Зеркала из материалов с высокой отражательной способностью

  • Вид работы:
    Реферат
  • Предмет:
    Другое
  • Язык:
    Русский
    ,
    Формат файла:
    MS Word
    467,55 kb
  • Опубликовано:
    2011-06-07
Вы можете узнать стоимость помощи в написании студенческой работы.
Помощь в написании работы, которую точно примут!

Зеркала из материалов с высокой отражательной способностью













Реферат

на тему: «Зеркала из материалов с высокой отражательной способностью»











Харьков 2011

Введение

Одна из наиболее меняющихся проблем в создании диагностической системы для ИТЕРа является выбор подходящего материала для зеркала. Быстрая деградация поверхности под действием излучения, бомбардировки быстрыми частицами, загрязнения являются механическими и тепловыми нагрузками на элементы оптической диагностики, находящейся в диверторной области.

Первоначально, при выборе материала зеркала, учитывается эрозия под действием бомбардировки. Далее, учитывается повышенное содержания примесей в диверторной плазме, и как следствие, загрязнение всех элементов системы оптической диагностики. Предполагаемая доза аморфной углеводородной (a-C:H) пленки, осаждаемой на первые зеркала оптической системы, будет равна 0,2 нм/мин. Углеводородная пленка прозрачна для красного и инфракрасного спектра, но она может пагубно сказаться на отражательной способности металлов с низким изначальным коэффициентом отражения. На металлы с высоким коэффициентом отражения, углеводородная пленка не повлияет столь сильно.

Для уменьшения негативного влияния загрязнения, планируется использовать зеркала из материалов с высоким коэффициентом отражения (Ag, Al) покрытых прозрачной оксидной пленкой (Al2O3, ZrO2). Предполагается, что покрытие защитит зеркала от распыления и блистеринга.

Экспериментальные исследования

Основная задача исследований - изучение изменения отражательной способности зеркал, при распылении их поверхностями ионами дейтериевой плазмы.

В ходе исследований, также, определялась скорость распыления поверхности. Данная характеристика зеркала легко определяется с помощью формулы:

,

где r и S - площадь образца зеркала и плотность его материала.

При фиксированной плотности ионного тока j (А/см2) поток ионов на образец будет величиной постоянной, следовательно полученная доза Di:

i = Ni×t,

где Ni- поток ионов на ед. площади, t - время экспозиции.

Таким образом, зная зависимость m(t), мы можем определить соответствие распыленной толщины h и полученной дозы Di.

Экспериментальная установка

Эксперименты по исследованию влияния атомов перезарядки на отражательную способность зеркал проводились на установке ДСМ-2.

Рис. 1. - Принципиальная схема установки ДСМ-2:

а - пьезонатекатель; 3b - игольчатый натекатель; 4 - откачной порт;

- водоохлаждаемые катушки магнитного поля; 6 - тефлоновое окно;

- ввод СВЧ - мощности; 8 - рабочая вакуумная камера;

- вакуумный клапан ДУ-50; 10 - шлюзовая камера с

дифференциальной откачкой; 11 - коаксиальный шток.

В ДСМ-2 используется простая схема, обеспечивающая бомбардировку образцов зеркал ионами с фиксированным или широким спектром по энергиям. Принципиальная схема установки представлена на рис. 1, а на рис 2 показана схема подачи напряжения на образец.

Рис. 2. - Схема подачи напряжения на образец

Установка представляет собой цилиндрическую камеру, изготовленную из нержавеющей стали, длиной 0,5 м и диаметром в центральной части 0,5 м. На торцах камеры расположены водоохлаждаемые магнитные катушки. Они включены последовательно так, что образуют зеркальную ловушку (пробкотрон) с магнитной индукцией 0,5 кГс в центре камеры и 2,25 кГс в области пробок.

Камера используется, как многомодовый резонатор для СВЧ - мощности, которая вводится в камеру через тефлоновое окно, посредством прямоугольного волновода от СВЧ-генератора типа «Хазар», (на основе магнетрона М-571, с частотой 2,375 ГГц). Мощность генератора может плавно меняться в диапазоне (200¸2500) Вт. Источником ионов в эксперименте служит плазма СВЧ разряда в условиях электронно-циклотронного резонанса (ЭЦР), на указанной частоте при вводимой СВЧ - мощности 200-400 Вт. Плотность плазмы составляет ne~ 1010 см -3, при электронной температуре Тe » 5 эВ. В этих условиях температура ионов соответствует газу при комнатной температуре. Таким образом, установка, практически, представляет собой плазменный источник «холодных» ионов.

Откачка рабочей камеры на высокий вакуум осуществляется турбомолекулярным насосом ТМН-500 и магниторазрядным насосом НОРД-250, включенными параллельно. Вакуум в рабочей камере перед напуском рабочего газа достигает 2×10-6 торр, в то время как давление рабочего газа во время экспозиции составляет (7¸8)×10-5 Торр. Непосредственно перед напуском водорода (дейтерия) НОРД отключается, вакуум снижается до (4¸5)×10-6 Торр, и поэтому примеси на момент начала экспозиции составляют около 5¸6%. Давление в камере измерялось по ионизационной лампе ПМИ-2. Эксперименты проводились при давлении 2·10-5¸10-3 Торр.

На рис. 3 представлена зависимость плотности плазмы ne и электронной температуры Te от давления в камере. Как видно из графика, температура электронов монотонно убывает с увеличением давления. Плотность электронов максимальна при давлении (7¸8)·10-5 Торр, что является оптимальным режимом по давлению.

Рис. 3. - Зависимость плотности плазмы ne и электронной температурыот давления рабочего газа (дейтерия)

На рис. 4 представлено радиальное распределение электронной температуры и плотности плазмы в области «пробки». Как видно, неоднородность плазмы не превышала ±10% в области ~10 см, это значит, что поток плазмы на тестируемый образец был однороден.

Рис. 4. - Радиальное распределение плотности плазмы и электронной

температуры в области «пробки»

Методика и проведение эксперимента

Перед экспериментом производится установка образца в держатель. Держатель с образцом помещается в шлюзовую камеру, которая откачивается форвакуумным насосом до давления 3-4 мВ по шкале вакуумметра ВИТ-1. Параллельно со шлюзовой камерой откачивается камера магнитной ловушки до давления ~ 10-5 торр. После предварительной откачки шток с образцом вводится в камеру через скользящее уплотнение, так, что образец оказывается в потоке плазмы, вытекающем из магнитной ловушки вдоль силовых линий. Производится откачка камеры на высокий вакуум - (2-3)´10-6 торр, одновременно с откачкой в камере зажигается СВЧ-разряд, с целью обезгаживания стенок камеры. Контроль и измерения вакуума ведутся с помощью вакуумметра ВИТ-1. По достижении необходимого вакуума, в камеру из баллона напускается дейтерий. Напуск производится при помощи пьезонатекателя до рабочего давления (7-8) ´ 10-6 торр.

Эксперименты проводились с разными типами зеркал: а) зеркало на Si подложке с ZrO2 пленкой, б) зеркало на Si подложке с AgZr пленкой.

Данные эксперимента для зеркал SiAgZr

В эксперименте использовались три идентичных зеркала на которые подавались разные напряжения. Величина тока на образец составила j=2.65 мА/см2, рабочее давление PD=7.5x10-5 Торр. Проводилась серия экспозиций с разными временами. На рис. 5, 6, 7 представлены коэффициенты отражения на разных длинах волн после каждой экспозиции для трех зеркал.

Рис. 5. - Коэффициенты отражения для зеркала SiAgZr #1

Рис. 6. - Коэффициенты отражения для зеркала SiAgZr #2

Рис. 7. - Коэффициенты отражения для зеркала SiAgZr #3

Данные эксперимента для зеркал SiZrО2

зеркало отражательный дейтериевый волна экспозиция

В эксперименте использовались два идентичных зеркала на которые подавались разные напряжения. Величина тока на образец составила j=1,482 мА/см2, рабочее давление PD=7.5x10-5 Торр. Проводилась серия экспозиций с разными временами. На рис. 8, 9 представлены коэффициенты отражения на разных длинах волн после каждой экспозиции для двух зеркал.

Рис. 8. - Коэффициенты отражения для зеркала SiZrО2 #1

Перед экспозицией образец был взвешен m0 = 0.132940 г ± 20 мкг. После серии экспозиций вес образца изменился ∆m = 40 мкг, что соответствует распыленному слою толщиной 57,5 нм.

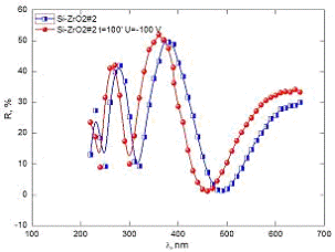
Рис. 9. - Коэффициенты отражения для зеркала SiZrО2 #2

Перед экспозицией образец был взвешен m0 = 0,133670 г ± 20 мкг. После серии экспозиций вес образца изменился ∆m = 10 мкг ± 20 мкг, что соответствует распыленному слою толщиной 43 нм.

Вывод

Зеркала из материалов с высокой отражательной способностью, покрытые оксидными пленками, могут в дальнейшем использоваться в системе оптической диагностики в области диверторной плазмы. Из экспериментальных результатов видно, что при бомбардировке зеркал с пленочным покрытием ионами малой энергии, которая будет использоваться для чистки камеры, толщина пленки существенно не меняется.

Похожие работы на - Зеркала из материалов с высокой отражательной способностью

 

Не нашли материал для своей работы?
Поможем написать уникальную работу
Без плагиата!
Без нейросетей!