Психокоррекция детско-родительских отношений в системе 'Мать-Сын'

  • Вид работы:
    Дипломная (ВКР)
  • Предмет:
    Психология
  • Язык:
    Русский
    ,
    Формат файла:
    MS Word
    393,90 kb
  • Опубликовано:
    2011-12-29
Вы можете узнать стоимость помощи в написании студенческой работы.
Помощь в написании работы, которую точно примут!

Психокоррекция детско-родительских отношений в системе 'Мать-Сын'

Министерство образования и науки Украины

Управление образования и науки СГГА

Севастопольский Городской Гуманитарный Университет

Психолого-педагогический факультет

Кафедра прикладной психологии





Дипломный проект

тема: Психокоррекция детско-родительских отношений в системе «Мать-Сын»












Севастополь

Аннотация

Цель: Изучить специфику взаимоотношений в системе мать-сын, а также, разработать программу развития отношений партнерства и сотрудничества родителя с ребенком.

Задачи дипломной работы:

1. Осуществить теоретический анализ современного состояния проблемы детско-родительских отношений в системе «мать-сын».

.Проанализировать возможность психодиагностики изучаемого явления существующими методиками, разработать необходимый диагностический инструментарий, позволяющий исследовать детско-родительские отношения в системе «мать-сын», и повести исследование.

. Разработать систему мероприятий по профилактике и коррекции детско-родительских отношений в системе «мать-сын» и оценить эффективность предлагаемой программы с помощью математической обработки.

Гипотеза: Коррекция детско-родительских отношений предполагает работу направленную на развитие эмоциональной сферы ребёнка, ориентацию родителей на изменение стиля взаимоотношений в семье, установление и развитие отношений партнерства и сотрудничества родителей с ребенком.

Методики

. Изучение родительского отношения, по методике А.Я.Варга, В.В.Столина

. Исследование отношения родителей (прежде всего, матерей) к ребёнку и семейной роли, по методике «PARI»

. Исследование оценки и основных критериев построения родительского отношения к ребёнку, по методике «Лики родительской любви»

4. Исследование особенностей внутрисемейных отношений, по методике «Рисунок семьи»

5. Исследование социальной приспособленности ребенка, особенностей его восприятия внутрисемейных отношений, выявление конфликтных зон в системе межличностных отношений, по методике «Рене Жиля»

. Исследование эмоциональных проблем и трудностей во взаимоотношениях с матерью, по методике рисунок - «Я и мама»

Аннотация к работе.

Существует большое количество взглядов, рассматривающих проблему детско-родительских отношений. Однако, все многочисленные подходы, представленные в данной работе сводятся к единой точке зрения, что семья, где ведущим типом взаимоотношений является сотрудничество, где родители общаются с детьми на равных, где каждый может обратиться к другому с вопросом или просьбой и получить помощь, обретает особое качество, становится группой высокого уровня развития - коллективом. Рассмотрение различных точек зрения и подходов дало возможность составить более полную картину о взаимоотношениях родителя и ребёнка.

Взаимоотношения между матерью и сыном являются наиболее особенными и характеризуются сильной эмоциональной привязанностью на протяжении всей жизни.

Нередко сын выбирает женщину, внешне или внутренне похожую на свою мать. Распространены случаи, когда молодая жена вынуждена бороться за своего мужа, буквально «отрывая» его от излишне опекающей матери. Случаются ситуации, когда сын всю жизнь проживает рядом с матерью, так и не женившись, или, пережив несколько браков и разводов, возвращается к матери и остается с нею на всю жизнь. Или напротив, может быть протест против власти матери, который проявляется в том, что сын старается держать мать на определенном расстоянии от своей семьи. Довольно часто при потере матери в случае ее смерти сын переживает глубочайшую депрессию.

Во всех этих примерах проявляется эмоциональная сверхвзаимозависимость матери и сына.

В основе данного феномена детско-родительских отношений между матерью и сыном лежат несколько причин (Г.А Широкова).

Первая. Мать опекает своего сына значительно сильнее, нежели дочь. От дочери она часто ждет помощи по дому, самостоятельности и независимости. Сына мать балует и старается освободить от домашней нагрузки.

Вторая причина. Не получая от мужа достаточно внимания и тепла, мать переносит свой нереализованный потенциал на ребенка. Особенно сильно это проявляется в тех случаях, когда мать воспитывает сына одна. Бессознательный запрет на любовь к дочери сильнее, нежели на любовь к сыну. Поэтому для матери сын психологически выступает во всех возможных ролях: сына, друга, брата, помощника и т.п.

Третья причина. Мать любит сына безусловной материнской любовью: и тогда, когда он совершает хорошие поступки и тогда, когда он оказывается не на высоте (в последнем случае она его жалеет) [20, с.317].

Основные трудности в отношениях матери и сына заключаются в следующем:

для матери - это признать за сыном право на свою собственную самостоятельную жизнь;

для сына - суметь вовремя отойти от матери на дистанцию взрослости и обрести самостоятельность.

Разработана программа тренинга, направлена на развитие отношений партнёрства и сотрудничества родителей и детей, с целью развития благоприятных взаимоотношений в системе «мать-сын».. Тренинг включает в себя 11 занятий по 1,5 часа и направлена на:

развитие эмоциональной сферы ребенка;

изменение стиля взаимоотношений в семье;

устранение дезадаптивных форм поведения.

В программу тренинговых занятий включены: ролевые игры, эмоционально - телесные упражнения, упражнения направленные на развитие саморегуляции.

Краткие выводы по работе: 1. В результате теоретического изучения проблемы детско-родительских отношений, а именно специфики взаимоотношений в системе «мать-сын», можно сказать, что данные отношения являются самыми сложными из всех детско-родительских отношений и эмоционально насыщенными.3. Для диагностики специфики взаимоотношений в системе мать-сын, была отобрана батарея диагностических методик, направленных на исследование эмоциональной сферы ребёнка, его социальной приспособленности, его восприятия внутрисемейных отношений и отношения родителя (матери) к разным сторонам семейной жизни, разнообразных чувств по отношению к ребенку, поведенческих стереотипов. 4. Исследование детско-родительских отношений показало, что в основном проблемы во взаимоотношениях между матерью и ребёнком связаны с тем, что отношение матерей к семейной роли и к ребёнку характеризуется излишней концентрацией на ребёнке и сверхавторитетом родителей. 5. Опираясь на результаты диагностического исследования, нами была предложена программа коррекции детско-родительских отношений, направленных на развитие эмоциональной сферы ребёнка, ориентацию родителей на изменение стиля взаимоотношений в семье, установлении и развитие отношений партнерства и сотрудничества родителей с ребенком.

Введение

Детско-родительские отношения разными психологами описываются весьма различными понятиями и терминами, которые определяются исходными теоретическими позициями авторов.

Проблематика детско-родительских отношений остается неизменно острой на протяжении всего развития психологической науки и практики. Взаимодействие ребенка с родителем является первым опытом взаимодействия с окружающим миром. Этот опыт закрепляется и формирует определенные модели поведения с другими людьми, которые передаются из поколения в поколение. В каждом обществе складывается определенная культура взаимоотношений и взаимодействия между родителями и детьми, возникают социальные стереотипы, определенные установки и взгляды на воспитание в семье.

Вопросы, посвященные проблеме детско-родительских отношений, рассматривались многими ученными. В отечественной психологии исследованиями в этой области занимались ученые Божович Л.И., Выготский Л.С., Дубровина И.В., Лисина М.И., Леонтьев А.Н., В.С.Мухина, Хоментаускас Г.Т., Эльконин Д.Б и многие другие.

Божович Л.И. в работе «Этапы формирования личности в онтогенезе» установила, что в процессе онтогенетического развития в психике ребенка возникают качественно новые образования. Эти психологические образования как некий целостный механизм, определяют поведение и деятельность человека, его взаимоотношения с людьми, его отношение к окружающему и к самому себе. Выготский Л.С., Лисина М.И., Эльконин Д.Б разрабатывая проблему периодизации психического развития показали, что с возрастом изменяется мировоззрение ребенка, тип его ведущей деятельности, отношения со взрослыми и сверстниками, и это влечет за собой и изменения в отношение родителей к нему. Дубровина И.В. в работе «Семья и социализация ребенка» рассматривает семью как главный источник социализации.    Также огромный опыт работы в сфере детско - родительских отношений накоплен клиническими психологами и психотерапевтами (А.Я.Варга, А.И.Захаров, А.С.Спиваковская, Э.Г.Эйдемиллер).

Детско-родительские отношения являются двусторонними. На каждой из сторон, как ребенка, так и родителя, определяется развитие общения, генезис и сотрудничества ребенка и родителей. Но, на каждой из возрастных ступеней роль обоих участников претерпевают изменения. Эти изменения могут быть как значительными, так и малозначительными. Все это зависит от семьи, а именно в какой среде воспитывался ребенок, какие отношения у него складывались с родителями.

Детско-родительские отношения в системе «мать-сын», характеризуются эмоциональной привязанностью друг к другу на протяжении всей их совместной жизни и даже после того, как сын женится. Именно эта система, матери и сына из всех детско-родительских отношений, является порой самой сложной и эмоционально насыщенной.

Актуальность настоящей работы обусловлена, с одной стороны, большим интересом к теме «Детско-родительские отношения в системе «мать-сын» в современной науке, с другой стороны, ее недостаточной разработанностью. Рассмотрение вопросов связанных с данной тематикой носит как теоретическую, так и практическую значимость.

Объект: Взаимоотношения в системе «мать-сын».

Предмет: Психокоррекция детско-родительских отношений в системе «мать-сын».

Цель: Изучить специфику взаимоотношений в системе мать-сын, а также, разработать программу развития отношений партнерства и сотрудничества родителя с ребенком. Задачи дипломной работы:

1. Осуществить теоретический анализ современного состояния проблемы детско-родительских отношений в системе «мать-сын».

.Проанализировать возможность психодиагностики изучаемого явления существующими методиками, разработать необходимый диагностический инструментарий, позволяющий исследовать детско-родительские отношения в системе «мать-сын», и повести исследование.

. Разработать систему мероприятий по профилактике и коррекции детско-родительских отношений в системе «мать-сын» и оценить эффективность предлагаемой программы с помощью математической обработки.

Гипотеза исследования: коррекция детско-родительских отношений предполагает работу, направленную на развитие эмоциональной сферы ребёнка, ориентацию родителей на изменение стиля взаимоотношений в семье, установление и развитие отношений партнерства и сотрудничества родителей с ребенком.

Методики:

. Изучение родительского отношения, по методике А.Я.Варга, В.В.Столина

. Исследование отношения родителей (прежде всего, матерей) к ребёнку и семейной роли, по методике «PARI»

3. Исследование оценки и основных критериев построения родительского отношения к ребёнку, по методике «Лики родительской любви»4. Исследование особенностей внутрисемейных отношений, по методике «Рисунок семьи»

5. Исследование социальной приспособленности ребенка, особенностей его восприятия внутрисемейных отношений, выявление конфликтных зон в системе межличностных отношений, по методике «Рене Жиля»

. Исследование эмоциональных проблем и трудностей во взаимоотношениях с матерью, по методике рисунок - «я и мама»

В экспериментальном исследовании приняли участие 20 - матерей возрастом от 25 до 32 лет и 20 - сыновей возрастом от 5,5 до 6,5 лет, исследование проходило в г.Севастополе в детском дошкольном учреждении №3.

Глава I. Теоретический анализ изучения детско-родительских отношений в психологии

1.1 Психологические особенности детско-родительских отношений

Проблематика детско-родительских отношений остается неизменно острой на протяжении всего развития психологической науки и практики. Взаимодействие ребенка с родителем является первым опытом взаимодействия с окружающим миром. Этот опыт закрепляется и формирует определенные модели поведения с другими людьми, которые передаются из поколения в поколение. В каждом обществе складывается определенная культура взаимоотношений и взаимодействия между родителями и детьми, возникают социальные стереотипы, определенные установки и взгляды на воспитание в семье. Родительские представления о детях, зафиксированные в культурных ценностях, важны для понимания того, как семья формирует социо-культурное окружение, в котором развивается ребёнок.

В отечественной психологии исследованиями в этой области занимались ученые Божович Л.И., Выготский Л.С., Дубровина И.В., Лисина М.И., Леонтьев А.Н., В.С.Мухина, Хоментаускас Г.Т., Эльконин Д.Б и многие другие.

Божович Л.И. в работе «Этапы формирования личности в онтогенезе» установила, что в процессе онтогенетического развития в психике ребенка возникают качественно новые образования. Эти психологические образования как некий целостный механизм, определяют поведение и деятельность человека, его взаимоотношения с людьми, его отношение к окружающему и к самому себе. Выготский Л.С., Лисина М.И., Эльконин Д.Б разрабатывая проблему периодизации психического развития показали, что с возрастом изменяется мировоззрение ребенка, тип его ведущей деятельности, отношения со взрослыми и сверстниками, и это влечет за собой и изменения в отношение родителей к нему. Дубровина И.В. в работе Семья и социализация ребенка рассматривает семью как главный источник социализации [9, с.95].

Огромный опыт работы в сфере детско-родительских отношений накоплен клиническими психологами и психотерапевтами (А.Я.Варга, А.П. Захаров, А.С. Спиваковская, Э.Г. Эйдемиллер).

Структура отношений, как отмечает Г.А. Широкова с которой ребенок впервые сталкивается в своем опыте, - это структура семьи, где ребенок занимает определенное место. Позиции во внутрисемейной структуре находятся в отношении дополнительности, у каждой позиции есть своя особая функция, а в новой, незнакомой ситуации ребёнок, производит процедуру переноса или замещения [9, с.102].

Теоретически это положение подтверждается идеей Д.Б. Эльконина о том, что замещение впервые возникает при необходимости дополнить привычную ситуацию недостающим в данный момент объектом. На фоне выраженной привязанности и любви к матери одновременно происходит и процесс отождествления себя с родителями того же пола. Поскольку родители состоят друг с другом в ролевых отношениях мужа и жены, то понимание этого создает у ребенка потребность в подражании [9, с.103] .

Психологи и педагоги рассматривают благополучие ребенка в семье, как одну из важнейших функций семьи - создание условий для воспитания здоровой личности. Для этого необходимо учитывать, что ребенок сам осмысливает семью и себя в ней, определяет свое поведение, отношение к семье и к себе самому. Дети вследствие своего ограниченного опыта, своеобразного мышления иначе воспринимают и оценивают происходящее вокруг. Понять их поведение, эмоции, переживания и помочь им можно, лишь взглянув на мир их глазами. На детей влияют не только преднамеренные и целенаправленные воспитательные воздействия, но в равной или даже большей степени все особенности поведения родителей.

Функция социализации по-прежнему сохраняет свое исключительное значение. Семья создает для ребенка определенные модели социального поведения. Оценивая то, что происходит в обществе, ребенок опирается, прежде всего, на опыт своего общения с близкими родственниками. В дальнейшем он будет организовывать свое взаимодействие с другими людьми, в значительной степени используя модели семейных коммуникаций. Первичная социализация детей в семье, особенно в сфере интимности и доверительности детско-родительских отношений, не имеет аналогов в других типах неформальных групп. Если бы даже система образования была совершенной, она не в состоянии обеспечить ребенка той особой родительской заботой и любовью, которые присутствуют в семье.

К 6 годам завершается для современного ребенка период дошкольного детства. Влияние семьи на дошкольника проявляется в заложенных необходимых умениях и навыках, человеческих начал в формирующейся личности ребенка. Начало активного этапа воспитания в семье приходится на возраст ребенка, составляющий в среднем 5-7 лет. Этот возраст ребенка благоприятен для зарисовки общего контура готовности самого родителя осуществлять различные виды воспитания.

В системе «ребенок-родитель», основными показателями в оценке воспитательного процесса в семье могут быть в дошкольном возрасте для ребенка (3 - 7 лет): характер проявления первых признаков нравственных качеств; общее физическое развитие; способность к игре; уровень внушаемости; тенденции развития половой идентичности; характер проявления доминирующих способностей; способность к подражанию; предрасположенности к игре; реакции на принятые нормы поведения; характер проявления детской ответственности и т.п.

Показателем в оценке родителя: мотивация воспитания; уровень родительских знания об особенностях этого возрастного периода; умение формировать целевые и смысловые установки; понимание особенностей различных видов воспитания; характер и силу собственных психогенных отклонений для этого периода и т. п. Таким образом, доступность родителей к оценке своих воспитательных возможностей предоставляет им широкие условия их реализации и коррекции, а значит, устранения возникающих проблем в жизнедеятельности семьи.

В исследовании Е.Т. Соколовой основные стили детско-родительских отношений были выделены на основании анализа взаимодействия матери и ребенка при совместном решении задач: сотрудничество псевдосотрудничество; изоляция; соперничество.

Сотрудничество предполагает тип отношений, в которых потребности ребенка учитываются, ему дают право «на автономию». Помощь оказывается в сложных ситуациях, требующих участия взрослого. Варианты решения той или иной возникшей в семье проблемной ситуации обсуждаются вместе с ребенком, принимается во внимание его мнение.

Псевдосотрудничество может осуществляться в разных вариантах, таких, как доминирование взрослого, доминирование ребенка. Для псевдосотрудничества характерно формальное взаимодействие, сопровождающееся откровенной лестью. Псевдосовместные решения достигаются за счет поспешного согласия одного из партнеров, испытывающего страх перед возможной агрессией другого.

При изоляции полностью отсутствует кооперация и объединение усилий, инициативы друг друга отклоняются и игнорируются, участники взаимодействия не слышат и не чувствуют друг друга.

Для стиля соперничества характерна конкуренция при отстаивании собственной инициативы и подавлении инициативы партнера [11, с.64].

Е.Т. Соколова подчеркивает, что лишь при сотрудничестве, когда при выработке совместного решения принимаются как предложения взрослого, так и самого ребенка, отсутствует игнорирование партнера. Поэтому данный тип взаимодействия побуждает ребенка к творческой активности, формирует готовность к взаимопринятию, дает ощущение психологической безопасности [11, с.66].

Одним из главных вопросов при рассмотрении детско-родительских отношений в семье является понятие «роли». Роль ребенка в системе семейных отношений может быть различной: «роль средства», с помощью которого один из родителей может усилить свою позицию в семье; «роль объекта» для социальной презентации - ребенок может быть элементом, который связывает семью, не давая ей разрушиться.

Положение ребенка в семье может быть охарактеризовано также и той ролью, которую ему «предписано играть» родителями во внутрисемейных отношениях. От характера, места и функционального наполнения роли во многом зависит формирование характера ребенка. В связи с этим, можно выделить следующие роли.

«Кумир» («мамино сокровище», «папино сокровище»). Формируемые черты характера: эгоцентризм, инфантилизм, зависимость, комплекс превосходства.

«Козел отпущения». Ребенок используется членами семьи для выброса негативных эмоций. У такого ребенка изначально возникает комплекс неполноценности, сочетающийся с чувством ненависти к миру.

«Делегат». Через данного ребенка семья контактирует с внешним миром, предъявляя себя социуму как успешную социальную группу. От такого ребенка родители часто ожидают воплощения своих несбывшихся надежд.

А. Болдуин выделил два стиля родительского воспитания - демократический и контролирующий. Под стилем воспитания понимается не только определенная стратегия воспитания, а и включенность детей в обсуждение семейных проблем, и успешность ребенка при готовности родителей всегда прийти на помощь, стремление к снижению субъективности в видении ребенка.

Контролирующий предполагает существенные ограничения поведения ребенка при отсутствии разногласий между родителями и детьми по поводу дисциплинарных мер, четкое понимание ребенком смысла ограничений. Требования родителей могут быть достаточно жесткими, но они предъявляются ребенку постоянно и последовательно и признаются ребенком как справедливые и обоснованные.

Демократический опирается на потребности ребёнка в положительных эмоциях и притязании на признание, при доброжелательности и любви к ребёнку родители используют внушение и убеждение. Данный стиль воздействия наиболее эффективный для воспитания малыша [12, с.215].

В частности, рядом авторов подчеркивается, что нарушение системы семейного воспитания, дисгармония отношений «мать-дитя» является основным патогенетическим фактором, обусловливающим возникновение неврозов у детей. Так, например, А.Е. Личко и Э.Г. Эйдемиллер выделили типы семейного воспитания детей с акцентуированными чертами характера и с психопатиями.

Гипопротекция (гипоопека) характеризуется отсутствием необходимой заботы о ребенке. При таком типе отношений ребенок практически предоставлен самому себе, чувствуя себя брошенным.

Доминирующая гиперпротекция предполагает окружение ребенка излишней, навязчивой заботой, полностью блокирующей его самостоятельность и инициативу. Гиперпротекция может проявляться в виде доминирования родителя над ребенком, проявляющемся в игнорировании его реальных потребностей и жестком контроле над поведением ребенка.

Эмоциональное отвержение проявляется в неприятии ребенка во всех его проявлениях, например, когда ребенок часто слышит от родителей грубые фразы, и скрыто - в виде издевок, иронии, высмеивания [12, с.226].

Неправильное воспитание может рассматриваться как фактор, усиливающий потенциальные характерологические расстройства ребенка. В.И. Гарбузов, отмечая решающую роль воспитательных воздействий в формировании характерологических особенностей ребенка, выделил три типа неправильного воспитания:

. Воспитание по типу А (неприятие, эмоциональное отвержение) - неприятие индивидуальных особеннностей ребенка, сочетающееся с жестким контролем, с императивным навязыванием ему единственного правильного типа поведения. Тип воспитания А может сочетаться с недостатком контроля, полным попустительством.

. Воспитание по типу В (гиперсоциализирующее) выражается в тревожно-мнительной концепции родителей о состоянии здоровья ребенка, его социальном статусе среди товарищей, и особенно в школе, ожидании успехов в учебе и будущей профессиональной деятельности.

. Воспитание по типу С (эгоцентрическое) - культивирование внимания всех членов семьи на ребенке.

Немалый интерес представляют работы, в которых воспитание и детско-родительские отношения так или иначе связаны с анализом семейной структуры. Обратимся к исследованию Э. Арутюнянц, по ее мнению, в традиционной семье воспитывается уважение к авторитету старших; педагогическое воздействие осуществляется сверху вниз. Основным требованием является подчинение. Итогом социализации ребенка в такой семье является способность легко вписаться в «вертикально-организованную» общественную структуру. Дети из этих семей легко усваивают традиционные нормы, но испытывают трудности в формировании собственных семей. Они не инициативны, не гибки в общении, действуют, исходя из представления о должном [12, с.227].

Более изучен вопрос о стилях детско-родительских отношений среди одарённых детей. Существуют разнообразные основания для классификации отношений между родителями и детьми. В отношении стилей взаимоотношений, свойственных семьям, где воспитываются одаренные дети, выделено два направления исследований. В одном случае рассматривается стиль предъявления требований к детям: императивный и инструктивный (Р. Хесс, В. Шипман). Ученые единодушны в том, что стили, базирующиеся на жестком контроле, силовом давлении и других формах прямого авторитарного вмешательства, не дают возможности для развития одаренной личности. Р. Хесс и В. Шипман разделили родительские стили взаимодействия на императивный и инструктивный. Для императивного стиля типичны однозначные команды, вроде: «Делай, как я сказал», «Сиди спокойно» и т. д. Родители ждут от ребенка беспрекословного соблюдения их указаний. Их отношения основываются на авторитете взрослого, а не на сотрудничестве и уважении ребенка [16, с.172].

Установлено, что императивный стиль развивает в ребенке пассивную податливость наряду с зависимостью и конформизмом. Какое-то время он обеспечивает желаемое поведение, но вызывает пассивное сопротивление. Ребенок слушает команды, но выполняют их неохотно и медленно. Дети не вступают в открытый конфликт, но затягивают выполнение действия, стремятся найти любые отговорки.

Инструктивный стиль содержит больше информации, а требования обосновываются. Родители беседуют с ребенком «на равных», доказывают, что их требования закономерны и разумны. Ребенок видится им равноправным партнером. В противоположность императивному инструктивный стиль воспитывает инициативу и твердость. Именно такой стиль свойственен большинству родителей, чьи дети были признаны умственно одаренными. Он подталкивает детей к самостоятельному поиску и принятию решения, дает возможность выбора и творческого подхода.

Интересным представляется взгляд американского психоаналитика Дж. Боулби на характерные особенности патогенного родительского поведения. Он считает, что наиболее болезненными для ребенка являются следующие ситуации: когда родители не удовлетворяют потребности ребенка в любви и полностью отвергают его; когда ребенок является в семье средством разрешения конфликтов между супругами; когда родители используют в качестве дисциплинарной меры угрозу «разлюбить» ребенка или уйти из семьи; когда родители открыто или косвенно заявляют ребенку о том, что он является причиной их неприятностей; когда в окружении ребенка отсутствует человек, способный понять переживания ребенка.

В одном из своих исследований А.С. Спиваковская выделила несколько типов неблагополучных семей, использующих необдуманные воспитательные воздействия.

«Семья - санаторий». Мелочная опека, жесткий контроль и чрезмерная защита от мнимых опасностей. При повышенном контроле и опеке у детей усиливаются реакции протеста, повышается агрессивность и появляется желание решительного изменения ситуации.

«Семья - крепость». Родители стараются поступать подчеркнуто правильно, излишне принципиально. Это ведет к повышенной неуверенности ребенка в себе, безынициативности.

«Семья - третий лишний». В такой семье эмоционально преувеличенно значимыми являются супружеские отношения, а ребенку родители склонны внушать чувство неполноценности, фиксируя внимание на недостатках и несовершенствах, что порождает у него чувство неуверенности в себе, мучительные переживания собственной неполноценности при усиленной зависимости, подчиненности родителям. Такие дети с трудом переносят разлуку с родными и с трудом находят контакт с окружающими.

Именно в таких семьях получил распространение синдром опасного обращения с детьми (СООД), включающего в себя диапазон от физического насилия до недостаточно продуманных педагогических воздействий. Другими словами, СООД - это «поведение родителей, по отношению к ребенку сопровождающееся нанесением физической, психической и нравственной травмы». Вышеперечисленные проблемы часто усугубляются при посещении ребенком детского сада и становятся предметом внимания педагогов и психологов [16, с.176].

Помимо типа отношения родителей и типа воспитания, формирование личности ребенка в семье во многом определяется родительскими директивами. Они могут являться источником многих эмоциональных проблем ребенка, как в настоящем, так и будущем. Директива как косвенное родительское обучение (программирование) впервые было описано американскими специалистами по трансактному анализу Робертом и Мэри Гоулдингами.

Под директивой понимают скрытое, косвенное приказание, не явно сформулированное словами или обозначенное действиями родителя, за неисполнение которого ребенок не будет наказан явно, но будет наказан косвенно (чувством вины перед родителями). При этом истинных причин своей вины ребенок осознать не может, они скрыты. Только исполняя директивы, ребенок чувствует себя «хорошим».

Директива - это своеобразное «скрытое послание» родителя ребенку, поучение. Сами родители могут не осознавать до конца глубинное содержание, которое заключено в их директиве. Можно выделить ряд директив, негативно влияющих на формирование личности ребенка. Приведенные ниже виды родительских директив и их содержание раскрыты и проинтерпретированы отечественными психологами Б. Лосевой и А. Луньковым. В названии директивы отражен скрытый глубинный смысл послания ребенку.

«Не живи». В бытовой речи это послание может передаваться частыми причитаниями и высказываниями следующего типа: «Глаза мои на тебя бы не смотрели», «Чтоб ты сквозь землю провалился». Расширенный вариант директивы проявляется в «воспитательных» беседах родителей на следующие темы: «Сколько бед и сложностей принес ребенок своим появлением на свет», «Как тяжелы и ужасны были роды», «Воспоминания о желании прервать беременность». Поскольку в каждой директиве есть скрытый смысл, то смысл этой директивы состоит в желании управлять ребенком через возбуждение в нем постоянного чувства вины. Ребенок может бессознательно принять решение, что он источник всех возможных бед в жизни родителей, что он их вечный должник. С годами это иррациональное чувство возрастает. Негативное влияние этой директивы состоит в том, что невротическая вина разрушительна. Семья как бы перекладывает на ребенка ответственность за все жизненные проблемы. В результате у ребенка возникают серьезные эмоциональные проблемы. Он может выполнять эту директиву следующим способом - демонстрировать хулиганское, провокационное поведение вне дома. Ребенок специально нарывается на наказание для уменьшения тотального чувства вины. Реальное наказание служит средством для разрядки эмоционального напряжения ребенка, так как ему проще чувствовать себя виноватым перед родителями за конкретное событие, а не за факт собственного рождения. Более «мягким» вариантом этой директивы может быть следующее послание: «Не живи своей жизнью, а живи моей».

«Не будь ребенком». В бытовой речи это может проявляться, например, следующим образом: «Тебе уже три года, а ты ведешь себя как маленький», «Скорее бы ты вырос» и т. п. Родители часто употребляют высказывания, обесценивающие любые проявления детскости, подчеркивая желательность взрослого поведения ребенка. Дети, принимающие данную директиву, в будущем испытывают трудности в общении с собственными детьми, так как не способны к раскованному, игровому поведению. Скрытый смысл такой директивы связан с несформированной готовностью родителей принять на себя ответственность за воспитание ребенка. Это бывает характерно для молодых инфантильных родителей.

«Нерасти». Такая директива часто обращена к младшим или единственным детям в семье. В бытовом языке она проявляется в следующих высказываниях: «Не торопись взрослеть», «Ты еще мала, чтобы краситься». Подчеркивается прелесть раннего детства. Такую директиву дают родители, которые панически боятся сексуальной зрелости своих детей (это может быть и боязнь «пустого гнезда», в которое неизбежно превращается семья при уходе взрослых детей). Скрытый смысл этой директивы состоит в следующем: «Только в случае, если ты останешься маленьким, ты сможешь получать мою поддержку». Во взрослой жизни эти дети затрудняются создавать собственную семью, а если и создают ее, то живут вместе с родителями. Такая директива, безусловно принятая ребенком, может влиять и на формирование его физического облика. Ребенок начинает отставать в росте от сверстников, демонстрируя поведение, не соответствующее его возрасту.

«Не думай». В обыденной жизни эта директива проявляется в следующих фразах, обращенных к ребенку: «Не бери в голову», «Не умничай», «Не рассуждай, а делай». В данной директиве содержится запрет на рассуждения, на интеллектуальную деятельность. Дети, выполняющие такую директиву, во взрослом состоянии либо начинают чувствовать «пустоту в голове» при решении проблем, либо у них начинает болеть голова, либо появляется стремление «размыть» эти проблемы при помощи развлечений, алкоголя и наркотиков. Могут встречаться следующие варианты данной директивы: «Не думай о чем-то конкретном». В этом случае родители стремятся оградить ребенка от травмирующей ситуации. Поэтому в будущем человек обучается думать о чем угодно, только не о своей проблеме. Скрытый смысл такой директивы состоит в том, что родители сами боятся решать какие-то конкретные проблемы и передают детям свой страх. Еще одной разновидностью директивы: «Не думай» является следующее послание родителей «Нечего рассуждать, дави на чувство».

Чаще всего этот родительский «посыл» обращен к девочке. Приняв его, она начинает чувствовать себя виноватой, если решает технические задачи, принимает управленческие решения, занимается политикой и т. п. У таких женщин существует страх потерять женственность в ситуациях, требующих интеллектуального напряжения.

«Не чувствуй». Эта директива предполагает запрет на проявление эмоций в целом либо запрет на какие-либо конкретные чувства (например, агрессию, страх). Заблокированные эмоции не исчезают, а проецируются на объекты, которые доступны. Взрослые, которые получали в детстве такую директиву, испытывают затруднения в проявлении чувств по отношению к сексуальному партнеру в семейной жизни. Вариантом данной директивы может быть родительский запрет на «физические ощущения». Ребенка как бы приучают не доверять своим ощущениям, сигналам тела. (Например, родители приучают его игнорировать свои пищевые потребности, заставляя, есть не тогда, когда хочется, а в соответствии с внешними режимными правилами.) Во взрослой жизни такие люди часто страдают психосоматическими заболеваниями (например, ожирением, так как утрачивают контакт с чувством насыщения).

«Не достигай успеха». Такая директива передается в ходе воспитательных рассказов по типу: «Сами мы университетов не кончали», «У тебя ничего не получится». Родителя высмеивают планы и идеи ребенка. В итоге у него снижается самооценка («У меня ничего не получится»). Скрытый смысл директивы связан с наличием у родителей бессознательной зависти к успехам детей. Во взрослой жизни эти дети могут стать трудолюбивыми и старательными людьми, но их будто преследует злой рок (например, при завершении ответственного проекта вдруг возникает некое обстоятельство или причина, разрушающие успешное начинание). «Честно» выполняя полученную директиву, такой человек, пугаясь успеха, бессознательно «находит» многочисленные способы навредить делу, опаздывает на важную встречу, случайно проливает чернила на чертежи, попадает в больницу и т.п.

«Не будь лидером». Получая такую директиву, ребенок часто слышит подобные слова: «не высовывайся», «не выделяйся», «будь как все». Родители обеспокоены чувством зависти других людей по отношению к их ребенку. Исходя из таких побуждений, они и охраняют детей. Став взрослыми, эти дети всегда ходят в подчинении, отказываются от карьеры, не стремятся доминировать в семье.

«Не принадлежи никому, кроме меня». Такую директиву передают родители, имеющие проблемы в общении. Они видят в ребенке единственного друга. Родители всячески подчеркивают исключительность их взаимоотношений, непохожесть их семьи на другие семьи. С возрастом самооценка такого ребенка может быть адекватной, но он в любой группе будет чувствовать себя одиночкой, испытывая большие затруднения в ситуациях, предполагающих слияние с группой. В результате человек везде чувствует себя «не как все», кроме как в родительской семье.

«Не будь близким». Скрытый смысл данной директивы, передаваемой матерью ребенку, состоит в следующем посыле: «Любая близость опасна, если это близость не со мной». В отличие от предыдущей директивы, она касается запрета на контакт с близким человеком, а не с группой. Во взрослой жизни такой человек будет испытывать трудности в сексуальной сфере, бояться близости с другим человеком.

«Не делай». Взрослый передает ребенку послание, смысл которого сводится к следующему: «Ничего не делай сам - это опасно. За тебя все буду делать я». При такой директиве активность и инициатива ребенка практически полностью блокируются. Став взрослым, человек начинает испытывать мучительные трудности в начале каждого дела. Он постоянно откладывает важные дела на «потом». Фактически люди не догадываются, что выполняют таким образам родительскую директиву.

«Не будь собой». Такая директива может, например, базироваться на непринятии родителями пола ребенка. В высказываниях, обращенных к ребенку, и способах общения с ним, подчеркивается значимость черт, которые не свойственны этому полу. Поскольку соответствующие его полу черты отрицаются, ребенок начинает вести себя в соответствии с ожиданиями, чтобы получить родительскую любовь. В итоге у него могут быть проблемы с формированием половой идентичности, а также трудности в контактах с противоположным полом. Данная директива может проявляться в виде указания на то, что ребенок должен быть похож на какого-то другого. Например: «Твой друг это может, а ты - нет, делай как он». Скрытый смысл директивы состоит в следующем: родители хотят манипулировать ребенком, заставляя его стремиться к недостижимому идеалу. Став взрослым, такой человек постоянно собой недоволен и считает это недовольство моральной добродетелью, а также может испытывать зависть по отношению к другим.

«Не чувствуй себя хорошо». В этой директиве передается запрет на хорошее здоровье. Мать может говорить другим в присутствии ребенка: «Он у меня хоть и слабенький, но сделал...». Ребенок приучает себя к мысли, что болезнь привлекает к себе внимание, плохое самочувствие повышает ценность самого действия, то есть болезнь добавляет уважение и вызывает большее одобрение. Таким образом, ребенок в будущем получает разрешение на то, чтобы иметь выгоды от своего заболевания. Поэтому в будущем этот ребенок либо уходит в болезнь, чтобы получать внимание от окружающих, либо симулирует болезнь для манипулирования другими людьми. Оставаясь здоровым, такой человек будет страдать ипохондрией [16, с.208].

Вероятнее всего, когда-то эти директивы имели положительное назначение, являясь концентрированным опытом выживания нескольких поколений семьи в реальных исторических условиях. Историческая ситуация изменилась, но директивы как некое инертное знание все еще передаются следующему поколению.

Таким образом, можно отметить, что существует большое количество взглядов, рассматривающих проблему детско-родительских отношений. Однако, все многочисленные подходы, представленные в данной работе сводятся к единой точке зрения, что семья, где ведущим типом взаимоотношений является сотрудничество, где родители общаются с детьми на равных, где каждый может обратиться к другому с вопросом или просьбой и получить помощь, обретает особое качество, становится группой высокого уровня развития - коллективом. Рассмотрение различных точек зрения и подходов дало возможность составить более полную картину о взаимоотношениях родителя и ребёнка.

1.2 Специфика взаимоотношений в системе «мать-сын»

Взаимоотношения между матерью и сыном являются наиболее особенными и характеризуются сильной эмоциональной привязанностью на протяжении всей жизни.

Нередко сын выбирает женщину, внешне или внутренне похожую на свою мать. Распространены случаи, когда молодая жена вынуждена бороться за своего мужа, буквально «отрывая» его от излишне опекающей матери. Случаются ситуации, когда сын всю жизнь проживает рядом с матерью, так и не женившись, или, пережив несколько браков и разводов, возвращается к матери и остается с нею на всю жизнь. Или напротив, может быть протест против власти матери, который проявляется в том, что сын старается держать мать на определенном расстоянии от своей семьи. Довольно часто при потере матери в случае ее смерти сын переживает глубочайшую депрессию.

Во всех этих примерах проявляется эмоциональная сверхвзаимозависимость матери и сына.

В основе данного феномена детско-родительских отношений между матерью и сыном лежат несколько причин (Г.А Широкова).

Первая. Мать опекает своего сына значительно сильнее, нежели дочь. От дочери она часто ждет помощи по дому, самостоятельности и независимости. Сына мать балует и старается освободить от домашней нагрузки.

Вторая причина. Не получая от мужа достаточно внимания и тепла, мать переносит свой нереализованный потенциал на ребенка. Особенно сильно это проявляется в тех случаях, когда мать воспитывает сына одна. Бессознательный запрет на любовь к дочери сильнее, нежели на любовь к сыну. Поэтому для матери сын психологически выступает во всех возможных ролях: сына, друга, брата, помощника и т.п.

Третья причина. Мать любит сына безусловной материнской любовью: и тогда, когда он совершает хорошие поступки и тогда, когда он оказывается не на высоте (в последнем случае она его жалеет) [20, с.317].

Основные трудности в отношениях матери и сына заключаются в следующем:

для матери - это признать за сыном право на свою собственную самостоятельную жизнь;

для сына - суметь вовремя отойти от матери на дистанцию взрослости и обрести самостоятельность.

Последствия, которые могут возникнуть у сына, если взросление не состоялось:

Мужчина испытывает внутреннюю неуверенность в признании собственных мужских качеств (нарушение в области половой идентификации). Такой молодой человек все время будет колебаться между мягкостью (наследство от матери) и сверхжесткостью (желанием стать мужчиной и незнанием, как им быть).

Такое противоречивое состояние мужчины накладывает особый отпечаток на его отношения с женой. Реально он ищет у нее поддержки, защиты и материнского отношения, но требования, которые он проговаривает, сводятся к тому, чтобы она признала в нем главенствующую роль мужчины в семье. Поэтому женщина вынуждена реализовывать параллельно две роли. Реально она тянет семью (принимает решения, зарабатывает, заботится, несет основное бремя домашней нагрузки) и является в семье лидером. Но при этом она вынуждена искусственно играть роль подчиненной, подстраивающейся. Другими словами, реально для нее муж - как сын, но фактически в своей жизни она демонстрирует, что он - муж.

Мужчина, усвоивший в жизни только лишь одну роль сына, часто не может стать мужем - ведущим лидером, защитником, «добытчиком».

Довольно часто мужчина, являющийся в душе сыном, не может стать полноценным отцом для своего ребенка. По отношению к своему ребенку он проявляет сыновье отношение: сам ждет понимания, помощи и поддержки. С таким отцом-сыном дочь может быстро повзрослеть, поскольку она реализует с ним материнскую позицию. А сын, напротив, может стать слабым и инфантильным.

Если между сыном и матерью вовремя не возникла необходимая дистанция в отношениях, сын испытывает трудности в налаживании своей личной жизни. Он мечется между матерью и любимой женщиной и не может окончательно решить, кто ему из двух женщин ближе и дороже. К матери он испытывает чувство благодарности за то, что она его воспитала, пополам с чувством вины, что с женитьбой ему приходится от нее уходить. К жене возникают тоже противоречивые чувства: сознательное или неосознаваемое сравнение ее с матерью и желание выстроить свою собственную жизнь с любимой женщиной, в которой бы мать не занимала лидирующей роли.

Если сын эмоционально зависим от матери, довольно часто она разрушает его семью и в результате одинокая и несчастливая мать делает таким же одиноким и несчастливым своего сына. И так двое одиноких людей живут вместе в одном доме: стареющая мать и разочарованный сын.

Итак, во взаимоотношениях матери и сына прослеживается такая закономерность: для матери, которая не смогла вовремя увидеть в сыне взрослого человека и наладить свою, отдельную от него жизнь, он - всегда маленький мальчик, несмотря на то, что ему 30, 40, 50 или более лет. Она постоянно боится за него и всегда воспитывает его. И как следствие этого, для сына неумение отойти от матери на «взрослую дистанцию» и возврат к ней после неудач в личной жизни это всегда - психологическое снижение, личностный регресс, переход из роли взрослого в роль ребенка, отказ от будущего в пользу прошлого.

Для благополучного воспитания мальчика, необходимо учитывать его личностные особенности. Семейное воспитание мальчиков, имеет много общего с воспитанием девочек, но тем не менее обладает своими специфическими чертами, которые непосредственно обусловлены физическими и психологическими особенностями представителей мужского пола.

Представители мужского пола обладают большей физической силой по сравнению с женщинами, но уступают им в выносливости. Мальчики более подвижны, раскованны, менее терпеливы и дисциплинированны, им меньше свойственны прилежание и усердие. Мальчиков обычно интересуют самые разнообразные вопросы и проблемы, порой далеко выходящие за рамки окружающей действительности (дальние страны, загадочные явления, необыкновенные происшествия и т. п.). Они предпочитают точные науки, увлекаются техникой, физкультурой и спортом, любят подвижные игры, многие охотно занимаются физическим трудом, более склонны к преобразующей деятельности. Вместе с тем они довольно часто менее охотно занимаются самообслуживанием, нередко проявляют беспомощность в простых житейских делах, у них чаще случаются всякие травмы. В силу половых особенностей мальчиков воспитывать их несколько сложнее. Успеваемость в школе у них ниже по сравнению с успеваемостью девочек, они менее самокритичны; в среднем школьном возрасте среди них в результате упущений в воспитании чаще появляются «трудные» подростки, которым свойственны вредные привычки (курение, употребление алкоголя, токсикомания, сквернословие и др.), а также правонарушения (хулиганство, воровство). Под влиянием дурного примера взрослых у некоторых мальчиков формируется ложное чувство превосходства перед девочками, что отрицательно сказывается на их взаимоотношениях, а также в дальнейшем и на супружеской жизни.

Как вообще любому ребенку, мальчику для его нормального развития необходимо широкое и содержательное общение как с матерью, так и с отцом, доброе влияние обоих родителей. Хотя мать всегда ближе, для мальчика отец близок по половому признаку, и этим в большой мере определяется характер их взаимоотношений, восприимчивость мальчика к отцовскому влиянию. Отец служит для сына, как правило, образцом представителя сильного пола. Прежде всего на примере отца мальчик усваивает, каким должен быть настоящий мужчина. Отцу необходимо воспитывать мужественность у сына, рыцарское отношение к женщине, передавать опыт мужского труда в домашнем хозяйстве, стремление брать на себя наиболее трудные домашние дела. Мать в глазах мальчика должна воплощать в себе все лучшее, что вообще характерно для женщины. Своей искренней и бескорыстной любовью она вызывает ответные чувства у сына, стимулирует его эмоциональное развитие. Отношение к матери дает возможность мальчику в определенной степени усвоить характер взаимоотношений с лицами женского пола вообще, приучает его проявлять заботу о людях, оказывать необходимую помощь окружающим. Учитывая физические и психологические особенности мальчиков, следует уделять внимание тому, чтобы сын, сохраняя свойственное ему стремление проявлять физическую активность, вместе с тем привыкал к порядку, аккуратности, организованности, овладевал навыками дисциплинированного поведения. В этом смысле большое положительное значение имеет участие ребенка в различных играх, домашних делах. Отвечая детским интересам, развивая физически и умственно, они учат дисциплине, общению со сверстниками, а также способствуют проявлению активности, самостоятельности, инициативы, организаторских умений, полезных навыков. Важно приучать мальчиков к самообслуживанию. Каждый мальчик - подросток - юноша в соответствии со своими возрастными возможностями должен уметь и себя обслужить, и оказать посильную помощь тем, кто в ней нуждается.

Как правило, с мальчиками-школьниками, подростками у родителей больше хлопот, нередко их приходится заставлять учиться. Дети не могут предвидеть последствий своих поступков, своего нежелания закончить школу, техникум, вуз. Отец и мать, опираясь на свой жизненный опыт, должны показать важность образования, его возрастающую роль в связи с научно-техническим прогрессом, содействовать выработке у сына ответственного отношения к учению, понимания необходимости непрерывного образования.

Ответственный этап воспитания мальчиков - подростковый возраст. Не случайно этот возраст называют трудным: таким он является как для самих подростков, так и для родителей, учителей. Эта трудность обусловлена многими причинами, и в частности тем, что учащиеся среднего школьного возраста, переживая переходный период, находятся в состоянии, когда они уже не дети, но еще и не взрослые. Такое «промежуточное» положение подростков вызывает естественные противоречия между их притязаниями и реальными возможностями, что ведет порой к необъяснимым на первый взгляд поступкам, к резкой смене настроения и другим особенностям поведения. Поэтому отцу и матери особенно надо быть терпеливыми, не отталкивать сына, не отваживать от дома, не отвечать резкостью на резкость, разумно сочетать требовательность и уважение во взаимоотношениях с ним. Возросшие физические и умственные возможности учащихся среднего школьного возраста, с одной стороны, снимают с родителей известную долю забот, но с другой - значительно повышают их ответственность за надлежащую реализацию этих возможностей. Чтобы растущая энергия подростков была направлена во благо, необходимо создавать условия для полезной и привлекательной для них практической деятельности.

Озабоченность родителей нередко вызывают факты, когда подростки попадают в дурные компании, начинают курить, употреблять алкоголь, заниматься другими неблаговидными делами. Надо подчеркнуть, что чаще всего это - результат упущений предшествующих лет воспитания. Но здесь могут отрицательно влиять и новые приятели подростка с «улицы». Поэтому родители должны интересоваться, с кем их сын проводит свободное время, чем они занимаются, и тактично направлять выбор друзей, стимулировать их полезное времяпрепровождение. Помимо школьных занятий у мальчика есть широкий выбор разнообразных видов внеклассной и внешкольной деятельности - в предметных, технических, художественных и иных кружках, спортивных секциях, творческие занятия дома. Важно всеми мерами содействовать тому, чтобы подростки читали художественную и научно-популярную литературу, разные газеты и журналы. Интересные и полезные занятия не оставят времени для безделья, будут способствовать общему развитию, активизации школьника, помогут ему определить свое призвание. Достижению этих и других воспитательных целей служит участие подростков в ученическом самоуправлении, в работе юношеских и молодежных организаций. Заинтересованные в этом родители не только поощряют такое участие, но и оказывают реальное содействие своими советами, предположениями, конкретной помощью, что помимо всего прочего, безусловно, повышает их авторитет в глазах подростков поиски идеала. Так же как и для девочек, в подростковом возрасте для мальчиков приобретает актуальность проблема выбора будущей профессии. Родители, конечно, весьма заинтересованы в ее оптимальном решении. В данном случае полезны беседы общего характера - о роли труда в жизни человека, о необходимости добросовестного отношения к любой работе, о важности учета индивидуальных склонностей и способностей, рассказы о людях разных профессий, обсуждение преимуществ и недостатков той или иной конкретной специальности. Прямой резон отцу и матери рассказывать и о собственной работе, ее трудностях и радостях, может быть, показать свои рабочие места, продукцию и т. д. Жизнь свидетельствует, что наиболее благоприятным результат бывает, когда ответственный вопрос о выборе сыном жизненного пути решается согласованно и уж во всяком случае, не вопреки его желанию. С расширением кругозора, приобретением жизненного опыта подростки начинают поиски идеала, которому они хотели бы подражать, что стимулирует их к самовоспитанию. Это чрезвычайно важно для формирования личности: к усилиям воспитателей подключается сам объект воспитания, существенно повышая его эффективность. Однако такое возможно, если родители держат в поле зрения этот процесс, тактично помогают подростку в выборе идеала, ненавязчиво знакомя с достойными людьми из окружающей жизни, истории, литературы, раскрывая их высокие моральные качества, если они практически содействуют личным усилиям воспитанника в выработке желаемых черт характера. Нужно признать, что миссия родителей-воспитателей весьма трудна. Им надо постоянно учиться, быть начеку, чтобы не допустить промаха в отношениях с сыном. А он взрослеет, и, естественно, на него влияют сверстники и старшие друзья. Однако и у родителей немало возможностей воспитательного воздействия. Среди методов семейного воспитания подростков наиболее действенный - метод убеждения. Убеждать можно, беседуя, советуя, разъясняя на собственном примере. Вместе с тем в необходимых случаях приемлемо и применение твердых требований, а также поощрений и наказаний.

Учащиеся старшего школьного возраста требуют к себе по сравнению с подростками нового подхода. В юношеском возрасте многие качества личности, черты характера в основном уже сформированы, и задача родителей - способствовать их совершенствованию, надлежащей корректировке, преодолению имеющихся недостатков. Для нормальных взаимоотношений родителей со старшеклассниками, создания благоприятных условий, обеспечивающих эффективность влияния на них, в первую очередь необходима четкая установка старших на то, что они имеют дело с людьми, которые являются равноправными членами семейного коллектива. Это значит, что все или почти все вопросы жизни семьи касаются и старшеклассников. Такая позиция родителей, импонируя юношам, помогает сохранять и развивать на новой основе доверительные отношения, способствующие дальнейшему воспитанию юношей. Успех воспитательного воздействия отца и матери на юношу возможен лишь при постоянном общении. Важно не жалеть времени на непринужденные беседы, обсуждайте злободневные вопросы - дети должны знать мысли, взгляды отца и матери. Самое главное - родители не должны рассчитывать, что все само собой образуется, им необходима твердая установка на целенаправленное воспитание своего сына, осознание высокой ответственности за подготовку юной смены.

Хорошо изучен вопрос о проблемах воспитания ребёнка в неполной семье. Для ребенка из неполной семьи ситуация полной семьи кажется нереальной.

Мальчики из неполных семей не могут определить функции отца в семейной ситуации, так как для ребенка она нереальна. Одной из проблем, с которыми сталкиваются дети из неполных семей, является их неумение противостоять жизненным трудностям, неуверенность в себе и, как следствие этого, низкий уровень их социальной активности. Таких детей не интересует, как можно изменить свою жизнь, они не желают строить планы на будущее. Подобное состояние, по мнению исследователей, больше присуще девочкам, у которых особенно отчетливо проявляется типичный для неудачников социальный признак: неуверенные в себе, они и не надеются на успех в будущем.

Если матери приходиться воспитывать ребенка одной, трудности и ошибки воспитания неизбежны, ибо в отсутствие отца система отношений «мать-ребенок» значительно усложняется. Результатом издержек материнского воспитания в неполной семье может стать деформация личности ребенка.

Одна из наиболее распространенных особенностей материнского воспитания в неполных семьях - чрезмерная опека сына матерью. Мать хочет уделить сыну больше внимания, которого он частично лишился в связи с отсутствием отца окружить большей заботой, жертвуя собой, своими интересами и желаниями. Страх, который переживает мать за жизнь, здоровье, учебу, настроение сына, невольно передается ему, и мальчик становится нерешительным, несамостоятельным, осторожным и пугливым. К тому же у сына в условиях такого материнского воспитания бывает чрезвычайно ограничена сфера общения со сверстниками. Дефицит общения делает ребенка с самого раннего детства некоммуникабельным, скованным, мешает проявлению способностей, которые мать с таким усердием развивает.

Материнская гиперопека может привести к еще одному очень серьезному психологическому осложнению во взаимоотношениях между матерью и сыном. Любая деспотическая любовь требует ответных проявлений: слов, ласк, клятв. Любовь матери к сыну не является исключением. Сознательно или подсознательно она ждет от ребенка платы за свое жертвенное чувство. Пока сын маленький, он старается отвечать матери послушанием, сыновьями ласками, благодарными словами, жестами, взглядами. Взрослея, он начинает тяготиться безудержной, безграничной материнской любовью, потому что у него появляются другие привязанности. Мать этого не понимает и продолжает ждать или даже требовать от сына проявления любви «через силу», помимо его желания. Сын, чтобы не обидеть мать, отвечает на ее любовь по необходимости или по привычке, что неизбежно ведет к блокированию, задержке отрицательных чувств, эмоций и настроений - к состоянию фрустрации. Разрядка фрустрационного состояния нередко происходит в виде конфликта, во время которого сын высказывает в адрес матери упреки, обиды и даже оскорбления. Это повергает ее в шок, приводит к истерике. Обе стороны со временем начинают испытывать по отношению друг к другу эмоциональное отчуждение, зачастую переходящее в открытую ненависть и вражду. Такова плата за безграничную материнскую любовь.

Бывает так, что мать решает «слепить» из сына идеального (по ее представлению) мужчину, она разрабатывает для него непосильную программу действий, в которую входят занятия и музыкой, и языком, и танцами и т.д. Интересы, желания и возможности ребенка при этом не учитываются. Нередко любовный деспотизм матери (мой, только мой) приводят к деспотичной власти сына над матерью. Уже в раннем детстве он начинает эксплуатировать ее в корыстных личных целях, используя и материнскую любовь, и страхи, и самопожертвование. Подобный стиль отношений он по привычке переносит и на других людей: родственников, знакомых, сверстников, из-за чего постоянно конфликтует с ними. Получая отпор со стороны тех, кто не желает подчиняться его капризам, сын еще больше подавляет мать своими требованиями и неуемными желаниями. Так он привыкает потреблять, ничего не предлагая взамен, становится эмоционально холодным и жестоким по отношению и к другим людям, и к матери. По мере взросления мальчики одиноких матерей все острей сталкиваются с проблемой нехватки авторитета, которым в семье, как правило, является отец, а также с проблемой найти себе образец мужчины, способного удовлетворить его спортивные, технические, естественнонаучные и прочие интересы.

Девочки, в отличии от мальчиков, легче адаптируются к изменяющейся обстановке, с ними обычно бывает меньше хлопот в воспитании, но и по их поведению можно заметить, что им не хватает человека, которым они могли бы восхищаться и по которому могли бы составить себе представление о своем будущем партнере в жизни.

Существует опасность, что мальчики и девочки, растущие в семье матерей - одиночек, слишком долго будут оставаться эмоционально незрелыми, а стало быть, и в отношениях с противоположным полом они легко могут впасть в одну из крайностей: либо будут идти на установление связей быстро, нисколько не задумываясь о последствиях, либо будут упорно уклоняется от каких бы то ни было контактов. Девочка из-за отсутствия собственного отца создаст свой идеал мужчины, чаще всего мало реалистичный, больше похожий на образы героев художественных произведений, кинофильмов или телепередач. Понятно, что такой ребенок при встрече с действительностью очень легко может разочароваться в жизни.

Человеку, выросшему без нормальной семьи, присуще недоверие к людям, подозрительность и, как следствие, склонность к отстраненности, изоляции, которые в свою очередь становятся причиной ограничения развития. Они обнаруживают, как правило, отставание в умственном и физическом развитии, повышенную агрессивность и чаще других пополняют состав колоний для малолетних преступников.

Нередко одинокая мать, столкнувшись с неудачной попыткой создать семью, так и не научившись ладить с мужчинами, воспитывает дочь по своему образу и подобию. Дочь же шаг за шагом повторяет личную жизнь матери, с детства усваивает стандарты ее поведения. Таких девушек иногда называют «последний шанс». Они с детства считают себя жертвами судьбы и рано ставят на своей жизни крест. Для этих девушек характерна очень низкая самооценка, они страдают сильнейшим комплексом неполноценности. И формированием таких качеств они чаще всего обязаны своим матерям.

Специалисты, занимающиеся проблемами семьи и брака, выделяют такую закономерность: однажды разрушенная семья воспроизводиться в последующих поколениях. В полной мере подобное явление характерно и для внебрачных семей: более половины женщин, решившихся на внебрачного ребенка, сами родились вне брака.

Отсутствие отца и интересующей информации о нем сказывается на воспитании ребенка самым неблагоприятным образом. Однако возможны и иные случаи. Ученые, например, отмечают, что ребенок, воспитывающийся одинокой матерью, как правило, взрослеет быстрее, чем ребенок, растущий в полной семье. Но быстрое взросление возможно только у тех детей, чьи психические потребности (в заботе, в учении и в эмоциональном самоутверждении) на соответствующих этапах развития ребенка нашли полное удовлетворение. Потребность в социальной ориентации становится проблематичной. Но и здесь, как показывают наблюдения психологов, для одинокой матери не все потеряно. Если ребенок эмоционально развит, если у него установились правильные отношения с матерью, если в нем сведен до минимума комплекс утраченного отца, есть надежда, что он не растеряется при знакомстве с лицом противоположного пола. Однако не следует забывать, что для мальчика, воспитывающегося матерью, проблематично ознакомление с социальной ролью мужчины и установление собственной половой идентичности. Одну из главных причин подобного явления во внебрачных семьях, состоящих из матерей и сына, специалисты видят в неправильном поведении матери, которая не учитывает отсутствие у сына реального образца мужского поведения в семье. Поэтому вероятно появления у таких мальчиков не только деформация личностных черт, но и отклонений в поведении и нарушений психического здоровья.

Нарушение процесса поло-ролевой идентификации вследствие отсутствия мужчины в семьях одиноких матерей может привести к развитию у мальчиков гомосексуализма. У юношей, отличающихся феминным поведением, во взрослой жизни возможны несколько вариантов. Самый благополучный из них: скромный «женственный» юноша с мягким и покладистым характером встречает волевую, сильную женщину, иногда старше себя. Они создают гармоничную семью. Он с удовольствием выполняет в доме обычную женскую работу. Но гораздо чаще такие молодые люди несчастливы в семейной жизни. Преимущественно женское окружение и воспитание в детстве накладывают отпечаток на всю дальнейшую жизнь. Такие мужчины избирают не просто подчиненное положение в семье, когда глава семьи жена, но и утрированно женский тип поведения - страдательный.

В.С. Мухин отмечает, что для мальчиков важно само присутствие родителей обоего пола. Этот факт доказывает то, что мальчики, живущие с матерями, повторно вышедшие замуж, менее тревожны, более ориентированы на социальное поведение, проявляют больше когнитивных умений, чем сыновья одиноких матерей [24, с.243].

Дети лучше приспосабливаются к повторному браку своих родителей, будучи совсем маленькими или в юношеском возрасте, чем в подростковом.

Таким образом, можно сказать, что детско-родительские отношения, а именно взаимоотношения в системе «мать-сын», являются самыми сложными и эмоционально насыщенными. Поэтому для благополучного воспитания мальчика, необходимо учитывать его личностные особенности и возрастные потребности.

Анализ теоретических данных позволил сделать следующие выводы:

1. Таким образом, можно отметить, что существует большое количество взглядов, рассматривающих проблему детско-родительских отношений. Однако, все многочисленные подходы, представленные в данной работе сводятся к единой точке зрения, что семья, где ведущим типом взаимоотношений является сотрудничество, где родители общаются с детьми на равных, где каждый может обратиться к другому с вопросом или просьбой и получить помощь, обретает особое качество, становится группой высокого уровня развития - коллективом. Рассмотрение различных точек зрения и подходов дало возможность составить более полную картину о взаимоотношениях родителя и ребёнка.

2. Опираясь на теоретическое изучение проблемы детско-родительских отношений, а именно специфики взаимоотношений в системе «мать-сын», можно сказать, что данные отношения являются самыми сложными и эмоционально насыщенными. Поэтому для благополучного воспитания мальчика, необходимо учитывать его личностные особенности и возрастные потребности.

. В связи со сложностью проблемы исследования детско-родительских отношений и степенью ее недостаточной разработанности, для диагностики специфики взаимоотношений в системе мать-сын, была отобрана батарея диагностических методик, направленных на исследование эмоциональной сферы ребёнка, его социальной приспособленности, его восприятия внутрисемейных отношений и отношения родителя (матери) к разным сторонам семейной жизни, разнообразных чувств по отношению к ребенку, поведенческих стереотипов.

Глава II. Экспериментальное исследование детско-родительских отношений в системе «Мать - Сын»

.1 Общие принципы и методика организации экспериментального исследования

Общие подходы к исследованию, методам, критериям анализа детско-родительских отношений в системе мать-сын определялись в соответствии с задачами работы.

На основании результатов теоретического анализа проблемы детско-родительских отношений в системе мать-сын, учитывая роль социальных стереотипов, определенных установок и взглядов на воспитание в семье, нами была поставлена следующая цель исследования: экспериментально изучить специфику взаимоотношений в системе мать-сын, а также, разработать и апробировать программу развития отношений партнерства и сотрудничества родителя с ребенком.

Гипотеза: Коррекция детско-родительских отношений предполагает работу направленную на развитие эмоциональной сферы ребёнка, ориентацию родителей на изменение стиля взаимоотношений в семье, установление и развитие отношений партнерства и сотрудничества родителей с ребенком.

Задачи исследования:

1.      Выявить специфику взаимоотношений в системе «Мать - сын»;

2.      Выполнить сравнительный анализ результатов исследования детско-родительских отношений;

.        Разработать и апробировать коррекционную программу, направленную на развитие эмоциональной сферы ребёнка, ориентацию родителей на изменение стиля взаимоотношений в семье, установление и развитие отношений партнерства и сотрудничества родителей с ребенком.

.        Сопоставить полученные результаты исследования до и после коррекции.

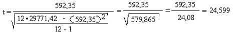
.        Выявить степень статистической значимости полученных результатов с помощью «t-критерия Стьюдента».

В экспериментальном исследовании приняли участие 40 человек, 20 - матерей возрастом от 25 до 32 лет и 20 - сыновей возрастом от 5,5 до 6,5 лет, исследование проходило в г.Севастополе в детском дошкольном учреждении №3.

В основу формирования экспериментальной выборки испытуемых положены следующие критерии:

. Содержательный критерий (операциональная валидность). Подбор экспериментальной группы осуществлялся исходя из предмета исследования и гипотезы. Таким образом, экспериментатор должен создать модель идеального объекта экспериментального исследования для своего частного случая. Характеристики реальной экспериментальной группы минимально отклоняются от характеристик идеальной модели.

. Критерий эквивалентности испытуемых (внутренняя валидность).

Поскольку результаты экспериментального исследования должны распространяться на каждого ее члена, мы учли наиболее значимые характеристики объекта, различия в выраженности которых, с нашей точки зрения, могут повлиять на результаты исследования. Процедура подбора эквивалентных групп и эквивалентных испытуемых называется рандомизацией.

. Критерий репрезентетивности (внешняя валидность). Группа лиц, принимающих участие в экспериментальном исследовании представляет всю часть популяции на которую мы можем распространять данные, полученные в исследовании.

Биологические характеристики генерализации: пол, возраст, раса, конституциональные признаки и т.д.

Социальные характеристики: уровень образования, уровень доходов, классовая принадлежность, особенности культуры и др. Условия исследования: условия экспериментальной деятельности испытуемых, особенности предъявления инструкций.

Экспериментальное исследование проводилось в 3 этапа:

На первом этапе (октябрь 2009 г.) осуществлялся подбор комплекса диагностических методик для проведения констатирующего психодиагностического исследования.

На втором этапе (ноябрь-декабрь 2009 г.) проводилось констатирующее психодиагностическое исследование, осуществлялись обработка, анализ, обобщение и интерпретация полученных результатов тестирования; производилась разработка коррекционной программы развития отношений партнерства и сотрудничества родителя с ребенком.

На третьем этапе (январь-апрель 2010 г.) осуществлялось апробирование программы развития отношений партнерства и сотрудничества родителя с ребенком, сравнительный анализ, обобщение и интерпретация результатов всего эксперимента.

В связи со сложностью проблемы и степенью ее недостаточной разработанности для диагностики специфики взаимоотношений в системе мать-сын, была отобрана батарея диагностических методик, направленных на исследование эмоциональной сферы ребёнка, его социальной приспособленности, его восприятия внутрисемейных отношений и отношения родителя (матери) к разным сторонам семейной жизни, разнообразных чувств по отношению к ребенку, поведенческих стереотипов.

При проведении психодиагностического исследования нами были использованы следующие методики.

1. Методика «Исследование родительского отношения» (А.Я.Варга, В.В.Столина. Цель: Исследовать особенности родительского отношения как разнообразных чувств по отношению к ребёнку, поведенческих стереотипов, практикуемых в общении с ним, особенностей восприятия и понимания характера личности ребёнка, его поступков. Опросник состоит из 5 шкал.

Инструкция: «Внимательно прочитайте приведённые утверждения и обведите в кружок ответ «да», если Вы согласны с утверждением или ответ «нет», если не согласны».

Обработка и интерпретация результатов: 1. Приятие - отвержение. Шкала отражает интегральное эмоциональное отношение к ребенку. Содержание одного полюса шкалы: родителю нравится ребенок таким, какой он есть. Родитель уважает индивидуальность ребенка, симпатизирует ему. Родитель стремится проводить много времени вместе с ребенком, одобряет его интересы и планы. На другом полюсе шкалы: родитель воспринимает своего ребенка плохим, неприспособленным, неудачливым. Ему кажется, что ребенок не добьется успеха в жизни из-за низких способностей, небольшого ума, дурных наклонностей. По большей части родитель испытывает к ребенку злость, досаду, раздражение, обиду. Он не доверяет ребенку и не уважает его. 2. Кооперация - социально желательный образ родительского отношения. Содержательно эта шкала раскрывается так: родитель заинтересован в делах и планах ребенка, старается во всем помочь ребенку, сочувствует ему. Родитель высоко оценивает интеллектуальные и творческие способности ребенка, испытывает чувство гордости за него. Он поощряет инициативу, и самостоятельность ребенка, старается быть с ним на равных. Родитель доверяет ребенку, старается встать на его точку зрения в спорных вопросах. 3. Симбиоз - шкала отражает межличностную дистанцию в общении с ребенком. При высоких баллах по этой шкале можно считать, что родитель стремится к симбиотическим отношениям с ребенком. Содержательно эта тенденция описывается так - родитель ощущает себя с ребенком единым целым, стремится удовлетворить все потребности ребенка, оградить его от трудностей и неприятностей жизни. Родитель постоянно ощущает тревогу за ребенка, ребенок ему кажется маленьким и беззащитным Тревога родителя повышается, когда ребенок начинает автономизироваться в силу обстоятельств, так как по своей воле родитель не предоставляет ребенку самостоятельности никогда. 4. Авторитарная гиперсоциализация - отражает форму и направление контроля за поведением ребенка. При высоком балле по этой шкале в родительском отношении данного родителя отчетливо просматривается авторитаризм. Родитель требует от ребенка безоговорочного послушания и дисциплины. Он старается навязать ребенку во всем свою волю, не в состоянии встать на его точку зрения. За проявления своеволия ребенка сурово наказывают. Родитель пристально следит за социальными достижениями ребенка, его индивидуальными особенностями, привычками, мыслями, чувствами. 5. Маленький неудачник - отражает особенности восприятия и понимания ребенка родителем. При высоких значениях по этой шкале в родительском отношении данного родителя имеются стремления инфантилизировать ребенка, приписать ему личную и социальную несостоятельность. Родитель видит ребенка младшим по сравнению с реальным возрастом. Интересы, увлечения, мысли и чувства ребенка кажутся родителю детскими, несерьезными. Ребенок представляется не приспособленным, не успешным, открытым для дурных влияний. Родитель не доверяет своему ребенку, досадует на его неуспешность и неумелость. В связи с этим родитель старается оградить ребенка от трудностей жизни и строго контролировать его действия.

.Методика «PARI». (Авторы Е.С. Шефер и Р.К. Белл)). Цель: Исследование отношения родителей (прежде всего, матерей) к разным сторонам семейной жизни (семейной роли). Инструкция: «Перед Вами вопросы, здесь нет ответов правильных и неправильных, т.к. каждый прав по отношению к собственным взглядам. Старайтесь отвечать точно и правдиво. Не обдумывайте ответ долго, отвечайте быстро, стараясь дать первый ответ, который придет Вам в голову. При ответах пользуйтесь бланком. Рядом с каждым положением находятся буквы А а б Б, их нужно выбрать в зависимости от своего убеждения в правильности данного предложения:

А - полное согласие; а - скорее согласие, чем несогласие; б - скорее несогласие, чем согласие; Б - полное несогласие».

Обработка и интерпретация результатов. В методике выделены 23 аспекта-признака, касающиеся разных сторон отношения родителей к ребенку и жизни в семье. Из них 8 признаков описывают отношение к семейной роли и 15 касаются родительско-детских отношений. Эти 15 признаков делятся на следующие 3 группы:

- Оптимальный эмоциональный контакт,       

Излишняя эмоциональная дистанция с ребенком,

Излишняя концентрация на ребенке.

Отношение к семейной роли описывается с помощью 8 признаков (ограниченность интересов женщины рамками семьи, заботами, исключительно о семье, ощущение самопожертвования в роли матери, семейные конфликты, сверхавторитет родителей, неудовлетворенность ролью хозяйки дома, «безучастность» мужа, его невключенность в дела семьи, доминирование матери, зависимость и несамостоятельность матери).

Отношение родителей к ребенку:

. оптимальный эмоциональный контакт включает в себя 4 признака (побуждение словесных проявлений, вербализаций, партнерские отношения, развитие активности ребенка, уравнительные отношения между родителями и ребенком).

. Излишняя эмоциональная дистанция с ребенком включает 3 признака (раздражительность, вспыльчивость, суровость, излишняя строгость, уклонение от контакта с ребенком).

. Излишняя концентрация на ребенке включает 8 признаков (чрезмерная забота, установление отношений зависимости, преодоление сопротивления, подавление воли, создание безопасности, опасение обидеть, исключение внесемейных влияний, подавление агрессивности, подавление сексуальности, чрезмерное вмешательство в мир ребенка, стремление ускорить развитие ребенка).

Каждый признак измеряется с помощью 5 суждений, уравновешенных с точки зрения измеряющей способности и смыслового содержания. Вся методика состоит из 115 суждений. Сумма цифровой значимости определяет выраженность признака:

20 - максимальная оценка признака;

18, 19, 20 - высокие оценки;

8, 7, 6 - низкие оценки;

5 - минимальная оценка признака.

Методика позволяет оценить специфику внутрисемейных отношений, особенности организации семейной жизни. В семье можно вычленить отдельные аспекты отношений: - хозяйственно-бытовые, организация быта семьи (в методике это шкалы 3, 13, 19, 23); - межсупружеские, связанные с моральной, эмоциональной поддержкой, организацией досуга, созданием среды для развития личности, собственной и партнера (в методике это шкала 17); - отношения, обеспечивающие воспитание детей, «педагогические» (в методике шкалы 5, 11).

3. Методика «Лики родительской любви». Цель: Исследовать структуру и особенности основных критериев построения родительского отношения к ребёнку. Инструкция: «Если вы согласны с приведенным утверждением, поставьте себе один балл. Если не согласны - баллов не ставьте».

Обработка и интерпретация результатов.  

а) за каждый ответ «согласен» - ставиться один балл

б) подсчитывается количество баллов:

- 12-15 баллов - проявление типично женского подхода к воспитанию, исполненного любви и заботы, заострение такого подхода впоследствии чревато недостаточной самостоятельностью ребенка, что не позволит ему в будущем самому решать многие проблемы.

Менее 8 баллов - мужской стиль воспитания, сочетается с довольно высокими требованиями к нему. Родительские цели вполне оправданны, но достичь их было бы возможным более успешно за счет мягкости и поощрения.

- 9-12 баллов, промежуточная позиция, лишенная крайностей. Этот подход хорош тем, что страхует от всяких излишеств. Однако имеет место эмоциональная отстраненность. Необходимо внимательнее присмотреться к ребенку, к его проблемам, не ждет ли он от родителей большего участия в его жизни. 4. Методика «Рисунок семьи». (Приложение А) Модификация Л.Кормана. Цель: Изучение особенностей внутрисемейных отношений, выявление отношения ребёнка, а так же родителя к членам своей семьи, восприятия своей роли в семье и характеристик отношений, которые вызывают тревожные и конфликтные чувства.Методика «Рисунок семьи» удобна в применении, способствует установлению хорошего эмоционального контакта. Особенно продуктивно ее использование в дошкольном возрасте, когда у детей нередко имеют место трудности вербализации. Методика обладает значимостью не только для диагностики межличностных отношений в семье, но также для выбора тактики психологической коррекции нарушенных детско-родительских отношений. Инструкция: «Нарисуй (те), пожалуйста, свою семью так, чтобы каждый член семьи был занят каким-либо делом». Ни в коем случае нельзя объяснять, что обозначает слово «семья», так как этим искажается сама суть исследования.

При обработке результатов:

а) Для испытуемых была разработана таблица симптомокомплексов «рисунка семьи», которые делятся на три части - анализ структуры рисунка, анализ особенностей графической презентации матери, анализ процесса рисования и включающие в себя следующие симптомокомплексы:

Эмоциональный конфликт;

Сплочённость семьи;

Эмоциональное отношение ребёнка к ребёнку (матери);

Агрессия, враждебность. Стимульный материал представлен (Приложение Б) 5. Методика «Рене Жиля». Стимульный материал прилагается (Приложение А). Цель: Изучение социальной приспособленности ребенка, сферы его межличностных отношений и их особенностей, его восприятия внутрисемейных отношений, некоторых характеристик его поведения.

Инструкция: «Перед началом работы с методикой ребенку сообщается, что от него ждут ответов на вопросы по картинкам. Ребенок рассматривает рисунки, слушает или читает вопросы и отвечает. Ребенок должен выбрать себе место среди изображенных людей, либо идентифицировать себя с персонажем, занимающим то или иное место в группе. Он может выбрать его ближе или дальше от определенного лица. В текстовых заданиях ребенку предлагается выбрать типичную форму поведения».

Обработка и интерпретация результатов.

Психологический материал, характеризующий систему личностных отношений ребенка, можно условно разделить на две большие группы переменных:

) Переменные, характеризующие конкретно-личностные отношения ребенка: отношение к семейному окружению (мать, отец, бабушка, сестра и др.), отношение к другу или подруге, к авторитетному взрослому и пр.

) Переменные, характеризующие самого ребенка и проявляющиеся в различных отношениях: общительность, отгороженность, стремление к доминированию, социальная адекватность поведения.

Всего выделяют 12 признаков: отношение к матери; к отцу; к матери и отцу как родительской чете; к братьям и сестрам; к бабушке и дедушке; к другу (подруге); к учителю (авторитетному взрослому); любознательность; лидерство; общительность ; закрытость, отгороженность; социальная адекватность поведения.

. Методика рисунок - «Я и мама». (Приложение А) Цель: Исследовать структуру и особенности взаимоотношений с матерью.

Инструкция: «Нарисуй себя и маму, когда вы чем-то заняты».

При обработке результатов: для испытуемых была разработана таблица симптомокомплексов рисунка «я и мама», которые делятся на три части - анализ структуры рисунка, анализ особенностей графической презентации матери, анализ процесса рисования и включающие в себя следующие симптомокомплексы:

Эмоциональный конфликт;

Сплочённость семьи;

Эмоциональное отношение ребёнка к матери;

- Агрессия, враждебность.

2.2 Результаты экспериментального исследования

С целью исследовать структуру и особенности основных критериев построения родительского отношения к ребёнку была применена методика «Лики родительской любви». Сводная таблица результатов представлена в Приложение Д. Обобщенные результаты - на рисунке 2.2.1.

Рисунок 2.2.1 Обобщенные результаты по методике «Лики родительской любви»

Как видно из графика уровень эмоциональной отстраненности снизился после коррекции. В целом эмоциональная отстраненность говорит о низкой вовлеченности испытуемых в дела детей, стремление оградиться от проблем, не принимать участие в решении проблемных ситуаций, дефицит эмоций как положительных, так и отрицательных, большая степень игнорирования ребенка.

Женский тип воспитания свидетельствует о проявлении заботы, эмоциональной вовлеченности в жизнь детей, стремлении оказать помощь и оградить от опасностей и трудностей; наблюдается у большинства испытуемых после проведенной коррекционной работы.

Мужской тип воспитания характеризуется проявлением сдержанности, строгости, но справедливости, такой тип воспитание предусматривает демократию по отношению к ребенку, ему позволяется проявлять свободу. Однако существуют конкретные рамки свободы и за их нарушение предусмотрены четкие меры наказаний. Мужскому типу воспитание не характерно проявление бурных и ярких эмоций, но это не говорит об их полном отсутствии.

С целью исследовать особенности родительского отношения как разнообразных чувств по отношению к ребёнку, поведенческих стереотипов, практикуемых в общении с ним, была применена методика А.Я.Варга, В.В.Столина. Сводная таблица результатов представлена в Приложение В. Обобщенные результаты - на рисунке 2.1.

Рисунок 2.2.2 Обобщенные результаты методики А.Я.Варга, В.В.Столина

Как видно из графика все показатели после коррекции снизились.

Шкала «Приятие - отвержение» отражает интегральное эмоциональное отношение к ребенку. Содержание одного полюса шкалы: родителю нравится ребенок таким, какой он есть. Родитель уважает индивидуальность ребенка, симпатизирует ему. Родитель стремится проводить много времени вместе с ребенком, одобряет его интересы и планы. На другом полюсе шкалы: родитель воспринимает своего ребенка плохим, неприспособленным, неудачливым. Ему кажется, что ребенок не добьется успеха в жизни из-за низких способностей, небольшого ума, дурных наклонностей. По большей части родитель испытывает к ребенку злость, досаду, раздражение, обиду. Он не доверяет ребенку и не уважает его. Шкала «Кооперация» отражает социально желательный образ родительского отношения. Содержательно эта шкала раскрывается так: родитель заинтересован в делах и планах ребенка, старается во всем помочь ребенку, сочувствует ему. Родитель высоко оценивает интеллектуальные и творческие способности ребенка, испытывает чувство гордости за него. Он поощряет инициативу, и самостоятельность ребенка, старается быть с ним на равных. Родитель доверяет ребенку, старается встать на его точку зрения в спорных вопросах. Шкала «Симбиоз» отражает межличностную дистанцию в общении с ребенком. При высоких баллах по этой шкале можно считать, что родитель стремится к симбиотическим отношениям с ребенком. Содержательно эта тенденция описывается так - родитель ощущает себя с ребенком единым целым, стремится удовлетворить все потребности ребенка, оградить его от трудностей и неприятностей жизни. Родитель постоянно ощущает тревогу за ребенка, ребенок ему кажется маленьким и беззащитным Тревога родителя повышается, когда ребенок начинает автономизироваться в силу обстоятельств, так как по своей воле родитель не предоставляет ребенку самостоятельности никогда. Авторитарная гиперсоциализация отражает форму и направление контроля за поведением ребенка. При высоком балле по этой шкале в родительском отношении данного родителя отчетливо просматривается авторитаризм. Родитель требует от ребенка безоговорочного послушания и дисциплины. Он старается навязать ребенку во всем свою волю, не в состоянии встать на его точку зрения. За проявления своеволия ребенка сурово наказывают. Родитель пристально следит за социальными достижениями ребенка, его индивидуальными особенностями, привычками, мыслями, чувствами. Шкала «Маленький неудачник» - отражает особенности восприятия и понимания ребенка родителем. При высоких значениях по этой шкале в родительском отношении данного родителя имеются стремления инфантилизировать ребенка, приписать ему личную и социальную несостоятельность. Родитель видит ребенка младшим по сравнению с реальным возрастом. Интересы, увлечения, мысли и чувства ребенка кажутся родителю детскими, несерьезными. Ребенок представляется не приспособленным, не успешным, открытым для дурных влияний. Родитель не доверяет своему ребенку, досадует на его неуспешность и неумелость. В связи с этим родитель старается оградить ребенка от трудностей жизни и строго контролировать его действия.

Исследование отношения родителей (прежде всего, матерей) к разным сторонам семейной жизни (семейной роли) и ребенку проводилось с помощью методики «PARI». (Авторы - Е.С.Шефер и Р.К.Белл). Сводная таблица результатов представлена в Приложение Г. Обобщенные результаты - на рисунке 2.2.3.

Рисунок 2.2.3.Обощенные результаты по методике «PARI»

Анализ шкалы «Отношение родителей к ребенку»:

Оптимальный эмоциональный контакт после коррекции увеличился. Побуждения словесных проявлений (то есть стимулирование ребенка родителями для разговора, рассказов о своих проблемах, вербализации происходящего вокруг, в том числе как расширение кругозора) - увеличилось на 21,25%, партнерских отношений (проявление равноправия, дружеских отношений, сотрудничества) - увеличилось на 8,8%, развитие активности ребенка увеличилась на 18,18%, уравнительные отношения между родителями и детьми снизилось, что может свидетельствовать о стремлении матерей взять на себя ответственность за судьбу детей, проявлять заботу, быть «настоящей» матерью.

Излишняя эмоциональная дистанция с ребенком после коррекции снизилась. Снизился уровень раздражительность и вспыльчивость, уровень строгости, уклонения от контакта с ребенком.

Снизился общий уровень концентрации на ребенке, то есть испытуемые-матери перестали излишне опекать детей, изолировать их от общества, оправдываясь тем, что они наберутся только плохого с улицы, в то же время снизился уровень агрессивности по отношению к ребенку, уровень вмешательства в мир ребенка и стремление ускорить его развитие.

Шкала «Отношение к семейной роли» после коррекции говорит о том, что снизилась неудовлетворенность ролью хозяйки дома, ограниченность интересов женщины рамками семьи, заботами, исключительно о семье снижается, ощущение самопожертвования в роли матери также снизилось.

С целью исследования особенностей внутрисемейных отношений, проведена диагностика изучения особенностей внутрисемейных отношений, выявление отношения ребёнка, а так же родителя к членам своей семьи, восприятия своей роли в семье и характеристик отношений, которые вызывают тревожные и конфликтные чувства, по методике «Рисунок семьи».

Сводная таблица результатов диагностики исследования особенностей отношения ребёнка, а так же родителя к членам своей семьи и восприятия своей роли в семье, представлены в Приложении Е. Обобщенные результаты по всей выборке (40 чел.) представлены в таблице 2.1.

Таблица 2.1 Результаты диагностики по методике «Рисунок семьи»

 Симптомокомплекс

До коррекции в %

После коррекции в %


мать

сын

мать

сын

Эмоциональный конфликт

40%

60%

20%

40%

Сплочённость семьи

55%

45%

40%

25%

Эмоц. отношен. ребёнка (матери) к отдельному члену семьи

«+»

65%

50%

75%

65%


«-»

20%

45%

10%

35%

Агрессия, враждебность

15%

45%

5%

30%


Анализ процентного распределения позволяет сделать вывод о том, что наиболее выраженным симптомокомплексом у матерей (84,7%) является - положительное эмоциональное отношение к отдельному члену семьи. Об этом свидетельствовали такие симптомы как: количество использованных цветов для рисования фигуры и декорирование (детали одежды и украшения). Симптомокомплекс - эмоциональный конфликт диагностирован у 40% в рисунках матерей и 60% в рисунках детей. В этих рисунках присутствовало - уменьшение состава семьи, ребёнок не нарисовал себя, отсутствие братьев или сестёр.

Таким образом, можно предположить, 60% детей конфликтная ситуация возникает на почве ревности.

Сравнивая результаты до и после коррекционного воздействия наблюдается снижение остроты проявления эмоционального конфликта у 20% женщин и 20%детей, увеличились показатели сплоченности семьи и положительного отношения к другим членам семьи.

С целью исследования социальной приспособленности ребенка, сферы его межличностных отношений и их особенностей, его восприятия внутрисемейных отношений, некоторых характеристик его поведения, проведена диагностика социальной приспособленности ребенка, особенностей его восприятия внутрисемейных отношений, выявления конфликтных зон в системе межличностных отношений по методике «Рене - Жиля».

Сводная таблица результатов диагностики исследования социальной приспособленности ребенка и особенностей его восприятия внутрисемейных отношений, представлены в Приложении Ж. Обобщенные результаты по группе (20 чел.) представлены в таблице 2.2. и рисунке 2.2.5.

Таблица 2.2 Результаты диагностики социальной приспособленности ребенка и особенностей его восприятия внутрисемейных отношений

Назначение шкал

До коррекции

После коррекции



Количество человек

%

Количество человек

%

1

Отношение к матери

14

70%

17

85%

2

Отношение к отцу

14

70%

15

75%

3

Отнош. к матери и отцу как родит. чете

14

70%

15

75%

4

Отношение к братьям и сёстрам

8

40%

9

45%

5

Отношение к бабушке и дедушке

9

45%

10

50%

6

Отношение к другу

8

40%

8

40%

7

Отношение к авторит. взрослому

75%

15

75%

8

Любознательность

12

60%

17

85%

9

Доминантность

6

30%

4

20%

10

Общительность

10

50%

14

70%

11

Закрытость, отгороженность

10

50%

6

30%

12

Соц. адекватность поведения

9

45%

12

60%


Рисунок 2.2.4 Обобщенные результаты по методике «Рене - Жиля»

Анализ табличных данных свидетельствует о том, что у большинства детей (70%) конкретно-личностные отношения выражены к матери, отцу и авторитарному взрослому (75%). А наиболее часто встречающиеся характеристики ребёнка - любознательность (60%), закрытость и отгороженность(50%).

При сопоставлении результатов исследования до и после коррекции у 25% испытуемых увеличился показатель любознательности, у 20% показатель общительности, показатель социальной адекватности у 15%, у 20% испытуемых снизился уровень закрытости и отгороженности. С целью исследования особенностей взаимоотношений с матерью, проведена диагностика изучения эмоциональных проблем и трудностей во взаимоотношениях с матерью по методике «Я и мама». Сводная таблица результатов диагностики исследования особенностей взаимоотношений с матерью представлены в Приложении И. Обобщенные результаты по группе представлены на рисунке 2.2.5.

Рисунок 2.2.5 Результаты особенностей взаимоотношений с матерью.

При сопоставлении данных до и после коррекционного воздействия у 15% испытуемых снизился уровень эмоционального конфликта по отношению к матери, у 20% снизился уровень проявления агрессивности и конфликтности, у 30% улучшились внутрисемейные отношения, что повлияло на сплоченность.

Результаты констатирующего исследования подкреплялись наблюдением, беседой с воспитателями и родителями.

Для проверки статистической значимости полученных результатов нами был использован t-критерий Стьюдента для связанных выборок (таблица расчетов представлена в Приложение К):

Расчеты по формуле:

,

где d - разность в парах (Хi - Уi = d);

n - число пар (сопоставляемых шкал)


Для n* = n - 1 (число степеней свободы) = 12 - 1 = 11:

t05 = 2,20; t01 = 3,11; tэ = 24,599


Так как tэ> t01, то различия в сопоставляемых выборках являются достоверными, то есть после проведения коррекционной работы изменяются детско-родительские отношения в системе «мать - сын» в лучшую сторону.

2.3 Программа коррекции детско-родительских отношений в системе «Мать - сын»

В данной пояснительной записке излагается общая стратегия процесса развития отношений партнерства и сотрудничества родителей с ребенком, определяются задачи и общие принципы его организации, раскрываются содержание, формы, методы развивающей работы среди матерей и их сыновей.

Так, эмпирическое исследование проблемы детско-родительских отношений в системе «мать-сын», выявило её значимость и актуальность. На диагностическом этапе исследования было выявлено, что в основном проблемы во взаимоотношениях между матерью и ребёнком связаны с тем, что отношение матерей к семейной роли и к ребёнку характеризуется излишней концентрацией на ребёнке и сверхавторитетом родителей. Это говорит о том, что ребёнок при таком отношении излишне окружён навязчивой заботой, полностью блокирующей его самостоятельность и инициативу, так же родители жёстко контролируют его поведение. При симбиотических отношениях и авториторизме матери, у ребёнка падает самооценка, повышается тревожность и агрессивность - как защитная реакция на недоверие, контроль и неверие в его способности.

Цель коррекционной программы: развитие эмоциональной сферы ребёнка, ориентации родителей на изменение стиля взаимоотношений в семье, установление и развитие отношений партнерства и сотрудничества родителей с ребенком.

Формой осуществления коррекции является групповая (тренинг).

В основу данной программы положены следующие психологические принципы:

1.      Личностная ориентированность - направленность предлагаемого материала на развитие благоприятных взаимоотношений в системе «мать-сын».

2.      Проблемность предложенных заданий - постановка задач проблемного характера, ориентированных на актуализацию проблемных ситуаций в семье.

.        Рефлексивная направленность заданий - осмысление, анализ участниками своего опыта, переживаний, осознание перспектив своей дальнейшей жизни, обнаружение ограничений и малоэффективных приёмов личностной организации.

.        Индивидуализация развивающих влияний - включение элементов индивидуальной работы по выявлению основных стратегий и подходов к воспитанию, стереотипов и ограничений поведения участников в ситуациях взаимодействия родителя с ребёнком, родителя с родителем, ребёнка с ребёнком.

5.      Системность - формирование и включение новых умений и навыков в практическую деятельность по получению полезных знаний и умений в благоприятном взаимодействии членов семьи друг с другом, как целостную, динамическую систему. Принцип системности - коррекция должна быть построена таким образом, чтобы затронуть наиболее значимые проблемы. Воздействие и блоки коррекционно-профилактической работы должны быть системными и последовательными.

.        Деятельностный принцип - организация активной деятельности самих матерей и их сыновей на занятиях, в ходе которых складываются условия для формирования благоприятных взаимоотношений.

.        Комплексность - включение в развивающую программу разнообразных приёмов и методов формирования благоприятных взаимоотношений.

8.      Принцип единства диагностики и коррекции - реализуется в двух системах: первичная диагностика, проведение коррекционной работы, на ее основе формируются цели, задачи коррекции; диагностика в процессе коррекционной работы - анализ динамики личностных изменений, динамики эмоциональных состояний; выходная диагностика как мера эффективности коррекции и профилактики;

9.      Принцип нормативности развития - определяет, что необходимо оценить уровень развития личностных качеств и возрастную норму;

10.    Принцип коррекции «снизу - вверх» - коррекция строится по принципу тренировки и психологической растяжки.

В основу развивающей программы положена индивидуальная модель и система тренинговых занятий.

Предлагаемая коррекционно-профилактическая работа была направлена на решение следующих задач:

Коррекционные: коррекция неконструктивных форм семейного воспитания, эмоциональной отстраненности, семейных конфликтов, неумения общаться, изменение отношения к семейной роли.

Профилактические: заключаются в создание комплекса индивидуализированных мероприятий по усилению регулирующих функций психики, развитию эмоционального самоконтроля и самоуправления.

Развивающие: формирование и развитие навыков общения, взаимодействия, сотрудничества, способности к компромиссу, конструктивным способам разрешения спорных вопросов, развитие эмпатии и рефлексии, уверенности в себе и своем окружении; развитие эмоциональной сферы ребёнка, ориентации родителей на изменение стиля взаимоотношений в семье, установление и развитие отношений партнерства и сотрудничества родителей с ребенком.

Основными этапами коррекционной работы являются:

Диагностический блок: Цель и задачи блока - выявить уровень нарушений в системе «мать - сын».

Установочный блок (мотивационный): цель - создание позитивного настроя группы, благоприятной эмоциональной атмосферы, принятия и доверительности в общении. Снятие барьера для проявления чувств и эмоций. Выделение зон психологического комфорта.

Коррекционно-профилактический блок: цель - коррекция неконструктивных форм семейного воспитания, эмоциональной отстраненности, семейных конфликтов, неумения общаться, изменение отношения к семейной роли. Развитие эмоциональной сферы ребёнка, ориентации родителей на изменение стиля взаимоотношений в семье, установление и развитие отношений партнерства и сотрудничества родителей с ребенком

Блок оценки эффективности: цель: проверка результативности проведенной коррекционной работы, установление прогресса достигнутого группой, при необходимости продление коррекционной работы или профилактической.

Программа предназначена для работы с детьми возрастом от 5,5 до 6,5 лет, с нарушениями поведения (эмоциональная нестабильность, повышенная впечатлительность, агрессивность, страхи и т.д.) и их родителями возрастом от 25 до 32 лет, испытывающими трудности в воспитании детей. Не рекомендуется использование программы с детьми ниже указанного возраста, так как в программе содержатся задания и упражнения, подразумевающие определенный уровень зрелости психических процессов.

Противопоказаниями для посещения групп являются умственная отсталость, тяжелая форма заикания; выраженная интеллектуальная неспособность к овладению необходимыми навыками, асоциальное поведение у взрослых.

Оптимальное количество участников 5-6 пар (мать - ребенок).

Цикл включает 11 занятий. Продолжительность занятия 1,5 часа. Занятие проводится один раз в неделю. Таким образом весь курс занятий реализуется за 2,5 месяца. Общее количество часов 16,5.

Возникающее чувство групп и групповой сплоченности - важная характеристика коррекции детско-родительских отношений, поэтому после второго занятия новые участники к ней не присоединяются, даже если из ее состава кто-то выбыл.

Каждое занятие должно быть направлено на решение задач развития и формирования отношений партнерства и сотрудничества родителей с ребенком; умений и навыков эффективного взаимодействия в группе, навыков самоанализа и целеполагания.

Значимо интерес к процессу работы в группе, повысит использование таких методов и техник как:

. Прослушивание психокоррекционной сказки и ее анализ. Привлекательность сказок для психологической коррекции состоит, прежде всего, в естественности развертывания сюжетной линии, отсутствии нравоучений. Под коррекцией здесь понимается «замещение» неэффективного стиля поведения (проблема агрессивности, капризы, страхи) на более продуктивный, а также объяснение ребенку смысла происходящего. Психокоррекционную сказку можно рассказать ребенку не обсуждая, давая ему возможность таким образом подумать самостоятельно о том, что даже из плохих поступков можно извлечь хороший урок.

. Атркоррекция в зависимости от целей и задач программы проводится в основном в паре «ребенок-родитель» и позволяет добиться большой динамики коррекционного процесса. Совместное участие в художественной деятельности помогает сделать коммуникацию более успешной, способствует созданию отношений взаимного принятия.

. Телесная психокоррекция используется с целью эмоционального и телесного сближения родителей и детей, изучения телесно-мышечных ощущений, на осознание собственного тела и в итоге на психофизическую интеграцию эмоций и разума. Эти упражнения позволяют обучить участников снятию мышечных зажимов, высвобождению от стрессогенного мышечного «панциря».

Исходя из результатов диагностического этапа, предлагаемая развивающая работа должна быть направлена на решение следующих задач:

Развитие и коррекция эмоциональной сферы ребенка: формирование наиболее адекватной самооценки, приобретение уверенности в себе, обучение приемам саморегуляции психического состояния.

Ориентация родителей на изменение стиля взаимоотношений в семье: выработка навыков адекватного и равноправного сотрудничества, способности к предотвращению и разрешению межличностных конфликтов.

Устранение дезадаптивных форм поведения и обучение адекватным способам реагирования в проблемных ситуациях.

Установление и развитие отношений партнерства и сотрудничества родителей с ребенком: достижение способности к эмпатии, к пониманию интересов и переживаний друг друга.

Исходя из содержания процесса формирования отношений партнерства и сотрудничества родителей с ребенком, определён комплекс психологических условий, реализация которых обеспечит решение развивающих задач:

активизация субъективного опыта участников семейных групп, их включение в ситуации группового взаимодействия;

внутренняя работа участников занятий с психологической информацией в процессе реализации и осмысления совместной тренинговой работы через получение обратной связи от всех участников тренинговой группы; взаимоотношение психологический мать сын

актуализация рефлексии участноков тренинга на формы, методы и эмоциональное содержание каждой семьи в их особых и индивидуальных взаимоотношениях в системе «мать-сын» и, личностного саморазвития;

создание в процессе тренинга особого психологического климата творческой активности, для обеспечения обмена опытом.

В ходе реализации программы выделяются следующие этапы в структуре каждого занятия:

I этап - Мотивация на активную работу.

Цель: создание условий и оптимального уровня отношений в группе, при котором есть возможность продвижения вперёд в содержательном плане.

Мероприятия этапа: Информирование ведущего.

Знакомство с собой, другими участниками, проблемой и задачами занятия. Цель: получение позитивной обратной связи, дополнительной информации от других участников тренинга, с целью создания комфорта и согласованности в группе.

II этап - Лабилизации.

Цель: конкретизация цели тренинга каждым участникам, и как результат, создание мотивации на работу в группе.

III этап - Изменений.

Цель: осознание своих ресурсов, тренировка предложенных способов поведения (формирование навыков целеполагания, планирования) экспериментирование со своим поведением.

IV этап - Целостного действия.

Цель: возможность осознать, что усвоено и на что следует в дальнейшем обратить внимание.

V этап - Выход из тренинговой ситуации.

Цель: завершение тренинговой ситуации.

Подробнее содержание развивающих занятий разработанной программы развития отношений партнерства и сотрудничества родителей с ребенком приведено в Приложении Л Краткое содержание коррекционной программы в таблице 2.3.

Таблица 2.3 Содержание коррекционной программы

Содержание занятия

Время

Занятие 1. Тема: «Остров знакомств»  Целью первого занятия является знакомство, сплочение коллектива, представление занятий.  - обучение навыкам самопрезентации через знакомство участников группы друг с другом, информирование об основных принципах тренинга; - разработка и принятие правил работы группы;  - определение ожиданий участников группы и постановка ими индивидуальных задач. Использовались такие приёмы и техники как - обсуждение, игра, упражнения направленные на сплочение группы, создание атмосферы принятия, способности к сотрудничеству.  Занятие включает в себя подвижные весёлые разминки, игры, стимулирующие развитие активности и воображения, что способствует раскрытию каждой семьи.

 1,5 часа

Занятие 2. Тема: «Остров общения» Цель: Расширение запаса средств общения, развитие навыков социального взаимодействия.  Особый акцент на втором занятии был сделан на обучение вербальным и невербальным способам общения, формирование способности к сотрудничеству.

1,5 часа

Занятие 3. Тема: «Загадочный лес» Цель: Улучшение взаимоотношений взрослых и детей, раскрытие мира эмоций и способов их выражения. Акцент был сделан на сплоченность группы, эмоциональное и мышечное расслабление, эмоциональное и телесное сближение родителей и детей.

1,5 часа

Занятие 4. Тема: «Пещера страхов» Цель: Формирование умения вербально выражать свои чувства, психокоррекционное воздействие на различные виды страхов. Акцент был сделан на снятие страхов, повышение уверенности в себе.

1,5 часа

Занятие 5. Тема: «Пещера страхов» Цель: см. занятие № 4. Акцент был сделан на снятие страхов, избытка торможения, скованности, преодоление неуверенности в себе, застенчивости, аккумулирование положительной энергии, смещение ролей в семье, эмоционально-телесное сближение.

1,5 часа

Занятие 6-7. Тема: «Берег душевной непогоды» Цель: Обучение выражению негативных чувств социально- приемлемыми способами, выяснение причин конфликтов, обучение конструктивным способам разрешения конфликта. Акцент был сделан на развитие внутренней свободы и раскованности, способности к самовыражению, развитие внимания, гибкости и быстроты мышления, памяти, фантазии, снятие эмоционального напряжения, выяснение причин конфликтов, обучение конструктивным способам разрешения конфликта, повышение самооценки, развитие ощущения свободы при общении с родителями.

1,5 часа

Занятие 8. Тема: «Море наших чувств» Цель: Тренировка навыков общения, эмоциональное сближение членов группы, знакомство с социальными поведенческими стереотипами. Акцент был сделан на развитие чувства ответственности, эмоциональное сближение членов семьи, установление телесного контакта между родителями и детьми, знакомство с социальными поведенческими стереотипами.

1,5 часа

Занятие 9-10. Тема: «Поляна ощущений» Цель: Эмоционально-телесное сближение родителя и ребенка; улучшение самочувствия при межличностном общении; развитие эмпатии; развитие навыков социального взаимодействия. Акцент был сделан на развитие умения синхронизировать свои действия с действиями других, эмоционально-телесное сближение ребенка и родителя, снятие мышечного напряжения, развитие навыков в совместной деятельности родителя и ребёнка, развитие взаимопонимания между родителями и детьми, создание образа позитивных детско-родительских отношений, установление доверительных отношений, сплочение членов семьи, развитие наблюдательности, внутренней свободы и раскованности.

1,5 часа

Занятие 11. Тема: «Волшебная страна доверия» Цель: Закрепление позитивного отношения к себе и своей семье. Акцент был сделан на повышение самооценки, позитиве, вербализацию значимых целей на будущее, сплочение членов семьи.

1,5 часа


Анализ результатов эмпирического исследования позволил сделать следующие выводы:

1. Проведенное исследование, количественный и качественный анализ результатов диагностики детско-родительских отношений в системе «мать-сын», позволили выявить специфику процесса взаимоотношений в системе мать-сын.

2. В результате исследования детско-родительских отношений, можно сказать, что в основном проблемы во взаимоотношениях между матерью и ребёнком связаны с тем, что отношение матерей к семейной роли и к ребёнку характеризуется излишней концентрацией на ребёнке и сверхавторитетом родителей.

3. В общем, подтверждено первоначальное предположение нашего исследования о том, что психолог опираясь на результаты диагностического исследования может составить программу коррекции детско-родительских отношений, направленных на развитие эмоциональной сферы ребёнка, ориентацию родителей на изменение стиля взаимоотношений в семье, установление и развитие отношений партнерства и сотрудничества родителей с ребенком.

Заключение

В данной работе было осуществлено теоретическое и практическое изучение специфики детско-родительских отношений в системе мать-сын. Проведенное исследование позволило сделать следующие выводы:

. Детско-родительские отношения являются двусторонними. На каждой из сторон, как ребенка, так и родителя, определяется развитие общения, генезис и сотрудничества ребенка и родителей. Но, на каждой из возрастных ступеней роль обоих участников претерпевают изменения. Эти изменения могут быть как значительными, так и малозначительными. Все это зависит от семьи, а именно в какой среде воспитывался ребенок, какие отношения у него складывались с родителями.

Детско-родительские отношения в системе «мать-сын», характеризуются эмоциональной привязанностью друг к другу на протяжении всей их совместной жизни. Именно эта система, матери и сына из всех детско-родительских отношений, является самой сложной и эмоционально насыщенной.

. Теоретический анализ существующих теорий, позволяет сделать вывод о том, что начало активного этапа воспитания в семье приходится на возраст ребенка, составляющий в среднем 5-7 лет. Этот возраст ребенка благоприятен для зарисовки общего контура готовности самого родителя осуществлять различные виды воспитания.

. Под стилем воспитания понимается не только определенная стратегия воспитания, а и включенность детей в обсуждение семейных проблем, и успешность ребенка при готовности родителей всегда прийти на помощь, стремление к снижению субъективности в видении ребенка. Итак, можно выделить следующие стили воспитания: - Контролирующий, предполагает существенные ограничения поведения ребенка при отсутствии разногласий между родителями и детьми по поводу дисциплинарных мер, четкое понимание ребенком смысла ограничений. Требования родителей могут быть достаточно жесткими, но они предъявляются ребенку постоянно и последовательно и признаются ребенком как справедливые и обоснованные.

Демократический, опирается на потребности ребёнка в положительных эмоциях и притязании на признание, при доброжелательности и любви к ребёнку родители используют внушение и убеждение.

Гипопротекция (гипоопека) характеризуется отсутствием необходимой заботы о ребенке. При таком типе отношений ребенок практически предоставлен самому себе, чувствуя себя брошенным.

Доминирующая гиперпротекция предполагает окружение ребенка излишней, навязчивой заботой, полностью блокирующей его самостоятельность и инициативу. Гиперпротекция может проявляться в виде доминирования родителя над ребенком, проявляющемся в игнорировании его реальных потребностей и жестком контроле над поведением ребенка.

Эмоциональное отвержение проявляется в неприятии ребенка во всех его проявлениях, например, когда ребенок часто слышит от родителей грубые фразы, и скрыто - в виде издевок, иронии, высмеивания.

Неправильное воспитание может рассматриваться как фактор, усиливающий потенциальные характерологические расстройства ребенка.

. Для изучения специфики детско-родительских отношений в системе мать-сын, был подобран комплекс психодиагностических методик:

методика изучения родительского отношения (авторы А.Я.Варга, В.В.Столин);

методика исследования отношения родителей (прежде всего, матерей) к ребёнку и семейной роли - «PARI»;

- методика исследования оценки и основных критериев построения родительского отношения к ребёнку - «Лики родительской любви»;- методика исследования особенностей внутрисемейных отношений - «Рисунок семьи»;

методика исследования социальной приспособленности ребенка, особенностей его восприятия внутрисемейных отношений, выявление конфликтных зон в системе межличностных отношений - «Рене Жиля»;

- методика исследования эмоциональных проблем и трудностей во взаимоотношениях с матерью, рисунок - «я и мама».

Анализируя результаты исследования, можно констатировать, что в основном проблемы во взаимоотношениях между матерью и ребёнком связаны с тем, что отношение матерей к семейной роли и к ребёнку характеризуется излишней концентрацией на ребёнке и сверхавторитетом родителей. Это говорит о том, что ребёнок при таком отношении излишне окружён навязчивой заботой, полностью блокирующей его самостоятельность и инициативу, так же родители жёстко контролируют его поведение. При симбиотических отношениях и авториторизме матери, у ребёнка падает самооценка, повышается тревожность и агрессивность - как защитная реакция на недоверие, контроль и неверие в его способности.

. В качестве экспериментальной группы были выбраны семьи - мать (возрастом от 25 до32 лет) с сыном (возрастом от 5,5 до 6,5 лет).

Исходя из вышеизложенного, нами была разработана программа тренинга развития отношений партнерства и сотрудничества родителей с ребенком.

Таким образом, в процессе экспериментального исследования подтвердилась гипотеза нашего исследования: реализация программы специально разработанного тренинга способствующего развитию отношений партнерства и сотрудничества родителей с ребенком.

Практическая значимость исследования:

) Описаны принципы и методы профилактической и коррекционной работы с родителями и детьми в системе «мать - сын».

) Разработана система превентивных мероприятий, направленных на развитие эмоциональной сферы ребёнка, ориентации родителей на изменение стиля взаимоотношений в семье, установление и развитие отношений партнерства и сотрудничества родителей с ребенком.

) Материалы исследования могут использоваться в образовательном процессе при подготовке психологов, в области практической психотерапии, психоконсультировании, социальной работе.

Достоверность результатов исследования обеспечивается выбором методологии, адекватной целям и научным задачам дипломной работы; комплексным применением исторического, системного и сравнительного анализа данных, имеющихся в отечественных и зарубежных источниках; репрезентативностью выборки; использованием апробированного диагностического инструментария; методами статистической обработки данных; эмпирической, конструктной и факторной валидностью методов исследования.

Взаимосвязь и единство перечисленных положений позволяет в целом оценить дипломную работу как исследование, дающее научную информацию о детско-родительских отношениях в системе «мать - сын».

Список использованных источников

1.   Абрамова Г.С. Практическая психология: Учебник для студентов вузов. - Изд. 6 е, перераб. и доп. - М.: Академический проект, 2001. - 480с.

2.   Абрамова Г.С. Возрастная психология: Учеб. пособие для студ. вузов. - 4-е изд., стереотип. - М.: Издательский центр «Академия», 1999.-672 с.

3.   Авдеева Н.Н., Хаймовская Н.А. Развитие образа себя и привязанностей у детей от рождения до трех лет в семье и доме ребенка. - М.: Смысл, 2003. - 152с.

4.   Алешина Ю.Е. Индивидуальное и семейное консультирование. - М., 1999. -208с.

5.   Андреева Т.В. Семейная психология. Учебное пособие. - СПб.: Речь, 2004. 389 с.

6.   Бергум В. Моральный опыт беременности и материнства. //Человек. - 2000. - № 2. - С. 16-27.

7.      Бойко В.В. Малодетная семья. - М. - 1990. - 185 с.

8.   Браун Дж., Кристенсен Д. Теория и практика семейной психотерапии. - СПб.: Питер, 2001. - 352с.

9.      Варга А.Я. Системная семейная психотерапия. Краткий лекционный курс. СПб.: речь, 2001. - 144с.

10. Варга А.Я. Структура и типы родительского отношения. - М. - 1990. - 256 с.Ветрова В.В. Ладушки: игры для детей с родителями. М,, 1994. - 122с.

11.    Винникот Д.В. Разговор с родителями. - М.: Независимая фирма «Класс». 1994. - 344 с. Гиппенрейтер Ю. Б. Общаться с ребенком. Как? - М., 2000. - 240с. Гришина Н.В. Психология конфликта. - СПб.: Питер, 2001. - 464с.

12. Дружинин В.М. Психология семьи. - Екатеринбург. - 2000. - 386 с.

13. Захаров А.И. Как предупредить отклонения в поведении ребенка. - М. - 1996. - 280 с. Карабанова О.А. Психология семейных отношений. М., 2004, - 273с.

14. Ковалев С.В. Психология современной семьи. - М. - 1990. - 345 с.

15.    Кон И.С. Ребенок и общество. - М. - 1990. - 246 с.

16. Кон И.С. Этнография родительства. - М. - 2000. - 189 с. Крайг Г. Психология развития. М.; СПб.: Питер, 2002, - 246с.

17. Крен В.Ю. Функциональные роли родительства. - М. - 2001. - 356 с.Кулаков В.И., Серов В.Н. и др. Руководство по безопасному материнству. - М.: Триада-Х, 1998. - 531 с.

18. Любина Г. Как воспитать ребенка удачника. Дошкольное воспитание. 1997. №1, 73с.

19. Маркова Т.А. Воспитание дошкольника в семье. Под ред. Т.А.Маркова, М., 1979. - 318с.

20. Марковская И. М. Опросник для изучения взаимодействия родителей с детьми. Семейная психология и семейная терапия. - 1999. - №2. - С. 17. Минухин С., Фишман Ч. Техники семейной терапии. М., 1998, 154с.

21.    Минюрова С.А., Тетерлева Е.А. Диалогический подход к анализу смыслового переживания материнства // Вопросы психологии. - 2003. - № 4. - С. 63-75.

22. Матюхина М.В. Возрастная и педагогическая психология: Учеб. пособие для студентов пед. Ин-тов по спец. «Педагогика и методика нач. обучения». - М.: Просвещение, 1984. - 256 с.

23. Навайтис Г. Семья в психологической консультации. - М. - 1999. - 467 с.

24. Немов Р.С. Психология. Учеб. для студентов высш. пед. учеб. заведений. В 3 кн. Кн. 1. Общая основа психологии. - 2е изд. - М.: Просвещение: Владос, 1995. - 576с.

25.    Обухова Л.Ф. Детская психология: теории, факты, проблемы. - М., 1995. - 360с.

26. Овчарова Р.В. Психологическое сопровождение родительства. Учебное пособие. - М., 2003. - 319 с.

. Олифирович Н.И., Зинкевич-Куземкина Т.А., Велента Т.Ф. Психология семейных кризисов. - СПб.: Речь, 2006. - 360 с.

28. Осипова А.А. Общая психокоррекция: Учебное пособие для студентов вузов. - М.: ТЦ "Сфера", 2000. - 512с.

29.    Психологический словарь./ Под редакцией А.В.Петровского, М.Г.Ярошевского. - М.: Полит. издат., 1998. - 528 с.

30. Теория личности в западно-европейской и американской психологии. Под ред. Д.Я. Райгородского. - Самара, 1996. - 480с. Райгородский Д.Я. Практическая психодиагностика. Методики и тесты. Учебное пособие. - Самара.: «БАХРАХ», 1998. - 672.

31. Райнпрехт Х. Воспитание без ограничений. - М. - 2000. - 348 с.

32.    Рамих В.А. Материнство как социокультурный феномен. - Ростов-на-Дону. - 1997. - 453 с.

.        Романин А.Н. Основы психотерапии. - М., 1999, 258с. Самоукина Н.В. Симбиотические аспекты отношений между матерью и ребенком. // Вопросы психологии. - 2000. - №3. - С. 18-25.

34. Словарь-справочник по психодиагностики./ Под ред. Бурлачук Л.Ф., Морозов С.М. - СПб.: Питер Ком, 1999. - 528 с. (Серия «Мастера психологии»)

35. Смирнова Е.О., Быкова М.В. Опыт исследования структуры и динамики родительского отношения // Вопросы психологии.- 2000.- №3.- С.3-14. Спиваковская А.С. Психотерапия: игра, детство, семья. Том 2. - ООО Апрель Пресс, ЗАО Изд-во ЭКСМО-Пресс, 2000. - 464с.

36. Филиппова Г.Г. Материнство и основные аспекты его исследования в психологии // Вопросы психологии. - 2001 -№ 2. - С. 22-36. Филиппова Г.Г. Материнство: сравнительно-психологический подход // Психологический журнал. - 1999. - № 5. - С. 81-88.Формирование взаимоотношений дошкольников в детском саду и семье. Под ред. В.К. Котырло. М.: Педагогика, 1987. - 342с. Филиппова Г.Г. Психология материнства: Учебное пособие. - М.: Изд-во Института психотерапии, 2002. - 240 с.

37. Фромм Э. Искусство любить. Ред. Д.А Леонтьев. - 2-е изд. - Спб: 2001. -224с. Хеллингер Б. Порядки любви: Разрушение семейно-системных конфликтов и противоречий. - М.: Издательство Института Психотерапии, 2001. - 400с. Хоментаускас Г.Т. Семья глазами ребёнка. - М., 1989. - 322с.Хухлева О.В. Основы психологического консультирования и психологической коррекции. - М., 2001, 268с. Шнейдер Л. Б. Семейная психология: учебное пособие для вузов. Л. Б. Шнейдер. - Изд. 3-е. М.: Академический Проспект; Екатеринбург: Деловая книга, 2007, 346с.

38. Шнейдер Л.Б. Психология семейных отношений. - М. - 2000. - 373 с. Эйдемиллер Э.Г. Методы семейной диагностики и психотерапии. - М., 1996. - 242с. Эйдемиллер Э.Г., Юстицкис В.В. Психология и психотерапия семьи. - СПб., 1999. - 656с.

39. Эйдемиллер Э.Г., Добряков И.В., Никольская И.М. Семейный диагноз и семейная психотерапия. Учебное пособие для врачей и психологов. - СПб: Речь, 2003. - 350 с.

40.    <#"520370.files/image009.gif">

Приложение 3

Сводная таблица по методике А.Я Варга, В.В Столина (до коррекции)

№  испытуемого

Принятие-отверже-ние

 Кооперация

 Симбиоз

Авторитар-ная гиперсоциа-лизация

«Маленький неудачник»

1.

7

2

6

4

0

2.

16

4

5

3

1

3.

23

6

7

5

0

4.

10

3

2

3

0

5.

18

4

6

7

1

6.

17

3

5

3

2

7.

21

5

7

6

1

8.

15

3

6

2

1

9.

11

2

1

3

0

10.

17

4

6

5

1

11.

12

2

1

1

2

12.

21

4

7

6

4

13.

13

4

3

4

3

14.

11

2

2

3

1

15.

13

3

1

2

0

16.

12

5

2

1

0

17.

7

3

3

3

0

18.

6

2

2

4

1

19.

4

1

0

3

0

20.

10

3

2

2

1

 Сумма  0 6 6

 274

 65

 74

 70

 19

Приложение 4

Коррекционная программа

Занятие № 1 «Остров знакомств»

Цель: знакомство, сплочение коллектива, представление занятий. Ведущий знакомит участников с целями и задачами тренинга. Обговариваются условия и режим работы, вводятся правила групповой работы. Ведущий рассказывает, в какой форме будут проходить занятия, каким темам они будут посвящены.

. Приветствие.

Цель: установка на занятие.

. Упражнение «Имя».

Цель: представиться, пробудить интерес к себе.

Инструкция: нужно назвать своё имя и рассказать, что оно обозначает.

Значение имени пробуждает интерес и уже создаёт представление о человеке. Детям о своём имени помогают рассказать родители и психолог. После рассказа каждый участник помещает свою фотографию в «иллюминатор» корабля.

. Упражнение «Снежный ком».

Цель: запомнить участников группы по именам.

Психолог: мы узнали имена друг друга и попробуем их теперь назвать. Называем по очереди имена всех, кто сидит перед вами, а потом - своё. При выполнении можно использовать мяч. 4. Упражнение «Хвасты».

Цель: акцентировать внимание на положительных качествах участников группы.

Инструкция: мы все пришли сюда со своим характером, своими качествами. Сейчас мамы, расскажут о своих детях - назовут три основных хороших качествах, и дети тоже скажут о своих родителях.

Обратить внимание на тех участников, у которых возникли трудности при выполнении заданий.

. Упражнение « Самый…»

Цель: снятие эмоционально-мышечного напряжения, сближение участников.

Инструкция: каждый, бросая мяч другому, называет его по имени, продолжая фразу: «Дима, ты самый… (умный, смелый, добрый, весёлый, приветливый и т.д.)».

. Упражнение «Совместное рисование».

Цель: ориентировать участников на взаимодействие в диаде «ребёнок - родитель», провести диагностику.

Инструкция: каждая семья должна нарисовать свои впечатления о знакомстве, которое произошло на занятии. Рисунок выполняется одновременно обоими партнёрами.

Психолог наблюдает за работой.

. Упражнение «Погрузим на корабль».

Цель: снятие эмоционального напряжения, развитие познавательных процессов, преодоление неуверенности в себе.

Инструкция: участники становятся в круг и называют всё, что может чувствовать и переживать человек, например, радость, грусть, злость, счастье… Команда решает, что необходимо «погрузить» на корабль, а что нет.

. Рефлексия занятия.

Что запомнилось? Какое настроение?

. Ритуал прощания.

Упражнение «Колокол».

Цель: сплочение группы, эмоциональное и мышечное расслабление, создание атмосферы единства.

Инструкция: дети и взрослые становятся в круг, поднимают поочерёдно правую и левую руки вверх, соединяя руки в центре круга в виде «колокола». Произносят «Бом!» и синхронно, с силой бросают руки вниз.

На вдохе поднимают руки, на выдохе произносят «Бом!» и бросают руки. Ведущий задаёт ритм. Упражнение повторяется несколько раз. Может быть вариант двух «колоколов»: большого (из родителей) и маленького (из детей). Маленький внутри большого, либо два рядом.

Ритуал прощания един для всех последующих занятий.

Занятие № 2 «Остров общения»

Цель: расширение запаса средств общения, развитие навыков социального взаимодействия.

. Приветствие. Цель: эмоциональный настрой на обучение вербальным и невербальным способам приветствия.

Психолог: Снова мы собрались после долгой разлуки. Давайте поучимся здороваться, то есть желать друг другу здоровья. Я сейчас вам покажу, как здороваются некоторые люди, и мы выберем то, что подходит каждому из нас (2-3 негативных примера и положительный - за руку, смотрим в глаза). Поздороваемся так. Кто самый отважный?

Важно, чтобы все дети и взрослые приняли участие.

. Задание «Мимическая гимнастика».

Цель: знакомство с мимикой как одним из способов невербального общения.

Психолог: Сегодня наше путешествие продолжается и мы попадаем в чужую страну. Мы не знаем языка, но нам как-то надо понять иностранцев. Посмотрите на выражение лица на рисунках (весёлое, грустное, злое, удивлённое и т. д.). Делаем мимическую гимнастику:

. Сморщить лоб, поднять брови (удивление). Расслабиться.

. Сдвинуть брови, нахмуриться (сержусь). Расслабиться.

. Расширить глаза, открыть рот, руки сжаты в кулаки (страх, ужас).

Расслабиться.

. Расслабить веки, лоб, щеки (лень). Расслабиться.

. Расширить ноздри, сморщить нос (брезгливость). Расслабиться.

. Сжать губы, прищурить глаза, сморщить нос (презрение).

Расслабиться.

. Улыбнуться, подмигнуть (мне весело, вот я какой!).

А сейчас покажем мимикой что-то, другие отгадывают.

Следует привлекать застенчивых детей и взрослых, оказывать поддержку (аплодисменты, показать в паре и т.д.)

. Миниатюра «Жесты».

Цель: знакомство с жестами как одним из способов невербального общения.

Психолог: Покажите жесты, которые вы уже используете. Как можно поздороваться, попрощаться, позвать, попросить денег, выразить удивление и т.д. Покажите, как любящие мамы прижимают к себе детей, как обидевшиеся мамы отталкивают? Что приятнее? Жестами и мимикой можно показать свои чувства и понять другого человека.

. Задание «Разные слова».

Цель: знакомство со словами как одним из способов общения.

Психолог: Словом можно многое сделать. Что? (Сначала отвечают дети, после дополняют родители).

Назовите слова, которыми можно пригласить, прогнать, огорчить, согреть, обидеть, похвалить.

Рефлексия: какие слова приятно слышать, а какие нет?

. Упражнение «Аплодисменты по кругу».

Цель: переживание чувства радости, сплочение группы, создание атмосферы принятия.

Инструкция: все становятся в круг. Ведущий подходит к кому-то из участников, смотрит ему в глаза и дарит свои аплодисменты, изо всех сил хлопая в ладоши. Затем они оба выбирают следующего участника, который также получает свою порцию аплодисментов - они оба подходят к нему, встают перед ним и аплодируют. Затем уже вся тройка выбирает следующего партнёра. Каждый раз тот, кому аплодировали, имеет право выбирать следующего. Таким образом, игра продолжается, а овации становятся все громче и громче.

Важно услышать овации не только ушами, но и почувствовать их всей душой.

. Задание «Птица счастья».

Цель: формировать способность к сотрудничеству, провести диагностику стиля взаимодействия взрослого и ребёнка.

Психолог: Сегодня вам предстоит создать птицу счастья. В сказке М.Метерлинка птица счастья была синей. Но можно представить свою собственную птицу самой необычной раскраски. Каждая семейная пара должна создать одну птицу их нескольких элементов - туловища, головы, крыльев и хвоста.

Участники придумывают историю о своей птице, объяснение окраски ее «оперения».

Психолог: Пусть эта птица радует вас и вселяет уверенность, что счастью обязательно будет жить в ваших семьях.

. Ритуал прощания.

. Домашнее задание.

При помощи мимики и жестов показать каждое слово в известном стихотворении.

Занятие № 3 «Загадочный лес».

Цель: улучшение взаимоотношений взрослых и детей, раскрытие мира эмоций и способов их выражения.

. Приветствие «Рукопожатие по кругу».

Цель: снятие напряжения.

Инструкция: надо поздороваться по ходу часовой стрелки. Не спешить, установить контакт глазами с тем, кого приветствуете.

Психолог: Сегодня мы приплыли на волшебную землю чудес, в Загадочный лес, где нас ждут необычные приключения, где мы сможем читать мысли на расстоянии и выучить много разных игр.

. Разминка «Молекулы».

Цель: Повышение позитивного настроя и сплоченности группы, эмоциональное и мышечное расслабление.

Психолог: Представим себе, что все мы - атомы. Атомы выглядят так: согнуть руки в локтях и прижать кисти к плечам. Атомы постоянно двигаются и время от времени объединяются в молекулы. Число атомов в молекуле может быть разнообразное, оно будет определяться тем числом, которое я назову. Мы все сейчас начнём быстро двигаться по этой комнате, и время от времени я буду называть какое-нибудь число, например три. И тогда атомы должны объединиться в молекулы - по три атома в каждой.

Молекулы выглядят так: лицом друг к другу, касаясь друг друга предплечьями.

. Упражнение «Цепочка».

Цель: установление контакта между участниками группы.

Инструкция: Выходим на берег. Нужно пройти в центр материка в загадочный лес, где происходят чудеса. Но для этого надо крепко взяться за руки, выстроиться в цепочку, идти тихо, слушая ведущего и повторяя все его действия. Иначе вы можете утонуть в болоте или попасть в лапы хищника (ведущий «прокладывает» путь через разные препятствия). Садимся.

Препятствиями могут быть разнообразные предметы: игрушки, стулья, скамейки, подушки.

. Упражнение «Пантомима».

Цель: закрепление невербальных способов общения.

Психолог: Покажите, что еще вы встретили на своем пути?

Психолог шепчет на ушко, а ребёнок показывает (самолёт, телефон, цветок, мяч, колокольчик, утюг, шлагбаум, стиральная машина). Остальные отгадывают.

. Проверка домашнего занятия.

Упражнение «Немой театр»

Цель: создание условий для проявления волевых качеств, самоконтроля; обработка невербальных способов общения, проверка домашнего задания

Психолог: Покажите выученное стихотворение без слов.

Рефлексия.

. Упражнение «Оркестр».

Цель: эмоциональное и телесное сближение родителей и детей.

Психолог: Вы видите необычный оркестр. Родитель «играет» на своем ребёнке, а ребёнок изображает звуки инструмента. Остальные отгадывают. Работает занавес.

Можно «обменяться» детьми.

. Рефлексия занятия: Что запомнилось? Какое настроение?

. Ритуал прощания.

. Домашнее задание: нарисовать очень страшную маску, принести фотографии детей.

Занятие № 4-5 «Пещера страхов»

Цель: формирование умения вербально выражать свои чувства, психокоррекционное воздействие на различные виды страхов.

. Приветствие.

Психолог: Мы уже здоровались руками, устанавливали контакт глазами, а сегодня поздороваемся необычным способом: спинами, плечами, коленями.

Упражнение привносит в начало занятия веселье и раскрепощает участников.

Психолог: Сегодня с нашим кораблём случилось страшное - наш корабль сбился с курса и нам предстоят тяжелые испытания.

. Разминка «Маленькое приведение».

Психолог: Представьте себе, что вы маленькие и большие приведения. Вам захотелось немного похулиганить и слегка напугать друг друга. По моему хлопку вы будете делать руками такое движение (поднять согнутые в локтях руки, пальцы растопырены) и произносить страшным голосом звук «у». Но помните, что мы добрые приведения и хотим только слегка пошутить.

. Упражнение «Маски» (домашнее задание).

Психолог: Мы видим страшных чудовищ (нарисованные дома маски). Они пугают родителей и детей. Что сделаем мы?

. Мы пугаем маску.

. Мы смеёмся над ней.

. Мы ее жалеем.

. Мы посоветуем ей стать другой.

. Мы похвалим ее.

Страшных чудовищ мы победили. Ура!

. Рассказывание сказки.

Сказка Т. Зинкевич-Евстигнеевой «Про Чебурашку» (страх темноты).

Цель: расширение представлений ребёнка о героях сказки, связать новый опыт с реальной жизнью.

После рассказывания сказки ведущий спрашивает, хотят ли они этому научиться? Помочь герою сказки. Как?

Ведущий обсуждает и анализирует вместе с детьми, в каких ситуациях их жизни они могут использовать тот опыт, что приобрели сегодня.

. Игра «Кораблик».

Цель: снятие страхов, повышение уверенности в себе.

Инструкция: необходимо небольшое одеяло - это корабль. Участники группы - матросы. Один ребёнок- капитан. Капитан любит свой корабль и верит в матросов. Задача капитана - быть в центре корабля; в момент сильной качки он должен дать матросам команду : «Бросить якорь!», или «Стоп, машина!», чтобы спасти корабль и матросов. Затем матросы берутся за края одеяла и начинают медленно раскачивать корабль. По команде ведущего: «Буря!» - качка усиливается. Капитану напоминают о его задаче. Как только он громким голосом прокричит команды, корабль спокойно опускается, капитану все жмут руки и хвалят его.

В роли капитана должны побывать все дети.

. Рефлексия занятия.

. Ритуал прощания.

. Домашнее задание: нарисовать свои страхи («боюськи»).

Занятие № 5.

Цель: см. занятие № 4.

. Приветствие.

Цель: создание работоспособности, позитивного настроения и сплочённости группы.

Инструкция: участники становятся в круг. Ведущий, держа в руках клубок, здоровается со всеми и передаёт клубок соседу. Тот, к кому попал клубок, приветствует всех и передаёт его следующему игроку, оставляя ниточку у себя. И так по кругу. Когда клубок возвращается к ведущему, все оказываются «связаны» одной нитью. Ведущий натягивает нить и говорит: «Почувствуйте, что мы - единое целое в этом мире».

. Упражнение «Горы и пропасть».

Инструкция: мы продолжаем наше необычное путешествие и дальше преодолеваем тяжёлые испытания. И вот перед нами горы и пропасти. Стулья - это горы, по которым нужно пройти с закрытыми глазами. Родители подстраховывают.

Предварительно можно попробовать пройти с открытыми глазами. После прохождения все хлопают в ладоши.

. Задание «Трудные испытания».

Инструкция: испытание № 1 «Петушки»: на одной ноге вытеснить из круга соперника. Испытание № 2 «Кто кого переборет» (армрестлинг). Испытание № 3 «Моды» (показ моделей).

В роли моделей выступают застенчивые.

. Игра без правил «Хочу тебя предупредить…».

(Не разговаривай с незнакомыми, не садись к ним в машину, мой руки перед едой и т.д.). Играют в парах «ребёнок - родитель».

Ребёнок получает возможность с позиции взрослого, знающего человека чему-то научить родителей, от чего-то предостеречь. Он пробует себя в этой роли, а родитель - в роли опекаемого. Из этого может проистечь открытие: мама (папа) тоже живое существо, его (её) надо жалеть…

. Подвижная игра «Пятнашки». Цель: снятие страхов, избытка торможения, скованности, преодоление неуверенности в себе, застенчивости, аккумулирование положительной энергии, смещение ролей в семье. Инструкция: заранее ограничивается игровая площадка (чаще это ковёр), на которой в беспорядке расставлены студия и кубики так, чтобы между ними остались проходы. Нельзя «пятнать» через стулья: они как бы «деревья». В игре есть водящий (Баба-Яга), задача которого запятнать кого-либо при помощи «ремня» (шарф), хлопнув по ягодицам. Причём нужно не прикасаться, а именно хлопать как следует, с чувством, эмоционально; тот, кто получает такой хлопок, громко кричит: «Ой! Ай! А-а-а» - и становится водящим. Игрок, который, увлёкшись, выбежит за пределы площадки, становится водящим, то есть начинает сам «пятнать». Эмоциональный накал игры создают угрозы: «Только попадись!», «Ну погоди!», «Лови его!» «Поймаю и съем!», «А, попались!». Убегающие в ответ выкрикивают: «Не поймаешь!» «Не догонишь», дразнят: «Баба-Яга - костяная нога».

Угрозы и возражения обеспечивают двусторонний уровень отношений в системе «взрослый - ребёнок».

. Упражнение «Торт».

Цель: эмоционально-телесное сближение.

Психолог: Давайте испечем торт. Каждый из нас будет каким-то компонентом. Психолог предлагает роли (мука, сахар, молоко, орешки и т.д.), читает рецепт, а участники «перемешиваются».

Родители активно участвуют.

. Упражнение «Костёр».

Психолог: Предлагаем вам одеться и выйти на улицу! Сейчас мы сожжем все наши «боюськи» (рисунки со страхами).

Вокруг костра исполняется танец победителей.

. Рефлексия занятия.

Психолог: Мы выбрались из пещеры Страхов. Мы поняли что? (Дети отвечают).

Мы можем справиться. Мы сильные, храбрые, мы можем себя защитить!

Психолог делает акцент на позитивных моментах для каждого участника.

. Домашнее задание.

Рисунок семейного конфликта.

. Ритуал прощания.

Занятие № 6-7 «Берег душевной непогоды».

Цель: обучение выражению негативных чувств социально- приемлемыми способами, выяснение причин конфликтов, обучение конструктивным способам разрешения конфликта.

1. Приветствие (по выбору участников)

Психолог: Сегодня мы вновь выбрали нелёгкий маршрут - мы находимся на берегу Душевной непогоды. Что же создаёт душевная непогода? Конечно, ссоры и конфликты, капризы и непослушание.

. Упражнение «Представь себе…»

Цель: Создание позитивного настроения, сплочение группы, развитие внутренней свободы и раскованности, способности к самовыражению.

Участники образуют большой круг. Каждый участник по очереди выходит в центр (придумывает заранее, от лица какого героя фильма, сказки, литературного произведения он будет действовать) и называет это имя.

Например: «Я - Золушка», «Я - злой волшебник», «Я - добрый Робин Гуд». При этом выполняет движение, характерное для выбранного персонажа. После того как участник возвращается на свое прежнее место, группа повторяет его имя, манеру двигаться, говорить, идя в центр круга. И так 2-3 раза. Человек, чье имя названо, наблюдает за этим процессом со стороны.

. Домашнее задание «Семейный конфликт».

Цель: выяснение причин конфликтов, обучение конструктивным способам разрешения конфликта.

Инструкция: по очереди показываются рисунки конфликтных ситуаций в семье. Разбираются причины, если возможно - проигрываются и находятся способы, которые удовлетворят обе стороны.

Рефлексия. Дети отвечают, что чувствуют родители, родители - что чувствуют дети.

. Упражнение «Лягушки на кочках».

Цель: снятие эмоционально-мышечного напряжения; диагностика стереотипов поведения, связанных с конфликтной ситуацией.

Инструкция: Вы лягушки, а круги на полу - кочки. Вам нужно занять кочку. Условие: на одной кочке может находиться только одна лягушка. Кочек меньше, чем лягушек.

Рефлексия.

Постепенно количество кочек уменьшается. В ходе рефлексии отметить социально приемлемые способы разрешения ситуаций.

. Рассказывание сказки.

Сказка Анны Смирновой «Заяц с рюкзаком» (проблема драчливости).

Рефлексия: Как ты думаешь, что произошло с зайцем за ночь?

. Игра «Зверь, птица, небылица».

Цель: Развитие внимания, гибкости и быстроты мышления, памяти, фантазии, снятие эмоционального напряжения.

Инструкция: Участники становятся полукругом, ведущий с помощью перебрасывания мяча просит назвать зверя, птицу или какую-либо небылицу (например, зверь - медведь, птица - сорока, небылица - трямла, брыкса и т. д.) того, к кому попадает мяч. После чего мяч снова возвращается к ведущему.

. Рефлексия занятия.

. Ритуал прощания.

Занятие № 7.

Цель: см. занятие № 6.

. Приветствие «Свеча».

Участники усаживаются в круг и передают зажженную свечу друг другу, здороваясь и называя имя участника, говорят: «Я передаю тебе свечу и желаю тебе… (здоровья, успехов, удачи и т.д.)».

Психолог: Мы продолжаем наше путешествие и дальше преодолеваем тяжелые испытания.

. Психологические этюды.

Цель: актуализация чувств, тренировка невербальных способов выражения чувств.

Разыгрываются этюды «Два брата», «Драка», «Плакса», «Упрямый», «Капризный», «Друзья».

Рефлексия.

. Игра «Толкалки».

Цель: развитие умения анализировать свою агрессию через игру, отработка навыков самоконтроля, снятие напряженности, расширение контакта в группе.

Инструкция: упражнение выполняется в парах (родитель с родителем, ребенок с ребенком). По знаку ведущего участники попарно упираются друг в друга ладонями, стараясь сдвинуть партнера с места.

Следить за тем, чтобы никто никому не причинил боли, не делал резких толчков.

. Рассказывание сказки.

Сказка Н. Никитиной «Слоненок с шариками» (проблема детских капризов).

Рефлексия: Как ты думаешь, о чем задумался слоненок? Может быть, он задумался о том, как было хорошо с папой и мамой гулять, играть, купаться в реке и пускать большие фонтаны из хобота? Как ты думаешь, что слоненок может для этого сделать? Подскажи ему, пожалуйста.

. Игра «Упрямый».

Цель: повышение самооценки, развитие ощущения свободы при общении с родителями, развитие самоконтроля, внимания.

Инструкция: родители и дети в кругу. Выбирается «упрямый» ребенок, его мама - ведущая. Родитель дает команду, все выполняют ее, а ребенок -наоборот. Например, все поднимают руки вверх - ребенок опускает их вниз.

Все дети пробуют роль упрямца.

. Этюд «Семейный».

Цель: телесно-эмоциональное сближение и выражение позитивных чувств.

Инструкция: расскажите, как мамы вас успокаивают, покажите, как они вас любят.

Рефлексия.

. Упражнение «Погрузка корабля».

Цель: развитие внимания, гибкости и быстроты мышления.

Инструкция: дети и родители называют все, что может объединять людей: например, семья, дружба, беда, чтение, праздник, поход и т.д.

. Игра «Жмурки».

Цель: снятие мышечного напряжения, сплочение группы.

Инструкция: все встают в круг, ведущему закрывают глаза. Участники меняются местами, а ведущий при помощи прикосновений к ним должен узнать, кто это.

. Рефлексия занятия.

. Ритуал прощания.

. Домашнее задание: детям и взрослым нарисовать рисунок «Три в одном». Альбомный лист разделяется вертикальными линиями на три колонки, которые называются:

. Каким я вижу себя.

. Каким меня видят окружающие.

. Каким я хочу стать.

Ребенок и взрослый рисуют в каждой колонке рисунок, образно раскрывающий содержание поставленного вопроса, и дают свое объяснение к нему.

Занятие № 8 «Море наших чувств».

Цель: тренировка навыков общения, эмоциональное сближение членов группы, знакомство с социальными поведенческими стереотипами.

. Приветствие «Волшебная палочка» (по аналогии со «Свечой»)

Психолог: Сегодня наш корабль проплывает через Ласковое Море человеческих чувств. Мир огромный и интересный. В нем много забот, тревог и суеты, но мы остаемся людьми потому, что умеем любить и прощать, уважать друг друга и помогать, забывать все плохое. Нам предстоит узнать, за что уважают люди других людей, за что ценят девочек, за что ценят мальчиков.

. Разминка «Передай сигнал».

Цель: сплочение группы, развитие чувства ответственности и способности к сосредоточению.

Инструкция: участники становятся в круг, держась за руки. Ведущий просит всех закрыть глаза и передает какой-нибудь сигнал (пожать руку, поднять руку вверх и т.д.). Получивший справа или слева сигнал должен передать следующему по цепочке. Игра окончена, когда ведущий получает переданный им сигнал.

Игра повторяется несколько раз.

. Упражнение «Я и мама (папа)».

Цель: эмоциональное сближение членов семьи.

Инструкция: родитель и ребенок садятся спиной друг к другу. Вам нужно ответить на вопросы.

Вопросы к маме: какого цвета глаза у вашего ребенка, во что он одет, как прошел сегодня день и т.д.?

Вопросы к ребенку: какого цвета глаза у мамы, какого они цвета, когда мама сердится (радуется), во что одета сегодня мама, какие украшения на ней сегодня и т.д.?

. Упражнения «Машины».

Цель: установление телесного контакта между родителями и детьми, развитие тактильных ощущений.

Инструкция: участники группы разбиваются на пары (родитель и ребенок). Ребенок в роли «машины», родитель в роли «мойщика машины». У «мойщика» глаза закрыты. В течение нескольких минут «машину» приводят в порядок: моют, протирают, полируют, проговаривая все свои действия. Следует использовать как можно больше ласковых слов. Затем родители меняются с детьми ролями.

Рефлексия.

. Беседа «За что ценят людей».

Цель: знакомство с социальными поведенческими стереотипами.

Инструкция: участники беседы должны будут ответить по очереди на вопросы: За что ценят людей? За что вы уважаете своих родителей, друзей? За что уважают вас? Что вам не нравится в людях? За что ценят мальчиков? За что ценят девочек? Почему с кем-то вы дружите, а с кем-то нет? Что нужно сделать, чтобы у вас были друзья?

. Задание «Три в одном» (проверка домашнего задания).

Цель: диагностика уровня самооценки, развитие коммуникативных качеств.

Психолог: Покажите по очереди рисунок. Расскажите о том, что вы нарисовали.

Очень важно обратить внимание на участников с заниженной самооценкой, оказать им поддержку.

. Упражнение «Путаница».

Цель: снятие напряжения, эмоционально-телесное сближение.

Инструкция: водящий выходит из комнаты, остальные встают в круг и «перепутываются», не разжимая рук. Задача водящего - распутать путаницу.

. Рефлексия занятия.

. Ритуал прощания.

. Домашнее задание: родителям принести на следующее занятие свои детские фотографии.

Занятие № 9 - 10 «Поляна ощущений».

Цель: эмоционально-телесное сближение родителя и ребенка; улучшение самочувствия при межличностном общении; развитие эмпатии; развитие навыков социального взаимодействия.

. Приветствие (по выбору участников).

Психолог. Мы подплываем к берегу острова и находим на нем красивую поляну в ближайшем лесу. На поляне растут цветы и разные травы, поют птицы. Здесь мы постараемся приятно отдохнуть.

. Упражнения «Растем», «Распускающийся бутон».

Цель: активизация совместной деятельности, создание позитивного настроения, развитие умения синхронизировать свои действия с действиями других.

Инструкция:

. Представьте себе, что вы маленький росточек, только что появившейся из земли. Вы растете, постепенно распрямляясь, поднимаясь вверх. Я буду помогать вам расти, считая до пяти. Постарайтесь равномерно распределить свой рост.

. Участники садятся на пол и берутся за руки. Необходимо встать плавно, одновременно, не отпуская рук. После чего «цветок» начинает распускаться (участники отклоняются назад, крепко держа друг друга за руки) и покачиваться на ветру.

Рефлексия.

. Упражнение «Прогулка вслепую».

Цель: эмоционально-телесное сближение ребенка и родителя.

Инструкция: это упражнение выполняется в паре. Одному участнику завязывают глаза, другой ведет его на прогулку (3 минуты). Оба должны сохранять молчание. Ведущий обводит партнера вокруг препятствий и старается предоставить ему как можно больше опыта: прикосновение, запахи и т.д. Затем нужно поменяться ролями.

Рефлексия.

. Упражнение «Напряжение и расслабление».

Цель: снятие мышечного напряжения.

Инструкция: руки и все тело устремилось вверх, пятки от пола не отрывать. Тянемся вверх все сильнее и выше. Мысленно отрываем пятки от пола (реально пятки на полу) и поднимаемся еще выше. А теперь ваши кисти как бы сломались, безвольно повисли. Теперь руки сломались в локтях, в плечах, упали плечи, повисла голова, сломались в спине, подогнулись колени, упали на пол. Лежим расслабленно и удобно. Прислушайтесь к себе:

осталось ли где-то напряжение? Сбросили его!

. Задание «Я - взрослый, ты - ребенок»

Цель: эмоциональное сближение родителя и ребенка, улучшение самочувствия, развитие навыков в совместной деятельности.

Инструкция: сегодня всем присутствующим на нашей поляне предстоит как следует подумать друг о друге: взрослым - о детях, детям - о взрослых. Каждый участник получает трафарет человечка, взрослым предстоит превратить бумажного человечка в ребенка, а детям во - взрослого.

Рефлексия.

Авторы представляют своих человечков, рассказывая о характере и склонностях. Можно разыграть диалог и придумать о них коллективные истории.

. Задание «Машина времени».

Цель: развитие взаимопонимания между родителями и детьми. Родителям предлагается выбрать свои детские фотографии (3-4). Поделиться с ребенком воспоминаниями об этом периоде своей жизни и объединить выбранные фотографии в единой композиции, сделанной в технике коллажа.

Приветствуются любые сюжетные решения. «Я тоже был маленьким, - сообщает тем самым родитель ребенку. Я могу тебя понять, а ты попробуй понять меня».

. Рассказывание сказки.

Медитативная сказка. Т. Зинкевич-Евстигнеевой «Золотой шар» (о позитивных детско-родительских отношениях).

Цель: создание образа позитивных детско-родительских отношений: образы, принесенные через сказку могут стать впоследствии духовными ориентирами.

. Рефлексия занятия.

. Ритуал прощания.

Занятие № 10.

Цель: см. занятие №9.

. Приветствие «Мяч по кругу».

Цель: участники, передавая мяч, говорят о том, что они хотят. Например: «Я хочу полетать на планере, чувствовать себя счастливой, иметь больше друзей» и т.д.

Психолог: Мы продолжаем наш отдых на Поляне Ощущений. Ощущения, которые мы, возможно, забыли или утратили, поэтому побудем здесь еще.

. Упражнение «Назовите, кто собрался на поляне?»

Цель: создание ситуации воздействия и сотрудничества, «разогрев» группы.

Психолог: Кто здесь собрался? И дети и взрослые, назовите как можно больше вариантов, ответов (люди, знакомые, друзья, мамы, папы и дети и т.д.).

. Задание «Скульптура».

Цель: телесное сближение, развитие способности к самовыражению, диагностика эмоционального фона группы.

Инструкция: разделитесь на группы по 3 человека. Вам нужно создать скульптуру. Один станет играть роль скульптора, а остальные будут «глиной». Работать можно только молча.

Рефлексия:

Что чувствовали?

Понравилась ли форма, которую вам придали?

Участники могут сами придумать название скульптуры или психолог предлагает варианты названий, например «Семья весельчаков», «Королевская семья», «Семья на отдыхе», «Семья в походе» и т.д.

. Упражнение «Мы тебя любим».

Цель: эмоциональная поддержка, установление доверительных отношений.

Все участники становятся в круг. Каждый ребенок по очереди входит в центр, его хором называют по имени три раза. Затем хором проговаривают фразу: «Мы тебя любим». Можно назвать ребенка каким-нибудь ласковым прозвищем («Зайчик», «Солнышко», «Котенок» и т.д.)

. Задание «Комната для души».

Цель: сплочение членов семьи, развитие навыков взаимодействия родителя с ребенком.

Инструкция: каждому участнику выдается заготовка в виде плоского домика и листа бумаги, который будет служить полом и крышей в комнате. Комнату надо раскрасить так, чтобы в ее оформлении воплотились ваши мечты. Каждая пара «ребенок - взрослый» сидят рядом, они могут советоваться и помогать друг другу. Из двух заготовок (у ребенка и родителя) можно собрать один домик. Если эта идея никому не придет в голову - психолог подсказывает.

Готовые домики описывают, сочиняют про них и их обитателей истории.

. Упражнение «Я умею, я люблю».

Цель: снятие напряжения, диагностика уровня самооценки.

Инструкция: объединитесь в пары. Каждый по очереди должен, прыгая три раза на одной ноге, сказать: «Я умею…». Потом прыгать три раза на другой и сказать: «Я люблю…».

. Упражнение «Тень».

Цель: тренировка социального взаимодействия, развитие наблюдательности, внутренней свободы и раскованности.

Инструкция: участники разбиваются на пары. Один будет «путником», другой его «тенью». «Путник» делает любые движения, «тень» повторяет.

Особое внимание следует уделить тому, чтобы «тень» действовала в том же темпе, что и «путник». Она должна догадаться о самочувствии, мыслях, настроении «путника».

Желательно стимулировать «путников» к выполнению разных движений: сорвать цветок, присесть, проскакать на одной ноге, посмотреть из-под руки и т.д.

Рефлексия.

. Ритуал прощания.

. Домашнее задание.

Нужно придумать волшебную страну семьи, которая бы соответствовала представлениям взрослого и ребенка о счастливом месте (страна, климат, природа и т.д.), нарисовать ее или сделать в технике коллажа, придумать веселую историю.

Задание № 11 «Волшебная страна доверия».

Цель: закрепление позитивного отношения к себе и своей семье.

. Приветствие (по желанию участников).

Психолог: Наш корабль причаливает к берегу и мы попадаем в Волшебную Страну Доверия. Здесь мы можем загадать желание, которое обязательно сбудется, услышать веселые истории и показать себя с наилучшей стороны.

. Упражнение «Испытания».

Цель: повышение самооценки, психокоррекционное воздействие.

Задания придумываются для каждого ребенка, с акцентом на позитивное завершение ситуации, например:

«Стойкий оловянный солдатик» - сидеть без движения 3 минуты;

«Дочкин массаж» - дочка делает массаж уставшей маме;

«Стихотворение»;

«Мой танец» и т.п.

Индивидуальные задания возможны для взрослых. Группа поддерживает испытуемого морально (словами, аплодисментами).

. Задание «Совместный рисунок группы».

Цель: эмоциональное сближение участников группы, групповая динамика.

Инструкция: используя краски, нарисовать всем вместе картину. Один участник начинает, второй продолжает и т.д., по окончании следует дать ей название.

. Упражнение «Я сразу стану счастливее, если…».

Цель: вербализация значимых целей на будущее, диагностика активности участника в достижении цели.

Инструкция: продолжить фразу: «Я сразу стану счастливее, если…».

Результат выполнения упражнения может стать одной из тем для последующей консультации.

. Проверка домашнего задания «Волшебная страна семьи».

Цель: сплочение членов семьи, повышение самооценки, семейная диагностика.

Инструкция: покажите ваш семейный рисунок и покажите, что изображено на нем. Участники группы могут задавать вопросы.

После представления семейного рисунка он вывешивается рядом с рисунком группы.

. Рефлексия занятий.

Психолог: Наши встречи завершаются. Как вам работалось в группе? С какими чувствами и мыслями вы уходите сегодня? Какой новый опыт вы приобрели на сегодняшнем занятии?

. Чаепитие.


Не нашли материал для своей работы?
Поможем написать уникальную работу
Без плагиата!
Без нейросетей!