Проектирование турбокомпрессора
Курсовая
работа
Проектирование
турбокомпрессора
Содержание
1. Задание для проектирования
турбокомпрессора
. Определение параметров совместной
работы поршневого двигателя и турбокомпрессора
.1 Метод приближенного расчета 
и 
. Расчет компрессора
.1 Предварительное определение
основных параметров компрессора
.2 Входной патрубок
.3 Рабочее колесо компрессора
.4 Безлопаточный диффузор
.5.Лопаточный диффузор
.6 Улитка
.7 Окончательные значения основных
параметров ступени
. Расчет радиально-осевой турбины
.2.Основные энергетические и
геометрические параметры турбины
.3.Сопловой аппарат
.4 Рабочее колесо
. Моделирование внешней скоростной
характеристики
. Описание конструкции
турбокомпрессора
. Регулирование давления наддува
Список использованной литературы
Приложения
1. Задание
для проектирования турбокомпрессора
|
№
|
Наименование параметра
|
Значение
|
|
1
|
Номинальная мощность Ne,
кВт при частоте вращения n, мин-1
|
60 5400
|
|
2
|
Максимальный крутящий
момент Ме max, Н м при частоте вращения nм, мин-1
|
121 3000
|
|
3
|
Минимальный удельный расход
топлива ge min, г/(кВт ч)
|
242
|
|
4
|
Прототип двигателя ВАЗ -
2115 - число цилиндров, i - диаметр цилиндра D, мм - ход поршня S, мм -
тактностьtд - степень сжатияe
|
4 82 71 4 9,8
|
|
5
|
Степень повышения крутящего
момента наддувом lн
|
1,52
|
|
6
|
Вариант конструкции
турбокомпрессора
|
7
|
проект мощность двигатель турбокомпрессор турбина
2. Определение параметров совместной
работы поршневого двигателя и турбокомпрессора
2.1 Метод приближенного расчета 
и 

Давление окружающей среды р0=
0,10 МПа, температура Т0 = 298К (ГОСТ 14846-80 и ГОСТ 18509-88).
Приспособляемость двигателя без
наддува:
- крутящий момент на режиме номинальной
мощности
- коэффициент приспособляемости
Приспособляемость двигателя с
турбонаддувом:
- максимальный крутящий момент
- мощность на режиме максимального крутящего
момента
Для проектируемого автомобильного
двигателя с учетом настройки системы наддува и сохранения частоты вращения nм = 3000 мин -1 принимаемКн=Ке=1,14и
вычисляем:
крутящий момент на номинальном режиме
- номинальная мощность
Ориентировочное давление наддува 
Коэффициент xт = 0,08...0,13. Для четырехтактных двигателей
принимаются меньшие значения. С увеличением частоты вращения двигателя величина
xтповышается. Принимаем для режима максимального
крутящего момента xт= 0,113, а для номинального xт= 0,13:
м) 
МПа;
н)
МПа.
В дальнейшем вычисление параметров
для режима максимального крутящего момента будет выделяться меткой «м)», а для
номинального режима (максимальной мощности) - «н)».
Параметры воздуха на входе в
компрессор: температура воздуха перед впускным патрубком обычно принимаетсяТa*=T0 =
298К, а давление ра*=p0-Δpвс., где Та*,ра* - температура
и давление заторможенного потока воздуха на входе в патрубок.
Потери давления на всасывание (в
воздушномфильтре, глушителе шума и т.п.) принимаются по техническим описаниям,
а при отсутствии их - по статистическим данным. На выполненных конструкциях Δрвс= 0,002... 0,005МПа. Принимаем Δрвс=0,002 МПа.
Тогда ра*=0,1000-0,002
=0,098 МПа
Параметры воздуха на выходе из
компрессора (из улитки) в первом приближении принимаем с учетом потерь во
впускной системе комбинированного двигателя.
Потери во впускной системе обычно
находятся на уровне Δрк= 0,001...0,002 МПа. Принимаем Δpк= 0,0015 МПа. Тогда
- давление наддува:
м) 
МПа;
н)
МПа;
- степень повышения давления в
компрессоре:
Удельный расход топлива ge, г/(кВт
ч), для бензинового двигателя без наддува:
Так как экономичность двигателя с
турбонаддувом обычно выше, то при отсутствии внешней скоростной характеристики
допустимо принять
Часовой расход топлива:
Для определения часового расхода
воздуха GB необходимо выбрать коэффициент
избытка воздуха а при работе двигателя с наддувом.
Принимаем
На режиме максимального крутящего момента коэффициент
избытка воздуха Ом имеет несколько меньшие значения. Согласно статистическим
данным:
- для бензиновых двигателей 
= (0,97... 0,99)
.
Принимаем 
= 0,98
. Тогда 
= 0,98
0,96 = 0,94.
Теоретически необходимое количество
воздуха для сгорания 1 кг бензинаL0=15,1

Часовой расход воздуха в двигателе:
Расход воздуха через компрессор:
По рассчитанным значениям Gк и πк определяем, с помощью характеристики ТКР, наиболее
подходящий агрегат.
В нашем случае наиболее подходящим
является турбокомпрессор RHB5,модели
384С (IHIЯпония).
3. Расчет компрессора
Исходные данные для расчета центробежного компрессора
|
Показатели
|
Режимы работы по скоростной
характеристике
|
|
|
|
|
Расход воздуха,  , кг/с
|
0,055
|
0,089
|
|
Давление на входе в
компрессор,  , МПа
|
0,0983
|
0,0983
|
|
Давление на выходе из
компрессора,  , МПа
|
0,1605
|
0,1699
|
|
Степень повышения давления,

|
1,633
|
1,728
|
3.1 Предварительное определение основных
параметров компрессора
Удельная адиабатная работа сжатия в
компрессоре
где R=287 Дж/(кг·град) - газовая постоянная, k= 1,4 - показатель адиабаты сжатия.
Плотность воздуха на входе (по
параметрам окружающей среды)
Ориентировочное значение окружной
скорости на наружном
диаметре рабочего колеса определяется по эмпирической формуле
Осевая скорость воздуха перед колесом
где относительная скорость
на серийных ТКР находится в пределах 0,2...0,4.
Тогда диапазоны изменения скорости
следующие:
Площадь сечения на входе в колесо,
удовлетворяющая скоростям
, должна находиться в пределах:
Площадь сечения
, обеспечивающая
работу компрессора на обоих режимах работы двигателя, должна находиться в
диапазоне 
м2.
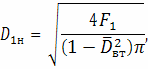
Наружный диаметр колеса на входе 
с учётом втулки определяется из уравнения
Откуда
где 
- диаметр втулки; 
- относительный диаметр втулки для получения приемлемой
формы лопаточной решетки в корневом сечении; рекомендуется принимать
. Принимаем 
.
Тогда для выбранного диапазона 
значение 
находится в пределах
Принимаем
Диаметр втулки
. Принимаем
.
Наружный диаметр колеса на выходе
где навыполненных конструкциях ТКР относительный диаметр 
=0,55...0,70.
Диаметр колеса на выходе должен быть
в пределах
Принимаем
мм;
мм. Проверяем принятые размеры по рекомендуемым соотношениям
и при необходимости корректируем их:
Окончательно принимаем
.
Для компрессора с лопаточным
диффузором принимаем коэффициент напора Н к= 0,610. Уточняем
значение окружной скорости
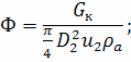
Проверяем правильность выбора D2 и и2по коэффициенту
расхода
Коэффициент расхода на выполненных
конструкциях Ф = 0,045...0,150. Предпочтительно иметь Фопт=
0,075...0,095. Для центробежных рабочих колес значения Ф менее 0,065 и
более 0,12 нежелательны. Таким образом, принятые значения D2=55 мм и u2=270
м/с обеспечивают более близкие к наилучшим показатели двигателя с наддувом на
режиме максимального крутящего момента.
3.2 Входной патрубок
Скорость потока воздуха в сечении А
- А 
, где 
Принимаем са= 0,22.

; 
Условие 
выполняется.
Статическое давление
Статическая температура при
:
где сp=1006,3 Дж/(кг· град) - изобарная
теплоёмкость воздуха при
t0 = 25°С.
3.3 Рабочее колесо компрессора
Расходная скорость воздуха перед колесом
(меридиональная):
площадь входного сечения

м2;
скорости
м)
м/с;
н) 
м/с.
Относительная скорость
м)
;
н)
.
Рекомендуемые значения
. Таким образом, для обоих режимов
обеспечивается вход воздуха на рабочее колесо с минимальными потерями.
Давление
м)
МПа;
н)
МПа.
.3.3. Температура
м)
К;
н)
К.
Плотность воздуха
м)
кг/м3;
н)
кг/м3.
Средний диаметр колеса на входе (окружности, делящей
площадь сечения
пополам)
мм;
относительный диаметр
Выбираем число лопаток колеса. У выполненных
конструкций компрессоров ТКР число лопаток на выходе Z2 = 12...30. С целью уменьшения загромождения потока на входе
и улучшения работы компрессора на нерасчетных режимах принимают двухъярусную
решетку. Тогда
. Для рассчитываемого ТКР принимается Z2 = 14; Z1 = 7.
Направления относительной скорости на входе в колесо
на режиме максимального крутящего момента.
;
;
;
;
;
.
Направление входных кромок лопаток проектируем для
режима номинальной мощности
;
;
,
где угол атаки обычно принимают i»1…3°.
Толщина лопаток на входе
. Толщина лопаток
от втулки к периферии несколько
уменьшается.
Для расчитываемого ТКР
мм. Принимаем
мм;
мм;
мм
Коэффициент стеснения потока лопатками
;
;
.
Коэффициент сжатия во входном сечении
м)
; н)
.
Должно быть
.
Относительный диаметр входа, обеспечивающий минимум
относительной скорости в горле межлопаточных каналов на диаметре
.
м)
;
н)
.
Должно быть
. В данном расчете:
м)
н)
Относительная скорость на входе на наружном и среднем
диаметре
м)
м/с ;
м)
м/с ;
н)
м/с ;
н)
м/с .
Максимальное число M
м)
;
н)
.
Значение M1w должно
быть меньше 0,85.
Абсолютная скорость и коэффициент расхода на входе в
колесо с учётом стеснения
м)
м/с.
;
н)
м/с.
Радиальная составляющая скорости на выходе из колеса с
учётом стеснения
м)
м/с.
Принимаем, c учетом c1, скорость с2r= 70 м/с.
н)
м/с.
Принимаем на номинальном режиме с2r= 95 м/с.
Коэффициент расхода на выходе
м)
;
н)
.
Рекомендуются значения коэффициента расхода для
ступени с лопаточным диффузором
.
Условие выполняется.
Коэффициент уменьшения теоретического напора
.
Окружная составляющая скорости на выходе из колеса
м)
м/с;
н)
м/с.
Относительная и абсолютная скорости на выходе из
колеса.
м)
н)
.3.21. Диффузорность колеса характеризуется
отношением.
м)
;
н)
.
Рекомендуется
.
Условие выполняется.
.3.22. Потери напора:
на входе ( в предкрылке)
,
где коэффициент потерь в предкрылке
. Принимаем
= 0,25; м)
Дж/кг; н)
Дж/кг;
в радиальной решетке
,
где коэффициент местных потерь
. Принимаем
.
м)
Дж/кг;
н)
Дж/кг;
дисковые
,
где коэффициент дискового трения
. Принимаем aд соответственно 0,04 и 0,05.
м)
Дж/кг; н)
Дж/кг.
Температура воздуха за колесом
м) 
К;
м)
К;
н)
К;
н)
К.
Показатель процесса сжатия в колесе
м)
;
н)
Давление за колесом
м)
МПа;
н)
МПа.
Плотность воздуха за колесом
м)
кг/м3;
н)
кг/м3.
Необходимая высота лопаток на выходе
;
м)
м;
н)
м.
С учетом расхода воздуха на номинальном режиме принимаем
b2л = 0,0037 м = 3,7 мм.
Относительная высота лопаток
м)
;
н)
.
Допустимое значение
. Для принятого b2л = 0,0037м относительная высота
.
Число
на выходе из колеса
м)
. н)
.
Должно быть
.
3.4 Безлопаточный диффузор
Ширина безлопаточного диффузора на входе
,
где
- относительный зазор между корпусом и торцами лопаток
колеса. Рекомендуется
.
Тогда
.
Принимаем
. Относительный зазор при этом
.
Ширина безлопаточного диффузора на выходе
.
При следующем за безлопаточным диффузором лопаточном
диффузоре
, то принимаем
,0. Тогда b3 =b2 =0,0038 м.
Направление абсолютной скорости на входе в
безлопаточный диффузор
м)
;
;
н)
;
.
При последующем лопаточном диффузоре следует иметь
.
Направление скорости на выходе из безлопаточного
диффузора.
;
м)
; н)
.
Скорость после безлопаточного диффузора
.
При последующем лопаточном диффузоре отношение
м)
м/с.
Принимаем c3 = 200 м/с.
н)
м/с.
Принимаем c3 = 220 м/с.
Показатель процесса повышения давления воздуха в безлопаточном диффузоре
,
где
- политропный к.п.д. безлопаточного диффузора. Для коротких
безлопаточных диффузоров, предшествующих лопаточному,
= 0,55...0,67. Принимаем
= 0,63.
.
Температура воздуха на выходе из безлопаточного
диффузора
;
м)
, где теплоемкость
;
н)
, где теплоемкость
.
Давление за безлопаточным диффузором
м)
МПа;
н)
МПа.
Число M на
выходе из безлопаточного диффузора
м)
; н)
.
Должно быть
.
.4.10. Плотность воздуха
м)
кг/м3;
н)
кг/м3.
.4.11. Внешний диаметр безлопаточного диффузора:
м)
;
;
н)
;
.
Обычно
. С учетом рекомендаций принимаем D3 = 58 мм, которому соответствует
.
Уточняем углы направления скорости на выходе из
безлопаточного диффузора (см. 3.4.4)
;
м)
;
н)
;
Скорость после диффузора.
.
Cтатистический диапазон отношения скоростей
.
м)
м/с;
н)
м/с.
Принимаем м) c4 = 90 м/с;
н) c4 = 100 м/с.
Показатель процесса повышения давления воздуха в
лопаточном диффузоре
.
Политропный к.п.д. лопаточного диффузора на
выполненных компрессорах изменяется в пределах
. Принимаем
.
.
Температура за диффузором
м)
К;
н)
К,
где теплоемкость
.
.5.4.Давление за диффузором
м)
МПа;
н)
МПа.
Плотность воздуха на выходе из лопаточного диффузора
м)
кг/м3;
н)
кг/м3.
Диаметр выхода из диффузора
.
Отношение диаметров обычно равно
.
.
Принимаем D4 = 0,080 м »80 мм.
.
Относительный диаметр D4 / D2= 80 / 55 = 1,45. Рекомендуется
выдерживать отношение
.
Ширина диффузора на выходе
Принимаем b4 = 0,0048 м = 4,8 мм при
.
Радиальная составляющая скорости на выходе из
лопаточного диффузора
м)
м/с;
н)
м/с.
Направление потока воздуха на выходе из лопаточного
диффузора
м)
;
н)
Отклонение потока в лопаточном диффузоре
м)
;
н)
.
Обычно
. Однако, при
отклонение потока
.может иметь меньшие значения.
Входной и выходной углы лопаток
Рекомендуемые значения угла атаки на входе
. Так как расчетным режимом является
режим номинальной мощности, то для него принимаем
Рекомендуемые значения угла отставания на выходе
. Принимаем для режима номинальной
мощности
.
Число лопаток диффузора из условия оптимального
относительного шага
.
Рекомендуемые значения Zд = 13;17;19;... .Принимаем
17.
3.6 Улитка
Для рядного двигателя принимаем однозаходную улитку
круглого сечения.
Радиус поперечного сечения улитки для произвольно
заданных углов φ подсчитываются по формуле.
.
При однозаходной улитке угол φ изменяется от 0 до 360о.
Радиус сечения в однозаходной улитке (рис. 1)
м. Принимаем Rул = 13 мм. Тогда выходной диаметр улитки
мм.
Радиус поперечного сечения на выходе из диффузора.
.
Рекомендуемый угол раскрытия выходного диффузора
, а длина выходного диффузора
. Тогда при
м, радиус поперечного сечения на
выходе из диффузора однозаходной улитки может быть установлен в диапазоне
м.
Принимаем Rk180 = 15 мм.
Выходной диаметр диффузора
мм.
Потери напора в улитке и выходном диффузоре:
.
Рекомендуется коэффициент потерь
. Принимаем
и 0,30.
м)
Дж/кг; н)
Дж/кг.
Скорость на выходе из диффузора c5 (компрессора cк)
,
где nу - число заходов улитки; ρk = ρ5 - плотность воздуха на выходе из компрессора, обычно
принимают равным ρ4.
м)
м/с;
;
н)
м/с;
.
Рекомендуется
.
3.6.5. Температура на выходе
м)
К;
К;
н)
К;
К.
Показатель степени повышения давления в улитке
,
где КПД улитки на выполненных конструкциях η5 = 0,30...0,65.
Принято η5 = 0,60.
.6.7. Давление на выходе
м)
МПа;
н)
МПа.
Степень повышения давления в компрессоре
м)
;
н)
.
Плотность воздуха на выходе
м)
кг/м3;
н)
кг/м3.
3.7 Окончательные значения основных
параметров ступени
Конечное давление наддува pk отличается от определенного в п.
1.5. на
м)
МПа;
н)
МПа.
Удовлетворяет условию:
.
.7.2. Адиабатный КПД компрессора
м)
;
н)
.
На расчетных режимах принимаем:
м) ηк ад = 0,73; н) ηк ад = 0,72.
Удельная адиабатная работа сжатия в компрессоре
м)
Дж/кг;
н)
Дж/кг.
Мощность компрессора (приводная)
;
м)
=Вт =3,7кВт;
н)
=Вт = 6,4кВт.
3.7.5.Частота вращения колеса компрессора
м)
мин-1;
н)
мин-1.
3.7.6.Окружная скорость на входе в колесо компрессора
4. Расчет
радиально-осевой турбины
Для рассчитываемого турбокомпрессора предварительно
выбираем радиально-осевую турбину. Исходные данные для ее расчета принимаются
по результатам расчетов цикла двигателя с турбонаддувом и компрессора.
4.1
Исходные данные для расчета радиально-осевой турбины
|
Показатели
|
Режимы по скоростной
характеристике
|
|
Макс. крут.момента
|
Номинальный
|
|
Расход воздуха, Gk,кг/с
|
0,055
|
0,089
|
|
Частота вращения ротора
турбокомпрессора, nтк, мин-1
|
93804
|
99710
|
|
Давление наддува рк, МПа
|
0,1654
|
0,1712
|
|
Степень повышения давления, πк
|
1,654
|
1,712
|
|
Удельная адиабатная работа
в компрессоре Нк ад.,Дж/кг
|
46334
|
49758
|
|
Адиабатный КПД компрессора hk ад
|
0,71
|
0,70
|
|
Коэффициент избытка воздуха
a
|
0,94
|
0,96
|
4.2 Основные энергетические и
геометрическиепараметры турбины
Расход газа через турбину.
Количество отработавших (выпускных) газов
,
где jn
- коэффициент продувки изменяется в пределах
. Предварительно принимаем
.
м)
кг/с;
н)
кг/с.
Утечки газа через неплотности учитываются коэффициентом,
значения которого находятся в диапазоне
. Принимаем
.
Тогда, фактический расход газа через турбину
;
м) Gг = 0,95. 0,059 = 0,056
кг/с;
н) Gг = 0,95. 0,095 = 0,09
кг/с.
По данным технических характеристик турбокомпрессоров
с радиально-осевыми турбинами значения максимальных КПД турбин находятся в
пределах hк=0.68…0,74. Предварительно принимаем
максимальное значение КПД турбины
м) hт=0.69; н) hт=0.68.
Температура газов перед турбиной Тт
принимается по результам расчета цикла двигателя. Из условий обеспечения её
длительной работы турбокомпрессора Тт не должна превышать:
730°С (1003 К) на автотракторных и других двигателях наземного транспортна.
Принимаем с учетом коэффициента избытка воздуха:
м)
К; н) Тт = 980К.
Необходимая, средняя за цикл, удельная адиабатная
работа газа в турбине определяется из баланса средних мощностей турбины и
компрессора
или
;
.
где
- коэффициент импульсности турбины.
В нашем случае:
м)
н)
м)
Дж/кг;
н)
Дж/кг.
Противодавление за турбиной
,
где коэффициент сопротивления устройств за турбиной
(глушитель шума, нейтрализаторы и т.п.) находится в пределах ξт = 1,02...1,08. Принимаем ξт = 1,06.
МПа.
Среднее давление газа перед турбиной
,
где к'- средний показатель адиабаты расширения.
Принимаем к' » 1,34.
м)
МПа;
;
н)
МПа.
.
Для четырехтактных двигателей желательно иметь
отношение
.
Плотность газа перед турбиной
;
м)
кг/м; н)
кг/м3.
Правильность предварительного выбора радиально-осевой
турбины проверяется по величине коэффициента быстроходности
м)
;
н)
.
Для радиально-осевой турбины
.
Окончательно принимаем радиально-осевую турбину с
однозаходной улиткой и лопаточным сопловым аппаратом.
Наружный диаметр рабочего колеса.
Оптимальное соотношение диаметров турбины D3т и компрессора D2к в выполненных конструкциях
турбокомпрессоров находится в пределахс радиально-осевой (центростремительной) D3т / D2к = 1,0...1,1. Для рассчитываемой турбины наружный диаметр
рабочего колеса
м. Принимаем D3 = 0,058 м = 58 мм.
Диаметры соплового аппарата назначаются на основе
опытных зависимостей:
наружный диаметр лопаток
;
внутренний диаметр лопаток
.
По опытным рекомендациям относительные диаметры
находятся в пределах:
;
.
В соответствии с этим
D1 = (1,35...1,50) ×0,058 = (0,078...0,087) м;
D2 = (1,05...1,10) ×0,058 = (0,061...0,064) м.
Принимаем
D1 = 0,08 м = 80 мм; D2 = 0,062 м
= 62 мм.
Диаметры рабочего колеса на выходе:
наружный
;
втулочный
;
средний
.
По опытным рекомендациям относительные диаметры:
;
.
Тогда
D4н = (0,70...0,85) × 0,058 = (0,041...0,049) м;
Dвт = (0,25...0,32) × 0,058 = (0,015...0,019) м.
Принимаем
D4н = 0,042 м = 42 мм;
Dвт = 0,016 м = 16 мм.
Средний диаметр на выходе
м»32 мм.
Относительный средний диаметр
.
.2.12.Площадь сечения рабочего колеса на выходе
м2.
Окружные скорости при входе газа в рабочее колесо
турбины
;
м)
м/c;
н)
м/c.
.2.14. Окружная скорость на выходе из рабочего колеса
на среднем диаметре
;
м)
м/c;
н)
м/с.
Степень реактивности турбины.
В турбине в работу на валу рабочего колеса Lт.ад. преобразуется адиабатный
теплоперепад (потенциальная энергия газа) Нт.ад., величина которого
зависит от перепада температур (или давлений)
,
где pот = p4 - давление газа после турбины; pт = p1 - давление газа перед турбиной.
Преобразование энергии может происходить в улитке-HУЛ, в сопловом аппарате - HС.А . и рабочем колесе - HР.К.
Соотношение этих величин оценивается степенью
реактивности турбины
.
Если r»0, то такие турбины называются активными. При r> 0 турбины называются реактивными.
Значения r, согласно
опытных данных, находится в пределах: - радиально -осевые
(центростремительные) r =
0,45...0,55.
Для рассчитываемой турбины принимаем r = 0,52.
4.3 Сопловой аппарат
Адиабатная работа расширения газа в сопле
;
м)
Дж/кг;
н)
Дж/кг.
Абсолютная скорость газа на входе рабочее колесо
.
Коэффициент скорости, для диаметров рабочего колеса
50…100 мм находятся в пределах
. С учетом улитки принимаем
.
Средняя скорость газа на входе в сопловой аппарат
(улитку) обычно составляет
м/с. Для рассчитываемых режимов принимаем:
м) с1 = 55 м/с; н) с1 = 70 м/с.
Тогда
м)
м /с;
н)
м/с.
Рекомендуемое число сопловых лопаток
.
Принимаем
.
Осевая скорость на выходе из рабочего колеса
определяется по формуле
,
которая преобразуется к виду
;
м)
м/с;
н)
м/с.
Радиальная составляющая абсолютной скорости на выходе
с лопаток соплового аппарата. Для исключения обратных токов и снижения
гидравлических потерь радиальная скорость на входе в рабочее колесо с3r должна быть несколько меньше осевой
скорости на выходе из рабочего колеса с4а.
В первом приближении принимаем:
м) с3r = 110 м/с; н) с3r= 150 м/с.
Угол входа потока на рабочее колесо
;
м)
;
н)
.
Окружная составляющая абсолютной скорости газа с3u
на входе в рабочее колесо (по закону с2u = const)
;
м)
м/с; н)
м/с.
на выходе с лопаток соплового аппарата
;
м)
м/с; н)
м/с.
Число лопаток рабочего колеса находится в пределах
. Принимаем
. Лопатки радиальные.
Коэффициент загромождения входного сечения рабочего
колеса
,
где толщина рабочих лопаток на входе δ3 =1…2 мм. Принимаем δ3=1,2 мм.
.
Радиальная составляющая абсолютной скорости на выходе
с лопаток соплового аппарата
.
Предварительно принимаем ширину лопаток b2 = b3 и плотности газа r2 = r3. Тогда
м)
м/с;
н)
м/с.
Абсолютная скорость газа на выходе с лопаток соплового
аппарата
;
м)
м/с; н)
м/с.
Угол выхода газового потока из соплового аппарата
;
м)
;
н)
.
Рекомендуемые значения угла выхода газового потока из
соплового аппарата лежат в пределах
.
Температура газа на выходе из соплового аппарата:
статическая
Средняя массовая изобарная теплоёмкость выпускных
газов при температурах близких к
К равна
Дж/(кг×град.).
м)
;
н)
.
·
заторможенного
потока
;
м)
;
н)
4.2.14. Число Маха, характеризующее режим течения газа
на выходе из соплового аппарата
;
м)
;
н)
.
Оба значения М1 меньше единицы. Характер
течения газа дозвуковой, в связи с чем применимы обычные приёмы выбора профилей
лопаток.
Потеря энергии в сопловом аппарате
;
м)
Дж/кг;
н)
Дж/кг.
Показатели политропы расширения в сопловом аппарате
;
м)
;
н)
.
Давление газа на выходе из соплового аппарата
;
м)
МПа;
н)
МПа.
Плотность газа после соплового аппарата
;
м)
кг/м3;
н)
кг/м3.
Ширина проточной части соплового аппарата (длина
лопаток)
;
м)
м;
н)
м.
Принимаем b2 = 7,0 мм
Относительная ширина
.
Рекомендуемые отношения ширины соплового аппарата к
диаметру колеса турбины находятся в пределах:
для радиально-осевых турбин
.
4.4 Рабочее колесо
Угол входа потока на рабочее колесо с радиальными
лопатками
;
м)
;
н)
.
Допускается b3
= 80...110°.
Температура газа на входе в рабочее колесо
;
м)
К;
н)
К.
.4.3. Давление газа на входе
;
м)
МПа;
н)
МПа.
Плотность газа
;
м)
кг/м3; н)
кг/м3.
Относительная скорость потока газа на входе в рабочее
колесо
;
м)
м/с;
н)
м/с.
.4.6. Адиабатная работа расширения газа в рабочем колесе
;
м)
Дж/кг;
н)
Дж/кг.
Относительная средняя скорость газа на выходе из
рабочего колеса
Скоростной коэффициент :
для радиально-осевых турбин
;
Принимаем y=0,93;
м)
м/с;
н)
м/с.
Температура газа на выходе
;
н)
К.
Давление газа
;
м)
МПа;
н)
МПа.
Плотность газа на выходе
;
м)
кг/м3;
н)
кг/м3.
Предварительное значение угла выхода потока газа из
рабочего колеса в относительном движении
;
м)
;
н)
.
Величина утечки газа:
в радиально-осевой турбине (по радиальному зазору)
.
Величина радиального зазора
мм. Принимаем
мм.
Высота лопаток на выходе
м)
кг/с;
н)
кг/с.
Уточненная величина угла выхода газа из рабочего
колеса
;
м)
;
н)
.
Окружная составляющая абсолютной скорости на выходе из
рабочего колеса
;
м)
м/с;
н)
м/с
.4.15. Уточненная осевая составляющая абсолютной
скорости
;
м)
м/с;
н)
м/с.
Отношения скоростей
м)
; н)
.
Для исключения обратных потоков и уменьшения
гидравлических потерь рекомендуется иметь
.
Абсолютная скорость газа на выходе
;
м)
м/с;
н)
м/с.
Угол выхода потока по отношению к плоскости рабочего
колеса
;
м)
;
н)
.
Потери энергии с выходной скоростью
;
м)
Дж/кг;
н)
Дж/кг.
Потери энергии вследствие утечек
,
м)
Дж/кг;
н)
Дж/кг.
Потери на лопатках рабочего колеса
;
где скоростной коэффициент для радиально-осевой
турбины
. Принимаем
и
;
м)
Дж/кг;
н)
Дж/кг.
Потери трения диска рабочего колеса и вентиляционные
потери
,
где коэффициент, учитывающий форму диска
. Принимаем
.
м)
Дж/кг;
н)
Дж/кг.
Адиабатный к.п.д. турбины
;
м)
;
н)
.
Эффективный к.п.д. турбины
Обычно
. Принимаем
;
м)
;
н)
.
Эффективная мощность турбины
;
м)
кВт;Nк = 3,7 кВт;
н)
кВт; Nк = 6,4 кВт.
При проектировании улиточного подвода газа к турбине
(сопловым лопаткам), характерного для турбины постоянного давления, обычно
принимается закон прямолинейного убывания проходного сечения улитки по её
длине. При этом максимальное начальное проходное сечение
берётся равным выходному сечению
выпускного трубопровода, а минимальное концевое сечение
(во избежание большой шумности
турбины при работе) порядка
.
5.
Моделирование внешней скоростной характеристики
Проведем моделирование проектируемого бензинового
двигателя, номинальная мощность которого Neн= 91,2 кВт при
= 5400 мин-1, а крутящий
момент на этом режиме
=161,3 Н∙м. На частоте вращения 3000 мин-1
данный двигатель развивает максимальный крутящий момент
= 183,9 Н∙м.
Разделив промежуток между nххmin до Neн на 18 интервалов (через 250 мин-1),
определим численные значения ξn по формуле (табл.1).
Таблица 1 Показатели ВСХ проектируемого бензинового
двигателя
|
nx
|
Mex, Н∙м
|
Gт, кг/ч
|
ξn
|
|
1000
|
|
|
-0,83
|
|
1250
|
|
|
-0,73
|
|
1500
|
|
|
-0,63
|
|
1750
|
|
|
-0,52
|
|
2000
|
|
|
-0,42
|
|
2250
|
|
|
-0,31
|
|
2500
|
|
|
-0,21
|
|
2750
|
|
|
-0,10
|
|
3000
|
121
|
10,19
|
0,00
|
|
3250
|
|
|
0,10
|
|
3500
|
|
|
0,21
|
|
3750
|
|
|
0,31
|
|
4000
|
|
|
0,42
|
|
4250
|
|
|
0,52
|
|
4500
|
|
|
0,63
|
|
4750
|
|
|
0,73
|
|
5000
|
|
|
0,83
|
|
5400
|
106
|
16,41
|
1,00
|
В соответствии с теорией подобия примем, что для
проектируемого бензинового двигателя в безразмерных координатах зависимости
исоответствуют этим же зависимостям
прототипа.
Это дает возможность найти значения
и GTx для частот вращения от 1000 до 5400
мин-1.
Эффективную мощность находим по формуле
.
Удельный эффективный расход топлива находим по формуле
.
Результаты расчетов приведены в табл.2
Таблица 2 Внешняя скоростная характеристика
проектируемого двигателя
|
n, мин-1
|
Me,Н·м
|
GT,кг/ч
|
Ne,кВт
|
ge, г/(кВт·ч)
|
|
1000
|
158,20
|
7,07
|
16,56
|
427,02
|
|
|
1250
|
163,71
|
7,93
|
21,43
|
369,92
|
|
|
1500
|
168,58
|
8,78
|
26,48
|
331,60
|
|
|
1750
|
172,78
|
9,63
|
31,66
|
304,26
|
|
|
2000
|
176,34
|
10,49
|
36,93
|
283,97
|
|
|
2250
|
179,23
|
11,34
|
42,23
|
268,54
|
|
|
2500
|
181,48
|
12,19
|
47,51
|
256,66
|
|
|
2750
|
183,07
|
13,05
|
52,72
|
247,49
|
|
|
3000
|
184,00
|
13,90
|
57,80
|
240,48
|
|
|
3250
|
184,28
|
14,75
|
62,71
|
235,25
|
|
|
3500
|
183,90
|
15,61
|
67,40
|
231,56
|
|
|
3750
|
182,87
|
16,46
|
71,81
|
229,22
|
|
|
4000
|
181,19
|
17,31
|
75,89
|
228,14
|
|
|
4250
|
178,84
|
18,17
|
79,59
|
228,25
|
|
|
4500
|
175,85
|
19,02
|
82,86
|
229,54
|
|
|
4750
|
172,20
|
19,87
|
85,65
|
232,03
|
|
|
5000
|
167,89
|
20,73
|
87,90
|
235,79
|
|
|
5400
|
159,64
|
22,09
|
90,27
|
244,73
|
|
Определяем наименьшую частоту вращения коленчатого
вала при максимальной нагрузке
Принимаем nmin=2000 мин-1.
При данной частоте вращения коленчатого вала находим
(по ВСХ) часовой расход топлива
Определяем часовой расход воздуха на данном режиме
Тогда расход воздуха через компрессор определится как
Принимаем, на данном режиме πк=1,620.
6.
Описание конструкции турбокомпрессора
На листе 2 изображен продольный разрез
турбокомпрессора на котором: к валу 10, справа, при помощи сварного соединения,
прикреплено рабочее колесо турбины 8, а слева с натягом насажено и закреплено с
помощью гайки 17 рабочее колесо компрессора 16. Вал вращается в подшипниках 2,
которые в свою очередь находятся в корпусе 1. Рабочее колесо турбины находится
в корпусе(улитке) 6, который крепится к корпусу соплового аппарата 5 при помощи
винта 3 и скобы 4,в котором находятся лопатки соплового аппарата 9. Рабочее
колесо компрессора , так же как и колесо турбины, находится в корпусе(улитке)
21 и крепится скобой и винтом к корпусу лопаточного диффузора 15, между ними
находится уплотнительное кольцо улитки 22. В корпусе лопаточного диффузора
находятся лопатки диффузора 20. Между корпусом подшипников и рабочим колесом
компрессора находится уплотнительная муфта 19 на которую одето уплотнительное
кольцо 14 для предотвращения попадания масла в полость корпуса рабочего колеса
компрессора. Уплотнительная муфта прижимает шайбу 13, а также опирается на
упорный подшипник 12. Турбокомпрессор крепится к выпускному трубопроводу при
помощи фланца 7. Вход воздуха обеспечивается при помощи патрубка 18. Подвод
масла к корпусу подшипников осуществляется при помощи штуцера 23, который
закреплен винтом 24, а отвод при помощи сливного патрубка 11.
7.
Регулирование давления наддува
Потребность в эффективных регуляторах давления в
системе турбонаддува вызвана тем, что в соответствие с характеристикой
турбонагнетателя его расход воздуха растет быстрее чем возможность двигателя
принять этот воздух. Если не припятствовать этому турбонагнетатель может быстро
создать слишком высокое давление наддува, что не допустимо для двигателей
работующих на легких топливах, так как это приводит к детонации. Методы и
устройства, при помощи которых можно управлять давлением наддува - одна из
важнейших состовляющих системы турбонаддува.
Заметим, что для расширения возможного диапазона
изменения частоты вращения коленчатого вала (KB) при неизменном давлении
наддува наиболее действенным способом регулирования является перепуск части
отработавших газов (ОГ) в обход турбины.
При данном способе регулирование давления наддува
основывается на управлении потоком ОГ через турбину. При этом в качестве
управляющей величины могут быть использованы давления рК или рТ,
а также отношения давлений рК/р0, pТ/p0.
Перепускной(байпасный) клапан устанавливается в выпускной трубопровод между
выпускными каналами головки цилиндров двигателя и входом в турбину или же
монтируется непосредственно в корпус турбокомпрессора. В зависимости от
значения используемой управляющей величины клапан открывается и перепускает
часть ОГ в обход турбины непосредственно в выпускную систему. При полной
нагрузке двигателя в зависимости от конструктивных параметров клапана в обход
турбины направляется 20...40 % общего потока газов. Остальные 60...80 % идут на
привод ротора турбины и обеспечивают создание необходимого давления наддува.
Этот способ регулирования в зависимости от выбора для
регулирующего клапана управляющей величины позволяет выполнить индивидуальную
настройку характера изменения давления наддува. Двигатели с турбонаддувом,
имеющие регулирование давления наддува перепуском ОГ, обычно имеют хорошую
характеристику крутящего момента и удовлетворительную приёмистость.
Преимущество этого способа регулирования состоит в
том, что, благодаря перепуску части ОГ в обход турбины, появляется возможность
использовать турбину и компрессор существенно меньших размеров. Вследствие
этого даже при относительно низкой частоте вращения KB достигается достаточно
высокое давление наддува, что позволяет улучшить приёмистость двигателя.
В данном курсовом проекте в качестве управляющей
величины я выбираю давление наддува pК.
Исполнительное устройство, этой системы включает в
себя перепускной клапан, напоминающий по конструкции клапаны головки цилиндров.
Конец стержня клапана прикреплен к мембране, которая поджимается калиброванной
пружиной. Мембрана герметично зажата по всему периметру металлической крышкой в
форме колпака. Перепускной клапан находится в закрытом состоянии благодаря
поджатию пружиной. Между мембраной и крышкой имеется полость, в которую
подводится управляющее давление. При достижении определенного,
отрегулированного для каждого двигателя давления наддува рК, это
давление, воздействуя на мембрану, создает усилие, достаточное для сжатия
калиброванной пружины, препятствующей открытию перепускного клапана. Клапан
открывается иперепускает ОГ минуя турбину.
С помощью силы калиброванной пружины можно
регулировать давление наддува, то есть чем больше сила пружины, тем большее
давление наддува может быть создано.
Список
использованной литературы
1.
Гаврилов А.А., Игнатов М.С., Эфрос В.В. Проектирование турбокомпрессоров для
наддува поршневых двигателей внутреннего сгорания: Учебное пособие / Владим.
гос. ун - т. -Владимир, 2006. - 88с.
.
Н. Гоц, В.В. Эфрос; Порядок проектирования автомобильных и тракторных
двигателей: учеб.пособие; Владим. гос. ун-т. - Владимир: Изд-во Владим. гос.
ун-та, 2007. - 148с.
.
<http://www.n2o.dp.ua>
Приложение
1
Файл C1DIZT.DAT
Исходные данные к расчту цикла в цилиндре по программе
C1JTKV.EXE
Выполнил Сафьянов А.А. ст. гр. Д-107 16.12.2010г.
ЗАДАНО: эффективная мощность,
кВт....................... PNE= 91.2
частота вращения вала, мин-1......................
OBD=5400.0
Прототип ВАЗ-2115 Режим номинальный
ПРИНЯТО: = .1000 МПа TO=298.0 K Состав топливa C= .855
H= .145 O= .000
Число цилиндров и чередование вспышек....... KC=4
IC=180
Диаметр цилиндра и ход поршня, м.............. D= .000
SD= .866
Отношение Rк/Lш и дезаксаж, м ,,............ ORL= .293
DEZ= .002
Степ.повыш.давл. в компр. и пониж. в турбине PIK=1.712
PIT=1.700
Степень сжат.и коэф.потерь на трен.и прив.мех..E= 9.2
.AMT= .860
Коэф. избытка воздуха и расход топлива,кг/ч. ALI= .980
.RTI=22.75
Коэф. испол. теплоты в точ. Z и темп.ОГ,К... FIZ= .855
TOG=1000.0
Угол опер.зажиг.(нач. впрыс. топл.),гр. пкв до ВМТ....
LTETA=23
Продолж.сгор.и впрыска топл.(в диз) гр.пкв...KSG=50
JTH= 0
Показ.харак. сгоран. искров. и диффуз......PXSB=1.30
PXSD= .30
Давл.,МПа при начале выпуска гр. ПКВ до НМТ. PBI=
.4909 YB= 0
Теплообмен (0 - не учитывается, 1 - учитывается)..........JQ=1
Ср. температуры стенок,K (при расчете с учетом
теплообмена):
цилиндра=473.0 поршня=573.0 головок цилиндра=553.0
Поправки к показ.политроп сжатия и
расш.....POP1=1.0040 POP2= .9600
ПАРАМЕТРЫ МЕХАНИЗМА ГАЗОРАСПРЕДЕЛЕНИЯ: выпуск впуск
Диаметр горловины клапана, мм................ DT=32.00
DK=38.00
Максимальный ход толкателя, мм...............HTB= 8.30
HTA= 8.30
Минимальное сечение канала, м2 .............
FB=1.000000 FA=1.000000
Параметр сопротивления клапана.............. BB=38.00
BA=68.000
ФАЗЫ: выпуск:начало, гр. пкв до НМТ.......... KB=68
конец, гр. пкв после ВМТ ....... KR=25
впуск: начало, гр. пкв до ВМТ ......... KU=25
конец, гр. пкв после НМТ........ KA=54
КОД расчета рациональных фаз (Да-1 / Нет-0) KUP=0
Ключ изменяемой фазы в последовательности KB,KR,KU,KA
KLUCH=1000
Фаза при KLUCH=1 изменяется от 10 до 90 с шагом 10
Профиль кулачка ( безударный ) код.... KW=1
Участки подьема и спуска: 1-ый 2-ой
Продолжительность участка в гр. п.р.в.: впуск JX1=19
JX2=4
выпуск JZ1=19 JZ2=4
Подьем толкателя на участке сбега,
мм.................. HSB= .20
Скорость толкателя в конце сбега, мм/гр.п.р.в.
........ WSB= .020
Радиус начальной окружности, мм
........................ RNO=18.00
Отношение плеч коромысел клапанов.......................
OPK=1.000
Угол фаски у клапанов, град.
........................... YK=45.0
ТРАКТЫ: ВЫПУСКНОЙ ВПУСКНОЙ
Обьем трубопровода, м3...................... VP=
.001355 VS= .002949
Расходные сечения, м2....................... FT=
.002460 FS= .002870
Расходные коэффициенты трубопроводов........ MUT=
.2500 MUS= .9000
Коэф. сопротивления.внешних.устройств C2=1.03 C1= .90
Шаг печати текущих парамет..и число итераций. MS=10
ND= 7
Обьем печати
........................................... MP 00000000
ПАРАМЕТРЫ ТКР
КПД компрессора и турбины на расчет.режиме.ZKM= .74
ZTM= .72
Диаметр рабочего колеса
компрессора,м.................. DKO= .055
Расчетная частота вращения ротора
ТКР,об/мин........... OBK=123000.0
Показатель политропы сжатия в компрессоре..............
АNК=1.500
Коэф. импульсности
турбины............................. KIT=1.0200
Диаметр перепускного отверстия у турбины,
мм........... DPO= .00
Снижение pk,МПа и Tk в охлад. наддув.воздуха.. POHB=
.0000 TOHB= .0
ХАРАКТЕРИСТИКА КОМПРЕССОРА RHB5 модель 384C (расход
воздуха кг/с)
HPI=1.1000 BPI=2.1000 SPI= .1000
ROK=1.0000 SG= .0100 SM6= 1.0
РЕЗУЛЬТАТЫ ВЫЧИСЛЕНИЯ ДИАМЕТРА ЦИЛИНДРА D И ХОДА
ПОРШНЯ SD(м3)= .3764E-03 D(м)= .8211E-01 SD(м)= .7111E-01
RTI(кг/ч)= .2604E+02 PBI(Pa)=
.4865E+06
Полученные значения D и SD округлить до целых значений
в мм
так, чтобы VHr=3.14*D**2/4.*SD >= VH. Ввести в
исходные данные
рассчитанные величины D, SD, RTI, PBI и продолжить
расчеты в
соответствии с методическими указаниями.- Program
terminated.
Приложение
2
Файл C1DIZT.DAT
Исходные данные к расчту цикла в цилиндре по программе
C1JTKV.EXE
Выполнил Сафьянов А.А. ст. гр. Д-107 16.12.2010г.
ЗАДАНО: эффективная мощность,
кВт....................... PNE= 91.2
частота вращения вала, мин-1......................
OBD=5400.0
Прототип ВАЗ-2115 Режим номинальный
ПРИНЯТО: = .1000 МПа TO=298.0 K Состав топливa C= .855
H= .145 O= .000
Число цилиндров и чередование вспышек....... KC=4
IC=180
Диаметр цилиндра и ход поршня, м.............. D= .082
SD= .071
Отношение Rк/Lш и дезаксаж, м ,,............ ORL= .293
DEZ= .002
Степ.повыш.давл. в компр. и пониж. в турбине PIK=1.712
PIT=1.700
Степень сжат.и коэф.потерь на трен.и прив.мех..E= 9.2
.AMT= .860
Коэф. избытка воздуха и расход топлива,кг/ч. ALI= .980
.RTI=23.15
Коэф. испол. теплоты в точ. Z и темп.ОГ,К... FIZ= .855
TOG=1000.0
Угол опер.зажиг.(нач. впрыс. топл.),гр. пкв до ВМТ....
LTETA=23
Продолж.сгор.и впрыска топл.(в диз) гр.пкв...KSG=50
JTH= 0
Показ.харак. сгоран. искров. и диффуз......PXSB=1.30
PXSD= .30
Давл.,МПа при начале выпуска гр. ПКВ до НМТ. PBI=
.4909 YB= 0
Теплообмен (0 - не учитывается, 1 -
учитывается)..........JQ=1
Ср. температуры стенок,K (при расчете с учетом
теплообмена):
цилиндра=473.0 поршня=573.0 головок цилиндра=553.0
Поправки к показ.политроп сжатия и расш.....POP1=1.0040
POP2= .9600
ПАРАМЕТРЫ МЕХАНИЗМА ГАЗОРАСПРЕДЕЛЕНИЯ: выпуск впуск
Диаметр горловины клапана, мм................ DT=32.00
DK=38.00
Максимальный ход толкателя, мм...............HTB= 8.30
HTA= 8.30
Минимальное сечение канала, м2 .............
FB=1.000000 FA=1.000000
Параметр сопротивления клапана.............. BB=40.00
BA=61.000
ФАЗЫ: выпуск:начало, гр. пкв до НМТ.......... KB=68
конец, гр. пкв после ВМТ ....... KR=25
впуск: начало, гр. пкв до ВМТ ......... KU=25
конец, гр. пкв после НМТ........ KA=54
Ключ изменяемой фазы в последовательности KB,KR,KU,KA
KLUCH=1000
Фаза при KLUCH=1 изменяется от 10 до 90 с шагом 10
Профиль кулачка ( безударный ) код.... KW=1
Участки подьема и спуска: 1-ый 2-ой
Продолжительность участка в гр. п.р.в.: впуск JX1=19
JX2=4
выпуск JZ1=19 JZ2=4
Подьем толкателя на участке сбега,
мм.................. HSB= .20
Скорость толкателя в конце сбега, мм/гр.п.р.в.
........ WSB= .020
Радиус начальной окружности, мм
........................ RNO=18.00
Отношение плеч коромысел
клапанов....................... OPK=1.000
Угол фаски у клапанов, град.
........................... YK=45.0
ТРАКТЫ: ВЫПУСКНОЙ ВПУСКНОЙ
Обьем трубопровода, м3...................... VP=
.001355 VS= .002949
Расходные сечения, м2....................... FT=
.002460 FS= .002870
Расходные коэффициенты трубопроводов........ MUT=
.2055 MUS= .9000
Коэф. сопротивления.внешних.устройств C2=1.06 C1= .85
Шаг печати текущих парамет..и число итераций. MS=10
ND= 7
Обьем печати
........................................... MP 00000000
ПАРАМЕТРЫ ТКР
КПД компрессора и турбины на расчет.режиме.ZKM= .74
ZTM= .72
Диаметр рабочего колеса
компрессора,м.................. DKO= .055
Расчетная частота вращения ротора ТКР,об/мин...........
OBK=123000.0
Показатель политропы сжатия в
компрессоре.............. АNК=1.500
Коэф. импульсности
турбины............................. KIT=1.0200
Диаметр перепускного отверстия у турбины,
мм........... DPO= .00
Снижение pk,МПа и Tk в охлад. наддув.воздуха.. POHB=
.0000 TOHB= .0
ХАРАКТЕРИСТИКА КОМПРЕССОРА RHB5 модель 384C (расход
воздуха кг/с)
HPI=1.1000 BPI=2.1000 SPI= .1000
ROK=1.0000 SG= .0100 SM6= 1.0
*************************************************************
РЕЗУЛЬТАТЫ РАСЧЕТА ЦИКЛА ДВИГАТЕЛЯ
Клапан Ускорения, м/c2 Время - сечение, мм.с Rmin,
ммmin предв. основ.запаз. общее проф. кул.
Выпуск 4371.9 -1419.0 .3346 2.7734 .0177 3.1257 8.550
Впуск 4631.5 -1616.5 .0218 3.1789 .2245 3.4252 6.080
*************************************************************
ПОКАЗАТЕЛИ ТЕОРЕТИЧЕСКОГО ЦИКЛА
----------------------------------------------------------------------
ЭФФЕКТИВНАЯ МОЩНОСТЬ, кВт 91.4
УДЕЛЬНЫЙ ЭФФЕКТ. РАСХОД ТОПЛИВА, г/(кВт.ч) 253.2
МЕХАНИЧЕСКИЙ КПД .813
ЭФФЕКТИВНЫЙ КРУТЯЩИЙ МОМЕНТ, Н.м 161.7
Среднее инд. давление теорет. цикла, МПа 1.6666
Среднее эффект. давлен. теорет.цикла, МПа 1.3545
Удельные затраты работы на газообиен, МПа -.1094
в том числе: -насосные ходы, МПа -.0916
потери при предварении выпуска, МПа .0178
приращение при запаздывании впуска,МПа .0000
Масса рабочего тела в цилиндре, г .572
Коэффициент наполнения: -к услов. на впуске .991
к окруж. среде 1.241
Коэффициент остаточных газов .052
Масса заброса ОГ во впускную систему, г .0087
Масса заброса ОГ из выпуск.сист. в цилин. г .0036
Масса обратного выброса в такте сжатия, г .0019
Коэффициент дозарядки 1.053
Коэффициент избытка воздуха 1.017
Давление в момент закрытия впуск. клап.,МПа .1737
Давление в начале видимого сгорания pc,МПа 2.2678
Угол, соответствующий рс, град. пкв до ВМТ 13
Угол задержки воспламенения смеси, град. пкв 10
Максимальное давление цикла pmax,МПа 8.4197
Угол, соответств. pmax, гр. пкв после ВМТ 15
Максимальная температура цикла Tmax,K 2799.2
Угол, соответств. Tmax, гр. пкв после ВМТ 22
Ср.скор.нараст. давл. при сгор.,МПа/(гр.пкв) .2197
Давление в цилиндре в начале выпуска,МПа .9690
Сред. давление в трубопроводе,МПа: впускном .1453
выпуск. .1800
Сред.температ. в трубопроводе,K: впускном 345.8
выпуск. 1378.0
Средний расход воздуха через компрессор,кг/с .0994
Сред.степень повышения давления в компрес. 1.711
Сред.степень понижения давления в турбине 1.701
Средний за цикл КПД компрессора .746
Средний за цикл КПД турбины .572
Мощность компрессора, кВт 6.70
Мощность турбины, кВт 10.93
Stop - Program terminated.
Приложение 3
Файл C1DIZT.DAT
Исходные данные к расчту цикла в цилиндре по программе
C1JTKV.EXE
Выполнил Сафьянов А.А. ст. гр. Д-107 16.12.2010г.
ЗАДАНО: эффективная мощность,
кВт....................... PNE= 57.8
частота вращения вала, мин-1......................
OBD=3000.0
Прототип ВАЗ-2115 Режим максимального крутящего
момента
ПРИНЯТО: =0.1000 МПа TO=298.0 K Состав топливa C=0.855
H=0.145 O=0.000
Число цилиндров и чередование вспышек....... KC=4
IC=180
Диаметр цилиндра и ход поршня, м.............. D=0.082
SD=0.071
Отношение Rк/Lш и дезаксаж, м ,,............ ORL=0.293
DEZ=0.002
Степ.повыш.давл. в компр. и пониж. в турбине PIK=1.654
PIT=1.640
Степень сжат.и коэф.потерь на трен.и прив.мех..E= 9.2
.AMT=0.860
Коэф. избытка воздуха и расход топлива,кг/ч. ALI=0.940
.RTI=17.25
Коэф. испол. теплоты в точ. Z и темп.ОГ,К... FIZ=0.800
TOG=1000.0
Угол опер.зажиг.(нач. впрыс. топл.),гр. пкв до ВМТ....
LTETA=15
Продолж.сгор.и впрыска топл.(в диз) гр.пкв...KSG=40
JTH= 0
Показ.харак. сгоран. искров. и диффуз......PXSB=2.80
PXSD=0.30
Давл.,МПа при начале выпуска гр. ПКВ до НМТ.
PBI=0.4909 YB= 0
Теплообмен (0 - не учитывается, 1 -
учитывается)..........JQ=1
Ср. температуры стенок,K (при расчете с учетом
теплообмена):
цилиндра=473.0 поршня=573.0 головок цилиндра=553.0
Поправки к показ.политроп сжатия и
расш.....POP1=1.0040 POP2=0.9600
ПАРАМЕТРЫ МЕХАНИЗМА ГАЗОРАСПРЕДЕЛЕНИЯ: выпуск впуск
Диаметр горловины клапана, мм................ DT=30.00
DK=34.00
Максимальный ход толкателя, мм...............HTB= 8.30
HTA= 8.30
Минимальное сечение канала, м2 .............
FB=1.000000 FA=1.000000
Параметр сопротивления клапана.............. BB=40.00
BA=10.000
ФАЗЫ: выпуск:начало, гр. пкв до НМТ.......... KB=68
конец, гр. пкв после ВМТ ....... KR=25
впуск: начало, гр. пкв до ВМТ ......... KU=25
конец, гр. пкв после НМТ........ KA=54
КОД расчета рациональных фаз (Да-1 / Нет-0) KUP=0
Ключ изменяемой фазы в последовательности KB,KR,KU,KA
KLUCH=1000
Фаза при KLUCH=1 изменяется от 10 до 90 с шагом 10
Профиль кулачка ( безударный ) код.... KW=1
Участки подьема и спуска: 1-ый 2-ой
Продолжительность участка в гр. п.р.в.: впуск JX1=19
JX2=4
выпуск JZ1=19 JZ2=4
Подьем толкателя на участке сбега,
мм.................. HSB=0.20
Скорость толкателя в конце сбега, мм/гр.п.р.в.
........ WSB=0.020
Радиус начальной окружности, мм
........................ RNO=18.00
Отношение плеч коромысел
клапанов....................... OPK=1.000
Угол фаски у клапанов, град.
........................... YK=45.0
ТРАКТЫ: ВЫПУСКНОЙ ВПУСКНОЙ
Обьем трубопровода, м3......................
VP=0.001355 VS=0.002840
Расходные сечения, м2.......................
FT=0.002460 FS=0.002070
Расходные коэффициенты трубопроводов........
MUT=0.1400 MUS=0.8600
Коэф. сопротивления.внешних.устройств C2=1.10 C1=0.93
Шаг печати текущих парамет..и число итераций. MS=10
ND= 7
Обьем печати
........................................... MP 00000000
ПАРАМЕТРЫ ТКР
КПД компрессора и турбины на расчет.режиме.ZKM=0.72
ZTM=0.71
Диаметр рабочего колеса
компрессора,м.................. DKO=0.055
Расчетная частота вращения ротора
ТКР,об/мин........... OBK=108000.0
Показатель политропы сжатия в
компрессоре.............. АNК=1.500
Коэф. импульсности
турбины............................. KIT=1.0200
Диаметр перепускного отверстия у турбины,
мм........... DPO= 0.00
Снижение pk,МПа и Tk в охлад. наддув.воздуха..
POHB=0.0000 TOHB= 0.0
ХАРАКТЕРИСТИКА КОМПРЕССОРА RHB5 модель 384C (расход
воздуха кг/с)
HPI=1.1000 BPI=2.1000 SPI=0.1000
ROK=1.0000 SG=0.0100 SM6= 1.0
*************************************************************
РЕЗУЛЬТАТЫ РАСЧЕТА ЦИКЛА ДВИГАТЕЛЯ
Клапан Ускорения, м/c2 Время - сечение, мм.с Rmin, мм
max min предв. основ.запаз. общее проф. кул.
Выпуск 1349.3 -438.0 0.5667 4.7107 0.0299 5.3072 8.550
Впуск 1429.5 -498.9 0.0351 5.1695 0.3631 5.5676 6.080
*************************************************************
ПОКАЗАТЕЛИ ТЕОРЕТИЧЕСКОГО ЦИКЛА
----------------------------------------------------------------------
ЭФФЕКТИВНАЯ МОЩНОСТЬ, кВт 58.6
УДЕЛЬНЫЙ ЭФФЕКТ. РАСХОД ТОПЛИВА, г/(кВт.ч) 294.3
МЕХАНИЧЕСКИЙ КПД 0.846
ЭФФЕКТИВНЫЙ КРУТЯЩИЙ МОМЕНТ, Н.м 186.6
Среднее инд. давление теорет. цикла, МПа 1.8477
Среднее эффект. давлен. теорет.цикла, МПа 1.5635
Удельные затраты работы на газообиен, МПа -0.0583
в том числе: -насосные ходы, МПа -0.0297
потери при предварении выпуска, МПа 0.0284
приращение при запаздывании впуска,МПа -0.0002
Масса рабочего тела в цилиндре, г 0.689
Коэффициент наполнения: -к услов. на впуске 1.079
к окруж. среде 1.492
Коэффициент остаточных газов 0.054
Масса заброса ОГ во впускную систему, г 0.0153
Масса заброса ОГ из выпуск.сист. в цилин. г 0.0082
Масса обратного выброса в такте сжатия, г 0.0165
Коэффициент дозарядки 0.982
Коэффициент избытка воздуха 0.912
Давление в момент закрытия впуск. клап.,МПа 0.1956
Давление в начале видимого сгорания pc,МПа 2.7358
Угол, соответствующий рс, град. пкв до ВМТ 7
Угол задержки воспламенения смеси, град. пкв 7
Максимальное давление цикла pmax,МПа 8.5883
Угол, соответств. pmax, гр. пкв после ВМТ 21
Максимальная температура цикла Tmax,K 2638.6
Угол, соответств. Tmax, гр. пкв после ВМТ 26
Ср.скор.нараст. давл. при сгор.,МПа/(гр.пкв) 0.2090
Давление в цилиндре в начале выпуска,МПа 1.1146
Сред. давление в трубопроводе,МПа: впускном 0.1569
выпуск. 0.1848
Сред.температ. в трубопроводе,K: впускном 338.1
выпуск. 1290.9
Средний расход воздуха через компрессор,кг/с 0.0708
Сред.степень повышения давления в компрес. 1.690
Сред.степень понижения давления в турбине 1.683
Средний за цикл КПД компрессора 0.750
Средний за цикл КПД турбины 0.562
Мощность компрессора, кВт 4.62
Мощность турбины, кВт 7.17
Stop - Program terminated.