Изучение экономичности проекта
КУРСОВАЯ
РАБОТА
по
дисциплине: «Управление инвестициями и проектами»
на тему: «Изучение
экономичности проекта»
Содержание
1. Теоретическая часть, резерв времени, сетевые модели,
мультипроекты
1.1 Определение резервов времени
.2 Упорядочение сетевых моделей
.3 Мультипроекты
. Практическая часть, исследование точки безубыточности
.1 Финансовый план предприятия
.2 Исследование поведения точки безубыточности при изменениях
постоянных расходов
.3 Исследование поведения точки безубыточности при изменениях
переменных расходов
Заключение
Список литературы
Приложение1
Приложение2
Приложение3
1.
Теоретическая часть, резерв времени, сетевые модели, мультипроекты
.1
Определение резервов времени
Для формирования календарных планов используется несколько методов,
различающихся требованиями к объему исходной информации и возможностями
оптимизации отдельных параметров плана и проекта в целом. В основе практически
всех методов планирования лежит применение таких базовых понятий, как: работа,
событие (дата), связи предшествования, продолжительность.
Как уже отмечалось, работа применительно к календарному плану
означает некоторую деятельность, необходимую для достижения конкретных
результатов. Последнее требует времени и определенных ресурсов, которых может
не оказаться в наличии, что повлечет за собой нарушение графика, отсрочив
начало выполнения других работ. Следовательно, работа есть определенная
деятельность, требующая известного времени и ресурсов.
Событие (дата, веха) отличает завершение тех или иных работ и
достижение результатов, включая промежуточные, которые могут быть получены в
процессе реализации проекта. Последовательность событий или дат образует
календарный план.
Большинство связей в проекте относится к типу «конец - начало», т. е.
последующие работы могут начаться только после завершения предшествующих работ.
Связи предшествования образуют структуру сети, которая определяет
последовательность выполнения.
В тех случаях, когда не требуется завершить предшествующую работу до
начала последующей, используется связь «начало - начало», т. е. работы могут
выполняться одновременно.
Для моделирования параллельных работ применяют связь «конец - конец». При
этом окончание последующей работы соотносится с окончанием предшествующей.
Если требуется задержать окончание одной работы до начала другой,
последующей работы, применяется связь «начало - конец». Например, такая связь
может быть использована, когда необходимо увязать сроки поставки
технологического оборудования с необходимыми для его установки подготовительными
работами, которые надо «растянуть».
Современные технологии позволяют осуществлять многие виды работ не
последовательно, а параллельно, отменяя необходимость соблюдать определенную
очередность работ.
Для составления календарных планов в настоящее время используется
несколько способов и прежде всего - составление перечня работ с указанием дат
их начала и окончания (сроков выполнения), оформляемого в виде таблиц,
формуляров (бланков). Табличный способ, дающий представление о видах, порядке и
сроках выполнения работ, несмотря на ряд недостатков, широко применяется на
практике.
Более
наглядно календарный план можно представить в виде линейных диаграмм, или
графиков Ганта (названных по имени Генри Ганта, который впервые
использовал их). На рис <#"522939.files/image001.gif">
Рис
1.1 Линейный график выполнения работ или график Ганта (цифра над отрезками
отображающими продолжительность работ, обозначает число рабочих.)
Графики
Ганта дополняет более совершенная система сетевого планирования и управления
(СПУ), в основе которой лежит собственно сеть, представляющая собой
ориентированный граф, и ряд характеристик (время, стоимость, ресурсы и др.),
относящихся к отдельным работам и(или) к комплексу в целом. Для расчета и
анализа сетевого графика используется набор сетевых процедур, известных под
названием метода критического пути. Сетевые модели могут быть ориентированы на
события и работы.
Различают
временные, стоимостные, ресурсные и некоторые другие характеристики работ.
Стоимость
работы зависит от длительности и условий ее выполнения (сменности, технологий1
и др.).
Продолжительность
работы, как правило связанная с объемом работы и скоростью ее
выполнения, может быть как определенной (детерминированной), так и случайной
величиной, задаваемой законом ее
распределения
(или плотностью распределения).
Существует
два типа работ - с фиксированной продолжительностью и с фиксированным
объемом.
Расчет
календарного плана по СПУ осуществляется в такой последовательности:
определяется
состав всего комплекса работ, их взаимосвязи и очередность выполнения;
составляются
первичные и частные сетевые графики, затем «сшиваемые» в сводные;
на
основе принятого метода оценок определяется время выполнения каждой работы;
рассчитываются
параметры сетевых графиков, самые ранние и поздние сроки начала и окончания
работ, продолжительность критического пути, резервы времени событий и работ;
оцениваются
все типы ресурсов и потребная сумма ассигнований, распределяемые по этапам
работ;
производятся
анализ и оптимизация сетевого графика;
разрабатываются
мероприятия по сокращению критического пути;
составляется
окончательный вариант сетевого графика и с его помощью организуется управление
ходом разработки всего комплекса работ, предусматриваемых инвестиционным
проектом.
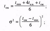
При
определении продолжительности отдельных работ за основу расчетов принимается
средняя ожидаемая продолжительность каждой работы tож и ее
среднеквадратическое отклонение. Для нахождения tож
используют три вида оценок времени: минимальную tmin -
минимально возможное время выполнения данной работы при благоприятных
обстоятельствах, максимальную tmax - максимальное время
выполнения данной работы при крайне неудачном стечении обстоятельств; наиболее
вероятную tн.в - возможное время выполнения
данной работы при наиболее часто встречающихся условиях ее выполнения. При
наличии трех оценок используют следующие формулы:
при наличии двух оценок:
Или
(1.5)
Наименьшее значение среднеквадратического отклонения от среднего значения
указывает на минимальную ожидаемую продолжительность выполнения работ,
наибольшее - на максимальную. Полученные значения средней продолжительности
работ заносят в специальную таблицу, по данным которой затем строят сеть.
Расчет параметров сетевого графика, т. е. ранних и поздних сроков начала
и окончания работ, продолжительности критического пути, резервов времени
событий и работ, как правило, выполняется аналитическим, графическим или
табличным методами.
Алгоритм расчета выглядит следующим образом. Ранние сроки начала и
окончания работ определяются для каждой работы последовательно слева направо.
Начало одной работы может зависеть от окончания другой. Существует самый
ранний срок, когда работа может быть начата, - срок раннего начала.
Раннее начало работ, выходящих из исходного события, равно нулю; раннее начало
последующей работы равно раннему окончанию предшествующей:
(1.6)
По сути, раннее окончание работы равно раннему ее началу плюс
продолжительность самой работы, т. е. срок раннего начала выполнения работы в
сумме с ее оценочной продолжительностью составляют время раннего окончания (самую
раннюю дату), в которые она может быть завершена:
(1.7)
Если данной работе предшествует несколько работ, то раннее начало равно
максимальному значению всех ранних окончаний предшествующих работ.
Работа может зависеть от завершения какого-то элемента, поэтому
существует самый поздний срок, когда работа может быть закончена и это не
приведет к задержке выполнения всего проекта. Этот срок и есть позднее
окончание работы. Вычисляется он как время позднего начала плюс
оценочная (т. е. с учетом отклонения) продолжительность, т. е.
(1.8)
Максимальное значение раннего окончания одной из работ, входящих в
завершающее событие, определяет одновременно ее позднее окончание, т.е.
продолжительность критического пути, равную сумме всех работ этого пути:
(1.9)
Позднее начало любой работы равно разности ее позднего окончания и
продолжительности самой работы
(1.10)
Если за данной работой следует не одна, а несколько работ, то ее позднее
окончание будет равно минимальному значению всех поздних начал последующих
работ:
(1.11)
Любая непрерывная технологическая последовательность работ от исходного
до завершающего события называется путем сетевого графика. Путей на
графике обычно несколько, длина каждого из них определяется суммой
продолжительностей лежащих на нем работ. Путь, началом которого является
исходное событие, а окончанием - завершающее, носит название полного пути, Путь,
соединяющий какие-либо два события, из которых ни одно не является исходным или
завершающим, называют путем между событиями. Полный путь, имеющий наибольшую
продолжительность, именуют критическим.
Критический путь определяет общую продолжительность выполнения комплекса
работ (срок наступления завершающего события, завершения проекта) и
используется для ее оптимизации. Чтобы сократить сроки наступления завершающего
события, необходимо сократить сроки выполнения не всех отдельных работ, а
только тех, которые лежат на критическом пути. Сокращение или увеличение в
определенных пределах сроков выполнения работ, не лежащих на критическом пути,
может не изменить срока наступления завершающего события. Это объясняется тем,
что такие работы имеют резерв времени, определяемый разностью продолжительности
критического пути и пути менее напряженного, на котором они лежат.
Ненапряженные пути, которые не влияют на изменение сроков окончания
работ, с точки зрения использования ресурсов могут рассматриваться как резерв.
Работы, находящиеся на критическом пути, как правило, выделяют, что дает
возможность менеджером наглядно представить ту последовательность работ,
которая определяет сроки выполнения всего их комплекса.
Работы, лежащие на критическом пути, имеют равные сроки раннего и позднего
начала и окончания. Такие работы называют критическими.
При расчете параметров сетевого графика определяют полный резерв времени пути,
полный (общий) и частичный резерв времени отдельных работ и событий.
Полный резерв времени пути определяется разностью
продолжительности критического и любого другого пути. Эта разность показывает
время, на которое может быть увеличена продолжительность выполнения работ,
лежащих на данном пути, без изменения срока выполнения всего комплекса
(проекта).
Общий резерв времени работы определяется разностью ее позднего и
раннего начала или окончания:
(1.12)
Частный (свободный) резерв времени работы - это минимальное
количество времени, на которое можно перенести начало работы или увеличить
продолжительность ее выполнения без изменения раннего начала последующей работы
при условии, что предшествующее событие наступило в срок. Частный резерв
времени является независимым резервом данной работы, так как его использование
не меняет величины частных резервов остальных работ сетевого графика. Для
работ, лежащих на критическом пути, частный резерв времени всегда равен нулю.
Среднеарифметическая продолжительность путей графика рассчитывается
по формуле
(1.13)
где ti - длина i-го пути сетевого графика (i = 1, 2,
3,..., п).
Необходимо отметить, что формирование сетевой модели и разработка
структуры связей между отдельными работами или комплексами достаточно непростая
задача, особенно для крупных проектов. Поэтому зачастую менеджеры проводят
заседания по сетевому планированию, чтобы определить не только взаимосвязи
между работами и их последовательностью, но и позиции сторон, участвующих в
проекте. Особое внимание уделяется определению последовательных и параллельных
работ и ограничениям, которые накладываются на параллельные работы.
1.2
Упорядочение сетевых моделей
Сетевые графики составляются на начальном этапе планирования. Вначале
планируемый процесс разбивается на отдельные работы, составляется перечень
работ и событий, продумываются их логические связи и последовательность
выполнения, работы закрепляются за ответственными исполнителями. С их помощью и
с помощью нормативов, если таковые существуют, оценивается продолжительность
каждой работы. Затем составляется (сшивается) сетевой график. После
упорядочения сетевого графика рассчитываются параметры событий и работ,
определяются резервы времени и критический путь. Наконец, проводятся анализ и
оптимизация сетевого графика, который при необходимости вычерчивается заново с
пересчётом параметров событий и работ.
При построении сетевого графика необходимо соблюдать ряд правил.
В сетевой модели не должно быть «тупиковых» событий, то есть событий, из
которых не выходит ни одна работа, за исключением завершающего события. Здесь
либо работа не нужна и её необходимо аннулировать, либо не замечена
необходимость определённой работы, следующей за событием для свершения
какого-либо последующего события. В таких случаях необходимо тщательное изучение
взаимосвязей событий и работ для исправления возникшего недоразумения.
В сетевом графике не должно быть «хвостовых» событий (кроме исходного),
которым не предшествует хотя бы одна работа. Обнаружив в сети такие события,
необходимо определить исполнителей предшествующих им работ и включить эти
работы в сеть.
В сети не должно быть замкнутых контуров и петель, то есть путей,
соединяющих некоторые события с ними же самими. При возникновении контура (а в
сложных сетях, то есть в сетях с высоким показателем сложности, это встречается
довольно часто и обнаруживается лишь при помощи ЭВМ) необходимо вернуться к
исходным данным и путём пересмотра состава работ добиться его устранения.
Любые два события должны быть непосредственно связаны не более чем одной
работой-стрелкой. Нарушение этого условия происходит при изображении
параллельно выполняемых работ. Если эти работы так и оставить, то произойдёт
путаница из-за того, что две различные работы будут иметь одно и то же
обозначение. Однако содержание этих работ, состав привлекаемых исполнителей и
количество затрачиваемых на работы ресурсов могут существенно отличаться.
В этом случае рекомендуется ввести фиктивное событие и фиктивную работу,
при этом одна из параллельных работ замыкается на это фиктивное событие. Фиктивные
работы изображаются на графике пунктирными линиями.
В сети рекомендуется иметь одно исходное и одно завершающее событие. Если
в составленной сети это не так, то добиться желаемого можно путём введения
фиктивных событий и работ.
Рисунок 1.2 Примеры введения фиктивных событий
Фиктивные работы и события необходимо вводить в ряде других случаев. Один
из них - отражение зависимости событий, не связанных с реальными работами.
Например, работы А и Б (рисунок 1, а) могут выполняться независимо друг от
друга, но по условиям производства работа Б не может начаться раньше, чем
окончится работа А. Это обстоятельство требует введения фиктивной работы С.
Другой случай - неполная зависимость работ. Например работа С требует для
своего начала завершения работ А и Б, на работа Д связана только с работой Б, а
от работы А не зависит. Тогда требуется введение фиктивной работы Ф и
фиктивного события 3’, как показано на рисунке 1, б.
Кроме того, фиктивные работы могут вводиться для отражения реальных
отсрочек и ожидания. В отличие от предыдущих случаев здесь фиктивная работа
характеризуется протяжённостью во времени.
Если сеть имеет одну конечную цель, то программа называется одноцелевой.
Сетевой график, имеющий несколько завершающих событий, называется многоцелевым
и расчет ведется относительно каждой конечной цели. Примером может быть
строительство жилого микрорайона, где ввод каждого дома является конечным
результатом, и в графике по возведению каждого дома определяется свой критический
путь.
Предположим, что при составлении некоторого проекта выделено 12 событий:
0, 1, 2, 3, 4, 5, 6, 7, 8, 9, 10, 11 и 24 связывающие их работы: (0, 1), (0,
2), (0, 3), (1, 2), (1, 4), (1, 5), (2, 3), (2, 5), (2, 7), (3, 6), (3, 7), (3,
10), (4, 8), (5, 8), (5, 7), (6, 10), (7, 6), (7, 8), (7, 9), (7, 10), (8, 9),
(9, 11), (10, 9), (10, 11). Составили исходный сетевой график 2.1.
Упорядочение сетевого графика заключается в таком расположении событий и
работ, при котором для любой работы предшествующее ей событие расположено левее
и имеет меньший номер по сравнению с завершающим эту работу событием. Другими
словами, в упорядоченном сетевом графике все работы-стрелки направлены слева
направо: от событий с меньшими номерами к событиям с большими номерами.
Разобьём исходный сетевой график на несколько вертикальных слоёв (обводим
их пунктирными линиями и обозначаем римскими цифрами).
Поместив в I слое начальное
событие 0, мысленно вычеркнем из графика это событие и все выходящие из него
работы-стрелки. Тогда без входящих стрелок останется событие 1, образующее II слой. Вычеркнув мысленно событие 1 и
все выходящие из него работы, увидим, что без входящих стрелок остаются события
4 и 2, которые образуют III
слой. Продолжая этот процесс, получим сетевой график 1.3.
Сетевой график 1.3. Неупорядоченный сетевой график
Сетевой график 1.4 Упорядочение сетевого графика с помощью
слоёв
Теперь видим, что первоначальная нумерация событий не совсем правильная:
так, событие 6 лежит в VI
слое и имеет номер, меньший, чем событие 7 из предыдущего слоя. То же можно
сказать о событиях 9 и 10.
Сетевой график 1.5 Упорядоченный сетевой график
Изменим нумерацию событий в соответствии с их расположением на графике и
получим упорядоченный сетевой график 1.4. Следует заметить, что нумерация
событий, расположенных в одном вертикальном слое, принципиального значения не
имеет, так что нумерация одного и того же сетевого графика может быть
неоднозначной.
Одно из важнейших понятий сетевого графика - понятие пути. Путь - любая
последовательность работ, в которой конечное событие каждой работы совпадает с
начальным событием следующей за ней работы. Среди различных путей сетевого
графика наибольший интерес представляет полный путь - любой путь,
начало которого совпадает с исходным событием сети, а конец - с завершающим.
Наиболее продолжительный полный путь в сетевом графике называется
критическим. Критическими называются также работы и события, находящиеся на
этом пути.
На сетевом графике 1.6 критический путь проходит через работы (1;2),
(2;5), (5;6), (6;8) и равен 16. Это означает, что все работы будут закончены за
16 единиц времени. Критический путь имеет особое значение в системе СПУ, так
как работы этого пути определят общий цикл завершения всего комплекса работ,
планируемых при помощи сетевого графика. Зная дату начала работ и
продолжительность критического пути, можно установить дату окончания всей
программы. Любое увеличение продолжительности работ, находящихся на критическом
пути, задержит выполнение программы.
Сетевой график 1.6. Критический путь
На
стадии управления и контроля над ходом выполнения программы основное внимание
уделяется работам, находящимся на критическом пути или в силу отставания
попавшим на критический путь. Для сокращения продолжительности проекта
необходимо в первую очередь сокращать продолжительность работ, лежащих на
критическом пути.
1.3
Мультипроекты
Известно, что подход к ведению бизнеса через проектное управление находит
все большее число активных последователей на российском рынке. Проектный подход
позволяет эффективно достигать поставленные цели, в том числе стратегические,
прогнозировать работы, сроки, бюджет, потребности в ресурсах для достижения
цели, при этом обеспечивает прозрачность состояния проекта и степени достижения
цели для заинтересованных сторон на протяжении всего проекта.
Обычно, после осознания топ-менеджментом вышеперечисленных преимуществ,
организация переходит к активным действиям и инициирует процесс внедрения
методологий проектного управления и соответствующих информационных систем
управления. Целью такого проекта внедрения чаще всего является "внедрение
процессов управления отдельно взятым проектом", но не "совокупностью
проектов", поскольку во-первых, уровень зрелости организации на данном
этапе не позволяет сформулировать более сложную модель "корпоративного
управления проектами" применимую к данной организации, во-вторых, имеется
обоснованное предположение, что до тех пор, пока в организации не научились
управлять отдельно взятым проектом, говорить о проблемах управления
совокупностью проектов рано.
Прежде всего необходимо обозначить ряд понятий, используемых в теории
проектного управления и определяющих совокупность проектов - это мультипроект,
портфель и программа.
§ Мультипроект - совокупность проектов, объединенных общими ресурсами.
Проекты в мультипроекте могут быть не взаимозависимы и не связаны
непосредственно друг с другом.
§ Портфель - совокупность программ и/или проектов и других работ,
сгруппированных для обеспечения наиболее эффективного управления ими для
достижения стратегических бизнес-целей. Проекты в портфеле могут быть не
взаимозависимы и не связаны непосредственно друг с другом.
§ Программа - совокупность взаимосвязанных проектов, управляемых
скоординировано для обеспечения дополнительных выгод по сравнению с независимым
управлением каждым из этих проектов в отдельности.
И портфель и программу, если они реализуются в рамках общих ресурсов,
можно рассматривать как мультипроект.
Рано или поздно перед проектно-ориентированной организацией встает
проблема управления всей совокупностью открытых и планируемых проектов, в
первую очередь задача распределения ограниченных ресурсов будь то человеческих
или материальных между проектами. Под распределением ресурса понимается
определение периодов и времени (процента) доступности ресурса и его выделение в
данные периоды для выполнения задач, на которые ресурс назначен.
Вот некоторые основные проблемы, которые необходимо решать при управлении
ресурсами в мультипроектной среде:
Реализация проектов в соответствии с планом.
Возможность оценки доступности ресурсов на момент инициализации проекта.
Руководители должны определить текущие периоды и процент доступности ресурсов и
выделить ресурс на проект.
Учет постоянно изменяющейся среды, в т.ч. пула проектов и операционных
задач, их приоритетов, отклонений выполнения работ от планов и т.п.
Существование различных требований по критичности целей проектов по
срокам, бюджету, качеству. К разным проектам необходимо применять разные
подходы по выделению ресурсов.
Чаще всего подобные проблемы возникают в организациях с матричной
структурой, в условиях конкуренции проектов за общие ресурсы, однако от
возникновения подобных проблем не застрахованы и другие организационные
структуры. Последние исследования подтверждают тот факт, что одним из основных
барьеров для успешной реализации проектов является "неадекватное выделение
внутренних ресурсов".
Выбор той или иной модели управления ресурсами в организации зависит от
многих факторов, в частности от специфики деятельности организации, форм
взаимоотношения с клиентами, приоритетностью параметров проектов (сроки, цена,
качество) и т.п. В настоящее время говорить о некой универсальной модели
управления ресурсами, применимой для любого, или по крайней мере большинства
мультипроектов нельзя - в каждом случае необходим индивидуальный подход к
выбору такой модели. Тем не менее можно выделить некие базовые модели управления
ресурсами.
Модель 1. Пассивная
Это пожалуй самая простая модель управления ресурсами. В такой модели
ресурсы планируются независимо для каждого проекта, однако при этом могут
учитываться некоторые формализованные или неформализованные правила выделения
ресурсов для избегания возможных конфликтов использования ресурсов. В случае
возникновения конфликта в процессе выполнения проектов таковые решаются на
уровне менеджеров проектов и/или линейных руководителей с возможностью
эскалации на лиц принимающих решения. Роль высших руководителя в такой модели -
контролировать состояние портфеля проектов, в частности отклонения по срокам
из-за конфликтов ресурсов, и вносить соответствующие корректирующие воздействия
по необходимости.
Такая модель является достаточно простой с процедурной точки зрения,
однако она обладает одним явным и серьезным недостатком - высока вероятность
отклонения сроков завершения проектов портфеля, что для большинства
организаций, работающих по контрактной схеме, является неприемлемым ограничением.
Модель 2. Сбалансированная
При определенной доработке модели 1, т.е. с введением системы приоритетов
проектов портфеля по срочности и дополнительного контроля за
сбалансированностью портфеля в процессе планирования и реализации, можно
довести модель до зрелого и отвечающего целям и требованиям организации уровня.
Реализация такой модели, в отличие от пассивной, предполагает использование
специализированного ПО для корпоративного управления проектами, например Microsoft Enterprise Project Management, в частности для консолидации
проектов и контроля сбалансированности портфеля. Кроме того такая модель
предполагает создание центра ответственности за управление ресурсами, т.е.
некоторой формы проектного офиса.
Модель 3. Фиксированная
Данная модель наиболее близка организациям с проектной орг. структурой. В
такой модели ресурсы полностью или в некотором процентном значении передаются в
исключительное управление Менеджеру проекта, например, Иванов 100%, Петров 50%,
Трактор "Беларусь" - 15% с 1 по 30 июня. Исходя из доступности
ресурсов, Менеджер проекта осуществляет планирование своих проектов и имеет
право и возможность использовать ресурсы в рамках выделенной доступности. Такая
модель достаточно стабильная и в большинстве случаев обеспечивает соблюдение
сроков выполнения проектов, однако имеет и свои недостатки, в частности ресурсы
не всегда используются эффективно - могут иметься периоды простоя, кроме того,
такая модель недостаточно гибкая по отношению к внешним и внутренним рискам.
Приведенные выше модели являться базовыми, т.е. наиболее часто
применяемый на практике. Модели могут быть модифицированы и адаптированы к
конкретным организационным структурам.
2.
Практическая часть, исследование точки безубыточности
.1
Финансовый план предприятия
Компания «ТУРНЕ ТРЭВЭЛ» представляет на рассмотрение проект создания
филиала туристического агентства с открытием одного офиса продаж в г.
Калининграде.
Общий первоначальный объем финансирования, необходимый
для реализации данного проекта, оценивается в 300000 руб. Объем финансирования
зависит от схемы реализации проекта, выбора конкретного местоположения офиса
продаж и т.д.
Туристическая фирма ООО "ТУРНЕ ТРЭВЭЛ" была
создана в февраль 2007 г. в форме общества с ограниченной ответственностью. Она
является турагентством на российском туристическом рынке и занимается
предоставлением туристских услуг, организацией бизнес - поездок и посещения
международных отраслевых выставок, а так же реализует тур- путевки в курортные
города дальнего зарубежья Европы, Азии и Африки. Также фирма оказывает
дополнительные тур - услуги, такие как бронирование гостиниц в 10 странах мира,
бронирование авиабилетов, железнодорожных билетов, билетов на спортивные и
культурно-зрелищные мероприятия, визовая поддержка, трансфер, организация
деловых поездок (выставки, ярмарки, конгрессы), экскурсий.
Предполагаются следующие направления деятельности фирмы: отправка
туристов за рубеж. На начальном этапе бизнеса турфирмы необходимо
сконцентрироваться на отправке туристов по авиотурам и автобусным турам. В
дальнейшим после захвата доли местного рынка можно расширять поле деятельности.
Фирма является туристическим агентом, и может: покупать у определённого
туроператора определённый тур в некотором количестве и продавать его клиенту,
то есть быть посредником между клиентом и туроператором. За свои услуги
агентство будет брать комиссию в размере 10 % от проданного тура. После продажи
тура и перечисления агентством прибыли на счёт туроператора, последним
выплачивается комиссия на расчётный счёт агентства.
· Так как открываемый офис является филам существующего
агентства то необходимость в заключение нового агентского договора отпадает,
можно воспользоваться уже существующем.
Предполагаемый объем продаж по аналогии с результатами деятельности
основных конкурентов в течение первого года работы на рынке туризма составит:
Таблица 2.1
|
Продукт/Вариант
|
Ед. изм.
|
3.2010
|
4.2010
|
5.2010
|
6.2010
|
7.2010
|
8.2010
|
9.2010
|
10.2010
|
11.2010
|
12.2010
|
1.2011
|
2.2011
|
|
Авиатуры
|
шт
|
50,00
|
50,00
|
20,00
|
40,00
|
70,00
|
70,00
|
60,00
|
50,00
|
30,00
|
40,00
|
30,00
|
50,00
|
|
Автобусные туры
|
шт
|
10,00
|
12,00
|
5,00
|
10,00
|
15,00
|
15,00
|
13,00
|
10,00
|
8,00
|
7,00
|
7,00
|
10,00
|
Учтен фактор
влияния сезонности: рост объема продаж в летний период, в осенние месяцы
увеличение числа конференций и других мероприятий и большой объем продаж на
новогодние праздники и рождество.
Производственной план.
Первоначальные вложения (затраты
предпроизводственного периода) составят:
· регистрация - 5000 руб.
· аренда (за 1 мес.; 20 кв.м.) - 14000
руб.
· установка средств связи (тел.,
Интернет) - 11400 руб.
· Ремонт в арендуем помещении - 100000
руб.
· Закупка офисной техники - 100000 руб.
· Закупка офисной мебели - 70000 руб.
Итого: 300400 руб.
В представленном бизнес-плане планируются следующие издержки:
Таблица 2.2
Общие
издержки
|
Название
|
Сумма (руб.)
|
Сумма ($ US)
|
Платежи
|
|
Управление
|
|
|
|
|
Оплата за телефонную и
интернет связь
|
2 830,00
|
|
Ежемесячно, весь проект
|
|
Охрана помещения
|
2 000,00
|
|
Ежемесячно, весь проект
|
|
Производство
|
|
|
|
|
Регистрация
|
5 000,00
|
|
Ежемесячно, весь проект
|
|
Аренда помещения
|
14 000,00
|
|
Ежемесячно, весь проект
|
|
Ремонт помещения
|
100 000,00
|
|
Разовый платеж 01.03.2010
|
|
Закуп техники
|
100 000,00
|
|
Разовый платеж 01.03.2010
|
|
Мебель
|
70 000,00
|
|
Разовый платеж 01.03.2010
|
|
Концилярия
|
3 000,00
|
|
Ежемесячно, весь проект
|
|
Покупка телефонных номеров
|
11 400,00
|
|
Ежемесячно, весь проект
|
|
Маркетинг
|
|
|
|
|
Реклама
|
310 000,00
|
|
По сложной схеме
|
Таблица 2.3
Издержки на
выплату заработной платы
|
Должность
|
Кол-во
|
Зарплата (руб.)
|
Зарплата ($ US)
|
Платежи
|
|
Управление
|
|
|
|
|
|
Директор филиала
|
1
|
30 000,00
|
|
Ежемесячно, весь проект
|
|
Менеджер по продажам
|
1
|
6 000,00
|
|
Ежемесячно, весь проект
|
|
Менеджер по продажам
|
1
|
6 000,00
|
|
Ежемесячно, весь проект
|
|
Главный бухгалтер
|
1
|
25 000,00
|
|
Ежемесячно, весь проект
|
|
Тех. работник
|
1
|
5 000,00
|
|
Ежемесячно, весь проект
|
|
Курьер
|
1
|
15 000,00
|
|
Ежемесячно, весь проект
|
Всего : 6 чел.
000,00 руб.
Также планируется выплачивать
Менджерам по продажам с каждой продаже процент а именно 300,00 руб с продаж
авиатуров и 120,00 руб с продаж автотурв.
Продажи планируется начать со 1ого месяца существования компании.
Туроператоры производят расчеты с нашим турагентством в месяце, в котором были
произведены продажи.
Средняя расчетная цена авиатура = 60000 рублей.
Средняя расчетная цена автотура = 28000 рублей.
a. План по прибыли
Таблица 2.4
Прибыли-убытки
(руб.)
|
Строка
|
3.2010
|
4.2010
|
5.2010
|
6.2010
|
7.2010
|
8.2010
|
9.2010
|
10.2010
|
11.2010
|
12.2010
|
1.2011
|
2.2011
|
|
Валовый объем продаж
|
2 779 661,02
|
2 827 118,64
|
1 135 593,22
|
2 271 186,44
|
3 915 254,24
|
3 915 254,24
|
3 359 322,03
|
2 779 661,02
|
1 715 254,24
|
2 200 000,00
|
1 691 525,42
|
2 779 661,02
|
|
Чистый объем продаж
|
2 779 661,02
|
2 827 118,64
|
1 135 593,22
|
2 271 186,44
|
3 915 254,24
|
3 915 254,24
|
3 359 322,03
|
2 779 661,02
|
1 715 254,24
|
2 200 000,00
|
1 691 525,42
|
2 779 661,02
|
|
Материалы и комплектующие
|
2 418 305,08
|
2 459 593,22
|
987 966,10
|
3 406 271,19
|
3 406 271,19
|
2 922 610,17
|
2 418 305,08
|
1 492 271,19
|
1 914 000,00
|
1 471 627,12
|
2 418 305,08
|
|
Сдельная зарплата
|
20 412,00
|
20 714,40
|
8 316,00
|
16 632,00
|
28 728,00
|
28 728,00
|
24 645,60
|
20 412,00
|
12 549,60
|
16 178,40
|
12 398,40
|
20 412,00
|
|
Суммарные прямые издержки
|
2 438 717,08
|
2 480 307,62
|
996 282,10
|
1 992 564,20
|
3 434 999,19
|
3 434 999,19
|
2 947 255,77
|
2 438 717,08
|
1 504 820,79
|
1 930 178,40
|
1 484 025,52
|
2 438 717,08
|
|
Валовая прибыль
|
340 943,93
|
346 811,02
|
139 311,12
|
278 622,24
|
480 255,05
|
480 255,05
|
412 066,26
|
340 943,93
|
210 433,45
|
269 821,60
|
207 499,91
|
340 943,93
|
|
Административные издержки
|
4 093,22
|
4 093,22
|
4 093,22
|
4 093,22
|
4 093,22
|
4 093,22
|
4 093,22
|
4 093,22
|
4 093,22
|
4 093,22
|
4 093,22
|
4 093,22
|
|
Производственные издержки
|
257 118,64
|
28 305,08
|
28 305,08
|
28 305,08
|
28 305,08
|
28 305,08
|
28 305,08
|
28 305,08
|
28 305,08
|
28 305,08
|
28 305,08
|
28 305,08
|
|
Маркетинговые издержки
|
21 186,44
|
12 711,86
|
21 186,44
|
21 186,44
|
21 186,44
|
12 711,86
|
8 474,58
|
21 186,44
|
42 372,88
|
21 186,44
|
16 949,15
|
42 372,88
|
|
Зарплата административного
персонала
|
109 620,00
|
109 620,00
|
109 620,00
|
109 620,00
|
109 620,00
|
109 620,00
|
109 620,00
|
109 620,00
|
109 620,00
|
109 620,00
|
109 620,00
|
109 620,00
|
|
Суммарные постоянные
издержки
|
392 018,31
|
154 730,17
|
163 204,75
|
163 204,75
|
163 204,75
|
154 730,17
|
150 492,88
|
163 204,75
|
184 391,19
|
163 204,75
|
158 967,46
|
184 391,19
|
|
Прибыль до выплаты налога
|
-51 074,37
|
192 080,85
|
-23 893,63
|
115 417,49
|
317 050,31
|
325 524,88
|
261 573,38
|
177 739,19
|
26 042,26
|
106 616,85
|
48 532,45
|
156 552,75
|
|
Налогооблагаемая прибыль
|
|
141 006,48
|
|
91 523,86
|
317 050,31
|
325 524,88
|
261 573,38
|
177 739,19
|
26 042,26
|
106 616,85
|
48 532,45
|
156 552,75
|
|
Налог на прибыль
|
|
33 841,56
|
|
21 965,73
|
76 092,07
|
78 125,97
|
62 777,61
|
42 657,40
|
6 250,14
|
25 588,05
|
11 647,79
|
37 572,66
|
|
Чистая прибыль
|
-51 074,37
|
158 239,30
|
-23 893,63
|
93 451,76
|
240 958,23
|
247 398,91
|
198 795,77
|
135 081,78
|
19 792,12
|
81 028,81
|
36 884,66
|
118 980,09
|
Таблица 2.5
Кэш-фло
(руб.)
|
Строка
|
3.2010
|
4.2010
|
5.2010
|
6.2010
|
7.2010
|
8.2010
|
9.2010
|
10.2010
|
11.2010
|
12.2010
|
1.2011
|
2.2011
|
|
Поступления от продаж
|
3 280 000,00
|
3 336 000,00
|
1 340 000,00
|
2 680 000,00
|
4 620 000,00
|
4 620 000,00
|
3 964 000,00
|
3 280 000,00
|
2 024 000,00
|
2 596 000,00
|
1 996 000,00
|
3 280 000,00
|
|
Затраты на материалы и
комплектующие
|
2 853 600,00
|
2 902 320,00
|
1 165 800,00
|
2 331 600,00
|
4 019 400,00
|
4 019 400,00
|
3 448 680,00
|
2 853 600,00
|
1 760 880,00
|
2 258 520,00
|
1 736 520,00
|
2 853 600,00
|
|
Затраты на сдельную
заработную плату
|
16 200,00
|
16 440,00
|
6 600,00
|
13 200,00
|
22 800,00
|
22 800,00
|
19 560,00
|
16 200,00
|
9 960,00
|
12 840,00
|
9 840,00
|
16 200,00
|
|
Суммарные прямые издержки
|
2 869 800,00
|
2 918 760,00
|
1 172 400,00
|
2 344 800,00
|
4 042 200,00
|
4 042 200,00
|
3 468 240,00
|
2 869 800,00
|
1 770 840,00
|
2 271 360,00
|
1 746 360,00
|
2 869 800,00
|
|
Общие издержки
|
333 230,00
|
53 230,00
|
63 230,00
|
63 230,00
|
63 230,00
|
53 230,00
|
48 230,00
|
63 230,00
|
88 230,00
|
63 230,00
|
58 230,00
|
88 230,00
|
|
Затраты на персонал
|
87 000,00
|
87 000,00
|
87 000,00
|
87 000,00
|
87 000,00
|
87 000,00
|
87 000,00
|
87 000,00
|
87 000,00
|
87 000,00
|
87 000,00
|
87 000,00
|
|
Суммарные постоянные
издержки
|
420 230,00
|
140 230,00
|
150 230,00
|
150 230,00
|
150 230,00
|
140 230,00
|
135 230,00
|
150 230,00
|
175 230,00
|
150 230,00
|
145 230,00
|
175 230,00
|
|
Налоги
|
26 832,00
|
41 106,77
|
116 212,30
|
42 979,63
|
94 014,24
|
186 611,77
|
189 328,69
|
160 860,63
|
123 265,82
|
58 886,68
|
92 601,19
|
69 178,94
|
|
Кэш-фло от операционной
деятельности
|
-36 862,00
|
235 903,23
|
-98 842,30
|
141 990,37
|
333 555,76
|
250 958,23
|
171 201,31
|
99 109,37
|
-45 335,82
|
115 523,32
|
11 808,81
|
165 791,06
|
|
Баланс наличности на
начало периода
|
|
-36 862,00
|
199 041,23
|
100 198,93
|
242 189,30
|
575 745,06
|
826 703,29
|
997 904,60
|
1 097 013,98
|
1 051 678,16
|
1 167 201,48
|
1 179 010,29
|
|
Баланс наличности на конец
периода
|
-36 862,00
|
199 041,23
|
100 198,93
|
242 189,30
|
575 745,06
|
826 703,29
|
997 904,60
|
1 097 013,98
|
1 051 678,16
|
1 167 201,48
|
1 179 010,29
|
1 344 801,35
|
Расчет точки безубыточности для июля месяца. К данному времени филиал
должен выйти на стабильно существования и к тому же в Июле месяце
прогнозируется максимальные продажи. Промежуточная таблица для построения
графика приведена в приложении 1.
|
Исходные данные
|
|
|
|
|
|
FC
|
150230,00
|
Постоянные затраты (fixed
cost)
|
|
|
AVC
|
54300,00
|
Переменные затраты на 1
продукции (average variable cost)
|
|
MR
|
60000,00
|
Цена, доход на 1 продукции
(marginal revenue)
|
|
Qmin
|
0
|
Количество продукции
(штук), нижняя граница
|
|
Qmax
|
70
|
Количество продукции
(штук), верхняя граница
|
|
|
|
|
|
|
|
Рис 2.1 График затрат и доходов для июля месяца
(Прогнозируемый)
Точка безубыточности равна 27 единицам.
2.2
Исследование точки поведения точки безубыточности при изменениях постоянных
расходов
Примем для условности 2 варианта. В первом случае будем считать что
постоянные расходы уменьшились на 10% а во втором соответственно увеличились на
10%. Таблицы промежуточных данных приведена в приложении 2.
Постоянные расходы на 10% меньше:
|
Исходные данные
|
|
|
|
|
|
FC
|
135207,00
|
Постоянные затраты (fixed
cost)
|
|
|
AVC
|
Переменные затраты на 1
продукции (average variable cost)
|
|
MR
|
60000,00
|
Цена, доход на 1 продукции
(marginal revenue)
|
|
Qmin
|
0
|
Количество продукции
(штук), нижняя граница
|
|
Qmax
|
70
|
Количество продукции
(штук), верхняя граница
|
Рис 2.2 График затрат и доходов для июля месяца (Постоянные
расходы снижены на 10%)
Точка безубыточности равна 24 единицам
2 Постоянные расходы на 10% больше:
|
Исходные данные
|
|
|
|
|
FC
|
165253,00
|
Постоянные затраты (fixed
cost)
|
|
AVC
|
54300,00
|
Переменные затраты на 1
продукции (average variable cost)
|
|
MR
|
60000,00
|
Цена, доход на 1 продукции
(marginal revenue)
|
|
Qmin
|
0
|
Количество продукции (штук),
нижняя граница
|
|
Qmax
|
70
|
Количество продукции
(штук), верхняя граница
|
резерв модель безубыточность расход
Рис 2.3 График затрат и доходов для июля месяца (Постоянные
расходы увеличены на 10%)
Точка безубыточности равна 29 единицам.
Как видно из графиков при изменение постоянных расходов точка
безубыточности смещается не значительно. Можно даже сказать линейно.
Следовательно к изменение постоянных расходов стоит подходить достаточно
осторожно и в большей степени учитывать как эти изменения повлияю на качество
производства имидж предприятия и психологическую погоду внутри коллектива. Так
как изменения этих расходов в большей степени могут затронуть именно эти
факторы.
2.3
Исследование точки поведения точки безубыточности при изменениях переменных
расходов
Примем для условности 2 варианта. В первом случае будем считать что
переменные затраты уменьшились на 10% а во втором соответственно увеличились на
10%. Таблицы промежуточных данных приведена в приложении 3.
При увеличении переменных затрат на
10%
|
Исходные данные
|
|
|
|
|
|
FC
|
150230,00
|
Постоянные затраты (fixed
cost)
|
|
|
AVC
|
59730,00
|
Переменные затраты на 1
продукции (average variable cost)
|
|
MR
|
60000,00
|
Цена, доход на 1 продукции
(marginal revenue)
|
|
Qmin
|
0
|
Количество продукции
(штук), нижняя граница
|
|
Qmax
|
70
|
Количество продукции
(штук), верхняя граница
|
Рис 2.4 График затрат и доходов для июля месяца (Переменный
затраты увеличены на 10%)
Точка безубыточности равна 556 единицам.
2 При уменьшении переменных затрат на
10%
|
Исходные данные
|
|
|
|
FC
|
150230,00
|
Постоянные затраты (fixed
cost)
|
|
AVC
|
48870,00
|
Переменные затраты на 1
продукции (average variable cost)
|
|
MR
|
60000,00
|
Цена, доход на 1 продукции
(marginal revenue)
|
|
Qmin
|
0
|
Количество продукции
(штук), нижняя граница
|
|
Qmax
|
70
|
Количество продукции
(штук), верхняя граница
|
Рис 2.5 График затрат и доходов для июля месяца (Переменный
затраты уменьшены на 10%)
Точка безубыточности равна 14 единицам.
Как видно в данном случае реакция на изменения переменных затрат очень
велика особенно в сторону увеличения. Соответственно в дном случае стоит всеми
силами стараться уменьшать переменные затраты на выпуск продукции или
переносить их в постоянные если это возможно.
Заключение
Заработать прибыль - значит продать продукции столько, чтобы покрыть все
затраты на ее производство и после этого иметь какой-то "остаток".
Планируя свою прибыль, задаются вопросами: "Сколько нужно продать, чтобы
получить хороший навар?" и "Сколько нужно продать, чтобы не
прогореть, чтобы свести концы с концами?". Все эти вопросы сходятся в
одной точке - в определении того объема продаж, ниже которого предприятие будет
терять деньги, выше которого - зарабатывать. Этот минимально допустимый объем
продаж, который покрывает все затраты на изготовление продукции, не принося при
этом ни прибыли, и убытков, получил название точка безубыточности.
Как только достигнута точка безубыточности, можно начинать считать, какую
прибыль заработает наше предприятие - свыше этой точки каждая дополнительно
проданная единица продукции приносит прибыль. Если же объем продаж не достигает
точки безубыточности, можно заняться только одним подсчетом: как долго еще
протянет наше предприятие до банкротства (законы экономики неумолимы -
убыточные предприятия нежизнеспособны).
Точка безубыточности определяется на основании данных об объемах
реализации продукции и затратах на ее изготовление. Обязательно условие
расчетов - разделение затрат на переменные и постоянные. Переменные затраты
изменяются пропорционально объемам выпуска продукции (сырье, материалы,
комплектующие, сдельная зарплата, технологическая энергия). Постоянные - не
зависят об объемов производства (это затраты на ремонт и содержание
оборудования и зданий, арендные и лизинговые платежи, затраты на отопление и
освещение, повременная зарплата).
Можно ли сказать, что критерий успешной работы компании - это низкая
точка безубыточности, а рост точки безубыточности говорит об ухудшении
положения нашей компании? Можно, но только при условии, что масштабы компании
не меняются (проще, если мы имеем неизменный объем продаж, не растем, не
расширяемся, не сокращаемся).
Рост объемов продаж (расширение, рост компании) неизбежно приводит к
росту постоянных затрат. Так, с увеличением объемов производства вырастут
затраты на ремонт и обслуживание оборудования. Расширение - это арендная плата
за новые помещения, привлечение дополнительного персонала (и оплата его труда,
разумеется), рост затрат на рекламу и продвижение своих товаров. Как только
размер компании увеличился (размер, измеряющийся объемами продаж), компания
выходит на новую, более высокую, точку безубыточности.
Список
использованной литературы
1. Балабанов
И.Т. Инновационный менеджмент: учебное пособие. ИД «Питер»,2001
. Богданов
В.В. Управление проектами в Microsoft Proyect: Учебный
курс.- СПб.:Питер, 2004
.
Инновационный менеджмент: Учебное пособие / Под ред. д.э.н., проф. Л.Н.
Оголевой - М.: ИНФРА - М, 2002.
. Ильенкова
С.Д., Гохберт Л.М., Ягудин С.Ю. Инновационный менеджмент: учебник для ВУЗов.-
М.: Банки и биржи , Изд-во «ЮНИТИ»,2002
. Иванов И.А.
Инновационный менеджмент: учебник для ВУЗов. - Ростов-на-Дону: ООО Издательство
«Баро-Пресс»,2001
6. Кондак,
А.В. Менеджмент учебник / А.В. Кондак. - М.: Университет, 2000.
. Кревинков,
Т.С. Менеджмент учебник / Т.С. Кревинков. - М.: Юнити, 2001.
8. Медынский
В.Г. Инновационный менеджмент: учебник для ВУЗов. - М.: Изд-во «ИНФРА-М»,2002
. «Менеджмент
в России и за рубежом»,№4-2002г., «Эффективное управление инновационным
проектом», Павлюк Ю.Н., Козлов А.А.
10.
Менеджмент и управление учебник / под. ред. А.Ф. Покрапивного. - М.: Юнити,
2004.
. Платонов,
С.Ф. Менеджмент учебник для вузов / С.Ф. Платонов. - Спб.: Феникс, 2002.
. Теория
менеджмента учеб. пособ. / под ред. С.М. Соловьёв. - М.: Правда, 2000.
Приложение 1
Таблица данных для графика 2.1
|
Кол-во
|
Постоянные затраты
|
Общие затраты
|
Доход
|
Маржинальный доход
|
Прибыль
|
|
Q
|
FC
|
TC
|
TR
|
TRm
|
TP
|
|
|
y
|
Y
|
Y
|
y
|
y
|
|
0
|
150230,00
|
150230,00
|
0,00
|
0,00
|
-150230,00
|
|
1
|
150230,00
|
204530,00
|
60000,00
|
5700,00
|
-144530,00
|
|
2
|
150230,00
|
258830,00
|
120000,00
|
11400,00
|
-138830,00
|
|
3
|
150230,00
|
313130,00
|
180000,00
|
17100,00
|
-133130,00
|
|
4
|
150230,00
|
367430,00
|
240000,00
|
22800,00
|
-127430,00
|
|
5
|
150230,00
|
421730,00
|
300000,00
|
28500,00
|
-121730,00
|
|
6
|
150230,00
|
476030,00
|
360000,00
|
34200,00
|
-116030,00
|
|
7
|
150230,00
|
530330,00
|
420000,00
|
39900,00
|
-110330,00
|
|
8
|
150230,00
|
584630,00
|
480000,00
|
45600,00
|
-104630,00
|
|
9
|
150230,00
|
638930,00
|
540000,00
|
51300,00
|
-98930,00
|
|
10
|
150230,00
|
693230,00
|
600000,00
|
57000,00
|
-93230,00
|
|
11
|
150230,00
|
747530,00
|
660000,00
|
62700,00
|
-87530,00
|
|
12
|
150230,00
|
801830,00
|
720000,00
|
68400,00
|
-81830,00
|
|
13
|
150230,00
|
856130,00
|
780000,00
|
74100,00
|
-76130,00
|
|
14
|
150230,00
|
910430,00
|
840000,00
|
79800,00
|
-70430,00
|
|
15
|
150230,00
|
964730,00
|
900000,00
|
85500,00
|
-64730,00
|
|
16
|
150230,00
|
1019030,00
|
960000,00
|
91200,00
|
-59030,00
|
|
17
|
150230,00
|
1073330,00
|
1020000,00
|
96900,00
|
-53330,00
|
|
18
|
150230,00
|
1127630,00
|
1080000,00
|
102600,00
|
-47630,00
|
|
19
|
150230,00
|
1181930,00
|
1140000,00
|
108300,00
|
-41930,00
|
|
20
|
150230,00
|
1236230,00
|
1200000,00
|
114000,00
|
-36230,00
|
|
21
|
150230,00
|
1290530,00
|
1260000,00
|
119700,00
|
-30530,00
|
|
22
|
150230,00
|
1344830,00
|
1320000,00
|
125400,00
|
-24830,00
|
|
23
|
150230,00
|
1399130,00
|
1380000,00
|
131100,00
|
-19130,00
|
|
24
|
150230,00
|
1453430,00
|
1440000,00
|
136800,00
|
-13430,00
|
|
25
|
150230,00
|
1507730,00
|
1500000,00
|
142500,00
|
-7730,00
|
|
26
|
150230,00
|
1562030,00
|
1560000,00
|
148200,00
|
-2030,00
|
|
27
|
150230,00
|
1616330,00
|
1620000,00
|
153900,00
|
3670,00
|
|
28
|
150230,00
|
1670630,00
|
1680000,00
|
159600,00
|
9370,00
|
|
29
|
150230,00
|
1724930,00
|
1740000,00
|
165300,00
|
15070,00
|
|
30
|
150230,00
|
1779230,00
|
1800000,00
|
171000,00
|
20770,00
|
|
31
|
150230,00
|
1833530,00
|
1860000,00
|
176700,00
|
26470,00
|
|
32
|
150230,00
|
1887830,00
|
1920000,00
|
182400,00
|
32170,00
|
|
33
|
150230,00
|
1942130,00
|
1980000,00
|
188100,00
|
37870,00
|
|
34
|
150230,00
|
1996430,00
|
2040000,00
|
193800,00
|
43570,00
|
|
35
|
150230,00
|
2050730,00
|
2100000,00
|
199500,00
|
49270,00
|
|
36
|
150230,00
|
2105030,00
|
2160000,00
|
205200,00
|
54970,00
|
|
37
|
150230,00
|
2159330,00
|
2220000,00
|
210900,00
|
60670,00
|
|
38
|
150230,00
|
2213630,00
|
2280000,00
|
216600,00
|
|
39
|
150230,00
|
2267930,00
|
2340000,00
|
222300,00
|
72070,00
|
|
40
|
150230,00
|
2322230,00
|
2400000,00
|
228000,00
|
77770,00
|
|
41
|
150230,00
|
2376530,00
|
2460000,00
|
233700,00
|
83470,00
|
|
42
|
150230,00
|
2430830,00
|
2520000,00
|
239400,00
|
89170,00
|
|
43
|
150230,00
|
2485130,00
|
2580000,00
|
245100,00
|
94870,00
|
|
44
|
150230,00
|
2539430,00
|
2640000,00
|
250800,00
|
100570,00
|
|
45
|
150230,00
|
2593730,00
|
2700000,00
|
256500,00
|
106270,00
|
|
46
|
150230,00
|
2648030,00
|
2760000,00
|
262200,00
|
111970,00
|
|
47
|
150230,00
|
2702330,00
|
2820000,00
|
267900,00
|
117670,00
|
|
48
|
150230,00
|
2756630,00
|
2880000,00
|
273600,00
|
123370,00
|
|
49
|
150230,00
|
2810930,00
|
2940000,00
|
279300,00
|
129070,00
|
|
50
|
150230,00
|
2865230,00
|
3000000,00
|
285000,00
|
134770,00
|
|
51
|
150230,00
|
2919530,00
|
3060000,00
|
290700,00
|
140470,00
|
|
52
|
150230,00
|
2973830,00
|
3120000,00
|
296400,00
|
146170,00
|
|
53
|
150230,00
|
3028130,00
|
3180000,00
|
302100,00
|
151870,00
|
|
54
|
150230,00
|
3082430,00
|
3240000,00
|
307800,00
|
157570,00
|
|
55
|
150230,00
|
3136730,00
|
3300000,00
|
313500,00
|
163270,00
|
|
56
|
150230,00
|
3191030,00
|
3360000,00
|
319200,00
|
168970,00
|
|
57
|
150230,00
|
3245330,00
|
3420000,00
|
324900,00
|
174670,00
|
|
58
|
150230,00
|
3299630,00
|
3480000,00
|
330600,00
|
180370,00
|
|
59
|
150230,00
|
3353930,00
|
3540000,00
|
336300,00
|
186070,00
|
|
60
|
150230,00
|
3408230,00
|
3600000,00
|
342000,00
|
191770,00
|
|
61
|
150230,00
|
3462530,00
|
3660000,00
|
347700,00
|
197470,00
|
|
62
|
150230,00
|
3516830,00
|
3720000,00
|
353400,00
|
203170,00
|
|
63
|
150230,00
|
3571130,00
|
3780000,00
|
359100,00
|
208870,00
|
|
64
|
150230,00
|
3625430,00
|
3840000,00
|
364800,00
|
214570,00
|
|
65
|
150230,00
|
3679730,00
|
3900000,00
|
370500,00
|
220270,00
|
|
66
|
150230,00
|
3734030,00
|
3960000,00
|
376200,00
|
225970,00
|
|
67
|
150230,00
|
3788330,00
|
4020000,00
|
381900,00
|
231670,00
|
|
68
|
150230,00
|
3842630,00
|
4080000,00
|
387600,00
|
237370,00
|
|
69
|
150230,00
|
3896930,00
|
4140000,00
|
393300,00
|
243070,00
|
|
70
|
150230,00
|
3951230,00
|
4200000,00
|
399000,00
|
248770,00
|
|
|
|
|
|
|
Приложении 2
Таблица данных для графика 2.2
|
Кол-во
|
Постоянные затраты
|
Общие затраты
|
Доход
|
Маржинальный доход
|
Прибыль
|
|
Q
|
FC
|
TC
|
TR
|
TRm
|
TP
|
|
|
y
|
Y
|
Y
|
y
|
y
|
|
0
|
135207,00
|
135207,00
|
0,00
|
0,00
|
-135207,00
|
|
1
|
135207,00
|
189507,00
|
60000,00
|
5700,00
|
-129507,00
|
|
2
|
135207,00
|
243807,00
|
120000,00
|
11400,00
|
-123807,00
|
|
3
|
135207,00
|
298107,00
|
180000,00
|
17100,00
|
-118107,00
|
|
4
|
135207,00
|
352407,00
|
240000,00
|
22800,00
|
-112407,00
|
|
5
|
135207,00
|
406707,00
|
300000,00
|
28500,00
|
-106707,00
|
|
6
|
135207,00
|
461007,00
|
360000,00
|
34200,00
|
-101007,00
|
|
7
|
135207,00
|
515307,00
|
420000,00
|
39900,00
|
-95307,00
|
|
8
|
135207,00
|
569607,00
|
480000,00
|
45600,00
|
-89607,00
|
|
9
|
135207,00
|
623907,00
|
540000,00
|
51300,00
|
-83907,00
|
|
10
|
135207,00
|
678207,00
|
600000,00
|
57000,00
|
-78207,00
|
|
11
|
135207,00
|
732507,00
|
660000,00
|
62700,00
|
-72507,00
|
|
12
|
135207,00
|
786807,00
|
720000,00
|
68400,00
|
-66807,00
|
|
13
|
135207,00
|
841107,00
|
780000,00
|
74100,00
|
-61107,00
|
|
14
|
135207,00
|
895407,00
|
840000,00
|
79800,00
|
-55407,00
|
|
15
|
135207,00
|
949707,00
|
900000,00
|
85500,00
|
-49707,00
|
|
16
|
135207,00
|
1004007,00
|
960000,00
|
91200,00
|
-44007,00
|
|
17
|
135207,00
|
1058307,00
|
1020000,00
|
96900,00
|
-38307,00
|
|
18
|
135207,00
|
1112607,00
|
1080000,00
|
102600,00
|
-32607,00
|
|
19
|
135207,00
|
1166907,00
|
1140000,00
|
108300,00
|
-26907,00
|
|
20
|
135207,00
|
1221207,00
|
1200000,00
|
114000,00
|
-21207,00
|
|
21
|
135207,00
|
1275507,00
|
1260000,00
|
119700,00
|
-15507,00
|
|
22
|
135207,00
|
1329807,00
|
1320000,00
|
125400,00
|
-9807,00
|
135207,00
|
1384107,00
|
1380000,00
|
131100,00
|
-4107,00
|
|
24
|
135207,00
|
1438407,00
|
1440000,00
|
136800,00
|
1593,00
|
|
25
|
135207,00
|
1492707,00
|
1500000,00
|
142500,00
|
7293,00
|
|
26
|
135207,00
|
1547007,00
|
1560000,00
|
148200,00
|
12993,00
|
|
27
|
135207,00
|
1601307,00
|
1620000,00
|
153900,00
|
18693,00
|
|
28
|
135207,00
|
1655607,00
|
1680000,00
|
159600,00
|
24393,00
|
|
29
|
135207,00
|
1709907,00
|
1740000,00
|
165300,00
|
30093,00
|
|
30
|
135207,00
|
1764207,00
|
1800000,00
|
171000,00
|
35793,00
|
|
31
|
135207,00
|
1818507,00
|
1860000,00
|
176700,00
|
41493,00
|
|
32
|
135207,00
|
1872807,00
|
1920000,00
|
182400,00
|
47193,00
|
|
33
|
135207,00
|
1927107,00
|
1980000,00
|
188100,00
|
52893,00
|
|
34
|
135207,00
|
1981407,00
|
2040000,00
|
193800,00
|
58593,00
|
|
35
|
135207,00
|
2035707,00
|
2100000,00
|
199500,00
|
64293,00
|
|
36
|
135207,00
|
2090007,00
|
2160000,00
|
205200,00
|
69993,00
|
|
37
|
135207,00
|
2144307,00
|
2220000,00
|
210900,00
|
75693,00
|
|
38
|
135207,00
|
2198607,00
|
2280000,00
|
216600,00
|
81393,00
|
|
39
|
135207,00
|
2252907,00
|
2340000,00
|
222300,00
|
87093,00
|
|
40
|
135207,00
|
2307207,00
|
2400000,00
|
228000,00
|
92793,00
|
|
41
|
135207,00
|
2361507,00
|
2460000,00
|
233700,00
|
98493,00
|
|
42
|
135207,00
|
2415807,00
|
2520000,00
|
239400,00
|
104193,00
|
|
43
|
135207,00
|
2470107,00
|
2580000,00
|
245100,00
|
109893,00
|
|
44
|
135207,00
|
2524407,00
|
2640000,00
|
250800,00
|
115593,00
|
|
45
|
135207,00
|
2578707,00
|
2700000,00
|
256500,00
|
121293,00
|
|
46
|
135207,00
|
2633007,00
|
2760000,00
|
262200,00
|
126993,00
|
|
47
|
135207,00
|
2687307,00
|
2820000,00
|
267900,00
|
132693,00
|
|
48
|
135207,00
|
2741607,00
|
2880000,00
|
273600,00
|
138393,00
|
|
49
|
135207,00
|
2795907,00
|
2940000,00
|
279300,00
|
144093,00
|
|
50
|
135207,00
|
2850207,00
|
3000000,00
|
285000,00
|
149793,00
|
|
51
|
135207,00
|
2904507,00
|
3060000,00
|
290700,00
|
155493,00
|
|
52
|
135207,00
|
2958807,00
|
3120000,00
|
296400,00
|
161193,00
|
|
53
|
135207,00
|
3013107,00
|
3180000,00
|
302100,00
|
166893,00
|
|
54
|
135207,00
|
3067407,00
|
3240000,00
|
307800,00
|
172593,00
|
|
55
|
135207,00
|
3121707,00
|
3300000,00
|
313500,00
|
178293,00
|
|
56
|
135207,00
|
3176007,00
|
3360000,00
|
319200,00
|
183993,00
|
|
57
|
135207,00
|
3230307,00
|
3420000,00
|
324900,00
|
189693,00
|
|
58
|
135207,00
|
3284607,00
|
3480000,00
|
330600,00
|
195393,00
|
|
59
|
135207,00
|
3338907,00
|
3540000,00
|
336300,00
|
201093,00
|
|
60
|
135207,00
|
3393207,00
|
3600000,00
|
342000,00
|
206793,00
|
|
61
|
135207,00
|
3447507,00
|
3660000,00
|
347700,00
|
212493,00
|
|
62
|
135207,00
|
3501807,00
|
3720000,00
|
353400,00
|
218193,00
|
|
63
|
135207,00
|
3556107,00
|
3780000,00
|
359100,00
|
223893,00
|
|
64
|
135207,00
|
3610407,00
|
3840000,00
|
364800,00
|
229593,00
|
|
65
|
135207,00
|
3664707,00
|
3900000,00
|
370500,00
|
235293,00
|
|
66
|
135207,00
|
3719007,00
|
3960000,00
|
376200,00
|
240993,00
|
|
67
|
135207,00
|
3773307,00
|
4020000,00
|
381900,00
|
246693,00
|
|
68
|
135207,00
|
3827607,00
|
4080000,00
|
387600,00
|
252393,00
|
|
69
|
135207,00
|
3881907,00
|
4140000,00
|
393300,00
|
258093,00
|
|
70
|
135207,00
|
3936207,00
|
4200000,00
|
399000,00
|
263793,00
|
Таблица данных для графика 2.3
|
Кол-во
|
Постоянные затраты
|
Общие затраты
|
Доход
|
Маржинальный доход
|
Прибыль
|
|
Q
|
FC
|
TC
|
TR
|
TRm
|
TP
|
|
|
y
|
Y
|
Y
|
y
|
y
|
|
0
|
165253,00
|
165253,00
|
0,00
|
0,00
|
-165253,00
|
|
1
|
165253,00
|
219553,00
|
60000,00
|
5700,00
|
-159553,00
|
|
2
|
165253,00
|
273853,00
|
120000,00
|
11400,00
|
-153853,00
|
|
3
|
165253,00
|
328153,00
|
180000,00
|
17100,00
|
-148153,00
|
|
4
|
165253,00
|
382453,00
|
240000,00
|
22800,00
|
-142453,00
|
|
5
|
165253,00
|
436753,00
|
300000,00
|
28500,00
|
-136753,00
|
|
6
|
165253,00
|
491053,00
|
360000,00
|
34200,00
|
-131053,00
|
|
7
|
165253,00
|
420000,00
|
39900,00
|
-125353,00
|
|
8
|
165253,00
|
599653,00
|
480000,00
|
45600,00
|
-119653,00
|
|
9
|
165253,00
|
653953,00
|
540000,00
|
51300,00
|
-113953,00
|
|
10
|
165253,00
|
708253,00
|
600000,00
|
57000,00
|
-108253,00
|
|
11
|
165253,00
|
762553,00
|
660000,00
|
62700,00
|
-102553,00
|
|
12
|
165253,00
|
816853,00
|
720000,00
|
68400,00
|
-96853,00
|
|
13
|
165253,00
|
871153,00
|
780000,00
|
74100,00
|
-91153,00
|
|
14
|
165253,00
|
925453,00
|
840000,00
|
79800,00
|
-85453,00
|
|
15
|
165253,00
|
979753,00
|
900000,00
|
85500,00
|
-79753,00
|
|
16
|
165253,00
|
1034053,00
|
960000,00
|
91200,00
|
-74053,00
|
|
17
|
165253,00
|
1088353,00
|
1020000,00
|
96900,00
|
-68353,00
|
|
18
|
165253,00
|
1142653,00
|
1080000,00
|
102600,00
|
-62653,00
|
|
19
|
165253,00
|
1196953,00
|
1140000,00
|
108300,00
|
-56953,00
|
|
20
|
165253,00
|
1251253,00
|
1200000,00
|
114000,00
|
-51253,00
|
|
21
|
165253,00
|
1305553,00
|
1260000,00
|
119700,00
|
-45553,00
|
|
22
|
165253,00
|
1359853,00
|
1320000,00
|
125400,00
|
-39853,00
|
|
23
|
165253,00
|
1414153,00
|
1380000,00
|
131100,00
|
-34153,00
|
|
24
|
165253,00
|
1468453,00
|
1440000,00
|
136800,00
|
-28453,00
|
|
25
|
165253,00
|
1522753,00
|
1500000,00
|
142500,00
|
-22753,00
|
|
26
|
165253,00
|
1577053,00
|
1560000,00
|
148200,00
|
-17053,00
|
|
27
|
165253,00
|
1631353,00
|
1620000,00
|
153900,00
|
-11353,00
|
|
28
|
165253,00
|
1685653,00
|
1680000,00
|
159600,00
|
-5653,00
|
|
29
|
165253,00
|
1739953,00
|
1740000,00
|
165300,00
|
47,00
|
|
30
|
165253,00
|
1794253,00
|
1800000,00
|
171000,00
|
5747,00
|
|
31
|
165253,00
|
1848553,00
|
1860000,00
|
176700,00
|
11447,00
|
|
32
|
165253,00
|
1902853,00
|
1920000,00
|
182400,00
|
17147,00
|
|
33
|
165253,00
|
1957153,00
|
1980000,00
|
188100,00
|
22847,00
|
|
34
|
165253,00
|
2011453,00
|
2040000,00
|
193800,00
|
28547,00
|
|
35
|
165253,00
|
2065753,00
|
2100000,00
|
199500,00
|
34247,00
|
|
36
|
165253,00
|
2120053,00
|
2160000,00
|
205200,00
|
39947,00
|
|
37
|
165253,00
|
2174353,00
|
2220000,00
|
210900,00
|
45647,00
|
|
38
|
165253,00
|
2228653,00
|
2280000,00
|
216600,00
|
51347,00
|
|
39
|
165253,00
|
2282953,00
|
2340000,00
|
222300,00
|
57047,00
|
|
40
|
165253,00
|
2337253,00
|
2400000,00
|
228000,00
|
62747,00
|
|
41
|
165253,00
|
2391553,00
|
2460000,00
|
233700,00
|
68447,00
|
|
42
|
165253,00
|
2445853,00
|
2520000,00
|
239400,00
|
74147,00
|
|
43
|
165253,00
|
2500153,00
|
2580000,00
|
245100,00
|
79847,00
|
|
44
|
165253,00
|
2554453,00
|
2640000,00
|
250800,00
|
85547,00
|
|
45
|
165253,00
|
2608753,00
|
2700000,00
|
256500,00
|
91247,00
|
|
46
|
165253,00
|
2663053,00
|
2760000,00
|
262200,00
|
96947,00
|
|
47
|
165253,00
|
2717353,00
|
2820000,00
|
267900,00
|
102647,00
|
|
48
|
165253,00
|
2771653,00
|
2880000,00
|
273600,00
|
108347,00
|
|
49
|
165253,00
|
2825953,00
|
2940000,00
|
279300,00
|
114047,00
|
|
50
|
165253,00
|
2880253,00
|
3000000,00
|
285000,00
|
119747,00
|
|
51
|
165253,00
|
2934553,00
|
3060000,00
|
290700,00
|
125447,00
|
|
52
|
165253,00
|
2988853,00
|
3120000,00
|
296400,00
|
131147,00
|
|
53
|
165253,00
|
3043153,00
|
3180000,00
|
302100,00
|
136847,00
|
|
54
|
165253,00
|
3097453,00
|
3240000,00
|
307800,00
|
142547,00
|
|
55
|
165253,00
|
3151753,00
|
3300000,00
|
313500,00
|
148247,00
|
|
56
|
165253,00
|
3206053,00
|
3360000,00
|
319200,00
|
153947,00
|
|
57
|
165253,00
|
3260353,00
|
3420000,00
|
324900,00
|
159647,00
|
|
58
|
165253,00
|
3314653,00
|
3480000,00
|
330600,00
|
165347,00
|
|
59
|
165253,00
|
3368953,00
|
3540000,00
|
336300,00
|
171047,00
|
|
60
|
165253,00
|
3423253,00
|
3600000,00
|
342000,00
|
176747,00
|
|
61
|
165253,00
|
3477553,00
|
3660000,00
|
347700,00
|
182447,00
|
|
62
|
165253,00
|
3531853,00
|
3720000,00
|
353400,00
|
188147,00
|
|
63
|
165253,00
|
3586153,00
|
3780000,00
|
359100,00
|
193847,00
|
|
64
|
165253,00
|
3640453,00
|
3840000,00
|
364800,00
|
199547,00
|
|
65
|
165253,00
|
3694753,00
|
3900000,00
|
370500,00
|
|
66
|
165253,00
|
3749053,00
|
3960000,00
|
376200,00
|
210947,00
|
|
67
|
165253,00
|
3803353,00
|
4020000,00
|
381900,00
|
216647,00
|
|
68
|
165253,00
|
3857653,00
|
4080000,00
|
387600,00
|
222347,00
|
|
69
|
165253,00
|
3911953,00
|
4140000,00
|
393300,00
|
228047,00
|
|
70
|
165253,00
|
3966253,00
|
4200000,00
|
399000,00
|
233747,00
|
Приложение 3
Таблица данных для графика 2.4
|
Кол-во
|
Постоянные затраты
|
Общие затраты
|
Доход
|
Маржинальный доход
|
Прибыль
|
|
Q
|
FC
|
TC
|
TR
|
TRm
|
TP
|
|
|
y
|
Y
|
Y
|
y
|
y
|
|
0
|
150230,00
|
150230,00
|
0,00
|
0,00
|
-150230,00
|
|
1
|
150230,00
|
209960,00
|
60000,00
|
270,00
|
-149960,00
|
|
2
|
150230,00
|
269690,00
|
120000,00
|
540,00
|
-149690,00
|
|
3
|
150230,00
|
329420,00
|
180000,00
|
810,00
|
-149420,00
|
|
4
|
150230,00
|
389150,00
|
240000,00
|
1080,00
|
-149150,00
|
|
5
|
150230,00
|
448880,00
|
300000,00
|
1350,00
|
-148880,00
|
|
6
|
150230,00
|
508610,00
|
360000,00
|
1620,00
|
-148610,00
|
|
7
|
150230,00
|
568340,00
|
420000,00
|
1890,00
|
-148340,00
|
|
8
|
150230,00
|
628070,00
|
480000,00
|
2160,00
|
-148070,00
|
|
9
|
150230,00
|
687800,00
|
540000,00
|
2430,00
|
-147800,00
|
|
10
|
150230,00
|
747530,00
|
600000,00
|
2700,00
|
-147530,00
|
|
11
|
150230,00
|
807260,00
|
660000,00
|
2970,00
|
-147260,00
|
|
12
|
150230,00
|
866990,00
|
720000,00
|
3240,00
|
-146990,00
|
|
13
|
150230,00
|
926720,00
|
780000,00
|
3510,00
|
-146720,00
|
|
14
|
150230,00
|
986450,00
|
840000,00
|
3780,00
|
-146450,00
|
|
15
|
150230,00
|
1046180,00
|
900000,00
|
4050,00
|
-146180,00
|
|
16
|
150230,00
|
1105910,00
|
960000,00
|
4320,00
|
-145910,00
|
|
17
|
150230,00
|
1165640,00
|
1020000,00
|
4590,00
|
-145640,00
|
|
18
|
150230,00
|
1225370,00
|
1080000,00
|
4860,00
|
-145370,00
|
|
19
|
150230,00
|
1285100,00
|
1140000,00
|
5130,00
|
-145100,00
|
|
20
|
150230,00
|
1344830,00
|
1200000,00
|
5400,00
|
-144830,00
|
|
21
|
150230,00
|
1404560,00
|
1260000,00
|
5670,00
|
-144560,00
|
|
22
|
150230,00
|
1464290,00
|
1320000,00
|
5940,00
|
-144290,00
|
|
23
|
150230,00
|
1524020,00
|
1380000,00
|
6210,00
|
-144020,00
|
|
24
|
150230,00
|
1583750,00
|
1440000,00
|
6480,00
|
-143750,00
|
|
25
|
150230,00
|
1643480,00
|
1500000,00
|
6750,00
|
-143480,00
|
|
26
|
150230,00
|
1703210,00
|
1560000,00
|
7020,00
|
-143210,00
|
|
27
|
150230,00
|
1762940,00
|
1620000,00
|
7290,00
|
-142940,00
|
|
28
|
150230,00
|
1822670,00
|
1680000,00
|
7560,00
|
-142670,00
|
|
29
|
150230,00
|
1882400,00
|
1740000,00
|
7830,00
|
-142400,00
|
|
30
|
150230,00
|
1942130,00
|
1800000,00
|
8100,00
|
-142130,00
|
|
31
|
150230,00
|
2001860,00
|
1860000,00
|
8370,00
|
-141860,00
|
|
32
|
150230,00
|
2061590,00
|
1920000,00
|
8640,00
|
-141590,00
|
|
33
|
150230,00
|
2121320,00
|
1980000,00
|
8910,00
|
-141320,00
|
|
34
|
150230,00
|
2181050,00
|
2040000,00
|
9180,00
|
-141050,00
|
|
35
|
150230,00
|
2240780,00
|
2100000,00
|
9450,00
|
-140780,00
|
|
36
|
150230,00
|
2300510,00
|
2160000,00
|
9720,00
|
-140510,00
|
|
37
|
150230,00
|
2360240,00
|
2220000,00
|
9990,00
|
-140240,00
|
|
38
|
150230,00
|
2419970,00
|
2280000,00
|
10260,00
|
-139970,00
|
|
39
|
150230,00
|
2479700,00
|
2340000,00
|
10530,00
|
-139700,00
|
|
40
|
150230,00
|
2539430,00
|
2400000,00
|
10800,00
|
-139430,00
|
|
41
|
150230,00
|
2599160,00
|
2460000,00
|
11070,00
|
-139160,00
|
|
42
|
150230,00
|
2658890,00
|
2520000,00
|
11340,00
|
-138890,00
|
|
43
|
150230,00
|
2718620,00
|
2580000,00
|
11610,00
|
-138620,00
|
|
44
|
150230,00
|
2778350,00
|
2640000,00
|
11880,00
|
-138350,00
|
|
45
|
150230,00
|
2838080,00
|
2700000,00
|
12150,00
|
-138080,00
|
|
46
|
150230,00
|
2897810,00
|
2760000,00
|
12420,00
|
-137810,00
|
|
47
|
150230,00
|
2957540,00
|
2820000,00
|
12690,00
|
-137540,00
|
|
48
|
150230,00
|
3017270,00
|
2880000,00
|
12960,00
|
-137270,00
|
|
49
|
150230,00
|
3077000,00
|
2940000,00
|
13230,00
|
-137000,00
|
150230,00
|
3136730,00
|
3000000,00
|
13500,00
|
-136730,00
|
|
51
|
150230,00
|
3196460,00
|
3060000,00
|
13770,00
|
-136460,00
|
|
52
|
150230,00
|
3256190,00
|
3120000,00
|
14040,00
|
-136190,00
|
|
53
|
150230,00
|
3315920,00
|
3180000,00
|
14310,00
|
-135920,00
|
|
54
|
150230,00
|
3375650,00
|
3240000,00
|
14580,00
|
-135650,00
|
|
55
|
150230,00
|
3435380,00
|
3300000,00
|
14850,00
|
-135380,00
|
|
56
|
150230,00
|
3495110,00
|
3360000,00
|
15120,00
|
-135110,00
|
|
57
|
150230,00
|
3554840,00
|
3420000,00
|
15390,00
|
-134840,00
|
|
58
|
150230,00
|
3614570,00
|
3480000,00
|
15660,00
|
-134570,00
|
|
59
|
150230,00
|
3674300,00
|
3540000,00
|
15930,00
|
-134300,00
|
|
60
|
150230,00
|
3734030,00
|
3600000,00
|
16200,00
|
-134030,00
|
|
61
|
150230,00
|
3793760,00
|
3660000,00
|
16470,00
|
-133760,00
|
|
62
|
150230,00
|
3853490,00
|
3720000,00
|
16740,00
|
-133490,00
|
|
63
|
150230,00
|
3913220,00
|
3780000,00
|
17010,00
|
-133220,00
|
|
64
|
150230,00
|
3972950,00
|
3840000,00
|
17280,00
|
-132950,00
|
|
65
|
150230,00
|
4032680,00
|
3900000,00
|
17550,00
|
-132680,00
|
|
66
|
150230,00
|
4092410,00
|
3960000,00
|
17820,00
|
-132410,00
|
|
67
|
150230,00
|
4152140,00
|
4020000,00
|
18090,00
|
-132140,00
|
|
68
|
150230,00
|
4211870,00
|
4080000,00
|
18360,00
|
-131870,00
|
|
69
|
150230,00
|
4271600,00
|
4140000,00
|
18630,00
|
-131600,00
|
|
70
|
150230,00
|
4331330,00
|
4200000,00
|
18900,00
|
-131330,00
|
Таблица данных для графика 2.5
|
Кол-во
|
Постоянные затраты
|
Общие затраты
|
Доход
|
Маржинальный доход
|
Прибыль
|
|
Q
|
FC
|
TC
|
TR
|
TRm
|
TP
|
|
|
y
|
Y
|
Y
|
y
|
y
|
|
0
|
150230,00
|
150230,00
|
0,00
|
0,00
|
-150230,00
|
|
1
|
150230,00
|
199100,00
|
60000,00
|
11130,00
|
-139100,00
|
|
2
|
150230,00
|
247970,00
|
120000,00
|
22260,00
|
-127970,00
|
|
3
|
150230,00
|
296840,00
|
180000,00
|
33390,00
|
-116840,00
|
|
4
|
150230,00
|
345710,00
|
240000,00
|
44520,00
|
-105710,00
|
|
5
|
150230,00
|
394580,00
|
300000,00
|
55650,00
|
-94580,00
|
|
6
|
150230,00
|
443450,00
|
360000,00
|
66780,00
|
-83450,00
|
|
7
|
150230,00
|
492320,00
|
420000,00
|
77910,00
|
-72320,00
|
|
8
|
150230,00
|
541190,00
|
480000,00
|
89040,00
|
-61190,00
|
|
9
|
150230,00
|
590060,00
|
540000,00
|
100170,00
|
-50060,00
|
|
10
|
150230,00
|
638930,00
|
600000,00
|
111300,00
|
-38930,00
|
|
11
|
150230,00
|
687800,00
|
660000,00
|
122430,00
|
-27800,00
|
|
12
|
150230,00
|
736670,00
|
720000,00
|
133560,00
|
-16670,00
|
|
13
|
150230,00
|
785540,00
|
780000,00
|
144690,00
|
-5540,00
|
|
14
|
150230,00
|
834410,00
|
840000,00
|
155820,00
|
5590,00
|
|
15
|
150230,00
|
883280,00
|
900000,00
|
166950,00
|
16720,00
|
|
16
|
150230,00
|
932150,00
|
960000,00
|
178080,00
|
27850,00
|
|
17
|
150230,00
|
981020,00
|
1020000,00
|
189210,00
|
38980,00
|
|
18
|
150230,00
|
1029890,00
|
1080000,00
|
200340,00
|
50110,00
|
|
19
|
150230,00
|
1078760,00
|
1140000,00
|
211470,00
|
61240,00
|
|
20
|
150230,00
|
1127630,00
|
1200000,00
|
222600,00
|
72370,00
|
|
21
|
150230,00
|
1176500,00
|
1260000,00
|
233730,00
|
83500,00
|
|
22
|
150230,00
|
1225370,00
|
1320000,00
|
244860,00
|
94630,00
|
|
23
|
150230,00
|
1274240,00
|
1380000,00
|
255990,00
|
105760,00
|
|
24
|
150230,00
|
1323110,00
|
1440000,00
|
267120,00
|
116890,00
|
|
25
|
150230,00
|
1371980,00
|
1500000,00
|
278250,00
|
128020,00
|
|
26
|
150230,00
|
1420850,00
|
1560000,00
|
289380,00
|
139150,00
|
|
27
|
150230,00
|
1469720,00
|
1620000,00
|
300510,00
|
150280,00
|
|
28
|
150230,00
|
1518590,00
|
1680000,00
|
311640,00
|
161410,00
|
|
29
|
150230,00
|
1567460,00
|
1740000,00
|
322770,00
|
172540,00
|
|
30
|
150230,00
|
1616330,00
|
1800000,00
|
333900,00
|
183670,00
|
|
31
|
150230,00
|
1665200,00
|
1860000,00
|
345030,00
|
194800,00
|
|
32
|
150230,00
|
1714070,00
|
1920000,00
|
356160,00
|
205930,00
|
|
33
|
150230,00
|
1762940,00
|
1980000,00
|
367290,00
|
217060,00
|
|
34
|
150230,00
|
2040000,00
|
378420,00
|
228190,00
|
|
35
|
150230,00
|
1860680,00
|
2100000,00
|
389550,00
|
239320,00
|
|
36
|
150230,00
|
1909550,00
|
2160000,00
|
400680,00
|
250450,00
|
|
37
|
150230,00
|
1958420,00
|
2220000,00
|
411810,00
|
261580,00
|
|
38
|
150230,00
|
2007290,00
|
2280000,00
|
422940,00
|
272710,00
|
|
39
|
150230,00
|
2056160,00
|
2340000,00
|
434070,00
|
283840,00
|
|
40
|
150230,00
|
2105030,00
|
2400000,00
|
445200,00
|
294970,00
|
|
41
|
150230,00
|
2153900,00
|
2460000,00
|
456330,00
|
306100,00
|
|
42
|
150230,00
|
2202770,00
|
2520000,00
|
467460,00
|
317230,00
|
|
43
|
150230,00
|
2251640,00
|
2580000,00
|
478590,00
|
328360,00
|
|
44
|
150230,00
|
2300510,00
|
2640000,00
|
489720,00
|
339490,00
|
|
45
|
150230,00
|
2349380,00
|
2700000,00
|
500850,00
|
350620,00
|
|
46
|
150230,00
|
2398250,00
|
2760000,00
|
511980,00
|
361750,00
|
|
47
|
150230,00
|
2447120,00
|
2820000,00
|
523110,00
|
372880,00
|
|
48
|
150230,00
|
2495990,00
|
2880000,00
|
534240,00
|
384010,00
|
|
49
|
150230,00
|
2544860,00
|
2940000,00
|
545370,00
|
395140,00
|
|
50
|
150230,00
|
2593730,00
|
3000000,00
|
556500,00
|
406270,00
|
|
51
|
150230,00
|
2642600,00
|
3060000,00
|
567630,00
|
417400,00
|
|
52
|
150230,00
|
2691470,00
|
3120000,00
|
578760,00
|
428530,00
|
|
53
|
150230,00
|
2740340,00
|
3180000,00
|
589890,00
|
439660,00
|
|
54
|
150230,00
|
2789210,00
|
3240000,00
|
601020,00
|
450790,00
|
|
55
|
150230,00
|
2838080,00
|
3300000,00
|
612150,00
|
461920,00
|
|
56
|
150230,00
|
2886950,00
|
3360000,00
|
623280,00
|
473050,00
|
|
57
|
150230,00
|
2935820,00
|
3420000,00
|
634410,00
|
484180,00
|
|
58
|
150230,00
|
2984690,00
|
3480000,00
|
645540,00
|
495310,00
|
|
59
|
150230,00
|
3033560,00
|
3540000,00
|
656670,00
|
506440,00
|
|
60
|
150230,00
|
3082430,00
|
3600000,00
|
667800,00
|
517570,00
|
|
61
|
150230,00
|
3131300,00
|
3660000,00
|
678930,00
|
528700,00
|
|
62
|
150230,00
|
3180170,00
|
3720000,00
|
690060,00
|
539830,00
|
|
63
|
150230,00
|
3229040,00
|
3780000,00
|
701190,00
|
550960,00
|
|
64
|
150230,00
|
3277910,00
|
3840000,00
|
712320,00
|
562090,00
|
|
65
|
150230,00
|
3326780,00
|
3900000,00
|
723450,00
|
573220,00
|
|
66
|
150230,00
|
3375650,00
|
3960000,00
|
734580,00
|
584350,00
|
|
67
|
150230,00
|
3424520,00
|
4020000,00
|
745710,00
|
595480,00
|
|
68
|
150230,00
|
3473390,00
|
4080000,00
|
756840,00
|
606610,00
|
|
69
|
150230,00
|
3522260,00
|
4140000,00
|
767970,00
|
617740,00
|
|
70
|
150230,00
|
3571130,00
|
4200000,00
|
779100,00
|
628870,00
|