Устройство двигателя внутреннего сгорания
ВВЕДЕНИЕ
Развитее судовых двигателей обусловлено
следующими основными тенденциями.
Неуклонное увеличение агрегатной мощности
вызвано строительством более крупных и быстроходных судов.
Повышение эксплуатационной надежности
двигателей, путём применения новых высокопрочных материалов, автоматизации с
целью увеличении времени межремонтных периодах эксплуатации, максимально
возможное сокращение и упрощение операций по обслуживанию двигателей и работ по
уходу за ними.
Существует несколько типов дизельных энергетических
установок распространённых на судах мирового флота. В зависимости от назначения
и типа судна тоннажа применяют различные типы установок. Для крупнотоннажных
судов таких как балкера, танкера, универсалы выгодно применять МОД с
непосредственной передачей на винт. Для судов с горизонтальной, погрузкой и
паромов применяют два или более СОД работающих на один гребной винт по
средством редукторной передачей, что обусловлено ограничением по высоте МО. Для
судов на подводных крыльях и малых быстроходных судов применение ВОД с
реверс-редуктором. Дизель-электрическая применяется на судах где необходимо
высокая маневренность таких как: буксиры, плав-краны, донноуглубительные суда.
Судостроительные верфи будут выпускать суда с
главной энергетической установкой ДВС из-за ряда преимуществ перед другими
типами энергетических установок. На данный момент существует нехватка балкеров
дедвейтом 40 - 70 тыс. тонн и контейнеровозов.
В связи с разработкой подводных месторождений
нефти и газа также будет строиться суда обслуживающие платфомы добычи полезных
ископаемых, таких как: суда снабженцы, плавкраны, буксиры.
Перспективы развитие дизелестроения будут
направлены на применения новых не дорогих композитных материалов. Повышение
КПД. Применения супер длинноходовых дизелей сходом поршня от190 и более
ТЕХНИЧЕСКАЯ ХАРАКТЕРИСТИКА ДВИГАТЕЛЯ
8 ДКРН 60/195-10
Тип двигателя - двухтактный, простого действия,
реверсивный, крейцкопфный с газотурбинным наддувом (с постоянным давлением
газов перед турбиной), расположение цилиндров рядное, вертикальное.
Порядок нумерации цилиндров от носа к корме.
Диаметр цилиндра - 600 мм, ход поршня - 1950 мм.
Система продувки прямоточно-клапангная.
Порядок работы цилиндров 1-8-2-6-4-5-3-7
Максимальная длительная мощность (МДМ) 13200 кВт
Перегрузочная мощность (ПМ) 14 510 кВт
Работа на ПМ допускается не более одного часа с
интервалом не менее12 часов.
ОСОБЕННОСТИ КОНСТРУКЦИ ДВИГАТЕЛЯ 8
ДКРН 60/195-10
Остов двигателя
1 Фундаментная рама
Материал сталь 30.
Способ изготовления сварнолитая.
Классификационная характеристика открытого типа.
Общая характеристика фундаментная рама состоит
из двух сварных продольных балок и нескольких поперечных, на которых
устанавливаются рамовые подшипники.
Верхняя плоскость разъёма между рамой и картером
располагается выше оси коленчатого вала и имеет спец обработку для точности
установки станины.
Боковые и наружные поверхности продольных балок,
выполнены большой высоты для обеспечения надлежащей продольной жесткости имеют
полку для установки на судовой фундамент.
Рама устанавливается на судовой фундамент на
клиньях благодаря которым, достигают правильной центровки рамы по оси
валопровода.
Поддон выполнен из листового металла
закреплённый снизу. Вполнен с уклоном для стекания масла к всасывающему
патрубку насоса.
Внутренняя полость рамы разбита на отсеки (по
числу цилиндров) продольными и поперечными балками. Так же в теле поперечных
балок выполнены отверстия для анкерных связей и они служат опорами для рамовых
подшипников. В этих отсеках вращается кривошипы.
Рамовые подшипники.
Рамовые подшипники устанавливаются в гнёздах
поперечных балок. Состоит из двух частей верхней и нижней, и двух вкладышей,
выполнены цилиндрической формы залитые баббитом. На рабочей поверхности
находятся отверстия для подвода смазочного масла. Для лучшего распределения
смазки по рабочей поверхности и улавливания механических частиц стыков
вкладышей выполнены неглубокие холодильники, которые, во избегания утечки
масла, не доводят до края подшипника. На верхней половинке также изготавливают
канавку для лучшего распределения смазки.
Материалом для вкладышей служит сталь 30 залитая
на рабочей поверхности баббитом марки Б - 83 закрепление заливки осуществляется
непосредственно так как баббит хорошо соединяется с основным металлом.
Положение вкладышей подшипника сохраняется
благодаря щайбам, которые устанавливаются в соответствующих отверстиях на
корпусах подшипников.
Регулировка масляного зазора производится
заменой прокладки с более большей толщиной на меньшую согласно инструкции
завода строителя.
Крышки рамового подшипника изготавливают из
стали 30. Способ изготовления ковка. Поперечное сечение двутавровое. Подвод
смазки осуществляется через через сверление в теле верхней крышки.
Станина
Материалом для изготовления служит сталь 30.
Способ изготовления сварная. Выполнена виде А-образных стоек. Поперечное
сечение двутавровое. На верхнюю плоскость устанавливают блок цилиндров. Боковые
поверхности с помощью петель навешиваются стальные двери для доступа к
крейцкопфам, рамовым и мотылёвым подшипникам. Нижняя опорная лоскость тщательно
обрабатывается , а стойки станины соединяются с фундаментной рамой шпильками в
теле стоек выполены отверстия для анкерных связей. На стойках устанавливают
шлицевые трубы для каждого цилиндра и направляющие крейцкопфа. На боковых
поверхностях станины устанавливают предохранительные клапана, а также
сигнализация за контролем масленного тумана в картере.
Рубашка цилиндра (верхняя часть блок
картера)
Материалом для изготовления служит серый чугун
марки СЧ 28-48, а способом изготовления литьё. Выполняют виде отдельной отливки
на каждый цилиндр, которые затем сблачивают в единый блок цилиндров. Боковые
поверхности выполнено оребрение для жесткости и сверления для подвода товода
охлаждающей жидкости и окна для осмотра полостей охлаждения. В нижней части
блока расположена полость для подвода продувочного воздуха. Полость отделена от
катера диафрагмой для не подпадания цилиндровой смазки и газов в картер. На
боковых поверхностях также есть кона для отчистки поверхностей полости. На верхней
доске устанавливают шпильки для крепления крышки цилиндра и рубашка кожух
установленная между верхней доской блока и крышкой цилиндра. Охлаждающая вода
товодится в рубашку кожух через сверления и переливные трубки в верхней доске
блока цилиндров.
Цилиндровая втулка
Материал - высококачественный легированный
чугун. Способ изготовления - ковка. выполняется цилиндрической формы, с
технологическими поясами на наружной поверхности. Верхний торец втулки
опирается на рубашку кожух крепится крышкой и центрируется в нижнем сверлении
внутри блока, поэтому она может свободно расширяться вниз при нагреве во время
работы двигателя. На свободной части цилиндровой втулки между полостями
охлаждающей воды и продувочного воздуха расположено несколько отверстий с невозвратными
клапанами для подачи смазочного масла в цилиндр. На рабочей поверхности
цилиндра сверления соединяются с зигзагообразными смазочными канавками для
обеспечения равномерного распределения масла.
Цилиндровая крышка
Крышка цилиндра изготавливается из легированной
стали марки 37ХНЗА. Способ изготовления литьё ковка. Внешняя форма -
цилиндрическая. Выполняется виде двух донышек соединенных вертикальной стенкой
по периметру. По оси выполнено сверление для установки корпуса клапана. На
периферии выполнены сверления для установки двух форсунок, а также пускового,
предохранительного, индикаторного клапанов. К нижней стороне крышки цилиндра
приваривается кольцо, образуя охлаждающую полость.
Другая охлаждающая полость образуется вокруг
седла выпускного клапана при его монтаже. Обе полости сообщаются между собой
посредством многочисленных косых (радиальных) сверлений.
Анкерные связи
Материалом для изготовления служит
легированная сталь марки 18ХНМА. Способ изготовления ковка. Выполняются виде
шпилек с рейзбой на концах. Анкерные связи изготовляют из двух частей,
соединяются муфтой между собой.
Кривошипно-шатунный механизм
1) Поршень
Поршень состоит из двух основных частей: головки
и юбки.
Материалом для головки поршня жаропрочная,
легированная сталь ЗОМ для юбки серый чугун марки СЧ 32-52
Способом изготовления головки и юбки - литьё,
ковка.
Общая характеристика: выполнен виде
цилиндрической формы с донышком в верхней части.
Головка поршня: донышко имеет три выреза для
крепления приспособлений для подъёма поршня. Наружная боковая поверхность
снабжена хромированными канавками для четырех поршневых колец. Внутренняя
поверхность используется для охлаждения маслом головки поршня.
Направляющая поверхность (юбка) на внутренней
поверхности имеет сверления для подвода охлаждающей жидкости к головке.
Крепление осуществляется болтами через вертикаьные сверления в теле юбки, к
головке.
Деталями для подвода и отвода охлаждающего масла
являются уплотнительные прокладки и красномедные кольца.
) Поршневые кольца
Поршневые кольца изготовляют из
высококачественного легированного чугуна. Поперечное сечение прямоугольное
симметричное. Форма замка косой разрез. 1-3 имеют правый разрез, 2-4 имеют
левый разрез. Установка производится замка кольца относительно друг друга на 450.
) Поршневой шток
Материалом служит легированная сталь 40ХН.
Способ изготовления ковка. Выполняется виде длинного цилиндрического тела.
Верхняя часть штока выполнена виде фланца для соединения с поршнем. Тело штока
выполнено с внутреннем сверление для подвода и отвода масла к полостям
охлаждения поршня. Нижняя часть выполнена виде фланца с обрезанными параллельно
с двух сторон краями, в теле выполнены сверления для болтового соединения с
поперечиной.
) Крейцкопф
Крейцкопф двустороннего типа с двумя опорными башмаками.
Крейцкопф состоит из поперечины, шеек на которые устанавливаются плавающие
направляющие башмаки. Поперечина состоит из центральной части, которая также
является шейкой головного подшипника. К торцам которых устанавливают шейки
направляющих башмаков. Поперечина имеет в своем теле сверления для
распределения масла, поступающего по телескопической трубе, частично на
охлаждение поршня, частично на смазку головного и направляющих башмаков
крейцкопфа. Стопорение башмаков от осевого перемещения служит стопорны болт.
Башмаки крейцкопфа центрируются направляющими установленными в картере и
направляющими планками, закреплённые к башмакам.
Шатун.
Стержень шатуна имеет круглого сечения, за
исключением переходов к головкам подшипников. В теле шатуна, по его оси,
высверливают канал для подвода смазочного масла к мотылёвому подшипнику.
Способом изготовления ковка. Материал сталь 45. Головной подшипник состоит из
двух частей. Нижняя половина выполнена за одно с телом шатуна. Верхняя половина
крепится к нижней призонными шпильками. Вкладышами выполены из стали, а рабочие
поверхности залитые баббитом марки Б-83. на нижнем вкладыше есть сверления для
подвода смазки к подшипнику. Верхняя крышка выполнена с выфрезерованым
отверстием через которое проходит поршневой шток. Мотылевый подшипник состоит
из двух вкладышей и корпуса. Вкладыши выполнены из стали залитые на рабочей
поверхности баббитом марки Б-83. Для лучшего распределения смазки по рабочей
поверхности и улавливания механических частиц стыков вкладышей выполнены неглубокие
холодильники, которые, во избегания утечки масла, не доводят до края
подшипника. Положение вкладышей подшипника сохраняется благодаря щайбам,
которые устанавливаются в соответствующих отверстиях на корпусах подшипников.
Крепление крышки подшипника осуществляется призонными шпильками, гайками и
контрогайками, затяжка которых производится при помощи гидравлического
домкрата.
) Коленчатый вал.
Материал качественная углеродистая сталь 50. Вал
выполнен полусоставным шатунные шейки отковывают заодно со щеками, рамовые
шейки запрессовывают в щеки. Коленчатый вал состоит из шатунных шеек, рамовых
шеек, щёк. Рамовые шейки, щёки, шатунная шейка образуют колено. В носовой
оконечности вала установлен аксиальный демпфер для противодействия тяжелым
осевым действиям. На кормовом торце коленчатого вала устанавливается гребень
упорного подшипника и маховик. К гребню упорного подшипника крепят звездочку
для привода распределительного вала.
Механизм распределения
. Передача от коленчатого вала к
распределительному валу.
Место расположения со стороны фланца отбора
мощности. Привод осуществляется при помощи цепной передачи. Цепной привод
состоит из двух одинаковых роликовых цепей и звездочек, установленных на
коленчатом и распределительном валах. Натяжение цепей производится натяжным
устройством, расположенным между коленвалом и промежуточной звёздочкой. От
малой звёздочки на распределительном валу осуществляется привод лубрикаторов,
регулятора. Длинные свободные ветви цепей центруются резиновыми направляющими.
Смазка осуществляется через трубки установленные на направляющих и звёздочках.
.Распределительный вал
Распределительный вал расположен в районе блока
цилиндров. Состоит из нескольких секций. Секции соединяются с помощью фланцевых
соединений, а они, в свою очередь соединяются призонными болтами и гайками. На
секции распределительного вала установлены шайбы топливного насоса, выхлопного
клапана, индикаторного привода. Вал отковывают из стали 35 распределительный
вал поддерживается на подвесных подшипниках, которые монтируются между
кулачными щайбами. Шейки подшипников подвергают цементации. На кормовой
оконечности вала устанавливают звёздочку привода. Кулачные шайбы для привода
выпускных клапанов изготавливают с позитивным профилем для ТНВД - негативным
материалом служит сталь 45 подвергнутой улучшению и поверхностной закалке.
Способ изготовления ковка. Полумуфты, топливные и выпускные шайбы нагреваются и
насаживаются на вал. Для изменения угла опережения шайбу соответственно
проворачивают с помощью подачи масла под давлением в пространство между валом и
шайбой.
.Передача от распределительного вала к клапанам.
Передача к выхлопному клапану осуществляется
через гидропривод. Толкатель находящийся в корпусе над распределительным валом,
передает движение поршню гидроцилиндра, который посредством трубки высокого
давления соединён с гидроприводом выпускного клапана.
.Клапан
Корпус клапана изготавливают путём литья
изготавливается из легированной стали марки 37ХНЗА и имеет съёмное седло со
стеллитовой износоустойчивой наплавкой на конической поверхности . Корпус и
седло охлаждаются водой из системы охлаждения. Крепление корпуса клапана
осуществляется посредством 4 шпилек и гаек затяжка производится
гидродомкратами. Направляющая втулка - изготовлена из бронзы. Выпускной клапан
закрывается под действием пневмопоршня. Открытие происходит посредством поршня
гидроцилиндра нажимающего на хвостовик клапана. Открывающий гидроцилиндр
установлен в верхней части выпускного клапана. Гидравлический цилиндр открытия
клапана, устанавливают на пневмоцилиндр и крепится с помощью 4 шпилек и гаек. В
верхней части гидроцилиндра установлен деаэрационный клапан. Выхлопной клапан
изготавливают из жаростойких хромоникелевой стали марки ЭЯ2. На конической
поверхности тарелки клапана наплавляется слой стеллита. На штоке, с газовой
стороны, установлен кожух с лопатками, которые проворачивают клапан и
производят само-притирку. На хвостовой части штока крепится с помощью
двухсоставного конического сухаря, поршень закрывающего пневмоцилиндра.
ДИАГРАММА ГАЗОРАСПРЕДЕЛЕНИЯ. Точка 1
соответствует положению коленчатого вала в момент закрытия выпускного клапана.
В конце хода сжатия, когда мотыль коленчатого вала займет положение
соответствующее точке 2 начинается подача топлива в цилиндр. Подача и горение
топлива заканчивается в момент, соответствующей точке 3.
Расширение продуктов сгорания (рабочий ход)
продолжается до момента открытия выпускного клапана, что на диаграмме будет
соответствовать точке 4. Открытие продувочных окон обозначено точкой 5, а
момент их закрытия - точкой 1. Выпускной клапан закрывается несколько раньше
(точка 6).
Система подачи воздуха в цилиндры
Принцип работы системы воздух засасывается из
машинного отделения турбокомпрессором, через всасывающий фильтр. Из компрессора
воздух нагнетается через трубопровод в холодильник воздуха, где он охлаждается.
Корпус холодильника воздуха снабжен сепаратором, препятствует попаданию
конденсированной воды вместе с потоком воздуха в ресивер надувочного воздуха. В
ресивер надувочного воздуха воздух нагнетается через клапанный короб,
расположенный в его нижней части. Клапанный короб снабжен клапанами
(хлопушками), которые открываются давление воздуха от ТК
Газотурбокомпрессор (гтк)
Всасывающий фильтр изготавливают из листовой
стали с крепления к корпусу турбины. На боковых сторонах установлены сектора с
фильтрующими элементами. Сектора выполняют съемными для замены фильтров. Во
внутренней полости фильтра установлены глушитель. Изготовленный путем отливки
из легких сплавов металлов. Для обеспечения безударного поступления воздуха на
рабочее колесо снабжается входным направляющим аппаратом выполненным отдельно
от колеса. Направляющий аппарат представляет собой решетку неподвижных лопаток
направляющий воздух в сторону вращения колеса. Рабочее колесо выполнено из
алюминиевых сплавов АЛ9 полузакрытого типа. Диффузор используют для
преобразования кинетической энергии воздуха за рабочим колесом в работу сжатия.
Ротор выполняется сварным. С одной стороны на его установлено рабочее колесо
компрессора с другой стороны рабочее колесо турбины. подшипники ротора
шариковые. Со стороны нагнетателя устанавливает опорно-упорный. Со стороны
турбины только опорный который допускает осевое смещения вала от температурного
расширения. Лабиринтовые уплотнения служат для разделения газовой стороны от
воздушной и от упорного подшипника. Лабиринты образованы образованы
завальцованными в выточки ротора тонкими латунными гребешками. В камеру
укупорки между гребешками подводится сжатый воздух от компрессора , давление
которого больше давления газа. Маслоуплотнительное устройство служит для
предотвращения попадания масла в газовую и воздушную полости ГТК; его выполняют
в виде маслосгонной рейзбы, направленной в сторону противоположной вращению
ротора.
Воздухоохладитель
Воздухоохладитель блочного типа монтируется в
корпусе, который сварен из стальных листов и имеет промывочные люки. Охладитель
выполнен с воздушно реверсивной камерой , которая имеет влагоотделитель.
Влагоотделитель состоит зи ряда пластин , которые отделяют конденсированную воду
от продувочного воздуха во время его прохода через холодильник. Отделенная вода
собирается на днище корпуса охладителя , откуда удаляется, через клапан.
Ресивер продувочного воздуха
Выполняют из листовой стали. крепится болтами к
картеру двигателя. В полости ресивера на нижней части установлен клапанный
короб. Этот короб снабжен рядом невозвратных клапанов. На ресивере расположены
две вспомогательные воздуходувки. Всасывающая полость воздуходувок трубами
соединяется с клапанным коробом. Нагнетательные воздуходувок снабжены шиберными
заслонками. Ресивер наддувочного воздуха снабжен смотровыми люками, а также
предохранительными клапанами.
Контрольно-измерительные приборы .
На систему подачи воздуха устанавливают рад
термометров, манометров.
термометр для определения воздуха после
компрессора и перед холодильником.2 термометр для определения температуры в
ресивере. 3 дифференциальный манометр до фильтра компрессора и после него. Для
определения степени загрязнения фильтрующего элемента. 4 дифференциальный манометр
до после охладителя воздуха . для определения степенизагрязнения воздушного
хлодильника.
Система выпуска отработавших газов
Коллектор выпускных газов состоит из двух блоков
соединённых между собой компенсатором. Блоки имеют возможность перемещаться,
т.к. присоединены к основанию с помощью гибких опор. Между коллектором и
выпускными клапанами, а также между коллектором и ТК утановлены компенсаторы.
Отработавшие газы от выпускных клапанов
поступают в коллектор выпускных газов, в котором, пульсирующее давление газов
выравнивается, а оттуда газы уже при постоянном давлении поступают в ТК.
Коллектор изготавливается виде трубы большого
диаметра с приваренными к ней патрубки с фланцами для каждого цилиндра и для
ТК.
Компенсаторы установлены между фланцами
коллектора и патрубками выхлопных клапанов.
К контрольно измерительным приборам системы
относят термометры и термопары, которые установлены на выходе из каждого
цилиндра , перед турбиной и после неё.
Топливная система
К основным элементам системы относят: ТНВД,
форсунки, система соединительных трубопроводов, фильтра грубой и тонкой
отчистки.
Топливо поступает в систему двигателя от насосов
топливо подготавливающей установки через фильтра грубой и тонкой отчистки.
Затем к топливным насосам с избытком. Излишки топлива отводятся систему слива.
Откуда топливо возвращается в установку топливо подготовки. Отсечка топлива
также возвращается в систему слива.
Система предусматривает работу двигателя на
тяжёлом топливе даже на время манёвров и стоянки. Система выполнена с
циркуляционном контуром которая захватывает также и форсунки, что дает
возможность циркуляции топлива и постоянно поддерживания температурного режима
во всех точках системы. При этом нет необходимости в парапородах спутниках на
участке ТНВД- форсунка.
Масляная система
Состав системы: система состоит из двух
основных. Смазки цилиндров и смазки кривошипно-шатунного механизма и др.
Смазка цилиндров осуществляется принудительно то
масляных лубрикаторов. Масло используемое для смазки применяют зависимости от
используемого топлива согласно рекомендациям завода строителя или
судовладельца.
Циркуляционная система смазывает трущиеся детали
коленвала, шатуна, крейцкопфа, распределительного вала, толкатели ТНВД,
звёздочки приводных цепей распределительного вала и цепи, привода регулятора.
Так как для открытия выпускных клапанов используют гидропривод - масляная
система подпитывает его.
Система состоит из автономного масло-насоса,
холодильника масла, фильтров, трубопроводов и арматуры.
Масло засасывается насосом из картера т.к.
двигатель мокрым картером. После насоса масло поступает на масляный холодильник
где охлаждается. После холодильника масло проходит фильтра, откуда
распределяется ко всем точкам смазки. Откуда снова возвращается в картер.
Система охлаждения
Система охлаждения двух контурная. Первый
высокотемпературный контур охлаждает блок цилиндров, крышки цилиндров, корпуса
выпускных клапанов, турбину. Второй низкотемпературный контур охлаждает
масляный холодильник и надувочный воздух.
Система состоит автономных электрических
насосов, водоводяных охладителей и автоматики регулирования температурного
режима охлаждения и системы трубопроводов и арматуры. Охлаждения поршней
происходит от масляной системы.
Система пуска, реверса и управления
Система управления пневмоэлектрического типа
служит для выполнения команд, поступающие с навигационного мостика. Существует
несколько видов управления двигателем:
. Ручное из машинного отделения (ЦПУ)
. Дистанционное автоматическое управление
(ДАУ)
. Аварийное непосредственно с двигателя.
В случае ручного управления из ЦПУ контроль за
оборотами двигателя осуществляется посредсвом регулятора, выходной вал которого
соединён с отсечным валом.
Остановка, пуск и регулировка осуществляется
электропневматическим способом регулирующей рукояткой на посту управления,
реверс рукояткой ответного телеграфа.
Используя ДАУ , управление двигателем
осуществляется рукояткой телеграфа на мостике
В случае выхода из строя пневматической системы,
регулятора или электроники управления двигателем осуществляется непосредственно
с аварийного поста на двигателе.
Контрольно измерительные приборы и
устройства аварийно предупредительной сигнализации
Контрольно измерительным приборам относя
термометры манометры установленные на системах. Контроль за работой частоты
вращения тахометр и регулятор.
К аварийно предупредительной сигнализации
относят пресостаты термостаты устанвленых на системах
Основные параметры срабатывания сигнализации
. Низкое давление масла
. Высокая температура масла
. Нет смазки цилиндров
. Отсутствие охлаждения поршней
. Детектор масляного тумана в катере
высокий уровень содержания паров масла в воздухе
. Детектор обрыва трубки высокого
давления
. Большой уровень утечки топлива
. Высокая разница давления на фильтрах
. Низкое давление таплива в системе
. Большая разница температур выхлопных
газов.
. Двигатель перегружен
. Двигатель идет в разнос
. Низкое давление воды в системах
охлаждения
. Высокая температура охлаждающей
жидкости
Автоматические устройства защиты на
двигателе
Регулятор предельной частоты вращения назначение
срабатывает при предельной частоте вращения коленчатого вала для не допущения
механических разрушений.
Предохранительные клапана служат для снятия
опасных давлений в системах для не допущения механических разрушений.
Исходные данные
Двигатель марка 8 ДКРН 60/195-10
цилиндровая мощность 1390 кВт
частота вращения 117 об/мин
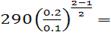
температура окружающей среды Т0=290К
давление воздуха окружающей среды р0=
0.1МПа
давление воздуха после ГТН рк принимаем
рк=0.2 МПа
сопротивление воздухоохладителя 𝛥рохл
принимаем 𝛥рохл=0.002
коэффициент снижения давления воздуха при
поступлении из ресивера в цилиндр принимаем 𝜉а=0.9
показатель политропы сжатия в компрессоре
принимаем nk=2
т.к. используем центробежный нагнетатель
понижение температуры воздуха в охладителе 𝛥Тохл
принимаем 𝛥Тохл=
40К
подогрев воздуха от стенок цилиндра 𝛥Тст
принимаем 𝛥Тст=5К
коэффициент остаточных газов 𝛶г
принимаем 𝛶г=0.05
температура остаточных газов Тг
принимаем Тг= 600К
степень сжатия 𝜀
принимаем для МОД 𝜀= 12
часть хода порщня, отведенная на процессы
газообмена hs
= 13см = 0.13 м
ход поршня S=1.95м
диаметр цилиндра D=0.6 м
Расчет
Расчет процесса наполнения
Давление воздуха в ресивере (МПа)
ps=pk-𝛥poxл
рs=
0.2-0.002=0.198 МПа
Давление воздуха в конце наполнения (МПа)
pa=𝜉a·ps
pa= 0.9·0.198 = 0.178 МПа
Температура воздуха после нагнетателя (К)

Tk=
410 К
Температура воздуха в ресивере (К)


Температура воздуха в цилиндре с
учётом подогрева от стенок


(K)
Температура воздуха в цилиндре в
конце наполнения (К)


(K)
Коэффициент наполненни, отнесенный к
полезному ходу поршня


Доля потерянного хода поршня

𝛹s=0.13/1.95=
0.066
Расчет процесса сжатия
давление воздуха в цилиндре в конце сжатия

где показатель политропы сжатия в
цилиндре n1=1.37

МПа
Температура воздуха в цилиндре в конце сжатия

где показатель политропы сжатия в
цилиндре n1=1.37

К
Расчет процесса сгорания
Исходные данные
Весовая доля углерода в 1 кг топлива С = 0.85
Весовая доля водорода в 1 кг топлива Н = 0.12
Весовая доля серы в 1кг топлива S = 0.003
Весовая доля кислорода в 1кг топлива О = 0.001
Низшая теплота сгорания топлива Qн =
42000 (кДж/кг)
Коэффициент избытка воздуха при сгорании 𝛼
= 1.8
Коэффициент использования тепла в точке z 𝜉z
= 0.92
Давление газов в цилиндре в конце сгорания (МПа)
Pz
= 10
Расчетные данные
Теоретически необходимое количество воздуха для
сгорания 1 кг топлива, (кМоль/кг)


кМоль/кг
Действительное количество
воздуха для сгорания 1 кг топлива, (кМоль/кг)


кМоль/кг
Количество продуктов образующихся
при сгорании 1 кг топлива (кМоль/кг)


кМоль/кг
Химический коэффициент молекулярного
изменения,

; 
Действительный коэффициент
молекулярного изменения


Средняя, мольная, изохорная
теплоемкость сухого воздуха, (кДж/кМольК)


кДж/кМольК
Средняя, мольная, изобарная
теплоемкость сухого воздуха, (кДж/кМольК)


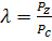
Степень повышения давления

, 
Уравнение сгорания:

Температура газов в конце сгорания, (К), из
уравнения сгорания

Где 



K
Расчет процесса расширения
Исходные данные
Показатель политропы расширения газов в цилиндре
n2=1.2
Расчетные данные
Степень предварительного расширения


Степень последующего расширения


Давление газов в цилиндре в конце
расширения, (МПа)


Температура газов в цилиндре в конце
расширения,(К)


K
Расчет показателей двигателя
Исходные данные
Коэффициент скругления индикаторной диаграммы 𝜑д
= 0.95
Механический КПД 𝜂м
= 0.9
Частота вращения n = 117 об/мин
Коэффициент тактности z = 1
Число цилиндров I
=
8
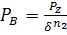
Расчетные данные
Теоретическое среднее индикаторное давление,
отнесенное к полезному ходу порщня, (МПа)

;

Предполагаемое среднее индикаторное
давление, отнесенное к полному ходу поршня, (МПа)

; 
Среднее эффективное
давление,(МПа)

; 
Удельный индикаторный расход
топлива, (кг/кВт·ч)

; 
Удельный эффективный расход топлива
(кг/кВт·ч)

; 
Индикаторный КПД

; 
Эффективный КПД

; 
Индикаторная цилиндровая
мощность двигателя, (кВт)

; 
Индикаторная агрегатная мощность,
(кВт)

; 
Эффективная агрегатная мощность,
(кВт)

; 
двигатель подшипник
цилиндр кривошипный шатунный
ПОСТРОЕНИЕ ИНДИКАТОРНОЙ ДИАГРАММЫ
Принимаем объем цилиндра в начале
сжатия

Объём камеры сжатия в масштабе
чертежа

Полезный рабочий объём цилиндра в
масштабе чертежа

полный объём цилиндра в масштабе
чертежа

Масштаб абсцисс чертежа

Объём цилиндра в масштабе чертежа

Объём цилиндра в конце сгорания в
масштабе чертежа

Масштаб ординат,М0
выбираем из условий:

; откуда 
тогда 
Давление в характерных точках
цикла в
масштабе ординат




В осях P-V по расчетным
координатам наносим точки o, a, c, z, z’, b.
11 процесс сгорания изображаем
изохорой c z’и изобарой z’z.
Промежуточные точки линии сжатия в
масштабе ординат определяют исходя из равенств:


Задавая значения 
, определяем соответствующие
значения 
Промежуточные точки линии расширения в масштабе
ординат определяют исходя из равенств:


Задавая значения 
, определяем соответствующие
значения 
Полученные результаты расчета сводим в таблицу 1
Таблица1
|
𝜑0
|
Процесс
сжатия
|
Процесс
расширения
|
𝜑
|
Процесс
сжатия
|
Процесс
расширения
|
|
30
|
34
|
106
|
90
|
5.5
|
19
|
|
45
|
21
|
63
|
105
|
4.5
|
15
|
|
60
|
11
|
38
|
120
|
3.5
|
12
|
|
75
|
7.5
|
25
|
135
|
3.0
|
10
|
|
90
|
5.5
|
19
|
150
|
2.5
|
-
|
ОПРЕДЕЛЕНИЕ ДВИЖУЩИХ СИЛ
.Определение сил давления газов и
построение их диаграмм.
1 силы давления газов определяем из индикаторной
диаграммы.
для определения сил давления газов в различных
углах ПКВ необходимо построить диаграмму Брикса.
а) по оси абсцисс откладываем на базе
индикаторной диаграммы ход поршня в соответствии с масштабом .
б) в сторону НМТ откладываем поправку Брикса
согласно масштаба.
в) из центра О1 делим полуокружность
на сектора по 150
д) ординаты от оси абсцисс до соответствующей
линии диаграмма показывает значение давления газов для различных углов ПКВ.
2.Сила веса поступательно движущихся
деталей КШМ и построение их диаграммы
К ПДД КШМ к крейцкопфного двигателя относятся
поршень, шток, крейцкопф, и верхняя часть шатуна до центра тяжести
Сила веса ПДД КШМ
Где G
- вес,
M
- масса,
g
=9.81
м/с2-ускорение свободного падения.
Удельная сила веса.
Где 
м2
В масштабе чертежа 
Определения сил инерции и
построение диаграммы
Сила инерциии ПДД КШМ
Ускорение
Где R-радиус
мотыля
ω- угловая скорость (рад/с) 
удельная сила инерции
Где M/F=m =2500·0,28=706,2-
удельная масса
тогда
Построение диаграммы сил инерции производим
графическим методом Толле.
. На базе индикаторной диаграммы
откладываем ход поршня АВ
2. Определяем силы инерции j
в ВМТ для φ=00
пкв
. Отрезок АС откладываем вниз от ВМТ
. Определим силу инерции j
в НМТ для φ=1800
пкв
. Отрезок BD
откладываем верх от НМТ
. соединяем точки C
и D прямой точка
пересечения линий CD
и АС обозначаем Е. восстанавливаем перпендикуляр EF
который будет равен
. Делим отрезки CF
и FD на одинаковое
число равных частей
. Соединяем одинаковые точки прямыми (1-1’;2-2’;3-3’)
. Касательно к построенному проводим кривую
. С помощью диаграммы Брикса делим ход поршня АВ
на градусы
. Отрезки между прямой осью абсцисс и линей
диаграммы показываю значение рj
для
различных φ пкв
Построение диаграммы движущих сил и
их определение.
1. На оси абсцисс откладываем 2 хода поршня
. Делим каждый ход поршня на отрезки
соответствующие φ пкв
диаграммы Брикса
. Считая ось абсцисс атмосферной линией,
строим развернутую индикаторную диаграмму.
. Вниз от линии абсцисс откладываем силу
веса в масштабе.
. На линии веса строим диаграмму сил
инерции с обратным знаком для удобста алгебраического суммирования.
. Определим величины движущих сил для
различных φ пкв замеряя
ординаты между линиями сил давления газов и сил инерции. С учетом знака заносим
в таблицу2
Таблица2
|
φ
пкв
|
Рдв
|
φ
пкв
|
Рдв
|
φ
пкв
|
Рдв
|
φ
пкв
|
Рдв
|
|
мм
|
мПа
|
|
мм
|
мПа
|
|
мм
|
мПа
|
|
мм
|
мПа
|
|
0
|
74
|
5.17
|
90
|
11
|
0.76
|
180
|
-13
|
-0.9
|
270
|
9
|
0.62
|
|
15
|
130
|
9.05
|
105
|
4
|
0.27
|
195
|
-4
|
-0.27
|
285
|
12
|
0.83
|
|
30
|
129
|
9.02
|
120
|
-1.5
|
-0.1
|
210
|
-3
|
-0.21
|
300
|
13
|
0.91
|
|
45
|
76
|
5.3
|
135
|
-5
|
-0.34
|
225
|
-1
|
-0.06
|
315
|
27
|
1.88
|
|
60
|
43
|
3.00
|
150
|
-11
|
-0.76
|
240
|
-1
|
-0.06
|
330
|
41
|
2.87
|
|
75
|
25
|
1.74
|
165
|
-12
|
-0.83
|
255
|
3
|
0.21
|
345
|
55
|
3.84
|
|
90
|
11
|
0.76
|
180
|
-13
|
-0.9
|
270
|
9
|
0.62
|
360
|
74
|
5.17
|
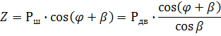
Определение сил действующих в КШМ.
1. Действующую силу действующую на поршень
переносим по линии действия головного соединения.
2. Раскладываем действующую
движущую силу на поршень Рдв по правилу параллелограмма на две
составляющие, нормальную N и действующую вдоль шатуна 

3. Перемещая силу Рш по линии ее
действия и раскладываем на две составляющие
Радиальная сила воспринимаемая коленчатым валом
и подшипниками.
Касательная сила создающая крутящий момент на
валу
Определение радиальных сил
построение их диаграмм.
1. Значение сил для различных φ
пкв
определяем аналитическим методом заносим в таблицу3
|
φ
пкв
|
Рдв
|
|
Z
|
|
Т
|
|
|
мм
|
мПа
|
|
мм
|
мПа
|
|
мм
|
мПа
|
|
0
|
74
|
5.17
|
1.0
|
74
|
5.17
|
0.000
|
0
|
0
|
|
15
|
130
|
9.05
|
0.952
|
123
|
8.65
|
0.309
|
40
|
2,79
|
|
30
|
129
|
9.02
|
0.816
|
105
|
7.36
|
0.585
|
44
|
5,31
|
|
45
|
76
|
5.3
|
0.606
|
46
|
3.21
|
0.808
|
61
|
4,2
|
|
60
|
46
|
3.00
|
0.348
|
16
|
1.04
|
0.954
|
41
|
2,8
|
|
75
|
25
|
1.74
|
-0.069
|
-1.7
|
-0.12
|
1.021
|
25
|
1,78
|
|
90
|
11
|
0.76
|
-0.204
|
-2.2
|
-0.15
|
1.000
|
11
|
0,76
|
|
105
|
4
|
0.27
|
-0.449
|
-1.7
|
-0.12
|
0.915
|
3,6
|
0,24
|
|
120
|
-1.5
|
-0.1
|
-0.652
|
0.9
|
0.06
|
0.870
|
-1
|
-0,08
|
|
135
|
-5
|
-0.34
|
-0.808
|
4
|
0.27
|
0.605
|
-3
|
-0,2
|
|
150
|
-11
|
-0.76
|
-0.916
|
10
|
0.69
|
0.415
|
-4,5
|
-0,31
|
|
165
|
-12
|
-0.83
|
-0.979
|
11
|
0.81
|
0.208
|
-2,5
|
-0,17
|
|
180
|
-13
|
-0.90
|
-1.000
|
13
|
0.9
|
0000
|
0
|
0
|
|
195
|
-4
|
-0.27
|
-0.979
|
4
|
0.26
|
-0.208
|
1
|
0,05
|
|
210
|
-3
|
-0.21
|
-0.916
|
2.7
|
0.19
|
-0.415
|
1,5
|
0,08
|
|
225
|
-1
|
-0.06
|
-0.808
|
1
|
0.04
|
-0.605
|
0,5
|
0,03
|
|
240
|
-1
|
-0.06
|
-0.652
|
0.5
|
0.02
|
-0.780
|
1
|
0,04
|
|
255
|
3
|
0.21
|
-0.449
|
-1.3
|
-0.09
|
-0.915
|
-3
|
-0,19
|
|
270
|
9
|
0.62
|
-0.204
|
-1.8
|
-0.12
|
-1.00
|
-9
|
-0,62
|
|
285
|
0.83
|
0.069
|
0.8
|
0.05
|
-1.021
|
-12
|
-0,84
|
|
300
|
13
|
0.91
|
0.348
|
4.5
|
0.31
|
-0.954
|
-12,5
|
-0,86
|
|
315
|
27
|
1.88
|
0.606
|
16
|
1.14
|
-0.808
|
-22
|
-1,51
|
|
330
|
41
|
2.87
|
0.816
|
33
|
2.43
|
-0.585
|
-24
|
-1,67
|
|
345
|
55
|
3.84
|
0.952
|
52
|
3.6
|
-0.309
|
-17
|
-1,18
|
|
360`
|
74
|
5.17
|
1.000
|
74
|
5.17
|
0.000
|
0
|
0
|
1. Определяем значение сил Х по
формуле 
значение заносим в таблицу с учетом
знака.
. На оси абсцисс откладываем
два хода поршня.
. Делим каждый ход поршня на
равные отрезки.
. В точках деления
восстанавливаем перпендикуляры соответствующие значения сил Z
. Через концы перпендикуляров
проводим плавную кривую.
Определение суммарных касательных
сил и построение их диаграммы.
1. Для определения суммарных касательных
сил ΣТ
заполняем таблицу.
|
φ
пкв
|
Т-1
|
Т2
|
Т3
|
Т4
|
Т5
|
Т6
|
Т7
|
Т8
|
ΣТ
|
|
0
|
0
|
-0,62
|
0,76
|
0
|
-0,2
|
0,03
|
4,2
|
-1,51
|
3,02
|
|
45
|
4,2
|
-1,51
|
-0,2
|
0,03
|
0
|
-0,62
|
0,76
|
0
|
2,66
|
|
90
|
0,76
|
0
|
0
|
-0,62
|
0,03
|
-1,51
|
-0,2
|
4,2
|
2,66
|
|
135
|
-0,2
|
4,2
|
0,03
|
-1,51
|
-0,62
|
0
|
0
|
0,76
|
2,66
|
|
180
|
0
|
0,76
|
-0,62
|
0
|
-1,51
|
4,2
|
0,03
|
-0,2
|
2,66
|
|
225
|
0,03
|
-0,2
|
-1,51
|
4,2
|
0
|
0,76
|
-0,62
|
0
|
2,66
|
|
270
|
-0,62
|
0
|
0
|
0,76
|
4,2
|
-0,2
|
-1,51
|
0,03
|
2,66
|
|
315
|
-1,51
|
0,03
|
4,2
|
-0,2
|
0,76
|
0
|
0
|
-0,62
|
2,66
|
2.
Для заполнения 1-ой графы определяем угол заклинки мотылей.
. Находим значение угла поворота
кривошипа кратное углу заклинки
. Определяем порядок работы цилиндров
. Вторая столбец таблицы берётся из
предыдущей
. Последующие столбцы Т1,Т2,
- Т8. Заполняются в последовательности работы цилиндров смещённые на
угол заклинки.
. Суммируем силы Т построчно с учётом
знака. На оси абсцисс откладываем 2 угла заклинки, делим каждый угол на
выбранные значения φ и в точках
деления восстанавливаем перпендикуляр, равные значениям суммарного ΣТ
через концы перпендикуляров проводим плавную кривую.
. Определяем среднюю суммарную
касательную силу.
. Откладываем её значение на чертеже.
. Определяем средне касательную силу
ПРОВЕРКА ПРАВИЛЬНОСТИ ПОСТРОЕНИЯ
ДИАГРАММ АНАЛЕТИЧЕСКОГОРАСЧЕТА ДИНАМИКИ ДВИГАТЕЛЯ
1. Определим крутящий момент на валу

2.
Определяем мощность на валу двигателя

кВт
Находим значения расхождения
мощностей полученных из диаграммы и теплового расчёта. Δ≤5%