Влияние дорожных условий на организацию перевозок
Содержание
Введение
Задание
Определение пропускной способности
дороги и коэффициента загрузки движением
Расчет средней скорости движения
транспортного потока
Влияние дорожных условий на
безопасность движения
Оценки относительной опасности
участков дороги и выявление опасных мест методом коэффициентов аварийности
Список использованной литературы
Введение
На современном этапе развития общества важное
значение приобретает подготовка специалистов в области организации дорожного
движения. Главная задача при этом заключается в том, чтобы получить будущих
специалистов анализу принимаемых ими технических и организационных решений,
связанных с использованием оборудования, людских и материальных ресурсов,
выявлением и использованием резервов производства в целях снижения количества и
тяжести дорожно-транспортных происшествий (ДТП). Статистика свидетельствует,
что в каждый год в ДТП в мире погибают около 500тыс человек. На каждого
погибшего приходится приблизительно 20-30 раненных, многим из которых требуется
госпитализация. На лечение раненных в ДТП уходит до 3% валового национального
продукта стран.
Методические указания предназначены для оказания
помощи студентам в приобретении навыков решения задач, совершенствования
безопасности дорожного движения, связанными с дорогой и окружающей средой.
Выполнение курсовой работы позволит студентам закрепить и углубить знания по
пройденному курсу; освоить методы организационных и плановых расчетов;
приобрести опыт использования исходных нормативных, справочных и литературных данных;
развить навыки самостоятельной творческой работы. Дорожная сеть в значительной
степени сложившаяся еще в период конного и гужевого транспорта работала с
перенапряжением, и на многих участках плохо приспособлена к современным
автомобилям, развивающим высокие скорости, что приводит к большому количеству
ДТП.
Автомобильные дороги в зависимости от
интенсивности движения разделяют на 5 категорий: дороги общегосударственного
значения, основные магистральные дороги республиканского значения имеют
капитальное основание усовершенствованное покрытие (асфальто и цементо бетон)
которые обеспечивают движение по ним колесных транспортных средств с осевой
нагрузкой не более 10 тонн. Автомобильные дороги должны удовлетворять
потребности народного хозяйства и населения страны в перевозках пассажиров и
грузов и обеспечивать безопасность движения автомобилей.
Задачей курсовой работы является углубление и
систематизация знаний по вопросам обеспечения безопасности движения на дорогах,
об устройствах дорог, безостановочного пропуска плотных транспортных потоков, а
также проработка студентами вопросов характеристики дорог, влияющих на скорость
движения автомобиля, методов выявления опасных участков и способов их
реконструкции для обеспечения безопасности движения на них.
Задание
|
№=п/п
|
|
Номер
варианта
|
|
|
|
4
|
|
1
|
Мосты
|
r
|
6
|
|
|
|
l0
|
25
|
|
2
|
Прямые
и кривые, м
|
R1
|
200
|
|
|
|
R2
|
400
|
|
3
|
Продольные
уклоны %
|
l1
|
50
|
|
|
|
l2
|
50
|
|
4
|
Расстояние
видимости
|
α
|
100
|
|
|
|
δ
|
250
|
|
5
|
Ширина
обочины, м
|
2,8
|
|
6
|
Ширина
проезжей части, м
|
6
|
|
7
|
Интенсивность
движения авт/сутки
|
1500
|
|
8
|
Наличие
тяжелых автомобилей %
|
8
|
Пересечение
|
Видимость,
м
|
70
|
|
9
|
Интенсивность
движения по пересекаемой дороге авт/сутки
|
600
|
Примыкание
30
|
|
10
|
Интенсивность
движения по пересекаемой дороге авт/сутки
|
300
|
Определение
пропускной способности дороги и коэффициента загрузки движением
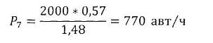
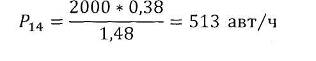
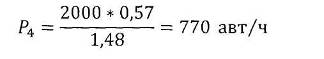
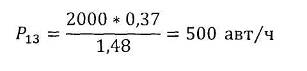
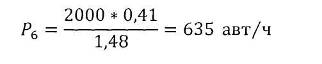
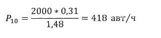
Для определения пропускной способности
автомобильных дорог, пересечений в одном и разных уровнях, железнодорожных
переездов используется методика, приведенная в «Руководстве по оценке пропускной
способности автомобильных дорог» Минавтодора РФ.
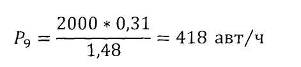
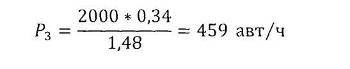
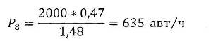
Практическая пропускная способность -
максимальное количество автомобилей, которое может пропустить участок с
конкретными дорожными условиями в единицу времени:
автомобильная дорога движение
аварийность
где Рmax
- максимальная практическая пропускная способность эталонного участка:
горизонтального, прямолинейного в шине, с проезжей частью, имеющей не менее
двух полос движения шириной по 3.75 м. с сухим шероховатым покрытием, с
расстоянием видимости не менее 800 м, для транспортного потока, состоящего
только из легковых автомобилей;
n - количество типов
автомобилей в составе транспортного потока;
Knpi
-
коэффициент приведения автомобиля i-го
типа к легковому автомобилю (значения Knpi
принимаются в соответствии с рекомендациями СНИ
и П 2.05.02-85 в зависимости от типа транспортных средств и их
грузоподъемности).
φi
- доля автомобилей i -го типа в
составе транспортного потока;
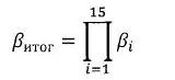
βитог
итоговый коэффициент снижения пропускной способности, равный произведению
частных коэффициентов, выбираются на таблицы, в зависимости от характерных
дорожных условий и состава транспортного потока:
Практическую пропускную способность Рmax
принимают:
для двухполосных дорог - 2000 авт./ч,
для трехполосных дорог - 4000 авт./ч.
Для много полосных автомобильных дорог, у
которых движение по полосам распределяется неравномерно, Рmax
определяют как сумму пропускных способностей отдельных полос:
где m
- количество полос движения в каждом направлении;
Pi
-
пропускная способность i
- ой полосы движения.
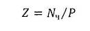
Коэффициент загрузки дороги движением
где NЧ
- расчетная часовая интенсивность движения,
авт/ч:
где N - среднегодовая суточная
интенсивность движения, авт/сутки.
При разработке проектов автомобильных дорог
целесообразно, чтобы значения коэффициента загрузки находились в пределах
0,2...0,65 при новом строительстве и 0,5...0,75 при реконструкции существующих
дорог.
Вследствие изменения дорожных условий по длине
дороги происходит также изменение пропускной способности дороги. Для ее
характеристики целесообразно строить линейный график изменения пропускной
способности дороги и коэффициента загрузки движения (рис. 1).
Расчет средней скорости движения
транспортного потока
Средняя скорость потока автомобилей является
одним из важнейших показателей, используемых при определении автотранспортных
расходов и капиталовложений в автомобильный транспорт при технико-экономичном
обосновании проектных решений. Скорость транспортного потока изменяется по
длине дороги и во времени, е зависимости от интенсивности движения и состава
транспортного потока, особенностей дорожных условий и применяемых средств
регулирования движения, воздействия погодно-климатических факторов.
Средняя скорость потока автомобилей по
однородному участку в пределах которого не происходят изменения каких либо
характеристик дорожных условий.
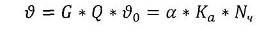
где G
- коэффициент, учитывающий состояние дорожного покрытия и влияние его на
среднюю скорость;
Q
- коэффициент, учитывающий влияние дорожных условий и состава транспортного
потока на скорости движения;
υ0
-
средняя скорость свободного движения однородного потока состоящего из легковых
автомобилей, на прямолинейном горизонтальном участке дороги с приезжей частью
шириной 7,5 м, краевыми полосами шириной по 0,75, укрепленный обочинами шириной
по 3,5 м (тд0 = 80 км/ч);
α- коэффициент,
зависящий от доли легковых автомобилей в составе транспортного потока;
Кα
- поправочный коэффициент к значению ;
NЧ
- интенсивность движения, авт./ч. определяемая ранее.
Значения величин входящих в формулу:
где tc,
tB, t3,
tr - количество дней
в году соответственно с сухим, влажным, заснеженным покрытием и с гололедом;
c,
B,
3,
r
~ коэффициент снижения скорости: для сухого покрытия
с-
1,0 , влажного
в=
0,85 , заснеженного
3=
0,8, при гололеде
г=0,45.

где τl
, τ2
,... τ9
- коэффициенты, определяемые по таблице.
Средняя скорость потока автомобилей для дороги
или участка протяженностью L
где n
- количество участков, однородных по дорожным условиям;
Li
-
протяженность одного участка, км;
υi
- скорость потока автомобилей для одного участка дороги.
Влияние дорожных условий на
безопасность движения
Безопасность движения по дорогам может быть
достигнута только при условии одновременного проведения комплекса мероприятий:
ü совершенствования конструкции
автомобилей и других транспортных средств;
ü содержания транспортных средств в
надлежащем техническом состоянии;
ü психофизиологическом отборе,
качественной подготовке и постоянном повышении квалификации водителей;
ü строгого соблюдения водителями и
пешеходами правил дорожного движения;
ü обеспечения планом и продольным
профилем дорог возможности движения автомобилей с высокими скоростями;
ü поддержания дорожно-эксплуатационной
службой транспортных качеств дорог, путем обеспечения необходимой прочности,
ровности, коэффициента сцепления покрытий, необходимых расстояний видимости и
т.д.;
ü надлежащей информации водителей о
дорожных условиях и правильном режиме движения путем установки дорожных знаков,
издания маршрутных дорожных схем и карт, использования сети местного
радиовещания и телевидения.
Статистика дорожно-транспортных происшествий
учитывает количество происшествий за определенный период времени. Для сравнения
относительной опасности маршрутов или отдельных участков дороги используют
коэффициент относительной аварийности число происшествий на 1 млн. авт./км
пробега для длинных участков дороги или на 1 млн. прошедших автомобилей для
коротких участков дороги (мост, пересечение, кривая малого радиуса и т.п.).
Официальная статистика относит к числу
дорожно-транспортных происшествий, вызванных дорожными условиями, сравнительно
небольшой процент, полагая, что подавляющее большинство происшествий возникает
в результате неправильных действий водителей. Более глубокий анализ
обстоятельств возникновения дорожных происшествий показывает, что во многих из
них проявлялось сопутствующее влияние дороги, осложняющей управление и
вызывающей ошибки водителей.
Дорожно-транспортные происшествия чаще всего
возникают в местах, где водители сталкиваются с внезапным осложнением дорожных
условий, вызывающим необходимость изменения сложившегося ритма движения, чаще
всего резкого снижения скорости. В этих местах в связи с неблагоприятными
сочетаниями элементов плана и профиля, скользкого дорожного покрытия,
ухудшением его ровности, возможностью внезапного появления пешеходов и т.п.
допустима только ограниченная скорость.
В то же время, если на предшествующих участках
причины для ограничения скорости отсутствуют, то водители с замедленной
реакцией, ослабленным вниманием, неопытные или недисциплинированные, следующие
с повышенной скоростью, не считаясь с особенностями расположенных впереди
участков дороги, неожиданно сталкиваясь с необходимостью резкого снижения
скорости, могут попасть в аварийную ситуацию.
Основным показателем безопасности дороги для
движения является отсутствие на дороге мест, на которых происходит резкое
изменение скорости движения транспортного потока на коротком участке пути, а
также малый перепад скоростей на таких участках.
Исследования психофизиологических процессов,
возникающих в организме водителей, показали, что проезд трудных участков дороги
всегда сопровождается резким повышением их эмоциональной напряженности.
Устранение опасных и неудобных для движения участков дороги обеспечивает
одновременно и существенное улучшение условий труда водителей. Хотя на опасных
участках в аварии попадают только единичные автомобили, на этих участках весь
транспортный поток снижает скорость движения, что уменьшает эффективность
использования автомобильного транспорта. Поэтому повышение безопасности
движения транспорта обеспечивает одновременно снижение стоимости автомобильных
перевозок, улучшение условий труда водителей и повышение комфортабельности
пассажирских сообщений. Наиболее опасными на дорогах являются:
v участки резкого уменьшения на коротком
протяжении дороги допускаемых скоростей движения, обеспечиваемы элементами
плана и продольного профиля, преимущественно в связи с недостаточной видимостью
и малыми радиусами кривых или отсутствием виражей;
v участки резкого несоответствия одного из
элементов дороги скоростям движения, обеспечиваемым другими ее элементами
(скользкое покрытие на кривой большого радиуса, узкий малый мост на длинном
горизонтальном, прямом участке, кривая малого радиуса среди затяжного спуска и
др.);
v участки, где план и продольный профиль дороги
создают возможность значительного возрастания скоростей, которые могут
превысить безопасные при данной ровности и шероховатости покрытия (затяжные
спуски на прямых участках);
v участки, где у водителей может возникнуть
неправильное представление о дальнейшем направлении дороги;
v места слияния или пересечения потоков движения
на перекрестках, съездах и примыканиях, переходно-скоростных полосах;
v места, где имеется возможность неожиданного
появления на дороге пешеходов и выезда транспортных средств с придорожной
полосы;
v участки, где однообразность придорожного
ландшафта, плана и профиля дороги способствует потере водителями легковых
автомобилей контроля за скоростью или же где такое однообразие приводит к
утомлению и сонливости водителей грузовых автомобилей.
Для выявления участков дороги, характеризующихся
неудачными сочетаниями элементов, создающими опасность возникновения дорожно-транспортных
происшествий, а также для оценки относительной опасности маршрута следует
применять методы коэффициентов аварийности и коэффициента безопасности.
Оценки
относительной опасности участков дороги и выявление опасных мест методом
коэффициентов аварийности
Метод коэффициентов аварийности основан на
обобщении данных статистики дорожно-транспортных происшествий. Он особенно
удобен для анализа участков дорог, находящихся в эксплуатации и подлежащих
реконструкции. Разновидностью этого метода является иногда применяемый метод
«коэффициентов относительной безопасности движения», представляющих собой
величины, обратные коэффициентам аварийности.
Степень опасности участков дороги
характеризуется итоговым коэффициентом аварийности, который представляет собой
произведение частных коэффициентов, учитывающих влияние отдельных элементов
плана и профиля:
где К1 ,К2 ,К3.....К18
- частные коэффициенты аварийности, представляющие собой количества
происшествий при том или ином значении элемента и профиля по сравнению с прямым
эталонным горизонтальным участком дороги, имеющим проезжую часть шириной 7 -
7,5м и укрепленные широкие обочины.
В проектах новых дорог не следует допускать
участки, для которых итоговый коэффициент аварийности превышает 10-15. В
проектах капитального ремонта или реконструкции дорог в условиях пересеченного
рельефа местности необходимо предусмотреть перестройку участков с
коэффициентами аварийности 25-40 в зависимости от местных условий. Организациям
до-рожно-эксплуатационной службы рекомендуется: наносить разметку проезжей
части, запрещающую обгон с выездом на полосу встречного движения, при
коэффициенте аварийности более 10-20, запрещать обгон и ограничивать скорости
движения при коэффициентах аварийности, превышающих 20-40.
Сначала назначают частные коэффициенты
аварийности, имеющие одинаковые значения для всей дороги или для сравнительно
больших по протяженностью ее участков.
К таким коэффициентам относят:
К1 -
учитывает интенсивность движения;
К2
- характеризует влияние ширины проезжей части;
К3 -
отражает влияние обочин;
К9
- учитывает число полос движения;
К18 -
отражает влияние коэффициента сцепления покрытия.
Затем выбирают коэффициенты для отдельных
элементов дороги и наносят их на линейный график с учетом зон влияния.
Расчеты удобно вести в табличной форме,
последовательно перемножай коэффициенты, соответствующие отдельным участкам.
График коэффициентов аварийности строят на
миллиметровой бумаге, строго придерживаясь масштаба и нанося границы отдельных
участков, в пределах которых находятся определенные частные коэффициенты
аварийности с учетом их зон влияния. По результатам расчетов строят эпюру
итоговых коэффициентов аварийности.
Для анализируемой дороги опасными считаются
участки с итоговым коэффициентом аварийности более 40.
Список использованной литературы
1. В.Ф.
Бабков: Дорожные условия и безопасность движения. М: Транспорт, 1982.
2. B.C.
Пресняков: Автомобильные дороги. Примеры проектирования. М: Транспорт, 1983.
. Г.А.
Федотов: Проектирование автомобильных дорог Справочник. М.: Транспорт, 1989.
. Е.А.
Меркулов, Э. Я Турчихин и др. Проектирование дорог и сетей пассажирского
транспорта в городах. Учебное пособие для ВУЗов. Изд. 3-е. М: Стройиздат, 1980.
496 с.
. В.В
Амбарцумян и др. Безопасность дорожного движения. М.: Машиностроение, 1998.
. Б.Е.
Боровский: Безопасность движения автомобильного транспорта. Лениздат. 1984.