Удаленное взаимодействие базы данных с конфигурацией '1С:Предприятие'
СОДЕРЖАНИЕ
Введение
. РЕЗУЛЬТАТЫ ПРЕДПРОЕКТНОГО ОБСЛЕДОВАНИЯ НКО ТСЖ
"ИСТОК", Г. Невинномысск.
Формулировка задач проектирования
1.1Результаты предпроектного обследования ТСЖ "ИСТОК"
1.1.1 Объект и методы проведения предпроектного обследования
.1.2 Программа проведения обследования
.1.3 Результаты предпроектного обследования и их анализ
.1.4 Анализ проблемных ситуаций и обоснование путей их
решения
1.2 Формулировка задач проектирования
1.2.1 Общие сведения о проекте
.2.2 Назначение, цели создания информационной подсистемы
.2.3 Характеристика объекта автоматизации
.2.4 Требования к подсистеме
.2.5 Состав и содержание работ по созданию подсистемы
.2.6 Порядок контроля приемки подсистемы
.2.7 Требования к составу и содержанию работ по подготовке
объекта автоматизации к вводу системы в действие
.2.8 Требования к документированию
.2.9 Источники разработки
Выводы
. Реализация
Информационной подсистемы "ЗАПРОСЫ В ЖКХ"
.1 Обоснование выбора средств разработки проектируемой
информационной системы
.2.2 Построение инфологической модели базы данных ЖКХ
.2.3 Даталогическое проектирование базы данных ЖКХ
2.3 Реализация публикации на Интернет-сервере запросов к базе
данных
2.4 Реализация интерфейсной части информационной подсистемы
2.5 Реализация экранных форм
.6 Реализация SQL запросов
.7 Реализация отчётов
Выводы
3. ИНФОРМАЦИОННОЕ И ПРОГРАММНОЕ ОБЕСПЕЧЕНИЕ
.1 Общие сведения о программном продукте
3.2 Функциональное назначение
.4. Требования к техническому обеспечению
3.4.1 Общие требования к серверу и к рабочей станции пользователя
.4.2 Обоснование требований к техническому обеспечению для
сервера
3.4.3 Обоснование требований к техническому обеспечению для
рабочей станции пользователя
.5 Вызов и загрузки программы
3.5.1Вызов программы со стороны ЖКХ
.5.2 Вызов программы со стороны ТСЖ "Исток"
.6 Входные данные
.7 Результаты тестирования программы
Выводы
4. Технико-экономическое обоснование
ПРОЕКТА
4.1 Краткая характеристика проекта
.2 Определение трудоемкости поставленных работ
.3 Расчёт себестоимости информационной подсистемы
"Запросы в ЖКХ"
4.4 Оценка экономической эффективности внедрения программного
продукта
Выводы
Заключение
БИБЛИОГРАФИЧЕКИЙ СПИСОК
ПРИЛОЖЕНИЕ
Введение
Актуальность данного дипломного проекта обусловлена тем, что он позволяет
существенно снизить временные затраты на запросы, выполняемые вручную, потеем
их автоматизации на объекте внедрения, что позволяет сократить расходы на
оплату труда персонала.
Цель данного
проекта реализовать удалённое взаимодействие базы данных, находящейся на
компьютере ЖКХ с конфигурацией "1С:Предприятие" находящейся на
компьютере НКО ТСЖ "ИСТОК", г. Невинномысск.
Задачами данного дипломного проекта являются: модернизация базы данных
ЖКХ, публикация запросов к ней их НКО ТСЖ "ИСТОК", г. Невинномысск с
помощью "1С:Предприятие" 8.2.
Сеть Интернет стала общепризнанным фактором деловой и общественной жизни.
Широкая распространенность и возросшая пропускная способность создают условия,
при которых выгодно решать многие задачи при помощи Интернет-технологий.
Однако Интернет объединяет в себе много различных платформ, а информация
содержится в разнообразных источниках данных. Поэтому актуальна проблема связи
таких разнородных данных, а также создания способа, который позволяет получать
их в виде удобном для дальнейшей обработки.
Концепция веб-сервисов (Web Services) призвана решить эту задачу
объединения, интеграции разнородных систем на основе открытых стандартов.
Идея веб-сервисов была разработана такими гигантами компьютерной
индустрии как Sun, Oracle, HP, Microsoft и IBM. В этой идее нет ничего нового,
но это большой шаг вперед к упрощенному доступу к программам через сеть.
Благодаря веб-сервисам функции любой программы могут стать доступными через
Интернет. Таким образом такие программы как PHP, ASP, JSP скрипты, JavaBeans,
COM-объекты и все остальные наши любимые средства программирования могут теперь
обращаться к какой-нибудь программе, работающей на другом сервере (т.е. к
веб-свервису), и использовать ответ, полученный от нее на своем веб-сайте, или
приложении.
Программный продукт "1С:Предприятие" также поддерживает
механизм веб-сервисов. Он является средством поддержки SOA (Service-Oriented
Architecture) - сервис-ориентированной архитектуры, которая является
современным стандартом интеграции приложений и информационных систем. Значительным
преимуществом сервис - ориентированной архитектуры является то, что она
позволяет развивать инфраструктуру предприятия однородным образом, без
разрушения уже существующих решений. Ее использование позволяет минимизировать
издержки за счет интеграции разнородных и унаследованных систем в современный
ландшафт предприятия. Она позволяет реализовывать слабо связные программные
компоненты с тем, чтобы максимально повысить их повторную используемость. Сервис-ориентированная
архитектура интенсивно развивается и поддерживается крупными вендорами. Она
строится на базе сервисов, автономных или управляемых извне. Предпочтительным
способом их реализации являются веб-сервисы. Они независимы от платформы,
автономны и поддерживаются повсеместно.
Прикладное
решение "1С:Предприятия" 8.2 может являться как поставщиком
веб-сервисов, так и потребителем веб-сервисов, опубликованных другими
поставщиками.
Интеграция
программного продукта "1С:Предприятие" v8.2 с удалённой базой данных выполненной с помощью СУБД Microsoft Access реализована в данном дипломном проекте. Цель данного
проекта интегрирация информационной подсистемы "1С:Предприятие" и
базы данных расположенных на удаленных персональных компьютерах. Задачей
данного проекта является разработка веб-сервиса, осуществляющего интеграцию. В
пояснительной записке к проекту содержатся результаты предпроектного
обследования предприятия заказчика информационной системы, общие сведения о его
организационной структуре и документообороте, а также описание разработки и
функционирования удалённого взаимодействия базы данных Microsoft Access и базы "1С:Предприятие" с помощью
веб-сервисов, реализованных в ходе дипломного проекта.
Пояснительной записка дипломного проекта состоит из введения, четырёх
разделов основной части пояснительной записки, заключения, библиографического
списка и приложений.
В первом разделе пояснительной записки проводится результаты
предпроектного обследования НКО ТСЖ "ИСТОК", г. Невинномысск.
Выявляются проблемные ситуации в работе информационной подсистемы этой некоммерческой
организации и формулируются задачи проектирования.
Во втором разделе пояснительной записки рассмотрены вопросы реализации
информационной подсистемы "Запросы в ЖКХ". При разработке базы данных
информационной подсистемы использовалось СУБД Microsoft Office Access 2007, публикация веб-сервисов осуществляется с
помощью ASP.NET, а клиентское приложение выполнено на платформе
"1С:Предприятие" 8.2.
В третьем разделе пояснительной записки рассматриваются вопросы
информационного и программного обеспечения разработки, а также обоснованы
требования к техническому обеспечению, гарантирующие нормальную работу
разработанной информационной подсистемы "Запросы в ЖКХ". Также
приведены результаты тестирования программного продукта.
В четвертом разделе проведено технико-экономическое обоснование проекта
рассчитаны показатели экономической эффективности его использования в условиях
НКО ТСЖ "ИСТОК", г. Невинномысск.
В заключении подведены основные итоги дипломного проектирования
Библиографический список содержит список из 20 источников информации.
В приложениях к пояснительной записке представлены: листинг программного
модуля веб-методов, публикующих запросы к базе данных, листинг программного
модуля отчётов, а также листинг слайдов в базе данных.
1. РЕЗУЛЬТАТЫ
ПРЕДПРОЕКТНОГО ОБСЛЕДОВАНИЯ НКО ТСЖ "ИСТОК", Г. Невинномысск. Формулировка задач проектирования
1.1 Результаты
предпроектного обследования ТСЖ "ИСТОК"
1.1.1 Объект
и методы проведения предпроектного обследования
В рамках темы дипломного проекта объектами обследования являются:
- ТСЖ "ИСТОК";
- Невинномысское ГМУП "УЖКХ";
цели функционирования ТСЖ "ИСТОК";
организационная структура ТСЖ "ИСТОК";
документооборот ТСЖ "ИСТОК";
совокупность организационных, технических, программных и
информационных средств, объединенных в единую систему с целью сбора, хранения,
обработки и выдачи необходимой информации, предназначенной запросов в ЖКХ из
ТСЖ "ИСТОК".
Основными целями выполнения предпроектного обследования ТСЖ
"ИСТОК" являются:
- выявление основных параметров предметной области связанных с
формированием отчётности по запросам в ЖКХ;
- установление условий, в которых будет функционировать проект
информационной подсистемы;
определение требований заказчика к проекту информационной
"Запросы в ЖКХ" из ТСЖ "ИСТОК";
выявление стоимостных и временных ограничений на процесс проектирования
информационной подсистемы.
Характеристики методов проведения обследования Предприятия приведены в
таблице 1.1.
Таблица 1.1 - Методы организации проведения обследования ТСЖ
"ИСТОК"
|
Критерии классификации
методов орг проведения обследования
|
Выбранный метод
|
|
По цели проектирования
|
Локальное обследование
|
|
По числу исполнителей
|
Индивидуальное обследование
|
|
По степени охвата объекта
|
Сплошное обследование
|
|
По отношению к этапам
|
Последовательное обследование
|
Характеристика методов сбора материалов обследования, использованных в
ходе преддипломной практики, представлена в таблице
Таблица 1.2 - Характеристика методов сбора материалов обследования, ТСЖ
"ИСТОК"
|
Методы сбора материалов
обследования
|
Характеристика методов
|
|
Силами исполнителей
|
Метод анализа операций
|
|
По числу исполнителей
|
Личное наблюдение
|
|
По степени охвата объекта
|
Беседы и консультации с
директором, зам директора и заведующим сектором технического обеспечения
|
|
По отношению к этапам
|
Опрос должностных лиц и
персонала на рабочих местах
|
При выборе методов учитывались следующие критерии:
- степень личного участия проектировщика информационной подсистемы в
сборе материала;
- временные, трудовые и стоимостные затраты на получение сведений
о ТСЖ "ИСТОК";
временные, трудовые и стоимостные затраты на получение сведений о
Невинномысском ГМУП "УЖКХ".
.1.2
Программа проведения обследования
Программа обследования предприятия представлена в таблице 1.3.
План-график выполнения работ на стадии сбора материалов обследования
представлен в таблице 1.4.
Таблица 1.3 - Программа обследования ТСЖ "ИСТОК"
|
Наименование вопроса
|
Источник информации
|
Получатель информации
|
|
Общие сведения
|
Директор
|
Проектировщик Чуприна Н. С.
|
|
Виды деятельности
|
Аналогично
|
Аналогично
|
|
Организационная структура
|
Аналогично
|
Аналогично
|
|
Цели функционирования
|
Аналогично
|
Аналогично
|
|
Документооборот
|
Бухгалтер
|
Аналогично
|
|
Формы документов,
используемых при расчётах с клиентами
|
Аналогично
|
Аналогично
|
|
Порядок создания и хранения
документации по расчётам с клиентами
|
Аналогично
|
Аналогично
|
|
Профессиональный уровень
подготовки бухгалтера в области информационных технологий
|
Аналогично
|
Аналогично.
|
|
Наличие средств
вычислительной техники и программного обеспечения
|
Аналогично
|
Аналогично
|
|
Особенности работы
бухгалтера ТСЖ "ИСТОК"
|
Аналогично
|
Аналогично
|
|
Технологии, методы и
технические средства преобразования информации при запросаз в ЖКХ
|
Аналогично
|
Аналогично
|
|
Проблемные ситуации в
работе существующей информационной системы, используемой для запросов в ЖКХ
|
Аналогично
|
Аналогично
|
Таблица 1.4 - План-график выполнения работ на стадии сбора
материалов обследования
|
Наименование вопроса
|
Код работы
|
Исполнитель
|
Дата начала
|
Кол-во дней
|
Дата окончания
|
|
Общие сведения
|
001
|
Проектировщик Чуприна Н. С.
|
10.01.11
|
5
|
15.01.11
|
|
Виды деятельности
|
002
|
Аналогично
|
15.01.11
|
5
|
20.01.11
|
|
Организационная структура
|
003
|
Аналогично
|
20.01.11
|
5
|
25.01.11
|
|
Цели функционирования
|
004
|
Аналогично
|
25.01.11
|
6
|
31.01.11
|
|
Документооборот
|
006
|
Аналогично
|
06.02.11
|
4
|
10.02.11
|
|
Формы документов, используемых
при расчётах с клиентами
|
007
|
Аналогично
|
10.02.11
|
2
|
12.02.11
|
|
Порядок создания и хранения
документации по расчётам с клиентами
|
008
|
Аналогично
|
12.02.11
|
2
|
14.02.11
|
|
Профессиональный уровень
подготовки бухгалтера в области информационных технологий
|
009
|
Аналогично
|
14.02.11
|
1
|
15.02.11
|
|
Наличие средств
вычислительной техники и программного обеспечения
|
010
|
Аналогично
|
15.02.11
|
5
|
20.02.11
|
|
Особенности работы
бухгалтера
|
011
|
Аналогично
|
20.02.11
|
5
|
25.02.11
|
|
Технологии, методы и
технические средства преобразования информации при запросаз в ЖКХ
|
012
|
Аналогично
|
25.02.11
|
3
|
28.02.11
|
|
Проблемные ситуации в
работе существующей информационной системы, используемой для запросов в ЖКХ
|
013
|
Аналогично
|
28.02.11
|
8
|
06.03.11
|
|
Всего затрачено дней
|
55
|
|
1.1.3
Результаты предпроектного обследования и их анализ
Общая характеристика ТСЖ "ИСТОК". Полное официальное
наименование организации: не коммерческая организация товарищество
собственников жилья "Исток". Сокращенное наименование: НКО ТСЖ
"ИСТОК" (далее по тексту Предприятие).
Реквизиты Предприятия:
- ИИН юридического лица: 2631023797;
- КПП по месту нахождения: 263101001;
расчетный счет: 40703810560250100406 в АБ
"Северо-Кавказский банк" филиал в г. Невинномысск отделение 1583;
корреспондентский счет: 30101810100000000650;
- юридический адрес: Ставропольский край, г. Невинномысск, ул.
Гагарина, дом 70А.
Предприятие создано 22 июня 2004г.
Учредителем "Предприятия" является городское товарищество
жильцов, далее именуемое "Учредителем". Предприятие в своей
деятельности руководствуется Конституцией Российской Федерации, законами
Ставропольского края, нормативно-техническими документами, строительными
нормами и правилами, а также Уставом, утвержденный Учредителем, является
единственным учредительным документом Предприятия. Предприятие является
юридическим лицом, имеет самостоятельный баланс, расчетный, валютный и иные
счета в Предприятиях банков, печать со своим наименованием, бланки, штампы.
Предприятие несет ответственность по своим обязательствам всем своим
имуществом, выступает истцом и ответчиком в суде и арбитражном суде, в
соответствии с действующим законодательством Российской Федерации. Предприятие
создано с целью обеспечения технической эксплуатации и обслуживания жилого
дома, расположенного по ул. Гагарина, а также оказания услуг, связанных с
эксплуатацией жилого дома. В соответствии с основными задачами, стоящими перед
ним, Предприятие осуществляет следующие виды деятельности:
- обеспечение правильной технической эксплуатации и обслуживания
жилого дома;
- обеспечение материально-технического снабжения жилого дома;
обеспечение жилого домах всеми видами коммунальных услуг;
организация охраны вверенного жилого дома;
обеспечения сохранности, учета и сменности инвентаря и
оборудования общего пользования жилого дома;
осуществление профилактических работ;
заключение хозяйственных и иных договоров, в пределах своей
компетенции;
другие виды деятельности, предусмотренные Уставом и не
запрещенные законом.
Организация деятельности Предприятия. Предприятие самостоятельно
осуществляет свою деятельность в пределах, определяемых законодательством
Российской Федерации, Ставропольского края и Уставом.
Предприятия имеет право в установленном порядке:
- непосредственно взаимодействовать с государственными и иными
органами и организациями по вопросам, входящим в задачи и функции Предприятия;
- заключать договоры с юридическими и физическими лицами на
выполнение работ и услуг, входящих в предмет деятельности Предприятия;
привлекать для осуществления своей деятельности на договорной
основе другие некоммерческие и коммерческие организации, а также физических
лиц;
приобретать или арендовать имущество за счет имеющихся в его
распоряжении финансовых ресурсов;
планировать свою деятельность и определять перспективы развития;
осуществлять иные права в соответствии со своими уставными
задачами и функциями.
Предприятия обязано:
- нести ответственность за качество и своевременность подготовки
документов в соответствии со своими уставными задачами и функциями;
- нести ответственность в соответствии с законодательством за
нарушение договорных, кредитных, расчетных обязательств, правил хозяйствования;
обеспечивать своих работников безопасными условиями труда и
нести ответственность в установленном порядке за вред, причиненный работнику
увечьем, профзаболеванием либо иным повреждением здоровья, связанным с
исполнением трудовых обязанностей;
нести ответственность за сохранность документов (управленческих,
финансово-хозяйственных, по личному составу и др.);
осуществлять бухгалтерский учет результатов производственной,
хозяйственной и иной деятельности, вести статистическую и налоговую отчетность,
отчитываться в результатах деятельности в порядке и сроки, установленные
законодательством Российской Федерации;
представлять в налоговые органы необходимую документацию в
полном объеме утвержденных форм и по всем видам деятельности;
- нести иные обязанности, предусмотренные законодательством.
Функциональные области деятельности Предприятия и процессы, в них
протекающие. Предприятие осуществляет работу по обслуживанию жильцов а также по
расчетам с ЖКХ. Данное предприятие относится к коммунальной сфере народного
хозяйства, следовательно, основной вышестоящей организацией будет являться
Министерство коммунального хозяйства Ставропольского края. На микроуровне
Предприятие взаимодействует со следующими структурами (рисунок 1.1):
Рисунок 1.1 - Структура Предприятия на микроуровне
На макроуровне производится описание взаимодействия предприятия с
государственными и негосударственными органами, влияющими на его работу в
соответствии с нормативно - правовыми актами РФ (рисунок 1.2).
Рисунок 1.2 - Структура Предприятия на макроуровне
Анализ организационно-управленческой структуры Предприятия. Организационная
структура Предприятия представлена на рисунке 1.3. Как видно из рисунка 1.3,
верхнему уровню управления соответствует управленческая подсистема. Во главе
верхнего уровня управления находится директор.
Рисунок 1.3 - Организационная структура Предприятия
Таблица 1.5 - Функциональные области деятельности Предприятия и процессы,
в них протекающие
|
Номер и название
функциональной задачи
|
Номер и содержание
функциональной подзадачи
|
|
1. Планирование
|
1.1 Планирование работы
Предприятия
|
|
1.2 Составление
перспективных и текущих планов
|
|
2. Управление деятельностью
Предприятия
|
2.1 Оформление договоров с
жильцами
|
|
2.2 Подготовка документов
по вопросам организации работы Предприятия
|
|
3. Управление ресурсами и
средствами Предприятия
|
3.1 Управление кадрами
|
|
3.2 Управление
материальными средствами
|
|
3.3 Управление
информационными системами
|
|
4. Непосредственное
осуществление деятельности Предприятия
|
4.1 Обслуживание жильцов
|
|
4.2 Ведение отчётности
|
|
4.3 Расчёты с различными структурами
|
|
5. Модернизация технологий
работы Предприятия
|
5.1 Сокращение временных
затрат бухгалтера на запросы в ЖКХ
|
|
5.2 Внедрение новых
информационных технологий
|
|
5.3 Улучшение работы с
кадрами
|
На основании таблицы функциональных областей управления (таблица 1.1)
строится организационно-функциональная модель. Организационная модель
предприятия представляется в виде матрицы (таблица 1.2), в которой строки - это
участники процессов, а столбцы - номера процессов. В этой таблице лица, несущее
ответственность за процесс отмечаются знаком "*", все принимающие
косвенное участие в процессе - знаком "\", основной исполнитель
процесса отмечается знаком "+" [1].
По данной организационно-функциональной модели можно делать выводы об
эффективности выполнения, как самих процессов, так и об эффективности
функционирования отдельных отделов и организации в целом.
Из анализа таблицы следуют выводы: все элементы структуры загружены
оптимально, в каждом из процессов принимает участие необходимое количество
исполнителей, т. е. структура оптимальна и никаких изменений не требуется [1].
Таблица 1.6 − Организационно-функциональная модель Предприятия
|
Функциональная область
|
Порядковый номер
функциональной задачи
|
|
1.1
|
1.2
|
2.1
|
2.2
|
3.1
|
3.2
|
3.3
|
4.1
|
4.2
|
4.3
|
5.1
|
5.2
|
5.3
|
|
1.Директор
|
*
|
*
|
*
|
*
|
*
|
*
|
* +
|
\
|
\
|
|
\
|
*
|
*
|
|
2.Бухгалтер
|
/
|
/
|
|
/
|
|
|
|
|
*
|
*
|
*
|
/
|
|
|
3.Сантехник
|
|
|
|
|
|
|
|
*
|
|
|
|
|
|
|
4. Лифтёр
|
|
|
|
|
|
|
|
*
|
|
|
|
|
|
|
5. Уборщицы
|
|
|
|
|
|
|
|
*
|
|
|
|
|
|
* - основной участник процесса;
/ - частичное участие в процессе
\ - основная ответственность на выполнении процесса
Предприятие имеет линейно-функциональную структуру управления, т.е
имеются три уровня управления и директору подчиняются все сотрудники
организации
Директор
относится к стратегическому уровню управления. На этом уровне определяются цели
управления, материальные, финансовые и трудовые ресурсы, разрабатываются
долгосрочные планы и стратегия их выполнения.
К тактическому уровню управления относятся: бухгалтер. На этом уровне
составляются тактические планы, осуществляется контроль за их выполнением.
На оперативном
уровне происходит реализация планов и составление отчетов о ходе их выполнения
и происходит собственно деятельность организации. К нему относятся уборщицы,
лифтёр и сантехник.
Директор осуществляет общее руководство деятельностью Предприятия и несет
ответственность за выполнение задач, непосредственно входящих в его обязанности
[1].
К обязанностям директора относится:
- организация работы Предприятия;
- руководство работой заместителей директора, бухгалтера
разработка перспективных планов развития деятельности Предприятия;
непосредственно взаимодействие с государственными и иными
органами и организациями по вопросам, входящим в задачи и функции Предприятия.
организация контроля использования и сохранности имущества;
выполнение других обязанностей, предусмотренных Уставом
Предприятия.
Директор имеет право первой подписи под финансовыми документами. Он
распоряжается имуществом Предприятия для обеспечения его текущей деятельности в
пределах установленных Уставом. Директор представляет интересы ТСЖ "ИСТОК",
как в г. Невинномысске, так и за его пределами. Директор заключает трудовые
договоры с работниками, применяет к этим работникам меры поощрения и налагает
на них взыскания. Директор выдает доверенности от имени ТСЖ "ИСТОК",
открывает в банках счета Предприятия, организует ведение бухгалтерского учета и
отчетности. Директор издает приказы и дает указания, обязательные для
исполнения всеми работниками Предприятия.
Директор Предприятия при осуществлении своих прав и исполнении
обязанностей он должен действовать в интересах Предприятия, осуществлять свои
права и исполнять обязанности в отношении Предприятия добросовестно и разумно
[1].
В непосредственном подчинении у директора находятся: бухгалтер, уборщицы,
лифтёр, сантехник.
Бухгалтер организует:
- учет и прогноз движения денежных средств;
- ведение бухгалтерского учета;
работа с контролирующими органами (налоговая инспекция,
пенсионный фонд, департамент экономики, фонд социального страхования);
анализ финансово-хозяйственной деятельности Предприятия.
Цели предприятия и средства их достижения. Под целью понимается
информационный образ желаемого состояния или результата деятельности.
Определение целей системы является важным этапом в процессе формирования
и принятия решений.
Чем точнее сформулированы и определены цели системы, тем легче выбрать
средства их достижения.
Методологической основой выявления целей является системный анализ.
Разделение целей по понижающимся уровням называется деревом целей. Для
построения дерева целей используется качественное, словесное описание целей.
Анализ целей необходим для построения дерева целей и выявления проблемных
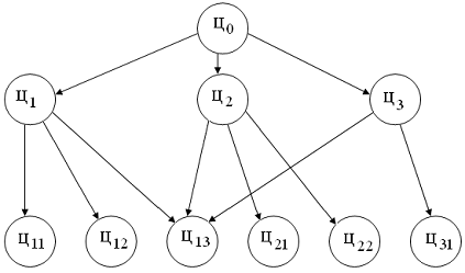
ситуаций. Изначально формулируется главная цель (Ц0) исследуемой
системы - предоставление услуг населению и организациям по подаче воды и отводу
стоков при уменьшении финансирования из бюджета. После чего на основе главной
этой цели выявляются подцели первого уровня [1]. Результат оформляется в виде
таблицы 1.5.
Для декомпозиции целей применяют метод дерева целей.
Сущность метода дерева целей наиболее ярко проявляется посредством одного
из этапов его применения - логического разделения совокупности целей. По
существу это означает расчленение целей системы более высокого порядка на цели
системы более низкого порядка, причем в результате такого расчленения получают
дерево целей, которое показывает связь между целями разных порядков. Необходимо
отметить несколько основных правил, которые могут быть использованы при
построении дерева целей
общая цель, находящаяся в вершине графа, должна содержать описание
конечного результата;
при развертывании общей цели в иерархическую структуру целей исходят из
того, что реализация подцелей каждого последующего уровня является необходимым
и достаточным условием достижения цели предыдущего уровня;
- подцели каждого уровня должны быть независимы друг от друга и не
выводимыми друг из друга;
количество уровней декомпозиции зависит от масштабов и сложности
поставленных целей;
ни одна цель уровней иерархии, кроме последней, не достигается
непосредственно, а лишь при достижении подцелей, на которые она разлагается;
средства достижения целей или критерии эффективности системы могут быть
целями ее подсистем;
- для каждой системы цели могут быть внешними и внутренними;
- цели нижних уровней дерева целей являются средствами достижения целей
высших уровней [1].
Таблица 1.7 - Основные цели функционирования Предприятия
|
Подцель
|
Формулировка подцели
|
Средства достижения
|
Критерий эффективности
|
|
Ц1
|
Увеличение эффективности
расчета с ЖКХ
|
Ц11-Внедрение
новых ИС Ц12- Повышение квалификации персонала Ц13
Периодическая модернизация технического оборудования
|
Максимальное уменьшение
времени расчётов с ЖКХ
|
|
Ц2
|
Уменьшение количества
поломок лифтов
|
Ц21-Периодическая
замена механизмов лифтов Ц22-Улучшение качества подготовки
лифтёров Ц13- Периодическая модернизация технического оборудования
|
Максимальное уменьшение
расходов на ремонт лифтов
|
|
Ц3
|
Повышение эффективности
работы персонала
|
Ц31-Уменьшение
затрат бухгалтера на запросы в ДКХ
|
Увеличение эффективности
при аналогичных затратах времени
|
|
Ц11
|
Внедрение новых ИС
|
|
Увеличение скорости работы
бухгалтера
|
|
Ц12
|
Повышение квалификации
персонала
|
|
Возможность работы на
различном оборудовании
|
|
Ц13
|
Модернизация оборудования
|
|
Полная замена устаревшего
оборудования в доме
|
|
Ц21
|
Периодическая замена
механизма лифтов
|
|
Лифты должны являться
полностью пригодными к эксплуатации
|
|
Ц22
|
Улучшение качества
подготовки лифтёров
|
|
Своевременное устранение
неполадок в лифте
|
|
Ц31
|
Уменьшение затрат
бухгалтера на запросы в ЖКХ
|
|
Уменьшение времени запроса
до 5 минут.
|
На основании данных таблицы построим дерево целей рисунок 1.4.
Выявление и формулировка проблемных ситуаций является одним из наиболее
сложных и ответственных этапов процесса принятия решений.
Рисунок 1.4 - Дерево целей Предприятия
Документооборот Предприятия. Документооборот Предприятия можно разделить
на внутренний и внешний.
К внешнему документообороту Предприятия, в частности, относятся
документы, представленные в таблице 1.8. К внутреннему документообороту
Предприятия, в частности, относятся документы, представленные в таблице 1.9.
Схема документооборота показана на рисунке 1.5. Схема внешнего документооборота
показана на рисунке 1.6.
Таблица 1.8 - Внешний документооборот Предприятия
|
Код документа
|
Название документа
|
Кто составляет документ
|
Кто использует документ
|
Периодичность составления
документа
|
|
1
|
Бухгалтерский баланс
|
Бухгалтер
|
Налоговая инспекция
|
Ежеквартально
|
|
2
|
Отчет о прибылях и убытках
|
Бухгалтер
|
Налоговая инспекция
|
Ежеквартально
|
|
3
|
Платежные поручения,
банковские переводы
|
Бухгалтер
|
Банк
|
Ежедневно
|
|
4
|
Отчёт о потребляемых
ресурсах
|
Бухгалтер
|
ЖКХ
|
Ежемесячно
|
Самыми распространенными маршрутами движения документов, входящих в
состав внешнего документооборота Предприятия являются:
- бухгалтерия Предприятия - налоговая инспекция по месту регистрации
Предприятия;
- бухгалтерия Предприятия - банк.
Таблица 1.9 - Внутренний документооборот Предприятия
|
Код документа
|
Название документа
|
Кто составляет документ
|
Кто использует документ
|
Периодичность составления
документа
|
|
1
|
Отчёт о состоянии
оборудования лифтов
|
Лифтёр
|
Директор
|
Ежеквартально
|
|
2
|
Отчет о списании
товарно-материальных ценностей
|
Бухгалтер
|
Директор
|
Ежегодно
|
|
3
|
Зарплатная ведомость
|
Бухгалтер
|
Директор
|
Ежемесячно
|

Рисунок 1.5 -
Схема внутреннего документооборота Предприятия
Рисунок 1.6 -
Схема внешнего документооборота Предприятия
Технические и программные средства, используемые Предприятием. На
Предприятии имеется локальная компьютерная сеть, реализованная на основе
технологии Ethernet. К этой сети подключены 2 персональных компьютера (ПК).
Также имеется подключение к Интернету.
Схема локальной вычислительной сети Предприятия приведена на рисунке 1.7.
Как видно из рисунка 1.7, на предприятии имеется два ПК, один сетевой лазерный
принтер типа HP LaserJet 1300 и один сканер типа HP ScanJet 3800.
Технические характеристики персональных компьютеров Предприятия указанны
в таблице 1.10
Таблица 1.10 - Технические характеристики ПЭВМ
|
Техническая характеристика
|
Номер персонального
компьютера
|
|
PC1
|
PC2
|
|
1. Частота процессора, ГГц
|
1,8
|
2,8
|
|
2. Размер ОЗУ, Мбайт
|
512
|
1024
|
|
3. Размер жесткого диска,
Гбайт
|
80
|
200
|

Рисунок 1.7 -
Схема локальной вычислительной сети ТСЖ "ИСТОК"
Предприятием используются, как системное, так и прикладное программное
обеспечение, которое представляет собой комплекс разнообразных программных
средств общего и прикладного характера, необходимый для выполнения различных
задач:
- общее программное обеспечение (операционные системы, сервисные
средства и утилиты и пр.).
- прикладное программное обеспечение (офисные программы,
коммуникационные программы предметно-ориентированные программы)
Основной операционной системой рабочих станций и сервера Предприятия
является Windows XP SP3.
На Предприятии используются прикладные программы, предназначенные для
сдачи налоговой и бухгалтерской отчетности, а так же плановой работы:
- "1С: Налогоплательщик" 8.2;
- "1С: Бухгалтерия" 8.2;
справочно-правовая система Консультант +.
Среди офисных программ, а также сервисных средств и утилит можно
выделить:
1. MS Office 2007.
2. Архиватор WinRAR.
3. Aантивирусные средства AVP KasperskyLab v10.0.
На компьютерах сектора технического обеспечения установлена операционная
система Windows XP Professional и офисное приложение Microsoft Office 2007 стандартной комплектации (Word, Excel, Accesss
и др.) и другие программные средства.
Для предоставлении информации клиентам в ЖКХ был создан
информационно-справочный отдел. В нём работают три человека, а именно начальник
отдела и двое операторов. Также в информационном отделе имеется локальная
компьютерная сеть, реализованная на основе технологии Ethernet. К этой сети
подключены 2 персональных компьютера (ПК).
Для связи
сервера, концентраторов и рабочих станций используется кабель "витая
пара". Скорость передачи данных по сети составляет до 100 Мбит/с.
Основной операционной системой рабочих станций и сервера информационном
отдела ЖКХ является Windows
XP SP2.
В информационном отделе ЖКХ используются прикладные программы,
предназначенные для разработки выдачи справочной информации и защита компьютера
от вирусов:
1. MS Office 2007.
2. Aантивирусные средства AVP KasperskyLab v 9.0.
1.1.3 Анализ
проблемных ситуаций и обоснование путей их решения
В работе информационной подсистемы, существующей в секторе технического
обеспечения ТСЖ "ИСТОК", выявлены следующие проблемные ситуации:
- запросы о задолженностях и тарифах на ресурсы в ЖКХ выполняются
бухгалтером в ручную, а именно бухгалтер должен по стационарному телефону
позвонить в ЖКХ, подождать пока его заявку смогут принять, после чего вручную
вбить полученные цифры б базу данных, на что затрачивается около 10 часов в
месяц, что отвлекает его от выполнения других служебных обязанностей ;
- недостаточная квалификация работающего персонала;
имеющиеся в наличии в секторе технического обеспечения средства
вычислительной техники и программное обеспечение (Microsoft Office 2007) используются недостаточно эффективно. База
данных сложна в обращении, и не имеет удобных форм для внесения информации;
недостаточное материальное обеспечения информационно-справочного
отдела ЖКХ;
устаревшее компьютерное оборудование Предприятия.
Анализ перечисленных проблемных ситуаций показывает, что основным путем
их разрешения является автоматизация запросов в ЖКХ из ТСЖ "ИСТОК".
С этой целью необходимо создать соответствующую информационную
подсистему. По требованию заказчика (директора ТСЖ "ИСТОК") такую
информационную подсистему необходимо реализовать в виде конфигурации 1С:
"Предприятие" 8.2.
Также необходимо создать базу данных в справочном отделе ЖКХ, а также
опубликовать запросы к ней на Интернет-сервере. По требованию начальника
справочного отдела базу данных необходимо реализовать в виде приложения Microsoft Access 2007, а опубликовать запросы к ней с помощью NetFramework v 2.0. В качестве оператора персонального компьютера и
основного пользователя (администратора) проектируемой информационной подсистемы
выступает бухгалтер Предприятия. Со стороны ЖКХ оператором персонального
компьютера выступает сотрудник справочного отдела ЖКХ. Проведенное выше
рассмотрение позволяет перейти к формулировке задач проектирования.
1.2 Формулировка
задач проектирования
1.2.1 Общие
сведения о проекте
Заказчиком информационной подсистемы "Запросы в ЖКХ" является
товарищество собственников жилья "ИСТОК", г. Невинномысск.
Исполнителем проекта является студент СевКавГТУ, факультета ФИТТ, группы ПИ-062,
Чуприна Никита Сергеевич.
интернет
интерфейсный запрос сервер
1.2.2
Назначение, цели создания информационной подсистемы
Информационная подсистема предназначена для:
автоматизации информационных запросов бухгалтера Предприятия в ЖКХ;
хранения информации в доступном виде;
обеспечения сохранности данных;
предоставления отчетов по удалённым информационным запросам.
Целями создания информационной подсистемы "Запросы в ЖКХ"
являются:
уменьшение времени обработки запроса в ЖКХ;
реализации запросов к базе данных ЖКХ а также публикация их на
Интернет-сервере;
обеспечение простоты пользовательского интерфейса.
1.2.3
Характеристика объекта автоматизации
Информационная подсистема будет функционировать в здании Предприятия.
Характеристика окружающей среды:
температура от +17 оС зимой до +27 оС летом
(информационная подсистема также может функционировать и в экстремальных
условиях (отказ систем поддержания нормальных микроклиматических условий в
помещении) - от +5 оС зимой до +35 оС летом );
атмосферное давление от 84,6 до 106,7 кПа;
содержание в воздухе пыли, агрессивных газов и паров в пределах, не
превышающих указанных в санитарных нормах СН 245-76 [2];
внешние постоянные магнитные поля напряженностью до 100 А/м [3];
внешние переменные электрические поля не более +2 кВ/м [4].
1.2.4
Требования к подсистеме
Требования к подсистеме в целом. Информационная подсистема должна
обеспечивать:
удалённое взаимодействие баз данных;
высокую степень сохранности данных;
возможность последующей модернизации баз данных без утери самих данных;
быструю обработку входящих данных.
Требования к функциям (задачам). Требования к обработке запросов:
запрос должен занимать не более 5 минут;
при невозможности запроса должна выдаваться ошибка;
запросы должны быть простыми и понятными в использовании.
Требования к интерфейсу:
основные функции подсистемы должны быть вынесены на первый план;
внешний вид не должен быть "агрессивным" (например, присутствие
сильного контраста).
Также одним из основных требований является присутствие понятной и
развернутой справки.
Диаграмма задач информационной подсистемы "Запросы в ЖКХ"
представлена на рисунке 1.7
Рисунок 1.7 - Диаграмма вариантов использования информационной подсистемы
"Запросы в ЖКХ"
1.2.5 Состав
и содержание работ по созданию подсистемы
На этапе проектирования необходимо:
выполнить разработку решений по техническому обеспечению;
выполнить разработку алгоритмов функционирования подсистемы;
выполнить разработку решений по всем видам обеспечения (математическому,
лингвистическому, программному и т. п.).
На этапе разработки рабочей документации необходимо:
выполнить разработку рабочей документации по информационному обеспечению;
выполнить разработку рабочей документации по организационному
обеспечению;
выполнить разработку документации на технические средства подсистемы;
выполнить разработку программной документации.
.2.6 Порядок
контроля приемки подсистемы
При приемке подсистемы проводится проверка на:
соответствие аппаратуры проектной документации;
соответствие программного обеспечения проектной документации;
обеспечение безопасности системой безопасности подсистемы;
выполнение подсистемой основных задач.
1.2.7
Требования к составу и содержанию работ по подготовке объекта автоматизации к
вводу системы в действие
Для подготовки подсистемы к вводу в действие необходимо:
обучение персонала пользователя с 15.05.2011 по 30.05.2011;
проведение опытной эксплуатации с 30.05.2011 по 16.05.2011;
проведение приемочных испытаний с 16.06.2011 по 30.06.2011;
устранение замечаний, выявленных при испытаниях подсистемы с 30.06.2011
по 10.07.2011.
.2.8
Требования к документированию
Данный проект должен быть оснащен документацией, включающей в себя
следующие наименования:
пояснительная записка - бумажный носитель информации;
схема даталогической структуры данных - бумажный носитель информации;
спецификация оборудования - бумажный носитель информации;
описание алгоритмов - бумажный носитель информации;
инструкции по эксплуатации - бумажный носитель информации;
ведомости потребности в материалах - бумажный носитель информации;
программное обеспечение (выдается после наладки) - компакт-диск с
программой.
.2.9
Источники разработки
Источниками разработки являются:
- заказ на разработку информационной подсистемы "Запросы в
ЖКХ";
- отчет о преддипломной практике студента группы ПИ-062 Чуприны
Никиты Сергеевича;
существующая база данных ЖКХ.
Выводы
Предприятие функционирует в городе Невинномысске. Цель предприятия -
предоставление услуг жильцам дома, в котором расположено, а также посреднические
услуги при расчёте с ЖКХ. В целом на экономику города Предприятие влияет слабо,
так как его основная цель не относится к получению прибыли. В работе
информационной подсистемы ТСЖ "ИСТОК" (г. Невинномысск
Ставропольского края) выявлены следующие проблемные ситуации: запросы о
задолженностях и тарифах на ресурсы в ЖКХ выполняются бухгалтером в ручную, а
именно бухгалтер должен по стационарному телефону позвонить в ЖКХ, подождать
пока его заявку смогут принять, после чего вручную занести полученные цифры б
базу данных, на что затрачивается около 10 часов в месяц, что отвлекает его от
выполнения других служебных обязанностей ;
- недостаточная квалификация работающего персонала;
- имеющиеся в наличии в секторе технического обеспечения средства
вычислительной техники и программное обеспечение (Microsoft Office 2007) используются недостаточно эффективно. База
данных сложна в обращении, и не имеет удобных форм для внесения информации;
недостаточное материальное обеспечения информационно-справочного
отдела ЖКХ;
устаревшее компьютерное оборудование Предприятия.
Анализ перечисленных проблемных ситуаций показывает, что их можно
разрешить если разработать информационную подсистему, позволяющую
автоматизировать запросы бухгалтера в ЖКХ. По требованию заказчика (директора
ТСЖ "ИСТОК") такую информационную подсистему необходимо реализовать в
виде приложения баз данных на платформе Microsoft Windows. В качестве
администратора проектируемой информационной подсистемы выступает бухгалтер ТСЖ
"ИСТОК".
2. Реализация Информационной подсистемы
"ЗАПРОСЫ В ЖКХ"
2.1
Обоснование выбора средств разработки проектируемой информационной системы
Выберем
систему управления базами данных "1С:Предприятие".
"1С:Предприятие" - это программный комплекс, контролирующий все
стадии товарооборота, от поступления товара на склад до его продажи и
проведения через бухгалтерские книги. Первоначально комплекс задумывался как
бухгалтерская программа и назывался "1C:Бухгалтерия". Но как
отдельная бухгалтерская программа продукт был не очень популярен [5].
Из основных модулей можно отметить "1C:Предприятие"
(бухгалтерия входит туда же), Конфигуратор (именно здесь настраиваются доступы
к отдельным документам, дописываются модули, создаются формы и т.д. и т.п. В
общем, язык "1C" используется именно здесь), Монитор, Отладчик. Есть
еще много вспомогательных утилит. Встроенный язык системы
"1С:Предприятие" предназначен для описания (на стадии разработки
конфигурации) алгоритмов функционирования прикладной задачи. Встроенный язык
(далее по тексту - язык) представляет собой предметно-ориентированный язык
программирования, специально разработанный с учетом возможности его применения
не только профессиональными программистами. В частности, все операторы языка
имеют как русское, так и англоязычное написание, которые можно использовать
одновременно в одном исходном тексте. При своей относительной простоте язык
обладает некоторыми объектно-ориентированными возможностями, например, правила
доступа к атрибутам и методам специализированных типов данных (документам, справочникам
и т. п.) подобны свойствам и методам объектов, используемых в других
объектно-ориентированных языках. Однако специализированные типы данных не могут
определяться средствами самого языка, а задаются в визуальном режиме
конфигуратора. Типизация переменных в языке не жесткая, т. е. тип переменной
определяется ее значением. Переменные не обязательно объявлять в явном виде.
Неявным определением переменной является ее первое упоминание в левой части
оператора присваивания. Возможно также явное объявление переменных при помощи
соответствующего оператора. Допускается применение массивов.
Система программ "1С:Предприятие" 8.2 включает в себя платформу
и прикладные решения, разработанные на ее основе, для автоматизации
деятельности организаций и частных лиц. Сама платформа не является программным
продуктом для использования конечными пользователями, которые обычно работают с
одним из многих прикладных решений (конфигураций), разработанных на данной
платформе. Такой подход позволяет автоматизировать различные виды деятельности,
используя технологическую платформу [7].
Система управления базами данных Microsoft Office Access 2007.Office
Access 2007 позволяет быстро отслеживать информацию и с легкостью создавать на
ее основе отчеты с помощью улучшенного интерфейса и интерактивных средств, не
требующих глубоких знаний в области баз данных. Office Access 2007 обеспечивает
возможность легко начинать работу со встроенными базами данных, вносить в них
изменения и адаптировать к меняющимся деловым потребностям пользователя.
Пользователь может собирать информацию с помощью форм электронной почты или
импортировать данные из внешних приложений. Реализована возможность создания и
редактирования подробных отчетов, содержащих отсортированную, отфильтрованную и
сгруппированную информацию, которая облегчит принятие более обоснованных
решений. Совместный доступ к информации обеспечивается с помощью
технологических списков Microsoft Windows SharePoint Services, позволяющих
проверять журнал исправлений, восстанавливать удаленную информацию,
устанавливать разрешения доступа к данным и регулярно осуществлять резервное
копирование [8].
Платформа .NET Framework. .NET Framework - программная платформа, выпущенная
компанией Microsoft в 2002 году. Фактически представляет
собой операционную систему внутри операционной системы. Основой платформы
является виртуальная машина Common Language
Runtime (CLR), способная выполнять как обычные настольные
программы, так и веб-приложения. Отличительной особенностью .NET Framework является способность выполнять
программы, написанные на разных языках программирования.
Считается, что платформа .NET Framework явилась
ответом компании Microsoft на
набравшую к тому времени большую популярность платформу Java компании Sun Microsystems (ныне принадлежит Oracle), также основанную на виртуальной
машине.
Хотя .NET является патентованной технологией
корпорации Microsoft и официально рассчитана на работу
под операционными системами семейства Microsoft Windows,
но существуют независимые проекты (прежде всего это Mono и Portable.NET), позволяющие запускать программы .NET на многих других операционных
системах [7].
.2 Создание логической и физической структуры базы данных средствами
Microsoft Office Access 2007 и средствами "1С: Предприятие" 8.2
.2.1 Проектирование баз данных информационной подсистемы "Запросы в
ЖКХ"
Перечень сущностей. Сущность - любой различимый объект, информацию о
котором необходимо хранить в базе данных. Необходимо различать такие понятия,
как тип сущности и экземпляр сущности [9].
Понятие тип сущности относится к набору однородных личностей, предметов,
событий или идей, выступающих как целое. Экземпляр сущности относится к
конкретной вещи в наборе [9].
При создании конфигурации были созданы сущности, представленные в таблице
2.1. и 2.2
Таблица 2.1 - Типы сущностей в СУБД Microsoft Office Access 2007
|
Наименование
|
Характеристика сущности
|
|
Таблица
"Предприятия"
|
Содержит данные об
предприятиях клиентах ЖКХ: код предприятия и название предприятия, а также
различная информация по предприятию.
|
|
Таблица"Задолженность"
|
Содержит различную
информацию о задолженностях: код предприятия-должника, сумма задолженности и
дата задолженности.
|
|
Таблица"Тарифы"
|
Хранятся данные о коде
ресурса, дате, с которой действует тариф
|
|
Таблица "Ресурсы"
|
Хранятся данные о
соответствии вида ресурса коду ресурса
|
Таблица 2.2 - Типы сущностей в "1С:Предприятие" 8.2
|
Наименование
|
Характеристика сущности
|
|
Отчёт "Справка по
организациям"
|
Содержит справочную
информацию о коде и названии организации
|
|
Отчёт "Справка по
ресурсам"
|
Содержит справочную
информацию о коде и виде ресурса
|
|
Отчёт "Запрос на
задолженность"
|
При вводе кода предприятия
предоставляет информацию об задолженности предприятия на данный момент
|
|
Отчёт "Запрос на
ресурсы"
|
При вводе кода ресурса
выводит информацию о стоимости единицы ресурса в рублях а также о актуальной
дате действия тарифа
|
Перечень атрибутов сущностей баз данных.
Атрибут - поименованная характеристика сущности [9]. Его наименование
должно быть уникальным для конкретного типа сущности, но может быть одинаковым
для различного типа сущностей. Атрибуты используются для определения того,
какая информация должна быть собрана о сущности. Перечень атрибутов сущностей
проектируемой базы данных представлен в таблице 2.2 и 2.3
Таблица 2.2 - Перечень сущностей и их атрибутов в СУБД Microsoft Office
Access 2007
|
Сущность
|
Атрибут
|
Тип
|
Характеристика
|
|
Предприятия
|
код_предприятия
|
Счетчик
|
Код предприятия
присваеваемый ЖКХ
|
|
название_предприятия
|
Текстовый
|
Юридическое наименование
предприятия
|
|
номер_телефона_предприятия
|
Текстовый
|
Номер телефона на
предприятии
|
|
фио_директора_предприятия
|
Текстовый
|
Информация о директоре
предприятия
|
|
адрес_предприятия
|
Текстовый
|
Юридический адрес
предприятия
|
|
Задолженность
|
код_задорлженности
|
Счетчик
|
Код задолженности
|
|
код_предприятия
|
Числовой
|
Код предприятия
|
|
дата_задолженности
|
Дата/время
|
Актуальная дата
задолженности по предприятию
|
|
сумма_задолженности
|
Денежный
|
Общая сумма задолженности
по предприятию
|
|
Ресурсы
|
код_ресурса
|
Счетчик
|
Код ресурса присваеваемый
ЖКХ
|
|
вид_ресурса
|
Текстовый
|
Вид оплачиваемого ресурса
|
|
Тарифы
|
ключ
|
Счетчик
|
Превичный ключ
|
|
код_ресурса
|
Числовой
|
Код ресурса в ЖКХ
|
|
Тарифы
|
Дата
_с_которой_действует_тариф
|
Дата/время
|
Актуальная дата действия
тарифа
|
|
стоимость_ед_ресурса_руб
|
Денежный
|
Стоимость еденицы ресурса
|
Таблица 2.3 - Перечень сущностей и их атрибутов в "1С: Предприятие
8.2"
|
Сущьность
|
Атрибут
|
Тип
|
Характеристика
|
|
Справка по организациям
|
Название организации
|
Строка(50)
|
Юридическое наименование
предприятия
|
|
КодОрганизации
|
Число(10)
|
Код организации
присваеваемый ЖКХ
|
|
Справка по ресурсам
|
Код ресурса
|
Число(10)
|
Код ресурса
|
|
Вид ресурса
|
Строка(10)
|
Вид оплачиваемого ресурса
|
|
Запрос на задолженность
|
Код предприятия
|
Число(10)
|
Код предприятия
присваеваемый ЖКХ
|
|
Организация
|
Строка(50)
|
Юридическое наименование
предприятия
|
|
Дата задолженности
|
Дата
|
Актуальная дата
задолженности
|
|
Сумма задолженности
|
Общая сумма задолженности
по предприятию
|
|
ЗапросНаРесурсы
|
Код ресурса
|
Число(10)
|
Код ресурса
|
|
Вид ресурса
|
Строка(20)
|
Вид оплачиваемого ресурса
|
|
Дата с которой действует
тариф
|
Дата
|
Актуальная дата
задолженности
|
|
Стоимость ед. ресурса
|
Число(10)
|
Стоимость ресурса
|
2.2.2
Построение инфологической модели базы данных ЖКХ
Одним из способов моделирования баз данных является построение
инфологической модели. Цель инфологического моделирования - обеспечение
наиболее естественных для человека способов сбора и представления той
информации, которую предполагается хранить в создаваемой базе данных. Поэтому
инфологическую модель данных пытаются строить по аналогии с естественным языком
(последний не может быть использован в чистом виде из-за сложности компьютерной
обработки текстов и неоднозначности любого естественного языка). Основными
элементами инфологических моделей являются сущности, связи между ними и их
свойства (атрибуты) [9].
Для построения модели "сущность-связь" (ER-модели) необходимо ввести понятие
"связь" и определить типы связи между сущностями в проектируемой базе
данных.
Связь - ассоциирование двух или более сущностей. Если бы назначением базы
данных было только хранение отдельных, не связанных между собой данных, то ее
структура могла бы быть очень простой. Однако одно из основных требований к
организации базы данных - это обеспечение возможности отыскания одних сущностей
по значениям других, для чего необходимо установить между ними определенные
связи [9].
Между двумя сущностям, например, А и В возможны четыре вида связей.
Связь "один-к-одному" (1:1) - в каждый момент времени каждому
представителю (экземпляру) сущности - соответствует 1 или 0 представителей
сущности В.
Связь "один-ко-многим" (1:М) - одному представителю сущности А
соответствуют 0, 1 или несколько представителей сущности В.
Так как между двумя сущностями возможны связи в обоих направлениях, то
существует еще два типа связи: "многие-к-одному" (М:1) и
"многие-ко-многим" (М:N). В разработанном проекте используется тип
связи "один-ко-многим" для связи справочников между собой и для связи
справочников и регистров сведений.
Типы связей, определенные между сущностями проектируемой базы данных
приведены в таблице 2.4
Таблица 2.4 - Типы связей между сущностями
|
Наименование сущности
|
Наименование сущности
|
Тип связи
|
|
Таблица
"предприятия"
|
Таблица
"Задолженность"
|
1:М
|
|
Таблица "тарифы"
|
Таблица
"Ресурсы""
|
1:М
|
Анализ определенных выше объектов и атрибутов позволяет выделить сущности
проектируемой базы данных и, приняв решение о создании реляционной базы данных,
построить ее инфологическую модель на языке "сущность-связь" [9].
Инфологическая модель проектируемой базы данных представлена на рисунке
2.1.
Рисунок 2.1 - Инфологическая модель данных
2.2.3
Даталогическое проектирование базы данных ЖКХ
Понятие реляционной модели данных. Базы данных называются реляционными,
если управление ими основано на математической модели, использующей методы
реляционной алгебры и реляционного исчисления [9].
Вся информация в реляционных базах данных представляется значениями в
таблицах. В реляционных системах таблицы состоят из горизонтальных строк и
вертикальных столбцов. Таблицы в реляционной базе разделены, но полностью
равноправны. Между ними не существует никакой иерархии. Каждая таблица состоит
из строк и столбцов: строка описывает отдельный объект или сущность; столбец
описывает одну характеристику объекта, значение. Чтобы найти требуемый элемент
данных, необходимо знать имя содержащей его таблицы, столбец и значение его
первичного ключа, или уникального идентификатора [9].
Нормализация отношений. Нормализация - это разбиение таблицы на две или
более, обладающих лучшими свойствами при включении, изменении и удалении
данных. Окончательная цель нормализации сводится к получению такого проекта
базы данных, в котором каждый факт появляется лишь в одном месте, т. е.
исключена избыточность информации. Это делается не столько с целью экономии
памяти, сколько для исключения возможной противоречивости хранимых данных [9].
Каждая таблица в реляционной БД удовлетворяет условию, в соответствии с
которым в позиции на пересечении каждой строки и столбца таблицы всегда
находится единственное атомарное значение, и никогда не может быть множества
таких значений. Любая таблица, удовлетворяющая этому условию, называется
нормализованной [10].
Нормализованная таблица автоматически считается таблицей в первой
нормальной форме, сокращенно 1НФ. В дополнение к 1НФ определяют дальнейшие
уровни нормализации - вторую нормальную форму (2НФ), третью нормальную форму
(3НФ) и т. д. [9].
Теория нормализации основывается на наличии той или иной зависимости
между полями таблицы. Определены два вида таких зависимостей: функциональные и
многозначные.
Функциональная зависимость. Поле "В" таблицы функционально
зависит от поля "А" той же таблицы в том и только в том случае, когда
в любой заданный момент времени для каждого из различных значений поля
"А" обязательно существует только одно из различных значений поля
"В".
Многозначная зависимость. Поле "А" многозначно определяет поле
"В" той же таблицы, если для каждого значения поля "А"
существует хорошо определенное множество соответствующих значений "В"
[9].
В данном дипломном проекте производилась нормализация базы данных ЖКХ
выполненной в СУБД Microsoft Access 2007. Все таблицы находятся в
третьей нормальной форма, так как база находится во второй нормальной форма и
все поля находятся в нетранзитивной зависимости от ключа.
Функциональная зависимость. При анализе проектируемой базы данных видно,
что во всех функциональных табличных зависимостях атрибут Y от X обозначают с помощью записи: X®Y. Все табличные зависимости
соответствуют третьей нормальной форме, т. е. они образуют функциональные
зависимости.
Следовательно, между атрибутами рассматриваемых сущностей существует
функциональная зависимость [9].
Атрибут (или набор атрибутов), который может быть использован для
однозначной идентификации конкретного кортежа (строки, записи), называется
первичным ключом. Для каждой сущности проектируемой базы данных определен
первичный ключ. Этот ключ устанавливается СУБД "1С:Предприятие"
автоматически. Первичным ключом для справочников является набор атрибутов
"Код" и "Ключ", для регистров сведений - набор измерений и
дата. Средства поддержания целостности. Установленные отношения между таблицами
могут быть использованы для задания целостности данных. Целостность данных
является одним из самых важных требований, предъявляемых к базам данных. Поддержание
целостности базы данных может рассматриваться как защита данных от неверных
изменений или разрушений (не путать с незаконными изменениями и разрушениями,
являющимися проблемой безопасности). Существует мотивировка двух правил
целостности, общих для любых реляционных баз данных:
не допускается, чтобы какой-либо атрибут, участвующий в первичном ключе,
принимал неопределенное значение;
значение внешнего ключа должно:
)быть равным значению первичного ключа цели;
2)быть полностью неопределенным, т. е. каждое значение атрибута,
участвующего во внешнем ключе должно быть неопределенным.
Для любой конкретной базы данных существует ряд дополнительных
специфических правил, которые относятся к ней одной и определяются
разработчиком. Чаще всего контролируются: уникальность тех или иных атрибутов,
диапазон значений, принадлежность набору значений [9].
В разработанном проекте поддержание целостности базы данных
осуществляется следующим образом:
никакой первичный ключ из таблиц, составляющих базу данных, не может
принимать неопределенное значение;
значения внешних ключей всех таблиц равны значениям соответствующих
первичных ключей;
при попытке удаления первичного ключа, на который ссылается внешний ключ,
для всех таблиц проекта, СУБД не позволяет изменять значения полей первичного
ключа или ключа-кандидата в родительской таблице, если в дочерней таблице
имеется хотя бы одна запись, содержащая ссылку на изменяемую запись;
СУБД не позволяет вводить запись, если значение индексного выражения
дочерней таблицы не соответствует одной из записей родительской таблицы [8].
Даталогическая модель. На основе построенной инфологической модели базы
данных, выделенных функциональных зависимостей и определенных первичных ключей
построена новая даталогическая модель модернизированной базы данных (рисунок
2.4). Логическая модель не модернизированной базы данных представлены на
рисунке 2.3.
Рисунок 2.3 - Логическая модель данных до модернизации
Рисунок 2.4 -Логическая модель данных после модернизации
.3 Реализация
публикации на Интернет-сервере запросов к базе данных ЖКХ
Запросы к базе данных выполнены с помощью языка SQL. В данной работе присутствует четыре запроса к базе
данных, с различным SQL кодом.
Публикация на Интернет-сервере выполнена на платформе .NET Famework с помощью встроенного языка S#. Вызовы функция публикуются на
Интернет-сервере как dr,-методы.
Реализована публикация четырьмя функциями, представленными в таблице 2.4.
Таблица 2.4 - Процедуры и функции программы
|
Имя функции
|
Реализуемое действие
|
|
GetDolg()
|
Обрабатывает запрос на
задолженность по коду организации
|
|
GetStoimost()
|
Обрабатывает запрос на
стоимость ресурсов по коду ресурса
|
|
GetSpravka()
|
Обрабатывает запрос на
выведение справочной информации об организациях
|
|
GetSpravkaResurs()
|
Обрабатывает запрос на
выведение справочной информации по ресурсам
|
Для публикации был выбран сервер www.1gb.ru , т. к. он поддерживает .NET Fremework v2.0 а также позволяет публиковать файлы с расширением .asmx. Отправка приложения на сервер
реализована с помощью протокола FTP.
Платформой "1С:Предприятие" была получена WS-ссылка для доступа к серверу. Сервер является бесплатным,
поэтому нет необходимости предварительной оплаты аккаунта. Зарегистрированный
домен показан на рисунке 2.5.
Рисунок 2.5 - Зарегистрированный домен
2.4
Реализация интерфейсной части информационной подсистемы
Интерфейсная часть проекта разработана с помощью встроенного языка СУБД
"1С:Предприятие" 8.2. Каждая форма сущности в приложении имеет свою
форму. В свою очередь форма имеет модуль - объект, содержащий в себе
исполняемый код. Перечень процедур и функций представлен в таблице 2.5 [9].
Таблица 2.5 - Процедуры и функции программы
|
Объект
|
Название
|
Назначение
|
|
Отчёт: Справка по
предприятиям
|
Форма отчёта
|
Выводит название и
предприятия
|
|
Отчёт: Запрос на
задолженность
|
Форма отчёта
|
После ввода кода
организации выводит общую задолженность организации
|
|
Отчёт: Справка по ресурсам
|
Форма отчёта
|
Выводит название ресурса
|
|
Отчёт: Запрос на ресурсы
|
Форма отчёта
|
После ввода кода ресурса
выводит его стоимость и актуальную дату действия
|
.5 Реализация
экранных форм
Экранные формы выполнены на базе СУБД Microsoft Access 2007. В рамках форм реализованы инструменты перехода
по записям, а также инструмент поиска по таблице и инструменты добавления и
удаления новых записей. Также в каждой форма имеется возможность заполнять
таблице связанную с основной таблицей, для заполнения которой служит форма. Это
реализовано для удобства пользователя, который может заполнять связанные
таблицы из одной формы.
Формы были реализованы через мастер форм а также конструктор форм.
Основная часть формы была создано в мастере (рисунок 2.6). Инструменты по
работе с формами были созданы в конструкторе форм с помощью инструмента Toolbox (рисунок 2.7). Пример экранной формы
представлен на рисунке 2.8.
Рисунок 2.6 - Создание формы "Предприятия" с помощью мастера
форм
Рисунок 2.7 - Создание инструментов для работы с формой
"Предприятия" в режиме конструктора форм
Рисунок 2.8 - Экранная форма "Предприятия"
2.6
Реализация SQL-запросов
Запросы выполнены с помощью языка SQL, и позволяют делать нужную выборку из баз данных.
Пример SQL-запроса к таблице
"Предприятия" показан на рисунке 2.9.
Рисунок 2.9 - Пример SQL-запроса
для формирования данных используемых в отчёте "Запрос на
задолженность"
2.7
Реализация отчётов
В данном дипломном проекте отчёты реализованы для просмотра результатов
удалённых запросов к базе данных ЖКХ. Отчёты реализованы на платформе
"1С:Предприятие" 8.2. Отчёты были реализованы с помощью встроенного
инструмента создания отчётов в режиме конфигуратор "1С:Предприятие"
8.2 (рисунок 2.10). Экранная форма отчёта была реализована с помощью конструктора
форм (рисунок 2.11). Модуль экранной формы был реализован вручную (рисунок
2.12).
Пример отчёта "Запрос по предприятиям" показан на рисунке 2.11.
Полный листинг программного кода информационной подсистемы "Запросы
в ЖКХ" представлен в приложении A.
Рисунок 2.10 - Создание отчёта с помощью мастера отчётов
Рисунок 2.11 - Создание формы отчёта с помощью конструктора форм
2.12 - Написание программного модуля к форме отчёта "Запрос на
задолженность"
2.13 - Пример отчёта "Запрос на задолженность"
Выводы
1. База данных информационной подсистемы "Запросы в ЖКХ"
является реляционной и содержит четыре таблицы. При разработке этой базы данных
было использовано СУБД Microsoft Access 2007.
2. Для реализации в среде ASP/NET приложения, обеспечивающего
требования технического задания на разработку информационной подсистема
"Запросы в ЖКХ", потребовалось создать 4 метода и четыре отчёта.
. Размер базы данных "1С:Предприятие" находящийся на
компьютере бухгалтера ТСЖ "ИСТОК" составляет 1,23 Мбайт.(Рисунок
2.14)
2.14 - Место, занимаемое базой "1С:предприятие"
4. Размер папки с файлами дистрибутива информационной подсистемы
"Запросы в ЖКХ" находящегося на Интернет-сервере составляет 851 Кбайт
(рисунок 2.15). Эта папка содержит 34 файлов и шесть вложенных папок.
2.14 - Место, занимаемое папкой с файлами дистрибутива информационной
подсистемы "Запросы в ЖКХ"
5. В результате тестирования информационной подсистемы в реальных
условиях производства "Запросы в ЖКХ" установлено, что она в полном
объеме удовлетворяет требованиям заказчика.
3. ИНФОРМАЦИОННОЕ И ПРОГРАММНОЕ ОБЕСПЕЧЕНИЕ
3.1 Общие
сведения о программном продукте
Информационная подсистема "Запросы в ЖКХ" была разработана при
помощи конфигуратора "1С:Предприятие" версии 8.2. а также с помощью
СУБД Microsoft Office Access 2007 и платформы .NET Famework v2.0.
Для корректной работы с СУБД "1С:Предприятие" 8.2 необходима
для клиентских машин операционная система XP/Server 2003/Vista (рекомендуется
Microsoft Windows XP); для сервера необходима операционная система XP/Server
2003/Vista. Аналогично для Microsoft Office Access 2007 и .NET Famework v2.0. Данная информация была взята из официального сайта фирмы
"1С" и Mocrosoft [11].
Таблица 3.1 - Общие сведения о программе
|
Наименование сведений
|
Содержание сведений
|
|
Обозначение программы
|
"Запросы в ЖКХ"
|
|
Наименование программы
|
"Бухгалтерия
предприятия, редакция 1.6"
|
|
Программное обеспечение,
необходимое для функционирования программы
|
Microsoft
Windows XP /Vista (рекомендуется Microsoft Windows XP), ASP.NET,
Microsoft Office Acces 2007, Net Framework v2.0
|
|
Язык программирования
(среда разработки), на которой написана программа
|
Встроенный язык СУБД
"1С:Предприятие" версии 8.2 ,C#,, а также
встроенный язык SQL запросов для Microsoft Access
|
3.2
Функциональное назначение
Основными функциями информационной подсистемы являются:
занесение, хранение, вывод данных о клиентах ЖКХ из БД Access в
"1:Предприятие" 8.2;
публикация запросов к базе данных ЖКХ на Интернет-сервере;
получение отчётов по запросам из ТСЖ;
реализация веб-сервисов, выполняющих запросы к БД.
Информационная подсистема "Запросы в ЖКХ" предназначена, прежде
всего, для бухгалтера ТСЖ "ИСТОК". А также для сотрудника справочного
отдела ЖКХ.
Ограничение
на применение информационной подсистемы "Запросы в
ЖКХ" связанные с тем что, не все операционные системы поддерживают
программные продукты, в среде которых функционирует информационная подсистема
"Запросы в ЖКХ".
Информационная подсистема требует операционную систему, не ниже Microsoft Windows Сервер 2003, и не поддерживает информационную систему
Linux, Windows 98, Windows Me т. к. они не
поддерживают Microsoft Office Acces 2007. 3.3 Описание логической структуры программы
Логическую структуру программы иллюстрирует диаграмма компонентов
(рисунок 3.1).
Рисунок 3.1 - Диаграмма компонентов подсистемы "Запросы в ЖКХ"
Как следует из рисунка 3.1, в логическую структуру программы входят
четыре программных компонента С# (файлов с расширением .cs), четыре отчёта
"1С:Предприятие" 8.2 и база данных информационной подсистемы, а также
публикация на Интернет-сервере. Логическая структура взаимодействия классов С#,
реализующих указанные классы программы представлена на рисунке 3.2.
Рисунок 3.2 - Логическая структура взаимодействия классов С#
Как видно из рисунка 3.2, родительским суперклассом, т. е. порождающим
все другие классы, является объект WebService1. Через класс Service1.asmx вызываются веб-методы с помощью которых
осуществляются удалённые запросы к базе данных. Веб-методы содержат в себе
запросы на языке SQL, для
непосредственного доступа к базе данных. Также реализован файл Web.config,
содержащий в себе информацию о подключении к БД, и о публикации на сервер.
3.4
Требования к техническому обеспечению
3.4.1 Общие
требования к серверу и к рабочей станции пользователя
Для нормальной работы информационной подсистемы "Запросы в ЖКХ"
достаточно наличие на компьютере пользователя операционной системы Microsoft Windows XP. Для установки информационной подсистемы "Запросы в
ЖКХ" системный блок персонального компьютера (ПК) должен быть снабжен
дисководом для компакт-дисков. К системному блоку должны быть подключены
монитор и принтер. Остальные элементы ПК (клавиатура, манипулятор-мышь и коврик
для мыши) являются стандартными. Процессор, оперативное запоминающее устройство
(ОЗУ), жесткий диск, монитор и принтер должны обладать определенными
характеристиками, значения которых определим далее.
3.4.2
Обоснование требований к техническому обеспечению для сервера
Обоснование требований к центральному процессору. Требования к
центральному процессору предъявляются исходя из данных, взятых с официального
сайта фирмы "1С" а также официального сайта фирмы "Microsoft". Для сервера это процессор
Intel Pentium 3866 МГц и выше (рекомендуется Intel Pentium 4/Celeron 4800 МГц).
Обоснование требований к оперативному запоминающему устройству. Для работы
информационной системы на сервере необходимо минимум 512 Мбайт оперативной
памяти (рекомендуется 1024 Мбайт). Обоснование требований к свободному
пространству на жестком диске. Для определения свободного дискового
пространства, необходимого для программного продукта на рабочей станции W, Мбайт, воспользуемся формулой:
W = W1 + W2 + W3 , (3.2)
Где W1
- место, занимаемое программой после инсталляции, Мбайт;2 -
предполагаемый объем файлов в ходе работы, Мбайт;3 - размер
временных файлов в ходе работы программы, Мбайт.
Место,
занимаемое программой после инсталляции W1 составляет 411 Мбайт.
Размер, занимаемый файлами W2 = 0 Мбайт, т. к. вся информация
хранится на сервере. Параметр W3 составляет 10 Мбайт.
Таким
образом, используя формулу (3.2), рассчитаем требования к пространству на
жестком диске для работы программы на рабочей станции:
W = 411 + 0 + 10 = 421 Мбайт.
Для сервера
значение W1 равно 421 Мбайт. Объем файлов в ходе работы W2
будет равно 255 Мбайт с пустой базой данных. В процессе работы этот объем будет
увеличиваться, поэтому рекомендуется выделить не 255 Мбайт, а 350 Мбайт. Временных
файлов при работе на сервере не будет (W2 = 0 Мбайт). Всего для
сервера необходимо
W = 421 + 350 + 0 = 771 Мбайт.
Требования к
источнику бесперебойного питания для сервера. Так как в сети возможны перепады
напряжения, в связи с чем могут происходить перезагрузки компьютера что крайне
не желательно так как ЖКХ обслуживает ежедневно много клиентов, поэтому
рекомендуется установить источник бесперебойного питания для сервера типа APS Back-UPS RS 1000.
.4.3
Обоснование требований к техническому обеспечению для рабочей станции
пользователя
Обоснование требований к центральному процессору. Требования к
центральному процессору предъявляются исходя из данных, взятых с официального
сайта фирмы "1С" а также официального сайта фирмы "Microsoft". Для компьютера оператора это
процессор Intel Pentium 2400 МГц и выше (рекомендуется Intel Pentium 3866 МГц)
[5, 9].
Обоснование
требования к оперативному запоминающему устройству для рабочей станции
пользователя Для расчета размера оперативного запоминающего устройства (ОЗУ) Vозу, Мбайт, для клиентской
машины, являющегося одним из существенных требований к аппаратному обеспечению,
используется формула:
Vозу = Vозу1 + Vозу
(3.1)
Где Vозу1 - минимальный необходимый
размер ОЗУ используемой ОС, Мбайт;
Vозу2
- сумма минимальных
необходимых объемов ОЗУ, требуемых для дополнительных модулей программного
обеспечения, устанавливаемых в процессе эксплуатации, Мбайт;
В проекте не используется дополнительных модулей, занимающих место в ОЗУ,
поэтому Vозу2 = 0 Мбайт; Vозу3 составляет около 90 Мбайт [15].
Необходимая оперативная память для Windows XP составляет 128 Мбайт. Соответственно Vозу1 = 128 Мбайт.
Таким образом, воспользовавшись формулой (3.1), рассчитаем требования ОЗУ
для работы с программой, под управлением операционной системы семейства Windows
XP:
Vозу = 128 + 90 = 212 Мбайт.
Требования к
свободному пространству на жестком диске для рабочей станции пользователя. Для
определения свободного дискового пространства, необходимого для программного
продукта на рабочей станции W,
Мбайт, воспользуемся формулой;.
W = W1 + W2 + W3 , (3.2)
Где W1 - место, занимаемое программой после инсталляции,
Мбайт;2 - предполагаемый объем файлов в ходе работы, Мбайт;3
- размер временных файлов в ходе работы программы, Мбайт.
Место, занимаемое программой после инсталляции W1 составляет
411 Мбайт. Размер, занимаемый файлами W2 = 0 Мбайт, т. к. вся
информация хранится на сервере. Параметр W3 составляет 10 Мбайт.
Таким образом, используя формулу (3.2), рассчитаем требования к
пространству на жестком диске для работы программы на рабочей станции:
W =
411 + 0 + 10 = 421 Мбайт.
Обоснование
требований к монитору для рабочей станции
Пользователя.
Для работы с программой требуется цветной монитор. Для клиентской и серверной
машин это SVGA дисплей, поддерживающий разрешение 1024х768 и качество
цветопередачи 16 бит [12].
3.4.5
Обоснование требований к другому техническому обеспечению
При работе с информационной подсистемой необходимо наличие сетевой карты
со скоростью как минимум 10 Мбит/с на сервере, так как сервер должен
обслуживать не менее 100 пользователей одновременно. На рабочей станции
достаточно сетевой карсты со скоростью 100 Кбит/с, для доступа к веб-сервисам.
Связь с сервером рекомендовано осуществлять посредством подключенного к
персональному компьютеру высокоскоростного модема [16].
3.5 Вызов и
загрузки программы
3.5.1Вызов
программы со стороны ЖКХ
Для начала работы с базой данных Microsoft Access необходимо выполнить команду "Пуск" à "Программы" à "Microsof Office"à "Microsof Office Access 2007". После этого открыть базу
данных БАЗА ЖКХ (рисунок 3.3).
3.5.2 Вызов
программы со стороны ТСЖ "Исток"
Прежде чем начинать работу с программой, ее необходимо установить
согласно инструкции по установке, входящей в комплект поставки пакета
"1С:Предприятие" версии 8.2. Для начала работы с "Бухгалтерией
предприятия" необходимо выполнить команду "Пуск" à "Программы" à "1С: "Предприятие
8.2" à "1С: "Предприятие"". После этого появится диалог
"Запуск 1С: "Предприятия" (рисунок 3.5).
После этого необходимо выбрать нужную базу данных (в данном случае
"Запросы в ЖКХ"), нажать кнопку "1С: "Предприятие".
Рисунок 3.3 - Диалог "Открытие базы ЖКХ"
Рисунок 3.4 - Диалог "Запуск 1С:Предприятия"
3.6 Входные
данные
Входными данными для информационной подсистемы являются данные базы
данных ЖКХ, вносимые сотрудниками информационного центра.
Для просмотра таблицы предприятия необходимо выполнить команду "Все
таблицы" à "Форма предприятия" (рисунок 3.5).
Для добавления новой записи необходимо нажать кнопку
(рисунок 3.6). Для поиска и замены
произвольных данных в таблице предприятия необходимо выполнить команду поиск и
замена (рисунок 3.7).
Для перехода по записям в таблице предприятия необходимо выполнить
команды перехода (рисунок 3.8).
Расшифровка команд перехода приведена в таблице 3.2.
Рисунок 3.5 - Запуск экранной формы "Предприятия"
Рисунок 3.6 - Добавление новой записи
Рисунок 3.7 - Выполнение команды "Поиск и замена"
Рисунок 3.8 - Команды перехода
Таблица 3.2 - Расшифровка команд перехода
|
Пиктограмма кнопки
|
Расшифровка команды
|
|
|
Переход к последней записи
|
|
|
Переход к первой записи
|
|
|
Переход к предыдущей записи
|
|
|
Переход к следующей записи
|
3.7
Результаты тестирования программы
Для тестирования программы был выбран детерминированный метод, т. е.
метод многократного выполнения программы с использованием определенных,
специальным образом подобранных тестов. В качестве метода проектирования
тестовых наборов данных выбрано функциональное тестирование (тестирование
программы как черного ящика). Это связано с тем, что функциональное
тестирование полностью абстрагируется от логики программы. Предполагается, что
программа - черный ящик, а тестовые наборы выделяются на основании анализа
входных функциональных значений. Такое тестирование имеет целью выяснение
обстоятельств, в которых поведение программы не соответствует ее спецификации.
В результате тестирования были выявлены некоторые ошибки программы,
которые были исправлены в ходе отладки, а именно отчёт "Справка по
организациям" не выполнялся и выдавал ошибку. Это было вызвано
неправильным описанием пути к базе данных.
Результаты тестирования программы представлены на рисунках 3.9 - 3.12:
Рисунок 3.9 - Результат выполнения отчёта "Запрос на
задолженность"
Рисунок 3.10 - Результат выполнения отчёта "Справка по
организациям"
Рисунок 3.11 - Результат выполнения отчёта "Справка по
ресурсам"
Рисунок 3.12 - Результат выполнения отчёта "Запрос на ресурсы"
Из отчётов видно что программа работает корректно, и не выдаёт сообщения
об ошибках. Из этого можно заключить, что программа выполняет необходимые
функции.
Выводы
. В данном разделе были приведены сведения об информационном и
программном обеспечении, необходимом и достаточном для использования
информационной подсистемы "Запросы в ЖКХ".
. Для работы информационной подсистемы необходимы следующие минимальные
требования к техническому обеспечению компьютера-рабочей станции и
компьютера-сервера:
а) для рабочей станции:
процессор Intel Pentium 2400 МГц;
объём ОЗУ - 102 Мбайт;
размер необходимого свободного пространства на жестком диске 421 Мбайт;
цветной SVGA-монитор, поддерживающий разрешение
1024х768 и качество цветопередачи 16 бит;
манипулятор "мышь";
клавиатура стандартная;
сетевая карта 100 Кбит/с.
б) для сервера:
процессор Intel Pentium 3866 МГц;
объём ОЗУ - 512 Мбайт;
размер необходимого свободного пространства на жестком диске - как
минимум 761 Мбайт;
сетевая карта 10 Мбит/с;
источник бесперебойного питания APS Back-UPS RS 1000.
. Программа прошла тестирование в ТСЖ "ИСТОК", г. Невинномысск.
В результате тестирования установлено, что она в полном объеме удовлетворяет
требованиям заказчика.
4. Технико-экономическое обоснование ПРОЕКТА
4.1 Краткая
характеристика проекта
В дипломном проекте выполнена разработка информационной подсистемы
"Запросы в ЖКХ".
Назначение программы - автоматизация запросов в ЖКХ из ТСЖ
"ИСТОК".
Цель создания системы - сокращение временных затрат бухгалтера на запросы
в ЖКХ и занесение информации в базу данных.
Данная программа выполняет следующие основные функции:
1. Введение информации в базу данных ЖКХ.
2. Публикация на сервере запросов к базе данных ЖКХ
. Автоматизированное формирование, просмотр и печать следующих
документов (отчетов):
- запрос на задолженность ;
- запрос на ресурсы;
справка по ресурсам;
справка по предприятиям.
Внедрение проекта позволит в значительной мере сократить временные
затраты бухгалтера на запросы в ЖКХ и на ввод данных в базу.
Как было установлено в ходе предпроектного обследования, на перечисленные
выше обязанности без автоматизации бухгалтер ТСЖ "ИСТОК" без
автоматизации затрачивает на запросы порядка 10 часов в месяц, а именно на
дозвон до справочного отдела ЖКХ, на ожидание ответа, на получение информации,
а также на занесение информации в базу данных.
При разработке информационной подсистемы "Запросы в ЖКХ"
использовался язык программирования С#, СУБД "1С:Предприятие" 8.2, и
СУБД Microsoft Office Access 2007.
Ориентировочный срок службы информационной подсистемы до морального
старения - 2 года, что и будет рассматриваться как расчетный период времени.
В разделе рассмотрены вопросы расчета:
- трудоемкости выполняемых работ;
- суммарных затрат на создание программного продукта.
экономии, достигаемой, в результате перехода от формирования
запросов в ручную к автоматизации запросов;
чистого дисконтированного дохода за четыре года использования
программного продукта.
времени окупаемости проекта.
- Число
строчек кода в тексте программного кода на языке C#
= 400 ед.
Для того, что бы показать экономическую эффективность от внедрения
информационной подсистемы произведем ее расчет.
4.2
Определение трудоемкости поставленных работ
Трудоемкость разработки программного обеспечения ТПО, чел.-ч,
определяется по формуле
ТПО = ТО + ТИ + ТА + ТП
+ ТОТЛ + ТД, (4.1)
где ТО - затраты труда на описание задачи, чел.-ч.;
ТИ - затраты на исследование предметной области, чел.-ч.;
ТА - затраты на разработку блок-схем, чел.-ч.;
ТП - затраты на программирование, чел.-ч.;
ТОТЛ - затраты на отладку, чел.-ч.;
ТД - затраты на подготовку документации, чел.-ч.
Все составляющие в правой части формулы (4.1) определим через общее число
операторов D, ед.:
D = α×c × (1 + p), (4.2)
где α - исходное число строчек кода в тексте программы, (α
= 400 ед.);
с − коэффициент сложности задачи;
р - коэффициент коррекции программы, учитывающий новизну проекта.
Коэффициент сложности задачи "с" характеризует относительную
сложность программы по отношению к так называемой типовой задаче, реализующей
стандартные методы решения, сложность которой принята равной 3единице (величина
коэффициента "с" лежит в пределах от 1,25 до 2). Для рассматриваемого
программного продукта, разработанного не на стандартной CMS, а на собственной - коэффициент
сложности задачи примем равным 1,25 (c = 1,25).
Коэффициент "p" коррекции программы, учитывающий новизну
проекта, количественно характеризует увеличение объема работ по реализации
программного продукта, возникающего за счет внесения изменений в алгоритм или в
тексте программы по результатам её тестирования и отладки, с учетом коррекций
требований к прецедентам, поддерживаемым программным продуктом, со стороны
заказчика. В данном случае заказчик, недостаточно хорошо представлял себе,
полный перечень прецедентов, которые должен поддерживать программный продукт, а
это приводило к многочисленным корректировкам и доработкам текста программного
кода. Поэтому примем коэффициент "p" равным 0,1.
В результате подстановки численных значений коэффициентов и параметров в
формулу (4.2) получим следующее общее число строчек кода в тексте программы
D =400×1,25×(1 + 0,1) = 550,00 ед.
Затраты труда на описание задачи принимаем: ТО = 35 чел.-ч.
Работу по описанию задачи и все другие работы по созданию программного продукта
выполняет инженер-программист первой категории с окладом 8000 руб. в месяц и
коэффициентом квалификации kК = 1,35 (опыт работы по специальности 6
лет).
Затраты труда на изучение задачи ТИ, чел.-ч., с учетом
уточнения описания и квалификации программиста могут быть определены по
формуле:
ТИ = Db/(SukK), (4.3)
где D - общее число строчек кода в тексте программы, ед.;- коэффициент
увеличения затрат труда, вследствие недостаточного описания задачи;u
- количество строчек кода в тексте программы, приходящееся на один чел.-ч.,
(ед./ чел.-ч.);K - коэффициент квалификации работника (определяется
в зависимости от стажа работы).
В связи с тем, что решение рассматриваемой задачи потребовало уточнения и
доработок, примем коэффициент b = 1,5.
Количество строчек кода в тексте программы, приходящееся на один чел.-ч.,
примем равным su = 75 ед./ чел.-ч.
Таким образом, на основании формулы (4.3) получим
ТИ = (550,00 ×1,5) / (75×1,35) = 8,15 чел.-ч.
Затраты труда на разработку алгоритма решения задачи ТА,
чел.-ч., рассчитываются по формуле:
ТА = D/(SakK), (4.4)
где D - общее число строчек кода в тексте программы, ед.;a -
количество строчек кода в тексте программы, приходящееся на один чел.-ч., (ед./
чел.-ч.);K - коэффициент квалификации работника (определяется в
зависимости от стажа работы).
Для расчета по формуле (4.4) примем sa = 20 ед./ чел.-ч.
Подставив численные значения параметров и коэффициентов в формулу (4.4),
получим
ТА = 550,00 /(20×1,35) = 20,37 чел.-ч.
Затраты труда на составление программы по готовой блок-схеме ТП,
чел.-ч., определяется по формуле:
ТП = D/(sakK), (4.5)
где D - общее число строчек кода в тексте программы, ед.;a -
количество строчек кода в тексте программы, приходящееся на один чел.-ч., (ед./
чел.-ч.);K - коэффициент квалификации работника (определяется в
зависимости от стажа работы).
Для расчетов по формуле (4.5) примем sa = 20 ед./ чел.-ч.
Подставив численные значения параметров и коэффициентов в формулу (4.5),
получим
ТП = 550,00 /(20×1,35) = 20,37 чел.-ч.
Затраты труда на отладку программы на персональном компьютере ТОТЛ,
чел.-ч., рассчитывается по формуле
ТОТЛ = D / (sотл×kK), (4.6)
где D - общее число строчек кода в тексте программы, ед.;отл -
количество отлаживаемых операторов программы, приходящееся на один чел.-ч.,
(ед./ чел.-ч.);K - коэффициент квалификации работника (определяется
в зависимоcи от стажа работы).
Для расчетов по формуле (4.6) примем sотл = 4 ед./ чел.-ч.
Подставив численные значения параметров и коэффициентов в формулу (4.6),
получим
ТОТЛ = 550,00 / (4×1,35) = 101,85 чел.-ч.
Затраты труда на подготовку документации по задаче ТД, чел.-ч.,
определяются по формуле:
ТД = ТДР + ТДО, (4.7)
где ТДР - затраты труда на подготовку материалов в рукописи,
чел.-ч.;
ТДО - затраты труда на редактирование, печать и оформление
документации, чел.-ч.
Затраты труда на подготовку материалов в рукописи ТДР,
чел.-ч., вычислим по формуле
ТДР = D / (sдр ×kK), (4.8)
где D - общее число строчек кода в тексте программы, ед.; sдр
- количество операторов программы в рукописи, приходящееся на один чел.-ч.,
(ед./ чел.-ч.); kK - коэффициент квалификации работника
(определяется в зависимости от стажа работы).
Для расчетов по формуле (4.8) примем sдр = 15 ед./ чел.-ч.
Подставив численные значения параметров и коэффициентов в формулу (4.8),
получим
ТДР = 550,00 / (15×1,35) = 27,16 чел.-ч.
Затраты труда на редактирование, печать и оформление документации ТДО,
чел.-ч., вычислим по формуле
ТДО = 0,75×ТДР. (4.9)
Подставив численное значение затраты труда на подготовку материалов в
рукописи ТДР, чел.-ч., в формулу (4.9), получим
ТДО = 0,75×27,16 = 20,37 чел.-ч.
Таким образом, подставив численные значение затраты труда на подготовку
материалов в рукописи ТДР, чел.-ч., и затраты труда на
редактирование, печать и оформление документации ТДО, чел.-ч., в
формулу (4.7) получим
ТД = 27,16 + 20,37 = 47,53 чел.-ч.
Подставив все полученные данные, составляющие трудоемкость разработки
программного обеспечения в формулу (4.1), получим
ТПО = 35 + 8,15 + 20,37 + 20,37 + 101,85 + 47,53 = 233,27
чел.-ч.
С учетом уровня языка программирования трудоемкость разработки
программы может быть скорректирована следующим образом:
ТКОР = ТПОkКОР, (4.10)
где kКОР - коэффициент коррекции, учитывающий изменения
трудоемкости разработки программного обеспечения в зависимости уровня языка
программирования (таблица 4.1);
ТКОР - откорректированная трудоемкость разработки программного
обеспечения, чел.-ч.
Таблица 4.1 - Изменение трудоемкости разработки программы в зависимости
уровня языка программирования
|
Уровень языка
программирования
|
Класс языка
программирования
|
Коэффициент
|
|
1
|
Ассемблер
|
1
|
|
2
|
Макроассемблер
|
0,95
|
|
3
|
Алгоритмические языки
высокого уровня
|
0,8-0,9
|
Использованный для разработки программного обеспечения язык
программирования (C#) относится к
алгоритмическим языкам высокого уровня, с учетом этого примем kКОР =
0,8.
Таким образом, получим по формуле (4.10) итоговую откорректированную
трудоемкость разработки программы
ТКОР = 233,27 × 0,8 = 186,61 чел.-ч.
4.3 Расчет себестоимости информационной подсистемы "Запросы в
ЖКХ"
Себестоимость определяется по следующей формуле
З = ЗО + ЗД + ЗС + ЗЭ + ЗМ
+ ЗП + ЗАО,
где ЗО - основная заработная плата производственного
персонала;
ЗД - дополнительная заработная плата производственного
персонала;
ЗС - отчисления на социальные нужды;
ЗЭ - затраты на потребляемую электроэнергию;
ЗМ - расходы на материалы и запасные части;
ЗП - дополнительная заработная плата
ЗАО- затраты на амортизацию, техническое обслуживание и ремонт
вычислительной техники.
Оклад инженера программиста составляет 8000,00 руб. в месяц
Плановый фонд рабочего времени одного специалиста производственного
персонала в месяц tпф, ч, вычислим по формуле
пф = NрдΔtрд, (4.12)
где Nрд - количество рабочих дней специалиста
производственного персонала за месяц;
Δtрд - продолжительность рабочего дня
специалиста производственного персонала, ч.
Для расчетов по формуле (4.12) примем Nрд = 22 дня, Δtрд = 8 ч. Подставив указанные численные
значения параметров Nрд и Δtрд в формулу (4.12) получим, что
плановый фонд рабочего времени одного специалиста производственного персонала в
месяц составляет
Таким образом, часовая тарифная ставка sч, руб./ч,
инженера-программиста первой категории составляет
Sч= 8000 / 176 = 45,45 руб/ч.
Основная заработная плата ЗО, руб., производственного
персонала определяется по формуле
ЗО = Sч
× ТКОР.
(4.13)
Подставив все численные значения параметров в формулу (4.13) получим, что
основная заработная плата инженера-программиста первой категории составит
ЗО = 45,45 ×186,61 = 8481,42 руб.
Дополнительная заработная плата ЗД, руб., производственного персонала
определяется по формуле
ЗД = ЗОηД (4.14)
где ηД
- коэффициент дополнительной заработной платы.
Коэффициент дополнительной заработной платы инженера-программиста первой
категории составляет ηД = 0,2. Таким образом, дополнительная заработная плата
ЗД, руб., инженера-программиста первой категории, вычисленная по
формуле (4.14), равна
ЗД = 8481,42 ×0,2 = 1696,28 руб.
Отчисления в Пенсионный фонд Российской Федерации, Фонд социального
страхования Российской Федерации и фонды обязательного медицинского страхования
Российской Федерации согласно закону № 212-ФЗ от 24.07.2009 З , руб., вычислим
по формуле
(4.15)
где С η − норматив страховых взносов, %.
В соответствии с законом № 212-ФЗ от 24.07.2009 норматив страховых
взносов составляет 34 % (ηС = 34 %). Подставив все численные
значения в формулу (4.15) получим, что отчисления на страховые взносы равны
ЗС = ((8481,42 + 1696,28)/100) ×34 = 3460,41 руб
Таким образом, размер страховых взносов составит 3378,35 руб.
Затраты на потребляемую электроэнергию ЗЭ, руб.:
ЗЭ = PВtВцЭ, (4.15)
Где PВ - мощность ЭВМ, кВт;
tВ - время работы вычислительного
комплекса, ч;
цЭ - стоимость 1 кВтч электроэнергии, руб./ кВтч.
Мощность ЭВМ, на которой работает инженер-программист, равна PВ = 0,3 кВт.
Время работы вычислительного комплекса tВ, ч, при создании программного продукта вычислим по формуле
tВ
= αП×(ТП + ТОТЛ + ТД)×kКОР, 16)
где αП
- коэффициент, учитывающий затраты времени на профилактические работы на ЭВМ;
kКОР - коэффициент коррекции времени
работы вычислительного комплекса.
Для расчетов по формуле (4.17) примем αп = 1,15 и kКОР = 0,8. Подставив все
численные значения параметров в формулу (4.17) получим
В = 1,15×(20,37 + 101,85 + 47,53)×0,8
= 156,17 ч.
Стоимость 1 кВтч электроэнергии составляет цЭ = 2,82 руб./
кВтч.
Подставив все численные значения параметров в формулу (4.16) получим, что
затраты на потребляемую электроэнергию составят
ЗЭ =0,3×156,17 ×2,82 = 132,76 руб.
Данные для расчета затрат на материалы и части занесем в таблицу 4.2.
Таблица 4.2 − Затраты на материалы и покупные изделия
|
Наименование
|
Единица измерения
|
Количество
|
Цена за единицу, руб.
|
Стоимость, руб.
|
|
CD-RW
диск
|
Шт.
|
1
|
25,00
|
25,00
|
|
Бумага
|
Пачка (500 листов)
|
1
|
150,00
|
150,00
|
|
Услуги доступа в Интернет
|
Мбайт
|
110
|
2,00
|
220,00
|
|
Заправка картриджа принтера
Samsung ML-1210
|
Шт.
|
1
|
120,00
|
120,00
|
|
Итого
|
515,00
|
Следовательно, затраты на материалы и запасные части ЗМ
составят
ЗМ = 25,00 + 150,00 + 220,00 + 120,00 = 515,00 руб.
Затраты на техническое обслуживание и текущий ремонт вычислительной
техники ЗП, руб.:
ЗП = КВ (α/100) × (tB/tВ.Г ) (4.18)
где КВ − балансовая стоимость вычислительной техники,
руб.
α - норма отчислений на ремонт, %;В.Г
- годовой фонд времени работы вычислительной техники, ч.
Для расчетов по формуле (4.18) примем:
балансовая стоимость вычислительной техники KВ = 15000,00
руб.;
норма отчислений на ремонт α = 4%;
- годовой фонд времени работы вычислительной техники при 40-часовой
рабочей неделе в текущем году tВ.Г = 1986 ч.
Подставив все численные значения параметров в формулу (4.18) получим, что
затраты на техническое обслуживание и текущий ремонт вычислительной техники
составят:
ЗП = 15000,00 × 0,04 × (186,61 /1986) = 56,37 руб.
Затраты на амортизацию вычислительной техники ЗАО , руб.:
ЗАО = КВ × (b/100)
× (tВ/tВ.Г) (4.19)
где КВ − балансовая стоимость вычислительной техники,
руб.
β - норма отчислений на амортизацию
вычислительной техники, %;В.Г - годовой фонд времени работы
вычислительной техники, ч.
Для расчетов по формуле (4.19) примем:
балансовая стоимость вычислительной техники KВ = 15000,00
руб.;
норма отчислений на ремонт β = 20%;
- годовой фонд времени работы вычислительной техники при 40-часовой
рабочей неделе в текущем году tВ.Г = 1986 ч.
Подставив все численные значения параметров в формулу (4.19) получим, что
затраты на амортизацию вычислительной техники ЗАО , руб. составят:
ЗАО = 15000 × 0,2 × (186,61 /1986) = 281,88 руб.
Все расчеты по статьям калькуляции затрат, составляющих себестоимость
автоматизированной информационной подсистемы сведены в таблицу 4.3.
Таблица 4.3 - Затраты, составляющие себестоимость автоматизированной
информационной системы
|
Статья расхода
|
Сумма, руб.
|
|
Основная заработная плата
производственного персонала
|
8481,42
|
|
Дополнительная заработная
плата производственного персонала
|
1696,28
|
|
Отчисления на страховые
взносы
|
3460,41
|
|
Затраты на потребляемую
электроэнергию
|
132,76
|
|
Расходы на материалы и
запасные части
|
515,00
|
|
Затраты на техническое
обслуживание и ремонт вычислительной техники
|
56,37
|
|
Затраты на амортизацию
вычислительной техники
|
281,88
|
|
Итого:
|
14624,12
|
Таким образом, полные затраты на создание программного продукта
составляют 14624,12 руб.
Оптовая цена программного продукта рассчитывается с учетом нормы
рентабельности НР:
Ц = З×(1 + НР). (4.20)
Для расчетов по формуле (4.20) примем нормы рентабельности НР
= 15%. Тогда оптовая цена программного продукта по формуле (4.20) составит:
Ц = 14624,12 × 1,15 = 16817,73 руб.
Капиталовложения при внедрении программного продукта равняются его
оптовой цене
К = Ц = 16817,73 руб.
.4 Оценка экономической эффективности внедрения программного продукта
Показатель эффекта определяет все позитивные результаты, достигаемые при
использовании программного продукта. Прибыль от использования программного
продукта за год определяется по формуле
П = Э - З,(4.19)
Где Э - стоимостная оценка результатов применения программного продукта в
течение года, руб.;
З - стоимостная оценка затрат при использовании программного продукта в
течение года, руб.
Приток денежных средств из-за использования программного продукта Э,
руб., в течение года может составить:
Э = (Зруч - Зфвт) + Эдоп,(4.20)
Где Зруч - затраты на ручную обработку информации, руб.;
Завт - затраты на автоматизированную обработку информации,
руб.;
Эдоп - дополнительный экономический эффект, связанный с
уменьшением числа используемых бланков, высвобождением рабочего времени и т.
д., руб.
Данный продукт используется оператором (бухгалтер Предприятия). Оклад
бухгалтера - 20000,00 руб. Тогда, цена одного часа работы оператора ЗЧ,
руб./ч, составит
ЗЧ = 20000,00/176 = 113,63 руб./ч.
Годовые затраты (затраты за 12 месяцев) оператора при ручной обработке
информации ЗРУЧН, руб., вычислим по формуле
Зручн = tобщ.Р×12× ЗЧ.(4.21)
Тогда, по формуле (4.21), годовые затраты оператора при ручном выполнении
запроов (по данным предпроектного обследования общие затраты времени на
выполнение запросов в ручную tобщрР = 10 ч/месяц) составят
ЗРУЧН = 10×12×113,63 = 13653,60 руб.
Годовые затраты (затраты за 12 месяцев) оператора при автоматизированной
обработке информации ЗАВТ, руб., вычислим по формуле
Завт = tобщ.А×12×цЧ.(4.22)
Тогда, по формуле (4.22), при автоматизированной обработке информации (по
результатам тестирования программного продукта установлено, что общие затраты
времени при автоматизированной обработке информации tобщ.А = 0,3 ч/месяц)
Зфвт = 0,3×12×79,55 = 409,06 руб.
Следовательно, годовой эффект от внедрения программного продукта, даже
без учета дополнительный экономический эффекта (ЭДОП = 0), на
основании формулы (4.20), получится равным
Э = ЗРучн - Завт = 13653,60 - 409,06 = 13244,43 руб.
Эксплуатационные затраты при использовании программного продукта будут
состоять из затрат на электроэнергию, техническое обслуживание и текущие
ремонты вычислительно техники. На основании формулы (4.15), для персонального
компьютера оператора за 12 месяцев затраты на электроэнергию ЗЭ,
руб., при потребляемой мощности компьютера PВ = 0,3 кВт составят (стоимость электроэнергии цЭ
= 2,82 руб./кВтч)
ЗЭ = 0,3×0,3×12×2,82= 3,05 руб.
Балансовая
стоимость вычислительной техники (персонального компьютера оператора)
= 15000,00 руб. Тогда, на основании формулы (4.17),
для персонального компьютера оператора за 12 месяцев затраты на техническое
обслуживание и текущий ремонт ЗП.ОП, руб., составят:
ЗП.ОП =
15000,00×(4/100)×(0,3×12)/1986
= 1,08 руб.
Амортизационные
отчисления для персонального компьютера оператора ЗАО.ОП, руб.,
составят:
ЗАО.ОП =
15000,00×(20/100)×(0,3×12)/1986
= 5,43 руб.
Тогда,
эксплуатационные затраты З, руб., при использовании программного продукта
составят:
З
= ЗЭ + ЗП + ЗАО = 3,05 + 1,08+ 5,43 = 9,56
руб.
Прибыль
рассчитаем по формуле (4.19):
П
= Э - З = 13244,43 - 9,56 = 13234,87 руб.
Таким образом, ясно, что внедрение в бухгалтерский учет новых
информационных технологий приводит к сокращению времени запросов в ЖКХ. Далее
необходимо определить основные экономические показатели проекта:
а) чистый дисконтированный доход (ЧДД) от использования программного
продукта;
б) внутреннюю норму доходности (ВНД) проекта;
в) срок окупаемости (Ток) проекта.
Чистый дисконтированный доход от использования программного продукта ЧДД,
руб., определяют по формуле:
(4.21)
Где n - расчетный период, лет;
Πk - прибыль от использования программного продукта за k-й
год его эксплуатации, руб.;
Е -
норма дисконта, ед.;
K -
капиталовложения при внедрении программного продукта, руб.
Капиталовложения при внедрении программного продукта равняются его себестоимости:
К = З = 16817,73 руб.
Пусть расчётный период равен двум годам, тогда при норме дисконта 20 %
чистый дисконтированный доход за два года использования программного продукта
составит:
руб.
Т.
к. ЧДД больше нуля, значит, проект эффективен.
Внутреннюю
норму доходности проекта ВНД определяют по формуле:
(4.22)
Где Евн.MAX+ - максимальное значение
внутренней нормы дисконта, %, при которой ЧДД является положительной величиной
(ЧДД > 0);
Евн.MIN− - минимальное значение внутренней нормы дисконта, %, при
которой ЧДД является отрицательной величиной (ЧДД < 0);
- ЧДД,
руб., вычисленный по формуле (4.21) при подстановке нормы дисконта
- ЧДД,
руб., вычисленный по формуле (4.21) при подстановке нормы дисконта
Предполагаем,
что ВНД лежит в диапазоне 58...60%. При норме дисконта ВНД = 58 %
ЧДД = - 284 руб. (отрицателен), при ВНД = 60 % получаем ЧДД = 1090 руб.
(положителен).
Срок
окупаемости проекта Tок можно найти по формуле:
(4.23)
Где N - максимальное количество лет, прошедших с начала
эксплуатации программного продукта, в течение которых, величина дохода от его
использования не превысила величины капиталовложения;
Эj - величины приведенных (дисконтированных) годовых эффектов за
j-й год, руб., прошедший с начала эксплуатации программного продукта,
вычисленные по формуле (4.23) при подстановке нормы дисконта E = 20 %.
Так как затраты на программный продукт не окупаются в первый год, то за
расчётный период берём два года.
Величины приведенных (дисконтированных) годовых эффектов по годам
расчетного периода равны:
руб.;
руб.;
Величина
дохода за первые два года составит:
Э1+Э2
= 11029,05 + 9190,88 = 20219,94 руб.,
что
больше величины капиталовложений (16342,31 руб.).
Исходя
из формулы 4.23, рассчитаем срок окупаемости проекта:
года.
Следовательно,
срок окупаемости проекта составит 1,37 года.
В таблице 4.4 сведены основные технико-экономические показатели проекта
разработки информационной системы.
Таблица 4.4 - Основные технико-экономические показатели проекта
|
Основные характеристики
|
Единицы измерения
|
Величина
|
|
Итоговая трудоёмкость
разработки
|
чел.-ч.
|
186,61
|
|
Полные затраты на создание
программного продукта
|
руб.
|
14624,12
|
|
Оптовая цена программного продукта
|
руб
|
16817,73
|
|
Годовой эффект от внедрения
программного продукта
|
руб
|
11029,05
|
|
Внутренняя норма доходности
|
%
|
59,86
|
|
Чистый дисконтированный
доход
|
руб.
|
182,18
|
|
Срог окупаемости проекта
|
лет
|
1,37
|
Выводы
1. Итоговая трудоемкость разработки программного продукта
(информационной подсистемы "Запросы в ЖКХ") составляет 186,61 чел.-ч.
2. Полные затраты на создание программного продукта составляют
14624,12 руб.
. Оптовая цена программного продукта - 16817,73 руб.
. Годовой эффект от внедрения программного продукта составляет
11029,06 руб.
. Чистый дисконтированный доход за 2 года использования
программного продукта равен 20219,94 руб.
. Внутренняя норма доходности проекта составляет 59,86%.
. Срок окупаемости проекта 1,37 года.
. После внедрения программного продукта ежемесячные затраты
времени бухгалтера ТСЖ "ИСТОК" на запросы в ЖКХ сократились с 10
часов до 18 минут, т. е. в 30 раз. Таким образом, разработка информационной
подсистемы "Запросы в ЖКХ" является экономически обоснованной и
эффективной.
Заключение
Основным результатом проведенного дипломного проектирования явилось
написание, отладка и внедрение в НКО ТСЖ "ИСТОК", а также в
Невинномысском ГМУП "УЖКХ" информационной подсистемы "Запросы в
ЖКХ". В ближайшем будущем данный программный комплекс будет принят в
эксплуатацию для его производственной эксплуатации в рамках рабочего места
бухгалтера ТСЖ и рабочего места сотрудника ЖКХ. Необходимость автоматизации
запросов в ЖКХ уже давно стояла перед ТСЖ "ИСТОК", а на текущий
момент, в связи с увеличением количества запросов, приобрела наибольшую
актуальность.
9. Внедрение информационной подсистемы "Запросы в ЖКХ" будет
способствовать более эффективным запросам в ЖКХ, позволит повысит скорость
запросов а также скорость занесения в базу данных их результатов. При внедрении
информационной подсистемы "Запросы в ЖКХ" скорость запросов возрастет
в 30 раз. Годовой эффект от внедрения программного продукта составляет 11029,06
руб. Чистый дисконтированный доход за 2 года использования программного продукта
равен 20219,94 руб. Срок окупаемости проекта 1,37 года.
На основе решения директоров ТСЖ и ЖКХ программа была написана на Microsoft Office Access 2007, платформе .Net Framework а также на
"1С:Предприятие" 8.2. К основным достоинствам разработанного
программного средства следует отнести те, которые были направлены на
преодоление основной проблемы, возникающей при написании программ такого класса
- это построение удалённого взаимодействия с базой данных с помощью
веб-сервисров. Поэтому эффективная организация запросов к базе данных и
публикация их на Интернет-сервере, а также доступ к серверу из 1С:
"Предприятие" - основа эффективного функционирования описанной
подсистемы.
Организация запросов и заполнение баз данных организованно таким образом,
что пользователь затрачивает на это минимальное количество времени с наименьшим
допущением ошибок. В ЖКХ ежедневно поступает множество запросов, поэтому
эффективная организация удалённого доступа к базе играет существенную роль.
Дальнейшим шагом усовершенствования разработанной подсистемы будет
написание программного средства для новой версии .NET Framework а также для новой версии "1С:
Предприятие".
Библиографический список
1. Трофимова, М. В. Анализ систем управления. Учебное пособие
[Текст]/ Под ред. Е. Н. Калашниковой, О. В. Кирпы. - Ставрополь: СевКавГТУ,
2010 - 171 с.
. СанПиН 2.2.2/2.4.134-08 - Гигиенические требования к
персональным электронно-вычислительным машинам и организации работы
. СанПиН 2.2.4/2.1.8.055 - 96 электромагнитные излучения
радиочастотного диапазона.
4.
СанПиН 2.2.4/2.1.8.562-96 Минздрав России Москва Государственная система
санитарно-эпидемиологического нормирования Российской Федерации
5. Митичкин С. А. Разработка в системе
"1С:Предприятие" 8.2 [Текст], М. - ООО "1С:Паблишинг",
2010. - 413 с.: ил. (книга по 1С)
. "1С:Предприятие". Платформа . Лицензирование
[Электронный ресурс]// - www/1c-v8.ru/1cv8.php.
. Варианты работы системы "1С:Предприятие 8"
[Электронный ресурс] // - #"518979.files/image056.gif">
Рисунок Б.1 - Слайд №1 "Тема дипломного проекта, ФИО дипломника,
учёная степень,учёное звание и ФИО руководителя"
Рисунок Б.2 - Слайд №2 "Актуальность, цели и задачи дипломного
проекта"
Рисунок Б.3 - Слайд №3 "Диаграмма вариантов использования
информационной подсистемы"
Рисунок Б.4 - Слайд №4 "Логическая модель базы данных"
Рисунок Б.5 - Слайд № "Интерфейс информационной подсистемы"
Рисунок Б.6 - Слайд №6 "Пример отчёта, формируемого информационной
подсистемой"
Рисунок Б.7 - Слайд №7 "Показатели технико-экономической
эффективности проекта"
Рисунок Б.8 - Слайд №8 "Показатели технико-экономической
эффективности проекта"
Рисунок Б.9 - Слайд №9 "Итоги дипломного проектирования"