Психологический семинар Лакана 'Господин и истерик'

  • Вид работы:
    Дипломная (ВКР)
  • Предмет:
    Психология
  • Язык:
    Русский
    ,
    Формат файла:
    MS Word
    164,40 kb
  • Опубликовано:
    2012-02-26
Вы можете узнать стоимость помощи в написании студенческой работы.
Помощь в написании работы, которую точно примут!

Психологический семинар Лакана 'Господин и истерик'

Оглавление

Введение

. История семинара «Господин и истерик»

. Основной понятийный аппарат семинара «Господин и истерик» Ж. Лакана

. Анализ исследований, аналогичных семинару «Господин и истерик»

. Раскрытие результатов исследования

Заключение

Список литературы

Введение

Актуальность: Жак-Мари-Эмиль Лакан (фр. Jacques-Marie-Émile Lacan) (13 апреля 1901, Париж, Франция - 9 сентября 1981, там же) - французский психоаналитик и философ (фрейдист, структуралист и постструктуралист), вместе с Мишелем де Серто - один из основателей Школы Фрейдизма, один из самых влиятельных психоаналитиков после Фрейда.

Главная заслуга Лакана состоит в структуралистской ревизии фрейдовского психоанализа.

Лакан стремится освободить психоанализ от остатков биологизма, которые можно найти у Фрейда.

Лакан был первым крупным психоаналитиком, пытавшимся преодолеть фрейдовский эмпиризм. Спектр идей, привлекаемых Лаканом для теоретического пересмотра психоанализа, весьма широк: от Платона до Декарта, от Канта до Хайдеггера. Лакан вступал в диалог и с современниками - Ж.-П.Сартром и М.Мерло-Понти (с последним, как и с Леви-Стросом, его связывали дружеские отношения). Хотя философствование Лакана отличается эклектичностью, к нему проявляли огромный интерес философы (например, П.Лежандр и Ж.Делёз), литературоведы и культурологи (например, С.Жижек).

Одним из ключевых трудов Жака Лакана является семинар на тему «Господин и истерик», где четко прослеживается расщепление личности человека, что стало одним из ключевых моментов в его теории.

Таким образом, изучение темы «Господин и истерик» является актуальной.

Объект исследования: теория Жака Лакана.

Предмет исследования: семинар Жака Лакана «Господин и истерик».

Цель исследования: изучить тему «Господин и истерик».

Для достижения цели исследования были поставлены следующие задачи:

. Изучение истории данного вопроса.

. Рассмотрение основного понятийного аппарата семинара «Господин и истерик» Ж. Лакана.

. Анализ аналогичных исследований.

. Раскрытие результатов исследования.

Гипотеза исследования: исследование на тему «Господин и истерик» раскрывает особенности дискурса.

Данная исследовательская работа имеет большое практическое значение, поскольку может в дальнейшем помочь в процессе психоанализа, позволит более глубоко разобраться в собственной личности.

семинар психоаналитик научный лакан

1. История семинара «Господин и истерик»


Для рассмотрения истории семинара по теме «Господин и истерик» необходимо рассмотреть основные биографические этапы жизни Жака Лакана, его научные взгляды и их динамику, исследования, повлекшие за собой выводы, высказанные на данном семинаре и более подробно остановиться на времени разработки данного семинара.

Жак Лакан родился 13 апреля 1901 в Париже [2].

Изучал медицину, в 1932 защитил диссертацию о параноидальных расстройствах.

Тема диссертации «О паранойном психозе и о его связях с личностью» явилась клинической иллюстрацией возможностей, которые таит в себе любовь, когда она вознесена до своего апогея, о чем свидетельствовал, например, удар ножом, нанесенный Эме известной личности, которая в качестве его идеала впитывала его либидинальные желания [13]. Однако эта работа резко отличалась от исследований французских психиатров того времени, видевших в паранойном психозе осложнение черт, характеризующих по их мнению паранойный характер. С. Г. де Клерамбо, единственный учитель, который мог бы поддержать его и признание к которому Лакан пронес через всю жизнь, отрекся от него, обвинив в плагиате.

Другой его ранний текст «Oб утверждении преждевременной уверенности», иллюстрируя один софизм, подчеркивает, что индивидуальное спасение - это не частная проблема отдельной личности, а результат хотя и конкурентной, но всеобщей умственной деятельности.

Как скажет позже Лакан, подробное феноменологическое описание конкретного клинического случая, представленное в его диссертации, привело его к психоанализу, являющемуся единственной возможностью определить значение другого в построении своего Я. Знакомство с берлинскими психоаналитиками после 1933 г., остановимшимися в Париже по дороге в Соединенные Штаты, дало ему возможность познакомиться с некоторыми из них [11]. Однако он сблизился с Р. Ловенштейном больше, чем с А. Хеснардом, Р. Лафоном, Э. Пишоном или даже с принцессой Бонапарт. Письмо, адресованное им Ловенштейну в 1953 году, в период разрыва с Институтом психоанализа, опубликованное много лет спустя, свидетельствует о доверии Лакана к своему психоаналитику, основанном на пресущей им обоим интеллектуальной честности. Тем не менее, это качество не помешало его корреспонденту, находящемуся в то время в Соединенных Штатах, отречься от него перед своими коллегами.

Казалось, что в определенных кругах от молодого человека из хорошей семьи ждали, что он будет способствовать изобретению французского подхода в психоанализе. В очередной раз разочарование, наверное, было обоюдным. В последнем издании «Французского журнала психоанализа», в единственном номере, вышедшем в 1939 году, появился критический отзыв Пишона о статье Лакана «О семье», опубликованной во «Французской Энциклопедии» [2]. Отзыв был напечатан по просьбе Анатоля де Монзие и сетовал на стиль, больше отмеченный немецкими идиотизмами, чем общеизвестной французской ясностью изложения. После войны мы находим след Лакана в 1945 году со статьей, восхваляющей «Английскую психиатрию в годы войны».

Очевидно, что Лакану было крайне трудно найти свое место. После 1920 года Фрейд ввел понятие, которое он назвал «второй ступенью». Это положение о том, что Я является регулирующей инстанцией между Оно, являющимся источником влечения, Сверх-Я, являющимся агентом моральных установок, и реальностью (местом, где все происходит). Усиление Я, позволяющее «гармонизировать» эти течения у невротика, может явиться целью лечения. Лакан же приходит в психоаналитические круги с совсем иным положением: «Я, - пишет он, - строится по образу своего ближнего и, прежде всего, благодаря образу, отраженному в зеркале» [6, с. 37]. Либидинальная инвестиция этой первичной «хорошей» формы («хорошей», так как она заменяет недостатки моего существования) станет матрицей последующих идентификаций. Незнание прорастает в моем интимном мире и при любой попытке изменить его я найду не себя, но другого. Также как и жгучая ревность к этому незнакомцу, который своим желанием создает мои объекты и в то же время похищает их у меня. Именно в качестве этого другого я познаю мир: таким образом, паранойная черта является естественной составляющей организации Я. «Стадия зеркала как основа функции Я», представленная в 1936 году на Международном конгрессе психоанализа не встретила иной реакции кроме звонка Э. Джонса, обрывающего слишком продолжительное выступление [18]. Когда это выступление было повторено в Цюрихе в 1949 г., оно вызвало не больше энтузиазма, чем в первый раз. Безусловно, тезис Лакана противоречит спекулятивной традиции, идущей от Платона, которая соединяет поиск истины с поиском личности, проходящим через определение идеала. Утверждение Лакана о паранойном характере «сходства с самим собой» не могло не противоречить такому подходу [2]. Однако это утверждение не просто дополнение к известному ранее. Оно носит экспериментальный характер и использует результаты исследований, проводимых в различных областях животной и человеческой физиологии, изучающих органические реакции на восприятие себе подобного. Но особенно важным является то, что этот подход иллюстрирует овладение ребенком языком на ранних стадиях. Если замечательное открытие «стадии зеркала» и не является прямым результатом аналитической практики, оно основано на изучении языка, которое хоть и исходит от лингвиста, однако экспериментируется при лечении в качестве ретроактивной дедукции, во всяком случае, если верно утверждение о том, что произнесенное слово начинается с осознания этой идеализации, хотя и условия и порядок его генезиса остаются неизвестными. Воображение, характеризующее эту стадию, имеет определенный либидинальный заряд только потому, скажет Лакан, что оно порождает - посредством этого первичного Я - протест против главного недостатка с помощью которого слово подчиняет себе «речебытие», устанавливающее принцип: я есть, потому что я говорю.

Ж. Лакан был не согласен с мнением Ф. де Сосюра, что язык - это система дискретных элементов, смысл которой заключен в их дифференцированном характере. То есть это выражение Ф. де Сосюра указывало на то, что биологический организм подчинен только законам природы. По мнению Ж. Лакана, единственное, что остается этому организму в пространстве между двумя элементами - это освещенный экран воображения, первый запечатленный образ: Я. Аналитическая практика является испытанием результатов этого лишения языком природных особенностей, заложенных в организме. Требования тела перестроены в соответствии с необоснованным требованием объекта, и поэтому не могут быть удовлетворены. Потребности тела изменяются из-за того, что находят успокоение только в их неудовлетворенности. Влечения тела оказываются организованными в грамматическом порядке. Желание тела выражается в фантазме, отрицающем Я и идеал, нарушая их стыдливость поиском объекта, обладание которым вызвало отвращение. Место, откуда исходит это желание, называется бессознанием. Возможность понять, что это желание исходит от него самого, позволяет субъекту избежать психоза. Таким образом, язык является символом того, от чего субъект отказывается: контроль над своей сексуальностью, например, в обмен на наслаждение, рабом которого он становится.

Как свидетельствует заявление Лакана, поразившее как его сторонников, так и его противников, сексуальных отношений не существует [22]. Он хотел напомнить этой формулировкой, что если желание связано с пространством между двумя элементами, с пространством, скрытым экраном, на который проектируется возбуждающая форма, то отношения всегда имеют место только с образом. C символом того, что придает значимость языку, то есть с Фаллосом (причина панэротизма, которую ставили в вину Фрейду). Именно поэтому женщина страется представить его, притворяясь, что она им является (это женский маскарад), в то время как мужчина притворяется, что он им обладает (это мужской комизм). Если бы отношения должны были иметь место, они бы осуществлялись в воображении с Фаллосом (экспериментальная истина гомосексуалиста), а не с женщиной, которая как таковая не существует [31]. Пространство между двумя элементами указывает также на место. Другое. Другим оно является, т. к. с ним никакие отношения невозможны. Женщина (любая женщина) не может найти здесь то, что дало бы смысл ее существованию и сделало ее женщиной. Кстати, хорошо известно распространенное беспокойство женщин о смысле их существования и их желание иметь сына, которому не придется доказывать обоснованность своего существования. Категория Другого имеет основное значение среди оригинальных положений Лакана, так как она указывает прежде всего на пустое место в пространстве между двумя элементами. Она также обладает потенциальной возможностью использовать все элементы языка. Это позволяет услышать субъект, который я не могу не признать как свой собственный, хотя и не заставляю его высказаться и даже не знаю, чего он хочет: это субъект бессознания.

Таким образом, означающее (S1), скажет Лакан, это то же, чем является субъект ($), для другого означающего (S2). Однако то, что этот последний (S2) приходит из Другого места, указывает на него как на симптом, если верно то, что он неизбежно разочарует мой зов и испортит отношение.

Символ же указывает кому-то на что-то. В присутствии же вещи, Я исчезает. Формула фантазма, выведенная Лаканом, где перечеркнутое S пронизывает маленькое a, соединяет существование субъекта ($) с потерей вещи (a), то что теория определяет как кастрацию. Возможное появление в моем восприятии конкретного потерянного объекта, который утверждает меня как субъекта в бессознательном желании, стирает его, оставляя мне лишь тревожное беспокойство, свойственное субъекту.

Таким образом, значительное изменение в спекулятивной традиции не могло не остаться незамеченным. Утверждение о том, что означаемое имеет не указательную функцию, а функцию представления, причем представления не объекта, а субъекта, не является обычным добавлением к ранее определенным традицией положениям. Данное утверждение не голословно, поскольку оно основано на практике, которая может быть подвергнута проверке и повторена другими.

Что же касается преобразования означаемого в знак, указывающий на вещь, интересно заметить, что вышеприведенные примеры, заимствованные у стоиков, указывают на нечто, к чему они все собственно и обращаются в их «мочевой», «кастрирующей» и «оплодотворяющей» метафоричности: к Фаллосу [27]. Если он является причиной невозможности сексуальных отношений, то следует сказать, что еще одна категория - дополняющая как символическую категорию, так и категорию воображения, - а именно категория Реального, является невозможной. Речь тут не идет ни о невозможном в знании, присущем кантовскому ноумену, ни о невозможном в выведении заключений, свойственном логикам (когда они ломают голову над теоремой Гёделя). Речь идет о невозможности символики уменьшить пустоту, автором которой она является, поскольку стараясь уменьшить ее, она лишь увеличивает ее. Ответом же реальности на все попытки заставить его ответить является «ничто». Такое отношение к реальности рвет со слишком классическими подходами: позитивным рационализмом, скептицизмом или мистицизмом.

«Scilicet» (Ты можешь знать) - вот название, которое Лакан дал своему журналу. Психоаналитический подход хорошо вписывается в традицию рационализма, хотя и сообщает ему, благодаря категориям воображаемого и реального, значимость и последствия, о которых он не мог подозревать, и исчерпать которые он не способен. Безусловно можно было наверняка предвидеть реакцию, которую не могла не вызвать эта встряска, и это несмотря на то, что она основывалась на учении Фрейда и на его практике. Такие последствия объяснимы тем, что Лакан порывал с привычными такими удобными ментальными установками. В действительности же это можно объяснить природой логического обоснования положений Лакана, по сути являющегося нестандартной топологией, утверждающей, что стадия зеркала указывает на то, что общность мысли и нашей интуиции должны миражу нарциссизма.

В 1953 году, несмотря на то, что он являлся президентом Психоаналитического Парижского общества, которое, кстати, всегда довольно холодно относилось к Фрейду, Лакан подал в отставку [21]. Вместе с Д. Лагашем, Ж. Фавез-Бутонье и Ф. Дольто, которые поступили точно также, он основал Французское психоаналитическое общество. Поводом для разрыва послужило решение Парижского общества об основании психоаналитического Института, который должен был давать дипломированное образование и был бы устроен по образу и подобию медицинских факультетов. Трудно поверить в то, что его члены не догадывались об опасности, которую таит в себе навязанное таким образом знание. Хотя истинное положение вещей, было, наверное, гораздо тривиальнее и заключалось в том, что семинар Лакана, сорбонские лекции Лагаша и Фавез-Бутонье, а также обаяние Дольто привлекали к себе большую часть студентов, которые, кстати, последовали за ними в «изгнание». Это самое изгнание имело благоприятное воздействие на создание стимулирующей дружественной атмосферы. Доклад, сделанный Лаканом в Риме о «Функции и поле речи и языка в психоанализе речи», служил компасом [3]. Однако очень скоро успех Лакана стал затмевать его друзей, а потом и его учеников, которые выросли и стали беспокоиться о собственной персоне. Десять лет номадизма были достаточными для того, чтобы вновь появилось намерение вступить в Международную Психоаналитическую Ассоциацию. Переговоры, проводимые тремя учениками (В. Грановым, С. Леклэром и Ф. Перрье) привели к сделке: в обмен на запрет для Ж. Лакана преподавать, они будут признаны Ассоциацией.

В 1964 году Лакан один создал Парижскую Фрейдовскую Школу [15]. Лишь немногие поддержали его в этом начинании, которое благодаря его работе дало плодотворные результаты. При первых признаках болезни ее основателя его товарищи были, наверное, охвачены волнением, что привело Лакана к роспуску школы (1980). Целью Лакана было стремление дать психоанализу научный статус, который бы защитил его положения от ложных толкований чудотворцев разного толка и усилил интерес к нему западной мысли. Он вновь привел бы к Слову, которое было в начале и которое оказывается сегодня прочно забытым. Он также хотел положить конец этому вечному переосмысливанию, которым занимается каждое новое поколение, отвергая установленные ранее положения.

Семинар «Господин и истерик» был разработан Жаком Лаканом в декабре 1969 года. Рассмотрим исторические условия, в которых проходило создание данного семинара.

Свои теории, идеи, соображения Лакан разрабатывает на семинарских занятиях. Семинары становятся его особой формой работы на три десятилетия. Семинары Лакана - толкование текстов Фрейда. Лакан начинает проводить семинарские занятия в 1951 году на квартире своей будущей жены Сильвии Батай. С 1953 года семинары проводятся в больнице Святой Анны. В 1964 году, благодаря хлопотам Альтюссера и Леви-Строса Лакан переносит семинар в знаменитую Высшую нормальную школу. Теперь в распоряжении Лакана аудитория, вмещающая до трехсот участников. С 1969 года семинар на десять лет переезжает на Факультета права, где в аудиторию, рассчитанную на шестьсот пятьдесят слушателей, набивается восемьсот. Первый семинар на факультете права Лакан посвящает совершенно новой революционной концепции - теории четырех дискурсов. [11]

Лакан предпочитает не писать, а говорить, размышлять вслух.

Интересен тот факт, что в 1968 году в Париже студенты предложили Жаку Лакану возглавить восстание против Университета и Правительства, и Лакан отказался. «Вы как хотите, а я пойду домой», - ответил он. Разбирая этот сюжет, семинар показывает, что, по Лакану, Раб, восставший против отчуждения своего наслаждения в пользу Господина, производит только нового Господина, точно так же как и Студент, восставший против вменения ему «Профессорами» нехватки знания, придет к тому, что снова вернется за Парту.

Таким образом, в данной главе нами были представлены основные этапы жизни, научные взгляды и ориентиры Жака Лакана, повлиявшие в дальнейшем на создание семинара «Господин и истерик».

 

. Основной понятийный аппарат семинара «Господин и истерик» Ж. Лакана


В семинаре «Господин и истерик» основными понятиями является: дискурс, знание и истерия.

У Жака Лакана нет четких определений данных понятий.

«Дискурс представляет собой необходимую структуру, которая выходит далеко за пределы речи, носящей, в отличие от него, характер более или менее случайный, ситуативный.» [10, с. 9] Жак Лакан утверждает, что дискурс может обходиться без слов. Он сохраняется в определенного рода базовых отношениях. Эти последние невозможно, строго говоря, без языка его поддерживать. Посредством языка как орудия устанавливается некоторое число постоянных связей, внутри которых может, разумеется, оказаться вписано нечто такое, что в границы фактических актов высказывания не умещается. Чтобы наше поведение, наши поступки оказались вписаны в рамки определенных изначальных содержаний, никакой нужды в этих актах нет.

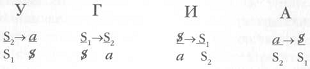
Дискурс бывает четырех видов:

) дискурс господина:





) дискурс истерика (знающего господина):





) дискурс психоаналитика:





) дискурс университете (античного господина):





Где S1 - господин, $ - расщеплённый объект, S2 - знание, а - утрата, потеря.

Господствующие означающие для истерички - это тот факт, что субъект разделён, расщеплен, «я не знаю, я пустая, объясните мне, скажите мне…»

Говоря, что дискурс господина несет в себе скрытую истину, мы вовсе не имеем в виду, будто он спрятался, затаился. Слово cachе, скрытый, имеет во французском свои этимологические достоинства. Происходит он от coactus, и, соответственно, глаголов coactare, coactitare, coacticare, подразумевая что-то сжатое, концетрированное, полученное путем наложения, что-то такое, что нужно развернуть, чтобы можно было прочесть.

Ясно, что истина от господина скрыта, и небезызвестный вам Гегель высказал предположение, что она предоставляется в его распоряжение трудом раба.

В отличие от знания, которое представляет собой наслаждение Другого, работа есть нечто совсем иное. Даже если она осуществляется теми, кто обладает знанием, то, что она производит, может, конечно, оказаться истиной, но только не знанием - никакая работа никогда еще знание не порождала. И препятствует этому что-то такое, о чем дает знать тщательное наблюдение над тем, как строятся в нашей культуре с отношениями между дискурсом господина и чем-то таким, что, возникнув, дало начало изучению того, что, с точки зрения Гегеля, на этот дискурс наслоилось - уклонение от абсолютного наслаждения.

С другой стороны, разве не подсказывает нам формализация знания, делающая всякую истину проблематичной, что речь идет не столько о прогрессе, обусловленном работой раба - можно подумать, будто в положении его есть какой-то прогресс, скорее наоборот - сколько о переносе, расхищении того знания, которое с самого начала было в мире раба скрыто, вписано в нем. Этому-то миру и предстояло дискурсу господина себя навязать. В результате, однако, обреченный на самоутверждение путем навязчивого повторения, он не мог не устрашиться утраты, обусловленной собственным вступлением в дискурс и не увидеть, как возникает тот объект а, на который наклеили мы ярлычок избытого наслаждения.

Именно этого, в конечном счете, и не больше того, должен был господин потребовать у раба, единственного обладателя средств наслаждения.

Итак, господин довольствовался ей, этой десятиной - ничто, впрочем, и не говорит о том, будто раб так уж неохотно ею делился.

Знание согласно З. Фрейду представляет собой инстинкт, о содержании которого сказать ничего нельзя, хотя результатом его считается, и небезосновательно, возможность поддержания жизни. Знание - это то, благодаря чему жизнь не заходит в своем стремлении к наслаждению за определенный предел. Ж. Лакан продолжает развивать мысль З. Фрейда: «Знание с наслаждением изначально связаны, и именно в эти отношения вторгается то, что возникает в момент появления означающего инструментария.» [10, с. 17] «Знание не обязательно себя знает.» [10, с. 33]

Знание возможно получить через цитирование, загадку, истолкование.

Рассмотрим третье ключевое понятие семинара «Господин и истерик» - «истерия».

Зигмунд Фрейд сказал: «Нельзя назвать того дьявола, которого так желает истеричка». Нужно обращать внимание на метафоры «какого дьявола?», а может именно «дьявола» и «дьявольской любви». «Дьявол» неявленный.

Жак Лакан: «Истерическая позиция - иметь неудовлетворённое желание». Истеричек ещё называют «беглянками», убегают от того, чтобы быть пойманными удовлетворением, быть связанными узами удовольствия. Убегая от сексуальных удовольствий, закрывает их интеллектуальным желанием - это трагедия, пытка.

Двойной аффект истерички:

·        Отвращение и ужас;

·        Распространение либидо на остальные генитальные зоны.

Таким образом, нами был рассмотрен основной понятийный аппарат семинара «Господин и истерик».

3. Анализ исследований, аналогичных семинару «Господин и истерик»


Важность означающего, дискурса, его связь с истерией появились в работах З. Фрейда.

З. Фрейд показал, что психоанализ - это речевой эксперимент, требующий пересмотра подхода к речи как таковой и к составляющим ее элементам, означающим.

Лечение еще первых истеричных больных, проводимое Ж. Брейером и З. Фрейдом, выявило эту черту, без сомнения даже более важную, чем само «осознание»: вербализацию. Истеричная больная выздоравливает именно потому, что может выразить то, что до сих пор она не имела возможности сказать. Одна из таких больных, Анна О., назвала это лечение talking cure, лечением словом [19]. Данный подход проливает свет на этиологию самого невроза: патогенным фактором истерии является не травматизм (например, увидеть как собака пьет из стакана, что вызывает сильное отвращение), а невозможность вербализировать это отвращение. Симптом появляется на месте этой вербализации и исчезает, если субъект получает возможность высказать то, что его беспокоило.

Последующее развитие психоанализа приводит к увеличению значения роли словесного выражения и вынуждает уделить ему более пристальное внимание. Как только психоаналитический метод начинает принимать во внимание актуализацию скрытых конфликтов в еще большей степени, чем непосредственное воспоминание конкретных ситуаций, он неизбежно рождает интерес к тому, как формируется бессознание, в котором находят выражение эти конфликты. Данные конфликты представляют собой последовательное чередование речевых элементов и находят выражение в оговорках, в забываниях и в любых других ошибочных действиях, выражающих скрытое желание либо намеком, либо в метафорической или метонимической форме. Еще в большей степени это касается острословия, которое позволяет выразить запретное, обходя цензуру. Это относится также и к снам. Рассказ об увиденном сне представляет собой сложный текст, требующий самого внимательного отношения к составляющим его терминам.

Внутренняя разрозненность человека также отражена в работах З. Фрейда, что выражается в трех основных структурных элементах личности.

До создания фрейдовской теории психология в качестве объекта исследования имела лишь феномен сознания, что не давало возможности постичь скрытые мотивы поведения и особенностей человека, а следовательно и более глубинное изучение структуры личности, Фрейд встал перед необходимостью исследования природы психического, в том числе и тех пластов психики, которые не вписывались в представление о "сознательном". Исходя из этих задач и предпосылок исследования, Фрейд и пришел к заключению о том, что человеческая психика представляет собой некий сложный конгломерат, состоящий из различных уровней и компонентов, отражающих как сознательные, так и бессознательные процессы.

Фрейд, ставя перед собой задачу выявления содержательной стороны бессознательного, подвергает эту сферу аналитическому расчленению [20]. Здесь Фрейд высказывает важную мысль о существовании двух форм бессознательного. Это - во-первых, скрытое, "латентное" бессознательное, т.е. то, что ушло из сознания, но может в дальнейшем "всплыть" в сознании; во-вторых, это вытесненное бессознательное, т.е. те психические образования, которые не могут стать сознательными потому, что им противодействует какая-то мощная незримая сила.

Первый вид бессознательного в дальнейших работах Фрейд называет предсознательным (ПСЗ) , а второй - собственно бессознательным (БСЗ, или "Оно", или "Id"). Вырабатывая психоаналитические представления о бессознательном, Фрейд подобно мыслителям прошлого ставит вопрос о том, каким образом человек может судить о том, что скрыто от его сознания. И если философы говорили о том, что невозможно определять то, что мы не осознаем, то Фрейд достаточно решительно кладет учение о бессознательном в основу своих теоретических постулатов о психической жизни человека. В отличие от умозрительных рассуждений философов он пользуется конкретным материалом, полученным из внимательных клинических наблюдений над пациентами, страдающими неврозом. Кроме констатации самого факта существования в психике человека бессознательных представлений, Фрейд старается вскрыть особенности механизма переключения психических актов из сферы бессознательного в сознание. И здесь он пытается идти от обратного путем переформулирования задачи исследования: "Каким образом сознательные процессы становятся бессознательными?" [20, с. 24]. Возможность осознания бессознательных механизмов осуществляется тогда, когда имеющееся предметное представление облекается в словесную форму. Отсюда и то важное значение, которое Фрейд придавал роли языка и законов лингвистики в раскрытии болезненной симптоматики пациента.

Выделенные З. Фрейдом психические уровни собственно бессознательного и предсознательного объединяются автором в одну систему в тех случаях, когда анализируются взаимоотношения бессознательного и сознания в структуре психики человека. Причем, начиная с ранних своих работ, Фрейд подчеркивает, что бессознательное он считает центральным компонентом, составляющим суть психики человека, а сознательное - лишь определенной надстройкой, базирующейся и произрастающей из сферы бессознательного.

Структура личности в законченном виде представлена Фрейдом в работах "По ту сторону принципа удовольствия" (1920); "Массовая психология анализ человеческого "Я" (1921); "Я" и "Оно" (1923). Предлагаемая модель личности представляет собой взаимодействия трех уровней, находящихся между собой в определенных соотношениях. Это - "Оно" (Id) , т.е. глубинный уровень бессознательных влечений, своеобразный резервуар бессознательных иррациональных психических реакций и импульсов, биологических по своей природе. Это основа деятельности личности, та психическая инстанция, которая руководствуется своими собственными законами. "Оно" является единственным источником психической энергии и руководствуется только принципом удовольствия.

Но, понятно, что безоглядная тяга к наслаждению, удовлетворению эгоистических потребностей, не учитывающая реальных жизненных условий, привела бы человека к гибели. Поэтому в процессе эволюции у человека появляется "Я" (Ego) как сознательное начало, действующее с учетом принципа реальности и выполняющее функции посредника между иррациональными стремлениями и желаниями "Оно" и требованиями человеческого сообщества. "Я", как сфера сознательного, соизмеряет требования бессознательного "Оно" с конкретной реальностью, целесообразностью и необходимостью. Наконец, "Сверх-Я (Super-Ego) " - это внутриличностная совесть, т.е. инстанция, олицетворяющая собой ценности и установки общества. "Сверх-Я" воплощает в себе интернализованные индивидом "родительские образы", моральные запреты и нормы, внушенные в детстве, образы первых учителей и значимых для ребенка взрослых. В определенном смысле - это результат "дрессировки" индивида обществом. "Сверх-Я" описывается как своего рода моральная цензура, которая призвана обуздать эгоцентрические бессознательные порывы, стремления и желания человека и подчинить их требованиям культурной и социальной реальности конкретного общества. В процессе эволюции "Сверх-Я" стала неотъемлемой частью, внутренним элементом личности.

Для образного описания взаимоотношений между "Я" и "Оно" Фрейд прибегает к аналогии отношений между всадником и лошадью, подобно тому как ранее А.Шопенгауэр использовал эту же аналогию для раскрытия взаимоотношений между интеллектом и волей [19]. Движется всадник только благодаря энергии лошади, но формально управляет ею именно он. Всадник должен сдерживать и направлять лошадь, иначе есть вероятность погибнуть. И все же есть отдельные моменты, когда лошадь не только дает энергию передвижения, но и сама определяет путь и направление (всадник заснул или тяжело болен). Положение "Я" существенно сложнее, чем положение лошади ("Оно"). Во-первых, "Я" должно учитывать требования и условия реального окружающего мира, т.е. следовать принципу реальности. Во-вторых, "Я" испытывает постоянное давление со стороны мощного "Оно", и этот конфликт между требованиями внешнего мира ("Сверх-Я") и потребностями глубинных уровней личности ("Оно") порождает у "Я" постоянную внутреннюю тревогу и беспокойство. В-третьих, "Я" подвергается отдельному нажиму "Сверх-Я", как моральному прессу, совести. И это, в свою очередь, вызывает у человека глубинное чувство вины. Эти конфликтные взаимоотношения уровней личности, по мнению Фрейда, являются по сути неразрешимыми, и именно в них лежит ключ ко всем психологическим и патологическим проблемам как личности, так и общества [20]. По своему положению и функциям в психике человека "Сверх-Я" призвано осуществлять сублимацию бессознательных влечений, т.е. переключение антикультурных порывов "Оно" в социально приемлемые виды деятельности "Я". Согласно Фрейду, "Сверх-Я" является "наследником Эдипова комплекса и, следовательно, выражением самых мощных движений "Оно" и самых важных судеб его".

Жесткая моральная цензура "Сверх-Я" мешает осознанию собственных глубинных мотивов и устремлений, осуществление которых несовместимо с требованиями общества и морали. Это проявляется далеко не только в сфере сексуального, но и в обыденных поведенческих актах. Почему, скажем, завистник далеко не всегда осознает истинные причины своей ненависти к объекту зависти? Потому, что им с раннего детства усвоено, что зависть - чувство недостойное, неприличное, низменное. Если это осознать, то резко понизится своя самооценка, самоуважение. Существенно легче объяснить себе и окружающим собственные чувства действительными или мнимыми пороками и недостатками объекта зависти. Таким образом и отрицательные чувства сохранены и объяснены, и самоуважение не страдает. Этот итог конфликта обеспечивается действием открытых Фрейдом, так называемых, "защитных механизмов".

Таким образом, в ходе проведения изучения аналогичных исследований семинару «Господин и истерик» находятся теории З. Фрейда, описывающие истерии, важность речевого общения в процессе психоанализа и неоднородность личность, наличие в ее психике трех структурных элементов.

 

. Раскрытие результатов исследования


Семинар представляет собою обсуждение четырех основных «схем» Лакана, которые покрывают все возможные отношения субъекта:

-       Дискурс «Господина».

-       Дискурс «Университета».

-       Дискурс «Истерика».

-       Дискурс «Аналитика».

Точно настоящий шифровальщик, Лакан оперирует цифрами и буквами, изображая схематический состав каждого из этих дискурсов. Дискурс в данном случае означает способ ведения речи, или те отношения, в которые вступает субъект, поскольку он субъект речи, то есть тот, кто говорит. Поскольку он - Человек. Человек, существо говорящее, есть тот, кто вынужден представать перед Другим, а значит, себя расщеплять. Расщепленность же значит: человек есть тот, кто ощущает в себе какую-то важную нехватку или, по определению Лакана, тот, кто желает непрерывно. И с этим Другим он может вступать в отношения господства и рабства или же в отношения «знания», в отношения «любви» или же в отношения «анализа». Таким образом и выводятся те четыре элемента, что каждый раз составляют подоснову «циркуляции желания», или речи.

Итак, есть субъект, который испытывает нехватку, S-перечеркнутый, как его называет Лакан. Или, что то же самое, «человек-с-симптомом». Есть объект его желания, знаменитое «маленькое а», то самое ценное, от чего субъект не может отказаться ни за что на свете, как мать от ребенка. Есть то, что S перечеркнутый считает своим искомым состоянием, S1. Это тот, кто в данной схеме воплощает в себе полноту желанного - тот, от имени кого Субъект и признается недостаточным. И еще есть тот, кто репрезентирует такой недостаточный субъект внутри этих отношений, то есть S2. Если искомая полнота называется Господин, то ищущий его - Раб. Если искомая полнота это Учитель, то ищущий - Ученик, если это Врач-Возлюбленный, то его соответствие - Истерик, если же речь идет об Аналитике, то тот, кто от него зависит, - Анализируемый. Причем в каждом таком соотношении местоположение четырех элементов будет меняться относительно других. Дискурс Господина и Университета выстраиваются по-разному. Но как S1 и S2 во внешней игре самопредставлений связаны жесткой связью, точно такой же связью связаны S-перечеркнутый и объект «маленькое а» в их внутренней игре желания, так что последовательности четырех элементов не могут быть произвольными и не все комбинации будут иметь смысл. А только четыре, о которых мы сказали.

Семинар последовательно разбирает эти четыре схемы, более того, он выстраивает и модуляции между ними. Порядок четырех дискурсов Господин-Университет-Истерик-Аналитик тоже не случаен. И тоже, можно сказать, является абрисом той судьбы, которую испытывает субъективность в XX веке. Ведь только в последнем из дискурсов, дискурсе Аналитика, Лакан видит возможности освобождения. Интересен тот факт, что в 1968 году в Париже студенты предложили Жаку Лакану возглавить восстание против Университета и Правительства, и Лакан отказался. «Вы как хотите, а я пойду домой», - ответил он [10]. Разбирая этот сюжет, семинар показывает, что, по Лакану, Раб, восставший против отчуждения своего наслаждения в пользу Господина, производит только нового Господина, точно так же как и Студент, восставший против вменения ему «Профессорами» нехватки знания, придет к тому, что снова вернется за парту. Два дискурса - Господин и Университет - предельно связаны между собою, потому что в конце концов они предполагают еще и функционирование системы. Точно так же и Истерик, как только почувствует, что Врач раскрывает тайну его симптома, сделает все, чтобы найти нового Врача и тем продолжить функционировать внутри той схемы, в которой длится его страдание, дающее ему наслаждение. Функционируя по своей замкнутой схеме, первые три дискурса все время помещают нехватку как бы вовне самого субъекта и материализуют ее: получается так, что субъект постоянно видит в Другом, отделенном от него самого, носителя абсолютного значения. Поэтому несмотря на то, что в периоды эйфории субъекту может казаться, что он наконец соединился с Господином, или обрел Знание, или встретил Любовь, на деле следующим ходом он снова впадает в страдание, в «симптом», или же застывает в оцепенении.  Семинар внимательно выделяет и гегелевский корень лакановской проблематики, указывая, что максимальный Господин, то есть полнота реализованности, осуществленности, это не что иное как Смерть. Ведь именно тогда человек перестает желать и обретает Знание. Для Лакана же очевидно, что задача человека - быть живым, и более того - быть настойчивым в этом отношении: «не отступай от своего желания». Что значит и следующее: не отступай от своего симптома. Симптом - это и есть язык, он кричит в тебе, он говорит, он устроен как символ, как загадка, указывающая не только на нехватку, но и на смысл. Последний из дискурсов, аналитический, опирается на предшествующий ему истерический (тот, в котором уже усомнившийся во власти системы Субъект начинает требовать Любви), но хитрым образом переворачивает его. Вызывая в «истерике» перенос, то есть дожидаясь момента, когда больной начнет видеть именно в нем воплощение своего желания, восполнение своей нехватки, Психоаналитик должен на этом месте исчезнуть, раствориться и вернуть человека в самое сердце его нехватки - к себе самому, открывая ему, что причина желания - он сам, поскольку он - человек.

В момент, когда это происходит, вдруг выясняется, что Истерик (а любой больной, доступный анализу, должен сначала оказаться или преобразоваться в бесконечно говорящего Истерика) всегда описывает свою травму в терминах S1. Он говорит не от себя, а как бы от имени того, что вменялось ему обществом, родителями, любой инстанцией, которая выставляла себя как полностью реализованная, держащая его судьбу в своих руках. Именно эти положения и начинают осыпаться с «перечеркнутого» субъекта, и за ними открывается то, что его симптом это одновременно и его собственный способ образовывать смысл, это не только его «беда», а и его «счастье». В качестве примера такого преобразования в счастье М. Титова приводит строчки из Уитмена, из «Песни себе» - «даже если ты неказист, угреват, прыщеват, если ты вор или проститутка, то разве это значит, что ты менее бессмертен, чем другие?» Это не компенсация, не заполнение нехватки, всегда иллюзорные, а это выход в понимание глубины, заключенной в тебе же.

Многим, однако, достаточно Университета, и Истерии-Любви, или Господина. Последний, аналитический, дискурс, как утверждает М. Страхов, подходит лишь для тех «несчастных», кто не находит утешения в комфортной связи с другим, кто остается расщепленным. И кто тем самым готов открыть, что каждый из них и есть «другой», то есть одновременно и единственный, и один из многих, и не важно какой, любой.

В теме «Господин и истерик» наиболее подробно раскрывается дискурс «Господина» и «Истерика».

Рассмотрим дискурс Господина. Суть Господина - «он не знает, чего он хочет» [10, с. 35]. Вот что составляет подлинную структуру дискурса господина: раб знает многое, но что он знает еще лучше, так это что хочет господин, даже если этот последний не знает этого сам - как это обычно и бывает, так как иначе он господином не был бы. Раб же это знает, и в этом его, раба, главная функция и состоит. Именно поэтому система, собственно, и работает - работает, так или иначе, уже давно.

В дискурсе господина место доминанты занимает S1. Ж. Лакан называет ее законом.

Рассмотрим дискурс Истерика, который заключается в том, чтобы получить наслаждение.

Удовольствие ограничивает наслаждение («удовольствие связано не с праздностью, а именно с зависимостью или эрекцией желания», - говорил Ж. Лакан в семинаре «Объектные отношения»), но субъект постоянно ища их, склоняется к тому, чтобы перейти эти ограничения, результатом этого становится получение того, когда субъект не может этого вынести (мучительно, тяжело), отсюда становиться ясно, что это становиться ещё и наслаждением.

.        Наслаждение всегда связано со стремлением к смерти.

.        Наслаждение поддерживает себя со структурой. Это связано с тем, что Лакан понимал как связано прародительское знание, знание как наслаждение от чего то «Большого Другого»

.        Наслаждение имеет отношение к различию полов:

·        мужского - фаллического,

·        женского - нефаллического.

На уровне дискурса истерика доминанта является в форме симптома. Именно вокруг симптома все, свойственное дискурсу истерика, организуется и сосредотачивается.

Это подает повод к одному замечанию. Если место это остается одним и тем же, и если, в данном конкретном дискурсе, его занимает симптом, это приводит к тому, что и в других дискурсах мы обращаемся к этому месту как месту симптома.

Истерик хочет дать знать, что язык пробуксовывает, не в силах охватить то, что больной истерией может, будучи женщиной, открыть нам о наслаждении. Но для истерического больного важно совсем не это. Что для нее действительно важно, так это чтобы другой, который носит имя мужчины, знал, каким бесценным объектом становится она в этом контексте, контексте дискурса.

Говоря «истерички» Ж. Лакан имеет в виду не только женщин, но и мужчин, поскольку психоанализ проходит множество мужчин, которые, уже в силу этого, волей-неволей проходят через дискурс истерика, так как в психоанализе это закон, правило игры.

Говоря об этом дискурсе, истерией, связано как раз с тем, что он затушевывает различия, позволяющие заметить, что даже в случае, если бы эта историческая машина, представляющая собой на самом деле лишь череду школ и ничего больше, пришла бы все-таки к абсолютному знанию, то результатом стало бы крушение, развал того, что одно функцию знания, собственно, и мотивирует, - диалектики, связывающей знание с наслаждением.

Примером истерии может служить Антигона из трагедии Софокла [17]. Дочь фиванского царя Эдипа, предавшая вопреки запрету царя Креонта погребению тело своего брата Полиника, превращается в ключевую фигуру. За нарушение закона своего дяди Креонта Антигона оказывается в темнице, где кончает жизнь самоубийством. Лакан формулирует свое положение о свободе: человек свободен, как говорил Спиноза, лишь в своем желании свободы, желании, которое дает ему свободу умереть, подобно Антигоне, но человек этот вынужден подчиняться коллективности, в которой добро и зло правят одним и тем же императивом.

История Антигоны Софокла - история отношения живых и мертвых. Трагическая героиня, Антигона выходит по ту сторону служения добру. Она создает символический симптом.

Антигона представляет собой трагедию, а трагедия всегда присутствует в психоаналитическом опыте на первом плане - недаром Фрейд, привлеченный богатством их мифического содержания, нашел в Эдипе, равно как и в других трагедиях, опору своим воззрениям. И то, что об Антигоне он прямо не говорит, не помешает нам здесь, на распутье, где мы находимся, именно ее выдвинуть на первый план. Она представляется для нас тем же, чем была уже в глазах Гегеля, но несколько в другом смысле - трагедией Софокла, занимающей, пожалуй, в его творчестве несколько особое место.

Трагедия лежит в самом корне нашего опыта не только благодаря образу эдипова комплекса, но и в гораздо более тесном смысле, как свидетельствует о том ключевое, осевое для нас и для нее слово - слово катарсис.

Для человеческого слуха это слово, наверняка, более или менее тесно ассоциируется с термином отреагирование. Предполагается, что понятие отреагирования оставило позади проблему, поставленную Фрейдом в его основополагающей работе, написанной в соавторстве с Брейером - проблему разрядки, разрядки действием, двигательной разрядки чего-то такого, что определить оказывается не так то просто и что остается, надо признать, и по сей день до конца не понято - разрядки эмоции, оставшейся в состоянии задержки. Речь идет о том, что та или иная эмоция или травма могут оставить после себя в субъекте нечто такое, что будет сохраняться в нем в задержанном состоянии - оставаться до тех пор, пока не обретено будет заново некое внутреннее согласие. Понятия неудовлетворенности вполне довольно, чтобы создать видимость понятности, которая в данном случае требуется.

Понятие катарсиса, связанное в этом тексте с проблемой отреагирования и откровенно в нем на заднем плане уже присутствующее, имеет античное происхождение. У истоков его стоит определение Аристотеля, данное им в начале шестой главы Поэтики, где он долго рассуждает о том, какие жанровые признаки необходимы для того, чтобы назвать произведение трагедией.

Как правило, слово катарсис переводится как очищение.

Антигона позволяет нам увидеть то средоточие цели, которое, собственно, и определяет собой желание, которое характерно для истерика.

В средоточии этом находится образ, окруженный некоей тайной, которая оставалась до сих пор неизреченной, ибо взглянуть на нее не зажмурив глаза человек был не в силах. Образ этот находится, однако, в центре трагедии, ибо это не что иное, как завораживающий образ самой героини ее, Антигоны. Ибо мы прекрасно знаем, что помимо диалогов драмы, помимо семьи, родины, помимо рассуждений на моральные темы, завораживает нас именно она - завораживает исходящим от нее нестерпимым блеском, чем-то таким, что сдерживает и в то же время озадачивает нас, внушая нам робость, что сбивает нас в этом страшном и добровольном жертвоприношении с толку. То есть внешний облик Антигоны также выдает ее истерические черты.

В данной трагедии кроме проявлений истеричности Антигоны мы имеем дело с конфликтом дискурсов, в том смысле, что именно в них все главное заключается и что, более того, они движутся в направлении некоего примирения. Хотелось бы узнать, о каком примирении может идти речь в конце Антигоны. И не без удивления читаем мы далее, что примирение это, ко всему прочему, носит еще и субъективный характер.

Как видно из трагедии - Антигоной движет страсть. По мнению Гёте страсть Антигоны наиболее ярко проявляется в следующих действиях трагедии, когда арест Антигоны, вызов, брошенный ею Креонту, ее осуждение и самые ее жалобы уже позади, когда она стоит на краю гробницы, на вершине гол-гофского пути, которым мы за ней следовали, она останавливается, чтобы оправдаться в своем поступке. Уже поддавшись было слабости, уже пройдя через своего рода "Отче, почему ты меня оставил?", она вновь берет себя в руки. Знайте - говорит она - я никогда не пошла бы против гражданских законов, если бы в погребении было отказано моему мужу или ребенку, потому что, потеряй я таким образом мужа, я могла бы в подобных обстоятельствах взять другого, а потеряв вместе с мужем и ребенка, могла бы от следующего мужа родить еще одного. Но речь идет о моем брате, рожденного от моей матери и моего отца.

Стремление Антигоны к смерти, которые выдают ее истеричность, хорошо представлены в стихах трагедии.

Вся драма Антигоны сосредоточена в слове, которое повторяется в пьесе двадцать раз, что в тексте таком коротком звучит на все сорок, но что не мешает ему остаться порой при чтении незамеченым - слово ατη (что переводится как «порог, граница»). События трагедии дают возможность предположить, что порог этот в жизни Антигоны лежит между жизнью и смертью.

Слово это незаменимо. Оно означает предел, за которым, преодолев его, человеческая жизнь не способна остаться надолго. По ту сторону ατη можно продержаться лишь очень короткое время, и именно туда Антигона стремится. Экспедиция эта - не повод для умиления. Свидетельство о том, в каком состоянии находится Антигона, доносится из ее уст - она, в буквальном смысле, не может больше так жить. Ее жизнь никчемна. Она живет памятью о злосчастной судьбе того, от кого ведет свое начало ее род, пресекшийся только что с гибелью двух ее братьев. Сама Антигона ютится в доме Креонта и должна быть послушна его закону - и с этим она не может смириться.

Стихи 559-560 характеризуют позицию Антигоны по отношению к жизни - она говорит, что душа ее давно мертва, что предназначение ее в том, чтобы прийти на помощь.

В стихах 611-614 и 620-625 хор говорит о пороге беды, вокруг которого разыгрывается вся интрига желания Антигоны.

Выражение, которым заканчиваются оба эти отрывка - ίκτος aras - необычайно важно. Έκτος означает вне и характеризует то, что происходит, когда порог оказывается преодолен. Так, например, стражник, принесший весть о событии, подрывающем авторитет Креонта, говорит под конец о себе, что он έκτος ελπίδος, по ту сторону надежды, что он потерял всякую надежду на спасение. Έκτος ατας означает в тексте переход границы - именно эта мысль и развивается здесь. Антигона желает смерти потому, что человек принимает зло за добро, потому, что за пределом ατη нашлось что-то такое, что стало для Антигоны собственным ее благом - благом, которое другие не разделяют.

Чтобы подойти к этой проблеме способом, который позволил бы свести мои замечания воедино, мне необходимо вернуться к простому, непредвзятому, остраненному взгляду на героиню трагедии - ту, что сейчас перед нами, на Антигону.

Господином в данной трагедии является Креонт, который устанавливает закон.

Антигона противостоит Креонту как синхрония - диахронии.

Истеричность проявляется и у героинь многих других трагедий. Говоря об этом, можно призвать на помощь много сопоставлений. Антигона, висящая в гробнице, наводит не только на мысль о самоубийстве - ведь существует множество мифов о повесившихся юных девушках. Такова, например, история Эригоны, связанная с установлением культа Диониса. Отец ее, которому Дионисий принес в дар вино, не умея правильно им воспользоваться, овладел ею, и когда он умер, дочь повесилась на его могиле. Миф этот служит объяснением целого ритуала, в котором возникают более или менее упрощенные, символические по характеру своему образы висящих на деревьях девушек. Существует, короче говоря, ритуальный и мифический задний план, готовый вернуться, чтобы внести в то, что предлагается нам на сцене, ноту религиозной гармонии. И все же в софокловской перспективе герой не испытывает в этом божественном плане ни малейшей нужды. Антигона - это существо, уже выбравшее дорогу к смерти. Призыв к богам, паразитирующий на этом стебле, ничего не меняет в брошенном человеком вызове.

Таким образом, в раскрытии результатов исследования семинара «Господин и истерик», было выявлено, что данный семинар представляет собою обсуждение четырех основных «схем» Лакана, которые покрывают все возможные отношения субъекта:

-       Дискурс «Господина».

-       Дискурс «Университета».

-       Дискурс «Аналитика».

Точно настоящий шифровальщик, Лакан оперирует цифрами и буквами, изображая схематический состав каждого из этих дискурсов.

Дискурс в данном случае означает способ ведения речи, или те отношения, в которые вступает субъект, поскольку он субъект речи, то есть тот, кто говорит.

Примером истерии может служить Антигона из трагедии Софокла. Истерия Антигоны главным образом проявляется в ее стремлением к смерти и в описании ее внешнего вида. Истерику Антигоне противопоставляется господин Креонт, который создает законы.

Заключение


В ходе проведения исследования по теме «Господин и истерик» было выявлено, что:

) Описать творчество Лакана крайне сложно - кроме того что оно чрезвычайно многогранно и подвижно, свои идеи он предпочитал излагать не в письменном виде, а на семинарах, материалы которых только в конце его жизни стали публиковаться. Основным направлением мысли Лакана была структуралистская ревизия и внимательное перечитывание текстов Фрейда. Несмоторя на общую значимость своих идей для понимания человека и общества и на интерес к новейшим достижениям философии и науки, Лакан никогда не терял из виду ориентацию на психоаналитическую практику и одной из главных своих целей ставил понимание того, что, собственно, происходит в процессе анализа.

) В семинаре «Господин и истерик» основными понятиями является: дискурс, знание и истерия.

У Жака Лакана нет четких определений данных понятий.

) Важность означающего, дискурса, его связь с истерией появились в работах З. Фрейда.

З. Фрейд показал, что психоанализ - это речевой эксперимент, требующий пересмотра подхода к речи как таковой и к составляющим ее элементам, означающим.

Внутренняя разрозненность человека также отражена в работах З. Фрейда, что выражается в трех основных структурных элементах личности.

) Семинар «Господин и истерик» представляет собою обсуждение четырех основных «схем» Лакана, которые покрывают все возможные отношения субъекта:

-       Дискурс «Господина».

-       Дискурс «Университета».

-       Дискурс «Истерика».

-       Дискурс «Аналитика».

Точно настоящий шифровальщик, Лакан оперирует цифрами и буквами, изображая схематический состав каждого из этих дискурсов.

Дискурс в данном случае означает способ ведения речи, или те отношения, в которые вступает субъект, поскольку он субъект речи, то есть тот, кто говорит.

Примером истерии может служить Антигона из трагедии Софокла.

Таким образом, задачи исследования - решены:

. Изучена истории семинара «Господин и истерик».

. Рассмотрен основной понятийный аппарат семинара «Господин и истерик» Ж. Лакана.

. Проанализированы аналогичные исследования.

. Раскрыты результаты исследования.

Следовательно, цель исследования: изучить тему «Господин и истерик» - досигнута.

Изучив проблему господина и истерика, хочется изложить следующие рекомендации по изложенной проблеме:

В процессе психоанализа необходимо учитывать, что человек, существо говорящее, есть тот, кто вынужден представать перед Другим, а значит, себя расщеплять. Расщепленность же значит: человек есть тот, кто ощущает в себе какую-то важную нехватку или, тот, кто желает непрерывно. И с этим Другим он может вступать в отношения господства и рабства или же в отношения «знания», в отношения «любви» или же в отношения «анализа». Таким образом, в процессе психоанализа необходимо учитывать четыре элемента, что каждый раз составляют подоснову «циркуляции желания», или речи.

Наибольшее внимание стоит уделять дискурсу господина и истерика.

Суть господина - он не знает, чего он хочет. Истерик, в свою очередь, хочет дать знать, что язык пробуксовывает, не в силах охватить то, что больной истерией может, будучи женщиной, открыть нам о наслаждении.

Изучение проблемы господина и истерика позволяет применить результаты этого на практике: по-новому взглянуть на внутренний мир человека, глубже понять его во время психоанализа, осознать особенности действий в литературных произведениях.

Список литературы


1.      Бенвенуто С. Мечта Лакана. - СПб.: «Алетейя», 2006.

.        Дьяков А.В. Жак Лакан. Фигура философа. М.: Издательский дом "Территория будущего", 2010 (Серия "Университетская библиотека Александра Погорельского").- 560 с.

.        Лакан Ж. Функция и поле речи и языка в психоанализе. - М: Гнозис, 1995.

.        Лакан Ж. Инстанция буквы в бессознательном или судьба разума после Фрейда. - М: Русское феноменологическое общество/Логос, 1997.

.        Лакан Ж. Семинары. Книга 1: Работы Фрейда по технике психоанализа (1953/54). - М.: Гнозис/Логос, 1998.

.        Лакан Ж. Семинары. Книга 2: «Я» в теории Фрейда и в технике психоанализа (1954/55). - М.: Гнозис/Логос, 1999.

.        Лакан Ж. Семинары. Книга 5: Образования бессознательного (1957/58). - М.: Гнозис/Логос, 2002.

.        Лакан Ж. Семинары. Книга 7: Этика психоанализа (1959/60). - М.: Гнозис/Логос, 2006.

.        Лакан Ж. Семинары. Книга 11: Четыре основные понятия психоанализа (1964). - М.: Гнозис/Логос, 2004.

.        Лакан Ж. Семинары. Книга 17: Изнанка психоанализа (1969/70). - М.: Гнозис/Логос, 2008.

.        Мазин В. Введение в Лакана. М.: Прагматика культуры. 2004

.        Мазин В. «Онейродискурс. Приложение к тексту «Лакан и космос»»//Лакан и космос. СПб.: «Алетейя», 2006. Серия «Лакановские тетради».-Сс.79-96.

.        Мазин В. Паранойя: Шребер - Фрейд - Лакан. СПб.: Скифия-Принт, 2009.

.        Мазин В. «Лакан»//Современная западная философия. Энциклопедический словарь/Под ред. О.Хеффе, В.С.Малахова, В.П.Филатова при участии Т.А.Дмитриева. Ин-т философии.-М.: Культурная революция, 2009.-Сс.282-283

.        Рудинеско Э. «Жак Лакан»//Логос №5 (1999). Пер. с фр. Т.А.Михайловой. С.200-211.

.        Солер К. «Клинические уроки перехода»//Логос, 1994, №5.

.        Софокл. Эдип-царь; Эдип в Колоне; Антигона. - М.: Азбука-классика, 2006.

.        Суслова О.Ю. «Введение в чтение Лакана: «Стадия зеркала»»//Кабинет А: Картины Мира. СПб.: Инапресс.-С.143-161.

.        Фрейд З. Введение в психоанализ. - М.: Азбука, 2010.

.        Фрейд З. Психология бессознательного. - СПб.: Питер, 2010.

.        Цапкин В. «Жак Лакан. Хронология жизни и творчества»//Московский психотерапевтический журнал, 2002, №1.-С.7-16.

.        Черноглазов А.К. «Лакан с птичьего полета»//Логос №5 (1994), с.261-266.

.        Черноглазов А.К. «Приглашение к Реальному»//Комментарии №17 (1999), с.111-123

.        Черноглазов А.К. «Иконография реального»//Лакан и космос. СПб.: «Алетейя», 2006. Серия«Лакановские тетради».-С.136-162

.        Черноглазов А.К. «Граф желания. Опыт иного прочтения»//Психоаналiз, №1, Киев, 2006.-С.105-109

.        Юран А. Пространство и время в психоанализе//Вестник Психоанализа, №2,2001.

.        Юран А. «Образ/взгляд/глаз или психоаналитическая оптика»//Психоаналiз, №2 (5), Киев, 2004.-С.42-73.

.        Юран А. «“Утраченный” аффект психоанализа»//Психоаналiз, №2 (7), Киев, 2005.-132-160.

.        Юран А. «Топология Лакана»//Лакан и космос. СПб.: «Алетейя», 2006. Серия «Лакановские тетради».-С.97-134.

.        Юран А. «Этика невозможного в психоанализе» Психоаналiз, №1 (12), Киев, 2009.-С.61-84.

.        Юран А. «Психоанализ тела, или тело в поле языка»//Психоаналiз, №1 (11), Киев, 2008.-С.34-75.

.        Юран А. Психоанализ и "Конец определенности"//Инерция и искусство. Кабинет "И". СПб: Скифия-принт, 2008.

Похожие работы на - Психологический семинар Лакана 'Господин и истерик'

 

Не нашли материал для своей работы?
Поможем написать уникальную работу
Без плагиата!
Без нейросетей!