Проведение горно-разведочных выработок

  • Вид работы:
    Дипломная (ВКР)
  • Предмет:
    Геология
  • Язык:
    Русский
    ,
    Формат файла:
    MS Word
    524,90 kb
  • Опубликовано:
    2011-06-24
Вы можете узнать стоимость помощи в написании студенческой работы.
Помощь в написании работы, которую точно примут!

Проведение горно-разведочных выработок

СОДЕРЖАНИЕ

1. УСЛОВИЯ ПРОВЕДЕНИЯ РАБОТ

.1 Условия, влияющие на организацию горно-разведочных работ

.2 Горно-геологические условия

. ГОРНО-РАЗВЕДОЧНЫЕ ВЫРАБОТКИ И СПОСОБЫ ИХ ПРОВЕДЕНИЯ

. ОТБОЙКА-ВЫЕМКА ГОРНЫХ ПОРОД

4. БУРОВЗРЫВНЫЕ РАБОТЫ

4.1 Средства бурения шпуров

4.2 Взрывчатые вещества

4.3 Комплект шпуров

4.4 Технические и технологические параметры

4.5 Способы и средства взрывания

5. ВЕНТИЛЯЦИЯ

5.1 Рудничный воздух и способ проветривания горных выработок

5.2 Расход воздуха и выбор вентилятора

6. УБОРКА, ТРАНСПОРТИРОВКА ГОРНОЙ МАССЫ

6.1 Способы и средства уборки горной массы

6.2 Способы и средства транспортировки горной массы

7. ПОДДЕРЖАНИЕ ГОРНО-РАЗВЕДОЧНЫХ ВЫРАБОТОК

7.1 Тип и конструкция крепи

7.2 Расчёт крепи и расхода крепежных материалов

8. ВОДООТЛИВ

8.1 Шахтные воды

8.2 Способы и средства водоотлива

9. ОСВЕЩЕНИЕ

10. ЭНЕРГОСНАБЖЕНИЕ, СИГНАЛИЗАЦИЯ И СВЯЗЬ

11. ОРГАНИЗАЦИЯ ГОРНО-РАЗВЕДОЧНЫХ РАБОТ

12. ОХРАНА ОКРУЖАЮЩЕЙ СРЕДЫ И НЕДР

13. ТЕХНИКА БЕЗОПАСНОСТИ И ОХРАНА ТРУДА

СПИСОК ЛИТЕРАТУРЫ

горная разведочная выработка буровзрывной

1. УСЛОВИЯ ПРОВЕДЕНИЯ РАБОТ

1.1    Условия, влияющие на организацию горно-разведочных работ

Условие, влияющее на проведение горно-разведочных работ, − расчлененность рельефа. Данный разведываемый участок имеет расчлененный рельеф, что обусловливается перепадами высот - от 60 до 10м. Данное условие позволяет рассматривать два способа вскрытия рудного тела (березитов), и после расчета трудозатрат выбрать наиболее оптимальный вариант.

1.2    Горно-геологические условия

Основные свойства горных пород и осложняющие факторы, влияющие на проведение горно-разведочных работ

Таблица 1.1

Горные породы

Плотность, кг/м3

Пористость, %

Коэф. крепости

σсж, кг/см2

Абразивность, мг

Буримость

Взрываемость, кг/м3

Трещиноватость

Устойчивость

Обводненность, м3/ч

Песчаники с известковистым цементом, трещиноватые

2600

12

6,6

660

Ниже средней абразив. 10-18

XI

Трудновзрыв. 0,75

III

Неустойчивые

15

Березиты плотные

2800

2

11,9

1190

Средне-абразив. 18-30

XIV

Весьматрудновзрыв. 1,1

IV

Устойчивые

15

Гнейсы крупнозернис-тые

2700

5

11,9

1190

Выше средней абразив. 30-45

XIV

Весьматрудновзрыв. 1,1

IV

Устойчивые

15



Данный разрез представлен устойчивыми породами. По плотности породы несильно различаются: наиболее плотные березиты с ρ = 2800 кг/м3, выше и ниже по разрезу менее плотные породы - песчаники (ρ = 2600 кг/м3) и гнейсы (ρ = 2700 кг/м3) соответственно.

Пористость пород в разрезе меняется от 2 до 12%. Подстилающие гнейсы имеют 5%-пористость, березиты - 2%, песчаники - 12%-пористость.

По крепости большую часть разреза составляют крепкие породы - гнейсы и березиты с коэффициентом крепости 11,9; коэффициент крепости песчаников - 6,6.

Породы в разрезе классифицируются по абразивности (по Л. И. Барону и А. В. Кузнецову) следующим образом: песчаники относятся к III классу, показатель абразивности - 10-18 мг; березиты - к IV классу, показатель абразивности - 18-30 мг; гнейсы - к V классу с показателем абразивности 30-45 мг.

По буримости породы данного разреза имеют среднюю и высокие категории. В нижней части массива - гнейсы и вышележащие жильные березиты относятся к XIV категории по буримости, песчаники - к XI.

Породы в массиве имеют малую и среднюю трещиноватость, малотрещиноватые преобладают.

Учитывая одновременно плотность, коэффициент крепости и категорию трещиноватости пород устанавливается степень их взрываемости. Таким образом большую часть разреза слагают весьма трудновзрываемые (IV степень) породы (это гнейсы и березиты; величина расчетного расхода ВВ 0,9-1,2 кг/м3), остальные (песчаники) имеют III степень по взрываемости - трудновзрываемые (величина расчетного расхода ВВ 0,6-0,9 кг/м3).

Породы в разрезе обводнены. Величина водопритока 15 м3/ч.

2. ГОРНО-РАЗВЕДОЧНЫЕ ВЫРАБОТКИ И СПОСОБЫ ИХ ПРОВЕДЕНИЯ

2.1 Обоснование выбора типа горно-разведочной выработки

Рис. 2.1.

Горно-геологической задачей является вскрытие тела полезного ископаемого (березиты) на отметке 25 м. Рассмотрим два варианта решения этой задачи (рис.2.1):

)        с поверхности до уровня 25 м необходимо провести шурф, а на отметке 25 м использовать вскрывающую рассечку;

)        с восточного склона холма провести штольню по уровню отметки 25 м.

Первый вариант проведения выработки. С поверхности будем проводить шурф, глубина его составит 23 метра. От забоя на отметке 25 проведем рассечку длиной 25 метров. Так как отбор технологической пробы не предусмотрен целью задачи, то размеры сечений выработок будем принимать по ГОСТу. Для безопасного ведения горных работ и размещения необходимого оборудования выбираем сечение для шурфа S = 4,0 м2. Параметры шурфа: длина 2360 мм, ширина 1700 мм. Рассечка будет проводиться в западном направлении с подсечением тела березитов. В связи с неустойчивостью песчаников, в которых будет проводиться рассечка форму ее следует принять трапециевидную; площадь сечения выработки - 2 м2; параметры рассечки: b1 = 900 мм, b2 = 1320 мм, h = 1850 мм.

Второй вариант проведения выработки предусматривает проведение штольни. Длина выработки составит 58 метров. Форму, площадь сечения и параметры штольни примем аналогичными параметрам рассечки.

2.2 Обоснование выбора способа проведения горно-разведочной выработки

Для обоснования выбора способа проведения горно-разведочной выработки используем метод сравнения трудозатрат, определенных для каждого из применяемых способов.

Таблица 2.1

Проходка шурфа с применением БВР и подъемом породы механизированным способом. Бурение шпуров ручными перфораторами

№ п/п

Породы

Мощность пород по оси выработки, м

Буримость по ЕНВ

Норма времени на 1п.м. выработки

Трудо-затраты, бр/см.

1

Песчаник с известковис-тым цементом

0-5

XI

0,43

2,15



5-23


0,74

13,32

Итого:

23



15,47


Таблица 2.2

Проходка шурфа с применением БВР и подъемом породы механизированным способом. Бурение шпуров ручными электросверлами

№ п/п

Породы

Мощность пород по оси выработки, м

Буримость по ЕНВ

Норма времени на 1п.м. выработки

Трудозатраты, бр/см.

1

Песчаник с известковистым цементом

0-5

XI

0,49

2,45



5-23


0,81

14,58

Итого:

23



17,03


Таблица 2.3

Проходка рассечки с применением БВР. Бурение шпуров установками типа УПБ с погрузкой вручную (а) или скреперами (б)

№ п/п

Породы

Мощность пород по оси выработки, м

Буримость по ЕНВ

Норма времени на 1п.м. выработки

Трудозатраты, бр/см.

1

Песчаник с известковистым цементом

10

XI

а) 0,94

9,4





б) 0,47

4,7

2

Березиты

5

XIV

а) 1,20

6,0





б) 0,59

2,95

3

Гнейсы

10

XIV

а) 1,20

12,0





б) 0,59

5,9

Итого:

25



а) 27,4





б) 13,55


Наиболее выгодный способ проходки шурфа - проходка с применением БВР и подъемом породы механизированным способом, бурением шпуров ручными перфораторами. Для рассечки выгодней проходка с применением БВР, бурение шпуров установками типа УПБ с погрузкой породы скреперами. Суммарные трудозатраты на проведение шурфа с рассечкой:

Таблица 2.4

Проходка штольни с применением БВР. Бурение шпуров установками типа УПБ с погрузкой вручную (а) или скреперами (б)

№ п/п

Породы

Мощность пород по оси выработки, м

Буримость по ЕНВ

Норма времени на 1п.м. выработки

Трудозатраты, бр/см.

1

Песчаник с известковистым цементом

43

XI

а) 0,94

40,42





б) 0,47

20,21

2

Березиты

5

XIV

а) 1,20

6,0





б) 0,59

2,95

3

Гнейсы

10

XIV

а) 1,20

12,0





б) 0,59

5,9

Итого:

25



а) 58,42





б) 29,06


Более выгодна по трудозатратам проходка штольни с применением БВР, бурением шпуров установками типа УПБ и погрузкой породы скреперами.

По проведенным расчетам видно, что минимальные трудозатраты на проведение шурфа с рассечкой составляют 29,02 бр/см, а для штольни 29,06 бр/см. Решаем геологическую задачу с помощью шурфа с рассечкой.

3. ОТБОЙКА-ВЫЕМКА ГОРНЫХ ПОРОД

Так как разрез представлен породами от XI до XIV категориями буримости, то при проходке горных выработок будем применять буровзрывные работы, которые являются самыми продуктивными.

4.  БУРОВЗРЫВНЫЕ РАБОТЫ

4.1 Выбор взрывчатого вещества

Так как горная выработка неопасна по газу и пыли, то для отбойки породы целесообразно применить взрывчатые вещества II класса, предназначенные для ведения БВР как на поверхности, так и на забое. Из этого класса выберем группу патронированных порошкообразных аммонитов для сухих и обводненных забоев. Для ведения взрывных работ в данных геологических условиях подойдёт тип ВВ Аммонит № 6ЖВ, т.к. он наиболее работоспособен и более водоустойчив.

Таблица 4.1

Расчётно-экспериментальные характеристики Аммонит № 6ЖВ

№ п/п

Характеристики

Аммонит -№ 6ЖВ

1

Кислородный баланс, %

− 0,53

2

Теплота взрыва, ккал/кг

1030

3

Работоспособность, см3

360-380

4

Водоустойчивость см. вод. ст.

50-60

5

Чувствительность: к удару, % к трению, кгс/см2

16-32



2335

6

Отпускная цена в патронах Æ 32-36 мм, руб./ т

240

7

Коэффициенты работоспособности

1,0


4.2 Комплект шпуров

Расчет БВР будем производить для песчаников, в которых будет проводиться шурф.

.2.1. Расчет количества шпуров.

Расчет производим по формуле Протодьяконова:

где N - количество шпуров;- коэффициент крепости по Протодьяконову;- площадь поперечного сечения выработки в свету, м2.

В связи с полученным расчетным значением принимаем шпуров в количестве 14 штук.

.2.2. Определение длины шпуров.

Будем использовать формулу, использующуюся при циклической работы забоя:


где Тц - продолжительность проходческого цикла (360 мин.);з - время заряжания одного шпура (2-3 мин.);- число шпуров;п - время проветривания забоя (30 мин.);- коэффициент использования шпура (0,7-0,9);- площадь поперечного сечения выработки в свету, м2;- число бурильных машин (1 или 2);- число погрузочных средств (при механизированной погрузке - 1);- техническая скорость бурения бурильной машины (для перфораторов- 0,1÷0,2 м/мин.);

Ру - производительность погрузки (при ручной погрузке 0,25÷0,5 м3/мин.)

Длина врубовых шпуров принимается больше расчетной на 10 %.

4.3 Технические и технологические параметры

4.3.1. Определение расхода ВВ за цикл и массы заряда ВВ на шпур.

Расход ВВ за цикл определяется по формуле:


где Q - расход ВВ за цикл, кг;- удельный расход ВВ, для аммонита № 6 ЖВ для песчаника 0,75 кг/м3;- объём породы, подготовленный к взрыванию, м3;- поперечное сечение выработки в проходке, м2;ш - длина шпура, м.

.3.2. Масса заряда ВВ на шпур определяется по формуле:


Массу зарядов врубовых шпуров принимают на 15-20% большую, чем средняя масса заряда в шпуре.

Так как патроны по размеру составляют 0,25 м, то для более эффективного заполнения шпуров будем использовать 8 патронов массой 100 гр. Коэффициент заполнения составит 0,53. Исходя из технических характеристик перфоратора примем диаметр бурения шпуров - 46 мм. Диаметр патронов 27 мм.

4.4 Бурение шпуров

Для бурения шпуров будем применять переносные перфораторы типа ПП63ВБ.

Таблица 4.2

Техническая характеристика

Показатели

ПП 63ВБ

Энергия удара, Дж

63,7

Частота удара, с-1

30

Крутящий момент, Н·м

26,9

Расход воздуха, м3/мин

3,8

Номинальное давление воздуха, МПа

0,5

Длина, мм

760

Масса, кг

35

Размеры хвостовика, мм

22 × 108

Глубина бурения, м

5

Диаметр шпуров, мм

40-46


Бурильный инструмент. В качестве ПРИ будем использовать коронки типа БКР-46 (для различных пород). Штанги применим с шестигранным сечением диаметром 25 мм. Крепление буровой коронки со штангой резьбовое. Длина хвостовика шестигранной буровой штанги 108±1 мм.

4.5 Способы и средства взрывания

Для решения поставленной задачи выбираем электрический способ взрывания. Он применяется в любых выработках и при любых условиях, с любого расстояния, для взрывания одиночных и серии зарядов в любой последовательности. Схему соединения выбираем последовательную.

Выбираем короткозамедленные ЭД типа ЭДКЗ. Для врубовых шпуров с замедлением 25 мс, для оконтуривающих - 50 мс.

Выбираем взрывную машинку конденсаторную ВМК-500 (рис. 4.1).

Таблица 4.3

Техническая характеристика конденсаторных взрывных машин и приборов

Наименование, марка

Исполнение

Источник питания

Допустимое сопротивление последовательной взрывной сети, Ом

Допустимое число одновременно взрываемых ЭД

Напряжение на конденсаторе-накопителе, В

Масса, кг

1

2

3

4

5

6

7

Конденсаторные взрывные машинки:

КПМ-1А

Н

Индуктор

350

100

1500

1,6

КПМ-3



600

200

1600

1,7

Прибор конденсаторный взрывной ПИВ-100М

РВ

Батареи гальванических элементов

320

100

600

2,7

Конденсаторный взрывной прибор КПВ-1/100М

РВ

Сухие элементы

320

100

600

2,0

Взрывная машинка конденсаторная ВМК-500

Индуктор

2100

800

3000

6,5


Рисунок 4.1 - Конденсаторная взрывная машинка ВМК-500:

- розетка штепсельного разъема;

- взрывная кнопка

- окно светосигнального устройства;

- корпус;

- линейные зажимы;

- приводная рукоятка;

- заглушка гнезда приводной рукоятки;

- гнездо приводной рукоятки;

- плечевой ремень

5. ВЕНТИЛЯЦИЯ

5.1 Рудничный воздух, способы проветривания горных выработок

В данном случае рассечка имеет протяженность менее 300 м, вследствие чего необходимо использовать нагнетательную схему проветривания. При этом способе проветривания получаем более высокую эффективность вентиляции за счет более полного и интенсивного омывания забоя свежей струей воздуха.

При нагнетательной схеме проветривания вентилятор устанавливается на свежей струе воздуха или на земной поверхности в 10-ти метрах (согласно ПБ) от устья проветриваемой выработки.

Свежая струя воздуха поступает по вентиляционным трубам в забой горной выработки, интенсивно перемешивается и разбавляет рудничный воздух. Разбавленный воздух поступает к устью выработки и удаляется из нее.

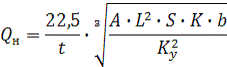
5.2 Расход воздуха и выбор вентилятора

Расчёт необходимого количества воздуха будет производиться по нескольким факторам.

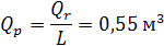
По расходу ВВ. При нагнетательной схеме проветривания:


где t - время проветривания, мин.;- масса одновременно взрываемого ВВ в забое, кг;- длина проветриваемой выработки, м:- площадь поперечного сечения выработки. м2;

К - коэффициент, учитывающий обводненность выработки (0,8 - слабообводнённые);- удельное газовыделение (0,04 м3/кг);

Ку - коэффициент утечек воздуха в вентиляционном трубопроводе (1,2).

По пылевому фактору расход воздуха определяется из необходимой скорости движения воздушной струи, обеспечивающей эффективный вынос взвешенной пыли по формуле:


где v - необходимая скорость исходящей струи, зависящая от протяженности выработки (0,3 м/с).

По числу находящихся в выработке людей расход воздуха определяется по формуле:


где g - норма расхода воздуха на одного человека, м3/мин. (6 м3/мин.);- число находящихся в выработке людей (1 человек).

На основании проведенных расчётов с учётом всех факторов расход воздуха принимаем максимальный - 1,7 м3/с.

Потери давления при вентиляции горной выработки рассчитываются по формуле:


где Kп - коэффициент потерь воздуха (0,2);- сопротивление воздушной струи трению;- сопротивление воздушной струи при изменении сечения;- число мест изменения сечения.

Сопротивление трению определяется по формуле:


где b - коэффициент трения (0,02÷0,03);

r - плотность воздуха (1,3 кг/м3);- периметр поперечного сечения горной выработки, м;- протяженность горных выработок, м;

v2 - скорость воздушного потока на прямолинейном участке, м/с.

Так как изменения сечения в нашем случае не происходит принимаем

h2 = 0. Учитывая это, формула расчета потерь давления сводится к нулю.

По данным технических расчетов по техническим характеристикам подходит вентилятор типа ВМ-4М. Его и будем использовать для вентиляции выработки.

Таблица 5.1

Технические характеристики вентиляторов местного проветривания

Технические характеристики

Тип вентилятора ВМ-4М

Мощность двигателя, кВт

4,0

Масса агрегата, кг

107

Подача, м3/с

0,6-2,6

Давление, Па

700-1450

КПД, %

--


6. УБОРКА, ТРАНСПОРТИРОВКА ГОРНОЙ МАССЫ

6.. Способы и средства уборки горной массы

Для уборки горной массы будет применяться скреперная установка гребкового типа, т.к. ручная погрузка не подходит из-за большого объема работ, а погрузочные машины невыгодно применять из-за маленького сечения выработки. Передвижной скрепер также невыгодно использовать, так как длина рассечки сравнительно небольшая (25 м).

Применим скрепер гребкового типа СГ-0,1, вместимостью 0,1 м3.

Таблица 6.1

Технические характеристики канатных скреперов

Параметры

Легкая разборная МСУ

Вместимость скрепера, м3

0,1

Скорость движения рабочего каната. м/с

1,0

Скорость движения хвостового каната, м/с

1,2

Длина каната, м

30

Глубина проходки канав, м

3

.2 Способы и средства транспортировки горной массы

Для шурфа будем использовать шурфопроходческую бадью (БШ). Загрузка бадьи будет производиться из рассечки скрепером, шурф необходимо оборудовать подвижной воронкой. Разгрузка бадьи осуществляется с помощью легкого поворотного крана при ее опрокидывании. Выбор бадьи зависит от объема работ и емкости скрепера. Для транспортировки горной массы будем использовать бадью, вместимостью 0,12 м3.

Таблица 6.2

Технические характеристики бадей

Параметры

При проходке шурфов



Вместимость, м3

0,03

0,06

0,12

Грузоподъемность, кг

50

100

200

Масса, кг

350

450

550


Выбор крана для подъема бадьи зависит от веса, который нужно будет поднять. Выберем кран КШ-1М.

Таблица 6.3

Технические характеристики крана КШ-1М

Параметры

Подъемные краны


КШ-1М

КШ-2М

Грузоподъемность, кг

230

320

Глубина шурфа, м

40

40


Так как загрузка бадьи в нашем случае будет производиться из рассечки скрепером, то шурф должен быть оборудован люковым устройством.

Рис. 6.1 Схема погрузки породы передвижной скреперной установкой и уборка ее шурфопроходческой бадьей

7. ПОДДЕРЖАНИЕ ГОРНО-РАЗВЕДОЧНЫХ ВЫРАБОТОК

Разрез представлен устойчивыми и неустойчивыми породами. Выработка нуждается в креплении.

7.1 Типы и конструкции крепи

Для шурфа будем использовать венцовую крепь; форма поперечного сечения - прямоугольная. Для рассечки применим рамную крепь и выбираем трапециевидную форму выработки.

В качестве крепежного материала будем использовать лес, т.к. выработка временная и этот материал экономически выгоден и прост в обращении.

7.2 Расчет крепи и расхода крепежных материалов

Определение параметров элементов крепи, сечения выработки «вчерне» и «в проходке», расхода леса на крепление выработки.

Расчет крепи шурфа.

Шурф будет проводиться в неустойчивых породах. Крепление будет производиться венцовой крепью всплошную.

Диаметр леса для крепления вертикальной горной выработки:


Давление пород на крепь определяется по формуле:

Расчетный диаметр круглого леса получился меньше минимально допустимого. В таком случае принимаем минимально допустимый диаметр 0,15 м.

Расчет крепи рассечки.

По цели проекта рассечку будем проводить на отметке 25 м. Протяженность по оси выработки будет составлять 25 метров. Рассечка будет проводиться в породах различных по устойчивости, поэтому расчет рамной крепи будем производить для двух интервалов:

)        от забоя шурфа на 10 метров до ближайших устойчивых пород (до кровли березитов);

)        до конца выработки (15 метров).

Соответственно крепление первого интервала пород будет осуществляться всплошную, второго - вразбежку через 1 метр.

Рассмотрим вариант крепления выработки для первого интервала.

Диаметр верхняка:


Диаметр стоек при неустойчивых боковых породах:


Расчетные диаметры верхняка и стоек меньше минимально допустимых 0,15 м. Примем эти диаметры равными 0,15 м.

Расчет количества леса, необходимого для крепления выработки.

Количество леса необходимого для сооружения венцов:


Количество леса необходимого для сооружения рам:


Расход материала на 1 м погонной длины выработки.

Для шурфа:


Для рассечки:

Расчет поперечных сечений выработки.

Шурф:

Рассечка:


8. ВОДООТЛИВ

8.1 Шахтные воды

Источниками шахтных вод в горных выработках могут быть поверхностные, грунтовые, пластовые и технические воды.

Величина водопритока в горной выработке измеряется в м3/ч или в л/с. Зависит от времени года, дебита пересекаемых выработкой водоносных горизонтов, исправности систем водоотлива и пожаротушения, расположенных в горных выработках, протяженности горных выработок, особенности технологии горных работ, глубины разработки и других факторов.

Химический состав шахтных вод зависит от степени минерализации, поступающей в горные выработки воды, объемов БВР, интенсивности процессов гниения в горной выработке.

Наличие примесей в воде определяется запыленностью рудничной атмосферы и увеличивается в условиях применения БВР, горно-шахтных механизмов, используемых при отбойке, уборке, транспортировке, других производственных процессов при проведении горной выработки.

Увеличение водопритока в горную выработку негативным образом сказывается на устойчивости вмещающих горную выработку горных пород. При это увеличивается трудоемкость работ, быстрее изнашивается горно-шахтное оборудование и, самое главное, существенным образом ухудшаются условия и безопасность труда работников.

8.2 Способы и средства водоотлива

В нашем случае вся поступающая в горную выработку вода будет скапливаться в призабойном пространстве шурфа, пройденного чуть ниже места пересечения его с рассечкой. А оттуда будет удаляться на поверхность с помощью насоса, так как водоприток достаточно сильный (15 м3/ч). Выбираем насос марки Н1-М.

Техническая характеристика насоса Н1-М.

Таблица 8.1

Технические характеристики

Н1-М

Мощность пневмодвигателя, кВт

5,15

Масса агрегата, кг

30

Подача, м3/ч

25

Давление, МПа

0,4

Рабочее давление сжатого воздуха, МПа

0,45-0,5

Расход воздуха м3/мин

0,6

9. ОСВЕЩЕНИЕ

Для обеспечения безопасности, производительности и качества горных работ необходимо качественное освещение горной выработки. Местное - для освещения рабочих мест (забой, призабойное пространство, насосные и др.).

Для нашего случая выбираем стационарное и местное освещение, которые полностью соответствуют требованиям по безопасности.

Осветительные приборы для неопасных шахт в нормальном рудничном исполнении (РН).

Стационарными светильниками освещаются выработки, стационарное оборудование. Индивидуальными переносными светильниками должны быть обеспечены все работники, находящиеся в выработке, горные и транспортные машины.

Индивидуальные светильники необходимы работникам для безопасного перемещения по горным выработкам и производства работ. Индивидуальные светильники изготавливаются как для выработок неопасных (СГУ-4).

Расчет количества ламп, необходимых для нормального освещения выработки:


где:   N - количество ламп;

         L - длина выработки, м;

         H - высота подвески (1,8 м);

         S - сечение горной выработки (4 м2).

Рисунок 9.1 - Конструкции индивидуальных электрических светильников:

- осветительная фара, прикрепляемая к шахтерской каске,

- электропроводный кабель,

- аккумулятор

10. ЭНЕРГОСНАБЖЕНИЕ, СИГНАЛИЗАЦИЯ И СВЯЗЬ

10.1 Энергоснабжение

Энергоснабжение горных выработок будет осуществляться от главной поверхностной подстанции по кабельным линиям. При электрическом освещении применяют следующее электрооборудование: трансформаторы, пусковую и защитную аппаратуру, кабели и светильники. Для стационарных осветительных установок будут использоваться шахтные трансформаторы ТСШ-2, 5С, ТСШ-4. Для участковых передвижных установок - пусковые агрегаты АП-3, 5М и АП-4.

Для энергоснабжения в стационарных сетях используются бронированные, гибкие и экранированные кабели, а в очистных и подготовительных выработках - гибкие экранированные кабели.

10.2 Связь и сигнализация

Из-за небольшой протяженности подземных горных выработок используется сигнализация - звуковая и световая. Сигналы будут подаваться посредством голосовых с помощью индивидуальных средств - фонариков.

Сигнал должен быть подан за 30 секунд до включения какого-либо механизма.

При эксплуатации механизмов должны применяться сигналы, значение которых должны быть известны всем работающим на данном объекте.

11. ОРГАНИЗАЦИЯ ГОРНО-РАЗВЕДОЧНЫХ РАБОТ

Наиболее применимой при проведении подземных горных выработок является цикличная схема.

В состав основных технологических процессов включаются следующие:

·        отбойка-выемка горной породы;

·        вентиляция выработки;

·        приведение забоя в безопасное состояние;

·        уборка горной массы;

·        транспортировка горной массы;

·        крепление выработки.

Далее определяем трудоемкость выбранных основных технологических процессов. Расчет производится в соответствии с затратами времени, необходимыми для каждого из них.

Время, затрачиваемое на отбойку-выемку горных пород с использованием буровзрывных работ, рассчитываем по формуле:


где tбур - время, затрачиваемое на бурение 1 п.м. шпура (4-5 мин);зар - время затрачиваемое на зарядку ВВ одного шпура (2-3 мин);взр - время затрачиваемое на взрывание шпуров (3-4 мин);- количество шпуров (14 шт.).

Время, затрачиваемое на проветривание горной выработки по технике безопасности - 30 мин.

Время, затрачиваемое на приведение забоя в безопасное состояние - 15 мин.

Время, затрачиваемое на уборку и транспортировку, определяется по формуле:


где V - объём взрываемой за цикл породы, м3;с - объем транспортируемой за цикл скреперования породы, м3;ц - продолжительность одного цикла, мин.

Объем транспортируемой за цикл скреперования породы определяется по формуле


где Vск - вместимость скрепера, м3;- коэффициент разрыхления породы (1,2¸1,32);н - коэффициент наполнения скрепера (0,5¸0,8);


Продолжительность цикла (tц) определяется расстоянием и скоростью перемещения скрепера и рассчитывается по формуле:


где L - протяженность скреперования, м;раб - скорость рабочего хода (1,0 - 1,12 м/с);хол - скорость холостого хода (1,2 - 1,5 м/с);

tпауз - продолжительность паузы при изменении направления хода скрепера (5 - 10 с).


Время, затраченное на крепление горной выработки приблизительно равно времени, затрачиваемому на уборку горной массы. Это время составляет:

Цикличность горнопроходческих технологических процессов при шестичасовой смене

Таблица 11.1


12. ОХРАНА ОКРУЖАЮЩЕЙ СРЕДЫ И НЕДР

При разработке мероприятий по охране окружающей среды и недр ставится цель снижения или недопущения воздействия негативных факторов на гидросферу, атмосферу, биосферу и недра земли, связанных с технологическими операциями при проведении горных выработок.

К ним относятся:

·      пылеулавливание при вентиляции и обеспыливание при БВР, погрузке и транспортировке горной массы;

·        организация складирования породы и горной массы в отвалы;

·        недопущение загрязнения почвы горюче-смазочными материалами на объектах поверхностного комплекса;

·        недопущение загрязнения шахтными водами поверхностных водных объектов;

·        восстановление почвенно-растительного слоя после ликвидации горных выработок;

·        предотвращение разрушений объектов при деформации подработанной земной поверхности.

13. ТЕХНИКА БЕЗОПАСНОСТИ И ОХРАНА ТРУДА

Общие правила:

Производство работ по проведению горных выработок может проводиться только после утверждения в соответствующих инстанциях необходимой проектной документации и приемки рабочего места проходчика специальной комиссией.

В частности, горные работы в подземной разведочной горной выработке могут проводиться только после утверждения паспорта ведения горных работ техническим руководителем горного предприятия или геологоразведочной экспедиции. А готовность рабочего места к ведению горных работ определяется комиссией, в составе которой обязательны: горно-технический инспектор Гостехнадзора России РФ; инспектор отраслевого профсоюза, руководитель службой, обеспечивающей состояние ТБ и ОТ на данном предприятии, начальник проходческого участка. Выводы комиссии должны быть оформлены актом приемки горной выработки.

К работе в горных выработках допускаются лица мужского пола старше 18 лет, годные по состоянию здоровья и имеющие квалификацию или профессиональную подготовку, соответствующую профилю работ и подтвержденную документом установленного законодательством образца, после прохождения инструктажей по ТБ и ОТ.

Все рабочие и ИТР, занятые на горных работах должны быть обеспечены индивидуальными средствами защиты (каска, спецодежда, обувь). При работе в подземных горных выработках каждый работник должен иметь индивидуальный источник света, самоспасатель, средство пылезащиты (респиратор и др.).

При производстве работ в подземных горных выработках необходим табельный учет всех работников. Так, при производстве работ в разведочных штольнях, шахтах и шурфах в рассечках должен вестись табельный учет всех лиц, спустившихся в подземные выработки и вышедшие из них.

Запрещается нахождение работников в непроветриваемых горных выработках, протяженностью более 5 м. В забои, находящиеся за пределами зоны непосредственной видимости и слышимости, должны посылаться не менее двух человек.

СПИСОК ЛИТЕРАТУРЫ

1.       Горные машины и проведение горно-разведочных выработок: Учеб. пособие к курсовому проектированию/П.Ф. Сидоренко, А.С. Коваленко, Ю.В. Дубровский, А.Е. Паршин; Юж.-Рос. гос. техн. ун-т. - Новочеркасск: ЮРГТУ, 2005. 90с.

.        Проведение горно-разведочных выработок: Справочник/В.А. Хорев, В.Н. Гусев, Л.А. Соколенко и др.: Под ред. В.А. Хорева - М.: Недра, 1990. - 412 с.: ил.


Не нашли материал для своей работы?
Поможем написать уникальную работу
Без плагиата!
Без нейросетей!