Расчет электростатического поля заряженного тела
САНКТ-ПЕТЕРБУРГСКИЙ ГОСУДАРСТВЕННЫЙ
МОРСКОЙ ТЕХНИЧЕСКИЙ УНИВЕРСИТЕТ
КАФЕДРА ФИЗИКИ
ЭЛЕКТРОСТАТИКА
Курсовая работа
“Расчет электростатического поля
заряженного тела”
Выполнила: студентка группы 7240
Проверил: профессор
Санкт-Петербург 2010
Оглавление
Введение
1. Постановка задачи
2. Теоретические сведения
2.1 Электрическое поле
2.3 Принцип суперпозиции
2.4 Распределение зарядов
2.5 Геометрическое описание электрического поля
2.6 Потенциал
2.7 Потенциал поля точечного заряда
2.8 Потенциал поля системы зарядов
2.9 Связь между потенциалом и напряженностью поля
2.10 Эквипотенциальные поверхности
3. Аналитическое решение поставленной задачи
4. Анализ распределения потенциала с использованием компьютерной
программы Mathcad
Заключение
Список использованной литературы
Введение
Электростатика - раздел электродинамики
<#"522677.files/image001.gif">
λ0=20 нКл/м
2.
Теоретические сведения
2.1
Электрическое поле
Согласно современным представлениям
взаимодействие между зарядами осуществляется через поле. Всякий электрический
заряд q изменяет определенным образом свойства окружающего его
пространства - создает электрическое поле.
Это поле проявляет себя в том, что
помещенный в какую-либо его точку другой, "пробный", заряд испытывает
действие силы.
Опыт показывает, что сила F, действующая
на неподвижный точечный пробный заряд q, всегда может быть представлена
как
=qE (1.1)
где вектор Е называют напряженностью
электрического поля в данной точке. Вектор Е, как видно из (1.1), можно
определить как силу, действующую на единичный положительный неподвижный заряд.
Здесь предполагается, что пробный заряд q' должен быть достаточно малым,
чтобы его внесение не вызвало заметного искажения интересующего нас поля
(вследствие возможного перераспределения создающих поле зарядов).
Поле точечного заряда.
2.2 Поле
точечного заряда
Из опыта (закон Кулона) непосредственно
следует, что напряженность поля неподвижного точечного заряда q на
расстоянии r от него можно представить как

Где 
-электрическая постоянная, ε - электрическая проводимость среды, 
- орт радиуса-вектора г, проведенного из центра поля, в котором
расположен заряд q, до интересующей нас точки. Формула (1.2) записана в
СИ. Здесь коэффициент
заряд q выражается в кулонах (Кл), напряженность поля ε - в вольтах на метр (В/м). В зависимости
от знака заряда q вектор Е направлен так же, как и r, или противоположно
ему.
По существу формула (1.2) выражает не что иное, как закон Кулона,
но в "полевой" форме. Весьма важно, что напряженность Е поля
точечного заряда обратно пропорциональна квадрату расстояния г.
Вся совокупность экспериментальных фактов показывает, что этот
закон справедлив для расстояний от 10~ 13 см до нескольких
километров, и пока нет никаких оснований ожидать, что этот закон не выполняется
и при больших расстояниях.
Заметим еще, что в поле, создаваемом неподвижным точечным зарядом,
сила, действующая на пробный заряд, не зависит от того, покоится пробный заряд
или движется. Это относится и к системе не подвижных зарядов.
2.3 Принцип
суперпозиции
Другой опытный факт, кроме закона (1.2),
заключается в том, что напряженность поля системы точечных неподвижных зарядов
равна векторной сумме напряженностей полей, которые создавали бы каждый из
зарядов в отдельности
где г, - расстояние между зарядом qi и
интересующей нас точкой поля.
Это утверждение называют принципом
суперпозиции (наложения) электрических полей. Он выражает одно из самых
замечательных свойств полей и позволяет вычислять напряженность поля любой
системы зарядов, представив ее в виде совокупности точечных зарядов, вклад каждого
из которых дается формулой (1.2).
2.4
Распределение зарядов
Для упрощения математических расчетов во
многих случаях бывает удобно игнорировать тот факт, что заряды имеют дискретную
структуру (электроны, ядра), и считать, что они "размазаны" определенным
образом в пространстве. Другими словами, удобно заменить истинное распределение
точечных дискретных зарядов фиктивным непрерывным распределением. Это позволяет
значительно упрощать расчеты, не внося сколько-нибудь значительной ошибки.
При переходе к непрерывному распределению
вводят понятие о плотности зарядов - объемной ρ, поверхностной σ и линейной λ. По определению
где dq - заряд, заключенный соответственно
в объеме dV, на поверхности dS и на длине dl.
С учетом этих распределений формула (1.3)
может быть представлена в другой форме. Например, если заряд распределен по
объему, то надо заменить qi на dq = pdV и сумму на интеграл,
тогда
где интегрирование проводится по всему пространству, в
котором ρ отлично от нуля. Таким образом, зная распределение зарядов, мы
можем полностью решить задачу о нахождении напряженности электрического поля по
формуле (1.3), если распределение дискретно, или по формуле (1.5) и аналогично
ей, если распределение непрерывно. В общем случае расчет сопряжен со
значительными трудностями. Действительно, для нахождения вектора Е надо
вычислить сначала его проекции Еx, Еy, Еz, а
это по существу три интеграла типа (1.5). И только в тех случаях, когда система
зарядов обладает той или иной симметрией, задача, как правило, значительно
облегчается.
2.5
Геометрическое описание электрического поля
Зная вектор Е в каждой точке, можно представить электрическое
поле очень наглядно с помощью линий напряженности, или линий вектора Е. Эти
линии проводят так, чтобы касательная к ним в каждой точке совпадала с
направлением вектора Е, а густота линий, т.е. число линий, пронизывающих
единичную площадку, перпендикулярную линиям в данной точке, была бы
пропорциональна модулю вектора Е.
Кроме того, этим линиям приписывают направление, совпадающее
с направлением вектора Е. По полученной картине можно легко судить о
конфигурации данного электрического поля - о направлении и модуле вектора Е в
разных точках поля.
2.6 Потенциал
До сих пор мы рассматривали описание
электрического поля с помощью вектора Е. Существует, однако, и другой
адекватный способ описания - с помощью потенциала φ (заметим сразу, что оба эти способа однозначно соответствуют друг
другу). Как мы увидим, второй способ обладает рядом существенных преимуществ.
Тот факт, что линейный интеграл
представляющий собой работу сил поля при
перемещении единичного положительного заряда из точки 1 в точку 2, не
зависит от пути между этими точками (из механики известно, что любое
стационарное поле центральных сил, является консервативным, то есть работа сил
этого поля не зависит от пути, а зависит только от положения начальной и
конечной точки), позволяет утверждать, что в электрическом поле существует
некоторая скалярная функция координат φ (r), убыль которой
где φ1 и φ2 - значения функции φ в точках 1 и 2. Так
определенная величина φ (r) называется
потенциалом поля. Из сопоставления выражения (1.7) с выражением для работы сил
потенциального поля (которая равна убыли потенциальной энергии частицы в поле)
можно сказать, что потенциал - это величина, численно равная потенциальной
энергии единичного положительного заряда в данной точке поля.
Потенциалу какой-либо произвольной точки О
поля можно условно приписать любое значение φ0. Тогда потенциалы всех
других точек поля определяются согласно (1.7) однозначно. Если изменить φ0 на некоторую величину Δφ, то на такую же величину
изменятся и потенциалы во всех других точках поля.
Таким образом, потенциал φ определяется с точностью до произвольной аддитивной постоянной.
Значение этой постоянной не играет роли, так как все электрические явления
зависят только от напряженности электрического поля. Последняя же определяется,
как мы увидим, не самим потенциалом в данной точке поля, а разностью потенциалов
в соседних точках поля.
Единицей потенциала является вольт (В).
2.7 Потенциал
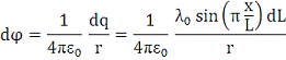
поля точечного заряда
Формула (1.7) содержит не только определение потенциала φ, но и способ нахождения этой функции. Для
этого достаточно вычислить интеграл 
по любому пути между двумя точками и представить затем полученный
результат в виде убыли некоторой функции, которая и есть ср (г). Можно
поступить и проще. Воспользуемся тем, что формула (1.23) справедлива не только
для конечных перемещений, но и для элементарных dl. Тогда согласно этой формуле
элементарная убыль потенциала на этом перемещении есть
электростатическое поле заряженное тело
Другими словами, если известно поле Е (г),
то для нахождения φ надо представить Еdl
(путем соответствующих преобразований) как убыль некоторой функции. Эта функция
и есть φ.
Найдем таким способом потенциал поля
неподвижного точечного заряда:

Отсутствие в этом выражении аддитивной константы означает, что мы
условно полагаем потенциал на бесконечности (r→∞) равным нулю.
2.8 Потенциал
поля системы зарядов
Пусть система состоит из неподвижных
точечных зарядов q1, q2, … Согласно принципу суперпозиции
в любой точке поля напряженность Е=Е1+ Е2+., где Е1
- напряженность поля заряда q1 и т.д. Тогда можно записать,
используя формулу (1.8):
где 
т.е. принцип суперпозиции оказывается справедливым и для
потенциала. Таким образом, потенциал системы неподвижных точечных зарядов
где ri - расстояние от
точечного заряда q, до интересующей нас точки поля. Здесь также
произвольная постоянная опущена. Это полностью соответствует тому факту, что
всякая реальная система зарядов ограничена в пространстве, поэтому ее потенциал
на бесконечности можно принять равным нулю.
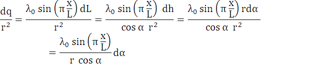
Если заряды, образующие систему,
распределены непрерывно, то, как обычно, мы считаем, что каждый элементарный
объем dV содержит "точечный" заряд ρdV, где ρ - объемная плотность заряда в месте нахождения объема dV. С
учетом этого формуле (1.10) можно придать иной вид
где интегрирование проводится или по всему
пространству, или по той его части, которая содержит заряды. Если заряды
расположены только на поверхности S, то
где σ - поверхностная плотность
заряда; dS - элемент поверхности S. Аналогичное выражение будет и в том
случае, когда заряды распределены линейно.
Итак, зная распределение зарядов (дискретное, непрерывное),
мы можем в принципе найти потенциал поля любой системы.
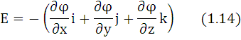
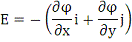
2.9 Связь
между потенциалом и напряженностью поля
Электрическое поле, как известно,
полностью описывается векторной функцией Е (r). Зная ее, мы можем найти силу,
действующую на интересующий нас заряд в любой точке поля, вычислить работу сил
поля при каком угодно перемещении заряда и другое. А что дает введение
потенциала? Прежде всего, оказывается, зная потенциал φ (r) данного электрического поля, можно достаточно просто
восстановить и само поле Е (r). Рассмотрим этот вопрос более подробно.
Связь между φ и Е можно установить с
помощью уравнения (1.8). Пусть перемещение dl параллельно оси X, тогда
dl =Ei dx, где i - орт оси X; dx - приращение координаты х. В этом случае
где 
- проекция вектора E на орт i (а не на перемещение dl).
Сопоставив последнее выражение с формулой (1.8), получим
где символ частной производной подчеркивает, что функцию φ (х, у, z) надо дифференцировать только по
х, считая у и z при этом постоянными.
Рассуждая аналогично, можно получить соответствующие выражения для
проекций Е у и Е z. А определив Еx, Еy,
Еz легко найти и сам вектор Е
Величина, стоящая в скобках, есть не что иное, как градиент
потенциала φ (grad φ). Т.е. напряженность Е поля равна со
знаком минус градиенту потенциала. Это и есть та формула, с помощью которой
можно восстановить поле Е, зная функцию φ (r).
2.10
Эквипотенциальные поверхности
Введем понятие эквипотенциальной
поверхности - поверхности, во всех точках которой потенциал φ имеет одно и то же значение. Убедимся в том, что вектор Е
направлен в каждой точке по нормали к эквипотенциальной поверхности в
сторону уменьшения потенциалаφ. В самом деле, из
формулы (1.13) следует, что проекция вектора Е на любое направление,
касательное к эквипотенциальной поверхности в данной точке, равна нулю. А это
значит, что вектор Е нормален к данной поверхности. Далее, возьмем перемещение
dxпо нормали к поверхности в сторону уменьшения φ, тогда ??φ<0 и согласно (1.13) Ex>0, т.е. вектор Е
направлен в сторону уменьшения φ, или в сторону, противоположную
вектору grad φ.
Эквипотенциальные поверхности наиболее
целесообразно проводить так, чтобы разность потенциалов для двух соседних
поверхностей была бы одинаковой. Тогда по густоте эквипотенциальных
поверхностей можно наглядно судить о значении напряженности поля в разных
точках. Там, где эти поверхности расположены гуще ("круче потенциальный
рельеф"), там напряженность поля больше.
Далее, ввиду того, что вектор Е всюду
нормален к эквипотенциальной поверхности, линии вектора Е ортогональны этим поверхностям.
3.
Аналитическое решение поставленной задачи
Для начала рассчитаем потенциал E, создаваемый заряженным
телом аналитически.
рис.1
Найдем составляющие вектора dE, а именно E1 и E2.
,
Учитывая что
,
,
,
Получим
Тогда
Аналогично
Для напряженности Е получим
Но вычисление 
и 
довольно затруднительно в следствии сложности вычисления
интегралов.
Рассчитаем аналитически потенциал, создаваемый этим же заряженным
телом.
Опять же расчет достаточно затруднителен, тогда воспользуемся
возможностями программы Mathcad.
4. Анализ
распределения потенциала с использованием компьютерной программы Mathcad
В данной работе используем программу Mathcad для расчета
поля. Для этого проще начать с расчета потенциала φ поля. Поместим середину заряженного тела в точку (0; 0; 0) на
координатных плоскостях. Для нахождения потенциала создадим сетку (xi,yj)
вокруг заряженного тела. Расстояние от тела до сетки определяется zk (i,j,k
= 0…30). Для того что бы на концах заряженного стержня линейная плотность
заряда была равна нулю (sin 0=0), необходимо к аргументу синуса добавить π/2 при вычислении в Mahtcad.
где 
.
Тогда
где yp и zp задается (высота точки и
расстояние до сетки соответственно). Зададим максимальные и минимальные
значения этих величин и определим законы по которым находятся xi, yj,zk
Аналогично для yj и zk
и
Пусть yp=0 и zp=0. На расстоянии 1*10-4
м от заряженного тела без учета распределения линейной плотности заряда по
синусу (примем его за константу λ0) эквипотенциальные поверхности будут иметь вид
Если учесть что 
, то получим следующую картину
Соответственно линии равного потенциала в обоих случаях будут
иметь вид
На расстоянии 5*10-2 м (с распределением по синусу)

Для вычисления напряженности воспользуемся формулой
, где
Получим
Линии напряженности будут, как известно, перпендикулярны линиям
эквипотенциальной поверхности. К примеру возьмем расчет потенциала на
расстоянии 0.0001 м от заряженного тела, тогда получим семейство силовых линий
и семейство эквипотенциальных поверхностей поля
Заключение
Справившись с поставленной задачей, мы можем по имеющимся
рисункам судить о поле, создаваемым заряженным телом. По густоте линий равного
потенциала можно судить о наибольшей напряженности вокруг заряженного тела.
Итак, такая картина напоминает изображение линий равного потенциала и силовых
линий поля точечного заряда. Отличие же равномерно заряженного тела и не
равномерно (в данном случае зависимость по синусу) состоит в том, что максимум
синуса, приходящий ровно на середину тела, “заостряет” картину
эквипотенциальных поверхностей, т.е. она становится более выпуклой. Очевидно:
чем ближе к заряженному телу рассматривается поле, тем больше видна его
характерность. А чем дальше - тем более оно напоминает поле точечного заряда,
т.е. эквипотенциальные поверхности “сглаживаются ”, приближаясь на
бесконечности к сфере.
Список
использованной литературы
1.
Иродов И.У. Основные законы электромагнетизма-2е изд., стереотип. - М. Высш.
шк. М.: Наука. Гл. ред. физ. - мат. лит., 1991-289 с.
.
Клюбин В.В. Курс общей физики: учеб. пособие. ч.3. Электростатика. Постоянный
ток. СПб.: СПбГМТУ, 2005 - . - В надзаг.: С. - Петерб. гос. мор. техн. ун-т. -
2006. - 217 с
.
Смайт В. Электростатика и электродинамика. М. - издательство иностранной
лин-ры. 1954 - 605 с.