Газовый каротаж
Введение
Цель геолого-технологических исследований
состоит в оперативном изучении геологического строения разреза скважин,
выявлении и оценке продуктивных пластов, повышении качества проводки и
сокращении цикла строительства скважин на основе получаемой в процессе бурения
геолого-геохимической, геофизической и технологической информации. Достижение
этой цели обеспечивается путем оперативной реализации буровой бригадой
рекомендаций, выдаваемых на скважине персоналом партии ГТИ, а также
использованием полученной информации при проектировании строительства очередных
скважин.
В функции партии ГТИ входит непрерывный в
процессе бурения сбор, анализ и обработка информации о шламе, керне, параметрах
бурового раствора и режиме бурения; оперативная предварительная обработка
геофизической и гидродинамической информации о продуктивных или перспективных
объектах; выдача буровой бригаде, геологической и технологической службам
буровых предприятий рекомендаций, необходимых для оперативного выявления
перспективных на нефть и газ объектов и оптимальной проводки скважин в сложных
горно-геологических условиях.
К геологическим задачам, решаемым партиями ГТИ,
относятся:
- литолого-стратиграфическое расчленение
разреза;
- выделение коллекторов и оценка их
свойств;
- выявление в разрезе нефтегазоносных или
перспективных пластов.
К технологическим задачам относятся:
- предупреждение аварий и осложнений в процессе
бурения;
- оптимизация режимных параметров бурения
и отработки долот;
- расчет давлений в скважине и оценка
пластовых, поровых давлений.
Область применения геолого-технологических
исследований включает исследование поисковых, разведочных, эксплуатационных,
опорно-параметрических и опорно-технологических скважин.
В опорно-параметрических и
опорно-технологических скважинах геолого-технологические исследования
проводятся с учетом "Методического руководства по определению и
использованию показателей свойств горных пород в бурении".
Геолого-технологические исследования являются
неотъемлемым элементом комплекса методов, применяемых для изучения разреза
скважин, поэтому технология исследований и интерпретация получаемой информации
должны базироваться на основе рационального комплексирования
геолого-технологических, геофизических (ГИС) и гидродинамических методов
исследования в интересах эффективного и оперативного выявления продуктивных
пластов с использованием всей имеющейся информации. На технологической схеме
комплексных геолого-технологических, геофизических и гидродинамических
исследований, цикл исследований повторяется при вскрытии каждого перспективного
объекта и позволяет к моменту принятия решения о спуске обсадной колонны иметь
исчерпывающую характеристику о нефтегазоносности вскрытого скважиной разреза.
1. Сущность газового каротажа
Газовый каротаж основан на изучении количества и
состава газа, попавшего в буровой раствор из разбуриваемых или вскрытых
скважиной пластов, содержащих углеводородные газы.
Газовый каротаж используется для выделения
нефтегазосодержащих пластов, выделения зон АВПД, предупреждения выбросов нефти
и газа.
По способу проведения исследований различают
газовый каротаж в процессе бурения и газовый каротаж после бурения.
При газовом каротаже в процессе бурения
непрерывно измеряется суммарное содержание сумм углеводородных газов и
периодически (с дискретностью равной времени одного цикла анализа на
хроматографе) - компонентный состав, попавших в буровой раствор из
разбуриваемых горных пород.
Газовый каротаж после бурения включает
непрерывное измерение УВГ и периодическое измерение компонентного состава газа,
попавшего в буровой раствор в результате диффузии или фильтрации УВГ из
нефтегазоносных пластов при простое скважины.
При проведении газового каротажа обязательна
калибровка желобных дегазаторов путем проведения дегазации проб бурового
раствора. Пробы отбираются непосредственно перед дегазатором. Момент отбора
пробы фиксируется на хроматографе с учетом времени прохождения газа от
дегазатора к хроматографу.
Термовакуумная дегазация (ТВД) проб бурового
раствора проводится при температуре бурового раствора 90°С и вакууме 0,09 МПа.
Процесс дегазации пробы длится 10 мин.
Газонасыщенность бурового раствора
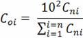
углеводородными газами рассчитывается по формуле (1.1).
,
(1.1)
где ∑Сi
- суммарное содержание УВГ в выделившемся газе.
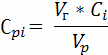
Выделившийся из пробы газ анализируется на
хроматографе. Концентрация каждого из углеводородных компонентов рассчитывается
по формуле:
, (1.2)
где Ci-
объемное содержание i-го
компонента в газе, извлеченном из пробы бурового раствора, %.
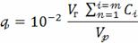
Концентрации углеводородных газов в буровом
растворе определяются с помощью расчетных листов (рисунок 1). По оси абсцисс
расчетного листа откладываются значения концентраций УВГ в газовоздушной смеси
по хроматографу Сai
, в момент отбора пробы для, а по оси у -
концентрации углеводородных газов в буровом растворе Сpi
.
Графики перехода от Сpi
к
Сai
строятся по 3-5 пробам для каждого
углеводородного компонента. Калибровка дегазаторов производится не реже одного
раза в сутки. Для каждого пробуренного метра рассчитывается среднее суммарное
значение УВГ. При появлении положительных аномалий на диаграмме рассчитывается
значение приведенных газопоказаний по хроматографу и относительное содержание
УВГ.
В интервалах повышенных газопоказаний для
каждого метра рассчитывается относительный состав газа:
.
(1.3)
Рисунок 1. -
Расчетный лист для определения концентраций УВГ в буровом растворе
Давление рассчитывается по формуле:
.
(1.4)
Температура рассчитывается по формуле:
.
(1.5)
По вычисленным значениям по палетке (рисунок 2)
находится коэффициент сжимаемости газа.
Если при вскрытии пласта наблюдается поглощение
или проявление, рассчитывается их интенсивность по формуле:
,
(1.6)
где 
- уменьшение
или увеличение объема бурового раствора в приемной емкости за время наблюдения,
л/мин; 
- время
наблюдения, мин; πDm
-
мощность
пласта, м. Определяется по механическому каротажу и по результатам анализа
шлама.
Рисунок 2. -
Палетка для определения коэффициента сжимаемости газа

.
(1.7)
Если интенсивность фильтрации более 70-80
л/мин/м2, величина остаточного газосодержания не рассчитывается.
При признаках проявления отбираются пробы
бурового раствора, и по результатам термовакуумной дегазации и компонентного
анализа дается заключение о характере насыщения пласта. Одновременно оператор
предупреждает буровую бригаду о проявлении и интенсивности притока.
Калибровка хроматографа производится не реже
одного раза в месяц, а также после переезда на новую скважину или после замены
сорбента в колонках хроматографа. Калибровка хроматографов проводится
аттестованными газовыми смесями.
Концентрация углеводородных газов по
хроматографу рассчитывается по формуле:

,
(1.8)
где Cxi
- концентрация i-го
компонента углеводородного газа, %; Км - коэффициент загрубления
масштаба; Kч -
коэффициент чувствительности i-го
компонента, %/мин; Ап - длина пики i-го
компонента, мм.
Результаты калибровок хроматографа приводятся на
хроматограмме.
Калибровка суммарного газоанализатора проводится
не реже одного раза в месяц, а также после переезда на новую скважину, ремонта
или замены чувствительных элементов анализатора.
Оперативная интерпретация результатов газового
каротажа в процессе бурения проводится в следующей последовательности.
По кривой Гсум регистрируемой
непрерывно в функции времени, выделяются аномальные участки (в 1,5 раза и
более, выше фоновых значений) и определяется природа газовых аномалий.
Если газовая аномалия обусловлена возможным
поступлением газа из пласта, кривая Гсум сопоставляется с кривой Гсум..вых
(с учетом времени отставания) построенной в принятом на сводной диаграмме
масштабе глубин.
При наличии на кривой Гсум..вых
газовой аномалии для каждого метра рассчитываются значения Гх..пр,
флюидных коэффициентов и определяется относительный состав газа.
По палеткам раздельного анализа газа и по
палеткам граничных флюидных коэффициентов, построенными применительно к
исследуемой площади или району, определяют характер насыщения коллектора.
Появление газовой аномалии на кривой Гсум.
может быть обусловлено следующими причинами:
- уменьшением расхода бурового раствора;
- увеличением механической скорости
проходки;
поступлением газа из пласта
(разбуриваемого или вышележащего);
поступлением газа из глин с
аномально-высоким поровым давлением;
поступлением газа в раствор за счет
эффекта свабирования (при подъеме бурильной колонны);
наличием в буровом растворе
рециркуляционного газа;
наличием в буровом растворе примесного
газа.
Газовые аномалии, обусловленные первыми двумя из
перечисленных выше причин, легко распознаются при анализе поведения кривых Q
и Т. Содержание бурового раствора за счет поступления пластового газа зависит,
главным образом, от величины дифференциального давления в системе
"скважина-пласт", газонасыщенности пласта и его мощности.
При превышении пластового давления над забойным
величина Гсум. после прохождения пласта будет возрастать, и газовые
аномалии характеризуются обычно большой амплитудой и продолжительностью.
Поступление пластового газа, как из разбуриваемого пласта, так и из ранее
пройденных пластов может привести к значительным газопроявлениям. К признакам,
свидетельствующим об увеличении газообогащения бурового раствора за счет
поступления пластового газа, относятся следующие:
- большая длина газовой аномалии, обусловленная
вскрытием пласта большой мощности;
- медленное уменьшение или увеличение Гсум.
после прохождения пласта за счет поступления газов из вскрытого пласта
(мощность пласта определяется по изменению скорости и данным анализа шлама);
При разбуривании зон с аномально-высоким поровым
давлением наблюдается увеличение Гсум., обусловленное повышением
пористости глин и возрастанием, в связи с этим, объема газа, поступающего в
буровой раствор. Аномалии данного типа характеризуются постепенным увеличением
Гсум по мере вхождения в зону с аномально-высоким поровым давлением
и установившимися повышенными значениями Гсум во время прохождения
ее.
Повышение Гсум бурового раствора,
обусловленное поступлением в буровой раствор газа свабировакия, возникает при
резком подъеме бурильного инструмента над забоем скважины при наращивании,
спускоподъемных операциях, шаблокировке ствола скважины и т.д. При подъеме
инструмента величина давления на призабойную часть пласта уменьшается за счет
эффекта свабирования (поршневания) и в зависимости от скорости подъема
инструмента, его компоновки и параметров промывочной жидкости может быть
достаточна для создания депрессии и вызова притока из пласта, подвергающегося
влиянию свабирования. Газовые аномалии данного типа обычно характеризуются
резким выплеском и быстрым затуханием Гсум. Поступление газа в
буровой раствор за счет эффекта свабирования может привести к значительному
повышению газонасыщенности и даже к выбросу при наличии сальника на бурильном
инструменте и резком подъеме инструмента.
Появление газовых аномалий за счет наличия в
буровом растворе рециркуляционного газа бывает обусловлено плохой очисткой и
дегазацией выходящего из скважины раствора, вследствие чего газ, не успевший
выделиться в атмосферу, закачивается обратно в скважину. Появление аномалий
данного типа наблюдается с отставанием на величину полного цикла промывки от
момента регистрации предыдущей газовой аномалии и отличается от нее более
пологой формой амплитуды и более "тяжелым" относительным составом
газа.
Газовые аномалии могут быть связаны с
поступлением в буровой раствор газа, обусловленного добавками нефтепродуктов и
щелочных химреагентов. Добавки в буровой раствор нефтепродуктов (особенно
недегазированной нефти) значительно повышают общий газовый фон и часто ведут к
полной потере полезной информации. Распознавание причины аномалии обычно не
представляет затруднений, если осуществляется тщательный контроль за вводимыми
в буровой раствор добавками.
При выявлении газовой аномалии, обусловленной
поступлением в буровой раствор пластового газа, определяется характер насыщения
пласта по изменению относительного состава газа и флюидных коэффициентов, для
чего значения и флюидных коэффициентов наносятся на палетки.
Палетки строятся для данного района по
результатам на ранее пробуренных скважинах исследуемой площади или по соседним
площадям района (рисунок 3).
При наличии в исследуемом районе большого объема
фактического материала по газовому каротажу можно на основе статистической
обработки геохимической информации и данных испытаний пластов-коллекторов
определить граничные значения флюидных коэффициентов для продуктивных и
непродуктивных пластов и на трехкоординатной диаграмме выделить так называемую
продуктивную область значений флюидных коэффициентов - область S
(рисунок 4).
Рисунок 3. -
Палетка раздельного анализа газа
Рисунок 4. -
Определение характера насыщения пласта с использованием базового треугольника
На координатной сетке строится треугольник
флюидных коэффициентов путем проведения линий, соответствующих значениям по
трем координатным осям, расположенным под углом 120° справа налево. После
построения треугольника соединяются углы базового и полученного треугольника.
Точка пересечения трех линий обозначается порядковым номером анализа. Сумма
углеводородных газов складывается из суммы метана, этана, пропана и бутана.
Если вершина построенного треугольника смотрит
вниз - коллектор нефтенасыщенный, если вверх - газонасыщенный. Площадь
треугольника позволяет судить о газовом факторе пласта. Большой треугольник с
вершиной, смотрящей вверх, свидетельствует о чисто газовой залежи, а большой
'треугольник с вершиной вниз - чисто нефтяной залежи.
Если точка пересечения трех линий попадает, в
область S, пласт
представляет промышленную значимость, если не попадает -пласт непродуктивный.
При незначительном объеме фактического материала
по ранее пробуренным на площади скважинам с помощью трехкоординатной диаграммы
можно судить только о характере насыщения коллектора (нефть, газ).
газовый каротаж бурение скважина
2. Проведение газового каротажа с
применением известково-битумных растворов
При газовом каротаже скважин, бурящихся с
применением ИБР, необходимо применять желобные дегазаторы с дроблением потока и
производить их периодическую калибровку. Дегазатор калибруется только на метан,
этан, пропан и их сумму. Термовакуумная дегазация проб бурового раствора
производится при температуре 85°, так
как при температуре выше 85°С содержание
СН4, C2Н4 и С3Н3 увеличивается
незначительно по сравнению с С4H10 и C5H12.
Известково-битумные растворы обладают высокой
сорбционной способностью к углеводородным газам.
При бурении на ИБР с плотностью 1,8-2,1 г/см3,
вязкостью 40-60 с и газонасыщенностью 2,5-4,5 см3/л значение
поправочного коэффициента µ = 0,90-0,92. Если свойства раствора
отличаются от указанных выше, коэффициент определяется опытным путем. Для этого
отбираются 3-5 проб раствора на выходе из скважины при различном газосодержании
ИБР и через 15 мин на входе в скважину. Строится график, по которому определяют
Гсум.вых или рассчитывается среднее значение коэффициента µ.
Результаты газового каротажа интерпретируются в следующей последовательности:
- выделяются положительные газовые аномалии на
кривой Гсум вых, зарегистрированной непрерывно в функции времени;
- выясняется природа газовых аномалий;
при наличии аномалии, вызванной
поступлением газа из вскрытого пласта, рассчитываются флюидные коэффициенты, и данные наносятся на палетку флюидных
коэффициентов (ГФК);
рассчитывается величина остаточного
кажущегося газосодержания;
полученные значения флюидных
коэффициентов сравнивают с граничными для данного района и оценивают характер
насыщения коллектора.
Газовый каротаж в процессе бурения имеет ряд
ограничений. Выделение нефтегазонасыщенных коллекторов невозможно, если,
во-первых, в буровой раствор вводится недегазированяая нефть; во-вторых,
наблюдается катастрофическое или полное поглощение бурового раствора.
Выделение нефтегазонасыщенных коллекторов
затруднено при следующих ситуациях: а) гидростатическое давление значительно
превышает пластовое (≥30%); б) мощность пласта мала и механическая
скорость бурения низка; в) происходит поступление газа из вышележащих пластов;
г) при плохой очистке и дегазации бурового раствора.
При наличии вышеперечисленных факторов
необходимо проводить дополнительный комплекс исследований и газовый каротаж
после бурения. При газовом каротаже после бурения регистрируется непрерывно в
функции времени суммарное содержание УВГ в газовоздушной смеси, а в интервалах
повышенных газопоказаний проводится компонентный анализ смеси. Основная
трудность при проведении ГзКп заключается в выборе оптимального времени простоя
скважины без циркуляции бурового раствора. Это время зависит главным образом от
величины дифференциального давления в системе "скважина-пласт" и
колеблется в пределах от 2-3 до 10-12 ч и более. Проводится ГзКп в течение 1-2
суток после вскрытия перспективных отложений, пока зона проникновения фильтрата
бурового раствора не достигла больших размеров. Продолжительность каротажа
должна быть в 1,5 раза больше расчетного времени полного цикла циркуляции
бурового раствора. При полном цикле циркуляции обогащенные углеводородами
интервалы на кривой Гсум вых фиксируются дважды симметрично глубине
забоя - для затрубного и внутритрубного пространства. При привязке газовых
аномалий к глубине необходимо учитывать их смещение за счет вытеснения бурового
раствора из скважины при спуске бурильного инструмента: чем выше от забоя
скважины расположен газоотдающий источник, тем смещение будет больше.
Интерпретация ГзКп заключается в выявлении
нефтегазоносных пластов по зафиксированным газовым аномалиям, определении
характера насыщения пластов и глубины залегания их. О наличии или отсутствии
перспективных пластов судят по изменению кривой Гсум, построенной в
функции времени. Если значение Гсум
в 1,5 и более раза превышает фоновые, это свидетельствует о наличии в
разрезе пластов-коллекторов. Характер насыщения углеводородной залежи
определяют по результатам компонентного анализа УВГ с помощью палеток РАГ и
ГФК.
Проведение газового каротажа после бурения
невозможно в следующих случаях: 1) пластовое давление превышает
гидростатическое, в результате чего пластовый флюид из пласта непрерывно
поступает в скважину и распространяется вверх и вниз по стволу; 2)
гидростатическое давление значительно превышает пластовое, вследствие чего
диффузия УВГ в скважину очень мала.
Интерпретация данных анализа газовой фазы
пластового флюида позволяет сделать заключение о характере насыщения пласта
(если нет прямых признаков наличия нефти). При этом используются палетки РАГ,
ГФК.
Заключение
Геолого-технологические исследования скважин
<http://ru.wikipedia.org/wiki/%D0%A1%D0%BA%D0%B2%D0%B0%D0%B6%D0%B8%D0%BD%D0%B0>
в процессе бурения
<http://ru.wikipedia.org/wiki/%D0%91%D1%83%D1%80%D0%B5%D0%BD%D0%B8%D0%B5>
- одно из направлений промысловой геофизики
<http://ru.wikipedia.org/wiki/%D0%93%D0%B5%D0%BE%D1%84%D0%B8%D0%B7%D0%B8%D0%BA%D0%B0>.
Геолого-технологические исследования являются
составной частью геофизических исследований нефтяных и газовых скважин
<http://ru.wikipedia.org/wiki/%D0%A1%D0%BA%D0%B2%D0%B0%D0%B6%D0%B8%D0%BD%D0%B0>
и предназначены для осуществления контроля состояния скважины
<http://ru.wikipedia.org/wiki/%D0%A1%D0%BA%D0%B2%D0%B0%D0%B6%D0%B8%D0%BD%D0%B0>
на всех этапах её строительства и ввода в эксплуатацию с целью изучения
геологического разреза, достижения высоких технико-экономических показателей, а
также обеспечения выполнения природоохранных требований.
ГТИ проводятся непосредственно в процессе
бурения скважины
<http://ru.wikipedia.org/wiki/%D0%A1%D0%BA%D0%B2%D0%B0%D0%B6%D0%B8%D0%BD%D0%B0>,
без простоя в работе буровой бригады и бурового оборудования; решают комплекс
геологических и технологических задач, направленных на оперативное выделение в
разрезе бурящейся скважины
<http://ru.wikipedia.org/wiki/%D0%A1%D0%BA%D0%B2%D0%B0%D0%B6%D0%B8%D0%BD%D0%B0>
перспективных на нефть <http://ru.wikipedia.org/wiki/%D0%9D%D0%B5%D1%84%D1%82%D1%8C>
и газ <http://ru.wikipedia.org/wiki/%D0%93%D0%B0%D0%B7>
пластов-коллекторов, изучение их фильтрационно-емкостных свойств и характера
насыщения, оптимизацию отбора керна
<http://ru.wikipedia.org/wiki/%D0%9A%D0%B5%D1%80%D0%BD>, экспрессное
опробование и изучение методами ГИС
<http://ru.wikipedia.org/wiki/%D0%93%D0%B5%D0%BE%D1%84%D0%B8%D0%B7%D0%B8%D1%87%D0%B5%D1%81%D0%BA%D0%BE%D0%B5_%D0%B8%D1%81%D1%81%D0%BB%D0%B5%D0%B4%D0%BE%D0%B2%D0%B0%D0%BD%D0%B8%D0%B5_%D1%81%D0%BA%D0%B2%D0%B0%D0%B6%D0%B8%D0%BD>
выделенных объектов, обеспечение безаварийной проводки скважин и оптимизацию
режима бурения.
ГТИ тесно связывают с газовым каротажем
<http://ru.wikipedia.org/wiki/%D0%93%D0%B0%D0%B7%D0%BE%D0%B2%D1%8B%D0%B9_%D0%BA%D0%B0%D1%80%D0%BE%D1%82%D0%B0%D0%B6>,
так как с его развитием и образовались геолого-технологические исследования,
так же газовый каротаж
<http://ru.wikipedia.org/wiki/%D0%93%D0%B0%D0%B7%D0%BE%D0%B2%D1%8B%D0%B9_%D0%BA%D0%B0%D1%80%D0%BE%D1%82%D0%B0%D0%B6>
входит в комплекс ГТИ и составляет его существенную часть.
Геолого-технологические исследования (ГТИ)
являются традиционным направлением деятельности компании и позиционируются как
основа системы информационного обеспечения строительства скважин.
Главный смысл рассматриваемой технологии
комплексного изучения разреза сводится к реализации двух принципиальных
положений:
Комплексная технология позволяет исключить
пропуск продуктивных пластов, сократить срок строительства поисково-разведочных
скважин за счет снижения объектов, испытываемых в колонне с неоднозначной и
ошибочной геофизической характеристикой; экономить материальные ресурсы за счет
сокращения количества скважин, ликвидируемых по геологическим причинам с
обсадной колонной и повысить продуктивность геологоразведочных работ.
Литература
Жувагин И.Г. "ГТИ в процессе
бурения". Всесоюзный научно-исследовательский институт нефтепромысловой
геофизики, 1987.
Размещено на Аllbеst.ru