Расчет и разработка конструкции, технологической оснастки для изготовления изделий из эластомерных композиций
Курсовой
проект
Тема
Расчет и разработка конструкции, технологической оснастки для
изготовления
изделий из эластомерных композиций
Содержание
Введение
Расчет
гнездности оснастки и характеристика оборудования
Расчет
исполнительных размеров формообразующих деталей
Расчет
РТИ по основным параметрам (шины, ремни и т.д.)
Расчет
установленного ресурса оснастки
Материалы
деталей, их свойства и технология переработки
Заключение
Список
использованной литературы
Введение
Многообразие изделий из резины чрезвычайно
велико, только, в нашей стране их ассортимент включает в себя более миллиона
наименований; их потребители практически все отрасли народного хозяйства и
каждый человек в отдельности. В последние десятилетия переработка резины в
изделия интенсивно развивается не только в химической промышленности, но и в
других отраслях. В связи с этим уже возникла большая потребность в
квалифицированных специалистах-конструкторах изделий и формующего инструмента
для их изготовления.
Чтобы составить представление об основных
направлениях деятельности таких специалистов в условиях промышленного
производства и о роли знаний в области конструирования формующего инструмента,
рассмотрим основные этапы создания и выпуска резинового изделия.
Первый этап-проектирование изделия. Проектируя
то или иное изделие, отдельный узел машины, прибора, агрегата (например,
механизм привода суппорта металлообрабатывающего центра, панель прибора
управления автомобиля, кофемолку и др.), конструктор по комплексу предъявляемых
эксплуатационных требований назначает и указывает в чертежах наиболее
подходящий для изготовления этого изделия материал. При этом он может
пользоваться справочной литературой. Технологические ограничения,
накладываемые, например, на форму изделия (а это для резиновых изделий очень
существенно и специфично), чаще всего на этом этапе оказываются практически
неучтенными, что может быть связано в значительной мере с некомпетентностью
конструктора в области переработки резины.
Второй этап - размещение заказа на изготовление
детали. Если организация - разработчик изделия не имеет собственных
производственных мощностей по переработке резины, то она ищет (в своей или
смежных с ней отраслях) предприятие, на котором таковые имеются. Специалист
технического отдела этого предприятия, знакомый как с оборудованием, так и с
технологией переработки резины, спецификой технологии изготовления и
эксплуатации формующего инструмента, получив рабочий чертеж изделия, в первую
очередь должен определить, возможно ли его изготовление на имеющемся в наличии
оборудовании (возможна ли на нем переработка конкретного типа материала,
достаточны ли мощность, габариты оборудования и др.). При этом обсуждается
вопрос о том, можно ли, в принципе, сконструировать инструмент для предложенной
в чертежах конфигурации изделия (если нет, то специалист технического отдела
может дать общие рекомендации о ее изменениях). Если конструкция формующего
инструмента принципиально возможна, то здесь же решают, изготовит ли его сам
заказчик или предприятие, принимающее заказ на выпуск изделия, в собственном
инструментальном цехе (если оба варианта не реальны, то поиском изготовителя
формы должен заняться заказчик изделия).
Третий этап - конструирование формующего
инструмента- является самым ответственным. Если принимаемые на предыдущих
этапах решения не влекут за собой каких-либо значительных материальных затрат и
в связи с этим последующие корректировки и изменения этих решений практически
безболезненны, то ошибки, допущенные при конструировании формующего
инструмента, воплощаются в реально изготовленном инструменте и, как правило,
могут быть обнаружены уже только после того, как инструмент установлен на
машину и начаты его промышленные испытания.
Четвертый этап - изготовление инструмента. В нем
принимают участие инженеры-технологи по обработке металлов.
Пятый, заключительный этап- испытания формующего
инструмента при работе его на перерабатывающей машине, а затем - его
промышленная эксплуатация. В этом принимают участие технолог цеха по
переработке резины и механик цеха по оборудованию. Первый отвечает за контроль
качества сырья и готовой продукции, наладку и контроль технологических режимов
формования, а второй - за поддержание оборудования в рабочем состоянии. Каждый
из этих специалистов должен обладать знаниями в области технологии переработки,
оборудования и формующего инструмента.
Конструктор должен искать и реализовывать в
чертежах оптимальные варианты, а это связано с необходимостью комплексно решать
в большинстве случаев проблемы: термостатирования (обеспечения однородности
температурных полей в формующем инструменте и экономного расхода энергии);
гидродинамики заполнения формующей полости материалом (учета скоростных
факторов для обеспечения наибольшей производительности работы инструмента и
ориентации материала, влияющей на качество изделий и т. д.); прочности
(обеспечения рациональной материалоемкости формующего инструмента, учета
опасных напряжений в наиболее нагруженных элементах); взаимозаменяемости и
точности (обоснованного выбора долговечных посадок и оптимальных квалитетов
размеров, в первую очередь- размеров сопрягаемых элементов, степеней точности,
допускаемых отклонений от правильной геометрической формы, классов
шероховатости поверхностей, номинальных исполнительных размеров формующей
полости); надежности и долговечности работы (кратковременной - в течение
каждого технологического цикла, длительной- планируемой на весь период
выполнения программы выпуска изделий); безопасной эксплуатации; патентной
экспертизы и чистоты. Необходимая глубина решения этих проблем определяется
уровнем требований, предъявляемых к качеству изделий, и объемом их
производства.
1. Расчет гнездности оснастки и характеристика
оборудования
Расчет гнездности заключается в выборе
оптимального количества гнезд в пресс- форме.
где n-
количество гнезд в пресс- форме;
F- максимальное
усилие пресса, Н;
Руд- удельное давление прессования,Па;
Sизд- площадь
проекции резиновой смеси на плиту пресса;
з- к.п.д. (0,7-0,9)

шт
В связи с тем, что пресс- форма для
94 изделий слишком громоздка и имеет большую массу, что затрудняет ее
перемещение, поэтому сконструируем пресс- форму на 16 изделий.
Процесс изготовления формовых
резиновых изделий включает две стадии: 1) формование резиновой смеси, в
результате которого приобретается форма готового изделия; 2) вулканизация
резиновой смеси, в результате чего происходят структурные изменения в строении
полимера и отформованное изделие приобретает необходимые физико-механические
свойства.
Различают следующие способы
формования: компрессионное (прямое) прессование; формование с использованием
литья под давлением одной из разновидностей которого является трансферное прессование;
вакуумное формование и пневмоформование. Выбор того или иного способа
формования определяется конфигурацией и размерами изделия, требованиями,
предъявляемыми к нему, свойствами резиновой смеси и физико-механическими
показателями вулканизатов, программой выпуска и экономическими условиями.
Одним из наиболее распространенных
методов изготовления формовых РТИ является компрессионный Технологически он
прост и не требует сложного оборудования. Формуемую резиновую смесь загружают в
нагретую пресс-форму, которая замыкается между плитами гидравлического пресса.
Для надежного заполнения полости пресс-формы и получения качественного изделия
заготовке придают конфигурацию, возможно более близкую к очертанию готового
изделия и по массе с допуском 3-5%. В процессе формования давление должно
достигать такой величины, при которой обеспечивается уплотнение материала,
оформление изделия и удаление из формы летучих веществ.
Конструкция пресс-форм определяется
конфигурацией прессуемого изделия, а также типом прессового оборудования.
Пресс-формы классифицируют по следующим признакам: характеру эксплуатации,
методу прессования, числу плоскостей разъема, конструктивным признаком. По
характеру эксплуатации пресс-формы разделяют на съемные и стационарные. Съемные
пресс-формы после каждой запрессовки вручную или с помощью механических
устройств снимают с пресса для извлечения свулканизованных изделий и укладки
заготовок и арматуры. Разъем этих пресс-форм производится с помощью
распрессовочных приспособлений или механизмами перезарядчика. В стационарных
пресс-формах весь цикл прессования изделия происходит без нарушения их связи с
прессом.
По методу прессования прессформы
делят на компрессионные формы и формы литьевого прессования. По числу
оформляющих гнезд различают одногнездные и многогнездные формы. В одногнездных
пресс-формах за один цикл прессования формуется одно изделие, а в многогнездных
- несколько изделий.
По характеру разъема различают
пресс-формы с одним, двумя или более разъемами, с вертикальным, горизонтальным,
наклонным и комбинированным разъемами. Пресс-формы с одним горизонтальным
разъемом называют двухплитными, с двумя - трехплитными и т. д.
По конструктивным признакам
компрессионные пресс-формы делят на формы открытого и закрытого типов. В
пресс-форме с открытой полостью формования заготовка укладывается
непосредственно в гнездо матрицы. В прессформе с закрытой полостью формования
заготовка укладывается в специальную камеру и в процессе формования пуансоном
передавливается в формообразующую полость.
Все детали, из которых состоят
пресс-формы, можно разделить на две группы: рабочие детали, непосредственно
участвующие в формовании изделия и находящиеся
и находящиеся в контакте с резиновой
смесью; детали конструкционного назначения, осуществляющие фиксацию, жесткую
или подвижную связь частей пресс-форм, связь с прессом и с перезарядчиком и
т.д.
К рабочим деталям относятся матрицы,
пуансоны, вкладыши, сердечники, знаки и другие. Матрица является основной
частью пресс-формы. Она придает изделию необходимые наружные размеры и
конфигурацию. Пуансон служит для передачи давления на резиновую смесь, иногда
он также формует часть наружной поверхности изделия. Сердечник образует в
формуемом изделии внутреннюю поверхность, углубления, выемки, полости. Знаки
образуют в формуемом изделии отверстия и окна. От качества и точности
изготовления пресс-форм, от рациональной их конструкции в большой степени
зависит качество формования изделий, удобство работы и производительность
труда. Вместе с тем важнейшим требованием к конструкции пресс-форм является
унификация их основных элементов и размеров, позволяющая использовать их на
различных видах прессового оборудования и с различными приспособлениями.
Для вулканизации формовых и
неформовых резиновых и резинометаллических технических изделий применяются
вулканизационные котлы, автоклав-прессы, прессы различной конструкции. Ванны с
жидкой средой, воздушные камеры, барабанные туннельные вулканизаторы, а также
установки для вулканизации инфракрасными лучами и в псевдоожиженном слое.
В производстве резиновых технических
изделий способ вулканизации изделий в формах на прессах применяется наиболее
часто.
В данном курсовом проекте для
вулканизации применяется вулканизационный пресс 160-600-П4.
Современный вулканизационный
четырехэтажный пресс 160-600-П4 с двумя подъемными столиками для перезарядки
форм показан на рисунке 1. Пресс рамной конструкции с индивидуальным
гидроприводом- гидравлической установкой 3. На станине 1 укреплен гидроцилиндр
2. Пар подводится к нагревательным плитам 4,9 и 10 по шарнирным трубопроводам
5. На верхней части станины укреплен бак для масла 6. Нагревательные плиты
закрыты теплоизоляционным кожухом 7, соединенным с вытяжной вентиляцией. Пресс
предназначен для работы с одиночными формами и оборудован двумя подъемными
столиками 8 и 11 для перезарядки форм. Столики гидравлического действия, столик
8 обслуживает два верхних этажа пресса, а столик 11- два нижних этажа.
Рисунок 1.- Вулканизационный
четырехэтажный пресс 160-600-П4
2/
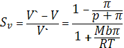
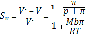
Расчет исполнительных размеров формообразующих деталей
Среднее значение объемной усадки, выраженное
через начальное состояние полимера и постоянные уравнения состояния,
рассчитываются по формуле

где V`- объем
гнезда формы;
V- объем
изделия при нормальных условиях;
р- внутреннее давление,
обусловленное силами межмолекулярного взаимодействия;
М- молекулярная масса структурной
единицы, обуславливающей молекулярное взаимодействие;
b- константа,
учитывающая собственный объем молекул;
R-
универсальная газовая постоянная;
T- абсолютное
значение температуры расплава.
Средняя линейная усадка
Численные значения констант уравнения состояния
для некоторых полимеров приведены в таблице 1.
Таблица 1.
|
каучук
|
М,г/моль
|
р,МПа
|
b, /г
|
|
СКН-18
|
34
|
361,0
|
0,861
|
Для резиновых смесей на основе данного каучука
значения не зависят от содержания наполнителя, а М и b
корректируются по формулам:

где 
- массовая доля наполнителя;
q- массовая
доля каучука.

где 

соответственно масса наполнителя и каучука;

удельный объем наполнителя (
≈0,5 
).
Корректируем значения констант
уравнения состояния по формулам


Так как данный вид усадки
рассчитывается для литья под давлением, то примем давление равным 80 МПа
Объемная усадка

=
0,03, т.е. 3% (1,стр 189)
Средняя линейная усадка в
соответствии с уравнением

=1-
≈0,01,т.е. 1%
3. Расчет РТИ по основным параметрам (шины)
Профиль шины 185/65R14
представлен на рис.2.
Выбираем точку обода. В качестве этой точки
предварительно принимаем точку А на рис. 2, находящуюся на расстоянии 215мм от
оси вращения. Синус угла нити корда в этой точке равен


Откуда 
Так как для этого значения угла в
точке обода номограмма отсутствует, то в качестве расчетного угла принимаем боб=36°.
Находим расстояние точки обода от
оси вращения:

=
Наносим точку обода на чертеж
профиля шины (точка С на рис. 2). Измеряем расстояние точки обода от оси
симметрии профиля: h=69 мм. Определяем длину нити корда
от точки обода до экватора по формуле:

пользуясь формулой Симпсона при четырех
интервалах.
С этой целью, установив измеритель на раствор 10
мм, измеряем длину контура от экватора до точки обода. Получаем s=167мм.
Наносим на чертеж точки,
соответствующие делению дуги на четыре равные части по Дs=41,7 мм (точки 1, 2,
3 на рис. 2). Измеряем расстояния каждой из точек деления от оси вращения и
определяем для каждой точки величину 
, учитывая, что 
.
При вычислении
удобно пользоваться номограммой
(рис. 48; 2 стр54), описанной ранее Для этого вычисляются отношения S расстояния
каждой точки от оси вращения к некоторой условной величине Ro (принято Ro=200мм).
Затем значение угла корда по экватору 
=57° на
крайней правой шкале номограммы соединяется со значением д=1,485 для экватора,
взятым на второй справа шкале, и получается засечка на вспомогательной шкале.
Проводя прямые через эту засечку и значения д для каждой из точек, получаем на
крайней правой шкале соответствующие значения 
Эти значения приведены в табл. 2.
Таблица 2 Определение длины нити корда.
|
Точка
|
r,мм
|
д=  
|
|
|
Экватор
|
297
|
1,485
|
1,83
|
|
1
|
297
|
1,485
|
1,83
|
|
2
|
283
|
1,415
|
1,72
|
|
3
|
246
|
1,23
|
1,41
|
|
Точка
обода С
|
208
|
1,04
|
1,23
|
Длина нити определяется по формуле Симпсона:

41,7/3·(1,83+4·1,83+2·1,72+4·1,41+1,23=270,8мм
Вычисляем отношения:


b/rоб=82,5/208=0,39
Наносим соответствующую точку на номограмму
равновесной конфигурации для боб = 36°(2,стр 368,рис.14).
вк=60° b/rоб= 0,425 𝜆о =0,77
Определяем размеры надутой покрышки:
изменение радиуса экватора

=297·ctg57
=9,64 мм.
радиус экватора по внутреннему
контуру каркаса
R=R’+ДR=297+9,64=306,64
мм.
наружный диаметр надутой шины
D=D’+2ДR=596+2·9,64=615,3
мм.
Расстояние наиболее широкого места профиля от
оси вращения:
r0=
𝜆оR=0,77
· 306,64= 236,1 мм.
Ширина профиля по внутреннему контуру каркаса:
2b=2rоб(b/rб) =2·
208· 0,425=176,8 мм.
Ширина профиля по наружному контуру:
B=2b+2t=176,8+2·5=186,8
мм.
По условию дано i=50
нитей/см
Находим усилие нити по экватору
·
=0,98 кгс.
Разрывное давление
Nр = 4
1,99 кгс.
Запас прочности
4. Расчет установленного ресурса оснастки
Гамма - процентная наработка до отказа Tг,
и гамма -процентный ресурс Тpf
пресс- формы определяются по формулам
Tг=Нг·Кш·Кв·Кк·Км·Кт·Ка·Ко·Кр·n
Тpf=3·
Tг
где Нг -номинальная гамма- процентная
наработка до отказа пресс-формы с одной формообразующей полостью(местом), шт
Кш- коэффициент, учитывающий
количество формообразующих полостей (мест) в пресс-форме
Кв - коэффициент, учитывающий высоту
РТИ
Кк - коэффициент, учитывающий квалитет
точности РТИ
Км- коэффициент, учитывающий материал
формообразующих деталей пресс-формы Кт - коэффициент, учитывающий
твердость формообразующих поверхностей пресс-формы Ка - коэффициент,
учитывающий глубину азотирования формообразующих поверхностей пресс-формы
Ко - коэффициент, учитывающий
конструктивные особенности пресс-формы
Кр - коэффициент, учитывающий тип
каучука
n - число
формообразующих полостей в пресс- форме.
По ГОСТ 14901- 93 выбираем Нг=2640; Кш=1,00;
Кв=1,00; Кк=0,8; Км=0,7; Кт=1,00; Ка=1,10;
Ко=1,1; Кр=1,00
Тогда получаем:
Tг=2640·1·1·0,8·0,7·1·1,1·1,1·1·16=28621
Тpf=3·28621=85863
. Материалы деталей, их свойства и технология
переработки
Основными и самыми распространенными материалами
для изготовления формообразующих деталей являются стали. Срок службы пресс-форм
зависит главным образом от стойкости формообразующих деталей, а она связана с
правильным выбором марки стали, режимов ее термообработки или упрочнения.
Основными причинами потери стойкости материалов
формообразующих деталей являются: износ, разрушение, смятие, коррозия, адгезия
полимеров к поверхности формообразующих деталей.
Износостойкость стальных формообразующих деталей
определяется типом и количеством карбидной фазы и твердостью мартенситной
основы сталей. Определяющим является их абразивный износ, усиленный
воздействием агрессивных химических веществ, выделяющихся в рабочей зоне
формования.
Разрушение формообразующих деталей - сколы
тонких элементов, перемычек и т.д. - наблюдаются чаще при использовании
цементируемых сталей в результате влияния концентрации напряжений.
Смятию подвергаются локальные участки
формообразующих деталей поверхности из-за неравномерной и пониженной
прокаливаемости некоторых сталей при попадании в плоскость разъема формы
твердых частиц материала.
Материалы для изготовления формообразующих
деталей пресс-форм и их твердость выбираются в соответствии с таблицей 3.
Таблица 3
|
Марка
стали
|
Твердость
HRC
|
Обработка
поверхности азотированием (хромированием)
|
|
|
30;35;40;45;50;55;
30Г;40Г;45Г;50Г;
|
26….36
36….46
|
-(+)
|
|
|
30Х;35Х;38ХА;40Х
45Х;50Х;30ХГС 30ХГСА;35ХГСА
|
(520….650)
|
+(-)
|
|
|
30….36
36….46
|
-(+)
|
|
|
30ХН2МФА;38Х2Ю;38Х2МЮА
|
(1000….1150)
|
+(-)
|
|
|
20Х13;30Х13;40Х13
95Х18
|
(850…950)
|
+(-)
|
|
|
38….49
Св.49
|
-(-)
|
|
|
ДИ
80(05Х12Н6Д2СГТМФ)
|
47….53
|
-(-)
|
|
|
|
|
|
|
Допускается заменять материалы на другие с
механическими свойствами не ниже, чем у приведенных. В деталях, имеющих
различные твердости, размер переходной зоны твердостей должен быть в пределах
15-30мм нормируемого участка. Заготовки деталей пресс-форм из инструментальных
и легированных статей должны быть подвергнуты отжигу или нормализации,
обеспечивающей возможность их дальнейшей механической и термической обработки и
стабильность размеров. Твердость заготовок деталей после отжига и нормализации
не более 230 НВ.
На поверхности деталей не должно быть следов
коррозии, трещин и других механических повреждений, обезуглероженного слоя и
шлифовальных прижогов, ухудшающих прочность, эксплуатационные качества и
внешний вид.
Допускаются:
б) на деталях с параметрами шероховатости
поверхности Ra
≥
1,6 мкм по ГОСТ 2789 вмятины, задиры и т. д, а также дефекты материала по
подпункту а) в пределах половины допуска на проверяемый размер.
Сварные детали, влияющие на качество пресс-форм
должны подвергаться термической обработке для снятия внутренних напряжений.
Сварные швы должны быть непрерывными с мелкочешуйчатой поверхностью. Не
допускаются наплывы, подрезы, прожоги, трещины, отдельные поры или
неметаллические включения размером более 3 мм. цепочки пор и неметаллических
включений обшей протяженностью более 5 % длины шва, непровар.
Детали, имеющие остаточный магнетизм, после
окончательной обработки, должны быть размагничены и не должны притягивать
детали из малоуглеродистой стали массой более 0.2 г.
Для уменьшения адгезии (прилипания) резины к
формообразующим поверхностям деталей пресс-форм:
а) детали с азотированной поверхностью после
азотирования и окончательной полировки или доводки должны быть очищены,
обезжирены и термически обработаны при температуре 250-300°С,продолжительность
выдержки соответственно 2-3ч.
б) детали, изготовленные из коррозионно-стойких
сталей, рекомендуется подвергать покрытию Х0,5.тв-Х1,0.тв.
Шероховатость поверхностей деталей пресс-формы
должна соответствовать значениям параметра Ra
по ГОСТ 2789:
.3 мкм - для поверхностей, не влияющих на
эксплуатационные характеристики пресс-формы;
,2 мкм - для резьбе;
,8 мкм - для опорных и посадочных поверхностей
плит и других деталей пресс-формы, поверхности или плоскости разъема
формообразующих деталей;
,4
мкм - для сопрягаемых поверхностей колонок с втулками, поверхностей облойных
канавок, литниковых систем, загрузочных камер и поршней, сопрягаемых друг с
другом;
,2 мкм - для формообразующих поверхностей.
Формообразующие поверхности должны полироваться
до и после гальванического покрытия, химической или химико-термической
обработки.
Ст 3- сталь углеродистая обыкновенного качества,
конструкционная, содержание С: 0.14- 0.22; Si:
0.05- 0.17; Mn: 0.4- 0.65;
Ni: до 0.3; S:
до 0.05; P: до 0.04.
Плотность стали (7,7-7,9)×103кг/м3,
удельный вес стали (7,7-7,9)×103г/см3,
температура плавления стали 1300-1400˚С.
Сталь 40Х-сталь конструкционная легированная,
содержание С: 0.36- 0.44; Si:
0.17- 0.37; Mn: 0.5- 0.8; Ni:
до 0.3; S: до 0.035; P:
до 0.035;Cr 0.8-1.1.
Должна иметь высокий предел текучести, малую малую чувствительность к
напряжениям, высокий предел выносливости и достаточный запас вязкости, высокой
прокаливаемостью.
Сталь У8А- инструментальная сталь имеет
плотность 7850 кг/м3, содержание С: 0.76- 0.83; Si:
0.17- 0.33; Mn: 0.17-
0.33; Ni: до 0.2; S:
до 0.018; P: до 0.025.
Обладают высокой твердостью, прочностью и износостойкостью.
Описание работы разработанной оснастки:
. Произвести объемное или весовое дозирование
пресс- материала:
Из экструдированного круглого профиля диаметром
5-6 мм. Резать заготовки длиной 180 мм, или из каландрованного листа толщиной 5
мм, заготовки шириной 55 мм и длиной 180 мм.
. Свернуть заготовки кольцом и уложить в гнезда
раскрытой пресс- формы.
. Соединить половины пресс-формы.
. Установить пресс- форму в пространство между
нагретыми плитами пресса.
. Включить гидропривод пресса и сомкнуть плиты
для создания прессующего усилия и зажима пресс- формы на время вулканизации
соблюдая необходимое манометрическое давление.
. Выдержать пресс- форму в замкнутом состоянии
заданное время для вулканизации резиновой смеси.
. Разомкнуть плиты пресса и извлечь пресс-
форму.
. Разъединить две половины пресс- формы и
извлечь отформованные изделия из гнезд.
. Очистить пресс- форму от прилипших частиц и
излишков материала и повторить процесс с п.1.
резиновый шина пресс форма
Заключение
В данном курсовом проекте разработана пресс-форма
для изготовления детали - РТИ-прокладка плоская с 5- отверстиями.
Для разработки конструкции, технологической
оснастки для изготовления изделий из эластомерных материалов произведены
необходимые расчеты: расчет гнездности, расчет усадки изделия; количество гнезд
в пресс- форме 16, расчет установленного ресурса оснастки. Описана работа
разработанной оснастки, подобраны материалы для ее изготовления. Приведена
характеристика оборудования.
Список используемой литературы
1. Красовский
В.Н., Воскресенский А.М. Примеры и задачи по технологии переработки
эластомеров.- Л.: Химия, 1984. - 240 с.
2. Автомобильные
шины. Под редакцией Бидермана В.Л.- М.: Госхимиздат, 1963. - 384 с.
3. Рагулин
В.В., Вольнов Л.А. Технология шинного производства. - М.: Химия, 1981. - 264
с.
4. Лепетов
В.А. Резиновые технические изделия. - Л.: Химия, 1976. - 440 с.
5. Работа
автомобильной шины / Под ред. В. И. Кнороза. - М.: Транспорт, 1976. - 238 с.
.Иванова
В.Н., Алешунина Л.А. Технология резиновых изделий. - Л.: Химия, 1988. - 288
с.
7 Шейн
В.С., Шутилин Ю.Ф.Основные процессы резинового производства. - Л.: Химия, 1988.
- 160 с.
8
Ильясов Р.С., Дорожкин В.П., Власов Г.Я., Мухутдинов А.А. Шины. Некоторые
проблемы эксплуатации и производства. - Казань: ГТУ, 2000. - 576 с.
9 ГОСТ
14901-93- Пресс-формы для изготовления резинотехнических изделий. Общие
технические условия.
10
ГОСТ 29077-91- Пресс-формы для резинотехнических изделий. Основные правила
эксплуатации и ремонта.
ГОСТ
24269-80-Втулки направляющие съемных и кассетных пресс- форм для изготовления
резинотехнических изделий.