Электрофизические свойства каталитических многослойных углеродных нанотруб
МИНИСТЕРСТВО
ОБРАЗОВАНИЯ И НАУКИ РОССИЙСКОЙ ФЕДЕРАЦИИ
Федеральное
агентство по образованию
ГОСУДАРСТВЕННОЕ
ОБРАЗОВАТЕЛЬНОЕ УЧРЕЖДЕНИЕ ВЫСШЕГО ПРОФЕССИОНАЛЬНОГО ОБРАЗОВАНИЯ
НОВОСИБИРСКИЙ ГОСУДАРСТВЕННЫЙ УНИВЕРСИТЕТ
физический
факультет
кафедра
физики низких температур
Квалификационная
работа на соискание степени бакалавра
Электрофизические свойства
каталитических многослойных углеродных нанотруб
Ткачев Евгений Николаевич
Научный руководитель:
д.ф.-м.н. А.И.Романенко
Новосибирск - 2011 год
Содержание
Введение
. Литературный обзор
.1 Графит
.2 Структура однослойных нанотруб
.3 Многослойные нанотрубы
. Теоретическая часть
.1 Квантовые поправки к проводимости невзаимодействующих
электронов
.2 Эффекты слабой локализации в присутствии магнитного поля
.3 Квантовые поправки к проводимости взаимодействующих
электронов
.4 Взаимодействие в куперовском канале в присутствии
магнитного поля
. Методика эксперимента
.1 Экспериментальные образцы
.2 Методика измерений
. Экспериментальные результаты и их обсуждение
.1 Температурные зависимости проводимости
.2 Магнетосопротивление
Заключение
Список литературы
Введение
В 1991г. впервые в саже, которая образуется в условиях дугового разряда с
графитовыми электродами, были обнаружены углеродные нанотрубки [1] -протяженные
цилиндрические структуры, диаметром от десятков до тысяч ангстрем и длиной
несколько микрон, состоящие из одного (однослойные) или нескольких
(многослойные) свернутых в трубку графеновых слоев и иногда заканчивающиеся
полусферической головкой, которая может рассматриваться как половина молекулы
фуллерена. В первые годы после открытия нанотрубки рассматривались как
продолговатые фуллерены. Но дальнейшие исследования показали, что класс
углеродных нанотрубок по разнообразию структур и физико-химических
характеристик значительно превосходит класс фуллеренов. Поэтому более правильно
было бы считать, что молекула фуллерена является частным случаем углеродной
нанотрубки, в которой две головки соединены непосредственно друг с другом.
Стоит отметить, что в отличие от фуллеренов, представляющих собой молекулярную
форму углерода, нанотрубки сочетают свойства молекул и твердого тела, и могут
рассматриваться как промежуточное состояние вещества (между молекулярным и
конденсированным). Наряду с интересными эмиссионными, капиллярными и
механическими свойствами таких объектов как нанотрубки, большой интерес для
исследования представляют явления переноса заряда в нанотрубках при низких
температурах, чему, в частности, и посвящена данная работа.
Известно, что во всех структурах на основе графита при увеличении
количества дефектов происходит увеличение количества носителей. Актуальным
является управление дефектами для получения нужных физико-химических свойств
нанотруб.
Целью данной работы являлось исследование электропроводности s(T) в интервале температур 4,2¸300 K и магнетосопротивления r(H) в интервале
полей до 10 кГс. Исследуемые образцы представляли собой порошок каталитических
многослойных углеродных нанотруб (MWNT), отдельные порошинки, в основном, состояли из нанотруб. Полученные
трубки содержали мало примеси фазы аморфного углерода в отличие от MWNT синтезированных ранее.
Дипломная работа состоит из четырех глав, заключения и списка цитируемой
литературы.
В первой главе собраны сведения о структурных параметрах и электронных
свойствах многослойных углеродных нанотруб и родственных структур -
кристаллического и квазидвумерного графита.
Во второй главе представлены основные теоретические аспекты квантовой
поправки к электропроводности. Представлены основные формулы, необходимые для
анализа экспериментальных данных.
Третья глава описывает методику эксперимента и образцы.
В четвертой главе приведены результаты исследования электрофизических
свойств каталитических многослойных углеродных нанотруб в интервале температур 4,2¸300 K. Представлены, полученные в эксперименте, температурные
зависимости электросопротивления и магнетосопротивления в интервале полей до 10
кГс. Здесь же содержится обсуждение полученных результатов.
В заключении приведены основные результаты данной работы.
1.
Литературный обзор
1.1 Графит
Для понимания электрофизических свойств многослойных углеродных нанотруб
рассмотрим вначале сведения о структурных параметрах и электронных свойствах
графита.
Атомы углерода в графите располагаются в параллельных слоях, расстояние
между которыми при комнатной температуре составляет d0 = 0,33538 нм
(рис. 1). В каждом плоском слое атомы углерода образуют сетку правильных
шестиугольников, расстояние между ближайшими узлами решетки составляет 0,1415
нм. Параметры гексагональной решетки графита равны a0 = 0,246 нм и c0
= 0,67 нм. В каждом последующем слое атомы смещены так, что часть из них
расположена под центрами шестиугольников, а часть под атомами вышележащего
слоя. При этом если слои пронумеровать, то атомы в слоях одной четности
располагаются друг под другом. Такая структура соответствует гексагональной
решетке с четырьмя атомами углерода в элементарной ячейке. На рис. 1 приведена
решетка графита с выделенной более толстыми линиями гексагональной ячейкой.
Взаимодействие атомов в графеновом слое можно охарактеризовать гибридными
у-связями. Межслоевое взаимодействие осуществляется посредством р-связей,
причем энергия связи атомов в слое на два порядка превышает энергию межслоевого
взаимодействия.
Для описания большинства электронных свойств графитов достаточно знать
энергетические уровни только р-электронов, так как три занятые и три незанятые
у-зоны разделены промежутком ~ 5 эВ, включающим в себя р-зоны и уровень Ферми.
Обоснованная зонная модель трехмерного гексагонального графита была разработана
Слончевским, Вейсом [2] и Макклюром [3]. Согласно их расчетам графит является
полуметаллом с перекрытием зон ~ 0,04 эВ, уровень Ферми которого EF = −0,025 эВ. Эффективные массы
электронов и дырок составляют me/m0 = 0,06 и mh/m0
= 0,44 соответственно, что говорит о преобладающем n-типе проводимости. Эта
модель неоднократно уточнялась и хорошо описывает многие свойства идеального
графита, включая квантовые осцилляции. Но для графитов с большим d0,
т.е. с нарушенным азимутальным упорядочением, она не применима. Структура с
нарушенным чередованием слоев называется турбостратной (рис. 2). Степень
беспорядка определяется параметром беспорядка, который входит в эмпирическую
формулу определения среднего расстояния между слоями:
d0 [нм] = 0,344 − 0,0086(1 − p) − 0,0064(1 −
p)p,
где p = 1 соответствует полный беспорядок, p = 0 - идеальный
(гексагональный) графит.
Обычно для графита с d0 ≥ 0,343 на рентгенограммах
отсутствуют линии трехмерно упорядоченного графита (hkl), хотя двумерные
графитовые слои в пачках могут быть достаточно совершенны (La~10
нм). Такой графит называют квазидвумерным (КДГ). Переход от квазидвумерной
структуры в гексагональную сопровождается уменьшением d0,
увеличением La и Lc, а также появлением (hkl) отражений.
Реально структура графитов состоит из плоских кристаллитов, относительный угол
разориентации которых менее 1 градуса (рис. 2). Такой структурой обладают все
синтезированные и большинство природных графитов, однако именно среди природных
графитов были найдены монокристаллы макроскопических размеров.
Зонные модели КДГ берут за основу модель двумерного графита (ДГ),
элементарная ячейка которого содержит два атома, а зона Бриллюэна сводится к
гексагону. Как показали расчеты [2, 4], для двумерного графита две р-зоны
вырождены по энергии в шести углах зоны Бриллюэна, этот результат является
следствием симметрии структуры слоя. В первом приближении энергия в окрестности
точки касания зон является линейной функцией волнового вектора [4]:
где a - параметр решетки, k = (kx2 + ky2)1/2 - длина волнового вектора, г0
- двумерный зонный параметр.
Для двумерного графита плотность состояний N(E) линейно зависит от
энергии для значений |E| ≤ 0,6 эВ:
Здесь
учтено двукратное вырождение по спину и зоне. При 0 K нижняя зона
полностью заполнена, а верхняя - пустая, т.е. поверхность Ферми в модели ДГ
вырождается в точку, а N(E) на уровне Ферми равна нулю. Энергетический спектр
двумерного графита определяется только параметром г0 ≈ 3 эВ.
Первая
физически обоснованная зонная модель для КДГ (d0 ≥ 0,343 нм)
была предложена Херингом и Уоллесом (т.н. модель X-Y) [5] и отличается от
модели двумерного графита лишь сдвигом уровня Ферми в валентную зону из-за
акцепторного влияния слоевых дефектов. Большинство других моделей,
рассмотренных в литературе, отличалось от упомянутых введением небольшого
перекрытия зон или, наоборот, щели между зонами. До сих пор не существует
единой модели, которая бы полностью описывала электрофизические свойства
неупорядоченного графита. Это связано с тем, что в зависимости от способа и
условий синтеза графита, получаются образцы с различным характерными размерами
La, Lc монокристаллической „пачки" (рис. 2), а также
различной структурой межгранульной контактной области, что вызывает сложности
теоретического описания.
Перейдем
к рассмотрению конкретных электрофизических свойств - температурной и
магнитополевой зависимостям сопротивления. Несмотря на то, что графит является
полуметаллом, как гексагональная, так и турбостратная его модификации
демонстрируют рост сопротивления с понижением температуры. Приведем простые
рассуждения, позволяющие качественно объяснить температурную зависимость
сопротивления в области температур 4,2 - 300 K. Концентрация
носителей n определяется формулой:
где
f(E) - функция распределения Ферми:
а
N(E) - плотность состояний. В большинстве металлов
энергия Ферми EF " kBT при
температурах T ~ 300 K и поэтому концентрация носителей на масштабе ~ kBT
является постоянной величиной. Для графита, который является полуметаллом (EF ~ kBT), картина иная. При комнатной температуре происходит
перенос электронов из валентной зоны в зону проводимости, в результате чего
концентрация носителей тока растет на масштабе ~ kBT (∆n/n
kBT/EF, где ∆n - изменение концентрации
носителей). Следовательно, по формуле (3) и формуле Друде
растет
проводимость и падает удельное электросопротивление. В формуле (5) m -
эффективная масса, ф - время релаксации по импульсу, e - заряд электрона. На
рис. 3 представлена полученная нами экспериментальная зависимость удельного
сопротивления от температуры для квазидвумерного графита. Видно, что в области
температур 0 - 300 K производная dс/dT имеет отрицательное значение.
Обсудим
магниторезистивный эффект в кристаллическом и квазидвумерном графите. В слабых
полях магнитная добавка к сопротивлению квадратична по полю, и для полуметаллов
имеет вид [6]:
где
µn и µp подвижности электронов и дырок соответственно.
Характерная экспериментальная зависимость
магнетосопротивления гексагонального графита высокой степени совершенства (La
= 1000 нм), полученная в нашей лаборатории, приведена на рис. 4 (T = 4,2 K). В
интервале полей 0-100 Гс виден квадратичный характер зависимости, однако в бóльших полях зависимость становится более линейной.
Однако
для квазидвумерных графитов с большим количеством дефектов зависимость с(B)
качественно другая. Поскольку в системе присутствует большое количество
дефектов, при низких температурах движение носителей носит диффузный характер.
При некоторых условиях, которые будут оговорены ниже, появляется положительный
вклад в электросопротивление, обусловленный квантовыми поправками. При
приложении магнитного поля вклад квантовых поправок уменьшается, что приводит к
добавлению отрицательного вклада в магнетосопротивление. Более подробно этот
эффект будет описан в главе 2. С другой стороны, наличие большого количества
дефектов приводит к уменьшению длины свободного пробега l и
времени релаксации импульса ф (а также подвижности). Уменьшение значения щcф
уменьшает положительное магнетосопротивление, где щc - ларморовская
частота. Результирующее магнетосопротивление для квазидвумерных графитов (рис.
5) имеет отрицательный знак и, согласно теории квантовых поправок
неупорядоченных металлических систем, квадратично по полю в слабых полях.
нанотруба электрон магнитный куперовский
1.2 Структура
однослойных нанотруб
Идеальная однослойная нанотрубка (SWNT) представляет собой свернутую в
цилиндр графитовую плоскость. Результат такой операции зависит от угла
ориентации графитовой плоскости относительно оси нанотруб. Угол ориентации, в
свою очередь, задает хиральность нанотрубки.
На рис. 6 изображены нанотрубки различной хиральности, показана часть
графитовой плоскости и приведены возможные направления ее сворачивания.
Идеализированная нанотрубка не образует швов и заканчивается полусферическими
вершинами. Хиральность нанотруб обозначается набором символов (m,n),
указывающих координаты шестиугольника, который в результате сворачивания
плоскости должен совпасть с шестиугольником, находящемся в начале координат.
Некоторые из таких шестиугольников вместе с соответствующими обозначениями
отмечены на рисунке. Среди возможных направлений сворачивания нанотрубок
выделяются те, для которых совмещение шестиугольника (m,n) с началом координат
не требует искажения структуры. Этим направлениям соответствуют, в частности,
углы б = 0° (armchair конфигурация) и б = 30° (zigzag конфигурация). Указанные
конфигурации отвечают хиральностям (m,0) и (2n,n) соответственно. В зависимости
от хиральности характер проводимости может изменяться от металлической
(хиральность (10,10)) до полупроводниковой (например, (n,0)). Если в
соотношении 2n+m=3q значение q равно целому числу, то однослойная трубка
относится к металлам, в противном случае трубки являются полупроводниками. С
увеличением значений n и m растет диаметр трубки, и в полупроводниковых трубках
ширина запрещенной зоны уменьшается пропорционально их диаметру. Вместе с тем,
при практически равных диаметрах (d ≈ 1.36 нм) трубка (11,9) имеет
межзонную щель в 0,62 эВ, тогда как трубка (10,10) является металлом.
1.3 Многослойные
нанотрубы
Многослойные углеродные нанотрубки отличаются от однослойных значительно
более широким разнообразием форм и конфигураций. Разнообразие структур
проявляется как в продольном, так и в поперечном направлении. Возможные
разновидности поперечной структуры MWNT представлены на рис. 7.
Структура типа "матрешки" (russian dolls) (рис. 7а)
представляет собой совокупность коаксиально вложенных друг в друга однослойных
цилиндрических нанотрубок. Из-за стерических условий в такой структуре между
соседними слоями отсутствует трехмерный порядок, а межслоевое расстояние (d0
≈ 0.344 нм) больше, чем для гексагональной модификации графита и
соответствует квазидвумерному графиту. Другая разновидность этой структуры
(рис. 7б) представляет собой совокупность вложенных друг в друга коаксиальных
призм. Последняя из приведенных структур (рис. 7в) представляет собой свиток (scroll).
Реализация той или иной структуры MWNT зависит от условий синтеза. Обычно
наиболее типичной структурой является структура типа матрешки.
В работе [7] проведены расчеты интегральной плотности состояний для MWNT
в окрестности уровня Ферми, совпадающей с областью прикосновения валентной зоны
и зоны проводимости. Энергетический спектр р - электронов однослойной трубки
без учета кривизны поверхности имеет вид [8]:
где
ось y направлена вдоль оси трубки, а ось x - по ее периметру. Квазинепрерывный
волновой вектор ky в первой зоне Бриллюэна пробегает значения
а дискретный волновой вектор
нумерует ветви спектра. Здесь J=1/2,…,N/2,
где N - число атомов элементарной ячейки, a0 - расстояние между соседними атомами в слое.
Параметры (p,q) вектора элементарных трансляций вдоль оси трубки находятся как
минимальные целые числа, удовлетворяющие условию p(2n+m)+q(2m+n) = 0. Параметр
г0 определяется взаимодействием р-электронов ближайших атомов в слое
(≈ 3 эВ). Угол и характеризует хиральность SWNT и находится из
соотношения:
.
Плотность
состояний для MWNT, если пренебречь межслоевым взаимодействием, есть сумма
плотностей состояний каждой трубки с соответствующими нормировочными
множителями.
Пренебрежение
межслоевым взаимодействием вполне оправдано, так как оно на два порядка меньше
г0 и лишь немного изменяет электронный спектр каждой трубки. Это
подтверждается результатами численных расчетов электронного спектра для двух- и
трехслойных трубок с учетом межслоевого взаимодействия [9]. В работе [7] был проведен
численный расчет плотности состояний для MWNT с разным числом слоев. За основу
вычислений брался спектр однослойной трубки (7) и суммировался по набору трубок
подходящего диаметра различной хиральности. Рассчитанная авторами зависимость
плотности состояний от энергии вблизи области касания зон для MWNT с 5 слоями
(а) и 20 слоями (б) представлена на рис. 8. Можно видеть, что для
двадцатислойных трубок (d ≈ 14 нм) она практически совпадает с с(E) для
двумерного графита. То есть, если с(E) изолированной трубки имеет одномерные
особенности, то для MWNT с большим количеством слоев с(E) имеет почти гладкую
линейную зависимость. Как и для КДГ, функция плотности состояний для MWNT в
окрестности дна зоны хорошо аппроксимируется линейной зависимостью, причем в достаточно
широком энергетическом интервале (±0,5 эВ). Все это дает основание утверждать о
наследственности электрофизических свойств квазидвумерного графита
многослойными нанотрубами, с количеством слоев ≈ 20 и более.
2.
Теоретическая часть
2.1 Квантовые
поправки к проводимости невзаимо-действующих электронов
Основные результаты теории квантовых поправок к проводимости сделаны в
работах 1979 года теоретиков Горькова, Ларкина, Хмельницкого, Альтшулера,
Аронова, Андерсона, Абрахамса, Личиарделло, Рамакришнана.
Остаточное сопротивление в проводниках определяется упругим рассеянием
электронов на примесях и статических дефектах решетки с малой передачей
энергии. В хороших проводниках длина волны электрона л = 2pћ/p (p -импульс электрона) много
меньше его длины свободного пробега l. Между отдельными актами столкновения
электрон движется как свободный, и его можно описывать квазиклассически. Такое
описание приводит к формуле Друде для проводимости (5).
При достаточно большой концентрации дефектов и примеси, когда л ~ l, как
было показано Андерсоном [10], электронные состояния становятся локализованными
и такие состояния не дают вклада в металлическую проводимость. Переход от
делокализованных состояний к локализованным получил название перехода
Андерсона. Однако даже в области хорошей металлической проводимости, когда l
>> л, имеются квантовые поправки к классической формуле Друде.
Остановимся на их обсуждении.
Рассмотрим неупорядоченный проводник (pl >> ћ). Для того, чтобы
попасть из точки А в точку В (рис. 9) частица, испытывая упругое рассеяние,
может двигаться по разным траекториям. Траекторию распространения электрона
можно представить в виде движения волнового пакета вдоль трубок, толщина
которых порядка длины волны электрона. Полная вероятность W перехода из точки А
в точку В равна квадрату модуля суммы всех амплитуд вероятности пройти частице
по всем возможным траекториям:
Первое
слагаемое справа в (8) описывает сумму вероятностей прохождения частицей
каждого пути, а второе интерференцию различных амплитуд. Для большинства
траекторий интерференция не важна, т. к. длины этих траекторий сильно
отличаются друг от друга, а следовательно сильно отличаются фазы волновых
функций на этих траекториях. Поэтому при суммировании по всем траекториям
средняя величина интерференционного слагаемого из-за его осциллирующего
характера обращается в нуль. Однако имеются особые траектории с
самопересечением (рис. 9). Каждой такой траектории можно сопоставить две
амплитуды A1 и A2 соответствующие обходу петли по и
против часовой стрелки. Эти две амплитуды когерентны между собой и нельзя
пренебречь интерференцией этих волн. В результате вероятность обнаружить
частицы в точке O есть:
т.
е. в два раза больше, чем если бы мы складывали вероятности и пренебрегали
интерференцией. Возрастание вероятности обнаружить частицу в точке, из которой
она вышла, означает, с другой стороны, уменьшение вероятности найти частицу в
точке B в точке наблюдения, то есть уменьшение проводимости или возрастание
сопротивления из-за интерференции. Это явление носит название слабой
локализации. Пренебрежение интерференцией отвечает классическому описанию
электронов (уравнению Больцмана), а учет интерференции квантовым поправкам к
проводимости.
Оценим
величину этих поправок к проводимости. Траектории электронов из-за столкновений
с дефектами и примесями имеют диффузионный характер. Интерферируют амплитуды
вероятности на траекториях, лежащих внутри лучевой трубки с сечением л2.
Относительная величина квантовой поправки к проводимости ду/у, которая, как мы
видели выше, отрицательна, пропорциональна вероятности самопересечения такой
лучевой трубки при классическом диффузионном движении.
Здесь х - скорость частицы,
D - коэффициент диффузии. Интегрирование в (9) ведется в пределах ф<t<фц,
где фц - время сбоя фазы из-за неупругого рассеяния или из-за
рассеяния с переворотом спина. Необходимо подчеркнуть, что это время не
совпадает ни со средним временем между неупругими столкновениями, ни с
энергетическим временем релаксации распределения. Время релаксации фазы
является самым коротким физическим неупругим временем релаксации в системе
[11]. В результате квантовая поправка к проводимости для трехмерного случая
имеет вид [12, 13]:
где
длина диффузии электрона за время релаксации фазы его волновой функции. Из
выражения (10) видно, что хотя квантовая поправка к проводимости и мала по
параметру лl <<1, но она приводит к нетривиальной зависимости от
температуры. При участии нескольких процессов в формировании времени сбоя фазы
величина фц определяется суммированием обратных времен,
соответствующих разным механизмам. Часто зависимость фц(E)
может быть описана выражением фц=const·T-p,
где величина p определяется механизмом рассеяния. Например, если
основным механизмом релаксации фазы волновой функции являются
электрон-электронные столкновения с малой передачей энергии, то p = 1
[14]. Подчеркнем, что интерференционные эффекты приводят к росту сопротивления
при понижении температуры, и наблюдаются в области температур менее 100 K.
Низкие температуры необходимы для снижения вклада электрон-фононного рассеяния.
Если
пленка или проволока имеют поперечные размеры a < Lц, то за время
фц частица успевает много раз продиффундировать от одной стенки до
другой, так что вероятность найти ее в любой точке поперек пленки или проволоки
одинакова. Тогда квантовая поправка к проводимости имеет вид:
где
d - эффективная размерность образца (d = 2 для пленки и d = 1 для проволоки).
Проводя интегрирование получим:
Здесь уd=уa3-d. (Для пленки у2 -
проводимость пленки квадратной формы, для проволоки - у1 -
проводимость проволоки единичной длины). Выражение (11) при d = 2 справедливо и
в истинно двумерном случае, например, для структур, где в поперечном
направлении движение частиц квантовано, и частицы могут диффундировать только в
плоскости.
Из того, что было сказано выше, следует, что переход от одной размерности
к другой происходит, когда поперечный размер образца сравнивается с Lц.
Непосредственные температурные зависимости имеют вид:
2.2
Эффекты слабой локализации в присутствии магнитного поля
Если образец помещен в магнитное поле B, то амплитуды вероятности пройти замкнутый контур по и
против часовой стрелки (рис. 9) приобретают дополнительные фазовые множители
где
Ц0=ħс/2e - квант магнитного потока, S - проекция
площади петли на плоскость, перпендикулярную направлению магнитного поля.
Выражение (16) означает, что разность фаз волн, прошедших по замкнутому контуру
по и против часовой стрелки, равна
(16)
где
Ц - магнитный поток, пронизывающий контур. Поэтому магнитное поле разрушает
интерференцию, уменьшает вероятность возврата частицы в данную точку, а,
следовательно, уменьшает сопротивление. Это есть механизм, ответственный за
явление отрицательного магнетосопротивления.
Характерный
масштаб магнитного поля можно оценить, учитывая, что интерференция разрушается,
если разность фаз становится порядка единицы. Соответствующее время tH определяется из условия
∆ц(tH) ~ BDtB/Ц ~ 1
tB ~ Ц0/HD ~ (LH)2/D
где
LB=(ħс/2eB)1/2 - магнитная
длина, существенные магнитные поля определяются условием tB
~ фц, т.е.
WL~
Асимптотические оценки для магнетосопротивления можно получить из
выражения (11), заменой верхнего предела в интеграле на фB вместо фц, если фB << фц. В результате получим [15, 16]:
~
В
двумерном случае для малых полей (т.е. при выполнении условия фB
>> фц), справедливо разложение по малому параметру (eBDфц/ħc)
до квадратичного члена:
~
Точный
расчет магнитополевой зависимости локализационного вклада в проводимость для
двумерного и квазидвумерного проводника дает следующее выражение [17]:
где
ш(y) - логарифмическая производная гамма-функции Эйлера.
Отметим наиболее важные особенности эффекта:
.
Он не зависит от угла между током и магнитным полем (для трехмерного
изотропного случая).
.
Эффект проявляется в классически слабых магнитных полях, когда обычное
магнетосопротивление практически отсутствует.
.
Величина эффекта через фц может существенно зависеть от температуры.
.
При наложении магнитного поля проводимость увеличивается (магнето-сопротивление
отрицательно).
2.3 Квантовые
поправки к проводимости взаимо-действующих электронов
Квантовые поправки к проводимости можно разделить на две принципиально
различные группы. Поправка первого типа, рассматривавшаяся выше и называемая
слабой локализацией, обусловлена квантовой интерференцией одного электрона с
самим собой при его диффузном движении. По сути, эта задача является
одночастичной. Второй тип поправок возникает при учете взаимодействия между
электронами. В качестве отправного пункта выступает квазичастичный подход,
который строится на рассмотрении электрона (как пробной частицы) в
самомогласованном периодическом поле, образованном ионами решетки и остальными
электронами. В таком подходе взаимодействие данного электрона со всеми
остальными электронами учитывается через экранирование, заменой истинного
потенциала на псевдопотенциал. При этом предполагается, что число квазичастиц
мало настолько, что можно пренебречь кулоновским отталкиванием между ними.
Следующим шагом является учет кулоновского взаимодействия пары электронов при
их сближении на межатомные расстояния (с учетом экранировки, потенциал
взаимодействия практически не отличается от точечного). Результатом такого
взаимодействия является рассеяние электронов.
Вероятность рассеяния ħ/фее ~ (kT)2/ЕF. Кулоновское
взаимодействие не только приводит к рассеянию электронов друг на друге, но и
меняет энергетический спектр. При рассмотрении взаимодействия двух электронов
необходимо учитывать ещё обменное взаимодействие: электрон 1, взаимодействуя с
электроном 2, переходит на его место, а электрон 2 становится на место
электрона 1. Такое взаимодействие не соответствует истинному рассеянию, но несколько
изменяет энергетический спектр: приводит к перенормировке химического
потенциала и даёт поправку к скорости квазичастиц порядка е2/ħ.
Учёт электрон-электронных корреляций в теории Ферми-жидкости приводит к
перенормировкам плотности состояния.
Обратимся к случаю неупорядоченных систем, то есть сделаем
следующий шаг, внесём беспорядок. Необходимо подчеркнуть, теория Ферми-жидкости
строится в предположении пространственной однородности. В неупорядоченных
металлических системах пространственная однородность нарушена. Это сказывается
на энергетической зависимости плотности состояний вблизи уровня Ферми. В
предельном случае, когда беспорядок очень большой, все электроны локализованы,
учёт дальнодействующего кулоновского отталкивания приводит к обращению в нуль
плотности состояний на уровне Ферми - к так называемой кулоновской щели. Но
даже если беспорядок не столь велик, и состояния остаются делокализованными,
плотность состояний на уровне Ферми при учёте электрон-электронного
взаимодействия имеет особенность. Вычисление этой особенности и составляет
предмет теории квантовых поправок к проводимости, обусловленных
электрон-электронным взаимодействием. Поскольку проводимость системы у прямо
зависит от плотности состояний на уровне Ферми g (g
у), то изменение плотности состояний приводит к аналогичному
изменению в проводимости. До тех пор пока изменение плотности состояний на
уровне Ферми невелико ∆g << g, можно говорить о вызванных этим изменением поправках к
проводимости.
Рассеяние одного электрона на неоднородном распределении плотности
всех остальных электронов сводится к двухчастичной задаче, то есть к
рассмотрению интерференции двух диффундирующих электронов. В соответствии с
соотношением неопределённостей, если два электрона имеют разность энергий ∆е,
то на временах наблюдения t ~ ħ/∆е
они когерентны. Другими словами, разность фаз ∆ц двух электронов,
различающихся по энергии на ∆е и имеющих в момент времени t = 0 одинаковые фазы волновых функций, через время t будет равна ∆ц(t) ~ ∆е•t/ħ. Время,
в течение которого эти два состояния можно считать когерентными, определяется
условием ∆ц(t) ~ 1.
Пусть электроны в момент времени t = 0 оказались вблизи друг друга и провзаимодействовали в точке А (рис. 10).
В условиях диффузии электроны могут повстречаться вновь и
провзаимодействовать в точке В. Если между этими двумя событиями прошло время меньшее
времени когерентности, то, взаимодействуя в точке В, электроны ещё "помнят" о взаимодействии в точке
А, то есть взаимодействия в этих двух точках
нельзя рассматривать независимо (в этом случае даже употребляется термин
"интерференция взаимодействий"). Это приводит к тому, что эффективное
кулоновское взаимодействие отличается от случая, когда электроны не имеют
возможности повторной встречи, и изменение эффективного взаимодействия
определяется вероятностью повторной встречи.
Характерным масштабом для эффектов, обусловленных интерференцией
двух электронов, является длина диффузии за время когерентности, то есть L ~
. Учитывая, что ∆е ~ kBT, характерная длина когерентности LT ~
. Переход от одной размерности к другой происходит, когда один из
размеров системы становится меньше, чем LT. Ситуация здесь напоминает изменение
эффективной размерности для квантовых поправок невзаимодействующих частиц, где
переход от одной размерности к другой происходит, когда размер образца
сравнивается с Lц. Квазичастичное описание требует
выполнения условия kBT " ħ/фц, при этом получаем, что LT << Lц. Поэтому переход к другой размерности
происходит при меньших толщинах, чем для невзаимодействующих электронов.
Поправка к проводимости определяется вероятностью повторной
встречи двух частиц, то есть вероятностью пересечения двух траекторий, что
математически выражается тем же интегралом (11), который использовался для
оценки слаболокализационной поправки, но с заменой верхнего предела на ħ/∆е.
Вероятность повторной встречи
Для
квазидвумерного случая
то есть, чем меньше разность энергий интерферирующих частиц, тем
больше вероятность их повторной встречи (поскольку для частиц с малой разницей
в энергии, объём когерентности оказывается очень большим).
Поправка к плотности состояний
~
~
Видно, что поправка, обусловленная электрон-электронным
взаимодействием, находится в некотором родстве с локализационной поправкой и
также даёт логарифмическую температурную зависимость проводимости в
квазидвумерном случае (см. выражение (14)). Но, в отличие от локализационной
поправки, эта поправка практически не чувствительна к слабому магнитному полю и
не приводит к сколько-нибудь существенному магнетосопротивлению в классически
слабых магнитных полях щсф ~ 1.
Поправку, о которой до сих пор шла речь, можно рассматривать как
усиление взаимодействия из-за диффузионного характера движения квазичастиц. При
этом основной вклад вносит взаимодействие между частицами с близкими импульсами
и энергиями. Она получила название: поправка, обусловленная взаимодействием в
диффузионном канале. Другой вид поправок связан с взаимодействием частиц с
противоположными импульсами p1 ≈ -p2 (или,
как часто говорят, с малым суммарным импульсом). Качественная интерпретация такого
взаимодействия проиллюстрирована рисунком 11.
Пусть частицы, имеющие разность энергии ∆е, двигаются почти
навстречу друг другу и приходят в точки А
и В поочерёдно. И пусть расстояние между этими
точками не превышает
. Поскольку волновые функции этих двух состояний скоррелированы в
пространстве на масштабах порядка
, то необходимо учитывать интерференцию волновых функций при
взаимодействии в точках А и В. Такое взаимодействие носит название "взаимодействие
в куперовском канале" (DOS) и в
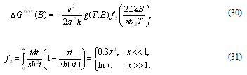
квазидвумерном случае приводит к температурной зависимости проводимости [18]
где T0 - температура
порядка энергии Ферми и kBT0 ~ ЕF >> kBT. Если взаимодействие электронов на малых
расстояниях притягивающее, то при некоторой температуре Тс система
переходит в сверхпроводящее состояние. Выражение (27) остаётся справедливым и
для сверхпроводников при Т > Тс. В этом случае вклад в
проводимость от электрон-электронного взаимодействия в куперовском канале
соответствует сверхпроводящим флуктуациям. При этом в (27) Т0
необходимо заменить на Тс. Это отражает тот факт, что если при
кулоновском отталкивании роль характерной энергии играет ЕF (с этим связано появление коэффициента T0 в (27)), то при притяжении электронов в
куперовском канале за счёт обмена виртуальными фононами в качестве характерной
энергии выступает дебаевская частота ħщD·exp(1\g) ~ kBTc, где g - константа электрон-электронного
взаимодействия.
2.4 Взаимодействие
в куперовском канале в присутствии магнитного поля
Обсудим магнитополевую зависимость поправки к проводимости,
обусловленной изменением плотности состояний в результате взаимодействия в
куперовском канале. Во внешнем магнитном поле у частиц, двигающихся по
траекториям 1 и 2 (рис. 11), появляется дополнительная разность фаз ∆цB ~ Ф/Ф0, где Ф
- поток через петлю. Далее можно повторить все рассуждения (17)-(19), заменив
характерный масштаб длины на LT и
времени фц → t ~ ħ/kBT. Характерное поле определяется условием ∆цB ~ 1, то есть Ф~Ф0:
~
Аналогично слаболокализационным (19) могут быть получены и
асимптотические оценки для магнетосопротивления. Для квазидвумерного случая
~
Присутствующая здесь величина g отражает тот факт, что речь идёт об электрон-электронном
взаимодействии и называется константой электрон-электронного взаимодействия.
Точное выражение для магнитополевой зависимости поправки к
проводимости, обусловленной изменением плотности состояний в результате
взаимодействия в куперовском канале, для двумерного и квазидвумерного
проводника в магнитном получено в [17]:
Для константы электрон-электронного взаимодействия в случае
притяжения между электронами справедливы следующие выражения:
где
г=1.781. Отметим, что условия подавления |g| магнитным полем и появление значительных аргументов
функции f2 совпадают. Кроме того, вклад ∆GDOS перестаёт зависеть от температуры при В
>> kBT/eD.
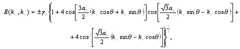
Сравнивая выражения (18) и (28), получаем:
Отметим
тот факт, что если не учитывать взаимодействие в
диффузионном канале, то в области малых магнитных полей как в трехмерном, так и
в двумерном случаях, как для эффектов слабой локализации, так и для
взаимодействия в куперовском канале проводимость системы увеличивается с ростом
магнитного поля квадратично. При больших полях в трехмерном случае проводимость
увеличивается пропорционально B1/2, в то время как для двумерного случая - lnB, если электроны
отталкиваются, то есть константа электрон-электронного взаимодействия
положительна.
3. Методика эксперимента
3.1
Экспериментальные образцы
Многослойные углеродные нанотрубы синтезированы методом термохими-ческого
разложения углеродосодержащих соединений на поверхности металлического
катализатора (Chemical Vapor Deposition, CVD [19]) в Институте Катализа СО РАН в лаборатории
Кузнецова В.Л. Отличительной особенностью метода синтеза являлось наличие в
газовой среде, окружающей образец, окислительного газа, который при повышенной
температуре сжигает аморфный углерод и не влияет на нанотрубки. Согласно
условиям синтеза и данным электронной микроскопии, полученные MWNT обладают малым содержанием аморфного
углерода в отличие от MWNT
синтезированных ранее. С другой стороны данный метод синтеза обеспечивает бóльшее количество дефектов структуры в
отличие от метода распыления графита в электрической дуге. Для проведения эксперимента были получены два типа MWNT: первый тип с использованием
буферного газа аргона, второй - азота. Второй тип является более дефектным, чем
первый. Впоследствии, оба типа были очищены от примеси катализатора. Также
использовались два типа катализатора. Один отличался от другого равномерным
размером гранул мелкодисперсного порошка катализатора, в результате чего MWNT получались с узким распределением по
диаметру трубок. Изображение в просвечивающий микроскоп отдельной аргонной
каталитической нанотрубки показано на рис. 12.
На рис. 13 объемные образцы аргонных MWNT представлены на снимке просвечивающего микроскопа.
Фотография азотных MWNT с узким
распределением по диаметру показана на рис. 14.
3.2 Методика измерений
Исследуемые образцы, представляющие собой порошок, запрессовывались в
ампулу. Отдельные порошинки состояли в основном из нанотруб. Контакты к ампуле
подводились серебряной проволокой диаметром 0.1 мм прижимным методом. И для
осуществления контакта образца с проволокой порошок в ампуле поджимали. Смотрите
рис. 15 ампулы, широкие стрелки показывают место поджима. Контакты I - токовые, U - потенциальные.
Измерения проводились в сосуде Дьюара с жидким гелием (1). Для создания
магнитного поля использовался сверхпроводящий соленоид, NbTi в медной матрице
(13). Температура в области 4,2¸300 K
измерялась RhFe термометром сопротивления (7) (рабочий диапазон 2,2¸273 K, разрешающая способность 10−3
K, абсолютная погрешность 0,1 K). Измерения производились многоканальным системным цифровым вольтметром Solartron (входное сопротивление
~1010 Ом), данные с которого передавались в компьютер для
последующей обработки. Типичное напряжение на образце составляло ~10 мВ, при
этом абсолютная погрешности измерительной схемы составляет ~ 1 мкВ. А
относительная погрешность измерений составляет 0,01 %. Измерение проводимости s(T) проводилось по четырех-контактной схеме в интервале
температур 4.2 K - 300 K. Четырех-контактная схема
представлена на рис. 17. Измерение магнетосопротивления r(B) проводилось при температуре 4.2 K в интервале магнитных полей до 10 кГс.
4.
Экспериментальные результаты и их обсуждение
4.1
Температурные зависимости проводимости
На рис. 18 и рис. 19 представлены зависимости электропроводности от
температуры в линейном и логарифмическом масштабах соответственно в интервале
температур от 4.2 K до 300 K для каталитических MWNT. Вид кривых электропроводности
подобен у всех типов синтезированных образцов, а также образцов очищенных от примеси
катализатора. Видно, что в области температур от 4.2 K до 55 K
электропроводность образцов с понижением температуры уменьшается
логарифмически. Логарифмическая зависимость температуры проявляется в системах
с локальным беспорядком. Основной вклад в проводимость в таких системах дают
квантовые поправки.
Оценки
длины когерентности LT ~
(коэффициент диффузии D взят из работы
[20]), дают величину LT ~ 100 нм при температуре 4.2 K. Как следует
из главы 2, температурная зависимость вклада квантовых поправок в проводимость
меняется, в зависимости от соотношения LT и
характерных размеров системы. В исследуемых трубках возможно три направления
распространения носителей тока в цилиндрических координатах: вдоль трубки (z),
радиальное (r) и угловое (ц). Движение по r ограничено внутренним и внешним
диаметрами трубки, по z длинной трубки и по ц возможны неограниченные кольцевые
траектории. При понижении температуры длина когерентности LT
растет, если она становится больше чем толщина стенки труб, то квантовые
поправки можно считать двумерными. В нашем случае толщина стенок труб примерно
10 нм, а длина когерентности при температуре 4.2 K на порядок
больше. Как было видно из главы 2, все рассмотренные типы квантовых поправок к
проводимости в двумерном случае зависят от температуры логарифмически. Следовательно,
для экспериментальной кривой проводимости от температуры синтезированных
каталитических MWNT характерны двумерные квантовые поправки в интервале
температур от 4.2 K до 55 K.
В
ходе измерений была замечена зависимость проводимости образцов исходных и
очищенных от примеси катализатора.
На
рис. 20 приведена электропроводность в зависимости от уровня очистки от примеси
катализатора для аргонных MWNT. Конец широкой стрелки на рисунке означает очищенный
образец. Проводимость увеличилась при очищении примерно на 30% по сравнению с
исходными образцами. Для азотных MWNT наблюдается такое же увеличение проводимости после
очищения.
4.2
Магнетосопротивление
Согласно теории квантовых поправок, должен появиться вклад в
магнетосо-противление обусловленный эффектами взаимодействия и слабой
локализацией. Поправка к проводимости должна быть отрицательна, если электроны
отталкиваются, то есть константа электрон-электронного взаимодействия
положительна. Как говорилось в главе 2 зависимость у(B), обусловленная подавлением эффекта слабой локализации имеет
вид (21). Асимптотические приближения этого выражения в слабых полях
квадратичны по полю, а в сильных логарифмически зависят от магнитного поля.
Ранее нами наблюдались кривые отрицательного магнетосопротивления для
сажи и растертых электродуговых MWNT,
кривые представлены на рис. 21 и рис. 22 соответственно. Электродуговые MWNT содержали примерно 10% примеси
аморфного углерода.
Характер кривых для сажи и электродуговых MWNT одинаков: квадратичная зависимость в слабых магнитных
полях (до 100 Гс) с выходом на логарифмическую зависимость в больших магнитных
полях. Характерным полем для эффектов слабой локализации является несколько
сотен Гс, для взаимодействия в диффузионном канале - несколько десятков кГс, а
куперовский канал находится в интервале магнитных полей между слабой
локализацией и диффузионным каналом (глава 2). Следовательно, из величин
характерных полей можно сделать вывод, что для сажи и электродуговых MWNT наблюдались эффекты слабой
локализации.
Для всех исследованных образцов каталитических MWNT наблюдалось отрица-тельное магнетосопротивление (рис.
23). Квадратичная зависимость от поля одинакова для всех образцов, причем не
наблюдается выхода на насыщение (рис. 24). Из характерных полей квантовых
поправок видно, что для синтезированных катали-тических MWNT наблюдался вклад эффектов
электрон-электронного взаимодействия. Таким образом, в
каталитических MWNT не
наблюдается вклада эффектов слабой локализации в магнетосопротивление от
присутствия сажи, что согласуется с процессом синтеза нанотруб.
Величина ∆с на температурной зависимости сопротивления, как
разность с(T = 4,2 K) и экстраполированной регулярной части (рис. 25),
составляет ∆с ≈ 0,20∙с0. Величина подавления
квантовых поправок к магнетосопротивлению при T = 4,2 K при магнитном поле 10
кГс составляет ∆с ≈ 0,005∙с0 (рис. 23). Примерные
оценки поля, при котором происходит полное подавление квантовых поправок (∆с
температурной зависимости сопротивления), дают величину порядка 6 Тл. Причем
характерный диаметр кванта потока Ц0 при таком поле составляет
величину порядка 200 Å, что согласуется с диаметром нанотруб, который тоже
порядка 200 Å.
Заключение
Рассмотренные в работе вопросы и аспекты, безусловно, касаются не всего
разнообразия углеродных нанотруб, а посвящены каталитическим MWNT с внутренней
полостью, количеством слоев более 20 и внешним диаметром ~ 20 нм и более.
Впервые измерены электрофизические свойства каталитических MWNT с малым содержанием аморфного
углерода в отличие от MWNT
синтезированных ранее. Основные результаты
данной работы состоят в следующем:
. На всех температурных зависимостях проводимости как исходных, так и
очищенных от примеси катализатора нанотруб наблюдается вклад двумерных
квантовых поправок к проводимости ниже температуры 55 K. Как и предсказывает теория квантовых поправок, для
двумерного случая соответствующая добавка к проводимости логарифмически зависит
от температуры.
. Очистка образцов от примеси катализатора увеличивает проводимость
примерно на 30% по сравнению с исходными образцами.
. Определен тип вклада квантовой поправки в магнетосопротивление
исследуемых образцов - эффекты электрон-электронного взаимодействия.
В синтезированных каталитических MWNT
не наблюдается вклада эффектов слабой локализации в магнетосопротивление от
присутствия сажи, что согласуется с процессом синтеза нанотруб.
Список
литературы
[1] Iijima S., Nature 354, 56 (1991)
[2] Slonczewsky J.C., Weiss P.R. Band structure of
graphite. - Phys. Rev. 109, N.2, pp. 272-279 (1958)
[3] McClure J.W. Band structure of graphite and de
Haas - van-Alphen effect. - Phys. Rev. 119, pp. 606-613 (1960)
[4] Wallace P.R. The band theory of graphite. - Phys.
Rev. 71, N.9, pp. 622-634 (1947).
[5] Haering R.R., Wallace P.R. Electric and magnetic
properties of graphite. - J. Phys. Chem. Solids 3, 2, pp.
253-274 (1957)
[6] Зеегер К. Физика полупроводников. - М.:Мир. 1977
[7] Котосонов А.С., Атражев В.В. Особенности электронной
структуры многослойных углеродных нанотрубок. - Письма в ЖЭТФ 72, 2, сc. 76-80
(2000)
[8] Lin V.F., Kenneth W.-K.Shung. Magnetoconductance
of carbon nanotubes. - Phys. Rev. B 51, 7592 (1995)
[9] Овчинников A.A., Атражев В.В. Магнитная восприимчивость
многослойных угле-родных нанотрубок. - ФТТ 40, 1950 (1998)
[10] Anderson P.W. Absence of diffusion in disordered
system. - Phys. Rev., pp. 1492-1505 (1985)
[11] Лифшиц И.М., Азбель М.Я., Каганов М.И. Электронная
теория металлов. - М.:Наука, 1971
[12] Горьков Л.П., Ларкин А.И., Хмельницкий Д.Е. Проводимость
частицы в двумерном случайном потенцале. - Письма в ЖЭТФ 30, 4, cc. 248-252
(1979)
[13] Anderson P.W., Abrahams E., Ramakrishnan T.V.
Possible explanation of nonlinear con-ductivity in thin-film metal wires. -
Phys. Rev. Lett. 43, N.10, pp.718-720.(1979)
[14] Кульбачинский В.А. Двумерные, одномерные, нульмерные
структуры и сверхре-шетки. - Учебное пособие. Издательство Физического
Факультета МГУ, 1998. (стр. 54-62)
[15] Altshuler B.L., Khmel’nitskii D.E., Larkin A.I., Lee P.A. The magnetoresistance and Hall-effect in two-dimensional disordered metals. - Phys. Rev. B 20, N.16,
pp.5142-5153 (1980).
[16] Kawabata A. Theory of negative magnetoresistance
in three-dimensional system. - Solid State Commun. 34, N.6, pp.
431-432 (1980)
[17] Альтшулер Б.Л., Аронов А.Г., Ларкин А.И., Хмельницкий
Д.Е. Об аномальном магнитосопротивлении в полупроводниках. - Письма в ЖЭТФ 81,
2(8), 768 (1981)
[18] Альтшулер Б.Л., Варламов А.А., Рейзер М.Ю. Эффекты
межэлектронного взаимо-действия и проводимость неупорядоченных двумерных
электронных систем. - Письма в ЖЭТФ 84, 2280 (1983)
[19] Yacaman M J et al. - Appl. Phys. Lett. 62, 202
(1993)
[20] Bayot V., Piraux L., Michenaud J.-P., Issi J.-P.
Weak localizations in pregraphitic carbon fibers. - Phys. Rev. B 40, N. 6
(1989)