|
Таблица
1.1 - Финальные вероятностные состояния
|
|
Финальные
вероятностные состояния
|
Боевые
единицы
|
|
БМПТ
|
Танк
|
«ТОУ-2»
|
«Дракон»
|
|
Р0123
|
-
|
+
|
+
|
+
|
|
Р0023
|
-
|
-
|
+
|
+
|
|
Р0003
|
-
|
-
|
-
|
+
|
|
Р1000
|
+
|
-
|
-
|
-
|
|
Примечание.
|
Знак
«+»-боевая единица сохранилась, знак «-» боевая единица уничтожена.
|
Необходимые исходные данные по
боевой эффективности сторон были получены вычисления частных показателей боевой
эффективности образцов вооружения, проведения расчетно-теоретических
исследований по сравнительной оценке различных вариантов АП, обоснованию их
рационального баллистического решения и выбора состава боекомплекта. Программа
позволяет вычислить следующие частные показатели огневой мощи:
·
вероятность
поражения цели;
·
величины
суммарных отклонений;
·
средний
расход боеприпасов на поражение цели;
·
расход
боеприпасов для достижения заданного уровня вероятности поражения (подавления) цели;
·
время
на поражение (подавление) цели;
·
количество
пораженных целей.
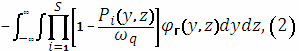
Для данной задачи вероятность
поражения цели хотя бы одним выстрелом с бронебойным снарядом из очереди
определяется по формуле:
где 
- вероятность
попадания в цель (ПТРК «ТОУ-2», «Дракон») i-м
снарядом в очереди при условии, что повторяющаяся ошибка приняла значения у и
z;S
-
количество выстрелов в очереди, шт.; i
- номер снаряда в очереди,
;ωq
- необходимое
число попаданий в цель для ее уничтожения; у,z
- текущие
координаты рассеивания групповых ошибок.
Закон рассеивания групповых
ошибок
где 
- константа; Еry
,Еrz
-
суммарные ошибки подготовки стрельбы по высоте и направлению соответственно, м.
Формула (2) справедлива только
для случая показательного закона поражения, т. е. когда поражение объекта может
достигаться одним удачно попавшим в него снарядом (накопление ущерба
отсутствует): Нц - высота цели;
-
ширина проекции цели; Еиy,Еиz
-
индивидуальные рассеивания выстрелов по высоте и направлению соответственно при
стрельбе с места, м; и, V
-
текущие координаты индивидуального рассеивания по высоте и направлению
соответственно, м.
Выражения для смещения i-го
снаряда в очереди по высоте и направлению относительно центра цели вследствие
ее движения имеют вид, м:
где 
- скорость
движения цели, м/с; qц
-курсовой угол движения цели, град; Т - темп стрельбы, выстр./мин.
Вычисление вероятности
поражения цели при стрельбе автоматическим огнем в схеме двух групп ошибок
уравнений. Нахождение вероятности поражения цели при стрельбе из танка, а также
очередью выстрелов с осколочными (осколочно-фугасными) снарядами осуществляется
по формуле, аналогичной формуле (2). Отличительными особенностями выражения для
выстрелов с осколочными снарядами являются замена ошибок стрельбы по высоте на
ошибки стрельбы по дальности, а также учет осколочного действия снаряда при расчете
вероятности поражения одним выстрелом в очереди.
Вероятность попадания в танк
или БМТТ выстрелом из противотанковых средств зависит от ряда факторов и может
быть записана в следующем виде:

где 
-стандартный
нормальный закон распределения (функция Лапласа); 
,- половины
приведенных высоты и ширины незащищенной части цели. Суммарные ошибки по курсу
и тангажу: 
= 0,3 - шумы в
системе управления; 
= 0,1 - разброс
параметров ПТУР; 
0,1 =стабилизация
поля зрения; = 0,2 - работа оператора по курсу; =0,15 - работа оператора по
тангажу.
Результатом решения системы дифференциальных (1)
являются вероятности нахождения системы в том или ином финальном вероятностном
состоянии.
На рисунке 1.2, а показаны
вероятности перехода исходной системы в одно из финальных вероятностных
состояний в зависимости от времени. Как следует из рисунка, вероятность
сохранения БМПТ в моделируемом бою составляет всего 30 %. Это объясняется тем,
что для выведения из строя всего комплекса вооружения БМПТ необходимо поразить
лишь одну боевую единицу (БМПТ), в то время как, уничтожив одну боевую единицу
противника, БМПТ все еще находится под обстрелом двух других. Этот недостаток
можно устранить увеличением боевой эффективности вооружения БМПТ (увеличением
калибра АП), повышением защищенности БМПТ или правильным выбором стратегии
ведения боевых действий.
Рисунок 1.2 - Вероятности нахождения системы в
том или ином финальном состоянии для БМПТ с 30мм (а) и 45мм (б) автоматической
пушкой
Рассмотрим только вариант
замены 30-мм АП 2А42 (скорострельность 300 выстр./мин) на 45-мм АП с темпом
стрельбы 60 ВыстрУмин. В этом случае существенно повышается вероятность
поражения цели с одного выстрела, но темп стрельбы ниже в 5 раз.
Результаты моделирования боя с
БМПТ с 45-мм АП представлены на рис. 2, б. Очевидно, что боевая
эффективность применения БМПТ значительно повышается с увеличением калибра АП.
Вероятность сохранения БМПТ составляет уже не 30 %, как это было в случае с
30-мм АП, а более 60 %. Обладая значительно меньшим боекомплектом, машина может
поражать стандартные цели меньшим количеством снарядов, имеющих в 3 - 4 раза
большую эффективность по действию у цели.
1.1 Выводы
Боевая машина
поддержки танков) имеет мощный комплекс вооружения и надежную защиту, даже
несколько превосходящую защиту современных танков. Она предназначена, в первую
очередь, для уничтожения танкоопасных целей, таких как расчеты противотанковых
гранатометов и ракетных комплексов. Кроме того, БМПТ может бороться и с
танками, низколетящими вертолетами и самолетами, поражать долговременные
огневые сооружения.
Для окончательного суждения о
выборе того или иного вида вооружения необходимо разработать соответствующие
критерии, учитывающие показатели эффективности и стоимости, а также
эксплуатационные и другие характеристики, и наложить соответствующие
функциональные ограничения.
2. Комплекс вооружения боевой машина
поддержки танков
.1 30мм автоматическая пушка 2А42
мм автоматическая
пушка 2А42 предназначена для борьбы с легкобронированными целями на дальностях
до 1500 м, установками ПТУРС, небронированными средствами и живой силой
противника на дальностях до 4000 м, а также воздушными целями, летящими па
малых высотах до 2000 м с дозвуковыми скоростями и наклонной дальностью до 2500
м.
Стрельбу из пушки можно вести
одиночным огнем и автоматическим (большим и мальв темпом).
Пушка надежно работает в различных условиях эксплуатации: в диапазон температур
±50°С; в условиях дождя, пыли, обледенения, при отсутствии смазки.
30 мм автоматическая пушка имеет
индекс 2А42. Общий вид 30-мм автоматическая пушка 2А42
показан на рисунке 2.1.
Рисунок 2.1 - Общий вид пушки: I-дульный тормоз;
2-ствол; 3-ствольная коробка; 4- выключатель фиксаторов; 5 - затыльник; 6-
переключатель выбора типа выстрела, 7 - электроспуск; 8 - предохранитель; 9 -
рукоятка ручной перезарядки; 10 - ось крепления затыльника; 11 - возвратная
пружина; 12-затворная рама; 13-контактор; 14 - кассета
Тактико-технические характеристики
Калибр,
мм...........................................................................................30
Число
нарезов......................................................................................16
Шаг нарезки,
мм.............................................................................715,5
Темп стрельбы:
большой, в/мин...................................................................не
менее 550
малый, в/мин
...........................................................................200-300
Масса пушки,
кг................................................................................115
Масса ствола,
кг...............................................................................38,5
Усилие отдачи, кН
(кгс)........................................40-50 (4000-5000)
Длина пушки,
мм.............................................................................3027
Напряжение питания электроспуска и контактора
от источника
постоянного тока, В ……………………….…………..27
Питание
пушки………………………………………….дзухленточное
Перезарядка……………………………………………пиротехническая
………………………………………………………..……….
и ручная
Количество
пиропатронов
......................................................................3
Усилие ручной
перезарядки:
при заряжании, Н
(кгс)…………………………………..до 400 (до 40)
при перезарядке с
извлечением осечного
патрона, Н
(кгс)……………………………………………до 600 (до 60)
Пушка представляет
собой автоматическое оружие, в котором запирание канала ствола, производство
выстрела, отпирание канала ствола, извлечение из патронника стреляной гильзы и
отражение ее, подача патронной ленты в приемник и досылание очередного патрона
в патронник осуществляются автоматически.
Пушка закрепляется
на установке неподвижно, что упрощает подвод патронных лент к пушке.
Для уменьшения
усилия отдачи ствол пушки амортизирован и при выстреле откатывается на 30-35
мм.
Автоматика пушки
основана на использовании энергии пороховых газов, отводимых через боковое
отверстие в стволе.
Откат затворной
рамы пушки при каждом выстреле происходит в результате действия пороховых газов
на передний торец поршня, связанного с затворной рамой.
Запирание канала
ствола осуществляется поворотом затвора.
Поворот затвора
происходит благодаря взаимодействию роликов затвора с криволинейным пазом
затворной рамы. Разбитие капсюля производится бойком ударного механизма,
размещенного внутри затвора.
Двухленточчое
питание пушки производится из 2-х патронных лент. Ленты составлены из отдельных
звеньев 9-Н-623. Досылание патрона из ленты в патронник прямое.
Подающий механизм
рычажного типа производит подачу любой ленты из двух, заряженных в пушку.
Переключение подачи лент осуществляется переключателем, расположенным на
затыльнике пушки.
Спусковой механизм
с задним шепталом позволяет вести одиночную стрельбу и автоматическую стрельбу
(большим и малым темпом).
Стрельба одиночным
огнем и малым темпом обеспечивается пультом управления.
Перезаряжание пушки
производится с помощью механизма ручной перезарядки пли дистанционно с помощью
пиропатронов.
Перед стрельбой
затворная рама находится на шептале. Открытие огня осуществляется снятием
затворной рамы с шептала дистанционно с помощью электроспуска.
В конструкции пушки
предусмотрен ручной дублер, позволяющий вести стрельбу при отсутствии
электрического тока. В этом случае стрельба может вестись только большим
темпом.
Затворная рама под
действием возвратно-боевой пружины накатывается вперед, досылает патрон в
патронник, запирает канал ствола и разбивает капсюль-воспламенитель.
При откате из
патронника извлекается стрелянная гильза и происходит подача очередного патрона
на линию досылания. При следующем накате происходит отражение стреляной гильзы.
При ведении огня
большим темпом шептало находится в поднятом положении на протяжении всего
времени нажатия на кнопку стрельбы или ручной дублер. При этом затворная рама
свободно проходит под шепталом и после отката идет в очередной накат.
Большой темп
стрельбы обеспечивается кинематикой пушки и энергетическими возможностями
газового двигателя.
При ведении огня
малым темпом пульт управления при постоянно нажатой кнопке стрельбы
периодически подает напряжение на электроспуск, а затворная рама после каждого
выстрела «садится» на шептало и ожидает очередного срабатывания электроспуска.
Прекращение стрельбы на большом и малом темпах осуществляется после отпускания
кнопки стрельбы.
При одиночной
стрельбе пульт управления при нажатии кнопки стрельбы подает один импульс
напряжения. Для производства следующего выстрела необходимо отпустить и вновь
нажать кнопку стрельбы.
.1.1
Основные части и механизмы автоматической пушки 2А42
Ствольная коробка
предназначена для направления движения затворной рамы и агрегата ствола,
подвода патронных лент, а также для размещения и соединения узлов и деталей
пушки.
Ствольная коробка
состоит из собственно ствольной коробки, противоотскока, кассеты, двух передних
и двух задних фиксаторов патрона, двух боковых фиксаторов, двух выключателей,
двух направляющих звена, защелки отражателя и тяги.
Ствольная коробка
представляет собой стальную штампованную конструкцию, к которой приклепаны:
1) две скобы для
размещения и направления боковых фиксаторов и флажков;
2) направляющая
ручной перезарядки, служащая также для включения фиксатора затвора;
3) две планки,
служащие упорами для пружины ствола в откате и противоотскока в переднем
положении;
4) два вкладыша и
пластина для увеличения жесткости коробки и для опоры защелки ствола;
5) гребень для
подъема отражателя в откате;
6) кронштейн для
крепления кассеты и выключения фиксатора затвора.
Кроме того, к
ствольной коробке прикреплены винтами:
1) два передних
съемника и два задних съемника, служащих для направления патронной ленты и
съема звена с патрона;
2) косынка,
служащая для опускания отражателя в накате и крепления защелки отражателя.
В выемках съемников
размещаются передние и задние фиксаторы патронов.
Направляющие
предназначены для направления и съема звена.
В отверстиях задних
съемников размещаются стержни, на которых осями закреплены флажки,
препятствующие перемещению патрона с линии досылания назад при стрельбе.
От разворота при
стрельбе флажки фиксируются подпружиненными защелками. При разряжании пушки
выключателем отжимается защелка и поворачивается стержень с флажком по (против)
часовой стрелке (и) в левом (правом) съемнике, чем обеспечивается возможность
извлечения патрона с линии досылания. Кроме того, при повороте стержня
происходит перемещение направляющего стержня вверх и утапливание заднего
фиксатора в съемник, это также необходимо для извлечения патрона с линии
досылания.
Рисунок 2.2 - Основные узлы пушки: 1-ствол;
2-казенник; 3-затыльник: 4-ось затыльника; 5-электроспуск; 6-контактор;
7-коробка ствольная; 8-пружина; 9-рама затворная
К съемникам
четырьмя винтами прикреплена пластина, к которой прикреплены:
1) направляющая
каретки, служащая для направления каретки с подающими пальцами;
2) планка, служащая
для направления патрона при подаче на линию досылания и удержания осей подающих
пальцев от выпадания;
3) упор, служащий
для направления патрона и выключения защелки рычага подачи.
Кроме этого в
пластине выполнены два окна для подвода патронных лент, два отверстия для
фиксации фиксаторов два паза для фиксации затыльника.
Кроме того, в
ствольной коробке выполнены:
1) отверстие под
ось затыльника;
2) окно под
кассету;
3) отверстие для
выжимания вставки;
4) направляющие для
затворной рамы и агрегата ствола.
На дне ствольной
коробки с правой стороны размещается тяга, служащая для перемещения
противоотскока при сборке и разборке пушки.
Противоотскок
устраняет отскок затворной рамы при ударе ее в крайнем переднем положении.
Выступы
взаимодействуют с планками при приходе противоотскока в переднее положение.
Винтовой участок паза определяет с помощью выступа положение пружины ствола,
которая вращается вокруг своей оси при перемещении противоотскока с помощью
тяги.
При перемещении
противоотскока в собранной пушке вперед пружина ствола разворачивается на 90°
против часовой стрелки и происходит совмещение сухарных выступов штока пружины
ствола с сухарными выступами затворной рамы, что служит ограничением для
затворной рамы при откате.
При перемещении
противоотскока назад пружина ствола разворачивается на 90° по часовой стрелке и
происходит ее расцепление с затворной рамой, что необходимо для сборки и разборки
пушки.
В пазу
располагается передний отогнутый конец тяги. Торец взаимодействует с затворной
рамой при ее подходе в крайнее переднее положение.
В противоотскоке с
помощью штифта зафиксирован подпружиненный пружиной плунжер. При нахождении
затворной рамы па шептале пружина через плунжер отжимает противоотскок, образуя
между выступами в противоотскоке и планками ствольной коробки зазор,
обеспечивающий работу противоотскока. При ударе затворной рамы в противоотскок
он движется вперед, ударяется о планки коробки, отскакивает от них и вновь
соударяется с набегающей затворной рамой. В результате соударений
противоотскока с затворной рамой скорость затворной рамы гасится.
Кассета является
одним из основных узлов механизма пироперезарядки и предназначена для размещения
пиропатронов
Кассета имеет три
патронника для разрешения пиропатронов.
атронники имеют
выход в клапанный канал, в котором размещаются два клапана, обеспечивающие
отвод пороховых газов от сработавшего пиропатрона и предотвращающие утечку
газов в остальные патронники Клапанный канал с одной стороны та крыт пробкой а
с другой в него запрессован газопровод но которому газ поступает в цилиндр
пироперезарядки казенника.
На газопроводе
находится вкладыш, который служит для закрепления кассеты в кронштейне
ствольной коробки.
Направляющие пазы
кассеты служат для установки контактора.
Паз предназначен
для западания защелки контактора.
При срабатывании
одного из пиропатронов пороховой газ, проходя по отверстию, образует зазор
(вследствие перемещения клапанов) и поступает в отверстие газопровода. Клапаны
перекрывают отверстия двух других патронников, чем изолируют остальные
пиропатроны от воздействия пороховых газов.
Из газопровода
пороховой газ поступает через два отверстия и в полость казенника и
воздействует на поршень затворной рамы.
Фиксаторы передний
и задний имеют аналогичное устройство и предназначены для выведения патрона на
линию досылания, а также для предотвращения выскальзывания патронной ленты из
приемника при обратном хоте подающих пальцев.
При движении
патронной ленты по приемнику патрон набегает на палец и выжимает его. Палец,
разворачиваясь вместе со штифтом, перемещает вниз втулку, сжимая при этом
пружину. После прохождения патроном пальца последний, под действием пружины,
возвращается в исходное положение, фиксируя патронную ленту.
При дальнейшем
движении ленты патрон, набегая на фиксатор, выжимает его. Фиксатор,
разворачиваясь на своей оси вместе со штифтом, перемешает вверх направляющий
стержень, сжимая при этом пружину.
После прохождения
патроном фиксатора последний под действием пружины развернется и выведет патрон
на линию досылания.
Устройство и
принцип действия заднего фиксатора аналогичны
Два боковых
фиксатора предназначены для направления патрона в патронник при его досылании.
Фиксаторы
подпружинены пружиной и закреплены в скобах штифтами, которые в свою очередь
зафиксированы от выпадания стержнями, западающими в проточки штифтов под
действием пружины.
Выключатель
предназначен для выключения передних и задних пальцев при заряжании и разряжании
При повороте
выключателей выемки выключателей воздействуют на передние и задние пальцы и
утапливают их за плоскость съемников исходном положении, когда пальцы включены,
выключатель фиксируется подпружиненным фиксатором в отверстии пластины.
Направляющие звена
предотвращают перекос патронной ленты при разряжании. К ним приклепаны
фиксаторы, исключающие попадание последнего звена в автоматику.
Защелка отражателя
предназначена для удержания отражателя в поднятом положении в начале наката
затворной рамы, что необходимо для удержания гильзы на линии отражения до
момента контролирования ее лотком.
Защелка отражателя
имеет отверстие для оси защелки с помощью которой она крепится на косынке.
Поверхность взаимодействует с отражателем во время отката затворной рамы.
Поверхность удерживает отражатель в поднятом положении в начале наката
затворной рамы.
Тяга является
основным узлом механизма ручной перезарядки.
Тяга представляет
собой стержень с зубьями для зацепления с собачкой ползушки, фланец тяги
залепляется с качалкой.
Цапфа служит для
направления заднего конца тяги. Она имеет выступы для перемещения по
направляющей при отделении и постановке тяги. Цапфа от перемещения в собранной
коробке фиксируется вставкой.
Ползушка
взаимодействует с затворной рамой. Выступы ползушки служат для направления ее в
направляющей. В ползушке закреплены осями собачка и защелка, подпружиненные
между собой пружиной. Собачка зацепляется с зубьями тяги и предназначена для
перемещения ползушки назад вместе с тягой.
Защелка зацепляется
с зубьями направляющей и предназначена для удержания ползушки в промежуточных
положениях при ручной перезарядке.
Опора предназначена
для направления переднего конца тяги, поворота тяги для зацепления и
расцепления с собачкой и зацепления и расцепления защелки с направляющей.
Поворот тяги осуществляется за счет перемещения пальца по копирному пазу опоры.
Опора крепится в
пазах направляющей и фиксируется от продольного перемещения подпружиненным
стопором, западающим в отверстие направляющей.
При повороте качалки
по часовой стрелке тяга перемещается назад. Вместе с тягой перемещается
зацепленная с ней с помощью собачки ползушка, которая перемешает затворную
раму.
В копне хода тяги
защелка западает за зуб направляющей и фиксирует ползушку в перемощенном на
один шаг относительно ствольной коробки положении.
При повороте
качалки против часовой стрелки собачка заскакивает за очередной зуб тяги. При
каждом следующем качке качалки по часовой стрелке затворная рама перемещается
еще на один шаг и так до постановки затворной рамы на шептало. При развороте
качалки в исходное положение (после постановки затворной рамы на шептало) тяга
дополнительно перемещается вперед, одновременно поворачиваясь за счет
перемещения пальца по винтовому участку паза опоры, что приводит к расцеплению
собачки с тягой, а защелки с направляющей.
Агрегат ствола
предназначен для производства выстрела и обеспечения работы автоматики пушки.
Ствол предназначен
для направления полета снаряда Внутренняя часть ствола называется каналом.
Канал ствола имеет
патронник и нарезную часть.
Патронник,
выполненный по форме гильзы, предназначен для размещения патрона.
С нарезной частью
патронник соединен коническим скатом.
Нарезная часть
служит для придания снаряду вращательного движения вокруг продольной оси, что необходимо
для обеспечения устойчивого полета снаряда. В нарезной части имеются
шестнадцать нарезов постоянной крутизны, вьющихся слева вверх направо.
Промежутки между
нарезами называются полями, а боковые стенки нарезов - гранями. Расстояние
между противоположными полями называется калибром ствола.
На заднем торце
ствола имеются два винтовых выступа, которые обеспечивают безугарное запирание
и отпирание канала ствола. Газоотводное отверстие предназначено для отвода
части пороховых газов из капала ствола для работы автоматики. Выступ служит для
сцепления с перегородкой. В проточку
вставляется пластина. Четыре сухарных выступа, расположенные в дульной части ствола, предназначены для
крепления дульного тормоза.
Казенник является
деталью, воспринимающей нагрузку от выстрела через боевые упоры затвора.
Подпружиненная
шторка служит для предотвращения прямого попадания пыли, грязи и атмосферных
осадков в пушку. Паз предназначен для размещения скобы, крепящей в казеннике
втулку с кольцом.
Защелка патрона
предназначена для принудительного поджатия дна гильзы патрона к зеркалу
затвора, что необходимо для надежного разбития капсюля-воспламенителя.
Пружина ствола
предназначена для уменьшения усилия отдачи и является буфером для затворной
рамы.
Кожух предназначен
для защиты пружины от загрязнения и сохранения в ней смазки. Он представляет
собой стакан, в дне которого выполнено отверстие для прохождения штока. Выступ
предназначен для поворота пружины ствола противоотскоком при сборке и разборке
пушки.
В дне кожуха
имеется проточка для рези нового уплотнительного кольца. Паз служит для
фиксации кожуха относительно защелки ствола. Отверстие служит для крепления
приспособления 2А42 10.080 при сборке пружины ствола.
Шток является
основанием для сборки пружины. В проточке штока размещается резиновое
уплотнительное кольцо. В проточке размещается стопорное кольцо, с помощью
которого пружина удерживается и предварительно поджатом состоянии.
Выступ служит для
фиксации штока относительно защелки ствола.
На штоке надеты
двадцать восемь наружных колец, двадцать семь внутренних колец и два
полукольца, которые являются упругими элементами пружины, и компенсаторы.
Наружные и внутренние кольца, чередуясь между собой, набираются на штоке,
крайними устанавливаются полукольца.
Компенсаторы компенсируют
погрешности изготовления колец и служат для обеспечения требуемого усилия в
пружине ствола. Их количество в пружинах ствола различно (до 15 штук). На
некоторых пружинах ствола компенсаторов может не быть.
Газовый цилиндр
предназначен для размещения газового поршня. Буртиком газовый цилиндр упирается
в обойму. На газовый цилиндр надета перегородка, прилегающая к буртику цилиндра
стороной, не имеющей упоров. Торцом пластина упирается в выступ ствола.
Одновременно перегородка служит для предотвращения проникновения отработанных
пороховых газов в ствольную коробку, стравливаемых через восемь боковых
отверстий. В торец перегородки упирается защелка ствола.
Защелка ствола
является упором для пружины ствола в выкате. Фланец защелки опирается на
пластину и вкладыши, которые препятствуют извлечению агрегата ствола из
ствольной коробки.
Обойма
предназначена для отвода части пороховых газов из канала ствола через
газоотводное отверстие в газовый цилиндр.
Пазы обоймы
предназначены для направления передней части агрегата ствола в ствольной
коробке. Обойма надевается на ствол и газовый цилиндр и от смещения в осевом
направлении фиксируется пластиной, вставленной в проточку ствола. Пластина от
выпадения зафиксирована на обойме фиксатором, приклепанным к пластине.
Дульный тормоз
уменьшает отдачу при выстреле. Он соединяется со стволом сухарным соединением и
фиксируется от поворота стопором.
Затворная рама
предназначена для приведения в действие механизмов пушки и производства
выстрела. Она состоит из собственно затворной рамы и затвора.
На трубку затворной
рамы напрессован и закреплен на ней двумя штифтами ползун.
Криволинейный паз
ползуна, по которому обкатываются ролики, предназначен для принудительного
поворота затвора при запирании и отпирании канала ствола. Пазы Н обеспечивают
направление движения затворной рамы по направляющим ствольной коробки. В
резьбовое отверстие ввертывается приспособление для удержания подвижных частей.
Выступ предназначен
для удержания затворной рамы шепталом в заднем положении. Поверхность
взаимодействует с ползушкой при ручной перезарядке.
Цапфа при
перемещении ползуна прокачивает рычаг подачи.
На конце трубки
закреплен поршень, воспринимающий давление пороховых газов. Выступами трубка
взаимодействует с выступами штока пружины ствола, амортизируя удар затворной
рамы в конце отката. В центральном отверстии трубки размещается возвратная
пружина. На буртике трубки закреплен поршень пироперезарядки, воспринимающий
давление пороховых газов, поступающих в полость казенника при срабатывании пиропатрона.
Выступом трубки
затворная рама взаимодействует с противоотскоком при ударе в переднем
положении.
На цапфах трубки
закреплен отражатель, служащий для перемещения гильзы из затвора па линию
отражения. Выемка отражателя служит для удержания стреляной гильзы. Поверхности
отражателя предназначены тля разворота его гребнем ствольной коробки. С правой
стороны отражателя имеется бобышка, поверхность которой взаимодействует с
поверхностью защелки отражателя при откате затворной рамы. Поверхность бобышки
взаимодействует с поверхностью защелки отражателя и удерживает отражатель в
поднятом положении и начале наката. Поверхность бобышки при взаимодействии с
косынкой ствольной коробки во время наката затворной рамы опускает отражатель.
Поверхность отражателя взаимодействует с выступом защелки патрона.
В задней части
затворной рамы, в 2-х отверстиях размещается фиксатор затвора. От выпадания из
затворной рамы он крепится штифтом. Фиксатор затвора фиксирует затвор от перемещения
относительно затворной рамы после отпирания канала ствола.
Поверхность
предназначена для выключения фиксатора затвора кронштейном ствольной коробки, а
поверхность для включения фиксатора направляющей ствольной коробки. Паз
ограничивает перемещение фиксатора затвора в затворной раме. Фиксация затвора
осуществляется цилиндрической поверхностью выступа, западающей в радиусную
лунку затвора.
Затвор предназначен
для запирания канала ствола, производства выстрела, извлечения и отражения
стреляной гильзы, досылания очередного патрона в патронник. Затвор имеет три
боевых упора, которые зацепляются с упорами казенника при запирании канала
ствола и воспринимают силу давления пороховых газов, действующих на дно гильзы.
В отверстии располагаются экстракторы, которые зубьями извлекают стреляную
гильзу из патронника.
Экстракторы имеют
возможность перемещаться в своих гнездах и поджаты пружинами, размещенными в
гнездах экстракторов. Пружины фиксируются
от выпадания штифтами, располагающимися в отверстиях затвора. Выступом затвора
отражается стреляная гильза. В пазу размещается боек, который предназначен для
разбития капсюля-воспламенителя патрона.
Поверхности
экстракторов взаимодействуют с винтовыми выступами на стволе при запирании и
отпирании. В отверстии затвора размещается ось с двумя роликами. Ось крепится от
выпадания ограничителем. Паз ограничителя препятствует выпаданию бойка.
Ограничитель
вставляется в центральное отверстие затвора и фиксируется штифтом, вставляемым
в отверстие.
Плунжер
предназначен для исключения выстрела при не полностью запертом канале ствола.
При вхождении затвора в казенник плунжер взаимодействует с выемкой на казеннике
и утапливает боек за зеркало затвора. Боек сможет выйти за зеркало затвора
только при полностью запертом канале ствола (когда затвор полностью развернется
и плунжер выйдет из соприкосновения с упором защелки патрона).
Возвратная пружина
предназначена для возвращения затворной рамы в переднее положение,
сообщения затворной раме энергии, необходимой для запирания
канала ствола и разбития капсюля-воспламенителя.
Трубка предназначена
для направления пружины. Фланец
трубки и шайба, удерживаемая на трубке штифтом, обеспечивают предварительное
поджатие пружины.
Затыльник
предназначен для размещения механизма подачи, механизма переключения подачи,
электроспуска, предохранителя спускового механизма, механизма блокировки
рукоятки ручной перезарядки и части механизма ручной перезарядки.
Затыльник крепится к ствольной коробке осью
затыльника.
Основная деталь
затыльника корпус представляет собой сварную конструкцию.
На правой стенке корпуса
расположены качалка со стержнем механизма ручной перезарядки и механизм
блокировки рукоятки ручной перезарядки, служащий для исключения постановки
рукоятки в переднее положение при неполном взведении подвижных частей и
состоящий из рычага и пружины. Выступами качалка взаимодействует с фланцем тяги
ручной перезарядки, а выступом качалка взаимодействует с плечом рычага. На
стержень надевается подпружиненная пружиной рукоятка, которая фиксируется осью.
Плечо рычага служит для предотвращения поворота качалки в крайнее переднее
положение при поднятом шептале. Плечо рычага взаимодействует с нижней
поверхностью шептала и служит для расцепления плеча рычага с поверхностью
качалки при опускании шептала.
К корпусу двумя
винтами прикреплен лоток, служащий для направления движения отражаемой гильзы.
К лотку приклепана планка, служащая для исключения возможности попадания
отражаемой гильзы в автоматику при стрельбе на углах возвышения.
В корпусе
размещается предохранитель, служащий для исключения выстрела при случайном
нажатии на спусковой рычаг или кнопку стрельбы. Он состоит из предохранителя и
ручки. Внутри ручки находится пружина, которая поджимает ручку предохранителя к
затыльнику для фиксации предохранителя в одном из положений (ПР -
предохранитель или ОГ- огонь). В положении ПР выступы упора шептала находится в
контакте с цилиндрической частью предохранителя, которая препятствует повороту
упора шептала при нажатии на спусковой рычаг. В положении ОГ выступы упора
располагаются против лыски на предохранителе, которая дает возможность упору
разворачиваться при нажатии на спусковой рычаг.
В корпусе закреплен
поводок, который служит для переключения подачи. Эксцентрический выступ поводка
взаимодействует с пазом рычага переключения подачи. На поводке закреплен флажок,
который крепится штифтом. Флажок в крайние положения поджимается пружиной,
которая одним концом упирается в опору, а другим - в направляющий стержень
пружины, связанный с флажком осью.
Выступы затыльника
предназначены для крепления затыльника в пазах задних съемников ствольной
коробки. В коническое отверстие упирается фланец трубки возвратной пружины.
Окно служит для выхода ползуна при нахождении его в крайнем заднем положении.
Выемки предназначены для извлечения патрона с линии досылания при разряжании.
Механизм подачи
осуществляет подачу патронов на линию досылания.
Рычаг подачи
приводит в движение механизм подачи, передавая движение от затворной рамы
деталям механизма, а рычаг служит для переключения подачи. Рычаг подачи,
взаимодействующий своим пазом с цапфой ползуна, прокачивается на оси в корпусе
затыльника при движении затворной рамы. Малой серьгой рычаг соединяется с
верхней серьгой, которая также качается на своей оси. К серьге прикреплен рычаг
переключения подачи, который имеет возможность поворачиваться относительно
серьги в горизонтальной плоскости за счет воздействия на него эксцентрического
выступа поводка переключения подачи, располагающегося в пазу рычага
переключения.
Выступы
взаимодействуют, в зависимости от положения рычага переключения, с
поверхностями правых или левых подающих пальцев, осуществляя выключение их.
Выступы рычага переключения подачи, взаимодействуя с рычагами, замыкают
соответствующий типу подачи плунжер датчика СОП (счетчик оставшихся патронов).
Отверстие служит для объединения верхней серьги с кареткой с помощью верхней оси.
Нижняя серьга
совместно с верхней серьгой преобразуют качание рычага подачи в
плоскопараллельное перемещение каретки. На нижней серьге размещены детали
спускового механизма. Она соединяется с кареткой осью нижней.
Паз нижней серьги
служит для размещения упора шептала. Выступ нижней серьги, взаимодействуя с
выступом шептала, удерживает его в поднятом положении для прохождения затворной
рамы в откате. В конце отката выступ освобождает шептала, и оно имеет
возможность опуститься. Ступенчатое отверстие нижней серьги является упором для
шайбы и предназначено для прохождения стержня.
В отверстие
вставляется трубка, с помощью которой к нижней серьге присоединяются упор
шептала и тяга. Упор
шептала удерживает шептало и опущенном положении.
Поверхность
предназначена для опускания шептала. Две выемки, взаимодействующие с цапфами
шептала, служат для подъема шептала. В пазу упора шептала размещается тяга. Два
выступа взаимодействуют с предохранителем и препятствуют повороту упора шептала
при включенном предохранителе. Поверхности взаимодействуют с поверхностями
коромысла при опускании шептала упором. Поверхность упора взаимодействует с
шепталом и удерживает его в опущенном положении.
Тяга служит для
крепления коромысла и имеет возможность поворачиваться на трубке относительно
серьги, поджимая пружину. Коромысло имеет возможность поворачиваться
относительно тяги, сжимая пружину, и расцепляться с поверхностями упора
шептала, вследствие чего упор шептала имеет возможность повернуться. Радиусная
поверхность коромысла взаимодействует со спусковым рычагом.
К коромыслу осью
крепится стержень, на котором надета предварительно поджатая шайбой пружина.
Паз служит для
размещения защелки, служащей для удержания коромысла от выключения в момент
посадки затворной рамы на шептало. Защелка крепится осью, размещенной в
отверстии, и подпружинена пружиной. Выступы защелки взаимодействуют с выступами
коромысла.
Каретка
осуществляет подачу патронных лент. Она крепится с помощью осей к верхней и
нижней серьгам и при их прокачке перемещается в вертикальной плоскости. К
каретке крепятся осями пара правых подающих пальцев и пара левых подающих
пальцев, которые подпружинены между собой пружиной, располагающейся в отверстии
каретки.
Правые и левые подающие
пальцы непосредственно взаимодействуют с патронной лентой при ее подаче и
попарно соединены пластинами, что необходимо для синхронизации их работы.
Пластины крепятся к
пальцам осями, которые после сборки развальцовываются.
В лунку подающих
пальцев упирается пружина30, которая разжимает пальцы для зацепления с лентой.
Пальцы поверхностями перемещают патронную ленту по приемнику, а поверхность
ограничивает разворот подающих пальцев, опираясь на каретку. Поверхности
взаимодействуют с выступами рычага переключения и предназначены для складывания
пальцев при забеге каретки за патрон, что необходимо для выключения одной из
подач.
Шептало
предназначено для удержания затворной рамы в заднем положении. Оно закреплено
на оси в корпусе затыльника. Выступ шептала удерживает затворную раму в заднем
положении. За счет взаимодействия поверхности шептала с упором шептала оно
опускается для захвата затворной рамы при ее движении вперед. При
взаимодействии цапф шептала с выемками упора шептала осуществляется подъем шептала,
необходимый для освобождения затворной рамы, а также удержания шептала в
поднятом положении при стрельбе.
В пазу шептала
размещается спусковой рычаг, служащий для разворота коромысла толкателем
электроспуска или вручную. Спусковой рычаг вращается на оси шептала.
Подпружиненная
защелка предназначена для удержания рычага подачи при объединении затыльника со
ствольной коробкой, что обеспечивает попадание цапфы затворной рамы в паз
рычага подачи. В процессе присоединения затыльника, после того, как переднее
перо рычага подачи попадает на верхнюю плоскость цапфы ползуна, защелка
поверяется за счет взаимодействия выступа защелки с пластиной ствольной коробки
и выйдет из зацепления с рычагом подачи, что дает ему возможность прокачиваться
при откате затворной рамы.
Стопор предназначен
для исключения снятия затворной рамы с шептала при незафиксированной рукоятке
механизма ручной перезарядки. Стопор подпружинен пружиной фиксируется штифтом.
При возвращении рукоятки в исходное (нерабочее) положение последняя перемещает
стопор таким образом, что лыска стопора располагается против спускового рычага,
давая ему возможность поворачиваться. При незафиксированной рукоятке
перезарядки стопор под действием пружины находится в крайнем правом положении,
при
котором против спускового рычага располагается
цилиндрическая часть стопора, препятствующая повороту спускового рычага
Электроспуск
предназначен для дистанционною управления работой спускового механизма. Корпус
электроспуска напрессован на стопу.
В стопу
запрессована вставка, в центральном отверстии которой перемещаемся толкатель.
Внутри стопы
имеется катушка, выводы которой распаяны на вилку штепсельного разъёма, а
внутри корпуса имеется втулка, служащая магнитопроводом. Кроме того, катушка и
втулка служат для направления движения якоря. Бронзовая прокладка уменьшает
время отпускания электроспуска.
Пружина, при
выключенном электроспуске, прижимает через толкатель якорь к крышке и
препятствует самопроизвольному перемещению якоря и толкателя. Крышка закрывает
электроспуск, зацепляясь своими сухарными выступами с корпусом. От разворота
крышка фиксируется подпружиненным стержнем, западающим в лунку корпуса.
Резиновое кольцо герметизирует электроспуск.
В корпусе имеются
два отверстия, в которых размещаются толкатель вместе с плунжерами датчиков
СОП. В дне отверстий закреплены изолированные контакты датчиков, выводы которых
распаяны на вилку штепсельного разъема. Толкатели перемещаются выступами
рычагов, вращающихся на оси. Выступы рычагов, в зависимости от подачи,
взаимодействуют с выступами рычага переключения подачи. Рычаги фиксируются на
оси выступами толкателей. Пружины возвращают толкатели в исходное положение.
Внутри толкателя размещается подпружиненный пружиной плунжер, зафиксированный
штифтом. Электроспуск фиксируется в затыльнике подпружиненным фиксатором,
который выключается поворотом рычага.
При подаче
напряжения на электроспуск якорь, прижимаясь к вставке, перемещает толкатель,
который, воздействуя на спусковой рычаг, снимает затворную раму с шептала. При
этом сжимается пружина, которая после снятия напряжения возвращает якорь в
первоначальное положение. В конце отката затворной рамы один из выступов рычага
переключения подачи, в зависимости от типа подачи, через рычаг поджимает
толкатель, который через плунжер замыкает цепь датчика СОП.
Контактор предназначен
для запирания патронников кассеты и подвода тока к электрокапсюльным втулкам пиропатронов.
Корпус контактора
предназначен для размещения пиробойков, которые располагаются в отверстиях
корпуса, а выступы корпуса контактора зацепляются с кассетой и воспринимают
давление пороховых газов при срабатывании пиропатрона. Колпачки надеваются на
пиробойки и служат изоляторами. По пазам корпуса задвигается крышка, к которой
приклепана пластинчатая пружина, обеспечивающая поджатие пиробойков к
пиропатрону.
В отверстии корпуса
размещается штифт, фиксирующий крышку. Защёлка своим выступом фиксирует
контактор на кассете. Она вращается на оси и подпружинена пружиной. Ось от
выпадания удерживается стопором.
2.2
Средства поражения автоматической пушки 2А42
танк боевой гранатомёт пушка
30мм выстрелы к автоматической пушке 2А42 в
зависимости от типа снарядов делятся на бронебойно-трассирующие,
осколочно-трассирующие, осколочно-фугасно-зажигательные (рис.2.3).
Выстрел БТ снарядом предназначен для борьбы с
легкобронированными целями (типа БМП и БТР) и огневыми точками. Поражение цели
снаряд наносит пробивным действием, осколками корпуса и зажигательным действием
трассера.
Выстрелы с ОФЗ и ОТ снарядами предназначены для
поражения живой силы, небронированных наземных (типа автомашин, РЛС,
оперативно-тактических ракет на пусковых установках) и воздушных целей
(самолетов, вертолетов). Поражение цели снаряд наносит осколочно-фугасным и
зажигательным действием.
Рисунок 2.3 - 30мм выстрелы к пушке 2А42: 1 -
баллистический наконечник; 2 - 30-мм бронебойный снаряд; 3 - оболочка; 4 -
трассирующий заряд; б- медный ведущий поясок; 6 - заряд; 7-гильза с капсюльной
втулкой; В - взрыватель; 9- осколочно-трассирующий снаряд; 10- шашка
взрывчатого вещества; 11 - осколочно-фугасно-зажигательный снаряд
В отличие от ОФЗ снаряда ОТ снаряд создает
дополнительно видимую трассу полета снаряда.
Выстрелы состоят из снаряда, гильзы с капсюльной
втулкой и заряда. Максимальная масса выстрела с БТ снарядом 8,4 Н (0,851 кг).
Калибр снарядов 30 мм.
Для удобства распознавания элементов выстрелов
по предприятиям-изготовителям, партиям и годам изготовления на элементах
наносятся знаки. На гильзе учебно-тренировочного выстрела нанесены сокращенный
индекс выстрела и наименование выстрела. Примерная маркировка патронов к пушке
и ПТУР приведена на рисунке 12.
Боеприпасы при правильном обращении с ними
безопасны и безотказны в действии. Нарушение правил обращения с патронами может
привести к неправильному их действию, к повреждению пушки, а также к
преждевременному разрыву снаряда в канале ствола пушки или на траектории.
2.3
Автоматический гранатомёт АГС-17
мм автоматический
гранатомет АГС-17 (рис.1) предназначен для вооружения мотострелковых подразделений
пехоты и усиления огневых возможностей в борьбе с живой силой противника,
расчетами пулеметов, противотанковых и безоткатных орудий.
Для стрельбы из
гранатомета применяется выстрел ВОГ-17 с осколочной гранатой, снабженной
головным взрывателем мгновенного действия, срабатывающим при встрече гранаты с
преградой.
Регулятор темпа
позволяет вести стрельбу из гранатомета с двумя различными темпами: минимальным
- 50-100 выстрелов в минуту или максимальным - 350-400 выстрелов в минуту.
Огонь может вестись короткими очередями (5 -выстрелов) и непрерывно.
Подача выстрелов (в
дальнейшем именуются патронами) при стрельбе производится из коробки емкостью
на 29 патронов, снаряженных в патронную ленту.
Стрельба из
гранатомета может вестись как настильной так и навесной траекториями.
Предельная дальность стрелы- 1700 м. Гранатомет снабжен оптическим прицелом
ПАГ-1уС 2,5 увеличением.
Вес гранатомета со станком и
прицелом - 31 кг.
В комплект 30 мм
автоматического гранатомета (АГС-17) входят следующие элементы:
- 30 мм
автоматический гранатомет (АГ-17);
- станок к 30 мм
автоматическому гранатомету (САГ-17);
- патронная
коробка;
- прицел 30 мм
автоматического гранатомета (ПАГ-17);
- запасные части,
инструмент и принадлежность (ЗИП);
- лента патронная 9
шт.(по 3 шт. в коробке)
- сумка для
переноски гранатомета АГ-17;
- лямки для
переноски станка САГ-17;
- трубка холодной
пристрелки (ТХП-1-30) на шесть гранатометов;
- техническое
описание и инструкция по эксплуатации;
формуляр;
- памятка по
эксплуатации;
- ящик укупорочный
для гранатомета АГС-17.
Основные тактико-технические
характеристики:
Вес гранатомета
(без станка) 18 кг
Вес станка 12кг
Вес патронной коробки с патронами 14,5 кг
Емкость патронной
коробки 29 патронов
Предельная дальность стрельбы 1700 м
Темп стрельбы:
максимальный 350 -
400
минимальный 50 -100
Начальная скорость
гранаты 185 м/сек
Вес патрона 0,35
кг.
Вес гранаты 0,28кг
Радиус сплошного поражения не более 7 м.
Работа гранатомета
основана на принципе использования энергии отката свободного затвора.
При выстреле
пороховые газы давят на дно гильзы и выбрасывают затвор-тело большой массы в
крайнее зад положение. Откатываясь, затвор сжимает возвратные пружины,
накапливая энергию для наката.
При откате затвора
происходит отпирание канала ствола, подача очередного патрона ко входному окну
гранатомета и отражение гильзы.
При накате затвора
происходит досылание патрона в патронник ствола и взведение ударника.
К моменту прихода
затвора в крайнее переднее положение происходит разобщение ударника с затвором.
Запирание канала
ствола осуществляется массой затвора.
Питание гранатомета
патронами осуществляется из патронной ленты, укладываемой в коробку. Лента
составлена из отдельных кусков на 10 патронов каждый. Куски ленты соединяются
друг с другом при помощи патронов.
Механизм подачи
приводится в действие затвором, верхней плоскости которого имеется паз,
заставляющий перемещаться рычаг подачи.
Гранатомет АГ-17
состоит из следующих частей и механизмов (рис. 2.4):
- ствольной коробки
3,
- приемника 1,
- механизма
перезарядки 5,
- затвора 4,
- ударно-спускового
механизма 2
- возвратных пружин
6.
Ствольная коробка
(рис.2.5) предназначена для размещения основных частей и деталей гранатомета и
для направления движения затвора.
В переднюю часть
ствольной коробки (патрубок) вставляется в ствол 19 и закрепляется в нем штырем
18. Последний удерживается от выпадания
приливом направляющей
ударного механизма.
Рисунок 2.4 - Основные части
гранатомета:
1-приемник; 2-ударно-спусковой
механизм; 3-ствольная коробка;
-затвор, 5-механизм перезарядки;
6-возвратные пружины.
Ствол служит
для направления полета гранаты. Внутренняя часть ствола называется каналом.
Канал ствола им патронник, пульный вход и нарезную часть. Нарезная часть служит
для придания гранате вращательного движения, и обеспечивает ее устойчивость при
полете. В нарезной части имеется 16 нарезов, нарезка правая; промежутки между
нарезами называются полями. Расстояние между противоположными полями равно 30
мм и называется калибром ствола.
В казенной части
канал ствола гладкий и сделан по форме гильзы патрона; эта часть канала служит
для помещения гильзы патрона и называется патронником.
Пульный вход
представляет собой переходную часть канала ствола от гладкого патронника к
нарезам полной глубины и служит для обеспечения плавного врезания ведущего
пояска гранаты в нарезы.
На дульном срезе
ствола имеются взаимно перпендикулярные риски для наклеивания нитей при выверке
прицела.
Сзади в ствольной
коробке на двух нижних полуосях 14 и оси 13 крепится затыльник 6. Рукоятка 12 с
осью 13 служат для запирания затыльника на ствольной коробке в собранном гранатомете.
Рисунок 2.5 - Ствольная коробка в
разобранном виде:
1-ствольная коробка; 2-ось
приемника; 3-лоток; 4-съемник-,5-направляющие; 6-затыльник; 7-тяга; 8-ручка,
9-ось гашетки; 10-пружины; 11-гашетка; 12-рукоятка; 13-ось затыльника;
14-полуось;15-ось тяги; 16-пружина; 17-планка; 18-штырь; 19-ствол.
На нижних полуосях
с помощью осей 15, тяг 7 и пружин 16 закреплены ручки 8, для наведения
гранатомета в цель и удержания его при стрельбе.
В походном
положении ручки складываются.
На наружной стороне
затыльника на оси 9 расположена гашетка спуска 11 с двумя пружинами 10.
На левой внутренней
стенке ствольной коробки закреплена планка 17, которая передает усилие спуска
на флажок ударно-спускового механизма.
В задней
внутренней, части ствольной коробки симметрично приклепаны два упора для
приведения в действие гидротормоза.
В проушинах
патрубка ствольной коробки расположена ось 2 приемника. Она одновременно служит
для крепления на ней лотка 3, предназначенного для направления движущейся
патронной ленты и съемника 4, служащего для направления и съема звена с
досылаемого патрона. Головкой этой оси к ствольной коробке крепится
ударно-спусковой механизм. На левой и правой щеках ствольной коробки с
внутренней стороны имеются две направляющие 5, по которым движется затвор; там
же приклепаны два копира - левый I (рис.4), и правый 1 (рис.5), взаимодействуя с которыми, снижатель
(он же досылатель), находящийся на затворе, обеспечивает подачу патрона из
ленты в патронник ствола.
На ствольной
коробке для крепления гранатомета на станке имеются два фланца 4 (рис.2.6) и 6
(рис.2.7), а также кронштейн 5 (рис.2.5) расположенный в задней нижней части
короба.
Справа к ствольной
коробке (рис. 4) прикреплена скоба 2 с защелкой 3для крепления патронной
коробки к гранатомету.
На левой стороне
ствольной коробки имеется кронштейн 3 с эксцентриком 4, ручкой 2 и пружиной 5
для крепления оптического прицела.
Рисунок 2.6- Ствольная коробка (вид
справа):
- копир левый; 2-скоба; 3-защелка;
4-фланец правый; 5- кронштейн.
Затвор (рис.2.8)
служит для запирания канала ствола при выстреле, удержания гильзы, досылания
патрона в патронник ствола, приведения в действие ударника и механизма подачи
патронной ленты.
На верхней плоскости
затвора имеется криволинейный паз 2, в который входит ролик рычага подачи,
гребень 1 для приведения в действие механизма отражения гильзы и крюк для
соединения затвора с механизмом перезарядки. В теле затвора имеются три
продольных глухих отверстия.
Рисунок 2.7- Ствольная коробка (вид
слева):
1-копир правый; 2-ручка;
3-кронштейн; 4, 5,-эксцентрики; пружина; 6-фланец левый.
Рисунок 2.8 - Затвор в сборе:
-гребень; 2-криволинейный паз;
3-крюк.
Рисунок 2.9 - Затвор в разобранном
виде:
-ось разобщителя; 2- снижатель;
3-боевая плита; 4-пружина разобщителя; 5- разобщитель; 6-боек; 7-фиксаторы;
8-пружины; 9-ось извлекателя; 10-ось рычага; 11-рычаг бойка; 12-стакан;
13-извлекатель.
Два низ них
предназначены для размещения возвратных пружин, обеспечивающих торможение
затвора при откате и накат его.
Третье отверстие
является цилиндром гидравлического тормоза, который поглощает избыток энергии
откатывающегося затвора и притормаживает его при приходе в переднее положение.
В передней части
затвора (рис.2.7) по вертикальным пазам перемещается снижатель 2, который при
накате затвора извлекает патрон из звена, снижает и досылает его в патронник.
На переднем торце
затвора имеются два глухих отверстия, в которых помещены два фиксатора 7 с
пружинами удерживающие снижатель от выпадания из затвора при отделении затвора
от короба.
Фиксаторы от
выпадания удерживаются осью 9, которая одновременно служит и осью извлекателя
13. Извлекатель предназначен для удержания гильзы при откате затвора после
выстрела и для извлечения патрона при ручной перезарядке; отверстие извлекателя
помещен стакан 12 с пружиной 8.
Над извлекателем
расположена боевая плита 3, которая присоединяется к затвору с помощью сухарных
выступов.
В гнезде боевой
плиты находятся боек 6 и пружина бойка 8. На левой стороне затвора имеются два
гнезда; в переднем расположен рычаг бойка 11 на оси 10, служащий для передачи
энергии ударника бойку, а в заднем - на оси 1 разобщитель 5, предназначенный
для взведения ударника и разобщения его с затвором при приходе последнего в
перед положение. Разобщитель подпружинен пластинчатой пружинной 4.
Гидротормоз имеет
шток, передняя часть которого представляет собой поршень с четырьмя
отверстиями.
На штоке закреплен
фланец 10 с помощью гайки 12 штифта 11. На нем же расположен уплотнитель в
сборе. Сборка уплотнителя состоит из корпуса уплотнителя 1, опорного кольца 4,
гайки уплотнителя 3, резиновых колец 5 и 6 и уплотнительного кольца 8.
Уплотнитель в сборе
ввинчивается в отверстие затвора в котором расположена гильза 7, имеющая 4
продольных окна переменного сечения для создания требуемого эффекта торможения.
Гидротормоз
разбирается при необходимости в ремонтных органах.
Рисунок 2.10 - Возвратные пружины
Рисунок 2.10- Возвратные пружины в
разобранном виде
-пружины, 2-направляющая,
3-стержень, 4-замок
Рисунок 2.11 - Приемник в
разобранном виде
-защелки; 2 корпус приемника;
3-цапфа, 4-ось ограничителя, 5-пружина ограничителя, 6-ограничитель задний;
7-ограничитель передний; 8-упор; 9- фиксатор; 10-подаватель, И-рычаг;
12-фиксатор рычага; 13-палец; 14-механизм отражения; 15-ролик; 16-кольцо
стопорное, 17-штырь; 18-ось подавателя, 19-пружины подавателя.
Приемник (рис.2.11)
предназначен для размещения в нем механизма подачи патронной ленты и механизма
отражения стреляной гильзы.
Механизм подачи
состоит из двуплечего рычага, расположенного на цапфе 3 (рис. 2.11), которая
приклепана к корпусу 2 приемника. На одном конце двуплечего рычага на пальце 13
закреплен ролик 15, а на другом-подаватель 10 с осью 18 и пружинами 19. Пружины
надеваются на штырь 17.
Для надежного
западания ролика рычага подачи в паз, па верхней плоскости затвора при
закрывании приемника предусмотрен фиксатор 12, который закрепляется на правой
стенке корпуса приемника.
На цапфе 3
неподвижно посажен механизм отражения гильзы 14. Механизм отражения (рис.2.11)
состоит из корпуса 5, оси 6, и отражателя 1. В корпусе имеется стакан 2 с
пружиной 3 и фиксатор 4, который западает в отверстие цапфы (рис. 2.10) при
надевании на нее механизма отражения.
На верхней
внутренней стенке корпуса приемника на осях 4 закреплены ограничители -
передний 7 и задний 6, с пружинами 5. Ограничители служат для фиксирования в
приемнике патрона со звеном.
С наружной стороны
корпуса приемника имеются две защелки 1 для запирания приемника на коробе
гранатомета.
На передней
наклонной плоскости приемника приклепан упор 8, предназначенный для обеспечения
при закрытом приемнике такого расстояния между клиньями съемника и лотком, при
котором исключается возможность попадания звена под съемник.
Подпружиненные
фиксаторы 9 служат для фиксации приемника в открытом положении.
Ударно-спусковой
механизм (рис.2.13,2.14) расположен па левой стороне короба и
закрепляется осью приемника. Механизм через спусковую планку соединен с
гашеткой, расположенной на затыльнике короба.
При нажатии на
гашетку поворачивается флажок 4 (рис.2.14) и шептало 9, расположенное на одной
оси с флажком.
Рисунок 2.12- Механизм отражения
-отражатель; 2-стакан; 3-пружина;
4-фиксатор;
-корпус; 6-ось отражателя
Рисунок 2.13- Ударно-спусковой
механизм. Вид слева
Корпус ударника 11
являющийся одновременно цилиндром гидравлического регулятора темпа стрельбы,
перемещается под действием боевой пружины ударно- спускового механизма по пазам
направляющей 1 (рис. 2.14) вдоль штока 12.
На корпусе ударника
имеются два зуба (рис. 2.13) передний 2 и задний 1.
При накате затвора
разобшитель, взаимодействуя с задним зубом взводит ударник 11 (рис.2.14) сжимая
боевую пружину. При подходе затвора к крайнему переднему положению происходит
разобщение его с ударником. Корпус ударника под действием пружины движется
назад и ударяет передним выступом по рычагу бойка.
После прекращения
действия на гашетку шептало повернется на оси под действием пружины 8,
расположенной в стакане 7 и ударник встанет на шептало.
Фиксатор 3 служит
для присоединения штока к направляющей, он
крепится от
выпадания штифтом 2.
Прилив 10 корпуса
ударника предназначен для взвзедения ударника
вручную.
Рисунок 2.14- Ударно - спусковой
механизм. Вид справа: 1-зуб задний; зуб передний
Гидравлический
регулятор темпа стрельбы за счет изменения величины отверстия для истечения
жидкости позволяя изменять время движения ударника под действием боевой
пружины. Темп стрельбы регулируется поворотом ручки 13 на которой имеются
гравировки «макс» и «мин».
Предохранитель 5
запирает шептало в положении «на предохранение» и тем самым исключает
возможность случайного выстрела. В своих крайних положениях «ОГ» и «ПР» он
удерживается за счет упругих свойств своей рукоятки.
Устройство
гидравлического регулятора темпа стрельбы состоит из корпуса 4, штока 3 боевой
пружины 7, пружины 11, клапана 9 и иглы 12.
Корпус является
подвижным цилиндром, в который заливается керосин. С двух сторон корпус закрыт
системой уплотнений. Внутренняя полость корпуса имеет переднюю широкую часть и
заднюю узкую часть.
Неподвижный шток,
закрепленный па направляющей имеет утолщение с фторопластовым кольцом 25,
выполняющим роль поршня. Кольцо удерживается втулкой 8, которое поджимается
боевой пружиной.
Внутри штока
имеется осевой канал переменного сечения расположенный вдоль оси штока. Этот
канал соединяется с внутренней полостью корпуса ударника поперечным отверстием
«а» и восьмью наклонными отверстиями «б», выходящими на торец утолщения штока.
Эти отверстия перекрываются клапаном 9.
Игла 12,
расположенная в осевом канале штока, связав со штоком штифтом 13, который имеет
возможность перемещаться по спиральному пазу «в». Одновременно игла свободным
винтом 15 соединяется с ручкой 14 регулирования темпа. На конце иглы закреплено
фторопластовое кольцо 10.
Рисунок 2.15 - Ударно-спусковой
механизм в разобранном виде:
1-направляющая; 2- штифт;
3-фиксатор; 4-флажок; 5-предохранитель; 6- шайба; 7-стакан; 8-пружина;
9-шептало; 10-прилив корпуса; 11- корпус ударника; 12-шток; 13-ручка
Механизм
перезарядки (рис.2.16), предназначен для заряжания и перезаряжания гранатомета.
В крышке 1 (рис.
2.17) по направляющей 2 перемещаете обойма 5, в которой закреплены ролик 6 и
подпружинен! фиксатор 9.
Фиксатор западает в
выемку на крышке, благодаря 41 обойма остается в переднем положении при
стрельбе.
На обойме имеется
зацеп «а» для взведения затвора.
Через ролик
перекинут трос 4, один конец которого креплен на заднем торце крышки, а второй
присоединен к рукоятке перезаряжания 3.
На крышке имеются
два упора «б», для крепления её в коробе.
Сверху на крышке
приклепана таблица стрельбы.
Рисунок 2.16 - Механизм перезарядки
Рисунок 2.17 - Механизм перезарядки
в разобранном виде
а - зацеп; б-упоры;1-крышка;
2-направляющая; 3-рукоятка
перезаряжания; 4-трос; 5-обойма; 6 -
ролик; 7, 8 ,9,-стакан,
пружина, фиксатор.
2.4
Противотанковая управляемая ракета 9М113
ПТУР 9М133 (рисунок 2.18) предназначена для
поражения бронированных подвижных и неподвижных целей, в том числе оснащенных
динамической защитой (ДЗ), других объектов бронетанковой техники, малоразмерных
целей (типа танк в окопе, ДОТ, ДЗОТ и т.п.). Стрельба ракетой 9М133 может
производиться с боевой машины поддержки танков или с выносной пусковой
установки 9П163.
Рисунок
2.18 - ПТУР 9М133:
-
контейнер; 2 - ручка; 3 - задняя крышка; 4 - блок питания; 5 - розетка; 6 -
бугель; 7 - передняя крышка; А - выступ
Тактико-технические
характеристики ПТУР 9М133
Максимальная дальность стрельбы, м . . .
. . . . . . . . . . . . . . . . . . . . . 5000
Минимальная дальность стрельбы, м . . . .
. . . . . . . . . . . . . . . . . . . . . . 100
Время полета ракеты на максимальную дальность
в нормальных условиях, с. . . . . . . . .
. . . . . . . . . . . . . . . . . . . . . . . . . . . . .25
Интервал температур боевого применения ПТУР
9М133, оC . .. . . .
. ±50
Система управления . . . . . . . .
полуавтоматическая, помехозащищенная
по лучу оптического квантового генератора
Калибр ПТУР, мм . . . . . . . . . . . . .
. .. . . . . . . . . . . . . . . . . . . . . . . . . . . . 152
Масса ПТУР, не более, кг . . . . . . . .
. . . . . . . . . . . . . . . . . . . . . . . . . . . 29,5
Габариты контейнера, мм . . . . . . . . .
. . . . . . . . . . . . . . . . 178 ´ 202 ´
1200
Габариты укупорки, мм . . . . . . . . . .
. . . . . . . . . . . . . . . . 1300 ´ 315 ´
355
Масса укупорки с одной ПТУР, не более, кг
. . . . . . . . . . . . . . . . . . . . . 47
Время полета ракеты на дальность 4000 м
в нормальных климатических условиях, с .
. . . . . . . . . . . . . . . . . . . . . 18,5
ПТУР 9М133 состоит из транспортно-пускового
контейнера и ракеты (рисунок 2.18). Для направления движения по контейнеру в
момент выстрела и для предохранения ПТУР от перемещения в контейнере при
транспортировании установлены четыре пластмассовых сухаря, в средней части
ракеты и два алюминиевых полукольца с вкладышами в хвостовой части.
Рисунок
2.19 - Ракета: 1 - рули; 2 - лопасти
Передняя 7 и задняя 3 крышки контейнера
металлические (рисунок 2.18), при постановке с помощью резиновых прокладок
обеспечивают герметичность контейнера ракеты 9М133. Кроме герметизации задняя
крышка 3 с помощью чеки фиксирует ракету в контейнере.
Электрическая стыковка ракеты с разъемом
контейнера осуществляется колодкой со штырями.
Для проверки функционирования ракеты и проверки
герметичности на заводе-изготовителе в задней крышке 7 контейнера выполнено
отверстие, которое после проверок закрывается заглушкой.
Контейнер предназначен для герметизации,
транспортировки, хранения ракеты, обеспечения быстрой стыковки ракеты с
пусковыми установками и производства одного направленного пуска ракеты.
Контейнер состоит из следующих основных частей:
трубы, передней крышки 7, задней крышки 3, фланцев, зацепов, ручки 2, блока
питания 4, хомутов блока, розетки 5, оснований с бугелем 6, хомутов зацепов.
Труба контейнера выполнена из стеклопластика.
Передняя крышка 7 металлическая, при постановке
вначале вставляется в резиновое уплотнительное кольцо и поджимается фланцем к
концу трубы. При завальцовке фланца за буртик на трубе контейнера за счет
осевого поджатия фланца с передней крышкой к трубе обеспечивается герметичность
контейнера. Герметизация задней крышки 3 аналогична передней.
Крышки завальцовываются после установки ракеты в
контейнер. Блок питания 4 прикрепляется к трубе контейнера двумя хомутами блока
и хомутом зацепа. В корпусе блока питания 4 установлены две батареи Т-493,
розетка 5 для стыковки с пусковой установкой.
Для установки ПТУР на пусковой установке имеется
бугель 6, а в кожухе блока питания - два направляющих выступа. В задней части
трубы сделана проточка.
Ракета (рисунок 2.20) состоит из следующих
основных сборочных единиц: отсека рулевого привода 1, маршевого двигателя 2,
боевой части 3, стартового двигателя 4 с аппаратурой управления.
Рисунок
2.20 - Общее устройство ракеты:
-
отсек рулевого привода; 2 - маршевый двигатель; 3 - боевая часть; 4 -стартовый
двигатель с аппаратурой управления
Отсек рулевого привода (ОРП) 1 предназначен для
преобразования электрических сигналов, поступающих с бортовой электронной
аппаратуры, в механические перемещения рулей. ОРП расположен в носовой части
ракеты и крепится к маршевому двигателю винтами.
Маршевый двигатель (МД) 2 предназначен для
обеспечения заданной скорости и времени полета ракеты до цели. МД крепится к
боевой части винтами. Боевая часть (БЧ) 3 ракеты состоит из двух частей:
лидирующего кумулятивного заряда (ЛКЗ), расположенного в отсеке рулевого
привода, и основного кумулятивного заряда (ОКЗ), расположенного между маршевым
двигателем и стартовым двигателем. Основной кумулятивный заряд крепится к
корпусу маршевого двигателя винтами и к корпусу стартового двигателя винтами.
Стартовый двигатель (СД) предназначен для
сообщения ракете начальной скорости полета. На его корпусе установлены лопасти
стабилизатора. Стартовый двигатель с аппаратурой управления расположен в
хвостовой части ракеты. В передней части корпуса СД закреплен аппаратурный
блок, включающий в себя бортовую электронную аппаратуру, бортовую батарею
Т-493, гирокоординатор (ГК) 9Б865, коммутационный блок.
В хвостовой части корпуса СД закреплен приемник
излучения. Аппаратурный блок крепится к корпусу СД винтами.
Электрические соединения блоков ракеты выполнены
ленточным проводом в термостойкой полиамидной изоляции, закрепленным на внешней
поверхности ракеты приклейкой полосы кабельной бумаги.
Для защиты от электромагнитных полей на ракете
установлены фильтры.
2.5 Выводы
В комплекс
вооружения БМПТ входят спаренная установка 30-мм автоматических пушек 2А42,
установленный в едином блоке с ними 7,62-мм пулемет ПКТМ, два дистанционно управляемых
30-мм автоматических гранатомета АГ-17Д и противотанковый управляемый ракетный
комплекс (ПТРК) «Корнет», имеющий четыре пусковые установки ракет. Основное
оружие - пушки 2А42 установлены сверху на низкопрофильной башне, имеющей
противоснарядное комбинированное бронирование с элементами встроенной
динамической защиты.
3. Оценка эффективности боевой
машины поддержки танков на основе математических моделей боевых действий
Танк, решая свои основные
боевые задачи (борьба с танками противника, уничтожение вражеских укреплений и
др.), сталкивается с необходимостью борьбы с большим количеством малоразмерных
огневых средств - ручных противотанковых гранатометов и переносных
противотанковых ракетных комплексов (ПТРК), а также боевых легкобронированных
машин, вооруженных противотанковыми управляемыми ракетами (ПТУР). Эффективная
борьба с ними танков существующих типов, бронированных машин пехоты или
бронетранспортеров крайне затруднительна. Потери боевых машин особенно
возрастают при действиях в горно-лесистой местности и городских условиях.
Одним из перспективных средств
борьбы с этими угрозами является БМПТ. Ее основные особенности - многоканальное
вооружение, позволяющее операторам независимо друг от друга обстреливать
одновременно до трех целей, а также всеракурсная броневая защита, не уступающая
защите танка и дополненная системой постановки завес высокоточному оружию с
лазерным наведением.
Комплекс вооружения БМПТ
поражает:
- живую силу на дальностях до
4000 м;
легкобронированные цели на
дальностях до 2500 м;
тяжелобронированные цели и
защитные сооружения управляемыми ракетами на дальностях до 5500 м;
малоскоростные воздушные цели
на дальностях до 3500 м.
Для оценки боевой эффективности
БМПТ и обоснования ее системы вооружения используется математическая модель
боевых действий, основанная на использовании метода динамики средних,
позволяющая оценить исход боя при заданных численности сторон и значениях их
основных ТТХ.
Построение моделей динамики
средних основано на использовании допущения о возможности замены фактической
численности боевых единиц сторон в каждый момент боя их средними
(математическими ожиданиями). При этом допущении все показатели боя (расход
снарядов, время протекания боя) также не будут случайными величинами.
Рассмотрим модель динамики средних,
описывающую «высокоорганизованный» бой, когда стрельба ведется по наблюдаемым
целям и в случае поражения цели огонь мгновенно переносится на непораженные.
Пусть группировка I состоит из
средств двух типов: тип 1 - БМПТ; тип 2 - танки. А в группировку II
входят средства трех однородных типов: тип 1 - танки; тип 2 - противотанковые
комплексы дальнего действия «Тоу-2»; тип 3 - ПТРК ближнего действия «Дракон».
Схема боя приведена на рисунке 3.1.
Рисунок 3.1 - Схема модели боевых действий между
боевыми единицами группировок I
и II
Исходные данные представлены в
таблице 3.1. Все перечисленные характеристики средств группировки II
приведены для соответствующих образцов бронетанковой дивизии армии США.
Боевые единицы (б.
е.) группировки I производят
по различным боевым единицам группировки II
потоки поражающих выстрелов:
где 
- интенсивность
потока выстрелов средств i-го
типа группировки I;
- вероятность
поражения боевой единицы;'j-го
типа группировки II
одним выстрелом боевого средства i-го
типа группировки I.
Таблица
3.1 Характеристики боевых единиц, входящих в группировки I
и II
|
Номер
типа средств
|
Тип
боевого средства
|
Боевая
скорострельность, выстр./мин
|
Дальность
стрельбы, м
|
Начальная
численность, б. е.
|
|
|
|
максимальная
|
минимальная
|
|
|
Группировка
I
|
|
i
|
1
|
БМПТ
с вооружением: АП ПТУР
|
300
1
|
250 4000
|
|
0 50
|
200
|
|
2
|
Танк
|
4
|
2500
|
|
0
|
290
|
|
Группировка
II
|
|
j
|
1
|
Танк
|
4
|
2500
|
|
0
|
348
|
|
2
|
ПТРК
«Тоу-2»
|
1
|
3750
|
|
50
|
216
|
|
3
|
ПТРК
«Дракон»
|
2
|
1000
|
|
30
|
252
|
Аналогично потоки поражающих выстрелов
группировки II:
Вероятность поражения для группировки I

зависит от
факторов, определяющих физическую видимость противников как цели, экранирующих
свойств местности, характеристик оружия противников и тактики их действий.
Вероятность поражения для
группировки II
записывается аналогично:
Вероятность обнаружения танками
или БМПТ группировки I
средств j-го типа
группировки II зависит от
многих факторов, но главным является вероятность видимости цели по физическим и
топографическим признакам. Эмпирическая зависимость вероятности обнаружения в
зависимости от дальности имеет вид:
,
где 
- коэффициент, учитывающий
влияние погоды (
= 1
- ясно; 
=2-облачно;
= 3 - туман)
- коэффициент,
учитывающий влияние местност(
= 1 -равнина; 
= 2- холмистая
местность).
Вероятность попадания выстрелом
из танка группировки I
в противотанковые средств* группировки II
[1]
,
где 
;

- суммарные средние
квадратические ошибки выстрела соответственно по курсу и тангажу:
;

;

- размеры цели; kф=
0,85 - коэффициент фигурности; - составляющие ошибок.
Значения составляющих ошибок
для расчета суммарной средней квадратической ошибки приведены в таблице 3.2.
Таблица 3.2 Значения составляюших ошибок
выстрела на дальность 1000 м.
|
k
|
Ошибки
|
По
тангажу,
|
По
курсу,
|
|
1
|
Технического
рассеивания
|
1,0
|
0,9
|
|
2
|
Технической
подготовки
|
0,5
|
0,5
|
|
3
|
Наведения
|
0,25
|
0,25
|
|
4
|
Исходных
установок
|
0,5
|
0,35
|
|
5
|
Возникающие
при стрельбе с ходу
|
0,5
|
0,5
|
Особенностью системы вооружения БМПТ является
возможность одновременного ведения огня по нескольким целям. В данном случае
БМПТ обстреливает легкобронированные цели группировки II
из скорострельной автоматической пушки (АП) 2А42, а танки - ПТУРами «Атака СМ».
рт(уш 2П) - условная вероятность попадания в
цель:

;
ВB,
Вб - характеристики рассеивания пуль в
очереди, м; l
1,2
-
приведенные размеры цели.
Математической основой
моделирования боя методом динамики средних является система дифференциальных
уравнений Ланчестера, которая для данного примера примет следующий вид [2]:
где 
- среднее
количество боеспособных БМПТ;
,
-
среднее
количество боеспособных танков соответственно группировок I
и II; 
,
-
среднее количество боеспособных легкобронированных машин соответственно с
«Тоу-2» и ПТРК «Дракон»; 
-функции
целераспределения, указывающие доли средств i(j)-го
типа, ведущих огонь по боевым средствам j(i)-го
типа в каждый момент времени, так как по средствам каждого типа могут вести
огонь боевые средства нескольких типов другой стороны.
Рисунок 3.2 - Изменение математического ожидания
числа боевых единиц группировок 1 ( ___ ) и 2 (----) во времени в результате
боевых действий: а-БМПТ с 30мм АП 2А42; б - модель боя без БМПТ в составе
группировки 1; в- БМПТ с 45мм АП
Функции целераспределения [2]
могут быть заданы по степени опасности средств противника (запись для
группировки I):
где 
- значения функций
целераспределения, когда боевые средства данного типа неуязвимы для противника;
они выбираются в зависимости от конкретной ситуации. Например, если средства
г'-го типа неуязвимы для противника, они обстреливают наиболее важные объекты,
т. е.
где 
- выбранный
важный тип целей. Если тип целей не учитывается, то
Аналогичные выражения
записываются для группировки II.
Результатами моделирования
являются зависимости изменения числа боевых единиц группировок во времени в
ходе боевых действий. По кривым на рис. 2, а видно, что бой
заканчивается поражением группировки II
(штриховые линии). У победившей стороны (группировки I)
при этом сохраняется более40% танков и около 10% БМПТ. Большие по сравнению с
танками потери БМПТ объясняются тем, что группировка II,
решая задачу целераспределения, выбирает наиболее опасного для себя противника.
Для обоснования боевой
эффективности БМПТ проведем также расчет для случая, когда в группировке I
отсутствуют БМПТ, вместо них в состав группировки I
введем 200 танков. Результат моделирования приведен на рис. 2, б. Видно, что в
этом случае бой проигрывает группировка I,
при этом у противника сохраняется 83% танков и по 95% ПТРК «Тоу-2» и «Дракон».
Таким образом, боевая эффективность БМПТ в составе танковых группировок
очевидна.
Теперь рассмотрим варианты
повышения эффективности путем замены основного орудия БМПТ. Выше рассматривался
вариант БМПТ с 30-мм АП 2А42 (скорострельность 300 выстр./мин). Заменим ее на
45-мм АП с темпом стрельбы 60 выстр./мин. В этом случае существенно повышается
вероятность поражения цели с одного выстрела, однако темп стрельбы (X)
ниже
в 5 раз. Результаты моделирования боя с БМПТ с 45-мм АП представлены на рис. 2,
в. Очевидно, что боевая эффективность применения БМПТ значительно
повышается с увеличением калибра АП (группировка I
победила с сохранением более 80% танков и 75% БМПТ). Неся значительно меньший
по количеству боекомплект, машина может поражать стандартные цели меньшим
числом снарядов, имеющих в 3...4 раза большую эффективность по действию у цели.
3.1 Выводы
Для оценки боевой эффективности
БМПТ и обоснования ее системы вооружения использовалась математическая модель
боевых действий, основанная на использовании метода динамики средних,
позволяющая оценить исход боя при заданных численности сторон и значениях их
основных ТТХ.
Заключение
Боевая машина
поддержки танков) имеет мощный комплекс вооружения и надежную защиту, даже
несколько превосходящую защиту современных танков. Она предназначена, в первую
очередь, для уничтожения танкоопасных целей, таких как расчеты противотанковых
гранатометов и ракетных комплексов. Кроме того, БМПТ может бороться и с
танками, низколетящими вертолетами и самолетами, поражать долговременные
огневые сооружения.
Для оценки боевой эффективности
БМПТ и обоснования ее системы вооружения использовалась математическая модель
боевых действий, основанная на использовании метода динамики средних,
позволяющая оценить исход боя при заданных численности сторон и значениях их
основных ТТХ.
В комплекс
вооружения БМПТ входят спаренная установка 30-мм автоматических пушек 2А42,
установленный в едином блоке с ними 7,62-мм пулемет ПКТМ, два дистанционно
управляемых 30-мм автоматических гранатомета АГ-17Д и противотанковый
управляемый ракетный комплекс (ПТРК) «Корнет», имеющий четыре пусковые
установки ракет. Основное оружие - пушки 2А42 установлены сверху на
низкопрофильной башне, имеющей противоснарядное комбинированное бронирование с
элементами встроенной динамической защиты.
Список
использованных источников
1.
Строгалев
В.П., Нагапетян О.В., Гунько Д.В. Оценка эффективности боевой машины поддержки
танков на основе математических моделей боевых действий // Оборон, техника. -
2006. - № 1 - 2.
2.
Строгалев
В.П., Новиков Б.К., Толкачева И.О. Системный подход к проектированию и оценка
эффективности ракетного и ствольного оружия. - М.: Изд-во МГТУ им. Н. Э.
Баумана, 2004.
3.
Вентцель
Е.С. Теория вероятностей. - М.: Наука, 1969.
4.
Строгалев
В.П., Толкачева И.О., Чуев В.Ю. Внешнее проектирование технических систем. -
М.: Изд-во МГТУ им. Н.Э. Баумана, 1996.