Комплексная стандартизация. Определение содержания влаги в зерне

  • Вид работы:
    Контрольная работа
  • Предмет:
    Сельское хозяйство
  • Язык:
    Русский
    ,
    Формат файла:
    MS Word
    513,39 kb
  • Опубликовано:
    2011-09-14
Вы можете узнать стоимость помощи в написании студенческой работы.
Помощь в написании работы, которую точно примут!

Комплексная стандартизация. Определение содержания влаги в зерне

Содержание

1. Комплексная стандартизация

. Определение содержания влаги в зерне и зерновых продуктах

Список литературы

1. Комплексная стандартизация


Комплексная стандартизация (КС) - стандартизация, при которой целенаправленно и планомерно устанавливают и применяют системы взаимоувязанных требований как к самому объекту комплексной стандартизации в целом, так и его основным элементам в целях оптимального решения конкретной проблемы.

Качество продукции зависит от многих факторов: свойств исходных материалов, конструкции, тщательности выполнения технологических операций и процессов, условий и методов испытаний, транспортирования, эксплуатации и т. д. Следовательно, необходимо стандартизировать не только конечные параметры готовой продукции, но и все объекты и процессы, которые влияют на качество готового изделия (рис. 1).

Комплексная стандартизация может быть направлена на повышение качества не только одного изделия, но и группы изделий. Так, для повышения качества продукции автотракторной промышленности была разработана целевая программа КС, предусматривающая проверку, пересмотр и разработку вновь 1400 стандартов.

Для численной оценки уровня КС используют интегральный коэффициент охвата изделий стандартизацией

 (1)

где Kj - частный коэффициент стандартизации каждого j-го (из числа и) элемента (компонента, объекта, процесса и т. д.), входящего в изделие.

Источники получения экономического эффекта от внедрения КС: повышение качества конечной продукции, снижение эксплуатационных затрат у потребителя, снижение себестоимости изготовления продукции в связи с использованием оптимальных параметров продукции, прогрессивной технологии, стандартных и унифицированных комплектующих изделий, повышение качества сырья и материалов.

Рис. 1. Схема объектов комплексной стандартизации

На основании цели разработки программы КС определяют последовательно уровни разработки и соответствующие им цели. К первому уровню можно отнести нормативно-техническую документацию (НТД) на конечные виды продукции, основные показатели технического уровня и качества. Ко второму уровню относятся НТД на конкретные виды сырья, материалов, комплектующих изделий, основные показатели качества которых обеспечивают достижение целей первого уровня. К третьему уровню относятся НТД, обеспечивающие достижение целей второго уровня, и т. д.

2. Определение содержания влаги в зерне и зерновых продуктах


Ниже приведено описание основного и рабочего методов определения содержания влаги в зерне и зерновых продуктах. Под содержанием влаги понимают потерю массы зерна, выраженную в процентах, полученную в результате высушивания.

Основной метод определения содержания влаги в зерне и зерновых продуктах, за исключением кукурузы, устанавливает ИСО 711. Метод применяют с использованием специального оборудования в лабораториях с лаборантами высокой квалификации. Метод является стандартным и используется для поверки и совершенствования других методов определения влажности.

Сущность метода заключается в высушивании размолотой при необходимости пробы при пониженном давлении и температуре 45-50°С с применением осушителя до получения постоянной массы. Химический состав продукта при этом не изменяется.

Реактивы

Используют реактивы квалификации чда.

Оксид фосфора (РгО5).

Серная кислота (H2SO4), плотностью не менее 1,84 г/см3.

Приборы и оборудование

Используют обычное лабораторное оборудование, а также оборудование, приведенное ниже.

Весы аналитические.

Мельница. Мельница должна быть изготовлена из не поглощающего влагу материала, легко очищаться, с возможно меньшим «мертвым» пространством. Она должна позволять быстро размолоть пробу в однородную массу без заметного повышения температуры и, по возможности, без контакта с окружающей атмосферой.

Металлическая или стеклянная чашка с плотно прилегающей крышкой с площадью поверхности, позволяющей распределить испытуемую порцию зерна таким слоем, чтобы на 1 см2 поверхности приходилось не более 0,3 г (рис. 2). Чашка должна иметь плоское дно с полезной площадью 16 см2 и высотой с внутренней стороны 14 мм. Ее можно использовать с сушильной трубкой, показанной на рис. 5.4.

Стеклянная или фарфоровая чашка (лодочка) аналогичной конструкции.

Устройство для понижения давления до 1,3 - 2,6 кПа (13-23 мБар или 10-20 мм. рт. ст.), например, водоструйный насос.

Сушильная трубка, состоящая из двух секций, одна из которых закрыта с одного конца и предназначена для металлической чашки. Другая секция предназначена для стеклянной чашки и снабжена полукапиллярной трубкой и запорным краном для соединения с насосом. Обе секции соединяются на стеклянном шлифе. В таком устройстве можно охлаждать высушенную пробу без эксикатора (рис. 3).

Сушильный шкаф с постоянной температурой 45-50° С.

Осушитель воздуха, состоящий из промывочной бутыли с серной кислотой, соединенной с трубкой, в которой находится оксид фосфора (Р2О5), нанесенный на стекловату.

Эксикатор с эффективным осушителем.

Рис. 2. Металлическая чашка и крышка

Рис. 3. Сушильная трубка

Методика определения

Продукты, не требующие размола, имеют частицы размером менее 1,7 мм, при этом менее 10 масс. % частиц имеют размеры 1,0-1,7 мм и более 50 масс. % частиц - менее 0,50 мм. Если размеры частиц продукта отличаются от указанных выше, то продукт подвергают размолу без предварительного кондиционирования или после предварительного кондиционирования.

Размалывание без предварительного кондиционирования применяют для продуктов, влажность которых 7-17 масс. % (для овса и риса до 15 масс .%). Для этого в мельнице, отрегулированной для получения частиц с указанными выше размерами, размалывают небольшую часть зерна и отбрасывают ее. Затем быстро размалывают около 3,5 г зерна из пробы, перемешивают помол шпателем и сразу начинают испытания.

Продукты, в которых вероятно изменение влагосодержания в процессе размола (содержание влаги либо более 17 масс. %, либо менее 7 масс. %), перед помолом подвергают кондиционированию следующим образом.

Если содержание влаги более 17 масс. %, то в металлическом лотке взвешивают около 3,5 г зерна с точностью до 0,2 мг и высушивают в течение 1-2 ч так, как и при проведении определения. После этого вынимают лоток из сушильного шкафа, охлаждают в эксикаторе и взвешивают пробу с точностью до 0,2 мг. Быстро размалывают пробу, перемешивают ее шпателем и проводят испытания.

Если содержание влаги менее 7 масс. %, то около 3,5 г зерна, взвешенных с точностью до 0,2 мг, выдерживают в атмосфере лаборатории до тех пор, пока его влагосодержание не достигнет указанного диапазона.

Проведение определения

Быстро взвешивают около 3 г испытуемого материала с точностью до 0,0002 г в металлической чашке с крышкой, которая также была предварительно высушена и взвешена с той же точностью.

Открытую металлическую чашку с пробой (крышка от нее остается в эксикаторе) помещают у закрытого конца сушильной трубки. Около нее помещают стеклянную или фарфоровую чашку со слоем оксида фосфора толщиной 1 см. Соединяют две части сушильной трубки и с помощью насоса постепенно понижают в ней давление до 1,3-2,3 кПа. Затем вакуум перекрывают, часть трубки с испытуемой порцией помещают в сушильный шкаф при температуре 45-50°С.

Когда из-за насыщения влагой будет заметно спекание поверхности оксида фосфора, его заменяют, предварительно восстановив давление в трубке воздухом, прошедшим через аппарат для сушки воздуха. После замены оксида фосфора продолжают сушку так, как указано выше.

Приблизительно через 100 ч трубку вынимают из печи, охлаждают, восстанавливают в ней давление так, как описано выше. Затем трубку разъединяют, быстро вынимают чашку, накрывают крышкой и взвешивают с точностью до 0,2 мг. Операции повторяют до тех пор, пока масса не станет практически постоянной (разность между двумя взвешиваниями с интервалом в 48 ч станет менее 0,6 мг).

Проводят два определения на порциях продукта, отобранных из разных мест пробы для испытания.

Выражение результатов

Влагосодержание, выраженное в процентах по отношению к массе продукта, рассчитывают по следующим уравнениям. Без предварительного кондиционирования:


где

т0 - масса испытуемой порции, г;

т, - масса испытуемой порции после высушивания, г.

С предварительным кондиционированием:


где

т2 - масса пробы перед кондиционированием, г;

т3 - масса пробы после кондиционирования, г.

За результат принимают среднее арифметическое двух определений, если различие между ними не превышает 0,10 г влаги на 100 г продукта. В противном случае определение повторяют. Результат выражают до второго десятичного знака.

Точность метода

Разница между величинами, полученными в результате двух определений, проводимых одновременно непосредственно друг за другом одним и тем же лаборантом, не должна превышать 0,10 г влаги на 100 г пробы.

Квалифицированные специалисты в одной и той же лаборатории могут получить разницу менее 0,06 г влаги на 100 г пробы.

Замечания по методике

Диапазон показателей влажности, указанный для кондиционирования продуктов перед помолом, приблизительно соответствует условиям лаборатории, где температура воздуха 20°С и относительная влажность 40-70%. Для других атмосферных условий диапазон следует изменить.

Продолжительность предварительной сушки дана только в качестве рекомендации. Следует проверить, чтобы на имеющемся оборудовании и используемой пробе зерна был обеспечен необходимый уровень кондиционирования.

Продолжительность сушки составляет как минимум 150 ч.

Окрашивание поверхности оксида фосфора свидетельствует о незначительной потере из навески продукта летучих органических веществ. Если слишком заметная окраска связана с определенным ухудшением качества продукта, то рекомендуется снизить температуру нагрева.

Отчет об определении

Отчет об определении должен содержать следующую информацию:

а) ссылку на международный стандарт ИСО 711;

б)полное описание образца;

в)описание метода испытаний, дату испытаний, полученные результаты;

г)описание любых обстоятельств, не предусмотренных стандартом, а также любых условий, которые способны повлиять на результат.

Рабочий метод определения содержания влаги в зерне и зерновых продуктах устанавливает ИСО 712. Данный метод был успешно применен для следующих продуктов: пшеницы, риса, ячменя, проса, ржи и овса в виде зерен, дробленых зерен, манной крупы и муки. Однако его не применяют к кукурузе, для которой предусмотрен отдельный метод.

Сущность метода заключается в высушивании пробы при температуре 130+3°С при условиях, которые позволяют получить результаты, соответствующие результату основного метода. В случае необходимости производят помол пробы после предварительного кондиционирования.

Приборы и оборудование

Используют обычное лабораторное оборудование, а также оборудование, приведенное ниже.

Аналитические весы с точностью взвешивания ±0,001 г.

Чашка металлическая, не подвергающаяся коррозии в условиях проведения испытания, или стеклянная с достаточно плотно прилегающей крышкой. Площадь дна чашки должна позволять распределять пробу таким образом, чтобы ее масса на единицу площади была не более 0,3 г/см2.

Сушильный шкаф, поддерживающий постоянную температуру воздуха в пределах 130±3°С. Теплоемкость сушильного шкафа должна быть такова, чтобы пустой сушильный шкаф, нагретый до температуры 13 ГС, мог восстановить эту температуру менее чем за 30 мин после помещения в него максимального количества проб для одновременной сушки.

Эффективность вентиляции определяют с помощью крупы из твердой пшеницы с максимальным размером частиц 1 мм. Вентиляция должна обеспечивать условия, при которых после загрузки и высушивания при температуре 130±3°С максимально допустимого количества проб результаты высушивания одной и той же пробы в течение 2 ч и затем в течение 1 ч не отличались по содержанию влаги более чем на 0,15 г на 100 г пробы.

Эксикатор, содержащий эффективный осушитель.

Методика определения

Прежде чем отобрать нужное количество для испытания, следует тщательно перемешать лабораторную пробу. Продукты с размером частиц, представленным в табл. 1, не требуют помола перед определением содержания влаги.

Таблица 1 Распределение частиц по размерам в продуктах, не требующих предварительного помола

Размер частиц, мм

Соотношение, %

≤1,7 (1,8)а

100

>1,0 (1,0)б

10

<0,5 (0,56)а

50


а Номинальный размер апертурного отверстия сита, через которое частица проходит.

6 Номинальный размер апертурного отверстия сита, через которое частица не проходит.

Если продукты не требуют предварительного помола, быстро взвешивают с точностью до 0,001 г некоторое количество (чуть больше 5 г) лабораторной пробы в чашке, которая предварительно была высушена и взвешена вместе с крышкой с точностью до 0,001 г.

Если размеры частиц не соответствуют указанным выше требованиям, то пробу следует размолоть. Продукты, которые не претерпевают никаких изменений в процессе помола (как правило, это продукты с содержанием влаги 7-17 масс. %), подвергают помолу без предварительного кондиционирования.

Диапазон содержания влаги, данный для приведения продукта в соответствии с нормами перед помолом, приблизительно соответствует лабораторной атмосфере с температурой 20°С и относительной влажностью от 40% до 70%.

Продукты, влажность которых меняется в процессе помола (как правило это продукты с содержанием влаги более 17 масс. % или менее 7 масс. %), подвергают предварительному кондиционированию так, чтобы содержание влаги в них перед помолом соответствовало диапазону 7-17 масс. % (по возможности 9-15 масс. % ).

Если содержание влаги превышает 17 масс. % (наиболее частые случаи), взвешивают с точностью до 0,001 г некоторое количество лабораторной пробы, с тем, чтобы можно было выбрать порцию чуть более 5 г, и проводят предварительное высушивание по методике, изложенной ниже, с учетом, что время нагревания в сушильном шкафу должно составлять от 7 до 10 мин, а охлаждение продуктов до лабораторной температуры проводят в чашке без крышки вне эксикатора не менее 2 ч.

Если содержание влаги менее 7 масс. %, взвешивают с точностью до 1 мг некоторое количество пробы, позволяющее выбрать порцию для испытания чуть больше 5 г, помещают ее в соответствующие условия (обычно в условия лаборатории) и оставляют до тех пор, пока содержание влаги установится в пределах, указанных выше.

После кондиционирования взвешивают пробу с точностью до 1 мг, сразу же размалывают, контролируя степень помола для получения размера частиц, указанного выше. Сначала размалывают небольшое количество лабораторной пробы и отбрасывают его. Сразу после этого размалывают лабораторную пробу в количестве, слегка превышающем требуемое (приблизительно 6 г) и сразу же отбирают порцию для определения.

Быстро взвешивают все размолотое количество с точностью до 1 мг в чашке, которую предварительно высушивают и взвешивают вместе с крышкой с точностью до 1 мг.

Проведение определения

Открытую чашку, содержащую порцию для испытания, вместе с крышкой помещают в сушильный шкаф и оставляют на 2 ч (90 мин для муки) с того момента, когда температура в сушильном шкафу установится в пределах 130±3°С.

Быстро вынимают чашку из сушильного шкафа, закрывают крышкой и помещают в эксикатор. При одновременном проведении нескольких испытаний не следует ставить чашки в эксикаторе друг на друга.

После того как чашка остынет до лабораторной температуры (обычно 30-50 мин после того, как ее извлекли из сушильного шкафа), проводят взвешивание с точностью до 1 мг.

Проводят два определения на порциях продукта, взятых из разных мест пробы для испытания. Если абсолютная разница между двумя результатами превышает предел повторяемости, повторяют определение, пока это требование не будет соблюдено.

Выражение результатов

Содержание влаги, выраженное в процентах по массе полученного продукта, определяют по приведенным ниже уравнениям. Без предварительного кондиционирования:


где

т0 - масса испытуемой порции, г;

т1 - масса испытуемой порции после высушивания, г.

С предварительным кондиционированием:


где

т2 - масса пробы перед кондиционированием, г;

т3 - масса пробы после кондиционирования, г. За результат принимают среднее арифметическое двух полученных величин при соблюдении требований к воспроизводимости.

Точность метода

Результаты межлабораторного эксперимента, проведенного в 1994 г. с участием 17 лабораторий, показали надежность метода определения содержания влажности.

Разница между двумя величинами, полученными в результате двух определений, проведенных одновременно или непосредственно друг за другом одним и тем же лаборантом, не должно превышать 0,15 г влаги на 100 г пробы. В противном случае определения повторяют. Полученный результат округляют с точностью до 0,05.

Полученные результаты при сравнении с результатами основного контрольного метода отличаются, как правило, не более чем на 0,15 г влаги на 100 г пробы.

Замечания по методике

Диапазон показателей влажности для кондиционирования продуктов перед помолом обычно соответствует условиям лаборатории, где температура воздуха 20°С и относительная влажность 40-70%. Для других атмосферных условий диапазон может быть изменен.

Не следует помещать влажные продукты в сушильный шкаф, в котором находятся почти высушенные пробы, т.к. это может привести к частичной гидратации высушенного вещества и получению ошибочных результатов.

Отчет об определении

Отчет об определении должен включать следующую информацию:

а)ссылку на международный стандарт ИСО 712;

б)полное описание пробы и дату проведения определения;

в)ссылку на примененный метод и полученный результат;

г)частности в проведении определения, не указанные в настоящем международном стандарте, или считающиеся необязательными;

д)факторы, которые могли повлиять на результаты определения.

Метод определения содержания влаги (контрольный метод, типовой метод и абсолютный метод) в цельных и размолотых зернах кукурузы устанавливает ИСО 6540. Особенностью кукурузных зерен является очень высокое (иногда свыше 40 масс.%) содержание влаги, что не позволяет без существенных поправок использовать методы, приведенные выше.

Под содержанием влаги понимают выраженную в процентах потерю массы продукта, происходящую в условиях, описанных в каждом методе.

. КОНТРОЛЬНЫЙ МЕТОД

Сущность метода заключается в высушивании испытуемой порции, размолотой при необходимости после предварительного кондиционирования, при температуре 130- 133°С в условиях, позволяющих получать результат, согласующийся с результатом, полученным с помощью абсолютного метода.

Приборы и оборудование

Используют обычное лабораторное оборудование, а также оборудование, приведенное ниже.

Аналитические весы.

Мельница. Мельница должна быть изготовлена из не поглощающего влагу материала, легко очищаться, с возможно меньшим мертвым пространством. Она должна позволять быстро размолоть пробу в однородную массу без заметного повышения температуры и, по возможности, без контакта с окружающей атмосферой.

Металлический лоток без крышки с площадью, позволяющей распределить 100 г зерен кукурузы в один слой.

Металлическая чашка или стеклянная чашка с плотно прилегающей крышкой с площадью поверхности, позволяющей распределить испытуемую порцию зерна таким слоем, чтобы на 1 см2 поверхности приходилось не более 0,3 г (см. рис. 5.3). Чашка должна иметь плоское дно с полезной площадью 16 см2 и высотой с внутренней стороны 14 мм. Ее можно использовать с сушильной трубкой, показанной на рис. 5.4.

Сушильный шкаф с постоянной температурой 60-80°С, с хорошей вентиляцией.

Сушильный шкаф с постоянной температурой в пределах 130-133°С. Шкаф должна обладать такой теплоемкостью, чтобы после первоначального разогрева до 13 ГС, он мог вновь нагреться после помещения в нее максимального числа порций зерна до той же температуры не более чем за 45 мин (желательно за 30 мин и менее). Вентиляция должна позволять высушивать максимальное количество порций кукурузной крупки (размер частиц менее 1 мм) в течение 1 ч (при двухчасовом предварительном разогреве) при 130-133°С до такого состояния, чтобы результаты определения содержания влаги в каждой порции отличались лишь на 0,15 г на 100 г крупки.

Эксикатор с эффективным осушителем.

Методика определения

Продукты, не требующие помола, содержат частицы размером менее 1,7 мм, при этом менее 10 масс. % частиц с размером 1,0-1,7 мм и более 50 масс. % частиц с размером менее 0,50 мм. Если размер частиц продукта отличается от указанных выше, то продукт подвергают помолу без предварительного кондиционирования или после предварительного кондиционирования.

Помол без предварительного кондиционирования применяют для продуктов, влажность которых 9-15 масс.%. Для этого в мельнице, отрегулированной для получения частиц с указанной выше дисперсностью, размалывают небольшую часть зерна и отбрасывают ее. Затем быстро размалывают около 30 г зерна из пробы, перемешивают помол шпателем и сразу начинают испытания.

Продукты, в которых вероятно изменение влагосодержания в процессе помола (содержание влаги либо более 15 масс.%, либо менее 9 масс.%), перед помолом кондиционируют следующим образом.

Если содержание влаги более 15 масс.%, то в металлическом лотке взвешивают 100 г зерна с точностью до 0,01 г, помещают лоток в сушильный шкаф при температуре 60-80°С на время, необходимое для высушивания продукта до влажности 9-15 масс.%. После этого вынимают лоток из сушильного шкафа, охлаждают в течение 2 ч в помещении лаборатории и взвешивают пробу с точностью до 0,01 г. После этого быстро размалывают около 30 г зерна, перемешивают шпателем и проводят испытания.

Если содержание влаги менее 9 масс.%, то около 100 г зерна, взвешенных с точностью до 0,01 г, выдерживают в атмосфере лаборатории до тех пор, пока влагосодержание не достигнет указанного диапазона.

Проведение определения

Быстро взвешивают около 8 г испытуемой пробы с точностью до 0,001 г в металлической чашке с крышкой. Крышка должна быть также предварительно высушена и взвешена с точностью до 0,001 г. Открытую чашку с крышкой помещают в сушильный шкаф при температуре 130- 133°С и выдерживают в течение 4 ч с того момента, как температура в сушильном шкафу вновь достигнет 130-133°С. Затем быстро вынимают чашку из сушильного шкафа, закрывают ее крышкой и помещают в эксикатор. Когда чашка остынет (обычно через 30-45 мин), ее взвешивают с точностью до 0,001 г.

Проводят два определения на порциях продукта, взятых из разных мест одной и той же лабораторной пробы (рис. 4).

Выражение результатов

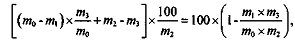
Влагосодержание, выраженное в процентах по отношению к массе продукта, рассчитывают по следующим уравнениям. Без предварительного кондиционирования:


где

т0- масса испытуемой порции, г;

т1 - масса испытуемой порции после высушивания, г.

комплексный стандартизация зерновой высушивание

Рис. 4. Схема двух возможных способов подготовки проб С предварительным кондиционированием


где

т2 - масса пробы перед кондиционированием, г;

т3 - масса пробы после кондиционирования, г.

За результат принимают среднее арифметическое двух определений, если разница между ними не превышает 0,15 г влаги на 100 г продукта. В противном случае определение повторяют. Результат выражают до второго десятичного знака.

При сравнении этих результатов с результатами, полученными абсолютным методом, разность, как правило, составляет менее 0,15 г влаги на 100 г продукта.

Для кондиционирования содержание влаги в атмосфере должно быть в пределах 40-70% при температуре 20°С. Не следует помещать влажные пробы в сушильный шкаф, в котором находятся почти высушенные пробы, поскольку это приведет к завышению результатов. В целях получения более представительной пробы проводят кондиционирование 100 г продукта, из них для помола отбирают 30 г зерна, из которых для испытаний отбирают 8 г размолотого продукта. Меньшие величины приводят к большему расхождению результатов.

.ТИПОВОЙ МЕТОД

Сущность метода заключается в высушивании целых зерен кукурузы в течение 38 ч при температуре 130-133°С. Метод не пригоден для использования в качестве контрольного, а также для поверки влагомеров.

Используют оборудование, указанное в п. 1.

Методика определения

Высушивают и взвешивают с точностью до 0,01 г металлическую чашку вместе с крышкой. Затем в нее быстро насыпают 25-40 г целых зерен, закрывают чашку крышкой и взвешивают с точностью до 0,01 г. Открытую чашку помещают в сушильный шкаф при температуре 130-133°С на 38±2 ч (обычно две ночи и один день). Крышку кладут рядом с чашкой.

По истечении срока сушки чашку быстро вынимают из сушильного шкафа, накрывают крышкой и помещают в эксикатор для остывания (обычно 30-45 мин). Остывшую чашку взвешивают с точностью до 0,01 г.

Проводят не менее двух определений на испытуемых порциях, взятых от одной и той же лабораторной пробы.

Выражение результатов

Содержание влаги (масс.%) рассчитывают по уравнению:


Где т0 - масса пустой чашки с крышкой, г;

т1 - масса чашки, крышки и испытуемой порции до высушивания, г;

т2 - масса чашки, крышки и испытуемой порции после высушивания, г.

За результат принимают среднее арифметическое двух определений, если разница между ними не превышает 0,2 г влаги на 100 г продукта. В противном случае определение повторяют. Результат выражают до первого десятичного знака.

При сравнении этих результатов с результатами, полученными абсолютным методом, разность, как правило, составляет менее 0,5 г влаги на 100 г продукта.

.АБСОЛЮТНЫЙ МЕТОД

Абсолютный метод обеспечивает полное удаление влаги из продукта, при этом не изменяется его химический состав, не происходит окисления и потери летучих органических веществ. Он может служить в качестве эталонного для проверки и совершенствования типовых методов определения влагосодержания, но не предназначен для использования при разрешении торговых споров.

Сущность метода заключается в размалывании кондиционированной при необходимости пробы, ее высушивании при пониженном давлении и температуре 45-50°С в присутствии осушителя до постоянной массы.

Реактивы

Используют реактивы квалификации чда:

оксид фосфора (Р2О5);

серную кислоту (H2SO4) плотностью не менее 1,84 г/см3.

Приборы и оборудование

Используют обычное лабораторное оборудование, а также оборудование, приведенное в п. 1 и описанное ниже.

Аналитические весы.

Устройство для понижения давления до 1,3-2,6 кПа (13-23 мБар или 10-20 мм. рт. ст.), например, водяной насос.

Аппарат для высушивания при пониженном давлении с объемом, позволяющим вставлять в него металлические лотки.

Сушильная трубка (см. рис. 3), состоящая из двух секций, одна из которых закрыта с одного конца и предназначена для металлической чашки. Другая секция предназначена для стеклянной чашки и снабжена полукапиллярной трубкой и запорным краном для соединения с насосом. Обе секции соединяются стеклянным шлифом. В таком устройстве можно охладить высушенную пробу без эксикатора.

Сушильный шкаф с постоянной температурой 45-50°С.

Осушитель воздуха, состоящий из промывочной бутыли с серной кислотой, соединенной с трубкой, в которой находится оксид фосфора (Р2О5), нанесенный на стекловату.

Методика определения

Продукты, не требующие помола, должны обладать гранулометрическими характеристиками, описанными в п. 1. Если продукт требует помола и его влажность 9-15 масс.%, то его размалывают без кондиционирования по методике, приведенной в п. 1. Если влажность продукта менее 9 масс.%, то перед помолом его кондиционируют в атмосфере лаборатории. В случае если влажность продукта более 15 масс.%, его кондиционируют по следующей методике.

Взвешивают с точностью до 0,01 г около 100 г зерна в металлическом лотке. Затем помещают лоток в аппарат для высушивания при пониженном давлении, в который предварительно поставлены чашки Петри с оксидом фосфора слоем около 1 см. Постепенно снижают давление до 1,3-2,6 кПа. Перекрывают соединение с вакуумным устройством и оставляют пробу при нормальной температуре на 2-4 дня. За это время ее влажность должна достичь 9-15 масс.%. После этого восстанавливают атмосферное давление в аппарате, пропуская атмосферный воздух через аппарат для сушки воздуха. После кондиционирования взвешивают пробу с точностью до 0,01 г и быстро размалывают около 30 г пробы.

Проведение определения

Быстро взвешивают с точностью до 0,0002 г около 3 г испытуемого материала в металлической чашке, которая также была предварительно высушена и взвешена вместе с крышкой с той же точностью.

Открытую металлическую чашку с пробой (крышка от нее остается в эксикаторе) помещают у закрытого конца сушильной трубки, около нее помещают стеклянную или фарфоровую чашку со слоем оксида фосфора толщиной 1 см. Соединяют две части сушильной трубки и с помощью насоса постепенно понижают в ней давление до 1,3-2,3 кПа. Затем соединение с вакуумирующим устройством перекрывают, и часть трубки с испытуемой порцией помещают в сушильный шкаф с температурой 45-50°С.

Когда будет заметно спекание поверхности оксида фосфора, его заменяют, предварительно восстановив давление в трубке воздухом, прошедшим через осушитель. После замены оксида фосфора продолжают сушку так, как указано выше.

Приблизительно через 100 ч трубку вынимают из сушильного шкафа, охлаждают, восстанавливают в ней давление так, как описано выше. Затем трубку разъединяют, быстро вынимают чашку, накрывают крышкой и взвешивают с точностью до 0,0002 г. Операцию повторяют до тех пор, пока масса не станет практически постоянной (разность между двумя взвешиваниями с интервалом в 48 ч будет менее 0,6 мг).

Проводят два определения на испытуемых порциях, взятых из одной и той же лабораторной пробы.

Выражение результатов

Влагосодержание, выраженное в процентах по отношению к массе продукта, рассчитывают по следующим уравнениям. Без предварительного кондиционирования:


где

т0 - масса испытуемой порции, г;

т1 - масса испытуемой порции после высушивания, г.

С предварительным кондиционированием:


Где т2 - масса пробы перед кондиционированием, г;

т3 - масса пробы после кондиционирования, г.

За результат принимают среднее арифметическое двух определений, если разница между ними не превышает 0,10 г влаги на 100 г продукта. В противном случае определение повторяют. Результат выражают до второго десятичного знака.

При наличии опыта можно достичь разницы в двух определениях менее 0,05 г на 100 г продукта.

В целях получения более представительной пробы проводят кондиционирование 100 г продукта, из них для помола отбирают 30 г зерна, из которых для испытаний отбирают 3 г размолотого продукта. Меньшие величины приводят к большему расхождению результатов.

Окрашивание поверхности оксида фосфора свидетельствует об улетучивании органических веществ из испытуемой порции. Если зерно старое или низкого качества, рекомендуется снизить температуру высушивания.

Отчет об определении должен содержать следующую информацию:

а)ссылку на международный стандарт ИСО 6540;

б)полное описание образца;

в)описание метода испытаний, дату испытаний, полученные результаты;

г)описание любых обстоятельств, не предусмотренных стандартом, а также любых условий, которые способны повлиять на результат.

 

Список литературы


Фомина О.Н. Левин А.М., Нарсеев А.В. Зерно. Контроль качества и безопасности по международным стандартам.- М.: Протектор, 2001.- 368 с, ил. 50.

Леонов О. А., Карпузов В. В., Шкаруба Н. Ж., Кисенков Н. Е. Метрология, стандартизация и сертификация / Под ред. О. А. Леонова. - М.: КолосС, 2009. - 568 с: ил.

Похожие работы на - Комплексная стандартизация. Определение содержания влаги в зерне

 

Не нашли материал для своей работы?
Поможем написать уникальную работу
Без плагиата!
Без нейросетей!