Ишимбайская подстанция электроэнергетического комплекса
Министерство образования Республики
Башкортостан
ГОУ СПО Уфимский
топливно-энергетический колледж
Специальность 140206
Пояснительная записка к курсовому
проекту
Руководитель
Л.А. Сидорова
Разработчик
А.М. Саитбаталова
Введение
В данном проекте рассматривается сеть 110 кВ и подстанцию 110/6 кВ.
Электрическими сетями называется совокупность воздушных и кабельных линий
электропередачи и подстанции, работающих на определенной территории.
Электрическая сеть служит для передачи электроэнергии от места ее производства
к местам потребления и распределения ее между потребителями.
Электроэнергетика является основой развития производственных сил в любом
государстве. Энергетика обеспечивает бесперебойную работу промышленности,
сельского хозяйства, транспорта, коммунальных хозяйств. Стабильное развитие
любой отрасли промышленности невозможно без постоянно развивающейся энергетики.
Подстанция - электроустановка, предназначенная для преобразования и
распределения электрической энергии. Проектируемые сеть и подстанция будут
располагаться в Ишембае.
Ишимба́й (башк.
<#"518673.files/image001.gif">
, (1)
где,
- максимальная расчетная мощность, МВА.
-
номинальная мощность трансформатора, МВА.
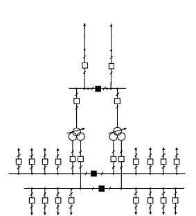
РУ ВН 110 кВ
РУ НН 6 кВ
Рис.
1. - Вариант структурной схемы подстанции
2.
Выбор мощности силовых трансформаторов
подстанция трансформатор ток замыкание
, (2)
, (3)
, (4)
где,
- номинальное напряжение высокой стороны
трансформатора, кВ;
-
номинальное напряжение низкой стороны трансформатора, кВ;
-
номинальная мощность трансформатора, МВА;
-
напряжение на шинах распределительного устройства, кВ;
-
расчетная мощность передаваемая через трансформатор, МВА.
Расчетная
мощность
, МВА, определяется по формуле (1).
Максимальная
мощность на соответствующем напряжении определяется по формуле:
, (5)
Где,
- активная мощность на низком напряжении, МВт;
-
коэффициент мощности.
Проверка
выбранного трансформатора по перегрузке производится по формуле:
(6)
Расчет
варианта
Максимальная
мощность на низком напряжении определяется по формуле (5):
=
МВА,
По
условию
=0,7*
=0,7*31,8=27,2 МВА.
Выбирается
по Б.Н. Неклепаеву (стр. 210) трансформатор типа ТРДН-25000/110
Проверка
выбранного трансформатора выполняется по условию (2)-(4).
кВ>110
кВ,
кВ>6
кВ,
МВА>27,2
МВА.
Проверка
выбранного трансформатора по перегрузке производится по формуле (6):
,
,272<1,4.
Таблица
1. - Технические данные трансформатора
|
Тип трансформатора
|
, МВА ,
кВПотери, кВ , %
|
|
|
|
|
|
ВН
|
СН
|
НН
|
 ВН-СНВН-ННСН-НН
|
|
|
|
|
|
ТРДН
|
25
|
115
|
-
|
6,3
|
27
|
120
|
-
|
10,5
|
-
|
3. Определение числа линий
Определение числа линий на воздушных линиях высокого напряжения 110 кВ.
Данная подстанция связана с системой по двум воздушным линиям.
Определение числа линий на кабельных линиях 6 кВ.
Расчет числа линий на НН производится по экономической плотности тока.
Максимальный
расчетный ток продолжительного режима
,А,
определяется по формуле:
(7)
Суммарное
экономическое сечение провода
,
, определяется по формуле:
, (8)
где,
- экономическая плотность тока выбирается по Л.Д.
Рожковой (стр. 233), А/
Число
линий n определяется по формуле:
(9)
Где,
- экономическое сечение одной линии, выбирается по
ПУЭ (стр. 33),
.
Максимальный
продолжительный ток одной линии
, А,
определяется по формуле:
, (10)
Выбранный
кабель проверяется по длительно допустимому току, по условию
Iд.доп. > Iмах1л. (11)
Где,
- длительно допустимый ток берется по ПУЭ (стр. 33),
А.
Расчет
числа линий на НН.
Расчет
числа линий на НН производится по экономической плотности тока;
Максимальный
расчетный ток продолжительного режима определяется по формуле (7):
=
А
Суммарное
экономическое сечение провода определяется по формуле (8):

Питание
потребителей на низком напряжении осуществляется по кабелям с алюминиевыми
жилами, с бумажной пропитанной, маслоканифольной и нестекающими массами
изоляций свинцовой оболочки, с сечением токопроводящих жил 150
.
Число
линий n определяется по формуле (9):

л
Принимаем
число линий равное десять.
Максимальный
продолжительный ток одной линии определяется по формуле (10):

А.
Выбранный
кабель проверяется по длительно допустимому току, по условию (11):
А
192 А
Для
уменьшения токов короткого замыкания с низкой стороны устанавливаем сдвоенные
реакторы.
Iмах6=2900 А
Выбираю
сдвоенный реактор типа РБСГ-106-2*1000*0,28
4.
Выбор схем распределительных устройств (РУ)
Выбор
на стороне ВН 110 кВ
Эта
подстанция является узловой, она имеет 4 присоединений, две воздушных линий и
два трансформатора
Исходя
из этих условий выбираю следующую схему:
“Одна
рабочая, секционированная выключателем система шин”.
Выбор
на стороне НН 6 кВ
Эта
подстанция является узловой, она имеет 12 присоединений, десять кабельных линий
и два трансформатора
Исходя
из этих условий выбираю следующую схему:
“Две
одиночные секционированная выключателем система шин”.
5.
Технико-экономический расчет
Технико-экономический
расчет производится по методу приведенных затрат.
Затраты,
тыс.руб., которые определяется по формуле:
З=К
+С; (12)
где
К - капитальные затраты на приобретенный монтаж и наладку оборудования берутся
по Б.Н. Неклепаеву (стр. 191), тыс. руб.;
- нормативный
коэффициент эффективности который зависит от срока окупаемости и для энергетики
равен 0,12;
С
- эксплуатационные расходы, тыс.руб.
Эксплуатационные
расходы С, тыс.руб., определяется по формуле:
С=
С1 + С2; (13)
где,
С1 - стоимость потерь на электрическую энергию, тыс.руб.;
С2
- амортизационные отчисления на ремонт и обслуживание оборудования, стоимость
расходов на заработную плату.
Стоимость
потерь на электрическую энергию
, тыс.руб.,
определяется по формуле:
С1
=
*
; (14)
где,
- стоимость 1 кВт/ч потерянной энергии определяется по
М.Н. Околовичу (стр. 79), коп/
;
- потери
электрической энергии в трансформаторах, кВт/ч.
Потери
электрической энергии в трехобмоточном трансформаторе определяется по формуле:
(15)
Где,
- максимальная мощность передаваемая по обмотке ВН;
-
максимальная мощность передаваемая по обмотке СН;
-
максимальная мощность передаваемая по обмотке НН.
Стоимость
С2, тыс.руб., определяется по формуле:
С2
=0,09 К (16)
При
расчете капитальных затрат К, тыс.руб., учитывается только разница в
оборудовании, рассматриваемых вариантов.
Расчет
Капитальные
затраты определяются по стоимости отдельных элементов схемы подстанций. Расчет
стоимости трансформаторов из Л.Д. Рожковой (стр. 336-338), стоимости ячеек РУ
разного напряжения из Л.Д. Рожковой (стр. 333-334)
Данные
расчетов капитальных затрат сведены в таблицу.
Таблица
2. - Капитальные затраты
|
Оборудование
|
Стоимость ед. тыс. руб.
|
Количество
|
Суммарная стоимость
|
|
ТРДН-25000/110
|
84*30
|
2
|
5040
|
|
Ячейка ОРУ 110 кВ
|
36*30
|
2
|
2160
|
|
Ячейка ОРУ 6 кВ
|
3,9*30
|
24
|
2808
|
|
ИТОГО
|
|
|
10008
|
Потери электрической энергии в трехобмоточном трансформаторе определяется
по формуле (15):
кВт/ч
Стоимость
потерь на электрическую энергию, тыс.руб., определяется по формуле (14):
С
1 =2*80*738000*0,00001=1180,8 т.руб.
Стоимость
С2, тыс.руб., определяется по формуле (16):
С
2 =0,9*10008=9007,2 т.руб.
Эксплуатационные
расходы., определяется по формуле (13):
С=
1180,8 +9007,2 =10188 т.руб.
Затраты,
тыс.руб., которые определяется по формуле (12):
З=0,12*10008+10188=11388,96
т.руб.
6.
Выбор схемы электрического снабжения собственных нужд и
трансформаторов
собственных нужд
На
подстанциях устанавливается два трансформатора собственных нужд. На подстанциях
с оперативным током устанавливается трансформаторы собственных нужд,
присоединенные через выключатели к шинам РУ 6 кВ. Мощность трансформаторов
собственных нужд выбирается по нагрузкам собственных нужд с учетом коэффициента
загрузки и одновременности, при этом отдельно учитываются летние и зимние
нагрузки, а так же нагрузка в период ремонтных работ на подстанциях.
Мощность
трансформаторов собственных нужд
, кВА,
выбирается по условию:
(17)
Расчетная
мощность
,кВА, определяется по формуле:
(18)
где,
- коэффициент спроса, учитывающий коэффициент одновременности
и загрузки, берется по Л.Д. Рожковой (стр. 475)
,
- расчетные нагрузки собственных нужд с учетом летних
и зимних нагрузок, кВт и кВАР.
Выбор
Таблица
3. - Нагрузка собственных нужд подстанций
|
Вид потребителя
|
Установленная мощность
|
 Нагрузка
|
|
|
|
Единиц кВт*количество
|
Всего кВт
|
|
|
,кВт ,кВАР
|
|
|
Охлаждение ТДТН 25000/110
|
2*2,5
|
5
|
0,9
|
0,48
|
5
|
1,3
|
|
Подогрев приводов
выключателей: 110 кВ
|
1,8*2
|
3,6
|
1
|
0
|
3,6
|
0
|
|
Подогрев приводов
разъединителей: 110 кВ
|
0,6*6
|
3,6
|
1
|
0
|
3,6
|
0
|
|
Отопление, освещение,
вентиляция ЗРУ совмещенная с ОПУ
|
100
|
100
|
1
|
0
|
100
|
-
|
|
Здание разъездного
персонала
|
-
|
5,5
|
0,85
|
0,62
|
4,5
|
2,8
|
|
Освещение ОРУ 110 кВ
|
2
|
2
|
1
|
0
|
2
|
-
|
|
Масло хозяйство
|
-
|
100
|
0,85
|
0,62
|
85
|
52,7
|
|
Подзарядный агрегат
|
2*23
|
46
|
1
|
0
|
46
|
-
|
|
Аварийные ремонтные
нагрузки
|
-
|
26
|
0,85
|
0,62
|
22,1
|
13,7
|
|
Итого
|
|
|
|
|
271,8
|
70,5
|
кВА.
Выбирается
2 трансформатора по Б.Н. Неклепаеву типа ТСЗ-240/10, они будут подключены к
шинам НН.
Проверка
выбранного трансформатора производится по условиям (2)-(4).
кВ
= 6 кВ,
,4
кВ = 0,4 кВ,
кВА
> 280,8 кВА.
Проверка
выбранного трансформатора перегрузке производится по формуле (6):
,17
1,4
7. Расчет токов короткого замыкания
Расчет
токов короткого замыкания в данном проекте необходим для выбора и проверки
выключателей, разъединителей, измерительных трансформаторов, токоведущих
частей, расчета релейной защиты и заземляющего устройства. Он сводится к
определению начального значения периодической составляющей тока КЗ, величины
ударного тока и значений периодической и апериодической составляющих тока КЗ в
момент отключения (момент времени
).
Для
упрощения расчетов не учитывают:
- активное сопротивление цепи, считая его чисто индуктивным;
- насыщение магнитных систем;
намагничивающие токи силовых трансформаторов;
Не идеальность системы.
Расчетная схема подстанции
Под расчетной схемой подстанции понимают упрощенную однолинейную схему
станции с указанием всех элементов и их параметров, которые влияют на ток КЗ и
поэтому должны быть учтены при выполнении расчетов.
Схема замещения подстанции
Схемой замещения называется электрическая схема, соответствующая по исходным
данным расчетной схеме, но в которой все магнитные (трансформаторные), связи
заменены электрическими.
Расчет сопротивлений
Расчет сопротивлений производится в именованных единицах. Все
сопротивления приводятся к базовому напряжению Uб =115 кВ
Сопротивление
энергосистемы
определяется по формуле:
(19),
где,
Uб - базовое напряжение, МВА.
,
Ом
Сопротивление
линии электрических передач определяется по формуле:
(20)
где,
- среднее удельное индуктивное сопротивление
воздушной линии, берется по Л.Д. Рожковой (стр. 130), Ом/км,
- длина
линии, км,
-
среднее напряжение в месте установки данного элемента, кВ.
,Ом;
Хл=Х2=
Х3 =8 Ом.
Сопротивление
трансформатора
определяется по формуле:
(21)
;
;
;
=
Ом;
Ом;
Расчет токов короткого замыкания в точке К1. (Шины 110 кВ)
=
=4 Ом;
=
=10,6 Ом;
Таким
образом начальное значение периодической составляющей токов короткого
замыкания,
, кА, определяется по формуле:
(22)
где,
- относительное ЭДС источника, берется по Л.Д.
Рожковой,
-
результирующие сопротивление ветви схемы;
-
базовый ток, кА.
Базовый
ток определяется по формуле:
(23)
где,
- среднее напряжение в точке короткого замыкания.,
кВ.
Апериодическая
составляющая тока короткого замыкания
, кА,
определяется по формуле:
(24)
где,
- определяется по кривым затухания апериодической
составляющей тока короткого замыкания по Л.Д. Рожковой (стр. 151).
Расчетное
время для которого требуется определение токов короткого замыкания
, с, определяется по формуле:
(25)
где,
- собственное время выключателя, с.
Для
современного выключателя собственное время выключения равно:
=0,01
0,05
Ударный
ток короткого замыкания
, кА, определяется по формуле:
(26)
где,
- ударный коэффициент, выбирается по Л.Д. Рожковой
(стр. 150).
Периодическая
составляющая тока короткого замыкания
, для
источника бесконечной мощности определяется по формуле:
(27)
кА
кА
кА
кА
Все
оставшиеся точки короткого замыкания рассчитываются аналогично первой точке.
Все результаты расчетов занесены в таблицу.
Таблица
4. - Результаты расчетов тока
|
Точка короткого замыкания
|
, кА , кА , кА , кА
|
|
|
|
|
К1. Шины 110 Кв
|
6,3
|
0,89
|
14,3
|
6,3
|
|
К2. Шины 6 кВ
|
Выключатель отключен
|
24,2
|
6,2
|
64,9
|
24,2
|
|
Выключатель включен
|
37,5
|
7,9
|
100
|
37,5
|
8. Выбор электрических аппаратов
В пределах одного РУ Электрические аппараты выбирают по самому мощному
присоединению.
Выбор выключателей.
Выключатели выбирают по следующим условиям:
(28)
(29)
(30)
(31)
Выбранные
выключатели проверяется по условиям:
На
симметричный ток отключения.
(32)
-На
возможные отключения апериодической составляющей тока к.з.
(33)
(34)
На
электродинамическую стойкость:
(35)
На
термическую стойкость
(36)
(37)
(38)
где,
- среднеквадратичное значение тока, за время его
протекания (ток термической стойкости) выбирают по каталогам выключателей, кА;
-
длительное протекание тока термической стойкости, выбирается по каталогам
выключателей, с.
Если
условие 37 выполняется, а условие 38 не соблюдается, то
допускается проверка по отключающей способности,
производимая по полному току короткого замыкания:
(39)
Выбор
разъединителей.
Разъединители
выбираются по следующим условиям:
(40)
(41)
(42)
Выбранные
разъединители проверяются по следующим условиям:
На
электродинамическую стойкость:
(43)
На
термическую стойкость
(44).
Выбор
электрических аппаратов на напряжение 110 кВ.
Рассчитывается
максимальный ток на стороне 110 кВ.
А
=2*294,5=589
А
Выбирается
выключатель типа ВГБУ-110, и разъединитель типа РГД-110/1000
Таблица
5. - Выбор электрических аппаратов на напряжение 110 кВ
=
3= 4800 к
с;
=
=2976,8 к
с;
=
к
с;
кА.
Выбор
электрических аппаратов на напряжение 6 кВ.
Рассчитывается
максимальный ток на стороне 6 кВ
, А
Imax =2*1408=2816
Выбирается
выключатель типа ВВУ СЭЩ П 10-80/3150.
Таблица
6. - Выбор электрических аппаратов на напряжение 6 кВ
|
Расчетные данные
|
Каталожные данные
|
|
Выключатель ВВУ СЭЩ
П 10-80/3150
|
Разъединитель
|
|
=6 кВ =10 кВ
|
|
|
|
=2816А =3150 А
|
|
|
|
=37,5 кА =80 кА
|
|
|
|
=100 кА =104 кА
|
|
|
|
=98,5 к с =4800 к с
|
|
|
|
=7,39 кА =33,84
кА
|
|
|
Разъединители в данном случае не выбираются так как они
входят в комплект КРУ.
Условие 38 не соблюдается,поэтому выполняется проверка по
полному току короткого замыкания по условию:
,24>88,775
9.
Выбор токоведущих частей
Выбор
токоведущих частей РУ-110 кВ.
Токоведущие
части РУ выполняется проводами АС.
Сечение
гибких шин выбирается по допустимому току, по условию:
(45)
Выбираем
провод по Б.Н. Неклепаеву (стр. 428) марки АС 240/32 d=21,6 мм.
Проверка
провода по условию 50
605 А>589 А
Проверка
шин на схлестывание не производится, так как
< 20
кА.
Проверка
на термическое действие тока короткого
замыкания не производится, так как шины
выполняются голыми проводами на открытом воздухе.
Проверка
провода на коронирование производится по условию:
,07E
0.9
(46)
где,
Е - напряженность электрического поля около поверхности нерасщепленного
провода, кВ;
-
начальное критическое напряжение электрического поля, кВ/см.
Напряженность
электрического поля около поверхности нерасщепленного провода, кВ/см,
определяется по формуле:
(47)
где,
- линейное напряжение, кВ;
- радиус
провода, см;
- среднее
геометрическое расстояние между проводами фаз, см.
При
горизонтальном расположении фаз среднее расстояние
, см, определяется по формуле:
=1,26 Д
где,
Д - расстояния между соседними фазами
=
см
кВ/см
Максимальное
значение начальной критической напряжения, электрического поля
, кВ/см, определяется по формуле:
(48)
где,
m - коэффициент учитывающий шероховатость поверхности
провода, берется по Л.Д. Рожковой (стр. 237)
m=0,82
кВ/см
.
Выбор
токоведущих частей для РУ-6
кВ.
Определяем
расчетные токи продолжительных режимов
, А, по
формуле:
(49)
А;
А;
Выбираем
сечение алюминиевых шин по допустимому току, принимаются шины коробчатого сечения 2
(175
80
80)
.
Проверяем
шины на термическую стойкость:
(50)
2440мм2
>109,1 мм2
Минимальное сечение по условию термической стойкости меньше
выбранного сечения следовательно шины термически стойки
Проверка сборных шин на механическую прочность
производится по формул:
(51)
,
МПа;
=3,52
МПа <
=75 МПа
Шины механически прочны.
10.
Выбор измерительных трансформаторов
Выбор
трансформаторов тока.
Трансформаторы
тока выбираются по следующим условиям:
(52)
(53)
(54)
по
конструкции и классу точности
Трансформаторы
тока проверяются:
по
электродинамической стойкости
(55)
по
термической стойкости
(56)
по
вторичной нагрузки
(57)
где,
- номинальная допустимая нагрузка ТА в выбранном
классе точности, Ом.
-
вторичная нагрузка ТА, Ом.
Вторичная
нагрузка ТА определяется по формуле:
(58)
(59)
где,
- номинальная вторичная нагрузка ТА, Ом;
-
вторичный ток ТА, А.
Сопротивление
приборов
, Ом, определяется по формуле:
(60)
Где,
- мощность потребления приборами, ВА.
Сопротивление
соединительных проводов
, Ом, определяется из формулы:
(61)
Где,
- сопротивление контактов выбирается по Л.Д. Рожковой
(стр. 374), Ом.
Сечение
соединительных проводов S,
,
определяется по формуле:
(62)
Где,
- удельное сопротивление материала провода,
.
-
расчетная длинна проводов, берется по Л.Д. Рожковой (стр. 375), м.
Выбор
трансформаторов тока для РУ-110 кВ.
Трансформаторы
тока не выбирается, так как они встроены в вводы выключателя.
Трансформатор
тока устанавливается с первичным током 600 А.
ТВ-110-600/5
=25 ВА;
=600 А.
Таблица
7. - Вторичная нагрузка ТА
|
Наименование прибора
|
Тип
|
Нагрузка, ВА
|
|
Амперметр
|
Н-394
|
0,5
|
|
Ваттметр
|
Д-335
|
0,5
|
|
Варметр
|
Д-335
|
0,5
|
|
Счетчик активный и
реактивный
|
СЭТ-4ТМ.02
|
0,3
|
|
Итого
|
|
1,8
|
Ом;
Ом;
Ом;
;
Принимаем
сечение КВВГ-2,5
Ом;
Ом;
Ом
>0,872 Ом.
Выбор
трансформаторов тока для РУ-6 кВ.
Выбирается
трансформатор тока ТШЛ 10-3000.
=20 ВА;
=3000 А.
Таблица
8. - Вторичная нагрузка ТА
|
Наименование прибора
|
Тип
|
Нагрузка, ВА
|
|
Амперметр
|
Н-394
|
0,5
|
|
Ваттметр
|
Д-335
|
0,5
|
|
Варметр
|
Д-335
|
0,5
|
|
Счетчик активный и
реактивный
|
СЭТ-4ТМ.02
|
0,3
|
|
Итого
|
|
1,8
|
Ом;
Ом;
Ом;
Принимаем
сечение КВВГ-2,5
Ом;
Ом;
,8
Ом >0,174 Ом.
Выбор
ТА на отходящих линиях.
Выбираем
ТА типа ТОЛ-200/5.
=10 ВА;
=200 А.
Таблица
9. - Вторичная нагрузка ТА
|
Наименование прибора
|
Тип
|
Нагрузка, ВА
|
|
Амперметр
|
Н-394
|
0,5
|
|
Счетчик активный и
реактивный
|
СЭТ-4ТМ.02
|
0,3
|
|
Итого
|
|
0,8
|
Ом;
Ом;
Ом;
Принимаем
сечение КВВГ-2,5
Ом;
Ом;
,4
Ом >0,102 Ом.
11.
Выбор ТV (трансформаторов напряжения)
ТV
выбирается по следующим условиям:
по
напряжению установки
(63)
конструкции
и схеме соединения обмоток;
классу
точности;
вторичной
нагрузки:
(64)
Где,
- номинальная мощность в выбранном классе точности,
ВА,
-
нагрузка всех измерительных приборов, присоединенных к ТV.
Выбор
TV для РУ 110 кВ.
Выбирается
трансформатор напряжения типа НКФ-110.
Вторичная
нагрузка трансформатора напряжения приводится в таблице.
Таблица
10. - Вторичная нагрузка TV
|
Приборы и наименования
цели.
|
Тип прибора.
|
Потребительская мощность,
В.А.
|
Количество приборов
|
, ВА
|
|
Сборные шины:
Регистрирующий вольтметр Вольтметр с переключением Частотомер
|
Н - 394 Э - 335 Э-362
|
10 2 1
|
1 1 1
|
10 2 1
|
|
Линии 110 кВ: Ваттметр
Варметр Счетчик ФИП
|
Д - 335 Д - 304 СЭТ - 4 ТМ
02.2 ФИП
|
1,5 2 1,5 3
|
2 2 2 2
|
3 4 3 6
|
|
Трансформатор
|
-
|
-
|
-
|
-
|
|
Обходной выключатель:
Ваттметр Варметр Счетчики ФИП
|
Д - 335 Д - 304 СЭТ - 4 ТМ
02.2 ФИП
|
1,5 2 1,5 3
|
1 1 1 1
|
1,5 2 1,5 3
|
|
Итого:
|
|
29
|
|
38
|
ВА > 38 ВА.
Выбор трансформатора для РУ 6 кВ.
Выбирается ТV типа ЗНОЛ - 6 кВ
Вторичная нагрузка ТV
приводится в таблице.
Таблица 11. - Вторичная нагрузка ТV
|
Приборы и наименования
цели.
|
Тип прибора.
|
Потребительская мощность,
В.А.
|
Количество приборов
|
, ВА
|
|
Сборные шины:
Регистрирующий вольтметр Вольтметр с переключением
|
Н - 394 Э - 335
|
16 2
|
1 1
|
16 2
|
|
Линии 10 кВ: Счетчик
|
СЭТ - 4 ТМ 02.2
|
1,5
|
10
|
15
|
|
Трансформатор: Ваттметр
Варметр Счетчики
|
Д - 335 Д - 304 СЭТ - 4 ТМ
02.2
|
1,5 2 1,5
|
1 1 1
|
1,5 2 1,5
|
|
Итого
|
|
21,5
|
|
38
|
ВА > 38 ВА.
12. Выбор
конструкции распределительных устройств
Распределительное устройство расположенное на открытом воздухе называется
открытыми распределительными устройствами (ОРУ). Как правило РУ 35 кВ и выше
сооружаются открытыми. ОРУ должно обеспечивать надежность работы, безопасность
и удобство обслуживания при минимальных затратах на сооружение, возможность
расширения, максимальное применение крупно блочных узлов заводского
приготовления. Все аппараты ОРУ обычно располагаются на невысоких основаниях
(металлических или железобетонных). По территории ОРУ предусматриваются проезды
для возможности механизации, монтажа и ремонта оборудования
В данном курсовом проекте РУ - 110 кВ выполнено открытым; РУ - 6 кВ
выполнено закрытым.
Требования к конструкциям ОРУ.
Открытые РУ должны обеспечить надёжность работы, безопасность и удобство
обслуживания при минимальных затратах на сооружение, возможность расширения.
Максимальное применение крупноблочных узлов заводского изготовления.
Все аппараты ОРУ обычно располагаются на невысоких основаниях. По
территории ОРУ предусматриваются проезды для возможности механизации монтажа и
ремонта оборудования. Гибкие шины крепятся с помощью подвесных изоляторов на
порталах.
Под силовыми трансформаторами и баковыми выключателями 110 кВ
укладывается слой гравия толщиной не менее 25 см и предусматривается сток масла
в аварийных случаях в систему отвода ливневых вод. Кабели оперативных цепей,
цепей управления, релейной защиты, автоматики и воздухопроводы прокладываются в
лотках из железобетонных конструкций без заглубления их в почву или в
металлических лотках, подвешенных к конструкциям ОРУ.
Открытое РУ должно быть ограждено.
Конструкция РУ - 110 кВ.
ОРУ - 110 кВ с одной секционированной и одной обходной системами шин
выполнено с использованием железобетонных конструкций. Две секции рабочей шины
примыкают друг к другу, а обходная система шин отнесена за линейные порталы.
Выводы к трансформаторам пересекают обе секции рабочей системы шин. Выключатели
устанавливаются в один ряд. Перед выключателями имеется автодорога для проезда
ремонтных механизмов, провоза оборудования. Соединение между выключателями
трансформаторами тока над проездом выполнено жёсткой ошиновкой. Во всех цепях
установлены однополюсные двухколонковые разъединители. Под внутренней секцией
рабочей системы шин асимметричное (килевое) расположение разъединителей.
Требования к конструкциям ЗРУ.
Закрытое РУ должно обеспечивать надёжность работы электроустановки.
Обслуживание ЗРУ должно быть удобным и безопасным.