20

14

8

18

24

25

15

31

23

14

21

 

 

293


Социограммы.

         положительный обоюдный выбор

        положительный односторонний выбор

      отрицательный односторонний выбор

Индексы социометрического статуса i-члена группы:

Фимилия Имя

Индекс

1

Абдыша Екатерина

2,2

2

Беляев Евгений

0,9

3

Березкина Ксения

1

4

Бурцева Алена

1,5

5

Васильева Наташа

1,4

6

Дроздова Дарья

1

7

Зубарева Екатерина

0,5

8

Иванова Наталья

1,2

9

Колесникова Ольга

1,7

10

Куликова Ирина

1,7

11

Поволоцкая Ольга

1

12

Портнова Елена

2,2

13

Сидорова Марина

1,6

14

Торкова Анна

1

15

Фокина Мария

1,5


Индексы эмоциональной экспансивности j-члена группы:

Фимилия Имя

Индекс

1

Абдыша Екатерина

2

2

Беляев Евгений

1

3

Березкина Ксения

1,5

4

Бурцева Алена

1,1

5

Васильева Наташа

2

6

Дроздова Дарья

1,5

7

Зубарева Екатерина

1,7

8

Иванова Наталья

1,3

9

Колесникова Ольга

1,8

10

Куликова Ирина

1,07

11

Поволоцкая Ольга

1,07

12

Портнова Елена

1,4

13

Сидорова Марина

1,2

14

Торкова Анна

0

15

Фокина Мария

1,9


Индекс эмоциональной экспансивности группы:

Ag = 19,5

Индекс психологической взаимности («сплоченности группы»):

Gg = 0,3

.3 Анализ и обсуждение исследования

Подсчет критерия U Манна-Уитни. Социометрический статус.

Гипотеза Hо - уровень социометрического статуса в группе №1 не превышает уровень социального статуса в группе №2.

Гипотеза H1 - уровень социометрического статуса в группе №1 превышает уровень социального статуса в группе №2.

Данные.

Группа №2

Группа №1

 1

2,2

2,7

2

0,9

2,7

3

1

2,8

4

1,5

2,4

5

1,4

2,8

6

1

2,6

7

0,5

2,5

8

1,2

2,5

9

1,7

2,9

10

1,7

2,8

11

1

2,4

12

2,2

 

13

1,6

 

14

1

 

15

1,5

 

Значения

Ранги

1

0,5

1

2

0,9

2

3

1

4,5

4

1

4,5

5

1

4,5

6

1

4,5

7

1,2

7

8

1,4

8

9

1,5

9,5

10

1,5

9,5

11

1,6

11

12

1,7

12,5

13

1,7

12,5

14

2,2

14,5

15

2,2

14,5

16

2,4

16,5

17

2,4

16,5

18

2,5

18,5

19

2,5

18,5

20

2,6

20

21

2,7

21,5

22

2,7

21,5

23

2,8

24

24

2,8

24

25

2,8

24

26

2,9

26

сумма:

351


Группа №2

Ранги

Группа №1

Ранги

1

0,5

1

2,4

16,5

2

0,9

2

2,4

16,5

3

1

4,5

2,5

18,5

4

1

4,5

2,5

18,5

5

1

4,5

2,6

20

6

1

4,5

2,7

21,5

7

1,2

7

2,7

21,5

8

1,4

8

2,8

24

9

1,5

9,5

2,8

24

10

1,5

9,5

2,8

24

11

1,6

11

2,9

26

12

1,7

12,5

 

 

13

1,7

12,5

 

 

14

2,2

14,5

 

 

15

2,2

14,5

 

 

сумма:

120

 

231


Сумма рангов группы №1.


Сумма рангов группы №2.

Общая сумма рангов.


Расчет Uэмп


Значения Uкр, при n1 = 11; n2 = 15

Uкр = 50 (p  0.05)кр = 37 (p  0.01)


Гипотеза H1 принимается, уровень социометрического статуса в группе №1 превышает уровень социального статуса в группе №2.

Подсчет критерия U Манна-Уитни. Агрессивность.

Гипотеза Hо - уровень агрессивности в группе №1 не ниже уровня агрессивности в группе №2.

Гипотеза H1 - уровень агрессивности в группе №1 ниже уровня агрессивности в группе №2.

Значения

Ранги

1

35

1

2

38

2

3

44

4

46

4

5

48

5

6

49

6

7

51

7

8

52

8,5

9

52

8,5

10

53

10

11

54

11

12

57

13

13

57

13

14

57

13

15

58

15


Данные

 

Группа № 1

Группа № 2

 

1

73

52

 

2

90

64

 

3

48

65

 

4

57

52

 

5

58

64

 

6

60

67

 

7

57

57

 

8

60

74

 

9

46

53

 

10

54

64

 

11

38

51

 

12

63

 

 

13

44

 

 

15

35

 

 

15

49

 

16

60

16,5

17

60

16,5

18

63

18

19

64

20

20

64

20

21

64

20

22

65

22

23

67

23

24

73

24

25

74

25

26

90

26

сумма:

351

Группа № 1

Ранги

Группа № 2

Ранги

1

35

1

51

7

2

38

2

52

8,5

3

44

3

52

8,5

4

46

4

53

10

5

48

5

57

13

6

49

6

64

20

7

54

11

64

20

8

57

13

64

20

9

57

13

65

22

10

58

15

67

23

11

60

16,5

74

25

12

60

16,5

 

 

13

63

18

 

 

15

73

24

 

 

15

90

26

 

 

сумма:

174

 

177

 


Сумма рангов группы №1.


Сумма рангов группы №2.


Общая сумма рангов.


Расчет Uэмп


Значения Uкр, при n1 = 11; n2 = 15

Uкр = 50 (p  0.05)кр = 37 (p  0.01)


Гипотеза H1 принимается, уровень агрессивности в группе №1 ниже уровня агрессивности в группе №2.

Вывод

В ходе анализа полученных результатов обнаружились выраженные корреляционные связи между уровнем социометрических статусов в группе, выявленных с помощью методики «Диагностика межличностных и межгрупповых отношений» («Социометрия») Дж. Морено и интегральными показателями выраженности агрессии, выявленных методикой «Диагностикой склонности к агрессии (BPAQ-24)» А. Басс, М. Перри.

Исследования показали, что уровень социометрических статусов в группе № 1 превышает уровень социометрических статусов в группе № 2. Это говорит о том, что в группе № 1 большее количество членов группы имеет более высокий социометрический статус, что в свою очередь означает, что в данной группе большее количество людей представляет друг для друга значимую ценность и влияние друг на друга, в большей степени положительное. Это так же подтверждает индекс психологической взаимности («сплоченности группы»), который больше чем в группе №2.

Так же исследования показали, что уровень агрессивности, по интегральным показателям, в группе № 1 намного ниже, чем группе №2. Это говорит о том, что члены группы №1 менее агрессивны друг к другу, чем в группе №2.

Итак, наша гипотеза подтвердилась, общая агрессивность в группе, находится в прямой зависимости от уровня социометрических статусов в группе. Чем выше уровень социометрических статусов в группе, тем больше положительных взаимосвязей и влияний друг на друга, тем меньше проявление агрессивности в данной группе.

Заключение

Данная работа отражает многие аспекты возникновения и проявления агрессии.

В данной работе были рассмотрены психологические особенности проявления агрессивного поведения человека. В частности, глубокому анализу были подвергнуты различные определения агрессии, такие как агрессия как поведение, агрессия как намерение, агрессия как причинение ущерба. Так же освещаются многие теории возникновения агрессии: агрессия как инстинктивное поведение - теория З. Фрейда, теория фрустрационной агрессивности Дж. Долларда и Н. Миллера, теория посылов к агрессии Л. Берковица, теория социального научения А. Бандуры, когнитивные теории Д. Зильманна и Л. Берковица и др.

В работе подробно изучаются также причины, которые оказывают влияние на возникновение агрессии. Как мы выяснили таковыми являются: семейные взаимоотношения, отношения со сверстниками, информация, которая передается через систему массовой информации; внешние факторы, как, жара, шум, теснота; биологические факторы; социальные и индивидуальные факторы.

Агрессия играет важную роль в жизни человека, сопровождая его в течение жизни. Каждый день мы встречаемся с неблагоприятными ситуациями, в которых нам нужно определиться, как себя весть, либо проявит свою агрессию, либо нет. Вступать в конфликтные взаимоотношения или ликвидировать конфликт еще на самом начальном этапе. Именно по этим причинам человеку нужно больше знать о содержании этого понятия.

Существует много различных методов исследования агрессии, по которым можно судить о поведении, которое присуще человеку в различных критических ситуациях, провоцирующих агрессию.

Человек должен иметь представление об этих методах и применять их, чтобы узнать свой уровень агрессии, что в свою очередь может побудить человека задуматься о своем поведении и при необходимости изменить его в лучшую сторону.

Корреляционный анализ результатов тестов «Диагностика межличностных и межгрупповых отношений» («Социометрия») Дж. Морено и «Диагностикой склонности к агрессии (BPAQ-24)» А. Басс, М. Перри., показали, что общая агрессивность в группе, находится в прямой зависимости от уровня социометрических статусов в группе. Чем выше уровень социометрических статусов в группе, тем больше положительных взаимосвязей и влияний друг на друга, тем меньше проявление агрессивности в данной группе.

Чем люди лучше взаимодействуют друг с другом, лучше ладят и доверяют, тем меньше выражена их агрессивность в межличностном контакте в данной группе.

Список используемой литературы

1.   К. Лоренц Агрессия / М., "Прогресс", 1994

2.      Эрих Фромм “Анатомия человеческой деструктивности”, М., Республ., 1994.

.        Бэрон Р., Ричардсон Д. Агрессия. - СПб: Питер, 2001

4.   Берковиц Л. Агрессия. Причины, последствия и контроль. Спб.-М., 2001.

5.   Х. Хекхаузен Агрессия. // ​Мотивация и деятельность. М., 1986

6.      Словарь практического психолога. - Минск, «Харвест», 1997.

.        З. Фрейд, «Я и Оно», Издательство "ФОЛИО" Харьков, 2003 г.

.        А. Бандура, «Принципы модификации поведения», СОФИЯ, 1999г.

9.   Немов Р.С., Алтунина И.Р. Социальная психология: краткий курс. - СПб.: Питер, 2009

10.    Немов Р.С. Психология. В 3-х кн. Кн. 1: Общие основы психологии: учеб. для студ. высш. пед. учеб. заведений. - 5-е изд. - М.: Гуманитар. изд. Центр ВЛАДОС, 2007.

.        Методы математической обработки в психологии, Сидоренко Е.А.,»Прогресс», 2003г.

.        Немов Р.С. Психология. В 3-х кн. Кн. 3: Психодиагностика. Введение в научное психологическое исследование с элементами математической статистики: учеб. для студ. высш. пед. учеб. заведений. - 4-е изд. - М.: Гуманитар. изд. Центр ВЛАДОС, 2008.

.        Современный психологический словарь / Сост. И общ. ред. Б.Г. Мещеряков, В.П Зинченко, - СПб.: Прайм-ЕВРОЗНАК, 2007.

.        Райгородский Д.Я. Практическая психодиагностика. Методики и тесты. Учебное пособие. - Самара: Издательский Дом «БАРАХ-М», 2009.

.        Рубинштейн С.Л. Основы общей психологии. - СПб.: Питер, 2007.

.        Краткий психологический словарь / Под общей ред. А. В. Петровского и М. Г. Ярошевского; ред.-составитель Л. А. Карпенко.- 2-е изд., расширенное, испр. и доп.- Ростов-на-Дону: «ФЕНИКС», 1998.

17. Бурлачук Л.Ф., Морозов С.М. Словарь - справочник по психодиагностике. - СПб.: Питер Ком, 1999г.

18.    Д.Я. Райгородский, «Практическая психодиагностика. Методики и тесты. Учебное пособие.», БараХ-М, 2008г.

19. Реан А.А. Психология человека от рождения до смерти. Серия "Психологическая энциклопедия". Санкт-Петербург: Прайм-ЕВРОЗНАК, 2002,

.    Рубинштейн С.Л. Основы общей психологии. В 2 т. - М.: Педагогика, 1989,

21.    Селихов С. Пол, возраст и конфликт//"Журнал практического психолога", №2, февраль 1999.

.        Энциклопедия психологических тестов. Личность, мотивация, потребность -М.:АСТ,1997.

Похожие работы на - Исследование проблемы механизмов агрессивного поведения человека в современной психологии

 

Не нашли материал для своей работы?
Поможем написать уникальную работу
Без плагиата!
Без нейросетей!