Аналитическая теория чисел. L-функция Дирихле

  • Вид работы:
    Реферат
  • Предмет:
    Математика
  • Язык:
    Русский
    ,
    Формат файла:
    MS Word
    421,60 kb
  • Опубликовано:
    2011-06-15
Вы можете узнать стоимость помощи в написании студенческой работы.
Помощь в написании работы, которую точно примут!

Аналитическая теория чисел. L-функция Дирихле

Содержание

Введение

§1. Характеры Дирихле и L-функции Дирихле

§2. Функция θ(x ,χ), её функциональное уравнение

§3. Аналитическое продолжение L-функции Дирихле на комплексную плоскость

§4. Функциональное уравнение для L-функции Дирихле. Тривиальные нули L-функции Дирихле

§5. Нетривиальные нули L-функции Дирихле

.1 Теорема Вейерштрасса о разложении в произведение целых функций

.2 О бесконечности целых нетривиальных нулей L-функции Дирихле 12

§6. Обобщенная гипотеза Римана

Библиографический список

Введение

Теория L-функций Дирихле развилась в одно из важнейших вспомогательных средств аналитической теории чисел. Большую роль в приложениях играет исследование нулей L-функций Дирихле.

В аналитической теории чисел L-функция Дирихле играет такую же роль, как и ζ-функция при решении задач теории чисел, а именно задач, связанных с распределением простых чисел в арифметических прогрессиях и в задачах, связанных с оценками арифметических сумм.

Предметом исследования данной курсовой работы является распределение значений L-функций Дирихле, результаты Гурвица о выводе функционального уравнения для L-функции Дирихле и как следствие, показать, что L-функции Дирихле в критической полосе имеют бесконечное число нулей. Эти функции ввел в 1837 г. Густав Дирихле при исследовании вопроса о распределении простых чисел в арифметических прогрессиях. Основные результаты были получены в 1922 году А. Гурвицем.

В данной курсовой работе изложение материала отражает основные свойства L-функций Дирихле и соответствует результатам, полеченным Гурвицем касающимся L-функций Дирихле.

В заключении данной работы приводится гипотеза о распределении нулей дзета-функции, сформулированная Бернхардом Риманом в 1859 году. Гипотеза Римана входит в список семи «проблем тысячелетия».

§1. Характеры Дирихле и L-функции Дирихле

Прежде всего определим характеры по модулю k, равному степени простого числа, и докажем их основные свойства. Характеры по произвольному модулю к определим затем через характеры по модулю, равному степени простого числа; при этом основные свойства последних сохранятся.

Пусть k=ра, где р> 2 - простое число, α≥1. Как известно, по модулю k существуют первообразные корни, и пусть g - наименьший из них. Через ind n будем обозначать индекс числа п, (п, к) = 1, по модулю k при основании g, т. е. число γ = γ(п) = ind n такое, что

(mod k).

Определение 1.1. Характером по модулю k= ра, р>2 - простое, α≥ 1, называется конечнозначная мультипликативная периодическая функция χ(n), областью определения которой является множество целых чисел п, и такая, что

где т - целое число.

Из определения характера видно, что функция зависит от параметра т, является периодической по т с периодом φ(k), т. е. существует, вообще говоря, φ(k) характеров по модулю k, которые получаются, если брать т равным 0, 1, ..., φ(k) - 1.

Пусть теперь k = 2α, α≥ 3. Как известно, для любого нечетного числа п существует система индексов γ0 = γ0(п) и γ1 = γ1(n) по модулю k, т. е. такие числа γ0 и γ1 , что


Таким образом, числа γ0 и γ1 определяются с точностью до слагаемых, кратных соответственно 2 и 2α-2.

Определение 1.2. Характером по модулю к = , α≥1, называется функция  областью определения которой является множество целых чисел п, определенная одной из следующих формул:


Где m0 , m1 целые числа.

Из определения 1.2. видно, что функция  зависит от параметров т0 и m1является периодической по m0 и m1, с периодами соответственно 2 и 2α-2 т. е. существует, вообще говоря, φ(k), =< φ(kα) характеров по модулю k = 2α, которые получаются, если брать m0 , равным 0, 1, а m1 равным 0, 1, ..., 2α-2 - 1.

Ввиду того, что индекс числа или система индексов числа периодические с периодом, равным модулю функции, аддитивные, т. е. индекс произведения (соответственно система индексов произведения) равняется сумме индексов сомножителей (соответственно сумме систем индексов сомножителей), получаем следующие свойства характера χ (п):

1.  по модулю k- периодическая с периодом k функция, т. е.

;

2. -мультипликативная функция, т. е.

Очевидно также, что

χ(1) = 1.

L-ряды Дирихле - функции комплексного переменного, подобные дзета-функции Римана, введены Дирихле при исследовании вопроса о распределении простых чисел в арифметических прогрессиях. Везде ниже под L-рядом будем понимать L-ряд Дирихле.

Пусть k - натуральное число и χ - какой-либо характер по модулю k.

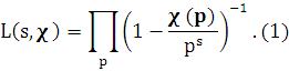
Определение 1.3. L-функцией называется ряд Дирихле вида:


Ввиду того, что|χ(n)|≤1, следует аналитичность L(s, χ) в полуплоскости Re s>l. Для L(s, χ) имеет место аналог формулы Эйлера (эйлеровское произведение).

Лемма 1.1. При Re s > 1 справедливо равенство


Доказательство. При X > 1 рассмотрим функцию


Так как Re s > 1, то


следовательно,


(воспользовались мультипликативностью χ(n) и однозначностью разложения натуральных чисел на простые сомножители). Далее,


где σ=Re s>l. Переходя в (2) к пределу Х→+∞, получим утверждение леммы.

Из (1) находим


т. е. L(s, χ)≠0 при Re s>l. Если характер χ по модулю k является главным, то L(s, χ) лишь простым множителем отличается от дзета-функции ζ(s).

Лемма 1.2. Пусть χ(n) = χ 0(n) по модулю k. Тогда при Re s> 1

Доказательство леммы следует из (6) и определения главного характера χ0(n).

Следствие. L(s, χ) - аналитическая функция во всей s-плоскости, за исключением точки s = 1, где она имеет простой полюс с вычетом, равным


Если характер χ(n) является производным, a χ1(n) - примитивный характер по модулю k1, kt\k, отвечающий χ(n), то L(s, χ)лишь простым множителем отличается от L(s, χ1).

Лемма 1.3. Пусть χ1- примитивный характер по модулю k1 и χ - индуцированный χ1 производный характер по модулю k, kt ≠ k. Тогда при Re s > 1


Доказательство леммы следует из (1) и свойств χ1 и χ.

Функцию L(s, χ) можно продолжить в полуплоскость Re s > 1

Лемма 1.4. Пусть χ≠χ0, тогда при Re s>0 справедливо равенство


Где


Доказательство. Пусть N ≥1, Re s>l. Применяя преобразование Абеля, будем иметь


Где


Переходя к пределу N → +∞, получим (8) при Re s>l. Но |S(x)|≤φ(k); поэтому интеграл в (3) сходится в полуплоскости Re s > 0 и определяет там аналитическую функцию, что и требовалось доказать.

§2. Функция θ(x ,χ), её функциональное уравнение

Функциональное уравнение будет получено для L(s, χ)с примитивным характером χ; тем самым и в силу леммы 3 L(s, χ) будет продолжена на всю s-плоскость при любом χ. Вид функционального уравнения зависит от того, четным или нечетным является характер χ, т. е. χ(-1)=+1 или χ(-1)=-1

Прежде чем вывести функциональное уравнение для L(s, χ) и продолжить L(s, χ) на всю s-плоскость, докажем вспомогательное утверждение, аналогичное функциональному уравнению для θ(х) (см. лемму 3, IV).

Лемма 2.1. Пусть χ - примитивный характер по модулю k. Для четного характера χ определим функцию θ (x, χ) равенством


а для нечетного характера х определим функцию θ1(x, χ) равенством


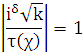
Тогда для введенных функций θ (x, χ) и θ1(x, χ) справедливы следующие соотношения (функциональные уравнения):


где τ(χ) - сумма Гаусса.

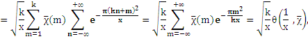
Доказательство. Воспользуемся доказанным в лемме 3, IV равенством


где x > 0, α - вещественное.

Имеем


что доказывает равенство (6).

Чтобы доказать равенство (7), продифференцируем почленно (8) и заменим x на х/к, α на m/k (указанные ряды можно почленно дифференцировать, так как получающиеся после этого ряды равномерно сходятся). Получим


Отсюда, как и выше, выводим


Лемма доказана.

§3. Аналитическое продолжение L-функции Дирихле на комплексную плоскость

Получим аналитическое продолжение функции L(s, χ) в область Re s >0.

Лемма 3.1.Пусть χ(n) - неглавный характер по модулю m,


Тогда при Re s > 1 справедливо равенство


Доказательство. Пусть N≥1, Re s >1 . Применяя частное суммирование, будем иметь


Где c(x)=S(x)-1. Так как |c(x)|≤x , то, переходя к пределу N, получим


Что и требовалось доказать.

§4. Функциональное уравнение для L-функции Дирихле. Тривиальные нули L-функции Дирихле

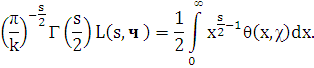
Теорема 4.1. (функциональное уравнение). Пусть χ- примитивный характер по модулю k,


Тогда справедливо равенство


Доказательство, по-существу, повторяет вывод функционального уравнения для дзета-функции (теорема 1, IV).

Предположим, что χ(-1)=+1. Имеем


Умножая последнее равенство на χ (п) и суммируя по п, при Re s > 1 получим


Ввиду того, что χ - четный характер, имеем


Разбивая последний интеграл на два, производя в одном из них замену переменной интегрирования (х → 1/х) и пользуясь (6), найдем


Правая часть этого равенства является аналитической функцией при любом s и, следовательно, дает аналитическое продолжение L(s, χ) на всю s-плоскость. Так как Г(s/2)≠0, то L(s, χ) - регулярная всюду функция. Далее, при замене s на 1 - s и χ на , правая часть (10) умножается на , так как χ(- 1)=1 и, следовательно, τ(χ) τ()= τ(χ) = k. Отсюда получаем утверждение теоремы при δ = 0.

Предположим, что χ(-1) = -1. Имеем


Следовательно, при Re s > 1

Последнее равенство дает регулярное продолжение L(s, χ) на всю s-плоскость; правая часть его при замене s на 1 - s и χ на, умножается на i ввиду того, что

τ(χ) τ()= -k.

Отсюда получаем утверждение теоремы при δ = 1. Теорема доказана.

Следствие. L(s, χ) - целая функция; если χ (-1) = +1, то единственными нулями L(s, χ) при Re s ≤ 0 являются полюсы Г , т. е. точки s = 0, -2, -4, ...;

если χ (-1) = -1, то единственными нулями L(s, χ) при Re s ≤ 0 являются полюсы Г  т. е. точки s = -1, -3, -5, .. .


§5. Нетривиальные нули L-функции Дирихле

Тривиальные нули L-функции Дирихле

ξ(s, χ) - целая функция; если χ (-1) = +1, то единственными нулями L(s, χ) при Re s≤0 являются полюсы ,т. е. точки s =0, -2. -4, ...; если χ (-1) = -1, то единственными нулями L(s, χ) при Re s≤0 являются полюсы  т.е. точки s = -1,-3, -5, .. .

.1 Теорема Вейерштрасса о разложении в произведение целых функций

Теорема 5.1. Пусть a1, ..., ап, ... - бесконечная последовательность комплексных чисел, причем

< |a1| ≤ |a1| ≤...≤|аn|<...

И lim = 0.

Тогда существует целая функция G(s), которая имеет своими нулями только числа ап (если среди ап есть равные, то нуль G(s) будет иметь соответствующую кратность).

Следствие 5.1. Пусть последовательность чисел a1, ..., ап, ... удовлетворяет условиям теоремы 5.1., и, кроме того, существует целое число р > 0 такое, что сходится ряд


Тогда функция G1(s),


удовлетворяет теореме5. 1.

Теорема 5.2. Каждая целая функция G(s) может быть представлена в виде


где H(s) - целая функция, а числа 0, a1 ,a2, ..., а…,-- нули G(s), расположенные в порядке возрастания их модулей. Если, кроме того, последовательность аn , п = 1,2,..., удовлетворяет условиям следствия 5.1., то


Доказательство. Нули G(s) не могут иметь предельной точки, т. е. их можно расположить в порядке возрастания модулей. По теореме 5.1. построим целую функцию G1 (s), имеющую своими нулями нули G(s). Полагая

 при s≠an,


видим, что φ(s) - целая функция, нигде не равная нулю, т. е. и логарифм φ(s) - целая функция. Но тогда φ(s) = eH(s), где H(s) - целая функция. Так же доказывается второе утверждение теоремы. Теорема доказана.

Теорема 5.3. Пусть G(s)- целая функция конечного порядка α и G(0)≠0, sn - последовательность всех нулей G(s), причем 0 < |s1| ≤ |s2| ≤ ... ≤|sn|≤ ... Тогда последовательность sn имеет конечный показатель сходимости β≤α,


Где p≥0- наименьшее целое число, для которого


g(s)- многочлен степени g ≤α и α = max (g, β) Если, кроме того, для любого с > 0 найдется бесконечная последовательность r1, r2, ..., rn, ..., rn +∞, такая, что

max |G(s)|>, |s| = rn , n = 1, 2, …,

то α=β и ряд расходится.

5.2 О бесконечности целых нетривиальных нулей L-функции Дирихле

Из следствия к теореме 4.1 видно, что функция L(s, χ), χ - примитивный характер, имеет в полуплоскости Re s < 0 лишь действительные нули; эти нули являются полюсами  или  называются тривиальными; тривиальным также называется нуль s = 0. Кроме тривиальных функция L(s, χ) имеет подобно дзета-функции бесконечно много нетривиальных нулей, лежащих в полосе (критическая полоса) 0 ≤ Re s ≤ 1.

Теорема 5.1. Пусть χ - примитивный характер. Тогда функция ξ(s, χ) является целой функцией первого порядка, имеющей бесконечно много нулей ρn таких, что 0≤Re ρn ≤ 1, ρn ≠0, причем ряд расходится, а ряд


сходится при любом ε > 0. Нули ξ(s, χ) являются нетривиальными нулями L(s, χ).

Доказательство. При Re ≥1/2


Последняя оценка |ξ(s, χ)| в силу функционального уравнения (9) из §4 и равенства


справедлива также при Re s<l/2; кроме того ξ(0, χ)≠ 0. Поскольку In Г(s) ~ s ln s при s -> +∞, по теореме 5.3 получаем первое утверждение теоремы. Так как L(s, χ)≠0 при Re s>l, то из


следует, что ξ(s, χ) ≠0 при Re s < 0, т. о. нули ξ(s, χ) являются нетривиальными нулями L(s, χ),лежащими в полосе 0≤Re s≤l. Теорема доказана.

§6. Обобщенная гипотеза Римана

Функция ζ(s) определена для всех комплексных s≠1 , и имеет нули для отрицательных целых s = -2, -4, -6 .... Из функционального уравнения

,

и явного выражения

 

при Re s >1 следует, что все остальные нули, т.е. нетривиальные, расположены в полосе 0≤Re s ≤ 1 симметрично относительно критической линии . Гипотеза Римана утверждает, что:

Все нетривиальные нули дзета-функции имеют действительную часть, равную .

Обобщённая гипотеза Римана состоит из того же самого утверждения для обобщений дзета-функций, то есть L-функций Дирихле

Библиографический список

1. А.Л. Карацуба, Основы аналитической теории чисел // 2-е над.- М.: Наука. Главная редакция физико-математической литературы, 1983. -240 с.

2.       С.М. Воронин, А.А. Карацуба, Дзета-функция Римана // М.: Физматлит. 1994. -376с.

Похожие работы на - Аналитическая теория чисел. L-функция Дирихле

 

Не нашли материал для своей работы?
Поможем написать уникальную работу
Без плагиата!
Без нейросетей!