Исследование ликвидности и платежеспособности ЧТУП 'Волмер'

  • Вид работы:
    Дипломная (ВКР)
  • Предмет:
    Финансы, деньги, кредит
  • Язык:
    Русский
    ,
    Формат файла:
    MS Word
    94,75 kb
  • Опубликовано:
    2011-07-19
Вы можете узнать стоимость помощи в написании студенческой работы.
Помощь в написании работы, которую точно примут!

Исследование ликвидности и платежеспособности ЧТУП 'Волмер'

МОСКОВСКИЙ НОВЫЙ ЮРИДИЧЕСКИЙ ИНСТИТУТ

Финансово-экономический факультет

 

Кафедра «Финансы»


Задание на дипломную работу

ЗАДАНИЕ И КАЛЕНДАРНЫЙ ПЛАН

по выполнению дипломной работы

студентом (кой) _5__ курса ___ I1F07фвс группы

Шух Елена Александровна__________________________________

(Ф.И.О полностью)

Тема работы:

«Анализ ликвидности и платежеспособности ЧТУП «Волмер»»

Утверждена приказом № от « » 20___г.

1. Срок сдачи студентом законченной работы 15.05.2010г.

2. В разделах дипломной работы изложить:

· во введении - актуальность разрабатываемой темы, цели и задачи, поставленные в дипломной работе, практическую ценность работы;

· в главе I - общетеоретическую часть;

· в главе II - анализ практического материала;

· в главе III - обоснование выводов и рекомендаций;

· в заключении - обобщенные выводы и предложения, направленные на улучшение деятельности предприятия (организации).

3. Объем дипломной работы - 60-70 машинописных страниц.

4. Перечень прилагаемого материала: приложения.

Основная рекомендованная литература:

Попов Е.М. Финансы предприятия: Учебник для вузов. - Мн.:2008

Финансы: Учебник для вузов. Под ред. проф. М.В.Романовского, проф. О.В.Врублевской, проф. Б.М. Сабанти. - М.: Издательство "Перспектива"; Издательство "Юрайт", 2007г.

Бочаров В.В. Управление денежным оборотом предприятий и корпораций. - М.: Финансы и статистика, 2006г.

Финансы. Денежное обращение и кредит. Учебник./ Под ред. В. К. Сенчагова, А. И. Архипова - М.: «Проспект», 2007

Хелферт Э. Техника финансового анализа /Пер. с англ. под ред. Белых Л.П. М.: Аудит, ЮНИТИ, 2006.

5. Объект исследования ЧТУП «Волмер»

КАЛЕНДАРНЫЙ ПЛАН-ГРАФИК ВЫПОЛНЕНИЯ ДИПЛОМНОЙ РАБОТЫ

ликвидность платежеспособность финансовая устойчивость

№ п/п

Наименование этапа работ

Срок выполнения

Оценка выполненного этапа работ

Роспись руководителя



по плану

фактически



1.

Написание введения

25.02.2010г.




2.

Написание главы I

20.03.2010г.




3.

Написание главы II

10.04.2010г.




4.

Написание главы III

01.05.2010г.




5.

Написание заключения

10.05.2010г.




6.

Оформление дипломной работы

20.05.2010г.




7.

Получение отзыва руководителя

01.06.2010г.




8.

Получение рецензии

01.06.2010г.




9.

Подготовка доклада, таблиц, схем и т.д.

01.06.2010г.




10.

Защита дипломной работы

08.06.2010г.





«УТВЕРЖДАЮ»

«______» ______________ 2010г.

Зав. кафедрой к.э.н., доцент

_________________________А.Б. Ярощук

Научный руководитель (звание, степень)

_________________________Ф.И.О.

Задание приняла к исполнению

______________(Ф.И.О. студента)

АННОТАЦИЯ

на дипломную работу студента группы __ I1F07фвс

Негосударственного образовательного частного учреждения

высшего профессионального образования

«Московский новый юридический институт»

Шух Елена Александровна____________________________

(Ф.И.О. полностью)

на тему: «Анализ ликвидности и платежеспособности (на примере ЧТУП «ВОЛМЕР»)

Структура дипломной работы обусловлена целью и задачами исследования.

Дипломная работа: 72 стр., 8 таблиц, 33 источника, 7 приложений.

Целью дипломной работы является анализ ликвидности и платежеспособности как основных элементов финансово-экономической устойчивости, которые являются составными частями общего анализа финансово-экономической деятельности предприятия в рыночной экономике.

В своем дипломном проекте «Анализ ликвидности и платежеспособности» было проанализировано понятие платежеспособности предприятия с помощью анализа и оценки структуры бухгалтерского баланса.

Важнейшим показателем финансового равновесия выступает платежеспособность предприятия, под которой подразумевают его способность вовремя удовлетворять платежеспособные требования поставщиков продукции в соответствии с хозяйственными договорами, возвращать кредиты, производить оплату труда персонала, вносить платежи в бюджет и т.д., то есть своевременно оплачивать свои обязательства.

Платежеспособность предприятия принято измерять показателями, проявляющимися в виде тех или иных коэффициентов, характеризующих отношение оборотных активов (общей суммы или части) к краткосрочным обязательствам. Эти отношения отражают долю оборотных активов, которую можно использовать для покрытия краткосрочных обязательств. Чем выше эта величина, тем больше уверенность в оплате краткосрочных обязательств из имеющихся оборотных средств. Они также указывают на временный период, в котором предприятие характеризуется определенной платежеспособностью. Чем больше это соотношение в пользу активов, тем лучше для кредиторов. Таким образом, коэффициенты, характеризующие платежеспособность, позволяют измерить покрытие обязательств предприятия оборотными активами; показывают резерв ликвидности предприятия; период, в котором этот резерв сохраняется как гарантия безопасности против неопределенности и любого рода риска, которому подвержены денежные потоки предприятия.

Объектом диагностики при проведении оценки платежеспособности явилось ЧТУП «ВОЛМЕР», а если точнее - степень его платежеспособности.

Во второй части дипломной работы была проанализирована деятельность торгового предприятия и на основании баланса установлено, что у предприятия платежеспособность на низком уровне и следует искать пути выхода из сложившейся ситуации путем анализа источников информации.

Дипломная работа состоит из введения, трех глав, заключения, списка используемой литературы, включающего 33 источника.

При написании дипломной работы использовались инструктивно-методический материал, статьи периодической печати, а также данные годовых отчетов, учетная политика и устав анализируемого предприятия.

Автор работы подтверждает, что приведенный в ней расчетно-аналитический материал правильно и объективно отражает состояние исследуемого процесса, а все заимствованные положения и концепции сопровождаются ссылками на их авторов.

СОДЕРЖАНИЕ

ВВЕДЕНИЕ

. ТЕОРЕТИЧЕСКИЕ ОСНОВЫ АНАЛИЗА ЛИКВИДНОСТИ И ПЛАТЕЖЕСПОСОБНОСТИ

.1 Понятие ликвидности и платежеспособности организации

.2 Методологические подходы к анализу платежеспособности

. АНАЛИЗ ЛИКВИДНОСТИ И ПЛАТЕЖЕСПОСОБНОСТИ ЧТУП «ВОЛМЕР»

.1 Организационно-экономическая характеристика предприятия

.2 Экспресс-анализ финансового состояния ЧТУП «Волмер»

. ПУТИ УЛУЧШЕНИЯ ЛИКВИДНОСТИ И ПЛАТЕЖЕСПОСОБНОСТИ ЧТУП «ВОЛМЕР»

.1 Пути улучшение ликвидности и платежеспособности предприятия

.2 Экономический эффект от предложенных изменений на предприятии ЧТУП «ВОЛМЕР»

ЗАКЛЮЧЕНИЕ

СПИСОК ИСПОЛЬЗОВАННЫХ ИСТОЧНИКОВ

ПРИЛОЖЕНИЯ

ВВЕДЕНИЕ

Проблема платежеспособности в современном мире весьма актуальна. От того, насколько успешно она решается, зависит многое в экономической и социальной жизни любой страны в широком смысле слова, практически любого предприятия в узком смысле.

Нынешнее состояние экономики характеризуется сокращением производства и экономической активности, снижением производственных капитальных вложений, дезинтеграцией денежного обращения. Эти тенденции явились результатом проводившейся макроэкономической политики, обусловившей разрыв основных воспроизводственных контуров и хозяйственных связей. Игнорирование структурных особенностей экономики в надежде на автоматическое действие механизмов рыночной самоорганизации спровоцировало процессы ее дезинтеграции и нарастания хаоса. Попытки применения традиционных для состояния рыночного равновесия методов макроэкономической стабилизации путем ограничения денежной массы не могли дать адекватный результат. При характерных для экономики диспропорциях это привело к ее неизбежному распаду на автономно функционирующие сектора, каждый из которых стремится к собственному состоянию равновесия.

В условиях высокой насыщенности рынка предлагаемых товаров, превышения на нем предложения над спросом каждому предприятию в условиях рыночной экономики приходится вести жесткую борьбу за предпочтения потребителя. Множество предприятий одновременно предлагают одинаковые или различные способы удовлетворения одной и той же потребности потребителя на равных или незначительно варьирующих ценовых условиях. В этой ситуации предпочтение отдается тем товарам и той услуге, которые в маркетинге определяются как конкурентоспособные. От этого зависит финансовое состояние предприятия, его платежеспособность.

Руководители и бизнесмены в процессе повседневной работы должны получать ответы на следующие вопросы:

·      имеются ли денежные средства, чтобы осуществить расходы по оплате применяемых ресурсов;

·        какие ожидаются поступления капитала;

·        какой предполагаемый отток капитала;

·        какие финансовые запасы.

Такая информация позволяет принять необходимые и грамотные производственно-хозяйственные и финансово-экономические решения. Ее можно получить при правильном аналитическом учете, основанном на регулярном финансовом анализе, содержание которого во многом зависит от того, какие цели преследует аналитик.

Важным показателем финансового равновесия выступает платежеспособность предприятия, под которой подразумевают его способность вовремя удовлетворить платежные требования поставщиков в соответствии с хозяйственными договорами и т.д. Таким образом, тема дипломной работы очень актуальна для нашего времени.

Объектом исследования выступает предприятие розничной торговли ЧТУП «Волмер».

Предметом исследования является платежеспособность ЧТУП «Волмер».

Целью дипломной работы является анализ ликвидности и платежеспособности как основных элементов финансово-экономической устойчивости, которые являются составными частями общего анализа финансово-экономической деятельности предприятия в рыночной экономике.

В соответствии с поставленной целью необходимо решить следующие задачи:

-       изучить основы финансового анализа хозяйственной деятельности

предприятия;

-       рассмотреть методологические подходы к анализу платежеспособности;

-       провести анализ платежеспособности на ЧТУП «Волмер», в частности, анализ ликвидности баланса, финансовой устойчивости и ее показателей;

-       наметить пути улучшения платежеспособности ЧТУП «Волмер».

Методологической основой дипломной работы явилась специальная, периодическая литература по вопросам анализа финансового состояния предприятия, труды отечественных специалистов в области оценки финансового состояния предприятия Савицкой Г.В., Ковалева В.В., Донцовой Л. В., Никифоровой Н.А., Шеремет А. Д., Сайфулина Р. С., Негашева Е.В и других.

Информационными источниками являются: Конституция РБ и Гражданский Кодекс РБ.

Источниками информации для проведения анализа является публичная бухгалтерская отчетность ЧТУП «Волмер» за 2007-2009 годы.

1. ТЕОРЕТИЧЕСКИЕ ОСНОВЫ АНАЛИЗА ЛИКВИДНОСТИ И ПЛАТЕЖЕСПОСОБНОСТИ

.1 Понятие ликвидности и платежеспособности организации

В условиях экономической обособленности и самостоятельности, хозяйствующие субъекты обязаны в любое время иметь возможность срочно погашать свои внешние обязательства, т.е. быть платежеспособными, или краткосрочные обязательства, т.е. быть ликвидными.

Под ликвидностью организации понимается ее способность покрывать свои обязательства активами, срок превращения которых в денежную форму соответствует сроку погашения обязательств [12, с.135].

Ликвидность означает безусловную платежеспособность организации и предполагает постоянное равенство между ее активами и обязательствами одновременно по общей сумме; срокам превращения в деньги (активы) и срокам погашения (обязательства).

Платежеспособность организации - внешний признак его финансовой устойчивости и обусловлена степенью обеспеченности оборотных активов долгосрочными источниками. Она определяется возможностью организации наличными денежными ресурсами своевременно погашать свои платежные обязательства. Анализ платежеспособности необходим не только для самой организации с целью оценки и прогнозирования его дальнейшей финансовой деятельности, но и для ее внешних партнеров и потенциальных инвесторов [12, с.140].

Хозяйствующий субъект считается платежеспособным, если его общие активы больше, чем долгосрочные и краткосрочные обязательства. Хозяйствующий субъект является ликвидным, если его текущие активы больше, чем краткосрочные обязательства.

Потребность в анализе ликвидности баланса возникает в связи с увеличением потребности в финансовых ресурсах и необходимостью оценки кредитоспособности хозяйствующего субъекта.

Ликвидность баланса означает степень покрытия обязательств его активами, срок превращения которых в денежную форму соответствует сроку погашения обязательств [18, с.167].

Ликвидность активов - величина, обратная ликвидности баланса по времени превращения активов в денежные средства. Чем меньше требуется времени, чтобы данный вид активов обрел денежную форму, тем выше его ликвидность.

Ликвидность хозяйствующего субъекта - более общее понятие, чем ликвидность баланса. Ликвидность баланса предполагает изыскание платежных средств за счет внутренних источников (реализации активов), но хозяйствующий субъект может привлекать заемные средства при условии его кредитоспособности, высокого уровня инвестиционной привлекательности и соответствующего имиджа [18, с.168].

От степени ликвидности баланса зависит платежеспособность. В то же время ликвидность характеризует как текущее состояние расчетов, так и перспективы.

Ликвидность баланса является основой платежеспособности и ликвидности хозяйствующего субъекта. Ликвидность - это способ поддержания платежеспособности.

Понятия платежеспособности и ликвидности очень близки, но второе более емкое. От степени ликвидности баланса и предприятия зависит платежеспособность. В то же время ликвидность характеризует как текущее состояние расчетов, так и перспективу. Предприятие может быть платежеспособным на отчетную дату, но при этом иметь неблагоприятные возможности в будущем, и наоборот.

На рисунке 1.1 (Приложение №1) приведена блок-схема, отражающая взаимосвязь между платежеспособностью, ликвидностью предприятия и ликвидностью баланса, которую можно сравнить с многоэтажным зданием, в котором все этажи равнозначны, но второй этаж нельзя возвести без первого, а третий - без первого и второго; если рухнет первый этаж, то и все остальные тоже. Следовательно, ликвидность баланса - основа (фундамент) платежеспособности и ликвидности предприятия. Иными словами, ликвидность - это способ поддержания платежеспособности. Но в, то, же время, если предприятие имеет высокий имидж и постоянно является платежеспособным, то ему легче поддерживать свою ликвидность.

Для хозяйствующего субъекта более важным является наличие денежных средств, нежели прибыли. Их отсутствие на счетах в банке в силу объективных особенностей кругооборота средств может привести к кризисному финансовому состоянию.

Для группировки статей баланса по группам можно использовать один из предложенных вариантов.

Первый вариант предложен авторами Шереметом А.Д. и Сайфулиным Р.С.

Анализ ликвидности организации представляет собой анализ ликвидности баланса и заключается в сравнении средств по активу, сгруппированных по степени ликвидности и расположенных в порядке убывания с обязательствами по пассиву, объединенными по срокам их погашения в порядке возрастания сроков [10, с.205].

Различают:

§  текущую ликвидность - соответствие дебиторской задолженности и денежных средств дебиторской задолженности;

§  расчетную ликвидность - соответствие групп актива и пассива по срокам их оборачиваемости в условиях нормального функционирования организации;

§  срочную ликвидность - способность к погашению обязательств, в случае ликвидации организации.

В зависимости от степени ликвидности, т.е. скорости превращения в денежные средства, активы организации разделяются на следующие группы:

Наиболее ликвидные активы А1:

·        суммы по всем статьям денежных средств, которые могут
быть использованы для проведения расчетов немедленно;

·        краткосрочные финансовые вложения (ценные бумаги):

А1 = строка 260 + строка 250.

Быстрореализуемые активы А2 - активы, для обращения которых в наличные средства требуется определенное время:

·        дебиторская задолженность (платежи по которой ожидаются в течение 12 месяцев после отчетной даты);

·        прочие дебиторские активы:

А2 = строка 230 + строка 270.

Медленнореализуемые активы А3 - наименее ликвидные активы:

·        запасы, кроме строки «Расходы будущих периодов»;

·        налог на добавленную стоимость по приобретенным ценностям;

·        дебиторская задолженность (платежи, по которой ожидаются более чем через 12 месяцев отчетной даты):

А3 = строка 210 + строка 220 + строка 234 - строка 219.

Труднореализуемые активы А4 - все статьи раздела I баланса «Внеоборотные активы»:

А 4 = строка 190.

Эти активы предназначены для использования в хозяйственной деятельности в течение достаточно длительного периода времени.

Первые три группы активов могут постоянно меняться в течение хозяйственного периода и относятся к текущим активам организации. Они более ликвидные, чем остальное имущество фирмы.

Обязательства организации (статьи пассива баланса) также группируются в четыре группы и располагаются по степени срочности их оплаты.

Наиболее срочные обязательства П1:

-       кредиторская задолженность;

-       задолженность участникам (учредителям) по выплате доходов;

-       прочие краткосрочные обязательства;

-       ссуды, не погашенные в срок:

П1 = строка 530 + строка 540 + строка 560.

Краткосрочные пассивы П2:

-       краткосрочные займы и кредиты;

-       прочие займы, подлежащие погашению в течение 12 месяцев после отчетной даты:

П2 = строка 520.

Долгосрочные пассивы П3:

-       долгосрочные кредиты и займы, статьи раздела IV баланса.

П3 = строка 510.

Постоянные пассивы П4:

-       статьи раздела III баланса «Капитал и резервы»;

-       отдельные статьи раздела V баланса «Краткосрочные обязательства», не вошедшие в предыдущие группы;

-       доходы будущих периодов;

-       резервы предстоящих расходов.

Для сохранения баланса актива и пассива итог данной группы следует уменьшить на сумму по статье «Расходы будущих периодов».

П4 = строка 490 + строка 550 + строка 219.

Организация считается ликвидной, если ее текущие активы превышают ее краткосрочные обязательства. Реальную степень ликвидности и ее платежеспособность можно определить на основе ликвидности баланса [10, с.259].

На первой стадии анализа указанные группы активов и пассивов сопоставляются в абсолютном выражении. Баланс считается ликвидным при условии следующих соотношений групп активов и обязательств:

А1≥П1; А2≥П2; А3≥П3; А4≥П4.

При этом если выполнены три следующие условия:

А1>П1; А2>П2; А3>П3,

т.е. текущие активы превышают внешние обязательства организации, то обязательно выполняется и последнее неравенство:

А4 < П4, которое подтверждает наличие у организации собственных оборотных средств и означает соблюдение минимального условия финансовой устойчивости.

Невыполнение одного из первых трех неравенств, свидетельствует о нарушении ликвидности баланса. При этом недостаток средств по одной группе активов не компенсируется их избытком по другой группе, так как компенсация может быть лишь по стоимости; в реальной платежной ситуации, менее ликвидные активы не могут заменить более ликвидные.

Сравнение наиболее ликвидных и быстро реализуемых активов с наиболее срочными обязательствами и краткосрочными пассивами показывает текущую ликвидность, т.е. платежеспособность или неплатежеспособность организации в ближайшее к моменту проведения анализа время. Сравнение медленно реализуемых активов с долгосрочными обязательствами показывает перспективную ликвидность, т.е. прогноз платежеспособности организации.

Второй вариант проведения аналитических работ по оценке ликвидности баланса предприятия (У.В. Савицкая) предлагает следующую группировку статей актива по степени ликвидности.

1.      Наиболее мобильные активы: денежные средства и краткосрочные финансовые вложения.

2.      Мобильные активы: готовая продукция, товары отгруженные, дебиторская задолженность.

3. Наименее мобильные активы: производственные запасы, незавершенное производство, расходы будущих периодов. Соответственно на три группы разбиваются и платежные обязательства предприятия:

1.      Задолженность, сроки оплаты которой уже наступили.

.        Задолженность, которую следует погасить в ближайшее время.

.        Долгосрочная задолженность.

Сравнение медленно реализуемых активов с долгосрочными и среднесрочными пассивами отражает перспективную ликвидность.

Для более точной оценки платежеспособности исчисляется величина чистых активов и анализируется их динамика.

Чистые активы представляют собой превышение активов над пассивами, принимаемыми в расчет.

В активы, принимаемые в расчет, включается имущество, за исключением НДС и задолженности участников (учредителей) по взносам в уставный капитал.

Пассивы, участвующие в расчете, включают часть собственных обязательств (целевые финансирование и поступления), все внешние обязательства, расчеты и резервы предстоящих расходов и платежей и прочие пассивы.

Если хозяйствующий субъект располагает чистыми активами, значит, он платежеспособен. Оценка дается по изменению их удельного веса в активах предприятия.

Одним из показателей уровня ликвидности является показатель чистого оборотного капитала. Он определяется как разность текущих (оборотных) активов и краткосрочных обязательств. Чем больше превышение оборотных активов над краткосрочными обязательствами, тем больше чистый оборотный капитал. Если хозяйствующий субъект не обладает чистым оборотным капиталом, он неликвиден.

Вторая стадия анализа - расчет финансовых коэффициентов ликвидности, который производится путем поэтапного сопоставления отдельных групп активов с краткосрочными пассивами на основе данных баланса.

Традиционно расчеты начинают с определения коэффициента абсолютной ликвидности, который рассчитывается как отношение наиболее ликвидных активов к сумме наиболее срочных обязательств и краткосрочных пассивов (сумма кредиторской задолженности и краткосрочных кредитов):

Кал = (Д+ ЦБ)/(К + 3) = (строка 250 + строка 260): (строка 520 +

+ строка 530 + строка 540+строка 560), (1)

где Д - денежные средства (стр. 250);

ЦБ - краткосрочные финансовые вложения (ценные бумаги), стр. 260;

К - кредиторская задолженность, тыс. руб.;

- краткосрочные заемные средства, тыс. руб.;

Нормальное ограничение − Кал = 0,2- 0,5.

Коэффициент показывает, какая часть текущей задолженности может быть погашена в ближайшее к моменту составления баланса время, что является одним из условий платежеспособности.

Если фактические значения коэффициента укладываются в указанный диапазон, что в случае поддержания остатка денежных средств на уровне отчетной даты (за счет обеспечения равномерного поступления платежей от партнеров по бизнесу) имеющаяся краткосрочная задолженность может быть погашена за 2-5 дней (1:0,5; 1: 0,2).

Следующим коэффициентом является коэффициент критической ликвидности (или промежуточный коэффициент покрытия) - он рассчитывается как частное от деления величины денежных средств, краткосрочных ценных бумаг и расчетов на сумму краткосрочных обязательств организации.

В этом случае к сумме активов, используемых для погашения краткосрочных обязательств, добавляют краткосрочную дебиторскую задолженность и определяют либо возможность полного покрытия краткосрочных обязательств этими активами, либо долю обязательств, которые могут быть покрыты в данной ситуации.

Коэффициент критической ликвидности отражает прогнозируемые платежные способности организации при условии своевременного проведения расчетов с дебиторами. Теоретически оправданное значение этого коэффициента ≈ 0,8.

кл = (II разд.бал. - строка 210 - строка 220 - строка 234): (строка 520 + + строка 530 + строка 540 + строка 560).

На заключительном этапе анализа, рассчитывают коэффициент текущей ликвидности или (коэффициент покрытия), который определяется как отношение всех оборотных средств текущих активов - (раздел II баланса) за вычетом налога на добавленную стоимость по приобретенным ценностям (строка 220) и дебиторская задолженность, платежи по которой ожидаются более чем через 12 месяцев после отчетной даты (строка 234) к текущим обязательствам (сумма строк 520 + 530 + 540).

Ктл = Та/ То = (II разд.бал. - строка 220 - строка 234): (строка 520 +

+ строка 530 + строка 540 + строка 560),        (2)

где Та - текущие активы;

То - текущие обязательства.

Сумму активов, используемых для расчета предыдущего коэффициента, увеличивают на величину запасов (строка 210 баланса). Коэффициент текущей ликвидности показывает, в какой степени текущие активы покрывают краткосрочные обязательства. Он характеризует платежные возможности организации, оцениваемые при условии не только своевременных расчетов с дебиторами и благоприятной реализации готовой продукции, но и продажи в случае нужды прочих элементов материальных оборотных средств. Уровень коэффициента покрытия зависит от отрасли производства, длительности производственного цикла, структуры запасов и затрат. Нормальным значением для данного показателя считается 2.

Превышение установленного норматива свидетельствует о том, что организация располагает достаточным объемом свободных ресурсов, формируемых за счет собственных источников. С точки зрения кредиторов, подобный вариант формирования оборотных средств является наиболее предпочтительным.

Невыполнение установленного норматива создает угрозу финансовой нестабильности ввиду различной степени ликвидности активов и невозможности их срочной реализации в случае одновременного обращения кредиторов.

Учитывая, что в состав текущих активов входит дебиторская

задолженность, часть из которой может быть сомнительной, а в составе запасов товарно-материальных ценностей могут быть неликвиды (о чем было сказано выше), в процессе анализа необходимо рассмотреть структуру активов и провести их ранжирование по степени ликвидности. Знаменатель коэффициента (краткосрочные обязательства) также может быть структурирован по срокам погашения.

В процессе анализа кредитного риска необходимо сопоставить коэффициенты текущей и критической ликвидности. Коэффициент покрытия и коэффициент критической ликвидности содержат разную информацию только в числителе, так как коэффициент покрытия включает и запасы товарно-материальных ценностей. Нормальным следует считать соотношение коэффициента покрытия к коэффициенту критической ликвидности на уровне 4/1. Нарушение соотношения за счет увеличения коэффициента покрытия говорит о существовании сверхнормативных и скрытых запасов товарно-материальных ценностей, большом объеме незавершенного производства и так далее, а значит, об ухудшении финансового состояния организации.

Оценка платежеспособности осуществляется на основе анализа ликвидности текущих активов организации, т.е. их способности превращаться в денежную наличность, так как зависит от нее напрямую. При этом в отличие от платежеспособности понятие ликвидности означает не только текущее состояние расчетов, но и характеризует соответствующие перспективы. В процессе анализа необходимо определить достаточность денежных средств. Метод оценки достаточности средств основан на анализе финансовых потоков организации: приток денежных средств должен обеспечивать покрытие текущих обязательств организации. Исходной информацией для анализа движения денежных средств являются данные Главной книги или журналов-ордеров по отдельным бухгалтерским счетам. При анализе финансовых потоков проводится сопоставление потоков поступления и расходования денежных средств [13, с.138].

Для анализа реального движения денежных средств, оценки синхронности поступления и расходования денежных средств, увязки полученного финансового результата с состоянием денежных средств в организации необходимо выделить и проанализировать все направления поступления (притока) денежных средств, а также их выбытия (оттока).

Критерием оценки финансового состояния организации служит показатель достаточности средств предприятия (К), который представляет собой общую разность поступлений и платежей; его еще называют общим показателем достаточности средств:

К = ∑j Kj,            (3)

где Kj - разность поступлений и платежей предприятия j-ом

подпериоде, рассчитывается как:

 = Дj - Pj, (4)

где Дj - сумма поступлений j-ом подпериоде;

Pj - показатель достаточности средств для j-ого подпериода (локальный).

Если в j-ом месяце:

а) поступления больше платежей (Дj * Pj), то имеет место излишек средств [Kj];

б) поступления меньше платежей (Дj * Pj), то имеет место дефицит средств [Kj].

Признаком достаточности средств в анализируемом подпериоде служит условие: Kj > 0, либо Kj = 0.

Таким образом, в процессе анализа необходимо оценить с одной стороны, уровень поступлений (приток) денежных средств, а с другой - текущую потребность организации в денежных средствах.

Анализ финансовых потоков следует проводить в двух разрезах: с учетом остатков денежных средств и обязательств и без учета остатков; это позволяет выявить «жизнеспособность» организации.

Общая платежеспособность организации определяется, как ее способность покрыть все свои обязательства (краткосрочные и долгосрочные) всеми имеющимися активами.

Коэффициент общей платежеспособности Кобщ.пл рассчитывается по формуле:

Кобщ.пл. = Активы организации / Обязательства организации, (1.5)

Кобщ.пл. = строка 190 разд. 1 бал. + строка 290 разд. 2 бал. + строка 460

разд. 3 бал. + строка 510 + строка 590 разд. 4 бал. - строка 470 разд. 3 бал. + строка 550 разд. 4 бал.

Очевидно, что нормальным ограничением для этого показателя будет Кобщ.пл ≥ 2. В процессе анализа отслеживается динамика этого показателя и производится его сравнение с указанным нормативом. Расчет платежеспособности проводится на конкретную дату. Полученная оценка субъективна и может быть выполнена с различной степенью точности. Для подтверждения платежеспособности проверяют: наличие денежных средств на расчетных счетах, валютных счетах, краткосрочные финансовые вложения. Все перечисленные активы должны иметь оптимальную величину. С одной стороны, чем значительнее размер денежных средств на счетах, тем с большей вероятностью можно утверждать, что организация располагает достаточными средствами для текущих расчетов и платежей.

С другой стороны, наличие незначительных остатков средств на денежных счетах не всегда означает, что организация неплатежеспособна: средства могут поступить на расчетные, валютные счета, в кассу в течение ближайших дней, краткосрочные финансовые вложения легко превратить в денежную наличность. Постоянное кризисное отсутствие наличности приводит к тому, что организация превращается в «технически неплатежеспособную», а это уже может рассматриваться как первая ступень на пути к банкротству. Далее следуют отсутствие просроченной задолженности и задержки платежей и несвоевременное погашение кредитов, а также длительное непрерывное пользование кредитами.

Низкая платежеспособность может быть как случайной временной, так и длительной, хронической, причинами возникновения которой могут быть:

·   недостаточная обеспеченность финансовыми ресурсами;

·   невыполнение плана реализации продукции;

·   нерациональная структура оборотных средств;

·   несвоевременное поступление платежей от контрактов;

·   товары на ответственном хранении и др.

В процессе анализа и детализации коэффициента общей платежеспособности организации проводится анализ показателей ф. №4 «Отчет о движении денежных средств». На основе данных ф. №4 определяют источники поступления денежных средств и направления их движения. С целью оценки динамики общей платежеспособности на базе этих данных рассчитывается соответствующий коэффициент:

Кпл = строка 010 ф. №4 + строка 020 ф. №4 + строка 030 ф. №4 (6)

где строка 010 ф. №4 - «Остаток денежных средств на начало года»;

строка 020 ф. №4 - «Поступило денежных средств, всего»;

строка 030 ф. №4 - «Направлено денежных средств, всего».

Но все названные показатели дают лишь общую одномоментную оценку динамики платежеспособности и не позволяют проанализировать ее внутриструктурные изменения. С этой целью проводится оценка текущей платежеспособности путем сравнительной оценки суммы имеющихся денежных средств и краткосрочных финансовых вложений с общей величиной задолженности, сроки оплаты которой уже наступили.

Идеальным считается вариант, когда полученный результат равен единице или превышает ее. Однако при проведении указанных расчетов по данным баланса и ф. №4 «Отчет о движении денежных средств» необходимо учитывать следующее: платежеспособность организации - показатель очень динамичный, меняется очень быстро, и его исчисление одномоментно один раз в квартал или один раз в год не позволяет сформировать достоверную картину. Поэтому и составляется платежный календарь, где сопоставление наличных ожидаемых средств и платежных обязательств производится на очень короткие периоды времени (1; 5; 10; 15 дней, месяц) [33, с. 237].

Оперативный платежный календарь составляется на основе данных об отгрузке и реализации продукции, о закупках сырья, материалов и оборудования, и также по информации, содержащейся в документах о расчетах по оплате труда, на выдачу авансов работникам, в выписках со счетов банков и т.п. По данным оперативного платежного календаря формируют динамические ряды, а затем проводят анализ изменений показателя платежеспособности [33, с.238].

Помимо текущей платежеспособности, в процессе анализа рассматривают и долгосрочную платежеспособность. При этом в качестве показателя, отражающего долгосрочную платежеспособность организации, принимают отношение долгосрочного заемного капитала к собственному:

Кд.пл. = строка 510 бал. / строка 490 + строка 550 бал.

Этот коэффициент характеризует возможность погашения долгосрочных займов и способность организации функционировать длительное время. Увеличение доли заемного капитала в структуре капитала считается рискованным. Организация обязана своевременно уплачивать проценты по кредитам, своевременно погашать полученные займы. Соответственно, чем выше значение данного коэффициента, тем больше задолженность организации и ниже оценка уровня долгосрочной платежеспособности.

Анализ указанных коэффициентов проводится путем сравнения с аналогичными показателями прошлых лет, с внутрифирменными нормативами и плановыми показателями, что позволяет оценить платежеспособность организации и принять соответствующие управленческие решения как оперативные, так и на перспективу. Очевидно, что высшей формой устойчивости организации является ее способность не только в срок расплачиваться по своим обязательствам, но и развиваться в условиях внутренней и внешней среды. Для этого она должна обладать гибкой структурой финансовых ресурсов и при необходимости иметь возможность как привлекать заемные средства, так и своевременно возвращать взятую ссуду с уплатой причитающихся процентов за счет прибыли или других финансовых ресурсов, т.е. быть кредитоспособной.

Основным фактором, формирующим общую платежеспособность организации, служит наличие у нее реального собственного капитала. Поэтому помимо перечисленных выше коэффициентов при проведении оценки платежеспособности анализируют также:

· величину собственного оборотного капитала;

· различные коэффициенты ликвидности;

· соотношение собственного и заемного капитала;

· коэффициент долгосрочного привлечения заемных средств;

· коэффициент обеспеченности процентов по кредитам и т.д.
Комплексный анализ названных коэффициентов позволяет не только более точно определить фактический уровень платежеспособности, но и формирует базу для прогнозных расчетов.

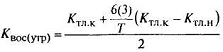
С целью разработки прогноза платежеспособности организации рассчитываются коэффициенты, восстановления (утраты) Квос(утр) платежеспособности. Расчет производится по формуле:

                              (7)

где Ктл.н, Ктл.к - коэффициент текущей ликвидности соответственно на начало и конец периода;

6(3) - период восстановления (утраты) платежеспособности, (месяцы) в качестве периода восстановления платежеспособности принято 6 месяцев, периода утраты -3 месяца;

Т - продолжительность отчетного периода, месяцы.

Коэффициент восстановления платежеспособности, имеющий значение больше 1, свидетельствует о наличии тенденции восстановления платежеспособности организации в течение 6 месяцев.

Значение коэффициента меньше 1 показывает отсутствие возможности восстановить платежеспособность в течение 6 месяцев. Коэффициент утраты платежеспособности, имеющий значение меньше 1, свидетельствует о наличии тенденций утраты платежеспособности организации в течение 3 месяцев, а больше 1 - об отсутствии подобных тенденций. Прогноз изменения платежеспособности кроме расчета и оценки, указанных выше коэффициентов включает также анализ коэффициентов ликвидности и оценку тенденций их динамики.

1.2 Методологические подходы к анализу ликвидности и платежеспособности

Для определения ликвидности баланса следует сопоставить итоги приведенных групп по активу и пассиву. Баланс считается абсолютно ликвидным, если имеют место соотношения:

А1 ³ П1, А2 ³ П2, А3 ³ П3, А4 £ П4

Выполнение первых трех неравенств с необходимостью влечет выполнение и четвертого неравенства, поэтому практически существенным является сопоставление итогов первых трех групп по активу и пассиву. Четвертое неравенство носит «балансирующий» характер и в то же время имеет глубокий экономический смысл: его выполнение свидетельствует о соблюдении минимального условия финансовой устойчивости - наличии у предприятия собственных оборотных средств.

В случае, когда одно или несколько неравенств имеют знак, противоположный зафиксированному в оптимальном варианте, ликвидность баланса в большей или меньшей степени отличается от абсолютной. При этом недостаток средств по одной группе активов компенсируется их избытком по другой группе, хотя компенсация при этом имеет место лишь по стоимостной величине, поскольку в реальной платежной ситуации менее ликвидные активы не могут заменить более ликвидные [29, с.187].

Сопоставление наиболее ликвидных средств (А1) и быстрореализуемых активов (А2) с наиболее срочными обязательствами (П1) и краткосрочными пассивами (П2) позволяет оценить текущую ликвидность. Сравнение же медленно реализуемых активов с долгосрочными и среднесрочными пассивами отражает перспективную ликвидность. Текущая ликвидность свидетельствует о платежеспособности (иди неплатежеспособности) предприятия на ближайший к рассматриваемому моменту промежуток времени.

Перспективная ликвидность представляет собой прогноз платежеспособности на основе сравнения будущих поступлений и платежей.

Проводимый по изложенной схеме анализ ликвидности баланса является приближенным и по той причине, что соответствие степени обязательств в пассиве намечено ориентировочно из-за ограниченности информации, которой располагает аналитик, проводящий внешний анализ на основе бухгалтерской отчетности [5, с.196].

Существует несколько методик оценки платежеспособности предприятия.

Традиционная методика оценки платежеспособности.

Традиционный метод оценки платежеспособности состоит в расчете коэффициентов, которые определяются на основе структуры баланса каждого конкретного предприятия. Рассчитанные коэффициенты затем сопоставляются с их нормативными значениями, что и составляет заключительный акт оценки. Кроме того, делаются попытки оценивать уровень коэффициентов в баллах, и затем эти баллы суммировать, находя, таким образом, рейтинг данного предприятия при сравнении его с другими предприятиями. Для измерения платежеспособности в Республике Беларусь рассчитывается три коэффициента:

·        коэффициент ликвидности;

·        промежуточный коэффициент покрытия;

·        общий коэффициент покрытия (коэффициент текущей ликвидности).

Каждый из трех коэффициентов представляет собой отношение той

или иной группы статей оборотных активов к одной и той же величине - сумме статей пассива, выражающих краткосрочную задолженность предприятия на момент времени (начало или конец отчетного периода).

Коэффициент ликвидности определяется как отношение суммы денежных средств и краткосрочных финансовых вложений к величине краткосрочной задолженности. Нормативное значение - больше 0,2. Он показывает, какую часть краткосрочной задолженности предприятие сможет погасить в ближайшее время за счет имеющихся у него денежных средств.

Промежуточный коэффициент, покрытия определяется как отношение суммы ликвидных активов (денежные средства плюс краткосрочные финансовые вложения) и дебиторской задолженности к величине краткосрочной задолженности. Он показывает, какая часть текущих обязательств может быть погашена не только за счет имеющихся денежных средств, но и за счет ожидающихся поступлений от дебиторов. Оптимальное значение - больше 0,8.

Общий коэффициент покрытия (коэффициент текущей ликвидности) определяется как отношение суммы оборотных активов (ликвидные активы плюс дебиторская задолженность плюс запасы) к величине краткосрочной задолженности. Коэффициент показывает платежную возможность предприятия, оцениваемую не только при условии своевременных расчетов с дебиторами и благоприятной реализации готовой продукции, но и продажи в случае необходимости определенных элементов материальных оборотных средств. Оптимальное значение - больше 2.

Для определения на практике платежеспособности или неплатежеспособности официально применяется третий из перечисленных коэффициентов - коэффициент текущей ликвидности.

Абрютина М.С. и Грачев А.В. комментируют измерение платежеспособности коэффициентом текущей ликвидности: ни запасы, ни просроченная дебиторская задолженность не могут быть превращены без промедления в платежные средства, следовательно, оборотные средства, взятые в полном объеме, покрытия краткосрочной задолженности не обеспечивают [12,с.185].

Лобушин Н.П. в дополнение к вышеизложенному методу анализа платежеспособности отмечает, что для правильного вывода о динамике и уровне платежеспособности предприятия необходимо принимать в расчет следующие факторы:

ü  характер деятельности предприятия. Например, у предприятий промышленности и строительства велик удельный вес запасов и мал удельный вес денежных средств.

ü  условия расчетов с дебиторами. Поступление дебиторской задолженности через короткие промежутки времени после покупки товаров приводит к небольшой доле в составе оборотных активов покупателей, и наоборот.

ü  состояние запасов. У предприятия может быть излишек или недостаток запасов по сравнению с величиной, необходимой для бесперебойной деятельности

ü  состояние дебиторской задолженности: наличие или отсутствие в её составе просроченных и безнадежных долгов.

Ковалев В.В. в дополнение к 3-м основным коэффициентам анализа платежеспособности, которые приводятся в традиционной методике добавляет следующие:

1)      Оборотный капитал = оборотные активы - краткосрочные обязательства. Оборотный капитал показывает, в какой степени текущие потребности предприятия могут быть обеспечены собственными источниками без привлечения кредитных ресурсов. Оптимальным считается, когда величина оборотного капитала превышает сумму краткосрочных обязательств. ВВ. Ковалев говорит, что данный показатель - это характеристика свободы маневра и финансовой устойчивости предприятия с позиции краткосрочной перспективы.

2)      Коэффициент маневренности = оборотный капитал / собственный капитал. Он показывает, какая часть капитала находится в свободной форме и в целом отражает эффективность управления активами предприятия. Оптимальное значение - больше 0,5.

Если рассчитанные коэффициенты соответствуют оптимальным, то делают вывод о том, что предприятие является платежеспособным. Если же отдельные показатели отклоняются от оптимальных, то анализ продолжают путем исследования причин данных отклонений. Для этого рассматривают степень ликвидности отдельных видов активов и решают вопрос, за счет каких активов нарушается платежеспособность предприятия. Для этого рассчитывают следующие коэффициенты:

а.   Коэффициент кассовой ликвидности = денежные средства/краткосрочные обязательства. Оптимальное значение: 0,15-0,18.

б.   Коэффициент ликвидности дебиторской задолженности = дебиторская задолженность/краткосрочные обязательства. Оптимальное значение: 0,4-0,6.

в.   Коэффициент ликвидности незавершенного производства = затраты в незавершенном производстве/краткосрочные обязательства. Оптимальное значение: 0,6-0,08

г.       Коэффициент ликвидности запасов = стоимость запасов/краткосрочные обязательства. Оптимальное значение: 0,8-1,2.

Савицкая Г.В. приводит анализ платежеспособности по методике ФСФО РФ. При вешнем анализе платежеспособности по методике ФСФО РФ рекомендуется использовать следующие показатели.

Степень платежеспособности общая определяется как частное от деления общей суммы заемных средств предприятия на среднемесячную выручку. Данный показатель характеризует общую ситуацию с платежеспособностью предприятия, объемами его заемных средств и сроками возможного погашения.

Он в свою очередь детализируется на коэффициенты задолженности по кредитам банков и займам, другим организациям, фискальной системе по внутренним расчетам.

Коэффициент задолженности по кредитам банков и займам вычисляется как частное от деления суммы долгосрочных и краткосрочных кредитов банков и займов на среднемесячную выручку.

Коэффициент задолженности другим организациям вычисляется как частное отделения суммы обязательств по строкам «поставщики и подрядчики», «векселя к уплате», «задолженность перед дочерними и зависимыми обществами», «авансы полученные» и «прочие кредиторы» на среднемесячную выручку.

Коэффициент задолженности фискальной системе вычисляется как частное от деления суммы обязательств по строкам «задолженность перед государственными внебюджетными фондами» и «задолженность перед бюджетом» на среднемесячную выручку.

Коэффициент внутреннего долга вычисляется как частное от деления суммы обязательств по строкам «задолженность перед персоналом организации», «задолженность участникам (учредителям) по выплате доходов», «доходы будущих периодов», «резервы предстоящих расходов», «Прочие краткосрочные обязательства» на среднемесячную выручку.

Данные показатели характеризуют оборачиваемость по соответствующей группе обязательств предприятия, в какие сроки (за сколько месяцев) оно может рассчитаться со своими кредиторами, если всю выручку направить на расчеты с ними.

Степень платежеспособности по текущим обязательствам определяется как отношение текущих заемных средств (краткосрочных обязательств) к среднемесячной выручке.

Для характеристики состояния расчетов с бюджетами отражения платежной дисциплины организации рассчитывают коэффициенты исполнения текущих обязательств перед федеральным бюджетом, бюджетом субъекта Республики Беларусь, местным бюджетом, государственными внебюджетными фондами и пенсионным фондом путем отношения суммы уплаченных налогов к величине начисленных налогов за отчетный период.

В ходе анализа следует также выяснить, достаточны ли доходы для выплаты процентов по заемному капиталу. Источником для их погашения является общая сумма брутто-прибыли (до выплаты процентов и налогов). Чтобы кредиты и займы считать безопасными, брутто- прибыль, по мнению многих аналитиков, должна в 3-4 раза превышать требования по выплате процентов.

Одним из методов оценки платежеспособности Г.В. Савицкая называет составление платежного календаря. Для оперативного внутреннего анализа текущей платежеспособности, ежедневного контроля за поступлением средств от продажи продукции, погашения дебиторской задолженности и прочими поступлениями денежных средств, а также для контроля за выполнением платежных обязательств перед поставщиками, банками и прочими кредиторами составляется платежный календарь, в котором, с одной стороны, подсчитываются наличные и ожидаемые платежные средства, а с другой - платежные обязательства на этот же период (1, 5, 10, 15 дней, 1мес). [33, стр.240]

Оперативный платежный календарь составляется на основе данных об отгрузке реализации продукции, о закупках средств производства, документов о расчетах по оплате труда, на выдачу авансов работникам, выписок со счетов банков и других.

В заключении можно отметить, что оценку ликвидности и платежеспособности нужно проводить осмысленно; например, если величина собственных средств отрицательна, то финансовое состояние предприятия в краткосрочной перспективе рассматривается как неблагоприятное, при этом расчет коэффициентов ликвидности уже не имеет смысла.

2. АНАЛИЗ ЛИКВИДНОСТИ И ПЛАТЕЖЕСПОБНОСТИ ПРЕДПРИЯТИЯ ЧТУП «ВОЛМЕР»

2.1 Характеристика предприятия

ЧТУП «ВОЛМЕР» - это частное торговое унитарное предприятие, создано 16 декабря 2006г, на неопределенный срок и основано на частной форме собственности.

Предприятие находится: 222823, Республика Беларусь, Минская обл., Пуховичский р-н, г.п. Свислочь, ул. Партизанская, д. 23, комната №1.

Предприятие является юридическим лицом согласно законодательству РБ, имеет самостоятельный баланс, вправе от своего имени совершать сделки, приобретать имущественные и неимущественные права и нести по ним обязательства, быть истцом и ответчиком в судах. Предприятие имеет текущий (расчетный), валютный и иные счета в учреждениях банка, печать со своим наименованием и изображением знака, угловой штамп, иные печати и штампы, торговый знак и иные реквизиты.

Предприятие действует на основании законодательства РБ, а так же настоящего Устава, регулирующего основные взаимоотношения между Учредителем и Предприятием.

Предметом деятельности Предприятия являются следующие виды деятельности: розничная торговля.

За период с 2007 по 2009 гг. основные показатели производственно-хозяйственной деятельности предприятия имели значения, представленные в таблице 2.1.

Таблица 2.1

Показатели производственно-хозяйственной деятельности предприятия

Показатели

2007г.

2008г.

2009г.

1

2

3

4

Выручка от реализации товаров, работ, тыс. руб.

22340,5

903682,4

1655395,0

Себестоимость реализованных товаров, работ, услуг, тыс. руб.

24229,7

755883,3

1368264,9

Валовая прибыль, тыс. руб.

-1889,2

147799,1

287130,1

Внереализационные доходы,  тыс. руб.

4,1

190,9

286,7

Расходы на реализацию, тыс. руб.


98323,6

216152,1

Прибыль (убыток), тыс. руб.

-1885,1

49666,4

71264,7

Среднегодовая стоимость основных средств, тыс. руб.

819,9

819,9

7030,8

Среднегодовая стоимость оборотных средств, тыс. руб.

40130,3

120128,8

247056,8

Среднегодовая численность работников, чел.

8

11

18

Примечание. Источник: собственная разработка на основании данных предприятия

Анализируя натуральные показатели можно сделать вывод, что численность работников на предприятии за три года увеличилась в 2,25 раза. Стоимостные показатели за последние три года также увеличивались. Валовая прибыль увеличилась почти в 2 раза. Среднегодовая стоимость основных средств имеет тенденцию к увеличению.

Таблица 2.2

Структура предприятия







.2 Экспресс-анализ финансового состояния ЧТУП «Волмер»

Одним из показателей, характеризующих финансовое состояние предприятия, является его платежеспособность, т.е. возможность наличными денежными средствами своевременно погашать свои обязательства. Оценка платежеспособности осуществляется на основе характеристики ликвидности текущих активов.

Ликвидность означает способность ценностей легко превращаться в ликвидные средства или деньги, при этом идеальным является условие, когда процесс превращения ценностей в ликвидные средства происходит быстро и без потери их стоимости.

Анализ ликвидности организации представляет собой процесс, состоящий из двух последовательных этапов. На первом этапе производится анализ ликвидности баланса и заключается в сравнении средств по активу, сгруппированных по степени ликвидности и расположенных в порядке убывания с обязательствами по пассиву, объединенными по срокам их погашения в порядке возрастания сроков.

На втором этапе анализа - расчет финансовых коэффициентов ликвидности, который производится путем поэтапного сопоставления отдельных групп активов с краткосрочными пассивами на основе данных баланса и производится сопоставление с нормативным значением соответствующего показателя. На заключительном этапе производится расчёт коэффициент текущей ликвидности (или коэффициент покрытия). Анализ ликвидности баланса 2006 года представлен в таблице 2.3.

Таблица 2.3

Анализ ликвидности баланса 2007 года, тыс. руб.

Актив

На конец периода

Пассив

На конец периода

Платежный излишек  или недостаток

в % к величине итога группы пассива





на конец периода

на конец периода

1

2

3

4

5

6

Наиболее ликвидные активы (А1)

4401,4

Наиболее  срочные обязательства (П1)

39811,4

-35410

88,94

Быстрореализуемые активы (А2)

-

Краткосрочные пассивы (П2)

-

-

-

Медленно реализуемые активы (А3)

34909,0

Долгосрочные пассивы (П3)

-

34909

100

Труднореализуемые активы (А4)

819,9

Постоянные пассивы (П4)

318,9

501,0

157,1

БАЛАНС

40130,3

БАЛАНС

40130,3



Примечание. Источник: собственная разработка

Анализ ликвидности баланса сводится к проверке того, покрываются ли обязательства в пассиве баланса активами, срок превращения которых в денежные средства равен сроку погашения обязательств. Сопоставление итогов группы I по активу и пассиву, т.е. А1 и П1 (сроки до 3 месяцев), отражает соотношение текущих платежей и поступлений. Сравнение итогов группы II по активу и пассиву, т.е. А2 и П2 (сроки от 3 до 6 месяцев), показывает тенденцию увеличения или уменьшения текущей ликвидности в недалеком будущем. Сопоставление итогов по активу и пассиву для групп III и IV отражает соотношение платежей и поступлений в относительно отдаленном будущем. Анализ, проводимый по данной схеме, достаточно полно представляет финансовое состояние с точки зрения возможностей своевременного осуществления расчетов.

Таблица анализа ликвидности баланса за 2007 год показывает, что платежный недостаток по наиболее срочным обязательствам составляет 35410 тыс. руб., что составляет 88,94% к величине итога группы пассива. Платежный излишек по постоянным пассивам составляет 157,1% к величине постоянных пассивов.

Мы имеем следующую систему неравенств: {A1 ≤ П1, А2 £ П2, А3 ³ П3, А4 > П4}. Первые два неравенства имеют знак противоположный оптимальному, следовательно, ликвидность баланса отличается от абсолютной. Исходя из того, что выполняется третье неравенство: А3 ³ П3 мы можем судить о перспективной ликвидности, которая представляет собой прогноз будущих поступлений и платежей. Минимальное требование к абсолютной ликвидности не выполняется - А4< П4.

Далее проведем анализ ликвидности баланса ЧТУП «Волмер» в 2008 году, который представлен в таблице 2.4.

Таблица 2.4

Анализ ликвидности баланса 2008 года, тыс. руб.

Актив

На конец периода

Пассив

На конец периода

Платежный излишек или недостаток

в % к величине итога группы пассива





на конец периода

на конец периода

1

2

3

4

5

6

Наиболее ликвидные активы

692,6

Наиболее срочные обязательства

84246,5

-83553,9

99,18

Быстрореализуемые активы

-

Краткосрочные пассивы

-

-


Медленно реализуемые активы

119436,2

Долгосрочные пассивы

-

119436,2

100

Труднореализуемые активы

-

Постоянные пассивы

35882,3

-35882,3

100

БАЛАНС

120128,8

БАЛАНС

120128,8



Примечание. Источник: собственная разработка.

Мы видим, что в этой организации сопоставление групп по активу и пассиву имеет следующий вид: {А1 < П1; А2 > П2; А3 > П3; А4 < П4}.

Исходя из этого, можно охарактеризовать ликвидность баланса как недостаточную. Особенно тревожная ситуация сложилась с первым неравенством. Как видим, предприятие не в состоянии будет рассчитаться по своим наиболее срочным обязательствам с помощью наиболее ликвидных активов, так как платежный недостаток составляет 83553,9 тыс. руб. и в процентах к величине итога группы пассива он составляет 99,18%, и в случае такой необходимости придется задействовать другие виды активов или заемные средства.

Однако, по третьему неравенству (перспективная ликвидность) излишек огромен - 119436,2 тыс. руб., т.к. долгосрочные пассивы значительно меньше величины медленно реализуемых активов, доля которых велика из-за большой суммы запасов. Платежный излишек по данной группе пассивов составляет 100% к величине итога группы долгосрочные пассивы. В 2007 году предприятие имело перспективную ликвидность баланса.

Анализ ликвидности баланса ЧТУП «Волмер» в 2009 году представлен в таблице 2.5.

Таблица 2.5

Анализ ликвидности баланса 2009 года, тыс. руб.

Актив

На конец периода

Пассив

На конец периода

Платежный излишек или недостаток

в % к величине итога группы пассива





на конец периода

на конец периода

1

2

3

4

5

6

Наиболее ликвидные активы

6528,6

Наиболее срочные обязательства

162758,1

-156229,5

95,99

Быстрореализуемые активы

-

Краткосрочные пассивы

-

-


Медленно реализуемые активы

233497,4

Долгосрочные пассивы

-

233497,4

100

Труднореализуемые активы

7030,8

Постоянные пассивы

84298,7

-77267,9

91,66

БАЛАНС

247056,8

БАЛАНС

247056,8



Примечание. Источник: собственная разработка

Анализ ликвидности баланса 2009 года показывает, что предприятие имеет перспективную ликвидность. Об этом свидетельствует группа неравенств {А1 < П1; А2 < П2; А3 > П3; А4 < П4}.

Платежный излишек по первому неравенству составляет 156229,5 тыс. руб., и составляет 95,99% к величине итога группы наиболее срочных обязательств.

Платежный излишек по третьему неравенству составляет 100% к величине итога группы пассива и составляет 233497,4 тыс. руб.

Анализируя ликвидность баланса в целом за 3 года можно отметить, что ЧТУП «Волмер» имело перспективную ликвидность и в 2007, и в 2008, и в 2009 году.

Таким образом, подавляющая часть коэффициентов ликвидности имеет заниженные в несколько раз значения (по сравнению с нормами), а так же отрицательную динамику в течение данного периода. Это позволяет сделать вывод о низком уровне ликвидности баланса ЧТУП «Волмер» и существующей угрозе ее финансовой стабильности, и, следовательно, возможной неплатежеспособности предприятия.

Проводимый по изложенной схеме анализ ликвидности баланса является приблизительным. Более детальным является анализ платежеспособности при помощи финансовых коэффициентов.

В сегодняшних условиях наиболее актуальной проблемой при осуществлении хозяйственной деятельности является правильное принятие управленческих решений, которые формируются в результате проведения финансового анализа.

В целях экспресс-анализа можно воспользоваться методическими положениями по оценке финансового состояния предприятий и установлению неудовлетворительной структуры баланса, в которых определена система критериев для определения неплатежеспособных предприятий. Система состоит из трех показателей:

) коэффициента текущей ликвидности

) коэффициента обеспеченности собственными средствами;

) коэффициента восстановления (утраты) платежеспособности.

Структура баланса предприятия признается неудовлетворительной, а предприятие - неплатежеспособным, если коэффициент текущей ликвидности на конец отчетного периода имеет значение < 2 и коэффициент обеспеченности собственными средствами - < 0,1.

Традиционно расчеты начинают с определения коэффициента абсолютной ликвидности, который рассчитывается как отношение наиболее ликвидных активов к сумме наиболее срочных обязательств и краткосрочных пассивов (сумма кредиторской задолженности и краткосрочных кредитов):

Кал = (Д+ ЦБ)/(К + 3) = (строка 250 + строка 260) : (строка 520 + строка 530 + строка 540+строка 560) = (4401,4)/( 39811,4)=0,11

Нормальное ограничение - Кал = 0,2-0,5.

Следующим коэффициентом является коэффициент критической ликвидности:

кл = (II разд.бал. - строка 210 - строка 220 - строка 230): (строка 520 + строка 530 + строка540 + строка 560)=(4401.4)/( 39811,4)=0,11

Теоретически оправданное значение этого коэффициента ≈ 0,8.

Коэффициент текущей ликвидности (или коэффициент покрытия)

Ктл = Та/ То = (2 разд.бал. - строка 220 - строка 230): (строка 520 + строка 530 + строка 540 + строка 560) = (39521,1)/(39811,4) = 0,99.

Нормальным значением для данного показателя считается 2.

Анализ кредитного риска:

Кредитный риск = Ктлкл = 0,99/0,11 = 9

Нормативное соотношение для данного коэффициента является 4/1.

Произведём расчёт тех же коэффициентов для последующих отчётных периодов, для того чтобы проследить динамику изменений этих коэффициентов. Данные расчётов отражены в таблице 2.6.

Таблица 2.6

Анализ коэффициентов ликвидности

Коэффициент ликвидности период

На начало года

На конец года

Изменение в %

1

2

3

4

2007г.

Кал

-

0,110556272


Ктл

-

0,992725702


Ккл

-

0,110556272


Кредитный риск

-

8,590362896


2008г.

Кал

0,110556272

0,008221113

-92,563865577

Ктл

0,992725702

1,378475070

38,857598551

Ккл

0,110556272

0,008221113

-92,562865577

Кредитный риск

8,590362896

167,674993641

1951,8965109

2009г.

Кал

0,008221113

0,040112289

487,917986287

Ктл

1,378475070

1,445643565

4,872666648

Ккл

0,008221113

0,050495183

614,21346477

Кредитный риск

167,674993641

28,629336089

-17,074302773

Примечание. Источник: собственная разработка

На рисунке 2.1. более наглядно отражена динамика изменения коэффициентов ликвидности.

Рис. 2.1 Динамика коэффициентов ликвидности ЧТУП «Волмер»

В динамике увеличение коэффициента абсолютной ликвидности говорит об увеличении платёжеспособности предприятия, но рекомендуемая нижняя граница этого коэффициента равна 0.2. Следовательно, хотя и наблюдалось в целом увеличение этого коэффициента, но его уровень всё равно был далёк от нормативного.

В динамике коэффициента текущей ликвидности есть небольшая положительная тенденция, но также, в целом значение не достигает нормального уровня. Изменение уровня коэффициента текущей ликвидности может произойти за счет увеличения или уменьшения суммы по каждой статье текущих активов и текущих пассивов.

Общая платежеспособность организации определяется, как способность покрыть все обязательства организации (краткосрочные и долгосрочные) всеми ее активами. Оценка платежеспособности строится на основе анализа ликвидности текущих активов организации, так как зависит от нее напрямую.

Критерием оценки финансового состояния организации служит показатель достаточности средств предприятия (К), который представляет собой общую разность поступлений и платежей; его еще называют общим показателем достаточности средств. Рассчитывается на основе показателей ф. №4 «Отчет о движении денежных средств».

Таблица 2.7

Анализ платёжеспособности предприятия.

Показатели

Начало 2007г.

Конец 2007г.

Конец 2008г.

Конец 2009г.

1

2

3

4

5

Коэффициент общей платежеспособности


1,00810

1,42592

1,51793

Динамика общей платежеспособности

1,18887

1,00065

1,00340


Показатель достаточности средств

4401426

692600

6528600


Коэффициент долгосрочной платежеспособности

-

-

-

-

Коэффициент восстановления платежеспособности


0,74454

0,78567

0,73961

Коэффициент утраты платежеспособности


0,62045

0,73745

0,73122

Кредитный риск

167,674993641

28,629336089

-17,074302773

Примечание. Источник: собственная разработка

Более наглядно отображает динамику коэффициентов платёжеспособности график (рисунок 2.2).

Рис. 2.2 Анализ платежеспособности ЧТУП «Волмер»

Признаком достаточности средств в анализируемом подпериоде служит условие: Kj > 0, либо Kj = 0.

На протяжении анализируемого периода деятельности предприятия не достаточности средств не наблюдалось (Kj>0).

Чем выше коэффициент платежеспособности, тем выше доля собственного капитала в общих финансовых средствах предприятия и тем проще предприятию покрыть свои не только краткосрочные, но и долгосрочные обязательства. Высокий коэффициент платежеспособности равнозначен хорошим потенциальным возможностям к привлечению дополнительного заемного капитала. Низкий коэффициент платежеспособности показывает более низкие потенциальные возможности для заимствования дополнительных средств со стороны. Исходя из этого следует отметить, что наибольшую возможность к привлечению дополнительного заемного капитала предприятие имело в 2009 году - 1,51793, наименьшая возможность наблюдалась в 2007 году - 1,00810.

Коэффициент восстановления платежеспособности, имеет значение меньше 1, что свидетельствует об отсутствии тенденции восстановления платежеспособности организации в течение 6 месяцев. Коэффициент утраты платежеспособности, имеет значение меньше 1, что свидетельствует о наличии тенденций утраты платежеспособности организации в течение 3 месяцев.

3. ПУТИ УЛУЧШЕНИЯ ПЛАТЕЖЕСПОБНОСТИ ЧТУП «ВОЛМЕР»

.1 Пути улучшение ликвидности и платежеспособности предприятия

Финансовое планирование - это разновидность управленческой деятельности, направленной на определение необходимого объема финансовых ресурсов, их оптимальное распределение и использования с целью обеспечения финансовой устойчивости хозяйствующего субъекта [21, с.215].

В условиях рынка предприятия сами заинтересованы в том, чтобы реально представлять свое финансовое положение сегодня и на перспективу. Это необходимо, во-первых, для того, чтобы преуспеть в хозяйственной деятельности, а во-вторых, чтобы своевременно выполнять обязательства перед бюджетом, внебюджетными фондами, банками и другими кредиторами и тем самым защищать себя от финансовых санкций, снижать рис банкротства.

По результатам анализа должна быть выработана генеральная финансовая стратегия и составлен бизнес-план финансового оздоровления предприятия с целью недопущения банкротства и вывода его из «опасной зоны».

Одним из основных и наиболее радикальных направлений, финансового оздоровления предприятия является поиск внутренних резервов по увеличению прибыльности торговой деятельности и достижению безубыточной работы: повышение качества и конкурентоспособности товаров, снижение их себестоимости, рациональное использование материальных, трудовых и финансовых ресурсов, сокращение непроизводительных расходов и потерь.

Как правило, изменение объема продаж вызывает в большинстве случаев изменение лишь переменных расходов, следовательно, чем больше удельный вес постоянных расходов в общей сумме расходов на продажу, тем меньше выручка от продаж будет влиять на прибыль, и наоборот.

Предприятию необходимо увеличить собственный капитал за счет привлечения заемных средств - кредита. Известно, что предприятия, использующие только собственные средства, ограничивают их рентабельность величиной, равной примерно двум третям экономической рентабельности. Предприятие, использующее заемные средства, может увеличить рентабельность собственных средств в зависимости от соотношения собственных и заемных средств в пассиве баланса и стоимости заемных средств.

Альтернативой заемным денежным средствам может выступать лизинг, как форма товарного кредита.

Порядок осуществления платежей по договору лизинга более гибок по сравнению с кредитными соглашениями: арендатор может рассчитывать получение своих доходов и совместно с арендодателем выработать удобную схему платежей: платежи могут быть ежемесячными, ежеквартальными и т. д.; сумма платежа может быть постоянной или "плавающей", при ее определении может быть учтена даже сезонность использования предмета лизинга; платежи могут производиться из выручки от реализации продукции, произведений на полученном в лизинг оборудовании).

Лизинг доступен малым и средним предприятиям, в то время как получение банковских кредитов на благоприятных для них условиях проблематично, так как они не являются "первоклассными" заемщиками.

ЧТУП «Волмер» нуждается в приобретении собственного автотранспорта. И здесь можно воспользоваться услугами лизинга.

Преимущество покупки автотранспорта в лизинг, очевидно: нет налога на имущество, лизинговые платежи входят в себестоимость. Стоимость имущества, приобретенного в лизинг, не включается в остаток кредиторской задолженности, что улучшает финансовые показатели предприятия-арендатора, и, следовательно, позволяет ему привлечь дополнительные кредитные ресурсы.

ЧТУП «Волмер» одновременно решает две проблемы: приобретение и финансирование основных средств и использование их без мобилизации крупных финансовых ресурсов и без привлечения кредитов, что позволяет сохранить соотношение собственных и заемных средств без риска нарушения финансовой устойчивости предприятия.

Поэтому было бы не плохо, предварительно изучив рынок ценных бумаг, вложить денежные средства в краткосрочные ценные бумаги. И таким образом пополнить наиболее ликвидные активы. Что, несомненно, улучшит картину платежеспособности организации, а также позволит получить дополнительный доход в ближайшем будущем.

Основным источником наращивания собственного капитала является прибыль. Необходимо значительную часть прибыли вовлекать в оборот ЧТУП «Волмер» путем создания всевозможных резервов из валовой и чистой прибыли или прямого зачисления нераспределенной чистой прибыли [29, с.298].

Прибыль как основная форма денежных накоплений представляет собой разницу между выручкой от реализации продукции по соответствующим ценам и полной ее себестоимостью, поэтому рост прибыли зависит прежде всего от снижения затрат, а также увеличения объема реализации товаров.

В рыночных условиях показатель выручки от реализации товаров становится одним из важнейших показателей деятельности предприятия.

Особую роль в увеличении объема реализации играет политика цен. В ряд случаев снижение цен на товар стимулирует его спрос, что ведет к увеличению выручки и, в конечном счете, росту массы прибыли.

Важное направление в повышении финансового состояния - обеспечение быстротой оборачиваемости капитала.

Управление потоками денежных средств предполагает разработку плана движения денежных средств, учет и анализ денежных потоков. Главная цель этой работы - обеспечить финансовыми ресурсами предпринимательскую деятельность, своевременно определить меры по восполнению дефицита денежных средств в отдельные периоды года. А план поступления и расходования денежных средств на год с разбивкой по месяцам дает общую основу управления денежными потоками предприятия. Но высокий динамизм этих потоков, зависит от многих факторов краткосрочного действия определяют потребность в разработке финансового документа, обеспечивающего ежедневное управление движением денежных средств предприятия, т.е. таким документом является платежный календарь. Он позволяет увидеть взаимосвязь между активами и пассивами предприятия, проследить изменения в источниках финансирования активов и в направлениях использования пассивов, наметить решения по оптимизации активов и пассивов предприятия [33, с.239].

Платежный календарь - основной оперативный финансовый план. Он вялятся самым эффективным и надежным инструментом оперативного управления денежными потоками предприятия. Основной целью разработки платежного календаря является установление конкретных сроков поступления денежных средств и платежей предприятия и их доведение до исполнителей в форме плановых заданий. Период планирования определяется предприятием самостоятельно с учетом специфики деятельности и экономической целесообразности. Он может быть равен месяцу, пятнадцати дням, декаде пяти или одному дню [33, с.240]. Платежный календарь можно представить в виде таблицы 3.1.

Таблица 3.1

Платежный календарь по расчетному счету на первую неделю месяца ЧТУП «Волмер»

Показатели

Тыс. руб.

1

2

1. Расходы 1.1 Неотложные нужды 1.2 Заработная плата и приравненные к ней платежи 1.3 Налоги 1.4 Просроченная кредиторская задолженность 1.5 Прочие расходы Итого расходов 2. Поступления денежных средств 2.1 От реализации продукции, работ, услуг 2.2 Поступление дебиторской задолженности 2.3 Прочие поступления Итого поступлений 3. Балансирующие статьи 3.1 Превышение поступлений над расходами 3.2  Превышение расходов над доходами

 5000,0 3555,0  3561,0 13536,0 2120,0 25472,0  25050,0 1989,0 1011 28050,0   2578,0

Примечание: Источник: собственная разработка на основании данных предприятия

А также платежный календарь можно представить по видам основной деятельности предприятия:

 

По видам основной деятельности

 

В целом по предприятию


По отдельным центрам ответственности


Налоговый платежный календарь Календарь дебиторской задолженности Календарь кредиторской задолженности  Календарь выплаты заработной платы


Календарь формирования производственных запасов  Календарь управленческих расходов Календарь реализации продукции, работ, услуг

Рис. 3.1 Платежный календарь, составленный по видам основной деятельности.

И помимо платежного календаря, также можно составлять кассовый план.

Кассовый план - это план оборота наличных денежных средств, определяющий поступления и выплаты наличных денег через кассу предприятия [19, с.158].

Если на предприятие есть финансовая служба, то она осуществляет контроль за движением наличных денег, соблюдением кассовой дисциплины.

Своевременная выплата заработной платы и других причитающихся работникам сумм характеризует состояние финансовых отношений между предприятием и его трудовым коллективом, его платежеспособность. Поэтому составление кассовых планов и контроль за их выполнением сохраняют весьма важное значение для предприятия, осуществляющих выплату заработной платы через свою кассу.

Кассовый план составляется на квартал. Он состоит из четырех разделов. В первом указывается поступление наличных денег в кассу предприятия, кроме средств, получаемых в банке. Это - торговая выручка, выручка от оказания услуг и другие поступления. С обслуживающим банком согласовываются вопросы инкассации наличных средств, которая может расходоваться на месте. Во втором разделе указываются все расходы наличными деньгами (на заработную плату и другие виды оплаты труда, на премии, на выплату пособий по социальной защите, на командировочные расходы, на хозяйственно-операционные расходы и др.)

В третьем разделе кассового плана приводится расчет суммы наличных денег, планируемых к получению в банке для выплаты заработной платы и на другие цели. В четвертом разделе - сроки и суммы выплат наличными деньгами, согласованные с банком.

Финансовое состояние предприятия характеризируется размещением средств (активов) и источниками их формирования (собственного капитала и обязательств, т.е. пассивов). Эти сведения представлены в балансе предприятия.

Основными факторами, определяющими финансовое состояние, являются, во-первых, финансового плана и пополнение по мере возникновения потребности собственного оборотного капитала за счет прибыли и, во-вторых, скорость оборачиваемости оборотных средств (активов). Сигнальным показателем, в котором проявляется финансовое состояние, выступает платежеспособность предприятия, под которой подразумевают его способность вовремя удовлетворять платежные требования поставщиков в соответствии с хозяйственными договорами, возвращать кредиты, оплачивать труд персонала, вносить платежи в бюджет.

Поскольку выполнение финансового плана в основном зависит от результатов производственной и хозяйственной деятельности в целом, совокупность хозяйственных факторов является наиболее обобщающим показателем. Следовательно, отчет о финансовых результатах и их использовании также привлекается для анализа финансового состояния.

Во-первых, предприятию с неустойчивым положением можно посоветовать улучшить организационную структуру предприятия, то есть уделить внимание развитию менеджмента, в частности, создать, например, службу внутреннего аудита, что позволило бы снизить злоупотребления внутри предприятия.

Во-вторых, предприятию необходимо оценивать ликвидность баланса путем расчета коэффициентов ликвидности. В процессе анализа баланса на ликвидность могут быть выявлены отклонения в сторону как снижения минимально допустимых значений, так и их существенного превышения. В первом случае предприятиям нужно в месячный срок привести показатели ликвидности в соответствие с нормативными значениями. Это возможно за счет сокращения, прежде всего кредиторской задолженности и других видов привлеченных ресурсов, а также за счет увеличения собственных средств предприятия.

С другой стороны, для предприятия общей основой ликвидности выступает обеспечение прибыльности производственной деятельности. Таким образом, если фактическое значение основного нормативного коэффициента ликвидности оказывается намного больше, чем установленное минимально допустимое, то деятельность такого предприятия будет отрицательно оцениваться его пайщиками, с точки зрения неиспользованных возможностей, для получения прибыли. В этой связи следует заметить, что анализ ликвидности баланса должен проводиться одновременно с анализом доходности предприятия.

Максимальная ликвидность достигается при максимизации остатков в кассах и на корреспондентских счетах по отношению к другим активам. Но именно в этом случае прибыль предприятия минимальна. Для этого необходимо свести кассовую наличность и остатки на корреспондентских счетах к минимуму.

Следовательно, управление ликвидностью состоит в гибком сочетании противоположных требований ликвидности и прибыльности.

В-третьих, предприятие должно определять потребность в ликвидных средствах хотя бы на краткосрочную перспективу.

Изучение этого, а также прогнозирование поможет предприятию более точно определить необходимую долю ликвидных средств в активе предприятия. При этом предприятие должно опираться на свой опыт.

Исходя из спрогнозированной величины необходимых ликвидных средств предприятию нужно сформировать ликвидный резерв для выполнения непредвиденных обязательств, появление которых может быть вызвано изменением состояния денежного рынка, финансового положения клиента или банка партнера.

При этом в управлении активами предприятию следует обратить внимание на следующий момент: управление наличностью должно быть более эффективным, то есть необходимо планировать притоки и оттоки наличности и разработать графики платежей.

Сроки, на которые предприятие размещает средства, должны соответствовать срокам привлеченных ресурсов. Акцентировать внимание на повышении рентабельности работы в целом и на доходности отдельных операций в частности.

В управлении пассивами предприятию можно порекомендовать:

.        Применять метод анализа размещения пассивов по их срокам, прогнозировать и менять их структуру в зависимости от уровня коэффициентов ликвидности, проводить взвешенную политику в области аккумуляции ресурсов, влиять на платежеспособность.

.        Разработать политику управления капиталом, ФСЗН и резервами.

.        Следить за соотношением собственного капитала и привлеченного.

В целом же, для распознавания рисков несбалансированности ликвидности баланса и неплатежеспособности предприятия требуется создание специальной системы ежедневного контроля за уровнем приведенных в первой и второй главах показателей, анализа факторов, влияющих на их изменение. Для этого целесообразно создание базы данных, позволяющей оперативно получать всю необходимую информация для выполнения аналитической работы, на основе которой будет формироваться политика предприятия. В качестве источников для формирования базы данных предприятия могут рассматриваться заключенные и прорабатываемые кредитные и депозитные договора, договора о займах, сведения о плановой потребности в кредите. На основе базы данных предприятием ежедневно должны раскрываться значения показателей платежеспособности и ликвидности и проводиться анализ перспектив развития операций предприятия с учетом норм платежеспособности и ликвидности. Это позволяет взаимоувязать решение вопросов по размещению средств, привлечению ресурсов, увеличению собственных средств предприятия, расширению участия предприятия в других предприятиях и банках.

Рассмотренный анализ дает возможность предвидеть различные изменения уровня ликвидности и платежеспособности предприятия и своевременно принять необходимые меры по их стабилизации.

В международной практике менеджеры по управлению ликвидности разработали ряд практических рекомендаций по улучшению этого вида деятельности. Первая из них состоит в том, что менеджеры по управлению ликвидностью должны контролировать деятельность всех отделов предприятия, отвечающих за использование и привлечение средств, и координировать свою деятельность с работой этих отделов.

Вторая рекомендация заключается в том, что менеджеры по управлению ликвидностью должны предвидеть, когда наиболее крупные поставщики и покупатели совершить операции с предприятием. Это позволяет управляющим планировать свои действия в случае возникновения дефицита или излишка ликвидных средств.

В соответствии с третьей рекомендацией, менеджеры по управлению ликвидностью в сотрудничестве с высшим руководством и руководителями отделов должны быть уверены, что приоритеты и цели управления ликвидными средствами очевидны.

Суть четвертой рекомендации состоит в следующем: потребности предприятия в ликвидных средствах и решение относительно их размещения должны постоянно анализироваться в целях избегания и излишка, и дефицита ликвидных средств. Дефицит должен быть быстро ликвидирован во избежание неблагоприятных последствий поспешных займов или продаж активов, также ведущих к потерям доходов.

Таким образом, каждое предприятие должно самостоятельно обеспечивать поддержание своей ликвидности на заданном уровне на основе как анализа ее состояния, складывающегося на конкретные периоды времени, так и прогнозирования результатов деятельности и проведения в последующем научно обоснованной экономической политики в области формирования уставного капитала, фондов специального назначения и резервов, привлечения заемных средств сторонних организаций, осуществления активных кредитных операций.

В качестве итогов всего вышеизложенного в данном дипломе, следует представить рекомендации, способствующие повышению ликвидности и платежеспособности ЧТУП «Волмер», которое оказалось на пределе своей ликвидности, а это возможно из-за ошибок в его политике, недооценки рынка, недостатков в аналитической работе и других причин, и которое вынуждено прибегать к срочным мерам.

В процессе анализа баланса на ликвидность были выявлены отклонения в сторону снижения минимально допустимых значений. В этом случае предприятию нужно привести показатели ликвидности в соответствие с нормативными значениями. Это возможно за счет сокращения, прежде всего, кредиторской задолженности и других видов привлеченных ресурсов, а также за счет увеличения собственных средств предприятия.

Потребности предприятия в ликвидных средствах и решение относительно их размещения должны постоянно анализироваться в целях избегания излишка или дефицита ликвидных средств. Дефицит должен быть быстро ликвидирован во избежание неблагоприятных последствий поспешных займов или продаж активов, также ведущих к потерям доходов.

ЧТУП «Волмер» следует пополнять оборотные средства, совершенствовать внутрихозяйственные экономические отношения, а также обучать руководителей и специалистов приемам и методам хозяйствования в кризисных ситуациях.

Главной причиной неплатежеспособности ЧТУП «Волмер» является нехватка собственных средств. Для того чтобы предприятие повысило свою платежеспособность необходимо увеличение денежных средств на счетах, снижение суммы краткосрочных обязательств.

ЧТУП «Волмер» необходимо проводить инвентаризацию состояния имущества с целью выявления активов "низкого" качества (изношенного оборудования, залежалых запасов материалов; сомнительной дебиторской задолженности) и списание их с баланса в установленном порядке.

Так, по результатам проводимой инвентаризации залежалые запасы и неликвиды должны быть списаны; на величину сомнительной дебиторской задолженности в установленном порядке формируется резерв по сомнительным долгам; готовая продукция, не пользующаяся спросом, может быть реализована со скидкой.

В заключение следует отметить, что данной организации для оперативного внутреннего анализа текущей платежеспособности, ежедневного контроля за поступлением средств от продажи продукции, погашения дебиторской задолженности и прочими поступлениями денежных средств, а также для контроля за выполнением платежных обязательств перед поставщиками, банками и прочими кредиторами следует составлять платежный календарь, в котором, с одной стороны, подсчитываются наличные и ожидаемые платежные средства, а с другой - платежные обязательства на этот же период. Это поможет предприятию следить за поступлением и выбытием денежных средств.

Анализ рынка товаров, реализуемых ЧТУП «Волмер» свидетельствует о том, что прогнозирование спроса на товары этой отрасли является очень сложной задачей. Спрос на продукцию ЧТУП «Волмер» измеряется в стоимостном выражении (общая стоимость реализованных товаров в розничной торговле). Уровень спроса на продукты питания, алкогольную и табачную продукцию зависит от многих факторов как объективного, так и субъективного характера. К числу основных факторов, оказывающих непосредственное влияние на величину спроса, следует отнести:

широта ассортимента продукции;

уровень организации продаж, время обслуживания покупателей, удобство для клиента, а так же ряд стоимостных показателей - цены на товары, обеспеченность ресурсами;

комплекс социальных условий - платежеспособность потенциальных покупателей.

В связи с этим применение классического подхода, предполагая зависимость спроса лишь от двух факторов - доходов и цен - в данном случае приводит к чрезмерному упрощению и даже искажению ситуации. Цены и доходы в большей степени определяют изменение спроса, а не его величину.

Прогнозирование спроса на нашем предприятии на продукты питания, табачную и алкогольную продукцию выполним в несколько этапов:

разработка сценариев прогноза развития объема продаж, изменение анализа качественных показателей;

выполнение и анализ прогнозных расчетов по спросу на продукцию на период 2005-2009г.г.

Основу прогнозного спроса на продукцию с использованием имитационной модели составляет два сценария роста продаж: оптимистический и умеренный. Первый из них предполагает рост продаж на предприятии на 4,1% в 2010 году. В основу этого прогноза положен рост объема поставок продукции, оценка потенциальной емкости рынка ассортимента данной продукции на территории РБ, экспертная оценка улучшения качества продаж.

Второй более низкий - на 3,4%. Основанием умеренного сценария является тот фактор, что подразумевается, что темпы роста рынка продаж продукции могут быть неустойчивыми, потенциальная емкость рынка может оказаться нереализованной в силу недостаточного платежеспособного спроса; следствием реального снижения денежных доходов скорее всего будет переориентация населения на приобретение более дешевых товаров белорусских производителей.

При разработке прогноза на спрос товаров ЧТУП «ВОЛМЕР» до 2008г. учитываются тенденции, выявленные при ретроспективном анализе роста товарооборота, его видовой структуры, динамики товарооборота. Показатели стоимости на перспективу определены с учетом инфляции. Результаты прогнозных расчетов приведены в таблице 3.2

Таблица 3.2.

Прогнозные расчеты по определению спроса на продукцию  ЧТУП «ВОЛМЕР» на период 2005-2009г.г.

Показатели

2005г.

2006г.

2007г.

2008г.

2009г.

1

2

3

4

5

6

1. Товарооборот  - оптимистический сценарий; - умеренный сценарий;

  21,51 21,7

  22,8 22,86

  24,12 24,06

  25,42 25,28

  26,75 26,22

2. Спрос на продукцию, млн. руб. - оптимистический сценарий; - умеренный сценарий;

   78,4 75,0

   86,7 87,8

   95,7 106,3

   113,9 124,3

   114,5 145,4

3. Рост спроса на продукцию, % - оптимистический сценарий; - умеренный сценарий;

   124,8 119,2

   137,8 139,6

   152,1 169,0

   181,1 197,6

   182,0 231,2

4. Годовые издержки обращения - оптимистический сценарий; - умеренный сценарий;

  2066 1910

  2126 2132

  2325 2574

  2630 2871

  2638 3327

Примечание: Источник собственная разработка

Прогнозные расчеты спроса на продукты питания, алкогольную и табачную продукцию ЧТУП «ВОЛМЕР» показали, что при росте товарооборота в период 2005-2009 г.г. примерно на 25% спрос на продукцию увеличился по оптимистическому варианту в 1,8 раза (при стабилизации качества товаров). Рост спроса на товары происходит за счет увеличения ассортимента продукции, а также стоимости товаров (инфляция издержек). Оптимистический вариант развития предприятия, связанного с улучшением качества продаж, характеризуется относительно небольшим ростом товарооборота. Это подтверждает тезис о наличии обратной связи между качеством товаров и ростом спроса.

Представляется, что качественные товары торговые предприятия обеспечивают только крупные и средние по размерам. Со стороны государства хотелось бы, чтобы оно своей налоговой политикой стимулировало предприятия крупные и средние (в данном случае прогрессивно убывающей налоговой ставкой).

В дипломной работе используем еще один метод - метод экстраполяции, основанный на прогнозировании поведения или развития продаж.

Нам необходимо спрогнозировать издержки обращения торгового предприятия в 2010 году. В условиях высокой конкуренции себестоимость формируется исходя из коммерческих расходов, зарплаты и т. д. Поделим сумму годовых затрат на годовую производительность (годовой объем продаж) и получим экономическую единицу, которая говорит о том, сколько рублей затрат приходится на 1 рубль товарооборота:

С= 38343/280658 = 13,6;

С= 58875/455776 = 12,9;

С=107680/852200 = 12,6;

С=438494/3568983 = 12,2;

С=1235050/10622225 = 11,6.

Таким образом, издержки составляют 13,6; 12,9; 12,6; 12,2; 11,6 рублей. За год в среднем издержки снижаются на 1,8%.

Рассмотрим механизм адаптации предприятия к колебаниям спроса. Задача адаптации к спросу является типичной для предприятий, работающих на рынке продуктов питания. Среднестатистический коэффициент обращения заказчиков, покупателей на ЧТУП «ВОЛМЕР» в течение года составляет 0,85. Однако это обращение не равномерно распределено во времени. На весенне-летний период приходится большая часть нагрузки, в связи с чем коэффициент отказа на предприятии может достигать 40-45%.

Из теории вероятностей известно, что вероятность какого-либо события, в частности того, что спрос на товар будет удовлетворен, может быть найдена из выражения:

Р = Хр/Хс, (8)

где р - вероятность удовлетворяющего спроса на продукцию;

Хр - реализованный спрос;

Хс - количество возникающих заявок.

Однако эта вероятность изменяется в зависимости от объема спроса. Так, вероятность обслуживания резко уменьшается в том случае, когда спрос превосходит уровень возможностей предприятия.

Р на ЧТУП «ВОЛМЕР»:

Р2004= 78,4/98*12*100=66,7%

Р2005=86,7/98*12*100=73,7%

Р2006=95,7/98*12*100=81,4%

Р2007=113,9/98*12*100=96,9%

Р2008=114,5/98*12*100=97,45%.

Все вышеприведенные данные были рассчитаны согласно оптимистического сценария. Внесем прогнозные коррективы совершенствования платежеспособности на ЧТУП «ВОЛМЕР»:

совершенствование ассортимента продуктов питания, алкогольной и табачной продукции с 32% до 36% путем прямых поставок. Этот момент позволит расширить сферу деятельности, увеличить кругооборот денежных средств, сократить издержки.

согласно гибкой договорной политики планируется увеличение постоянной клиентуры с 13% до 20% от общего количества покупателей.

.2 Экономический эффект от предложенных изменений на ЧТУП «ВОЛМЕР»

Маркетинговые исследования рынка продуктов питания, алкогольной и табачной продукции показали, что для удержания своих позиций на рынке предприятие должно перейти на новую модель продаж товаров с высоким показателями качества, отвечающими требованиям конкурентоспособности. Новая «модель» будет требовать больших затрат. «Модель» будет представлять усовершенствованный вид магазина-склада, отвечающий техническим, экологическим и правовым нормам. Вместе с тем, более качественная, конкурентоспособная «модель» будет реализовываться по более высокой цене.

Таблица 3.3

Данные по альтернативным вариантам обновленной модели

Показатели

Варианты


1

2

3

Единовременные затраты в повышении качества розничной торговли, у. е. 2009г. 2010г. (год внедрения)

 5000 8000

 6500 10500

 8000 12000

Прогноз издержек обращения, у.е. 2007г. 2008г. 2009г.

250 230 210

230 210 200

210 200 190

Годичный товарооборот 2007г. 2008г. 2009г.

1500 1500 1500

1500 1700 1800

1500 1700 1800

Доля налогов, %

70

70

70

Коэффициент изменения полученного эффекта

1,0

1,1

1,2

Нормативная рентабельность,%

15

15

15

Процентная ставка,%

10

10

10

Инфляция,% в год

8

8

8

Фактор риска

0,6

0,5

0,45

Сопутствующий эффект

Не изменяется

Примечание: источник собственная разработка

Расчет экономического эффекта произведем по формуле:

Экономия в 2007 году равна:

Эк2007 = (250*1,15-250-(250*1.15-250) *70/100)*1500*1,08)*1,1*0,6 =

= 9985у.е.

Экономия в 2008 году равна:

Эк2008 = (230*1,15-230- (230*1,15-230)*70/100)*1500*1,08*1,08)*1,1*

*1,1*0,6 = 9985 у.е.

Экономия в 2009 году равна:

Эк2009= (210*1,15-210- (210*1,15-210)*70/100)*1500*1,08*1,08*1,08)* *1,1*1,1 *1,1 0,6 =8092 у.е.

Ожидаемый экономический эффект от разработки и внедрения

варианта 1 составит:

Эт1 = 9985+8936+8092-5000*1,1-8000*1,0 = 13513 у.е.

Расчет ожидаемой экономической эффективности по варианту 2.

Экономия в 2007 году равна:

Эк2007 = (230*1,15-230- (230*1,15-230)*70/100)*1500*1,08)/1,1*0,5*1,1= = 8562 у.е.

Экономия в 2008 году равна:

Эк2008 = (210*1,15-210- (210*1,15-210)*70/100)*1500*1,08*1,08)/ /1,1*1,1 * 0,5*1,1 = 8562 у.е.

Экономия в 2009 году равна:

Эк2009 = (200*1,15-200- (200*1,15-200)*70/100)*1500*1,08*1,08*1,08)/ /1,1*1,1 *1,1* 0,5*1,1 =8433 у.е.

Ожидаемый экономический эффект от разработки и внедрения

варианта 2 составит:

Эт2 = 8343+8562+8433-6500*1,1-10500*1,0 = 7688 у.е.

Расчет ожидаемой экономической эффективности по варианту 3.

Экономия в 2007 году равна:

Эк2007 = (210*1,15-210- (210*1,15-210)*70/100)*1500*1,08)/

/1,1*0,45*1,2 = 75555у.е.

Экономия в 2008 году равна:

Эк2008 = (200*1,15-200- (200*1,15-200)*70/100)*1700*1,08*1,08) /

/1,1*1,1 * 0,45*1,2 = 7964 у.е.

Экономия в 2009 году равна:

Эк2009 = (190*1,15-190- (190*1,15-190)*70/100)*1800*1,08*1,08*1,08)/ /1,1*1,1 *1,1* 0,45*1,2 = 7865 у.е.

Ожидаемый экономический эффект от разработки и внедрения варианта 3 составит:

Эт3 = 7555+7964+7865-8000*1,1-12000*1,0 = 2584 у.е.

Расчеты показали, что наибольший экономический эффект будет достигнут в варианте 1. Его и стоит применить в практической деятельности.

Таким образом, анализ рынка продуктов питания, алкогольной и табачной продукции свидетельствует о том, что прогнозирование спроса на товары этой отрасли является очень сложной задачей. Прогнозные расчеты спроса на продукцию показали, что при росте ассортимента в период 2005- 2009 г.г. примерно на 25% спрос на продукты питания возрастет по оптимистическому варианту в 1,8 раза (при стабилизации качества). Рост спроса на продукцию происходит за счет увеличения ассортимента, а также стоимости продукции отечественного производства (инфляция издержек).

ЗАКЛЮЧЕНИЕ

Финансовый анализ является существенным элементом финансового менеджмента и аудита. Практически все пользователи финансовых отчетов предприятий используют методы финансового анализа для принятия решений по оптимизации своих интересов.

Собственники анализируют финансовые отчеты для повышения доходности капитала, обеспечения стабильности положения предприятия. Кредиторы и инвесторы анализируют финансовые отчеты, чтобы минимизировать свои риски по займам и вкладам. Можно твердо говорить, что качество принимаемых решений целиком зависит от качества аналитического обоснования решения. А потребность, именно в анализе ликвидности и платежеспособности возникает в условиях рынка в связи с усилением финансовых ограничений и необходимостью оценки кредитоспособности предприятия.

В первой части диплома были приведены теоретические основы анализа ликвидности и платежеспособности, рассмотрены методики осуществления данного анализа, представлены теоретические пути повышения ликвидности и укрепления платежеспособности.

Во второй части была рассмотрена экономическая характеристика исследуемого предприятия. Было выяснено, что ЧТУП «Волмер» является типичным предприятием. В результате анализа экономической характеристики предприятия выяснилось: размер валовой продукции на предприятии увеличился с 2007 года по 2009 год на 285240,9 тыс. руб. На 10 человек увеличилась среднегодовая численность работников, и в 2009 году составила 18 человек. Благосостояние работников предприятия находится на среднем уровне. Широко используется такая форма оплаты труда как натуральная.

Среднегодовая стоимость основных средств возросла на 6210,9 тыс. руб. и в 2009 году стала равна 7030,8 тыс. руб. Прибыль предприятие получила в 2008, в 2009 годах. Наибольшая прибыль была в 2009 год - 71264,7 тыс. руб.

Анализ ликвидности и платежеспособности ЧТУП «Волмер», представленный в третьем разделе показал, что в течение всего анализируемого периода предприятие имело лишь перспективную платежеспособность, т.е. прогноз будущих поступлений и платежей. За три анализируемых года - 2007г., 2008г., 2009г. - предприятие не являлось платежеспособным, так как практически все коэффициенты, характеризующие платежеспособность предприятия отклонялись от оптимального значения. Анализ коэффициента маневренности говорит о том, что активы предприятия управляются неэффективно. В период с 2006 по 2008 года предприятие не могло погасить свои обязательства ни за счет имеющихся у него денежных средств, ни за счет ожидающихся поступлений от дебиторов, ни от поступлений средств от продажи готовой продукции и других элементов оборотных средств.

Анализ причин отклонений коэффициентов ликвидности указывает на то, что такое положение вызвано нехваткой денежных средств на счетах предприятия, недостаточной суммой дебиторской задолженности, своевременный возврат которой может быть направлен на погашение краткосрочных обязательств и избытком запасов.

Положительным моментом, который был выявлен в ходе анализа, является рост показателей платежеспособности в динамике.

В третьей главе мы обобщили за разные периоды деятельности экономические показатели и предложили свои пути выхода из кризиса. Предприятие оказалось низкорентабельным в отчетном периоде в связи с плохой работой маркетинговой службы, которая, не изучая спрос на рынке продуктов питания, алкогольной и табачной продукции, предложила более дорогостоящие аналоги, чем можно было приобрести у белорусских производителей такого же качества, но по более низкой цене. Изучение спроса - это основа деятельности торгового предприятия.

На основании всего вышеперечисленного были предложены такие пути повышения платежеспособности:

1. Из алгоритма расчета коэффициента текущей ликвидности можно увидеть, что его рост в динамике может быть достигнут за счет роста оборотных средств. Из балансовых соотношений понятно, что само по себе уменьшение краткосрочных обязательств невозможно, оно всегда сопровождается сокращением оборотных активов. Поэтому приемлемым средством восстановления платежеспособности является наращивание оборотных активов предприятия за счет результатов его хозяйственной деятельности с одновременным увеличением статьи «Прибыль». Таким образом, критерием восстановления платежеспособности является получение в прогнозном периоде прибыли в размере, необходимом для превышения оборотных активов над краткосрочными обязательствами.
 2. Значение расчетных коэффициентов (показателей платежеспособности) зависит главным образом от структуры пассива баланса. В частности, низкие значения коэффициента обеспеченности собственными оборотными средствами могут иметь место либо при значительном удельном весе долгосрочных и краткосрочных обязательств, либо при примерном равенстве величины оборотных активов и собственного капитала. Были внесены прогнозные коррективы совершенствования платежеспособности на ЧТУП «ВОЛМЕР»:

- совершенствование ассортимента продуктов питания, алкогольной и табачной продукции с 32% до 36% путем прямых поставок. Этот момент позволит расширить сферу деятельности, увеличить кругооборот денежных средств, сократить издержки.

согласно гибкой договорной политики планируется увеличение постоянной клиентуры с 13% до 20% от общего количества покупателей.

Приняв во внимание выявленные в ходе анализа негативные явления, можно дать некоторые рекомендации по улучшению и оздоровлению предприятия.

ЧТУП «Волмер» следует уменьшить количество запасов, увеличить сумму денежных средств на счетах. Залежалые, порченные, неликвидные запасы надо реализовывать по любой стоимости или списывать. Оптимизировать расчеты с покупателями и поставщиками, с целью избегания роста кредиторской задолженности. Необходимо принять меры по приращению собственных источников средств и сокращению заемных пассивов для восстановления финансовой самостоятельности организации.

В заключение можно отметить, что цель, поставленная в дипломе, была выполнена - анализ ликвидности и платежеспособности предприятия был произведен, выявлены пути повышения ликвидности и укрепления платежеспособности.

В дипломном проекте была предложена новая модель магазина-склада с новыми методами обслуживания, который гарантирует сохранность товаров и покупатели с «первых рук» могут приобретать товары оптом. Эффективная торговля с минимумом затрат - вот основной критерий деятельности предприятия в плановом периоде.

СПИСОК ИСПОЛЬЗОВАННЫХ ИСТОЧНИКОВ:

1.      Конституция Республики Беларусь 1994 года (с изменениями и дополнениями)

.        Гражданский кодекс Республики Беларусь. 7 декабря 1998 г. № 218-3

.        Анализ финансово-экономической деятельности предприятий. Н.П.Любушин, В.Б. Лещева, В.Г. Дьякова: Уч. пособие для ВУЗов.- М.:ЮНИТИ-ДАНА, 2007г.

.        Баканов М.И., Шеремет А.Д. Теория экономического анализа: Учебник. Изд.4-е - М.: Финансы и статистика, 2008г.

.        Балабанов И.Т. Анализ и планирование финансов хозяйствующего субъекта. - М.: Финансы и статистика, 2006г.

.        Басовский Л.Е. Теория экономического анализа- М.: ИНФРА - М, 2007г.

.        Бочаров В.В. Финансовое моделирование - СПб: Питер, 2005г.

.        Бочаров В.В. Управление денежным оборотом предприятий и корпораций. - М.: Финансы и статистика, 2006г.

.        Галанина Е.Н. Бухгалтерский учет: Финансы и статистика, 2007г.

.        Ефимова Д.В. Финансовый анализ. - М.: Бух. учет, 2006г.

.        Ковалев В.В. Управление финансами: Учебное пособие. - М., 2007г.

.        Ковалев В.В. Финансовый анализ: Управление капиталом. Выбор инвестиций. Анализ отчетности. - 2-е изд., перераб. и доп.- М.: Финансы и статистика, 2007г.

.        Зайцев М. Г. Об оценке эффективности использования оборотных средств предприятия//Дайджест: финансы №8, 2007г.

.        Козлова Е.П., Парашютин Н.В., Бабченко Т.Н. Бухгалтерский учет. - М., 2008г.

.        Крейнина М.Н. Финансовый менеджмент: Учебное пособие. - М.: Дело и Сервис, 2007г.

.        Кузьмина Л.П. Краткий конспект лекций по курсу «Теория экономического анализа» Часть 1 - Пятигорск: МКА, 2006г.

.        Маслова Д.В., Вазагов В.М., Васильев Ю.В., Кузьмина Л.П. Учетная политика предприятия (для бухгалтеров и предпринимателей) - Пятигорск: ИнЭУ Учебно-Научный Центр «Ноллидж», 2007г.

.        Негашев Е.В. Анализ финансов предприятия в условиях рынка: Учебное пособие. - М.: Высшая школа, 2007г.

.        Павлова Л.Н. Финансы предприятий: Учебник для вузов. - М.: Финансы, ЮНИТИ, 2008г.

.        Прыкина Л.В.Экономический анализ предприятия. - М.: ЮНИТИ, 2007г.

.        Попов Е.М. Финансы предприятия: Учебник для вузов. - Мн.: 2008г.

.        Савицкая Г.В. Анализ хозяйственной деятельности предприятия: Учебное пособие. - Москва: Инфра-М , 2008г.

.        Стоянова Е. Финансовый менеджмент. Российская практика. - М.: Перспектива, 2008г.

.        Соколов А.Ю. Управленческий учет накладных расходов - М.: Финансы и статистика, 2007г.

.        Справочник финансиста (под редакцией проф. Э.А.Уткина - М.: Тандем, Экмос, 2006г.

.        Уткин Э.А. Финансовый менеджмент. Учебник для вузов. - М.: Зерцало, 2008г.

.        Финансовое управление компанией / Общ. ред. Е.В.Кузнецовой. - М.: Фонд «Правовая культура», 2007г.

.        Финансы: Учебник для вузов. Под ред. проф. М.В. Романовского, проф. О.В. Врублевской, проф. Б.М. Сабанти. - М.: Издательство «Перспектива»; Издательство "Юрайт", 2007г.

.        Финансы предприятия/Под редакцией к.э.н., доцент Л.Г. Комлев. - Мн.: 2007г.

.        Финансы. Денежное обращение и кредит. Учебник/ Под ред. В. К. Сенчагова, А. И. Архипова - М.: «Проспект», 2007г.

.        Финансы: учебное пособие/ Под редакцией проф. А. М. Ковалевой: 4-е изд., перераб. и доп. - М.: Финансы и статистика, 2007г.

.        Хелферт Э. Техника финансового анализа /Пер. с англ. под ред. Белых Л.П. М.: Аудит, ЮНИТИ, 2006г.

.        Шуляк П.Н. Финансы предприятия: Учебник. - М.: Издательский Дом «Дашков и Ко», 2007г.

Дипломная работа выполнена самостоятельно. Использованные в работе материалы из опубликованной литературы и других источников имеют ссылки на них.

___________________________ _______Шух Е.А._____________

(подпись) (расшифровка подписи)

«13» мая 2010 г.

Приложение № 1

Рисунок 1.1. Взаимосвязь между показателями ликвидности и платежеспособности предприятия

Приложение № 2

Бухгалтерский баланс ЧТУП «Волмер» за 2006 год (сокращенный)

Форма №1

тыс. руб.

Актив

На начало года

На конец года

Внеоборотные активы

Основные средства


819,9

Итого внеоборотные активы


819,9

Оборотные активы

Запасы и затраты


30718,2

Налог и по приобретенным активам


4190,8

Денежные средства


4401,4

Итого оборотные активы


39310,4

Итого активы


40130,3

Пассив

Капитал и резервы

Уставный фонд


2200,0

Нераспределенная прибыль (непокрытый убыток)


-1885,1

Доходы будущих периодов


4

Итого капитал и резервы


318,9

Обязательства

Кредиторская задолженность


39811,4

Итого обязательства

39811,4

Итого пассив


40130,3


Приложение № 3

Отчет о движении денежных средств 2006г.

Форма №4

тыс. руб.

Показатель

Сумма - всего

Из нее по деятельности



текущей

Остаток денежных средств на начало года

-


Поступило денежных средств - всего

41564,4

41564,4

В том числе выручка от реализации

26728,6

26728,6

Прочие поступления

14835,8

14835,8

Направлено денежных средств - всего

34961,2

34961,2

В том числе на расчеты с персоналом

1162,6

1162,6

На оплату налогов и сборов

4472,0

4472,0

Прочие выплаты

29326,5

Остаток денежных средств на конец года

4401,4



Приложение № 4

Бухгалтерский баланс ЧТУП «Волмер» за 2007г. (сокращенный)

Форма №1

тыс. руб.

Актив

На начало года

На конец года

Внеоборотные активы

Основные средства

819,9


Итого внеоборотные активы

819,9

Оборотные активы

Запасы и затраты

30718,2

115439,1

Налог и по приобретенным активам

4190,8

3997,1

Денежные средства

4401,4

692,6

Итого оборотные активы

39310,4

120128,8

Итого активы

40130,3

120128,8

Пассив

Капитал и резервы

Уставный фонд

2200

2336,7

Нераспределенная прибыль (непокрытый убыток)

-1885,1

31822,1

Доходы будущих периодов

4


Итого капитал и резервы

318,9

34158,8

Обязательства

Кредиторская задолженность

39811,4

84246,5

Резервы предстоящих расходов


1723,5

Итого обязательства

39811,4

85970,0

Итого пассив

40130,3

120128,8


Приложение № 5

Отчет о движении денежных средств 2007г.

Форма №4

тыс. руб.

Показатель

Сумма - всего

Из нее по деятельности



текущей

Остаток денежных средств на начало года

4401,4


Поступило денежных средств - всего

1056220,7

1056220,7

В том числе выручка от реализации

1049584

1049584

Прочие поступления

6636,7

6636,7

Направлено денежных средств - всего

924417,8

924417,8

В том числе на расчеты с персоналом

10203,8

10203,8

Расходы по оплате труда

44626,1

44626,1

На оплату налогов и сборов

74434,8

74434,8

Расходы по аренде, лизингу

2970

2970

Прочие выплаты

3277

3277

Остаток денежных средств на конец года

692,6


Приложение № 6

Бухгалтерский баланс ЧТУП «Волмер» за 2008г. (сокращенный)

Форма №1

тыс. руб.

Актив

На начало года

На конец года

Внеоборотные активы

Основные средства


7030,8

Итого внеоборотные активы


7030,8

Оборотные активы

Запасы и затраты

115439,1

227071,7

Налог и по приобретенным активам

3997,1

4735,8

Дебиторская задолженность


1689,9

Денежные средства

692,6

6528,6

Итого оборотные активы

120128,8

240026

Итого активы

120128,8

247056,8

Пассив

Капитал и резервы

Уставный фонд

2336,7

2336,7

Нераспределенная прибыль (непокрытый убыток)

31822,1

73658,2

Доходы будущих периодов



Итого капитал и резервы

34158,8

75994,9

Обязательства

Кредиторская задолженность

84246,5

162758,1

Резервы предстоящих расходов

1723,5

8303,8

Итого обязательства

85970,0

171061,9

Итого пассив

120128,8

247056,8


Приложение № 7

Отчет о движении денежных средств 2008г.

Форма №4

тыс. руб.

Показатель

Сумма - всего

Из нее по деятельности



текущей

Остаток денежных средств на начало года

692,6


Поступило денежных средств - всего

1921121,3

1921121,3

В том числе выручка от реализации

1921121,3

1921121,3

Прочие поступления



Направлено денежных средств - всего

1915285,3

1915285,3

В том числе на расчеты с персоналом

4042,1

4042,1

На оплату приобретаемых активов

1583959,8

1583959,8

Расходы по оплате труда

93498,6

93498,6

На оплату налогов и сборов

136694,8

136694,8

Расходы по аренде, лизингу

55134,8

55134,8

Прочие выплаты

41955,2

41955,2

Остаток денежных средств на конец года

6528,6



Похожие работы на - Исследование ликвидности и платежеспособности ЧТУП 'Волмер'

 

Не нашли материал для своей работы?
Поможем написать уникальную работу
Без плагиата!
Без нейросетей!