Разработка проектной документации

  • Вид работы:
    Дипломная (ВКР)
  • Предмет:
    Бухучет, управленч.учет
  • Язык:
    Русский
    ,
    Формат файла:
    MS Word
    1,14 Mb
  • Опубликовано:
    2012-03-23
Вы можете узнать стоимость помощи в написании студенческой работы.
Помощь в написании работы, которую точно примут!

Разработка проектной документации

"Разработка проектной документации"

проектный документация менеджер

Введение

Чрезвычайно быстрые изменения деловой среды российских предприятий, связанные с развитием конкуренции, информационных технологий, глобализацией бизнеса и многими другими факторами, обуславливают возрастание важности разработки новых проектов.

Актуальность данной работы заключается в том, что разработка новых проектов и управление проектами необходимы для каждой организации, т.к. они являются одними из важнейших показателей составляющих успеха предприятия и важнейшими фактами его конкурентоспособности.

Анализ, проводимой в практической части данной работы, позволит оценить перспективность бизнес-проекта, окупаемость инвестиций, вложенных в него, выявить слабые стороны и возможные угрозы.

Целью данной курсовой работы является разработка бизнес-плана нового проекта мини-пекарни ООО «Колос». Для решения поставленной цели необходимо решить следующие задачи:

·        Проанализировать внешнюю среду методом SWOT

·        Проанализировать внешнюю среду методом ПЭСТ

·        Рассчитать исходные данные

·        Привести финансовые показатели

Задачами данной курсовой работы в теоретической части является изучение следующих вопросов:

·        Состав и порядок разработки проектной документации

·        Управление разработкой проектно-сметной документации

·        Функции менеджера проекта

·        Автоматизация проектных работ

Объектом исследования данной курсовой работы выступает мини пекарня ООО «Колос». Предметом исследования выступает новая разработка ООО «Колос».

1. Теоретическая часть

.1 Состав и порядок разработки проектной документации

Строительство объектов осуществляется на основе утвержденных (одобренных) обоснований инвестиций в строительство предприятий, зданий и сооружений. Проектной документацией детализируются принятые в обоснованиях решения и уточняются основные технико-экономические показатели. Проектная документация обычно включает в себя ТЭО (проект) строительства и рабочую документацию.

Основные этапы и общая схема разработки проектной документации представлены на рис. 1 и 2. Порядок разработки, согласования и утверждения проектной документации на строительство зданий и сооружений регламентирован СНиП 11-01-95 [4].

Рис. 1. Этапы разработки проектной документации

Рис. 2. Состав мероприятий по разработке проектно-сметной документации

Для технически и экологически сложных объектов и при особых природных условиях строительства по решению заказчика (инвестора) или заключению государственной экспертизы одновременно с разработкой рабочей документации и осуществлением строительства могут выполняться дополнительные детальные проработки проектных решений по отдельным объектам, разделам, вопросам.

Для объектов, строящихся по проектам массового и повторного применения, а также других технически несложных объектов на основе обоснований в строительство может разрабатываться рабочий проект (утверждаемая часть и рабочая документация).

Основным документом, регулирующим правовые и финансовые отношения, взаимные обязательства и ответственность сторон, является договор (контракт), заключаемый заказчиком с привлекаемыми им для разработки проектной документации проектными, проектно-строительными организациями, другими юридическими и физическими лицами. Неотъемлемой частью договора (контракта) должно быть задание на проектирование.

Разработка проектной документации осуществляется при наличии решения о предварительном согласовании места размещения объекта, на основе утвержденных обоснований инвестиций в строительство или иных предпроектных материалов, договора и задания на проектирование.

Проектная документация разрабатывается преимущественно на конкурсной основе, в том числе через торги подряда (тендер).

Проектная документация, разработанная в соответствии с исходными данными, техническими условиями и требованиями, выданными органами государственного надзора (контроля) и заинтересованными организациями при согласовании места размещения объекта, дополнительному согласованию не подлежит за исключением случаев, особо оговоренных законодательством Российской Федерации.

Проектирование объектов строительства должно осуществляться юридическими и физическими лицами, получившими в установленном порядке право на соответствующий вид деятельности.

Использование изобретений при проектировании объектов строительства и правовая защита изобретений, созданных в процессе разработки проектной документации, осуществляются в соответствии с действующим законодательством.

Рабочая документация для строительства предприятий, зданий и сооружений разрабатывается в соответствии с государственными стандартами СПДС (системы проектной документации для строительства) и уточняется заказчиком и проектировщиком в договоре (контракте) на проектирование.

Ссылочные документы (государственные, отраслевые и республиканские стандарты, не требующие привязки чертежей типовых конструкций, изделий, узлов) в состав рабочей документации не входят и могут передаваться заказчику, если это оговорено в договоре.

Состав задания на проектирование устанавливается с учетом рекомендаций, а также отраслевой специфики и вида строительства (табл. 1 и 2).

Таблица 1. Задание на проектирование объектов производственного назначения (наименование и месторасположение проектируемого предприятия, здания, сооружения)

Перечень основных данных и требований

Содержание данных и требований

1. Основание для проектирования


Перечень основных данных и требований

Содержание данных и требований

2. Вид строительства 3. Стадийность проектирования 4. Требования по вариантной и конкурсной разработке 5. Особые условия строительства 6. Основные технико-экономические показатели объекта 7. Требования к качеству, конкурентоспособности и экологическим параметрам продукции 8. Требования к технологии, режиму предприятия 9. Требования к архитектурно-строительным, объемно-планировочным и конструктивным решениям 10. Выделение очередей и пусковых комплексов, требования по перспективному расширению предприятия 11. Требования и условия к разработке природоохранных мероприятий 12. Требования к режиму безопасности и гигиене труда 13. Требования по ассимиляции производства 14. Требования по разработке инженерно-технических мероприятий гражданской обороны и мероприятий по предупреждению чрезвычайных ситуаций 15. Требования по выполнению опытно-конструкторских работ и научно-исследовательских работ 16. Состав демонстрационных материалов



Таблица 2. Задание на проектирование объектов жилищно-гражданского назначения (наименование и месторасположение объекта)

Перечень основных данных и требований

Содержание основных данных и требований

1. Основание для проектирования 2. Вид строительства 3. Стадийность проектирования 4. Требования по вариантной и конкурсной разработке 5. Основные технико-экономические показатели (этажность, число секций и квартир, вместимость или пропускная способность)


Перечень основных данных и требований

Содержание основных данных и требований

6. Особые условия строительства 7. Назначение и типы встроенных предприятий общественного обслуживания, их мощность, вместимость, пропускная способность, состав и площади помещений, строительный объем 8. Основные требования к архитектурно-планировочному решению, отделке здания 9. Рекомендуемые типы квартир и их соотношение 10. Основные требования к конструктивным решениям и материалам несущих и ограждающих конструкций 11. Основные требования к инженерному и технологическому оборудованию 12. Требования по обеспечению условий жизнедеятельности маломобильных групп населения 13. Требования к благоустройству площадки и малым архитектурным формам 14. Требования по разработке инженерно-технических мероприятий гражданской обороны и мероприятий по предупреждению чрезвычайных ситуаций 15. Требования о необходимости: · выполнения демонстрационных материалов, их составе и форме · выполнения НИОКР в процессе проектирования и строительства · выполнения экологических и санитарно-эпидемиологических условий



Вместе с заданием на проектирование заказчик выдает проектной организации исходные материалы:

·        обоснование инвестиций;

·        решение местного органа исполнительной власти о предварительном согласовании места размещения объекта;

·        акт выбора земельного участка (трассы) для строительства и прилагаемые к нему материалы;

·        архитектурно-планировочное задание, составляемое в установленном порядке;

·        технические условия на присоединение проектируемых объектов к источникам снабжения, инженерным сетям и коммуникациям;

·        сведения о проведенных с общественностью обсуждениях решений о строительстве объекта;

·        исходные данные по оборудованию, в том числе индивидуального изготовления;

·        данные по выполненным НИОКР;

·        материалы инвестора, оценочные акты и решения органов местной администрации о компенсациях за сносимые здания и сооружения;

·        материалы, полученные от местной администрации и органов государственного надзора, в части окружения проекта и состоянии природной окружающей среды;

·        материалы инженерных изысканий и обследований, обмерочные чертежи существующих на участке строительства зданий и сооружений;

·        чертежи и характеристики продукции предприятия;

·        задание на разработку тендерной документации;

·        заключения и материалы, выполненные по результатам обследования действующих производств, конструкций зданий и сооружений;

·        другие материалы.

Ниже приведены примерные перечни технико-экономических показателей для объектов различного назначения (табл. 3 и 4).

Таблица 3. Примерный перечень технико-экономических показателей для объектов производственного назначения

Показатель

Ед. измерения

1. Мощность предприятии, годовой выпуск продукции: · в стоимостном выражении · в натуральном выражении 2. Общая площадь участка 3. Коэффициент застройки 4. Удельный расход на единицу мощности: · электроэнергии · воды · природного газа · мазута · угля 5. Общая численность работающих

 млн.руб. в соотв. единицах га коэффициент  кВт. час куб.м тыс.куб.м т т чел.

Показатель

Ед. измерения

6. Годовой выпуск продукции на одного работающего: · в стоимостном выражении · в натуральном выражении 7. Общая стоимость строительства, в том числе СМР 8. Удельные капитальные вложения 9. Продолжительность строительства 10. Стоимость основных производственных фондов 11. Себестоимость продукции 12. Балансовая (валовая) прибыль 13. Чистая прибыль 14. Уровень рентабельности производства 15. Внутренняя норма доходности 16. Срок окупаемости 17. Срок погашения кредита и других заемных средств

 тыс.руб./чел. ед./чел. млн.руб. руб./ед. мощности мес. млн.руб. тыс.руб./ед. тыс.руб. тыс.руб. % % лет лет


Таблица 4. Примерный перечень технико-экономических показателей для жилых и общественных зданий

Показатель

Ед. измерения

1. Число квартир, вместимость, мощность 2. Общая площадь земельного участка 3. Общая площадь зданий и сооружений 4. Строительный объем 5. Коэффициент отношения жилой площади к общей 6. Общая сметная стоимость строительства, в том числе сметная стоимость СМР 7. Средняя стоимость 1 кв.м. площади (общей, жилой, полезной) 8. Показатели эффективности проекта 9. Продолжительность строительства

в соотв. единицах га кв.м. куб. м. коэффициент млн.руб.  млн.руб.  в соотв. единицах мес.


На каждом этапе работы над проектом производится стоимостная оценка. В крупных зарубежных проектах составляется, по меньшей мере, 4 вида смет с возрастающей степенью точности:

·        предварительная (на стадии исследования инвестиционных возможностей), имеющая целью оценить жизнеспособность проекта. Допустимая погрешность оценки 25-40%;

·        первичная или факторная (на стадии разработки ТЭО), имеющая целью сравнить планируемые затраты с бюджетными ограничениями. Допустимая погрешность оценки 15-25%;

·        приближенная (на начальной стадии рабочего проектирования), предназначенная для подготовки плана финансирования проекта. Допустимая точность оценки 10-15%;

·        окончательная (в середине цикла разработки рабочего проекта), предназначенная для подготовки и проведения торгов. Допустимая погрешность оценки 5-6%.

1.2 Управление разработкой проектно-сметной документации

Проектные работы выполняются в следующей последовательности:

·        выбор проектировщиков и заключение контрактов по результатам конкурса;

·        планирование проектно-сметных работ и услуг;

·        собственно проектирование и согласование проектно-сметной документации.

Организационные формы проектных фирм весьма разнообразны и могут быть сведены к следующим типам:

·        проектно-строительные фирмы, осуществляющие весь комплекс работ по проектированию, комплектации, строительству и вводу объектов в эксплуатацию;

·        проектные институты, осуществляющие весь комплекс работ по проектированию объектов, включая все виды инженерных и архитектурных задач, а нередко и задачи по планировке районов застройки. Обычно такие институты специализируются по отраслевому признаку;

·        проектные институты, специализированные по технологическому (функциональному) признаку. Такие институты могут специализироваться, например, на проектировании фундаментов, металлических или железобетонных конструкций, специальных видов оборудования и др.;

·        вычислительные центры (фирмы), специализирующиеся на подготовке проектной документации на машинных носителях - смет, чертежей, календарных планов;

·        консультационные (консалтинговые) фирмы, оказывающие весьма широкий спектр услуг, - экономические обоснования, расчеты стоимости проектов, представление информации, консультации по специальным вопросам. Такие фирмы можно условно разделить на 3 типа:

)        специализирующиеся на начальной (прединвестиционной) фазе проекта;

)        оказывающие услуги многопланового характера заказчикам, нуждающимся в оказании помощи по сложным специальным вопросам инжиниринга;

)        разрабатывающие организацию и технологию строительного производства.

Эта весьма распространенная на Западе структурная разновидность проектных фирм до настоящего времени не нашла в России широкого распространения (за исключением 3-го типа - в форме так называемых оргтехстроев).

Кроме перечисленных, заказчик часто должен достичь соглашения с лицензиаром - юридическим или физическим лицом, обладающим исключительным правом промышленного использования технологии (процесса, конструкции, материала), которую планируется использовать в проекте.

Существуют три подхода к выбору заказчиком проектных фирм:

)        оказание профессиональных услуг по мере необходимости. В этом случае заказчик прибегает к услугам проектной фирмы на основе специального соглашения без конкурса;

)        закрытые переговоры. Если проектная фирма уже выполняет для заказчика работу, то в этом случае он поручает ей подготовить предложения по новому проекту (или подпроекту), проводит экспертизу этих предложений и заключает дополнительное соглашение к контракту - также без конкурса;

)        проведение конкурса. В этом случае возможны следующие виды коммерческих соглашений между заказчиком и подрядчиком: оплата по фактическим затратам; оплата с верхним ограничением цены; фиксированная цена.

Функциональные обязанности проектных фирм можно разделить на две части:

)        Типовые, к которым относятся:

·        эскизное проектирование;

·        рабочее проектирование;

·        разработка смет;

·        авторский надзор.

)        Дополнительные, включающие в себя:

·        подготовку к торгам и помощь в их проведении;

·        проектный анализ;

·        разработку обоснований инвестиций и ТЭО;

·        участие в управлении проектом;

·        подготовку финансирования.

Функции 2 группы до настоящего времени нетипичны для российской практики, однако именно в них видится перспектива укрепления финансового положения и развития существующих проектных институтов.

Следующим этапом организации проектно-изыскательских работ является их планирование. Этот план, как и другие виды планов, - динамичный документ, требующий многочисленных пересмотров и уточнений в течение жизненного цикла проекта. План должен содержать:

·        общее описание работ, подлежащих выполнению, с обязательным указанием порядка взаимодействия с другими участниками проекта. Это описание составляется в форме календарного плана;

·        порядок и периодичность контроля за ходом проектно-изыскательских работ;

·        требования к планам субподрядных фирм, работающих над проектно-сметной документацией.

1.3 Функции менеджера проекта

На всех этапах разработки проектной документации руководящая роль принадлежит менеджеру проекта (в отечественной терминологии - главному инженеру и главному архитектору проекта).

Менеджер проекта - главная фигура в процессе реализации проекта. Он должен представлять интересы заказчика и, будучи наделен соответствующими полномочиями, нести ответственность за эффективное использование выделенных ресурсов и конечный результат. Он должен иметь хорошую специальную подготовку, деловые качества.

В ходе проектирования менеджер проекта выполняет следующие функции:

·        контроль соответствия объема и сроков выполненных работ необходимому минимуму, предусмотренному контрактом;

·        подбор и привлечение к проекту ведущих специалистов по инженерным дисциплинам, координация их деятельности;

·        определение рациональных сроков начала работ с тем, чтобы избежать преждевременного их выполнения;

·        корректировка численности занятых работников;

·        контроль за внесением изменений в проект;

·        контроль за факторами, условиями и документами, которые могут увеличить стоимость работ;

·        проверка соблюдения последовательности и приоритетов, выбранных в процессе планирования работ;

·        обеспечение предпочтительного выбора стандартных материалов и оборудования в максимально возможном числе ситуаций, обеспечение минимальной номенклатуры применяемых изделий;

·        подготовка и реализация соглашения с лицензиаром;

·        подготовка и контроль за соблюдением плана проектных работ, увязанного с общим планом проекта;

·        разработка совместно с заказчиком задания на проектирование.

В зависимости от масштаба и сложности проекта функции менеджера на этапе проектирования могут быть возложены как на менеджера всего проекта, так и на специально назначенного проект-менеджера, работающего в команде под руководством главного менеджера.

1.4 Автоматизация проектных работ

В последние годы ведущие западные и в меньшей степени отечественные проектные фирмы осуществляли переход от компьютеризации отдельных, наиболее трудоемких, видов работ к системам автоматизированного проектирования (САПР), охватывающим весь процесс создания проекта. В результате показатель капиталовооруженности труда проектировщиков, например, в США увеличился за последние 20 лет в 30 раз, производительность труда - в 2,5 раза. За этот же период этот показатель в России увеличился на 5%.

В результате число проектировщиков в России примерно в 1,3 раза больше, чем в США, а объем выполняемых работ - вдвое ниже.

Вместе с тем созданию (или приобретению) САПР должен предшествовать тщательный экономический анализ. Опыт показывает, что для мелких и средних фирм выгоднее воспользоваться услугами сторонних специалистов, нежели создавать собственную систему с штатом специалистов.

К другим основным вопросам, которые надлежит решить при внедрении САПР, относятся:

·        адаптация организационной структуры фирмы к требованиям САПР, суть которой состоит в организации информационных потоков таким образом, чтобы избежать дублирования (или отсутствия) данных у различных участников процесса проектирования;

·        выбор программных средств и вычислительной техники с учетом того, что их обновление происходит каждые 5-6 лет;

·        решение вопроса о структуре используемого в системе банка данных. В общем случае в состав данных включают сведения об удельных расходах материалов, стоимости, компоновочных решениях, технологии, сроках строительства, а также о нормативах и типовых конструктивных решениях.

В качестве примера САПР, эффективно работающей во многих странах мира, можно привести мощную универсальную систему CADAD (США) с элементами искусственного интеллекта типа CAD/CAM (CAD - Computer Aided Design, CAM - Computer Aided Management), представляющую собой интегрированную автоматизированную систему для конструирования, проектирования, анализа и управления проектами.

Эту систему условно можно разделить на две части. Первая предназначена для проектирования объектов и состоит из:

·        PDMS - подсистемы компоновочного проектирования с блоками двух- и трехмерной графики;

·        SAS/SDB - подсистемы проектирования и анализа строительной части объекта с формированием чертежей;

·        FAS/FDS - подсистемы проектирования и анализа технологической части объекта с формированием чертежей;

·        QTO - подсистемы расчета потребности в материальных и трудовых ресурсах с оценкой в человеко-часах.

Вторая часть обеспечивает управление проектной деятельностью и включает в себя:

·        AMS - систему управления (планирование);

·        QA - систему оценки и контроля качества (анализ эффективности работы по проекту);

·        SAD - систему документооборота по проекту со своей базой данных (подготовка информации для руководства компании и менеджеров проектов).

Интерфейсом CADAD связана с системой ARTEMIS, используемой собственно для календарного планирования.

Система обеспечивает быстрый ответ на запрос, а также гибкие и эффективные методы защиты информации от несанкционированного доступа. Графические данные могут сопровождаться текстовыми примечаниями, которые можно редактировать.

Система обеспечивает нанесение всех возможных видов размеров (в английской и международной системах единиц) с учетом различных правил их оформления, а также вычисление периметров и площадей фигур. Система содержит до 200 графических файлов пользователя и может одновременно выводить на экран данные из 20 файлов, осуществляет до 64 разрезов в виде чертежа. За графическими элементами и их группами могут закрепляться линии разных типов, а также цвета (до 120 одновременно используемых цветов из 4096 возможных).

Система автоматически создает изображения в перспективе с нанесением или удалением невидимых линий.

Одной из составных частей CADAD является модуль для трехмерного проектирования сложных систем трубопроводов. Графическая база данных модуля содержит объемные элементы трубопроводов (соединения, краны, фланцы, трубы). Выбранный из библиотеки элемент автоматически приводится в соответствие с характеристиками трубопроводной системы проектируемой модели. Модуль осуществляет обработку чертежей и создает двух- и трехмерные изображения, включая построение изометрических моделей и ортогональных проекций объектов. Предусмотрен выбор деталей для трубопроводов, видов покрытий и типов изоляций согласно заданной спецификации.

На выходе программы пользователь получает три модели: новый двухконтурный чертеж стен с детальной прорисовкой дверных и оконных проемов, план с наложенной на него штриховкой и текстовый файл, содержащий информацию о фактах и причинах неудовлетворительного выполнения программы, указывающий на ошибки в чертежах.

Библиотека стандартных деталей и символов содержит около 1200 графических элементов и деталей конструкций, которые могут переноситься на рабочие чертежи. Детали из библиотеки можно использовать в первоначальном виде или модифицировать их применительно к особенностям проекта.

Система AUTOCAD представляет собой профессиональную систему автоматизированного проектирования и выполнения чертежей, работа которой основана на использовании недорогих микрокомпьютеров, используемых даже в небольшом проектном бюро или отделе. Их отличительными особенностями является низкая стоимость и высокая производительность, возможность выполнения широкого класса проектных задач. Стоимость системы колеблется в диапазоне от 6 до 10 тыс. долл.

Система AUTOCAD позволяет выполнить работу в более короткие сроки. Ее пользователи завершают выполнение чертежей в два-три раза быстрее, чем при традиционных методах, система многократно окупает себя при использовании.

Система AUTOCAD нашла весьма широкое распространение на российском рынке.

Специалисты Национальной аэрокосмической лаборатории (Нидерланды) разработали систему управления базами данных в области проектирования EDIPAS (Engineering Data Interactive Presentation and Analysis System).

Система обеспечивает требующуюся информацию для решения широкого класса задач в сфере проектирования. В отличие от обычных систем подобного типа разработанная система управления базами данных обеспечивает возможность хранения не только исходной, базовой информации, но и производной от нее, полученной в результате проведения промежуточных расчетов. Это обстоятельство имеет принципиальное значение в задачах проектирования, где необходимо проводить повторные расчеты, выполнение которых в значительной мере упрощается благодаря системе EDIPAS.

В последние годы все более широкое применение получают экспертные системы, представляющие собой новый этап роста интеллектуальности автоматизированных систем, развитых до уровня, при котором из множества фактов и данных создается возможность появления новой информации, аналогично тому, как это делает человек.

Экспертные системы включают в себя базы знаний, механизмы логического вывода и средства обучения и адаптации, что дает возможность качественно изменить характер взаимоотношений человека с ЭВМ: на смену традиционному прикладному программированию приходит проблемно-ориентированное общение.

Человек задает цель, а интеллектуальная система выдает одно или несколько допустимых решений.

Разработчик освобождается от массы рутинных функций анализа промежуточных результатов и получает возможность сконцентрировать свое внимание на действительно ключевых творческих аспектах проектирования.

Экспертные системы используются в строительном проектировании, когда наряду с математическими инженерными расчетами требуется привлечение концепций, идей, суждений и опыта специалистов.

В США ведутся работы по созданию и совершенствованию экспертных систем для проектирования и строительства, в числе которых можно назвать следующие:

. Экспертная система для принятия решений о выборе строительных материалов. Эта система создается как прототип аналогичных систем в строительстве.

Система позволит, в частности, подбирать необходимые добавки для бетонов в зависимости от условий его работы. Система создается Центром по строительной технологии (СВТ).

В основу экспертной системы закладываются данные Американского института бетона (ACI).

Комитет АО подвергал экспертизе предлагаемую экспертную систему и рекомендовал ввести определенные улучшения в базу знаний о бетонах.

При создании базы знаний были использованы и другие документы, например данные о коррозии металлов в бетонах и цементах.

. Экспертная система для прогнозирования и управления инфильтрацией воздуха в зданиях.

Для работы экспертной системы развиваются модели предсказаний, вырабатываются требования к информации, которая обычно не используется для работы с моделями.

В окончательном варианте система должна использовать имеющуюся информацию о зданиях, определять скорость инфильтрации как функцию погодных условий, определять потери тепла, конденсацию, качество воздуха в помещениях, рекомендовать соответствующие меры и проводить оценку их эффективности.

Аналитические системы Project Expert, базируются на методике оценки инвестиционных проектов UNIDO и стали стандартом де-факто в области бизнес-планирования и инвестиционного проектирования в странах СНГ и Балтии. Последовательно моделируя в системе планируемую деятельность нового или действующего предприятия и изменения в экономической среде, можно вести инвестиционное проектирование и финансовое планирование, создавать бизнес-планы, удовлетворяющие международным требованиям, а также оценивать эффективность реализации проектов. Project Expert позволяет проанализировать альтернативные варианты развития проекта и выбрать оптимальный путь развития предприятия, определить потребность предприятия в денежных средствах, подобрать оптимальную схему финансирования и условия кредитования, оценить запас прочности бизнеса, эффективность вложений для всех участников проекта, выбрать варианты производства, закупок и сбыта, а также вести контроль за реализацией проектов.

Система позволяет моделировать деятельность предприятий различных размеров - от небольшого частного предприятия до холдинговых структур. С ее помощью можно создавать проекты любой сложности - от расчета окупаемости нового оборудования до оценки эффективности диверсификации деятельности предприятия. Project Expert не требует ни глубокого знания математики, ни умения программировать - необходимо только хорошо знать описываемый бизнес.

Работа с системой на разных стадиях разработки, анализа и реализации инвестиционного проекта может быть описана в виде следующих основных шагов:

·        построение модели компании и ее экономического окружения в рамках проекта ее развития;

·        определение потребности в финансировании проекта во времени;

·        разработка стратегии финансирования;

·        анализ прогнозируемых финансовых результатов инвестиционного проекта;

·        бизнес-планирование и создание бизнес-плана - документа, содержащего текстовую часть, необходимые итоговые таблицы, графики и диаграммы;

·        анализ данных о текущем состоянии инвестиционного проекта в процессе его реализации.



2. Практическая часть

.1 Резюме проекта

В рамках настоящего бизнес плана рассматривается мини-пекарня ООО «Колос», производящая стандартные хлебобулочные изделия. В связи с ужесточившейся конкуренцией было решено освоить выпуск новой на рынке продукции: диетического хлеба из обогащенной муки и хлеба с повышенным содержанием витаминов.

Миссия компании ООО «Колос» - удовлетворение потребностей потребителей во всегда свежих, качественных, вкусных и полезных хлебобулочных изделиях.

Стратегические цели компании - увеличение прибыли и завоевание лидерских позиций на рынке хлебобулочной продукции, расширение сбыта продукции за счет доверия клиентов и увеличения числа новых заказчиков.

Маркетинговые исследования показали перспективность нового бизнеса и позволили спрогнозировать спрос на новую продукцию.

Хлеб диетический и хлеб витаминный являются новыми разработками мини-пекарни ООО «Колос». Технологическими разработками является содержание диетических пищевых добавок в хлебе диетическом и витаминных добавок в хлебе витаминном. Масса готового продукта составляет 500г.

Первоначальную отпускную стоимость на хлеб диетический, исходя из себестоимости и уровня рентабельности, было предложено установить 40 руб, а на хлеб витаминный - 27 руб.

Краткие финансовые характеристики проекта:

·        Период окупаемости - 1 месяц

·        Чистый приведенный доход - 4 319 610 руб.

·        Инвестиции в проект - 35 720 руб.

Подробные финансово - экономические показатели можно найти в главе «Финансовые показатели».

Старт проекта намечен на январь 2012 года, продолжительность проекта 3 года.

2.2 Маркетинговые исследования

.2.1 Методика ПЭСТ

Для анализа тенденций изменения внешней среды фирмы используется техника анализа ПЭСТ, позволяющая более широко взглянуть на то, как влияет окружение на конкретную фирму.

Таблица 5. ПЭСТ-анализ для ООО «Колос»

Факторы макросреды

Характер влияния

Степень влияния (-5) - (+5)

Политические факторы 1.государственное регулирование 2.финансово-кредитная политика

 положительное положительное

 +1 +1

Правовые факторы 1. развитие законодательства по защите окружающей среды 2. рост числа объединений по защите прав потребителей 3. изменения в налоговом законодательстве

 положительное отрицательное отрицательное

 +3  -1  -2

Экономические факторы 1. динамика развития рынка и его насыщенность 2. изменение уровня доходов населения и размера сбережений

 положительное положительное

 +5 +3

Социальные факторы 1. популяризация здорового образа жизни 2.уровень среднедушевого дохода 3. покупательские предпочтения

 положительное положительное положительное

 +5 +2 +3

Факторы макросреды

Характер влияния

Степень влияния (-5) - (+5)

Технологические факторы 1.рост числа техногенных катастроф 2.разработка и внедрение новых технологий

 отрицательное положительное

 -5 +3

Демографические факторы 1.рост численности населения 2.изменения в половом составе населения

 положительное положительное

 +2 +2

Природные факторы 1.истощение ресурсов 2.увеличение загрязнения окружающей среды

 отрицательное отрицательное

 -5 -5


После проведенного ПЭСТ анализа можно сделать следующие выводы: максимально отрицательное влияние на предприятие оказывают природные факторы, такие как истощение ресурсов и увеличение загрязнения окружающей среды.

Максимально положительное влияние оказывают экономические факторы, такие как динамика развития рынка и его насыщенность, изменение уровня доходов населения и размера сбережений, и социальные факторы, такие как популяризация здорового образа жизни, уровень среднедушевого дохода и покупательские предпочтения.

2.2.2 Методика SWOT

Таблица. SWOT - анализ применяется для оценки внутренней среды фирмы (ее силы и слабости), а также внешних возможностей и угроз.


Возможности 1. выход на новые рынки сбыта 2. вывод большинства видов продукции на стабильные позиции 4. расширение ассортимента продукции 5. Увеличение производственных мощностей

Угрозы 1. изменение климата (засуха, слишком холодное лето, слишком обильное количество осадков) 2. загрязнение окружающей среды 3. появление новых конкурентов 4. рост продаж товаров-заменителей

Сильные стороны 1. оснащенность современным оборудованием 2. высококвалифицированный персонал 3. новые разработки 4. использование в производстве передовых технологий

1. проведение рекламных компаний, демонстрирующих не только качество продукции, но и квалификацию персонала 2. При использовании передовых технологий расширить ассортимент продукции и выйти на новые рынки сбыта 3. участие компании в известных конкурсах

1. разработка дополнительных очистительных сооружений 2. увеличение конкурентных преимуществ

Слабые стороны Слабые навыки маркетинговой деятельности у сотрудников компании в направлении отдельных видов продукции

Концентрация маркетинговой деятельности на отдельных видах продукции



В итоге можно сделать вывод, что такие сильные стороны как высококвалифицированный персонал, оснащенность современным оборудованием и использование в производстве передовых технологий позволят предприятию долгое время занимать конкурентные позиции на рынке хлебобулочной продукции Самарской области.

Исходя из стратегических соображений, подлежат корректировке такие внутренние слабости как: слабые навыки маркетинговой деятельности у сотрудников компании в направлении отдельных видов продукции. А также возможные угрозы компании, которые следует обязательно учитывать и, используя возможности и сильные стороны, постараться снизить их негативное влияние, тем самым, повысив конкурентоспособность и экономическую эффективность.

.3 Расчет исходных данных

Режим работы организации - 2 смены по 8 часов. В году 312 рабочих дней.

Таблица 7. Объем продаж

Показатели

Хлеб витаминный

Хлеб диетический

Планируемый объем продаж по полугодиям, тыс. Шт.

1 полугодие

33

33


2 полугодие

35

35


3 полугодие

37

37


4 полугодие

40

40


5 полугодие

45

45


6 полугодие

46

46


Таблица 8. Характеристика оборудования

Наименование

Технические характеристики

Цена, руб.

Тестомес

40 кг. / смена

4000

Расстойный шкаф

Вместимость 40 шт., расстойка 1 час

1000

Печь

20 шт. / час

5000

Поддоны для транспортировки

Вместимость 20 шт.

1000


Таблица 9. Расход сырья на 100 кг, по видам продукции

Наименование сырья

Виды продукции


Хлеб диетический (А)

Хлеб витаминный (В)

Мука, кг.

70

68

Дрожжи, кг.

2

2

Подсолнечное масло, кг.

4

5

Сухое молоко, кг.

8

10

Диетические пищевые добавки, кг.

10

-

Витаминные добавки, кг.

-

9

Таблица 10. Стоимость сырья

Наименование сырья

Цена с учетом транспортировки, руб. / кг.

Мука

3

Дрожжи

12

Подсолнечное масло

30

Сухое молоко

50

Диетические пищевые добавки

80

Витаминные добавки

20




Таблица 11. Расход сырья на единицу продукции (500г.)

Наименование

Хлеб диетический

Хлеб витаминный

Мука, кг

70*0,005=0,35

68*0,005=0,34

Дрожжи, кг

2*0,005=0,01

2*0,005=0,01

Наименование

Хлеб диетический

Хлеб витаминный

Подсолнечное масло, кг

4*0,005=0,02

5*0,005=0,025

Сухое молоко, кг

8*0,005=0,04

10*0,005=0,05

Диетические пищевые добавки, кг

10*0,005=0,05

Витаминные добавки, кг

-

9*0,005=0,045


Таблица 12. Расчет стоимости сырья на единицу продукции

Наименование

Хлеб диетический

Хлеб витаминный

Мука

0,35*3=1,05р

0,34*3=1,02р

Дрожжи

0,01*12=0,12р

0,01*12=0,12р

Подсолнечное масло

0,02*30=0,6р

0,025*30=0,75р

Сухое молоко

0,04*50=2р

0,05*50=2,5р

Диетические пищевые добавки

0,05*80=4р

-

Витаминные добавки, кг

-

0,045*20=0,9

ИТОГО

7,77р

5,29р


Чтобы рассчитать количество необходимого оборудования, необходимо вычислить производительность за смену. Для этого применяем следующую формулу:

Таблица

Требуемая производительность за смену

 =

Объем реализации хлеб диетический + объем реализации хлеб витаминный



6 месяцев*количество дней в месяце* количество смен за сутки


Производительность посчитана за 6 полугодий. Результаты приведены в таблице 13.


Таблица 13. Производительность за смену

Полугодие

Расчет

Итог

1 полугодие

(33 000шт+33 000шт)/6м*26дн*2см

212шт(106кг)

2 полугодие

(35 000шт+35 000шт)*6м*26дн*2см

225шт(113кг)

Полугодие

Расчет

Итог

3 полугодие

(37 000шт+37 000шт)*6м*26дн*2см

238шт(119кг)

4 полугодие

(40 000шт+40 000шт)*6м*26дн*2см

257шт(129кг)

5 полугодие

(45 000шт+45 000шт )*6м*26дн*2см

289шт(145кг)

6 полугодие

(46 000шт+46 000шт)*6м*26дн*2см

295шт(148кг)


Произведем расчет необходимо количества оборудования, исходя из производительности продукции за смену и технических характеристик оборудования. Расчет производится за каждое полугодие. Результаты представлены в таблицах 14 и15.

Таблица 14. Необходимое количество оборудования за 1 полугодие.

Наименование оборудования

Техническая характеристика

Расчет

Итог

Тестомес

40 кг/смена

106кг/40кг=2,65кг

3шт

Расстойный шкаф

Вместимость 40шт, расстойка 1 час

212шт/7ч=31шт/ч 31<40

1шт

Печь

20шт/час

212шт/7ч=31шт/ч 31/20=1,55

2шт

Поддоны для транспортировки

Вместимость 20 шт.

212/20=10,6

11шт


Расчет необходимо количества оборудования на остальные полугодия ведется аналогично 1 полугодию. Результаты приведены в таблице 15.

Таблица 15. Необходимое количество оборудования на полугодия 2-6.

Наименование оборудования

Количество оборудования


2 полугодие

3 полугодие

4 полугодие

5 полугодие

6 полугодие

тестомес

3шт

3шт

4шт

4шт

4шт

Расстойный шкаф

1шт

1шт

1шт

2шт

2шт

печь

2шт

2шт

2шт

3шт

3шт

Поддоны для транспортировки

12шт

12шт

13шт

15шт

15шт


Расчет стоимости оборудования за 1 полугодие производится, исходя из количества необходимого оборудования и стоимости за 1 данного оборудования. Результаты приведены в таблице 16.

Таблица 16. Затраты средств на покупку оборудования в 1 полугодии.

Наименование оборудования

Расчет стоимости

Результат

тестомес

3шт*4 000р

12 000р

Расстойный шкаф

1шт*1 000р

1 000р

печь

2шт*5 000р

10 000р

поддоны

11шт*1 000р

11 000р

ИТОГО


34 000р.


Расчет стоимости оборудования за полугодия 2-6 производится, исходя из разницы необходимого оборудования текущего полугодия с предыдущим и стоимости данного вида оборудования. Результаты приведены в таблице 17.

Таблица 17. Затраты средств на покупку оборудования в полугодиях 2-6.

Наименование оборудования

Расчет стоимости


2 полугодие

3 полугодие

4 полугодие

5 полугодие

6 полугодие

тестомес

0шт*4 000р = 0р

4 000р

Расстойный шкаф

0шт*1 000р =0р

1 000р

печь

0шт*5 000р =0р

5 000р

поддоны

1шт*1 000р =1 000р

1 000р

2 000р

ИТОГО

1 000р

5 000р

8 000р


Затраты на транспортировку оборудования составляют 3% от стоимости оборудования. Результаты расчетов представлены в таблице 18.

Таблица 18. Затраты средств на транспортировку оборудования.

Полугодие

Расчет

Результат

1

34 000р * 3%

1 020р

2

1 000р * 3%

30р

3

0р * 3%

4

5 000р * 3%

150р

5

8 000р * 3%

240р

6

0р * 3%


Затраты на монтаж оборудования составляют 2% от всех затрат на оборудование. Соответственно они будут складываться из данных таблиц 16, 17 и 18. Результаты расчетов приведены в таблице 19.

Таблица 19. Затраты средств на монтаж оборудования

Полугодие

Расчет

Результат

1

(34 000р + 1 020р) * 2%

700,4р

2

(1 000р + 30р) * 2%

20,6р

3

0р * 2%

4

(5 000р + 150р) * 2%

103р

5

(8 000р + 240р) * 2%

164,8р

6

0р * 2%


Все вложения в основные фонды складываются из таблиц 16, 17, 18 и 19. Результаты приведены в таблице 20.

Таблица 20. Вложения в основные фонды

Полугодие

Расчет

Результат

1

34 000р + 1 020р + 700,4р

35 720,4р

2

1 000р + 30р + 20,6р

1 050,6р

3

4

5 000р + 150р + 103р

5 253р

5

8 000р + 240р + 164,8р

8 404,8р

6



Амортизация начисляется линейным методом. Средняя норма амортизационных отчислений равна 10%. Ежемесячная сумма амортизации вычисляется по следующей формуле:

Таблица

Амортизация =

Первоначальная стоимость оборудования

*

Норма амортизации




100%


Расчет ежемесячной суммы амортизации осуществляется на основании данных, приведенных в таблице 20. Результаты вычислений приведены в таблице 21.

Таблица 21. Суммы ежемесячной амортизации

Дата покупки оборудования

Расчет

Результат

январь 2012

(35 720,4р * 10%) / 100%

3 572,04р

Июль 2012

(1 050,6р * 10%) / 100%

105,06р

Июль 2013

(5 253р * 10%) / 100%

525,3р

Январь 2014

(8 404,8р * 10%) / 100%

840,48р


Т.к. норма амортизационных отчислений составляет 10%, то стоимость одного оборудования полностью переносится за 10 месяцев. Согласно ст. 259 НК РФ начисление амортизации по объекту амортизируемого имущества начинается с 1-го числа месяца, следующего за месяцем, в котором этот объект был введен в эксплуатацию.

Следовательно, график амортизационных начислений за время проекта будет выглядеть следующим образом:

Таблица 22. График амортизационных начислений

Полугодие

Дата начисления

Сумма

1 полугодие

1.01


1.02

3 572,04р


1.03

3 572,04р


1.04

3 572,04р


1.05

3 572,04р


1.06

3 572,04р

Полугодие

Дата начисления

Сумма

2 полугодие

1.07

3 572,04р


1.08

3 572,04 + 105,06 = 3 677,1р


1.09

3 677,1р


1.10

3 677,1р


1.11

3 677,1р


1.12

105,06р

3 полугодие

1.01

105,06р


1.02

105,06р


1.03

105,06р


1.04

105,06р


1.05

105,06р


1.06

4 полугодие

1.07


1.08

525,3р


1.09

525,3р


1.10

525,3р


1.11

525,3р


1.12

525,3р

5 полугодие

1.01

525,3р


1.02

525,3р + 840,48р = 1 365,78р


1.03

1 365,78р


1.04

1 365,78р


1.05

1 365,78р


1.06

840,48р

6 полугодие

1.07

840,48р


1.08

840,48р


1.09

840,48р


1.10

840,48р


1.11


1.12


Потребление всем оборудованием мощности в час составляет 100 кВт. Стоимость 1 кВт/ч - 1 руб. Следовательно, затраты на электроэнергию в месяц составят = 100кВт * 1р * 8ч * 2см * 26дн = 41 600р.

Численность производственного персонала составляет 12 человек. Среднемесячная зарплата - 3 250р. Следовательно, затраты на персонал в месяц составят = 12чел * 3 250р = 39 000р. Управленческие расходы составляют 50% от расходов на оплату труда. Следовательно, управленческие расходы в месяц = 39 000р * 50% = 19 500р/м. Расходы на хранение сырья и готовой продукции составляют 1% от стоимости сырья. Расходы на хранение сырья и готовой продукции на единицу продукции складываются из итоговых значений таблицы 12 и составляют:

·        Для диетического хлеба = 7,77р * 1% = 0,0777р

·        Для витаминного хлеба = 5,29р* 1% = 0,0529р

Аренда дополнительных площадей, составляющих 100м2 (стоимость аренды 100 р/м2), составит = 100м2 * 100р/м2 = 10 000р (за год). Арендная плата вносится равными долями раз в полугодие, т.е. 5 000р в полугодие.

Инвестиции в проект являются единовременными и вносятся в начале проекта. Инвестиции равны сумме дополнительных вложений в ОФ в 1 полугодии, т.е. 35 720,4р. Инвестиции состоят из:

·        Свои средства (90%) - 32 148,36р

·        Заемные (10%) - 3 572,04р (3 573р)

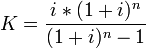
Кредит (заемные средства) в сумме 3 573р берется на 2 года в банке ПСБ по ставке 13%. Форма возврата - аннуитетный платеж. Размер ежемесячных выплат по кредиту определяется по формуле:

Ежемесячный платеж = коэффициент аннуитета * сумма кредита

Коэффициент аннуитета рассчитывается по следующей формуле:


где i - месячная процентная ставка по кредиту (= годовая ставка / 12),n - количество периодов, в течение которых выплачивается кредит.

Месячная процентная ставка = 13% / 12 = 1,08%


Ежемесячный платеж = 0,0475 * 3 573р = 170р/м

Затраты на рекламу и сбыт составляют 10% от общей суммы постоянных затрат в 1 полугодии. Сумма является постоянной и составляет:

Затраты на рекламу и сбыт = 833,33р + 170р + 3 572р + 19 500р = 24 075р

Налоги, относимые на финансовый результат, принимаются на уровне - 30% от выручки.

.4 Финансовые показатели

Анализ финансовых показателей производится с помощью программы Project Expert. Для этого все исходные данные, посчитанные в главе 2.3, подставляются в соответствующие разделы программы.

Следующим шагом является расчет себестоимости и цены на готовую продукцию. Расчет себестоимости выполняется по следующей формуле:

Себестоимость = Издержки на конкретный вид готовой продукции + + Суммарные прямые издержки на продукт * (Общие издержки. Итого + +Затраты на персонал) / Суммарные прямые издержки на продукт. Итого / объем производства

Для расчета себестоимости на основе данных программы Project Expert были составлены таблицы с соответствующими показателями:


Таблица 23. Показатели для расчета себестоимости продукта хлеб диетический

Название показателя

1 полугодие

2 полугодие

3 полугодие

4 полугодие

5 полугодие

6 полугодие

издержки

23,54

23,54

23,54

23,54

23,54

23,54

Суммарные прямые издержки на продукт

258 974,1

274 669,5

290 364,9

313 908

353 146,5

360 994,2

Общие издержки + затраты на персонал

637 905,2

638 430,5

620 570,3

622671,5

626 873,9

624 247,4

Суммарные прямые изд на продукт. Итого

435 289,8

461 671

488052,2

527 624

593 577

606767,6

Объем производства

33 000

35 000

37 000

40 000

45 000

46 000


Таблица 24. Показатели для расчета себестоимости продукта хлеб витаминный

название показателя

1 полугодие

2 полугодие

3 полугодие

4 полугодие

5 полугодие

6 полугодие

издержки

16,03

16,03

16,03

16,03

16,03

16,03

Суммарные прямые издержки на продукт

176 315,7

187 001,5

197687,3

213 716

240 430,5

245 773,4

Общие издержки + затраты на персонал

637 905,2

638430,5

620570,3

622 671,5

626 873,9

624247,4

Суммарные прямые изд на продукт. Итого

435 289,8

461 671

488 052,2

527 624

593 577

606767,6

Объем производства

33 000

35 000

37 000

40 000

45 000

46 000



Расчет себестоимости для продукта хлеб диетический:

Себестоимость 1 полугодие = 23,54+258 974,1*637 905,2 / 435 289,8 / 33 000 =

= 35,04

Себестоимость 2 полугодие = 34,39

Себестоимость 3 полугодие = 33,52

Себестоимость 4 полугодие = 32,8

Себестоимость 5 полугодие = 31,83

Себестоимость 6 полугодие = 31,61

Расчет себестоимости для продукта хлеб витаминный:

Себестоимость 1 полугодие = 16,03+176 315,7*637 905,2/435 289,8/33 000 =

= 23,86

Себестоимость 2 полугодие = 23,42

Себестоимость 3 полугодие = 22,82

Себестоимость 4 полугодие = 22,34

Себестоимость 5 полугодие = 21,67

Себестоимость 6 полугодие = 21,53

Расчет цены производится по следующей формуле:

Цена на готовое изделие = себестоимость * рентабельность

Уровень рентабельности = 20%. Для расчета цены на продукты решено взять средние показатели себестоимости, т.е. для продукта хлеб диетический данный показатель равен 33,2, а для продукта хлеб витаминный - 22,61.

Цена на хлеб диетический = 33,2 * 1,2 = 39,84 ≈ 40р

Цена на хлеб витаминный = 22,61 * 1,2 = 27, 13 ≈ 27р

На основании данных цен и рассчитанных в предыдущей главе исходных данных получаем следующие финансовые показатели, представленные в таблице 25 «Прибыли и убытки», таблице 26 «Кэш-фло», таблице 27 «Баланс».

Данные таблицы 25 «Прибыли и убытки» характеризуют финансовые ре зультаты деятельности организации за отчетный период (в нашем случае - квартал). Она содержит следующие показатели: валовый объем продаж, налоги с продаж, чистый объем продаж, материалы и комплектующие, суммарные прямые издержки, валовая прибыль, административные издержки, производственные издержки, маркетинговые издержки, зарплата производственного персонала, суммарные постоянные издержки, проценты по кредитам, суммарные непроизводственные издержки, другие доходы, другие издержки, чистая прибыль.

Для определения денежных потоков используется таблица 26 «Кэш-фло», так как именно она отражает реальное движение денежных средств независимо от правил бухгалтерского учета расходов и поступлений.


Таблица 25. Прибыли и убытки



Таблица 26. Кэш-фло




Таблица 27. Баланс




Заключение

Главной целью создания любого предприятия является получение максимальной прибыли при минимальных издержках. Поэтому так важно для предприятия разработка новых проектов и составление для них бизнес-планов. Руководство организаций с помощью планов, по сути, предпринимает попытки прогнозирования будущего развития событий. И чем более точны будут прогнозы, полученные с помощью планирования, тем менее неожиданными будут различного рода ситуации, связанные с деятельностью организации.

В теоретической части данной курсовой работы рассматривался вопрос разработки проектной документации: были изучены этапы разработки проектной документации, состав мероприятий при разработке проектно-сметной документации, последовательность выполнения проектных работ, основные виды проектных фирм и их функциональные обязанности, основные функции менеджера проекта, а также основные системы для автоматизации проектных работ.

В практической части данной курсовой работы разрабатывался бизнес-план для новой продукции мини-пекарни ООО «Колос», а именно хлеба диетического и хлеба витаминного. Первым этапом оценка внешней среды методами SWOT и ПЭСТ. Метод ПЭСТ позволил оценить влияние факторов внешней среды и сделать вывод о том, что максимально отрицательное влияние на предприятие оказывают природные факторы, а максимально положительное - экономические факторы. После метода SWOT были сделаны соответствующие выводы о конкурентных преимуществах данного предприятия, а также внешних возможностях и возможных угрозах.

Следующим этапом разработки бизнес-плана стал расчет исходных данных. Были рассчитаны такие показатели как, затраты сырья на единицу продукции, затраты средств на покупку оборудования за каждое полугодия планируемого проекта, затраты средств на производственный персонал и правленческие расходы, затраты средств на электроэнергию и аренду дополнительных производственных площадей, составлен график амортизационных начислений.

Заключительным этапом бизнес-плана стало определение себестоимости единицы готовой продукции и установление цены на единицу готовой продукции с учетом уровня рентабельности 20%. На основании проведенных расчетов было предложено установить цену на хлеб диетический - 40руб, а на хлеб витаминный - 27 руб. На основании данных цен и с учетом всех затрат и инвестиций были составлены итоговые таблицы финансовых показателей: таблица 25 «Прибыли и убытки», таблица 26 «Кэш-фло» и таблица 27 «Баланс».

По итогам составленного бизнес-плана можно сделать вывод о прибыльности и перспективности данного проекта: период окупаемости - 1 месяц, чистый приведенный доход - 4 319 610 руб.

В заключении следует отметить, что оптимально разработанный бизнес-план нового проекта является одним из важнейших показателей составляющих успеха предприятия и важнейшим фактом его конкурентоспособности. Ведь оптимально составленный бизнес-план позволяет определить конкурентоспособные преимущества, выявить возможные слабости фирмы и угрозы, а также оценить перспективность данного проекта и сумму необходимых инвестиций.

Основная цель работы, т.е. разработка бизнес-плана нового проекта мини-пекарни ООО «Колос», достигнута, работа выполнена.

Список использованной литературы

.Налоговый кодекс РФ: Части первая и вторая. - М.: Издательство «Омега - Л», 2011.

.Требования по составу и содержанию экспертного заключения по ТЭО (проекту) на строительство объектов производственного назначения. - М.: Госстрой России, 1993.

.Требования по составу и содержанию экспертного заключения по ТЭО (проекту) на строительство объектов жилищно-гражданского и общественного назначения. - М.: Госстрой России, 1993.

.Положение о подрядных торгах в Российской Федерации. - М.: Госстрой России, 1993.

.Инструкция о порядке разработки, согласования, утверждения и составления проектной документации на строительство предприятий, зданий и сооружений (СНиП 11-01-95). - М. 1995.

.Методические рекомендации по разработке технической части тендерной документации и оферт претендентов. - М.: ЭКЦ при Минстрое РОССИИ, 1995.

.Баринов В.А. Бизнес-планирование: учеб. пособие. - М.: ФОРУМ, ИНФРА-М, 2006.

.Герасимов Б.Н., Морозов В.В. Стратегический менеджмент: содержание, структура, процессы. Учеб. пособ. - Самара: УДЦ, 2008

.Долгов М.Г. Стратегический менеджмент. М.: Флинта. 2008.

.Крутякова Ю.А., Юсупова С.Р. Бизнес-планирвоание: учебно-практическое пособие. - М.: Вебли, Проспект, 2006.

.Майорова И.А. Управление проектами: Метод. указ. по выполнению курсового проекта/Самар. гос. техн. ун-т. Самара, 2010.

.Пласкова Н.С. Стратегический и текущий экономический анализ: Учеб.- М.: Эксмо, 2007.

.Поляков О.В. Бизнес-планирование: Учеб. пособие. -М.: МЭСИ, 2007

.Шифрин Г.Е. Стратегический менеджмент. Учеб. пособ. М.: Питер. 2009.

.Штрикова Д.Б. Оценка и прогноз конкурентоспособности товара на основе маркетинговых исследований: Метод. указ. к вып. курс. проекта/Самар. гос. техн. ун-т. Самара, 2009.


Не нашли материал для своей работы?
Поможем написать уникальную работу
Без плагиата!
Без нейросетей!