Творческие проявления у старших дошкольников

  • Вид работы:
    Дипломная (ВКР)
  • Предмет:
    Психология
  • Язык:
    Русский
    ,
    Формат файла:
    MS Word
    562,73 kb
  • Опубликовано:
    2012-03-04
Вы можете узнать стоимость помощи в написании студенческой работы.
Помощь в написании работы, которую точно примут!

Творческие проявления у старших дошкольников

ОГЛАВЛЕНИЕ


ВВЕДЕНИЕ

ГЛАВА I. ТЕОРЕТИЧЕСКИЕ ОСНОВЫ ИЗУЧЕНИЯ ПРОБЛЕМЫ ВЗАИМОСВЯЗИ ТВОРЧЕСКИХ ПРОЯВЛЕНИЙ И СОЦИАЛЬНОГО СТАТУСА В ГРУППЕ СВЕРСТНИКОВ У ДЕТЕЙ СТАРШЕГО ДОШКОЛЬНОГО ВОЗРАСТА

§ 1.1 Определение понятий "творчество" и "творческие способности"

§ 1.2 Проблема формирования и развития творческих способностей у детей

§ 1.3 Проблема статуса в гуманистических науках

§ 1.4 Особенности статуса детей старшего дошкольного возраста в группе сверстников

§ 1.5 Взаимосвязь творческих проявлений и социального статуса в группе сверстников у детей старшего дошкольного возраста

ГЛАВА II. ЭМПИРИЧЕСКОЕ ИЗУЧЕНИЕ ПРОБЛЕМЫ ВЗАИМОСВЯЗИ ТВОРЧЕСКИХ ПРОЯВЛЕНИЙ И СОЦИАЛЬНОГО СТАТУСА В ГРУППЕ СВЕРСТНИКОВ У ДЕТЕЙ СТАРШЕГО ДОШКОЛЬНОГО ВОЗРАСТА

§ 2.1 Основные задачи, методы и методики исследования

§ 2.2 Диагностика уровня творческих способностей у детей старшего дошкольного возраста и их статуса в группе сверстников

§ 2.3 Диагностика статусного положения детей старшего дошкольного возраста в группе сверстников

§ 2.4 Сравнительный анализ и интерпретация полученных результатов

ЗАКЛЮЧЕНИЕ

БИБЛИОГРАФИЯ

ПРИЛОЖЕНИЯ

ВВЕДЕНИЕ


Основным приоритетом образования сегодня выступает личностно-ориентированное взаимодействие педагога с ребёнком: принятие и поддержка его индивидуальности, интересов и потребностей, развитие творческих способностей и забота о его эмоциональном благополучии. Мир, окружающий ребёнка, становится год от года всё разнообразнее и сложнее и требует от него не шаблонных, привычных действий, а подвижности мышления, быстроты ориентировки, творческого подхода к решению больших и малых задач.

Отечественные психологи и педагоги (Л.С. Выготский, В.В. Давыдов, А.В. Запорожец, Н.Н. Поддъяков, Н.А. Ветлугина, Н.П. Сакулина, Е.А. Флёрина и др.) доказали, что творческие способности детей проявляются уже в дошкольном возрасте. Развитие этих способностей происходит при овладении общественно выработанными средствами деятельности в процессе специально-организованного обучения. Поэтому одной из определяющих проблем современного образования является проблема формирования и развития творческой личности.

Проблема соотношения личности и творчества представлена в работах Д.Б. Богоявленской, Л.Б. Ермолаевой - Томиной, Н.Н. Поддъякова. Изучению творческой деятельности детей старшего дошкольного возраста посвятили свои работы Д.Б. Богоявленская, Н.А. Ветлугина, В.Я. Воронова, Л.С. Выготский, Д.Б. Эльконин. В работах таких психологов, как Л.А. Венгер, Н.Е. Веракса, Л.С. Выготского, О.М. Дьяченко, А.Н. Леонтьева процесс творческой деятельности рассматривается как один из основополагающих аспектов развития личности уже на начальном этапе её становления.

Однако, несмотря на огромное значение дошкольного детства для всего последующего развития творческих способностей в онтогенезе, многие аспекты проблемы детского творчества исследованы пока еще недостаточно. Одним из таких аспектов и является тема нашей работы: "Взаимосвязь творческих проявлений и социального статуса в группе сверстников детей старшего дошкольного возраста". Исходя из этого, теоретическое и практическое значение данной проблемы и необходимость ее решения обусловили ее актуальность.

Объектом данной работы являются творческие проявления у старших дошкольников.

Предметом - взаимосвязь творческих проявлений и высоты статуса у старших дошкольников.

Цель дипломной работы: выявить взаимосвязь между частотой и яркостью творческих проявлений и высотой статуса.

В качестве общей гипотезы работы выдвинуто предположение о том, что существует взаимосвязь между творческими проявлениями и социальным статусом в группе сверстников детей старшего дошкольного возраста.

В качестве частной гипотезы мы предположили, что частота и яркость творческих проявлений у старших дошкольников связаны с их высоким статусом в группе сверстников.

В соответствии с целью, объектом, предметом и гипотезой, нами были поставлены следующие задачи дипломного исследования:

1.      Изучить и проанализировать научную психолого-педагогическую литературу, посвященную изучению проблемы взаимосвязи творческих проявлений и социального статуса в группе сверстников у детей старшего дошкольного возраста.

2.      Провести анализ теоретических основ изучения проблемы взаимосвязи творческих проявлений и социального статуса в группе сверстников у детей старшего дошкольного возраста.

.        Провести эмпирическое изучение взаимосвязи творческих проявлений и социального статуса в группе сверстников у детей старшего дошкольного возраста.

.        Подвести итоги проведенного исследования и сформулировать выводы.

.        На основании полученных результатов, разработать практические психолого-педагогические рекомендации для педагогов и родителей.

Для достижения цели и решения, поставленных в работе задач, нами были использованы следующие методы: 1. Метод изучения научной психолого-педагогической литературы, архивных материалов. 2. Социометрия. 3. Психодиагностический метод. 4. Социограмма. 5. Наблюдение. 6. Метод количественного и качественного анализа полученных данных. 7. Метод математического анализа и статистики (корреляционный анализ).

Теоретико-методологическую основу работы составляют труды и Т. Антоновой, Д.Б. Богоявленской, Л.А. Венгер, Н.Е. Веракса, Н.А. Ветлугиной, Л.Н. Выготского, О.М. Дъяченко, Т. Ендовицкой, Я.Л. Коломенского, Т.С. Комаровой, А.А. Леонтьева, М.И. Лисиной, Б.Ф. Ломова, В.С. Мухиной, Е.И. Николаевой, Л. Обуховой, Т.А. Репиной и др.

Эмпирическую основу нашей дипломной работы составляют методические материалы периодической печати, а также материалы психологов и педагогов-практиков, взятые из Всемирной сети Интернет.

Практическая значимость данной дипломной работы заключается в том, что проведенное нами теоретико-методологическое исследование заявленной проблемы может служить дополнительным информационным материалом для студентов, а также может использоваться любой категорией людей, заинтересованных в изучении этого вопроса. Эмпирическое исследование может быть использовано как достоверный, полученный экспериментальным путем материал для дальнейшего, более расширенного исследования проблемы.

Структура и объем работы. Представленная дипломная работа состоит введения, 2-х глав, заключения, библиографии и приложений.

Во введении определены цели и задачи исследования, его объект и предмет, доказана актуальность изучаемой проблемы и показана практическая значимость работы, сформулированы общая и частная гипотезы, намечены методы и методологии исследования.

В 1-й главе работы проведен анализ теоретических основ изучения проблемы взаимосвязи творческих проявлений и социального статуса в группе сверстников у детей старшего дошкольного возраста: освещена психология детского творчества; изучена проблема развития творческих способностей у детей; описана проблема статуса в гуманистических науках; раскрыты особенности статуса детей старшего дошкольного возраста в группе сверстников, а также изучена взаимосвязь творческих проявлений и социального статуса в группе сверстников у детей старшего дошкольного возраста.

Во 2-й главе работы приведено описание проведенного нами эмпирического изучения взаимосвязи творческих проявлений и социального статуса в группе сверстников у детей старшего дошкольного возраста: определены план и задачи исследования; дано обоснование методов и методик исследования; приведены и проанализированы результаты исследования; разработаны рекомендации и сформулированы выводы.

В заключении сформулированы результаты дипломного исследования, отмечена степень выполнения цели и поставленных задач, подтверждены рабочие гипотезы, намечены перспективы дальнейшего изучения проблемы.

В библиографии в алфавитном порядке указаны литературные источники, изученные при выполнении данной дипломной работы.

В приложениях описаны методики, использованные для проведения эмпирического исследования.

ГЛАВА I. ТЕОРЕТИЧЕСКИЕ ОСНОВЫ ИЗУЧЕНИЯ ПРОБЛЕМЫ ВЗАИМОСВЯЗИ ТВОРЧЕСКИХ ПРОЯВЛЕНИЙ И СОЦИАЛЬНОГО СТАТУСА В ГРУППЕ СВЕРСТНИКОВ У ДЕТЕЙ СТАРШЕГО ДОШКОЛЬНОГО ВОЗРАСТА

§ 1.1 Определение понятий "творчество" и "творческие способности"

Любой человек, прежде чем приступить к исследованию чего-либо, должен очертить круг терминов, в рамках которых он ведет свое исследование. Наша работа не является исключением, поэтому сначала необходимо дать определение, таким понятиям как творчество, и творческие способности, о которых ниже пойдет речь.

Творчество - это один из немногих феноменов, которые выделяют человека от окружающего мира. Под творчеством, прежде всего, понимают созидание нового, под которым могут подразумевать как преобразование в сознании и поведении человека, так и порождаемые им продукты, которые он отдает другим. Некоторые исследователи, напротив, сужают термин творчество, включая в него только познавательную деятельность, которая ведет к новому или необычному видению проблемы или ситуации. Есть и более расширенное определение, в соответствии с которым в центре проблематики творчества находятся не познавательные процессы и не личностные качества, а сущностные проблемы бытия человека в мире, его открытость новым возможностям. С этой позиции, весь мир культуры - продукт творчества человека, которое присутствует везде, где человек воображает, комбинирует, изменяет и создает что-либо новое. Важная особенность творчества в том, что оно коллективно, свойственно каждому человеку, который когда-либо жил, живет, и будет жить на нашей планете [42, с. 8].

Творчество - это всегда создание нового. Но важная особенность творческого продукта - он должен быть не только новым, но и интересным и важным для человечества.

Л.С. Выгодский выделял два типа деятельности человека:

·        Репродуктивную деятельность, при которой человек в той или иной мере повторяет созданные или выработанные ранее приемы;

·        Творческую деятельность, при которой человек создает то, чего еще никогда не существовало до него [13, с. 12].

Творческая деятельность всегда начинается с мечты, т.е. обозначении объекта творения в воображении человека. И именно она делает человека существом, обращенному к будущему, созидающим его и видоизменяющее свое настоящее. И именно с творческой деятельностью связано такое понятие как "творческие способности", которые собственно и лежат в основе любой творческой деятельности. В силу этого под творческими способностями следует понимать такие индивидуальные способности человека, которые определяют успешность выполнения им творческой деятельности различного рода [42, с. 10].

Творческие способности представляют собой сплав многих качеств, многие из которых связаны с особенностями мышления. Например, американский психолог Гилфорд, занимавшийся проблемами человеческого интеллекта установил, что творческим личностям свойственно так называемое дивергентное мышление. Люди, обладающие таким типом мышления, при решении какой-либо проблемы не концентрируют все свои усилия на нахождение единственно правильного решения, а начинают искать решения по всем возможным направлениям с тем, чтобы рассмотреть как можно больше вариантов [7, с. 31].

Дивергентный способ мышления лежит в основе творческого мышления, которое характеризуется следующими основными особенностями:

. Быстрота - способность высказывать максимальное количество идей (в данном случае важно не их качество, а их количество).

. Гибкость - способность высказывать широкое многообразие идей.

. Оригинальность - способность порождать новые нестандартные идеи (это может проявляться в ответах, решениях, несовпадающих с общепринятыми).

. Законченность - способность совершенствовать свой "продукт" или придавать ему законченный вид [7, с. 31-32].

Известный отечественный исследователи проблемы творчества А.Н. Лук, опираясь на биографии выдающихся ученых, изобретателей, художников и музыкантов выделяет следующие творческие способности

. Способность видеть проблему там, где её не видят другие.

. Способность сворачивать мыслительные операции, заменяя несколько понятий одним и используя всё более ёмкие в информационном отношении символы.

. Способность применить навыки, приобретённые при решении одной задачи к решению другой.

. Способность воспринимать действительность целиком, не дробя её на части.

. Способность легко ассоциировать отдалённые понятия.

. Способность памяти выдавать нужную информацию в нужную минуту.

. Гибкость мышления.

. Способность выбирать одну из альтернатив решения проблемы до её проверки.

. Способность включать вновь воспринятые сведения в уже имеющиеся системы знаний.

. Способность видеть вещи такими, какие они есть, выделить наблюдаемое из того, что привносится интерпретацией.

. Лёгкость генерирования идей.

. Творческое воображение.

. Способность доработки деталей, до первоначального замысла [35, с. 58].

Кандидаты психологических наук В.Т. Кудрявцев и В. Синельников, основываясь на широком историко-культурном материале (история философии, социальных наук, искусства, отдельных сфер практики) выделили следующие универсальные креативные способности, сложившиеся в процессе человеческой истории.

. Реализм воображения;

. Умение видеть целое раньше частей.

. Надситуативно - преобразовательный характер творческих решений - способность при решении проблемы не просто выбирать из навязанных извне альтернатив, а самостоятельно создавать альтернативу.

. Экспериментирование [29, с. 54].

Ученые и педагоги, занимающиеся разработкой программ и методик творческого воспитания на базе ТРИЗ (теория решения изобретательских задач) и АРИЗ (алгоритм решения изобретательских задач) считают, что один из компонентов творческого потенциала человека составляют следующие способности:

. Способность рисковать.

. Дивергентное мышление.

. Гибкость в мышлении и действиях.

. Скорость мышления.

. Способность высказывать оригинальные идеи и изобретать новые.

. Богатое воображение.

. Восприятие неоднозначности вещей и явлений.

. Высокие эстетические ценности.

. Развитая интуиция [38, с. 19].

Анализируя представленные выше точки зрения по вопросу о составляющих творческих способностей можно сделать вывод, что, несмотря на различие подходов к их определению, исследователи единодушно выделяют творческое воображение и качество творческого мышления как обязательные компоненты творческих способностей.

§ 1.2 Проблема формирования и развития творческих способностей у детей

Первая проблема, с которой сталкиваются родители, желающие вырастить гения, это выявления того возраста, в котором следует начинать развивать творческие способности. Современные исследования дают вполне однозначный и простой ответ: чем раньше - тем лучше. Некоторые исследователи вообще рекомендуют начать воспитание, когда ребенок еще в утробе матери, аргументируя это тем - что ребенок даже в мамином животе уже является личностью, способной слышать и чувствовать что происходит снаружи, ну а мамины эмоции ребенок способен чувствовать как никто другой. Однако - на пути воспитания и развития может стать одна немаловажная проблема - явление НУВЭРС (Необратимое Угасание Возможностей Эффективного Развития Способностей). Она возникает тогда, когда соответствующие творческие способности не продолжают использоваться, даже в случае успешного их развития. Отсюда следует вывод - ни в коем случае нельзя останавливаться на достигнутом, необходимо продолжать регулярно и систематически работать с детьми на пути к развитию их творческих способностей [42, с. 83].

Одним из важнейших факторов творческого развития детей является создание условий, способствующих формированию их творческих способностей. На основе анализа работ нескольких авторов, в частности Дж. Смита, Б.Н. Никитина, и Л. Кэррола, можно выделить шесть основных условий успешного развития творческих способностей детей.

1.      Первым условием является раннее физическое развитие малыша: раннее плавание, гимнастика, раннее ползание и хождение. Затем раннее чтение, счет, раннее знакомство с различными инструментами и материалами.

2.      Вторым важным условием развития творческих способностей ребенка является создание обстановки, опережающей развитие детей. Необходимо, насколько это возможно заранее окружить ребенка такой средой и такой системой отношений, которые стимулировали бы его самую разнообразную творческую деятельность и исподволь развивали бы в нем именно то, что в соответствующий момент способно наиболее эффективно развиваться;

3.      Третье, чрезвычайно важное, условие эффективного развития творческих способностей вытекает из самого характера творческого процесса, который требует максимального напряжения сил. Дело в том, что способности развиваться тем успешнее, чем чаще в своей деятельности человек добирается "до потолка" своих возможностей и постепенно поднимает этот потолок все выше и выше.

.        Четвертое условие успешного развития творческих способностей заключается в предоставлении ребенку большой свободы в выборе деятельности, в чередовании дел, в продолжительности занятий одним каким-либо делом, в выборе способов и т.д.

.        Ненавязчивая, умная, доброжелательная помощь взрослых;

.        Тёплая дружелюбная атмосфера в семье и детском коллективе [42, с. 83-84].

В мире ведется еще много споров о том, чему же и как учить детей, но тот факт, что учить надо не вызывает сомнений. Воспитание творческих способностей детей будет эффективным лишь в том случае, если оно будет представлять собой целенаправленный процесс, в ходе которого решается ряд частных педагогических задач, направленных на достижение конечной цели.

§ 1.3 Проблема статуса в гуманистических науках

Проблема статуса, которая возникла на стыке ряда гуманитарных наук - философии, социологии, социальной психологии, психологии личности и педагогики, - одна из важнейших проблем нашего времени. Она с каждым годом привлекает все большее внимание исследователей у нас и за рубежом и является по существу, одной из ключевых проблем социальной психологии, изучающей многообразные объединения людей - так называемые группы. Эта проблема смыкается с проблемой "личность в системе коллективных отношений", столь важной для теории и практики воспитания подрастающего поколения [34, с. 34].

Несмотря на то, что дошкольной психологией и педагогикой немало сделано в этой области, многие вопросы все еще остаются недостаточно исследованными. Кроме того, сама сложность проблемы требует использования новых методических средств, применяемых на современном этапе социально-психологической наукой [4, с. 5].

Проводя анализ теоретических источников по социологии, социальной психологии, психологии личности и педагогике попробуем сравнить, что данное определение значит в вышеперечисленных гуманистических науках.

Во всех обществах существует своего рода дифференциация участников по рангу. Понятие "Статус" в социологии используют, чтобы обозначить положение личности в обществе, устанавливаемое в терминах прав, обязанностей, привилегий и свобод, которые она (личность) получает благодаря своему положению.

Статус - это социальный процесс; человек может иметь статус только в отношении к другим, которые признают его место и обращаются с ним определённым образом. Статус, как бы он ни был низок, важен, ибо без него человек не имеет прав в отношении других [28, с. 220-221].

Функции индивида и вытекающие из них обязательства и права по отношению к другим участникам социального взаимодействия определяют социальный статус человека. Иначе говоря, в статусе фиксируется тот набор конкретных действий, которые должны быть ему предоставлены для осуществления своей деятельности. Зная социальный статус конкретного человека, его социальные функции, мы ожидаем от него, что он будет осуществлять исключительно типичный набор действий, обладать тем типичным набором качеств и особенностей, которые как нам представляется, необходимы для исполнения этих функций [37, с. 96].

Особую роль играют генеральные статусы. Первый - статус человека, его права и обязанности другой генеральный статус - статус члена данного общества, государства (гражданина). Генеральные статусы являются фундаментом статусной позиции личности. Статус можно обрести от рождения. Это - национальность (русский, башкир и т.д.), место рождения (москвич, минчанин, одессит). Подобные статусы называются предписанными. Другие статусы мы приобретаем, достигаем, т.е. это статусы приобретенные, достигнутые. Это статус учителя или футболиста, пианиста или жены [34, с. 72].

Статусы могут быть формализованными или неформализованными, что зависит от того, в рамках формализованных или неформализованных социальных институтов, и более широко - социальных взаимодействий - выполняется та или иная функция. Множественность статусов не означает их равнозначности. Они находятся в определенной иерархии по степени важности социального института, в рамках которого сформирован этот статус. Безусловно, что во всех случаях особое значение имеет статус личности, связанный с работой, профессией. Хотя следует отметить, что иерархия статусов может меняться. Видимо следует различать основную, общую иерархию статусов личности, которая срабатывает в большинстве случаев, и специфическую, проявляющуюся в особых условиях [22, 96].

Выделение главного статуса хотя и сложно, но важно, так как именно он определяет и, что не менее важно самоопределяет человека социально. Причем не всегда тот статус, который в качестве главного выделяет общество в данном человеке, совпадает с тем статусом, какой выделяет в себе как главный сама личность. На этой почве возникает немало драматических противоречий внутреннего мира личности, неадекватно представляющей свое место в обществе, в общественном мнении [37, с. 97].

Обладание статусом позволяет человеку ожидать и требовать определённого отношения со стороны других людей. Статус предполагает соотнесение: чтобы воспринимать себя как личность, имеющую определенный статус, необходимо чтобы какие-то люди занимали более низкое положение. Таким образом, одно психологическое преимущество любой системы статусов - это ощущение превосходства. Джеймс Болдуин пишет: "Главное достижение общества (и его беда) состоит в том, что оно способно убедить людей, которым предоставляет низкий статус, будто бы его приговор соответствует реальному положению вещей" [28, с. 223].

Все вышесказанное характеризует, с одной стороны, общее понятие статуса для всех гуманитарных наук, хотя, на наш взгляд, в большей степени все это можно сказать о статусе социальном. В социальной психологии, психологии личности и педагогической психологии говорят о социометрическом статусе, который означает положение человека в системе тех отношений, которые выявляются и описываются по результатам исследования группы при помощи социометрической методики. В группах, различных по уровню группового развития, содержанию деятельности и общения, один и тот же индивид может иметь разный социометрический статус, что нередко становится причиной конфликта. Как показывают исследования специалистов, тот или иной социометрический статус ребенка в детской группе возможно формировать, поскольку он оказывается в непосредственной зависимости от совместной деятельности детей, ее содержания, ценностных характеристик и форм организации [58, с. 132].

Проведя теоретический анализ одного и того же определения в разных гуманитарных науках мы приходим к выводу о разном подходе в интерпретации и значении данного понятия. Несомненно, есть и сходства, заключающиеся в принадлежности этого понятия к общественному или социальному в рамках гуманистических наук. Несмотря на то, что социологи и социальные психологи имеют дело в некоторой степени с одинаковым понятийным аппаратом, иногда используют аналогичные методы исследования, социальные психологи включают в свой арсенал еще и эксперименты, в которых они манипулируют тем или иным фактором. Например, наличием или отсутствием давления со стороны сверстников, чтобы посмотреть к какому результату это приведет. Факторами, которые исследуют социологи обычно трудно или неэтично манипулировать [27, с. 320].

Обобщая все вышеизложенное, следует отметить, что проблема статуса, которая возникла на стыке ряда гуманитарных наук - философии, социологии, социальной психологии, психологии личности и педагогики, - одна из важнейших проблем нашего времени. Она с каждым годом привлекает все большее внимание исследователей у нас и за рубежом и является по существу, одной из ключевых проблем социальной психологии. Проведя теоретический анализ одного и того же определения в разных гуманистических науках мы приходим к выводу о разном подходе в интерпретации и значении данного понятия. В контексте данной работы мы будет говорить, и опираться на понятие социометрического статуса, который означает положение человека в системе тех отношений, которые выявляются и описываются по результатам исследования группы при помощи социометрической методики.

§ 1.4 Особенности статуса детей старшего дошкольного возраста в группе сверстников

Изучение дошкольных групп имеет свои традиции в психологии. Основываясь на принципиальных положениях во взаимоотношениях личности и коллектива, представленных в трудах А.С. Макаренко и Н.К. Крупской, социально-психологические исследования групп детского сада начали в 30-х годах Е.А. Аркин и А.С. Заслужный. Дальше, начиная с 50-х годов советская психология начала развиваться бурными темпами, при этом появилось много работ по проблеме статуса детей в группе сверстников. Среди них пока, к сожалению, единичны исследования групп детского сада. На эту тему были написаны отдельные работы Я.Л. Коломинского, Л.В. Артемовой и др. [4, с. 5].

Группа детского сада, с одной стороны, явление социально-педагогическое, развивающееся под воздействием воспитателей, которые ставят перед этой группой социально-значимые задачи. С другой стороны, благодаря существующим внутригрупповым процессам в ней имеются зачатки саморегуляции. Являясь своеобразной малой группой, группа детского сада представляет собой генетически наиболее раннюю ступень социальной организации, где у ребенка развивается общение и разнообразные виды деятельности, формируются первые отношения со сверстниками, столь важные для становления его личности [51, с. 54].

Применительно к детской группе Т.А. Репина выделяют следующие структурные единицы:

· поведенческая, к ней относят: общение, взаимодействие в совместной деятельности и поведение члена группы, адресованное другому;

· эмоциональная (межличностные отношения). К ней относят деловые отношения (в ходе совместной деятельности), оценочные (взаимное оценивание детей) и собственно личностные отношения. Т.А. Репина предполагает, что у дошкольников проявляется феномен взаимосвязи и взаимопроникновения разного вида отношений;

· когнитивная (гностическая). К ней относятся восприятие и понимание детьми друг друга (социальная перцепция), результатом которых являются взаимные оценки и самооценки (Хотя здесь присутствует и эмоциональная окраска, которая выражается в виде пристрастности образа сверстника у дошкольника через ценностные ориентации группы и специфику личности воспринимающего.) [51, с. 55-56].

В группе детского сада в старшем дошкольном возрасте существуют относительно длительные привязанности между детьми. Прослеживается существование относительно устойчивого положения дошкольника в группе (по данным Т.А. Репиной неблагоприятное положение у 1/3 детей). Проявляется определенная степень ситуативности в отношениях дошкольников (дети часто забывали о сверстниках, отсутствующих в день эксперимента). Избирательность старших дошкольников обусловлена интересами совместной деятельности, а также положительными качествами сверстников. Значимыми также являются те дети, с которыми испытуемые больше взаимодействовали, а этими детьми часто оказываются сверстники своего пола. Вопрос о том, что влияет на положение ребенка в группе сверстников, имеет исключительное значение. Анализируя качество и способности наиболее популярных детей, можно понять, что привлекает старших дошкольников друг в друге и что позволяет ребенку завоевать расположение сверстников. Вопрос о популярности детей дошкольного возраста решался преимущественно в связи с игровыми способностями детей. Характер социальной активности и инициативности старших дошкольников в сюжетно-ролевых играх обсуждался в работах Т.А. Репиной, А.А. Рояк, В.С. Мухиной и др. Исследования этих авторов показывают, что положение детей в ролевой игре не одинаково - они выступают в роли ведущих, другие - в роли ведомых. Предпочтение детей и их популярность в группе во многом зависят от их способности придумывать и организовывать совместную игру. В исследовании Т.А. Репиной положение ребенка в группе также изучалось в связи с успешностью ребенка в конструктивной деятельности. Было показано, что повышение успешности в этой деятельности повышает число положительных форм взаимодействия и повышает статус ребенка [33, с. 52-54].

Видно, что успешность деятельности положительно влияет на положение ребенка в группе. Однако, при оценке успешности в какой-либо деятельности важен ни сколько ее результат, сколько признание этой деятельности со стороны окружающих. Если успехи ребенка признаются окружающими, что находится в связи с ценностными установками группы, то улучшается отношение к нему со стороны сверстников. В свою очередь, ребенок становится более активным, повышается самооценка и уровень притязаний.

Итак, в основе популярности старших дошкольников лежит их деятельность - либо способность к организации совместной игровой деятельности, либо успешность в продуктивной деятельности [43, с. 292].

Существует и другое направление работ, в которых анализируется феномен детской популярности с точки зрения потребности детей в общении и степени удовлетворения этой потребности. Эти работы базируются на положении М.И. Лисиной о том, что в основе формирования межличностных отношений и привязанности лежит удовлетворение коммуникативных потребностей. Если содержание общения не соответствует уровню коммуникативных потребностей субъекта, то привлекательность партера уменьшается, и наоборот, адекватное удовлетворение основных коммуникативных потребностей ведет к предпочтению конкретного человека, удовлетворившего эти потребности. Результаты экспериментальных работ, проведенных под руководством М.И. Лисиной, показали, что наиболее предпочитаемыми оказались дети, демонстрирующие доброжелательное внимание партнеру - доброжелательность, отзывчивость, чувствительность к воздействиям сверстника. А исследование О.О. Папир (под руководством Т.А. Репиной) обнаружило, что популярные дети сами имеют обостренную, ярко выраженную потребность в общении и в признании, которую стремятся удовлетворить [33, с. 54-56].

Суммируя все вышеизложенное, следует отметить, что согласно работам одних исследователей, в основе популярности старших дошкольников лежит их деятельность - либо способность к организации совместной игровой деятельности, либо успешность в продуктивной и творческой деятельности.

§ 1.5 Взаимосвязь творческих проявлений и социального статуса в группе сверстников у детей старшего дошкольного возраста

По определению известного педагога А.П. Усовой, дошкольная группа - это первое своеобразное детское общество, возникающее в совместных играх детей, где они имеют возможность самостоятельно объединится друг с другом и действовать как маленькими, так и большими группами. Именно в этих совместных играх ребенок приобретает социальный опыт, необходимый для развития у него качества общественности [54, с. 94].

В первые этапы проведенного исследования подтвердилось, что старшая группа детского сада не есть аморфное объединение детей со стихийно складывающимися случайными отношениями и связями. Эти отношения и связи уже представляют относительно устойчивую систему, в которой каждый ребенок в силу тех или иных причин занимает определенное место. Среди них немаловажную роль играют как личностные качества ребенка, такие, например, как его творческие способности.

Исследование прогрессивных психологов показывают, что положение ребенка в группе сверстников не является постоянным, а может меняться под влиянием многих факторов. Изменение положения "непопулярного" ребенка может способствовать не только улучшению "микроклимата" вокруг него с помощью развития его творческих способностей. Над этим вопросом работали и проводили опыты Репина и Бухтиарова [51, с. 221- 222].

В зарубежной науке имеет место субъективно идеалистическая теория, считающая, что отношения между людьми, в частности, отношения симпатии и антипатии, определяются их врожденными качествами. Соответственно этим своим неизменным качеством тот или иной ребенок якобы будет обречен на "непопулярность" и попадает в разряд "изолированных" или будет "звездой" среди детей, т.е. ему будет обеспечена в любой детской группе особо высокая "популярность". Представители этой теории пытаются найти в ней оправдание классовой структуры общества, утверждая, что разделение на классы - это закон природы. Исследования наших психологов доказали обратное выяснилось, что положительные взаимоотношения у детей также возникают, когда они выполняют какое-либо задание не для себя лично, а для других людей [54; с. 94-95].

Последние педагогические и психологические исследования показывают, какую большую роль на формирование статуса детей в группе сверстников влияют их творческие способности [42, с. 82].

Итак, проведя анализ теоретических основ изучения проблемы взаимосвязи творческих проявлений и социального статуса в группе сверстников у детей старшего дошкольного возраста, следует подчеркнуть:

1.      Творчество - это один из немногих феноменов, которые выделяют человека от окружающего мира. Творчество - это всегда создание нового. Но важная особенность творческого продукта - он должен быть не только новым, но и интересным и важным для человечества. Несмотря на различие подходов к их определению, исследователи единодушно выделяют творческое воображение и качество творческого мышления как обязательные компоненты творческих способностей.

2.      Проблема статуса, которая возникла на стыке ряда гуманитарных наук - философии, социологии, социальной психологии, психологии личности и педагогики, - одна из важнейших проблем нашего времени. Она с каждым годом привлекает все большее внимание исследователей у нас и за рубежом и является по существу, одной из ключевых проблем социальной психологии. Проведя теоретический анализ одного и того же определения в разных гуманистических науках мы приходим к выводу о разном подходе в интерпретации и значении данного понятия. Понятие социометрического статуса, который означает положение человека в системе тех отношений, которые выявляются и описываются по результатам исследования группы при помощи социометрической методики. Согласно работам одних исследователей, в основе популярности старших дошкольников лежит их деятельность - либо способность к организации совместной игровой деятельности, либо успешность в продуктивной деятельности.

3.      Старшая группа детского сада не есть аморфное объединение детей со стихийно складывающимися случайными отношениями и связями. Эти отношения и связи уже представляют относительно устойчивую систему, в которой каждый ребенок в силу тех или иных причин занимает определенное место. Среди них немаловажную роль играют как личностные качества ребенка, различные его навыки и умения, так и уровень общения и взаимоотношений в группе. Положение ребенка в группе сверстников не является постоянным, а может меняться под влиянием многих факторов. Последние педагогические и психологические исследования показывают, какую большую роль на формирование статуса детей в группе сверстников влияют их творческие способности.

ГЛАВА II. ЭМПИРИЧЕСКОЕ ИЗУЧЕНИЕ ПРОБЛЕМЫ ВЗАИМОСВЯЗИ ТВОРЧЕСКИХ ПРОЯВЛЕНИЙ И СОЦИАЛЬНОГО СТАТУСА В ГРУППЕ СВЕРСТНИКОВ У ДЕТЕЙ СТАРШЕГО ДОШКОЛЬНОГО ВОЗРАСТА

§ 2.1 Основные задачи, методы и методики исследования

Эмпирическое изучение взаимосвязи творческих проявлений и социального статуса в группе сверстников у детей старшего дошкольного возраста было проведено нами на базе одного из детских государственных дошкольных учреждений г. Сургута.

Объект исследования - творческие проявления у старших дошкольников.

Предмет эмпирического исследования - взаимосвязь творческих проявлений и высоты статуса у старших дошкольников.

В качестве субъекта исследования нами была выделена выборка детей старшего дошкольного возраста в количестве 34 человек.

Цель нашего исследования: эмпирическим путем выявить взаимосвязь между частотой и яркостью творческих проявлений и высотой статуса.

В качестве рабочей гипотезы исследования, нами выдвинуто предположение о том, что существует взаимосвязь между творческими проявлениями и социальным статусом в группе сверстников детей старшего дошкольного возраста.

Частная гипотеза нашего эмпирического исследования звучала следующим образом: частота и яркость творческих проявлений у старших дошкольников связаны с их высоким статусом в группе сверстников.

Этапы эмпирического исследования:

I этап - формирование выборочной совокупности, подбор методов и методик для проведения исследования. Организация и проведение диагностики уровня развития творческих способностей у детей старшего дошкольного возраста.

II этап - организация и проведение диагностики статусного положения детей старшего дошкольного возраста в группе сверстников.

III этап - организация и проведение сравнительного анализа и интерпретации полученных результатов. Разработка психолого-педагогических рекомендаций и информационных материалов для педагогов и родителей.

В соответствии с целью, объектом, предметом и гипотезой, нами были поставлены следующие задачи эмпирического исследования:

1.      Сформировать выборку и подобрать методы, позволяющие изучить взаимосвязь творческих проявлений и высоты статуса у старших дошкольников.

2.      Провести диагностику уровня развития творческих способностей у детей старшего дошкольного возраста.

.        Организовать и провести диагностику статусного положения детей старшего дошкольного возраста в группе сверстников.

.        Провести сравнительный анализ и интерпретацию полученных результатов.

.        На основе полученных результатов разработать психолого-педагогические рекомендации и информационные материалы для педагогов и родителей.

Для достижения цели и решения, поставленных в работе задач, нами были использованы следующие методы: 1. Метод изучения научной психолого-педагогической литературы, архивных материалов. 2. Социометрия. 3. Психодиагностический метод. 4. Социограмма. 5. Наблюдение. 6. Метод количественного и качественного анализа полученных данных. 7. Метод математического анализа и статистики (корреляционный анализ).

1.      Метод изучения научной педагогической и методической литературы, архивных материалов. Изучение научной педагогической и методической литературы, рукописей, архивных материалов, материалов на магнитных и других носителях, содержащих факты, характеризующие историю и современное состояние изучаемого объекта, служит способом создания первоначальных представлений и исходной концепции о предмете исследования, его сторонах и связях, обнаружения пробелов, неясностей в разработке выбранной для изучения проблемы. Тщательное изучение литературы помогает отделить известное от неизвестного, зафиксировать уже разработанные концепции, установленные факты, накопленный педагогический опыт, четко очертить грани предмета исследования.

В теоретическую основу исследований вошли данные анализа 65 источников психолого-педагогической литературы.

2.      Социометрия, как метод, занимает одно из мест в ряду аналитических методов, таких как анкетирование, интервью, анализ документов, наблюдение. Для изучения статуса он является оптимальным. Кроме содержательного соответствия метода изучаемой области, он обладает рядом преимуществ по сравнению с другими методами анализа. Во-первых, метод довольно прост в технической реализации. Не требуется проведения предтестовых процедур, проверки валидности методики. Подготовка форм (опросных листов) не вызывает затруднений, даже у неподготовленного человека. Во-вторых, длительность проведения исследовательской процедуры не велика. Опросные листы могут заполняться заочно, а обработка данных занимает всего несколько часов. В-третьих, социометрия позволяет оперировать количественными данными. Качественное описание сплоченности группы менее информативно, а применение социометрии дает довольно точную количественную оценку. В рамках данного метода нами была использована детская игра "Секрет", предложенной Т.А. Репиной. (См. Приложение 4).

3.      Психодиагностический метод - исследовательский метод психологической науки. Особенностью психодиагностического метода является его измерительно-испытательная направленность, за счет которой достигается количественная (и качественная) оценка изучаемого явления. В рамках психодиагностического метода нами были использованы: Методика №1 "Солнце в кармане", Методика №2 "Складная картинка" и Методика №3 "Как спасти зайку" (См. Приложения 1-3).

4.      Социограмма способ изображения структуры межличностных отношений в малой социальной группе. Обычно используется для представления данных, полученных с помощью социометрического опроса.

.        Наблюдение - один из основных методов психолого-педагогического исследования, состоящий в преднамеренном, систематическом и целенаправленном восприятии психических явлений с целью изучения их специфических изменений в определенных условиях и отыскания смысла этих явлений, который непосредственно не дан. Наблюдение позволяет увидеть естественные проявления ребенка. Оно позволяет получить объективные и достоверные результаты.

6.      Метод количественного и качественного анализа полученных данных позволяет провести анализ и интерпретацию полученных в процессе исследования экспериментальных результатов.

. Методы математической статистики предназначены для систематизации и анализа эмпирических (опытных) данных, получаемых при изучении повторяющихся и варьирующих явлений. В рамках данного метода был использован метод корреляционного анализа - коэффициент Браве-Пирсона.

Корреляционный анализ имеет своей задачей количественное определение тесноты связи между двумя признаками (при парной связи) и между результативным и множеством факторов признаков (при многофакторной связи). Теснота связи количественно выражается величиной коэффициентов корреляции. Корреляционный анализ изучает взаимосвязи показателей и позволяет решить следующие задачи:

1)      оценку тесноты связи между показателями с помощью парных, частных и множественных коэффициентов корреляции;

2)      оценку уравнения регрессии.

Меру связи выражает коэффициент корреляции. В корреляционном анализе предполагается, что чем выше коэффициент корреляции между двумя психологическими переменными, тем полнее можно предсказать значения одной из них по значениям другой.

Преимущество метода корреляционного анализа - коэффициента Браве-Пирсона, использованного в данной работе, состоит в том, что он позволяет определить тесноту связи между произвольным числом ранжированных признаков. Коэффициент корреляции используется для измерения степени согласованности двух или нескольких рядов проранжированных значений переменных.

Обобщая все вышеизложенное, следует подчеркнуть, что только основные методы: метод изучения научной психолого-педагогической литературы, архивных материалов; социометрия; психодиагностический метод; социограмма; наблюдение; метод количественного и качественного анализа полученных данных, а также метод математического анализа и статистики (корреляционный анализ), - способны дать нам достоверную информацию о существующей взаимосвязи между творческими проявлениями и социальным статусом в группе сверстников детей старшего дошкольного возраста.

§ 2.2 Диагностика уровня творческих способностей у детей старшего дошкольного возраста

Итак, на I-м этапе нашего исследования, после того как была сформирована выборочная совокупность и подобраны методы и методики исследования, нами была проведена диагностики уровня творческих способностей у детей старшего дошкольного возраста.

Диагностика уровня творческих способностей проводилась нами с использованием специально подобранного пакета диагностических методик (См. Приложения 1-3).

Используя Методику №1 "Солнце в комнате" мы выявляли способностей ребенка к преобразованию "нереального" в "реальное" в контексте заданной ситуации путем устранения несоответствия. Суть данной методики заключается в том, что ребенку предлагается картинка с изображением комнаты, в которой находятся человечек и солнце и карандаш. Психолог, показывая ребенку картинку, дает ему следующую инструкцию: "Я даю тебе эту картинку. Посмотри внимательно и скажи, что на ней нарисовано". По перечислении деталей изображения (стол, стул, человечек, лампа, солнышко и т.д.) психолог дает следующее задание: "Правильно. Однако, как видишь, здесь солнышко нарисовано в комнате. Скажи, пожалуйста, так может быть или художник здесь что-то напутал? Попробуй исправить картинку так, чтобы она были правильной".

Пользоваться карандашом ребенку не обязательно, он может просто объяснить, что нужно сделать для "исправления" картинки.

В ходе обследовании психолог оценивает попытки ребенка исправить рисунок. Обработка данных осуществляется по специально разработанной пятибалльной системе (См. Приложение 1).

После подсчета и обработки данных, мы получили следующие результаты (См. Таблицы 1,2; Рис. 1,2)

Таблица 1. Количество баллов, набранных детьми в ходе проведенной диагностики по Методике №1 "Солнце в комнате"


Пол ребенка

Баллы

1

м

3

2

д

5

3

д

1

4

м

1

5

д

4

6

м

3

7

д

2

8

д

1

9

м

1

10

д

2

11

д

2

12

м

1

13

м

4

14

д

1

15

д

1

16

д

3

17

м

3

18

д

2

19

д

1

20

д

5

21

м

1

22

м

2

23

д

3

24

м

1

25

м

2

26

д

3

27

м

2

28

м

3

29

д

1

30

м

3

31

м

1

32

д

3

33

д

3

34

м

5


Таблица 2. Сводная таблица результатов диагностики по Методике №1 "Солнце в комнате"

нет ответа (1 балл)

формальный ответ (2 балла)

простой ответ (3 балла)

сложный ответ (4 балла)

конструктивный ответ (5 баллов)

12 чел (35%)

7 чел (21%)

10 чел (29%)

2 чел (6%)

3 чел (9%)


Рис. 1. Диаграмма результатов проведенной диагностики по Методике №1 "Солнце в комнате"

Рис. 2. Круговая диаграмма результатов проведенной диагностики по Методике №1 "Солнце в комнате"

Используя Методику №2 "Складная картинка", мы диагностировали у дошкольников уровень умения сохранить целостный контекст изображения в ситуации его разрушения.

Суть данной методики заключается в том, что ребенку предъявляют складывающуюся картонная картинка с изображением утки, имеющую четыре сгиба (размер 10 * 15 см). Психолог, предъявляя ребенку картинку: "Сейчас я тебе дам эту картинку. Посмотри, пожалуйста, внимательно и скажи, что на ней нарисовано?" Выслушав ответ, психолог складывает картинку и спрашивает: "Что станет с уткой, если мы сложим картинку вот так?"

После ответа ребенка картинка расправляется, снова складывается, а ребенку задается вновь тот же вопрос. Всего применяется пять вариантов складывания - "угол", "мостик", "домик", "труба", "гармошка".

В ходе обследования ребенка психолог фиксирует общий смысл ответов при выполнении задания. Обработка данных осуществляется по специально разработанной трехбалльной системе (См. Приложение 2).

После обработки данных, нами были получены следующие результат (См. Таблицы 3, 4; Рис. 3,4):

Таблица 3. Количество баллов, набранных детьми в ходе проведенной диагностики по Методике №2 "Складная картинка"


Пол ребенка

Баллы

1

м

3

2

д

3

3

д

1

4

м

1

5

д

3

6

м

2

7

д

2

8

д

2

9

м

1

10

д

3

11

д

3

12

м

1

13

м

1

14

д

1

15

д

1

16

д

2

17

м

3

18

2

19

д

2

20

д

2

21

м

1

22

м

3

23

д

2

24

м

2

25

м

2

26

д

2

27

м

1

28

м

3

29

д

1

30

м

3

31

м

1

32

д

2

33

д

2

34

м

3


Таблица 4. Сводная таблица результатов проведенной диагностики по Методике №2 "Складная картинка"

нет ответа (1 балл)

описательный ответ (2 балла)

комбинирующий ответ (3 балла)

11 чел (32%)

13 чел (38%)

10 чел (30%)


Рис. 3. Диаграмма результатов проведенной диагностики по Методике №2 "Складная картинка"

Рис. 4. Круговая диаграмма результатов проведенной диагностики по Методике №2 "Складная картинка"


Оценку способности и превращения задачи на выбор в задачу на преобразование в условиях переноса свойств знакомого предмета в новую ситуацию, мы проводили с использованием Методики №3 "Как спасти зайку".

Суть данной методики заключается в том, что перед ребенком на столе располагают фигурку зайчика, блюдце, ведерко, палочку, сдутый шарик и лист бумаги. Психолог, беря в руки зайчика: "Познакомься с этим зайчиком. Однажды с ним приключилась такая история. Решил зайчик поплавать на кораблике по морю и уплыл далеко-далеко от берега. А тут начался шторм, появились огромные волны, и стал зайка тонуть. Помочь зайке можем только мы с тобой. У нас для этого есть несколько предметов (психолог обращает внимание ребенка на предметы, разложенные на столе). Что бы ты выбрал, чтобы спасти зайчика?"

В ходе обследования фиксируются характер ответов ребенка и их обоснование. Данные оцениваются по специально разработанной трехбалльной системе (См. Приложение 3).

Проанализировав результаты, мы получили вот какие данные (См. Таблицы 5,6; Рис. 5, 6).

Таблица 5. Количество баллов, набранных детьми в ходе проведенной диагностики по Методике №3 "Как спасти зайку"


Пол ребенка

Баллы

1

м

3

2

д

3

3

д

1

4

м

1

5

д

3

6

м

2

7

д

2

8

д

3

9

м

1

10

д

3

11

д

3

12

м

1

13

м

3

14

д

1

15

д

1

16

д

2

17

м

3

18

д

2

19

д

2

20

д

3

21

м

1

22

м

2

23

д

3

24

м

2

25

м

2

26

д

2

27

м

1

28

м

3

29

д

1

30

м

2

31

м

1

32

д

2

33

д

2

34

м

3


Таблица 6. Результаты проведенной диагностики по Методике №3 "Как спасти зайку"

первый уровень (1 балл)

второй уровень (2 балла)

третий уровень (3 балла)

10 чел (30%)

12 чел (35%)

12 чел (35%)

творческий способность социальный дети

Рис. 5. Диаграмма результатов проведенной диагностики по Методике №3 "Как спасти зайку"

Рис. 6. Круговая диаграмма результатов проведенной диагностики по Методике №3 "Как спасти зайку"

Таким образом, из выше представленных нами данных видно, что у детей старшего дошкольного возраста преобладает средний уровень развития творческих способностей.

§ 2.3 Диагностика статусного положения детей старшего дошкольного возраста в группе сверстников

Изучение статуса ребенка старшего дошкольного возраста в группе сверстников проводилось при помощи специально отобранной нами Методики №4 "Изучение взаимоотношений между детьми в группе детского сада", предложенной Т.А. Репиной.

Суть данной методики заключается в том, что с детьми проводят игру "Секрет", в основу которой положен "выбор в действии". Каждого ребенка "по секрету" от остальных просят по собственному выбору подарить подложенные ему 3 картинки трем детям группы. Игру проводят двое взрослых, не работающих в группе (воспитатель другой группы, методист или заведующий).

Затем подсчитывается число картинок, подаренных каждому ребенку, и определяются статусные категории (См. Приложение 4).

Итак:

Таблица 7 Таблица социометрических данных


Таблица 8. Таблица социометрических данных


Пол

Число полученных выборов

Число взаимных выборов

Коэффициент удовлетворенности

1

м

4

1

0.33

2

д

5

0

0

3

д

2

1

0.33

4

м

2

0

0

5

д

6

0

0

6

м

3

1

0.33

7

д

3

2

0.67

8

д

4

2

0.67

9

м

0

0

0

10

д

3

1

0.33

11

д

5

0

0

12

м

2

1

0.33

13

м

5

2

0.67

14

д

2

0

0

15

д

2

0

0

16

д

3

0

0

17

м

4

1

0.33

18

д

3

2

0.67

19

д

1

0

0

20

д

6

0

0

21

м

2

2

0.67

22

м

3

1

0.33

23

д

4

2

0.67

24

м

3

1

0.33

25

м

1

0

0

26

д

3

1

0.33

27

м

1

0

0

28

м

5

2

0.67

29

д

0

0

0

30

м

3

2

0.67

31

м

1

0

0

32

д

3

0

33

д

3

2

0.67

34

м

5

1

0.33


Таблица 9. Результаты проведенного социометрического тестирования

Не принятые

Принятые

Предпочитаемые

Звезды

2 чел (6%)

10 чел (30%)

15 чел (43%)

7 чел (21%)


Рис. 7. Диаграмма результатов проведенного социометрического тестирования

Рис. 8. Круговая диаграмма результатов проведенного социометрического тестирования

Рис. 9. Социограмма

Таким образом, после проведения социометрии, мы выявили, - "звезды" - 7 человек, "предпочитаемые" - 15 человек, "принятые" - 10 человек и "не принятые" - 2 человек.

§2.4 Качественный анализ результатов эмпирического изучения связи творческих способностей и статусного положения у дошкольников

Итак, в ходе проведенной нами диагностики было отмечено, что дети, имеющие высокий уровень творческих способностей являются "Звездами", а дети, имеющие низкий уровень развития творческих способностей, по результатам проведенной социометрии, находятся в категориях "Оттесненные" или "Отвергнутые".

Результаты констатирующего эксперимента были проверены одним из методов корреляционного анализа - коэффициентом Браве-Пирсона.

Коэффициент Браве-Пирсона подсчитывается по следующей формуле:

,

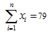
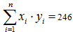
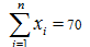
где:

 - сумма произведений данных для каждого испытуемого;=34 - число испытуемых;

 - средняя для данных переменной х по всей группе испытуемых;

 - средняя для данных переменной у по всей группе испытуемых;

 - стандартное отклонение для переменной х;

 - стандартное отклонение для переменной у.

Сформулируем статистические гипотезы:

Н0: корреляция между показателями творческих способностей и показателем статуса дошкольника в группе не отличается от нуля.

Н1: корреляция между показателями творческих способностей и показателем статуса дошкольника в группе статистически отличается от нуля.

В случае, когда принимается гипотеза Н0 (корреляция статистически не значима), то мы с достоверностью можем утверждать, что для этой группы не существует положительной зависимости между творческими способностями ребенка и его статусом в группе. В случае, когда принимается гипотеза Н1 (корреляция статистически значима), то мы с достоверностью можем утверждать, что для этой группы существует положительная зависимость между творческими способностями ребенка и его статусом в группе.

Рассчитаем коэффициент корреляции по вышеприведенным формулам для группы по результатам диагностики по методике №1 "Солнце в комнате" (См. Таблицу 10; Рис. 10). В результате получаем <0.77. Следовательно по результатам диагностики по первой методики Н1 принимается. Корреляция между результатов проведенных исследований статистически значима  и является положительной.

Таблица 10. Таблица корреляционных данных по результатам диагностики по методике №1 "Солнце в комнате"

Испытуемые

Творческие способности (х)

Статус (у)

1

3

4

12

2

5

5

25

3

1

2

2

4

1

2

2

5

4

6

24

6

3

3

9

7

2

3

6

8

1

4

4

9

1

0

0

10

2

3

6

11

2

5

10

12

1

2

2

13

4

5

20

14

1

2

2

15

1

2

2

16

3

3

9

17

3

4

12

18

2

3

6

19

1

1

1

20

5

6

30

21

1

2

2

22

2

3

6

23

3

4

12

24

1

3

3

25

2

1

2

26

3

3

9

27

2

1

2

28

3

5

15

29

1

0

0

30

3

3

9

31

1

1

1

32

3

3

9

33

3

3

9

34

5

5

25

Суммы

Средние

2.3243.0008.471



Стандартное отклонение

1.2731.5768.039



Коэффициент Браве-Пирсона

0.770




Рис. 10. Графические данные корреляции по результатам диагностики по методике №1 "Солнце в комнате"

Рассчитаем коэффициент корреляции по вышеприведенным формулам для группы по результатам диагностики по Методике №2 "Складная картинка" (См. Таблицу 11; Рис. 11) . В результате получаем <0.651. Следовательно по результатам диагностики по второй методики Н1 принимается. Корреляция между результатами проведенных исследований статистически значима  и является положительной.

Таблица 11. Таблица корреляционных данных по результатам диагностики по Методике №2 "Складная картинка"

Испытуемые

Творческие способности (х)

Статус (у)

1

3

4

12

2

3

5

15

3

1

2

2

4

1

2

2

5

3

6

18

6

2

3

6

7

2

3

6

8

2

4

8

9

1

0

0

10

3

3

9

11

3

5

15

12

1

2

2

13

1

5

5

14

1

2

2

15

1

2

2

16

2

3

6

17

3

4

12

18

2

3

6

19

2

1

2

20

2

6

12

21

1

2

2

22

3

3

9

23

2

4

8

24

2

3

6

25

2

1

2

26

2

3

6

27

1

1

1

28

3

5

15

29

1

0

0

30

3

3

9

31

1

1

1

32

2

3

6

33

2

3

6

34

3

5

15

Суммы

Средние

1.9713.0006.706



Стандартное отклонение

0.7971.5765.060



Коэффициент Браве-Пирсона

0.651



 


Рис. 11. Графические данные корреляции по результатам диагностики по методике №2 "Складная картинка"


Таблица 12. Таблица корреляционных данных по результатам диагностики по методике №3 "Как спасти зайку"

Испытуемые

Творческие способности (х)

Статус (у)

1

3

4

12

2

3

5

15

3

1

2

2

4

1

2

2

5

3

6

18

6

2

3

6

7

2

3

6

8

3

4

12

9

1

0

0

10

3

3

9

11

3

5

15

12

1

2

2

13

3

5

15

14

1

2

2

15

1

2

2

16

2

3

6

17

3

4

12

18

2

3

6

19

2

1

2

20

3

6

18

21

1

2

2

22

2

3

6

23

3

4

12

24

2

3

6

25

2

1

2

26

2

3

6

27

1

1

1

28

3

5

15

29

1

0

0

30

2

3

6

31

1

1

1

32

2

3

6

33

2

3

6

34

3

5

15





Суммы

Средние

2.0593.0007.235



Стандартное отклонение

0.8141.5765.625



Коэффициент Браве-Пирсона

0.850




Рис. 12. Графические данные корреляции по результатам диагностики по Методике №3 "Как спасти зайку"

В ходе наблюдения за детьми мы отметили, что наиболее ярко творческие способности проявляют дети со статусной категорией "Звезды". А это значит, что наша общая: мы предполагаем, что существует взаимосвязь между творческими проявлениями и социальным статусом в группе сверстников детей старшего дошкольного возраста; и частная: мы предполагаем, что частота и яркость творческих проявлений у старших дошкольников связаны с их высоким статусом в группе сверстников - гипотезы - подтверждены.

Таким образом, математически доказано, что между творческими проявлениями и социальным статусом в группе сверстников детей старшего дошкольного возраста существует взаимосвязь, причем, частота и яркость творческих проявлений у старших дошкольников связаны с их высоким статусом в группе сверстников

Итак, подводя итог проведенному нами эмпирическому исследованию изучения взаимосвязи творческих проявлений и социального статуса в группе сверстников у детей старшего дошкольного возраста, следует подчеркнуть:

1.      Эмпирическое исследование в данной дипломной работе было проведено в три этапа, на каждом из которых был использован свой психолого-педагогический метод. В работе были использованы следующие методы: метод изучения научной психолого-педагогической литературы, архивных материалов; социометрия; психодиагностический метод; социограмма; наблюдение; метод количественного и качественного анализа полученных данных; метод математического анализа и статистики (корреляционный анализ).

2.      Результаты проведенного нами эмпирического исследования, что наиболее ярко творческие способности проявляют дети со статусной категорией "Звезды" и, наоборот, у детей со статусной категорией "Не принятые" выявляется низкий уровень творческих способностей. статусной категорией "Звезды".а ию полученных результатов сверстников.кольного возраста

.        Следовательно, наша общая: мы предполагаем, что существует взаимосвязь между творческими проявлениями и социальным статусом в группе сверстников детей старшего дошкольного возраста; и частная: мы предполагаем, что частота и яркость творческих проявлений у старших дошкольников связаны с их высоким статусом в группе сверстников - гипотезы - полностью доказаны и математически подтверждены.

.        По окончании исследования мы организовали и провели коррекционно-развивающую программу, направленную на повышение статусного положения дошкольников в группе сверстников (См. Приложение 6).

ЗАКЛЮЧЕНИЕ

Итак, задачи, поставленные нами в дипломной работе - выполнены.

В процессе работы нами изучено и проанализировано 65 научных психолого-педагогических литературных источников.

В теоретической главе работы проведен анализ теоретических основ изучения проблемы взаимосвязи творческих проявлений и социального статуса в группе сверстников у детей старшего дошкольного возраста. В качестве основного вывода следует отметить, - старшая группа детского сада не есть аморфное объединение детей со стихийно складывающимися случайными отношениями и связями. Эти отношения и связи уже представляют относительно устойчивую систему, в которой каждый ребенок в силу тех или иных причин занимает определенное место. Среди них немаловажную роль играют как личностные качества ребенка, различные его навыки и умения, так и уровень общения и взаимоотношений в группе. Положение ребенка в группе сверстников не является постоянным, а может меняться под влиянием многих факторов. Последние педагогические и психологические исследования показывают, какую большую роль на формирование статуса детей в группе сверстников влияют их творческие способности.

Гипотезы, выдвинутые в дипломной работе: Общая: мы предполагаем, что существует взаимосвязь между творческими проявлениями и социальным статусом в группе сверстников детей старшего дошкольного возраста; и частная: мы предполагаем, что частота и яркость творческих проявлений у старших дошкольников связаны с их высоким статусом в группе сверстников - гипотезы - полностью доказаны и математически подтверждены.

Для их подтверждения было проведено эмпирическое исследование, которое состояло из трех этапов, на каждом из которых был использован свой психолого-педагогический метод. Результаты проведенного нами эмпирического исследования показали, что дети, имеющие высокий уровень творческих способностей являются "Звездами", а дети, имеющие низкий уровень развития творческих способностей, по результатам проведенной социометрии, находятся в категориях "Оттесненные" или "Отвергнутые". Полученные результаты были математически доказаны одним из методов корреляционного анализа - коэффициентом Браве-Пирсона.

Следовательно, цель, поставленная нами в данной работе, полностью достигнута.

По окончании исследования мы организовали и провели коррекционно-развивающую программу, направленную на повышение статусного положения дошкольников в группе сверстников (См. Приложение 6).

БИБЛИОГРАФИЯ

1.      Альтшуллер Г. Творчество как точная наука. - М.: Советское радио, 1979. - 191 с.

2.      Ананьев Б.Г. Проблемы способностей - М.: Просвещение, 1962. -106 с.

.        Ананьев Б.Г. Склонности и способности. - Л.: Наука, 1962. - 96 с.

.        Антонова Т. Особенности общения старших дошкольников со сверстниками.//Дошкольное воспитание. - №1/1975. - С. 12-14.

.        Артемьева Т.И. Методологический аспект проблемы способностей. - М.: Наука, 1977. - 183 с.

.        Березина В.Г., Викентьев И.Л., Модестов С.Ю. Детство творческой личности. - СПб.: Издательство Буковского, 1994. - 60 с.

.        Богоявленская Д.Б. Психология творческих способностей. - М.: Академия, 2002. - 292 с.

.        Божович Л.И. Личность и ее формирование в детском возрасте. - М.: Просвещение, 1968. - 308 с.

.        Бурлачук Л.Ф., Морозов С.М. Словарь-справочник по психодиагностике. - СПб.: Питер, 2003. - 528 с.

.        Венгер Л.А. Педагогика способностей - М.: Знание, 1973. - 96 с.

.        Ветлугина Н.А. Художественное творчество и ребенок. - М.: Педагогика, 1972. - 124 с.

.        Волков Б.С., Волкова Н.В. Методы изучения психики ребенка. М.: Академия, 1994. - 296 с.

.        Выготский Л.Н. Воображение и творчество в дошкольном возрасте. - СПб.: Союз, 1997. - 92 с.

.        Выготский Л.С. Умственное развитие детей в процессе обучения - М.: Литература, 1975. - 96 с.

.        Гальтон Ф. Наследственность таланта, ее законы и последствия. СПб.: Наука, 1975. - 45 с.

.        Глас Дж., Стэнли Дж. Статистические методы в педагогике и психологии. - М.: Наука, 1976. - 110 с.

.        Детская практическая психология./Под ред. Богдан Н.Н. Владивосток: Издательство ВГУЭС, 2003. - 116 с.

.        Дружинин В.Н. Экспериментальная психология. - СПб.: Питер, 2003. - 319 с.

.        Дьяченко О.М., Веракса Н.Е. Чего на свете не бывает. - М.: Знание, 1994. - 157 с.

.        Зинкевич-Евстигнеева Т.Д., Грабенко Т.М. Практикум по креативной терапии. - СПб.: Речь, 2001. - 400 с.

.        Ендовицкая Т. О развитии творческих способностей. - Дошкольное воспитание. - №12/1967. - С. 73-75.

.        Заика Е.В. Комплекс игр для развития воображения. - Вопросы психологии. - №2/1993. - С. 54-58.

.        Зверева С.В. Умственная гимнастика или упражнения для развития творческих способностей.//Дошкольная педагогика. - №10/2001. - С. 25-28.

.        Коломенский Я.Л. Психология детского коллектива: Система личных взаимоотношений. - Мн.: Просвещение, 1984. - 190 с.

.        Комарова Т.С. Дети в мире творчества. - М.: Просвещение, 1995. - 195 с.

.        Крылов Е. Школа творческой личности. - Дошкольное воспитание. - №№7,8/1992. - С. 11-20.

.        Крысько В.Г. Словарь по социальной психологии. - СПб.: Питер, 2003. - 416 с.

.        Крысько В.Г. Социальная психология. - М.: ВЛАДОС-ПРЕСС, 2003. - 448 с.

.        Кудрявцев В., Синельников В. Ребёнок - дошкольник: новый подход к диагностике творческих способностей. - №9/1995. - С. 52-59.

.        Кудрявцев В., Синельников В. Ребёнок - дошкольник: новый подход к диагностике творческих способностей. - №10/1995. - С. 62-69.

.        Левин В.А. Воспитание творчества. - Томск: Пеленг, 1993. - 56 с.

.        Леонтьев А.А. Психология общения. - М.: Тарту, 1974. - 98 с.

.        Лисина М.И. Общение ребенка со взрослым как деятельность.//Общение и его влияние на развитие психики дошкольника. - М.: Просвещение, 1974. - 76 с.

.        Ломов Б.Ф. Общение и социальная регуляция поведения. - М.: Просвещение, 1976. - 146 с.

.        Лук А.Н. Психология творчества. - Наука, 1978. - 125 с.

.        Мелик-Пашаев А.А. Педагогика искусства и творческие способности. - М.: Искусство, 1981. - 221 с.

.        Морозов А.В. Социальная психология. - М.: Академический проспект, 2003. - 336 с.

.        Мурашковская И.Н. Когда я стану волшебником. - Рига: Эксперимент, 1994. - 62 с.

.        Мухина В.С. Детская психология. М.: ЭКСМО - Пресс, 2000. - 352 с.

.        Мэй Р. Мужество творить: очерк психологии творчества. - Львов: Инициатива, 2001. - 195 с.

.        Нестеренко А.А. Страна сказок. - Ростов-на-Дону: Издательство ростовского университета, 1993. - 32 с.

.        Николаева Е.И. Психология детского творчества. - СПб.: Речь, 2006. - 220 с.

.        Обухова Л. Детская психология: Теории, факты, проблемы. М.: Академия, 1995. - 360 с.

.        Палашна Т.Н. Развитие воображения в русской народной педагогике. - Дошкольное воспитание. - №6/1989. - С. 69-72.

.        Платонов К.К. Краткий словарь системы психологических понятий. М.: Высшая школа, 1981. - 175 с.

.        Полуянов Д. Воображение и способности. - М.: 3нание, 1985. - 50 с.

.        Пономарев Я.А. Психология творчества и педагогика. - М.: Наука, 1976. - 225 с.

.        Практикум по возрастной и педагогической психологии./Под ред. Щербакова А.И. - М.: Просвещение, 1987. - 255 с.

.        Практикум по детской психологии./Под ред. Урунтаевой Г.А. - М.: Просвещение, 1995. - 291 с.

.        Прохорова Л. Развиваем творческую активность дошкольников. - Дошкольное воспитание. - №5/1996. - С. 21-27.

.        Репина Т.А. Социально-психологическая характеристика группы детского сада. - М.: Просвещение, 1988. - 290 с.

.        Рогов Е.И. Настольная книга практического психолога. В 2 кн. М.: ВЛАДОС - ПРЕСС, Кн 1., 2002. - 384 с.

.        Самарин Ю.А. Проблемы способностей. - М.: Просвещение, 1962. - 402 с.

.        Сенько Т.В. Взаимосвязь положения старших дошкольников в группе сверстников с успешностью их познавательной и элементарной трудовой деятельностью. - М.: Знание, 1984. - 165 с.

.        Сидоренко Е.В. Методы математической обработки в психологии. - СПб.: Речь, 2004. - 350 с.

.        Симановский А.Э. Развитие творческого мышления детей. - Ярославль: Академия развития, 1996. - 192 с.

.        Соловейчик С.Л. От интересов к способностям - М.: Знание, 1968. - 92 с.

.        Справочник по психологии и психиатрии детского и подросткового возраста./Под ред. Циркина С.Ю. - С. Пб.: Питер, 2000. - 752 с.

.        Стернберг Р., Григоренко Е.Л. Учись думать творчески.//Основные современные концепции творчества и одаренности. - М.: Молодая гвардия, 1977. - 295 с.

.        Тейлор К. Психологические тесты и упражнения для детей. - М.: Эксмо, 2002. - 224 с.

.        Тесты для детей./Сост.: М.Н. Ильина, Л.Г. Парамонова, Н.Я. Головнева. - СПб.: Дельта, 1998. - 384 с.

.        Урунтаева Г.А. Дошкольная психология. М.: Академия, 2001. - 336 с.

.        Фолькельт Г. Экспериментальная психология дошкольника. М.: Государственное издательство, 1930. - 180 с.

.        Шаграева О.А. Детская психология: теоретический и практический курс. - М.: Гуманитарный издательский центр ВЛАДОС, 2001. - 368 с.

.        Энциклопедия воспитания и развития дошкольника./Под ред. Башаева Т.В., Васильева Н.Н., Клюева Н.В. - Ярославль: Академия развития, 2001. - 480 с.

ПРИЛОЖЕНИЕ

ПРИЛОЖЕНИЕ 1. МЕТОДИКА №1 "СОЛНЦЕ В КАРМАНЕ"

Основание. Реализация воображения.

Цель. Выявление способностей ребенка к преобразованию "нереального" в "реальное" в контексте заданной ситуации путем устранения несоответствия.

Материал. Картинка с изображением комнаты, в которой находится человечек и солнце; карандаш.

Инструкция к проведению. Психолог, показывая ребенку картинку: "Я даю тебе эту картинку. Посмотри внимательно и скажи, что на ней нарисовано". По перечислении деталей изображения (стол, стул, человечек, лампа, солнышко и т.д.) психолог дает следующее задание: "Правильно. Однако, как видишь, здесь солнышко нарисовано в комнате. Скажи, пожалуйста, так может быть или художник здесь что-то напутал? Попробуй исправить картинку так, чтобы она были правильной".

Пользоваться карандашом ребенку не обязательно, он может просто объяснить, что нужно сделать для "исправления" картинки.

Обработка данных. В ходе обследовании психолог оценивает попытки ребенка исправить рисунок. Обработка данных осуществляется по пятибалльной системе:

1.      Отсутствие ответа, непринятие задания ("Не знаю, как исправить", "Картинку исправлять не нужно") - 1 балл.

2.      "Формальное устранение несоответствия" (стереть, закрасить солнышко) -2 балла.

.        Содержательное устранение несоответствия:

а) простой ответ (Нарисовать в другом месте - "Солнышко на улице") -3 балла;

б) сложный ответ (переделать рисунок - "Сделать из солнышка лампу") - 4 балла;

. Конструктивный ответ (отделить несоответствующий элемент от других, сохранив его в контексте заданной ситуации ("Картинку сделать", "Нарисовать окно", "Посадить солнышко в рамку" и т.д.) -5 баллов.

 

ПРИЛОЖЕНИЕ 2. МЕТОДИКА №2 "СКЛАДНАЯ КАРТИНКА"

Основание. Умение видеть целое раньше частей.

Цель. Определение умения сохранить целостный контекст изображения в ситуации его разрушения.

Материал. Складывающаяся картонная картинка с изображением утки, имеющая четыре сгиба (размер 10 * 15 см).

Инструкция к проведению. Психолог, предъявляя ребенку картинку: "Сейчас я тебе дам эту картинку. Посмотри, пожалуйста, внимательно и скажи, что на ней нарисовано?" Выслушав ответ, психолог складывает картинку и спрашивает: "Что станет с уткой, если мы сложим картинку вот так?"

После ответа ребенка картинка расправляется, снова складывается, а ребенку задается вновь тот же вопрос. Всего применяется пять вариантов складывания - "угол", "мостик", "домик", "труба", "гармошка".

Обработка данных. В ходе обследования ребенка психолог фиксирует общий смысл ответов при выполнении задания. Обработка данных осуществляется по трехбалльной системе. Каждому заданию соответствует одна позиция при сгибании рисунка. Максимальная оценка за каждое задание - 3 балла. Всего - 15 баллов. Выделяются следующие уровни ответов:

1.      Отсутствие ответа, непринятие задания ("Не знаю", "Ничего не станет", "Так не бывает") - 1 балл.

.        Ответ описательного типа, перечисление деталей рисунка, находящихся в поле зрения или вне его, т.е. утеря контекста изображения ("У утки нет головы", "Утка сломалась", "Утка разделилась на части" и т.д.) - 2 балла.

.        Ответы комбинирующего типа: сохранение целостности изображения при сгибании рисунка, включение нарисованного персонажа в новую ситуацию ("Утка нырнула", "Утка заплыла за лодку"), построение новых композиций ("Как будто сделали трубу и на ней нарисовали утку") и т.д. - 3 балла.

Некоторые дети дают ответы, в которых сохранение целостного контекста изображения "привязано" не к какой-либо ситуации, а к конкретной форме, которую принимает картинка при складывании ("Утка стала домиком", "Стала похожа на мостик" и т.д.). Подобные ответы относятся к комбинирующему типу и также оцениваются в 3 балла.

 
ПРИЛОЖЕНИЕ 3. МЕТОДИКА №3 "КАК СПАСИТИ ЗАЙКУ"

Основание. Надситуативно-преобразовательный характер творческих решений.

Цель. Оценка способности и превращение задачи на выбор в задачу на преобразование в условиях переноса свойств знакомого предмета в новую ситуацию.

Материал. Фигурка зайчика, блюдце, ведерко, деревянная палочка. сдутый воздушный шарик, лист бумаги.

Инструкция к проведению. Перед ребенком на столе располагают фигурку зайчика, блюдце, ведерко, палочку, сдутый шарик и лист бумаги. Психолог, беря в руки зайчика: "Познакомься с этим зайчиком. Однажды с ним приключилась такая история. Решил зайчик поплавать на кораблике по морю и уплыл далеко-далеко от берега. А тут начался шторм, появились огромные волны, и стал зайка тонуть. Помочь зайке можем только мы с тобой. У нас для этого есть несколько предметов (психолог обращает внимание ребенка на предметы, разложенные на столе). Что бы ты выбрал, чтобы спасти зайчика?"

Обработка данных. В ходе обследования фиксируются характер ответов ребенка и их обоснование. Данные оцениваются по трехбалльной системе.

Первый уровень. Ребенок выбирает блюдце или ведерко, а также палочку при помощи которой можно зайку поднять со дна, не выходя за рамки простого выбора; ребенок пытается использовать предметы в готовом виде, механически перенести их свойства в новую ситуацию.

Оценка - 1 балл.

Второй уровень. Решение с элементом простейшего символизма, когда ребенок предлагает использовать палочку в качестве бревна, на котором зайка сможет доплыть до берега. В этом случае ребенок вновь не выходит за пределы ситуации выбора.
Оценка - 2 балла.
Третий уровень. Для спасения зайки предлагается использовать сдутый воздушный шарик или лист бумаги. Для этой цели нужно надуть шарик ("Зайка на шарике может улететь") или сделать из листа кораблик. У детей находящихся на этом уровне, имеет место установка на преобразование наличного предметного материала. Исходная задача на выбор самостоятельно превращается ими в задачу на преобразование, что свидетельствует о надситуативном подходе к ней ребенка.
Оценка - 3 балла.
 
ПРИЛОЖЕНИЕ 4. ИЗУЧЕНИЕ ВЗАИМООТНОШЕНИЙ МЕЖДУ ДЕТЬМИ В ГРУППЕ ДЕТСКОГО САДА

Цель исследования. Изучить взаимоотношения детей старшего дошкольного возраста в группе детского сада.

Подготовка исследования. Подготовить переводные картинки (красочные, сюжетные), по 3 штуки на каждого ребенка и 6-8 запасных.

Проведение исследования. Исследование проводят с детьми старшего дошкольного возраста в виде игры "Секрет" в первую половину дня вместо занятий. Каждого ребенка "по секрету" от остальных просят по собственному выбору подарить подложенные ему 3 картинки трем детям группы. Игру проводят двое взрослых, не работающих в группе (воспитатель другой группы, методист или заведующий). Ее можно провести в раздевальной комнате здесь ставят подальше друг от друга 2 детских столика с двумя стульчиками у каждого эксперимента ребенку говорят: "Сегодня дети вашей группы будут играть в интересную игру, которая называется "Секрет". По секрету, что бы никто не знал, все будут дарить красивые картинки". Для облегчения выполнения задания можно сказать ребенку: "Ты будешь дарить ребятам, а они наверное, подарят тебе". Далее ребенку дают 3 картинки и говорят: "Ты можешь положить их тем детям, которым ты хотел бы их подарить, только каждому по одной. Можешь положить и тем детям, которых нет сегодня".

Обработка данных.

Статусные категории:

-8 выборов - "Звезды";

-6 выборов - "Предпочитаемые";

-3 - "Оттесненные";

Ни одного выбора - "Отверженные".

ПРИЛОЖЕНИЕ 5. ПРОТОКОЛ ПРОВЕДЕННОЙ ПОСЛЕ ЭКСПЕРИМЕНТА БЕСЕДЫ С ДЕТЬМИ ЭКСПЕРИМЕНТАЛЬНОЙ ГРУППЫ

А) Отзывы детей о "Звездах" группы, выбравшие их

Эдик о Вадике: "Он настоящий друг, поможет всегда, мы с ним дружим. Наши папы работают в милиции, а мы с ним дружим. Он хорошо играет в настольный хоккей и футбол. Мне нравится с ним играть".

Женя о Ане сказала, что она хорошая подруга. Они с ней дружат. А еще она красиво поет и танцует делится игрушками, знает много сказок, стихов, нам рассказывает. Она всегда слушает маму дома, а здесь воспитателей.

Б) Беседа с воспитателем о "Звездах" группы

Аня - послушная девочка, исполнительная, хорошо отвечает на занятиях. У нее много друзей. Но, как мне кажется, она все-таки больше общается с Женей. Старательная сама и помогает другим. Она может увлечь за собой, какую-то игру организовать играть, помочь кому-то в любом трудном деле.

Вадик - подвижный мальчик, веселый, на занятиях отвечает правильно. Очень любит занятия по изодеятельности, то есть любит что-нибудь мастерить. У него хорошо получается это. Добрый, к товарищам относится хорошо, не грубит взрослым. Старательный, доводит начатое дело до конца и помогает другим. У Вадика много друзей.

г) Беседа с родителями о "Звездах" (их детях)

Папа об Ане. Послушная девочка, помогает маме, со своей сестрой дружат, так как в семье растут две девочки, а Аня младшая, то она старается быть похожей на свою сестру Наташу. У них много друзей. Некоторые приходят к нам домой. Как-то я спросил у дочки, с кем она дружит в группе, а она ответила, что с Женей, а еще у меня другие друзья. Мы все дружим, играем.

Мама об Ане. Она с Наташей помогает мне по дому, моет посуду, подметает пол. У нее много друзей. Аня любит сказки, часто просит рассказать или прочитать меня или сестру Наташу. Она много задает интересующих ее вопросов, очень любознательная, все хочет знать.

Папа о Вадике. Он любит мастерить игрушки из бумаги, песка, кубиков и конструктора, а также рисует много разных рисунков. К нему приходят играть еще многие ребята. Играют дружно, не ссорятся. Вадик сам не обманывает, не любит когда кто-то говорит неправду ему. Любит рассказывать интересные случаи, которые у них происходят во время игры.

Мама о Вадике. Вадик старший ребенок в семье, поэтому он мне помогает во всем. Гуляет с Аленкой на улице. Я спокойна за них, потому, что он добрый, внимательный, всегда сестре помогает, если что-то ей не под силу. У него много друзей бывает дома. Они все вместе играют, не ссорятся

ПРИЛОЖЕНИЕ 6. ОРГАНИЗАЦИЯ И ПРОВЕДЕНИЕ КОРРЕКЦИОННО-РАЗВИВАЮЩЕЙ ПРОГРАММЫ

Исходя из полученных нами во время эмпирического исследования результатов, учитывая требования Программы воспитания и обучения в детском саду, основываясь на исследованиях и разработках данной проблемы: А.А. Леонтьева, Я.Л. Коломенского, Т.В. Сенько, Д.Б. Эльконина, Т.В. Драгуновой, М.И. Лисиной, Р. Селман, Т.А. Репиной, а также используя материалы с сайтов всемирной сети Интернет, был разработан и применен на практике коррекционно-развивающий методический комплекс.

Работа проводилась нами в течение трех месяцев.

Поскольку в старшем дошкольном возрасте ведущей остается все еще игровая деятельность, а ведущими потребностями ребенка - потребность в самодетерминации ("Я сам способен сделать многое!"), потребность в новых впечатлениях ("Что? Как? Почему? - огромное количество вопросов, которые задает ребенок), и, конечно же, продолжает развиваться потребность в общении, то в основе всего составленного нами методического комплекса, направленного на коррекцию статуса детей в группе сверстников, лежали специально подобранные игры и упражнения.

В процессе работы мы использовали такие психологические игры на развитие коммуникативных умений детей и повышение их статуса в группе как: "Иностранец", "Через стекло", "Изобрази сказку", "Зеркало", "Страна X", "Разыгрывание ситуаций", "Имя", "Карикатура", "Взаимоотношения" и многие другие.

Опишем немного подробнее некоторые из вышеперечисленных игр.

Игра "Через стекло"

Мы предлагали детям сказать что-либо друг другу жестами, представив, что они отделены друг от друга стеклом, через которое не проникают звуки. Темы для разговора детям предлагались такие: "Ты забыл надеть шапку, а на улице очень холодно", или: "Принеси стакан воды, я хочу пить" и т.п., либо дети сами придумывали свое сообщение. После игры мы выясняли, насколько точно и правильно дети поняли друг друга, и обсуждали, что чувствовали они при передаче сообщений, легко ли им было.

Игра "Изобрази сказку"

Играют две команды. Одна команда задумывает какую-либо известную сказку или мультфильм и пытается изобразить ее без слов. А другая группа должна догадаться, какая это сказка и кто кого изображает. Задание можно усложнить тем, что с помощью мимики и пантомимики изображать не только героев, но и вещи, которые им принадлежат.

В этой игре важно предварительно договориться о совместном показе сказки, а потом уже координировать свои действия друг с другом без слов.

Игра "Походки"

А) Детям предлагается изобразить походки различных людей и животных, например, походить, как глубокий старик, как маленький ребенок, как клоун в цирке, как лев, как котенок, как медведь и т. п. Варианты походок дети могут придумать сами.

Б) Возможен другой вариант этой игры, когда дети по походке стараются угадать, кого хотели изобразить.

Необходимо отметить, что данная игра была очень важна в процессе нашей работы, так как она предназначается для снятия напряжения, эмоционального раскрепощения детей. Особенно важна она была для оттесненных и отвергнутых детей.

Игра "Страна X"

Это упражнение предусматривает совместное рисование детей на большом листе бумаги. Предлагается вместе придумать свою страну, дать ей название и нарисовать. Каждый ребенок рисует на общей картине то, что хочет.

Это упражнение дает возможность каждому ребенку участвовать в общей деятельности, помогает увидеть, какое место занимает ребенок в группе.

Игра "Спина к спине"

Дети садятся спиной друг к другу. Задача - договориться о чем-нибудь или рассказать что-нибудь друг другу. После упражнения дети делятся впечатлениями и ощущениями.

В ходе игры мы помогали детям, задавая вопросы типа: "Было ли вам удобно?", "Не хотелось ли что-нибудь изменить?".

Эта игра направлена на то, чтобы развить умение детей договариваться друг с другом, и показывает, как важно для этого видеть своего собеседника.

В процессе своей работы мы пользовались также методом сказкотерапии, основываясь и используя сказки Санкт-Петербургских психологов Т.Д. Зинкевич-Евстигнеевой, Т.М. Грабенко, О. Коношенко.

Нами были прочитаны и разобраны с детьми такие сказки как: "Сказка про дракончика Гошу", "Сказка о том, как тучка друзей себе искала", "Сказка о самом сокровенном желании" и многие другие.

Поскольку старшие дошкольники имеют весьма различные психологические особенности, большой акцент в системе работы уделялся потенциальным возможностям каждого ребенка, а также осуществлялся индивидуальный подход к воспитанию и развитию детей.

В процессе проведения коррекционно-развивающей программы наблюдался возрастающий интерес детей к ежедневным занятиям. Родители отмечали желание детей использовать выученные игры и упражнения вне стен детского сада, а также отмечали повышение уровня коммуникативности детей и их статуса в группе детского сада.

Кроме того, в процессе своей работы мы, конечно же, не забывали и про развитие творческих способностей у детей. Для их развития мы также использовали специальные подобранные игры и упражнения.

Вот некоторые из этих игр.

Игра "Рассказ по картинкам"

Мы предлагали ребенку придумать рассказ, используя ряд картинок. Ребенок должен был придумать весь рассказ, либо только его продолжение.

Упражнение "Составь комикс"

Мы предлагали ребенку составить комикс. Для этого он мог использовать готовые картинки, или нарисовать их сам.

Игра "Музыка"

Мы прелагали детям прослушать определенную музыку. После прослушивания музыки детям давались четыре краски: красная, зеленая, синяя, желтая. Каждый ребенок должен был, используя эти краски, изобразить услышанную музыку и озаглавить рисунок.

Неоконченный рисунок.

Мы предлагали ребенку ряд кружочков (линий, квадратиков, крестиков и т.п.). Его задача была из каждого кружочка изобразить, используя различные элементы, какие-либо образы. Повторяться нельзя.

Игра "Натюрморт"

Мы предлагали детям нарисовать натюрморт на заданную тему. Обычно художники рисуют натюрморт с натуры, ребенок же должен был нарисовать его по памяти. Ориентировочные темы: "Бабочка на распустившемся цветке", "Яблоко на фарфоровом блюде", "Чашка. Возле нее еловая ветка", "Осенние листья на холодной земле".

Игра "Рифмоплет"

Сначала мы предлагали ребенку придумать слова, окончания которых звучали бы одинаково (например, палка - галка). Затем предлагали сочинить двустишья на заданные рифмы, потом ребенок должен был подобрать рифму и закончить заданные двустишья. В завершение игры просили ребенка сочинить стихотворение неограниченной длины, используя как можно больше наработанных рифм.

Игра "Придумай название"

Мы предлагали ребенку придумать как можно больше названий для рассказа, сказки или рисунка. Можно было использовать для названий пословицы, поговорки, крылатые фразы.

Игра "Превращения".

Берется простой предмет, например, стакан. С помощью мимики, пантомимики, имитации действий с этим предметом, его нужно превратить в совершенно другой. Так, стакан превращается в вазу, носовой платок - в скатерть, ручка - в нож.

Игра "Изобретатель"

Мы просили ребенка:

-        придумать несуществующий прибор, необходимый в домашнем хозяйстве,

-        придумать необычные способы использования обычных предметов.

         Следует отметить, что вышеперечисленные игры с детьми проводились как в коллективной форме, так и индивидуально.

Похожие работы на - Творческие проявления у старших дошкольников

 

Не нашли материал для своей работы?
Поможем написать уникальную работу
Без плагиата!
Без нейросетей!