Амортизация основных средств предприятия

  • Вид работы:
    Дипломная (ВКР)
  • Предмет:
    Эктеория
  • Язык:
    Русский
    ,
    Формат файла:
    MS Word
    1,05 Mb
  • Опубликовано:
    2011-08-08
Вы можете узнать стоимость помощи в написании студенческой работы.
Помощь в написании работы, которую точно примут!

Амортизация основных средств предприятия













Курсовая работа

тема: «Амортизация основных средств предприятия»

Введение

Безусловно, чтобы происходило нормальное функционирование предприятия, необходимо наличие определенных средств и источников. Основные средства - это часть имущества, используемая при производстве продукции, выполнении работ или оказании услуг, либо для управления организацией

На протяжении длительного периода использования основные средства поступают на предприятие и передаются в эксплуатацию; изнашиваются в результате эксплуатации; подвергаются ремонту, при помощи которого восстанавливаются их физические качества; перемещаются внутри предприятия; выбывают с предприятия вследствие ветхости или нецелесообразности дальнейшего использования.

Актуальность данной темы заключается в том, что основные средства играют огромную роль в процессе труда, так как они в своей совокупности образуют производственно-техническую базу и определяют производственную мощность предприятия.

Объектом исследования является ОАО «Ливенский завод противопожарного машиностроения» («ЛЗПМ»).

Предмет исследования - амортизация основных средств.

Целью написания курсовой работы является разработка мероприятий по эффективному использованию основных средств ОАО «ЛЗПМ».

Из поставленной цели вытекают следующие задачи:

исследовать основные средства, как часть имущества предприятия;

оценить использование основных средств ОАО «ЛЗПМ» за 2006-2008 гг.;

разработать мероприятия по эффективному использованию основных средств ОАО «ЛЗПМ».

Наиболее полная реализация потенциала, заложенного в основных средствах, возможна при условии комплексного использования всех резервов повышения эффективности их применения в процессе создания продукции и услуг.

1. Основные средства, как часть имущества предприятия

.1 Понятие основных средств и их классификация

Основные средства играют огромную роль в процессе труда, так как они в своей совокупности образуют производственно-техническую базу и определяют производственную мощность предприятия.

Основные средства (фонды) представляют собой совокупность материально-вещественных объектов и ценностей, действующих в неизменной натуральной форме в течение длительного периода. Это средства, создающие материально-техническую основу и условия производственно-хозяйственной деятельности предприятия. Основные средства подразделяются на производственные и непроизводственные.

Отличительной особенностью основных средств является их многократное использование в процессе производства, сохранение первоначального внешнего вида (формы) в течение длительного периода. Под воздействием производственного процесса и внешней среды они постепенно изнашиваются и переносят свою первоначальную стоимость на затраты производства путем начисления износа (амортизации) по установленным нормам, чтобы за срок полезного использования эту стоимость возместить.

Срок полезного использования представляет собой период времени, в течение которого использование основных средств должно приносить доход или служить для выполнения целей деятельности предприятия. Он определяется предприятием самостоятельно, исходя из ожидаемого срока использования и физического износа, зависящего от режима эксплуатации (количества смен), естественных условий и влияния среды и т.п. [3; с. 22].

Основные средства предприятия разнообразны по составу и назначению. К основным средствам относятся: здания, сооружения, рабочие и силовые машины и оборудование, измерительные и регулирующие приборы и устройства, вычислительная техника, транспортные средства, инструмент, производственный и хозяйственный инвентарь и принадлежности, рабочий, продуктивный и племенной скот, многолетние насаждения, внутрихозяйственные дороги и прочие соответствующие объекты [9; с. 197].

. Здания производственно-технические, служебные и другие, предназначенные для размещения основных, вспомогательных и подсобных производств. К этой группе относят здания заводоуправления, лабораторий, складов, котельных, овощехранилищ и др.

. Сооружения - инженерно-строительные объекты, обслуживающие производство (водопроводные, гидротехнические, канализационные, очистные сооружения, водонапорные башни, дороги, ограждения, плотины).

. Передаточные устройства, с помощью которых производится передача электрической, тепловой или механической энергии от машин-двигателей к рабочим машинам (электросети, теплосети), а также передача жидких и газообразных веществ (газопроводы, водопроводные сети и т.д.).

. Машины и оборудование, в том числе:

.1. Силовые машины и оборудование. К ним относят машины-генераторы для производства электрической и тепловой энергии, а также машины-двигатели и др.

.2. Рабочие машины и оборудование - средства труда, которые изменяют форму, свойства или состояние материала. К ним относят орудия производства, предназначенные для механического, термического, химического, электрического воздействия на предмет труда (металлорежущее, прессовое, химическое, электросварочное оборудование и т.д.).

.3. Измерительные и регулирующие приборы и устройства и лабораторное оборудование. В эту группу включают приборы и аппараты, используемые в производстве для автоматического управления, измерения, регулирования и контроля температуры, давления, скорости, массы.

.4. Вычислительная техника. К ней относят различные ЭВМ, управляющие, аналоговые и цифровые вычислительные устройства, а также периферийное оборудование для сбора, фиксации и передачи информации.

. Транспортные средства. К ним относят средства внутрицехового и внутрипроизводственного, межцехового и внепроизводственного транспорта (конвейеры, электрокары и др.). Транспортные средства служат для перемещения людей, средств и предметов труда.

. Инструмент. В эту группу включают режущий, измерительный инструмент, пресс-формы, приспособления к машинам и станкам, срок службы которых более года или стоимость которых свыше 100-кратного размера минимальной месячной оплаты труда за единицу, независимо от срока службы.

. Производственный и хозяйственный инвентарь и принадлежности. В эту группу включают предметы производственного, хозяйственного и конторского назначения: столы, верстаки, контейнеры, пишущие машинки, счетные приборы и т.д.

. Земельные участки и предметы природопользования [3; с. 24].

В составе основных средств учитываются также: капитальные вложения на коренное улучшение земель (осушительные, оросительные и др.); капитальные вложения в арендованные объекты основных средств; земельные участки, объекты природопользования (вода, недра и другие природные ресурсы [5; с. 2].

Основные средства подразделяются на производственные и непроизводственные.

К производственным основным средствам (фондам) относят здания, сооружения, оборудование, машины, транспортные средства и другие объекты, функционирующие в сфере материального производства. Сохраняя первоначальную натуральную форму, они перекосят свою стоимость на изготовляемую или добываемую с их участием продукцию, выполняемые работы или оказываемые услуги частями в сумме начисленной амортизации (износа).

Объекты основных средств, функционирующие в отраслях непроизводственной сферы (жилищно-коммунальное хозяйство, учреждения науки, культуры, здравоохранения и т.п.), предназначены для непроизводственного потребления; амортизация по ряду объектов включается в расходы на содержание соответствующих подразделений предприятия или самостоятельных учреждений [2; с. 67].

По принадлежности основные средства подразделяются на 1) собственные и 2) арендованные. Собственные основные средства предприятия числятся у него на балансе, а арендованные принадлежат другому предприятию и эксплуатируются предприятием временно за определенную плату.

По характеру участия в производственном процессе основные средства делятся на активную и пассивную части. К активной части основных средств относятся средства, непосредственно воздействующие на предмет труда - оборудование, машины, приборы, инструменты. Так как производственная мощность и производительность труда зависят от величины активной части основных средств, то следует стремиться к повышению их удельного веса.

К пассивной части относятся основные средства, содействующие производственному процессу: здания, сооружения, передаточные устройства, инвентарь и принадлежности.

Соотношение стоимости отдельных групп основных средств к их общей стоимости характеризует структуру основных средств.

В машиностроении велик удельный вес зданий - 36,7%, рабочих машин и оборудования - 41%, в то время как по промышленности в целом он составляет соответственно 27,9% и 29,2%. Удельный вес сооружений 6,5%, передаточных устройств 3,7%, силовых машин и оборудования 2,3% ниже, чем по промышленности: 18,8%; 10,6%; 7,5%. Эти различия объясняются спецификой технологических процессов в машиностроении [3; с. 25].

На структуру основных средств влияют:

тип производства;

характер выпускаемой продукции - габариты, вес, количество деталей;

технический уровень предприятия;

географическое размещение и климатические условия.

Технологическая структура основных средств характеризуется удельным весом различных видов основных средств внутри определенной их группы.

Например, в группе металлорежущего оборудования определяется удельный вес станков с ЧПУ, агрегатных станков, автоматов и автоматических линий, гибких производственных систем.

Основные средства поступают на предприятие по следующим каналам:

как вклад в Уставный капитал одного из учредителей или в оплату акций акционерного общества;

путем приобретения (строительства) основных средств за плату через долгосрочные инвестиции;

в результате безвозмездной передачи от других юридических или физических лиц;

вследствие аренды (лизинга) с правом или без права выкупа. Основные средства могут выбывать с предприятия по следующим основным причинам:

невозможность дальнейшей эксплуатации из-за износа, ветхости путем списания объекта основных средств с баланса и его полной ликвидацией. Оформляется актом, который подписывается руководителем предприятия и главным бухгалтером;

реализация объекта другому физическому или юридическому лицу по договорным ценам. Сделка оформляется договором купли-продажи;

безвозмездная передача (дарение);

внесение в виде вклада в Уставный капитал другого предприятия;

сдача в долгосрочную аренду [3; с. 23].

Таким образом, можно сделать вывод о том, что основные средства оказывают непосредственное воздействие на эффективность производства, качество работы и результаты всей финансово-хозяйственной деятельности предприятий.

основной средство воспроизводство амортизация

1.2 Оценка основных средств, учет и анализ

Для правильного учета основных средств необходим единый принцип их денежной оценки. В хозяйственной практике различают первоначальную (балансовую) восстановительную, остаточную, ликвидационную и среднегодовую стоимости основных фондов.

Первоначальная стоимость основных средств включает все затраты по их возведению, сооружению и приобретению, включая проектно - изыскательские работы, благоустройство территории, расходы по доставке, монтажу и установке.

В первоначальную стоимость приобретенного оборудования входит его покупная стоимость, расходы на транспортировку, погрузку и разгрузку, страхование и хранение груза, таможенные пошлины, налоги, сборы и другие расходы [3; с. 25].

Первоначальной стоимостью основных средств, приобретенных за плату, признается сумма фактических затрат организации на приобретение, сооружение и изготовление, за исключением налога на добавленную стоимость и иных возмещаемых налогов.

Фактическими затратами на приобретение, сооружение и изготовление основных средств являются:

суммы, уплачиваемые в соответствии с договором поставщику (продавцу), а также суммы, уплачиваемые за доставку объекта;

суммы, уплачиваемые организациям за осуществление работ по договору строительного подряда и иным договорам;

суммы, уплачиваемые организациям за информационные и консультационные услуги, связанные с приобретением основных средств;

таможенные пошлины и таможенные сборы;

невозмещаемые налоги, государственная пошлина, уплачиваемые в связи с приобретением объекта основных средств;

иные затраты.

Правильный учет основных средств должен обеспечить получение документально обоснованных данных о наличии и движении основных средств по местам их нахождения (эксплуатации), а в необходимых случаях и в разрезе лиц, ответственных за их сохранность, правильное начисление амортизации (износа), выявление результатов от реализации и другого выбытия объектов из эксплуатации. Важной задачей бухгалтерии является выявление излишних, неиспользуемых и неэффективно используемых объектов основных фондов и производственных площадей [2; с. 68].

Единицей учета основных средств является инвентарный объект. Инвентарным объектом основных средств признается объект со всеми приспособлениями и принадлежностями или отдельный конструктивно обособленный предмет, предназначенный для выполнения определенных самостоятельных функций, или же обособленный комплекс конструктивно сочлененных предметов, представляющих собой единое целое и предназначенный для выполнения определенной работы.

В случае наличия у одного объекта нескольких частей, сроки полезного использования которых существенно отличаются, каждая такая часть учитывается как самостоятельный инвентарный объект [5; с. 2].

Восстановительная стоимость основных средств определяется умножением первоначальной стоимости основных средств на соответствующий коэффициент пересчета. Коэффициенты пересчета балансовой стоимости основных средств в восстановительную зависят от периода их приобретения.

Восстановительная стоимость вносит единообразие в оценку одних и тех же основных средств, произведенных в разное время.

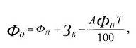
Остаточная стоимость основных средств представляет собой первоначальную или восстановительную стоимость за вычетом износа. Следовательно, остаточная стоимость показывает стоимость основных средств, которая еще не перенесена на производимую продукцию.

Остаточная стоимость рассчитывается по формуле 1.

                                       (1)

где фо - остаточная стоимость основных производственных фондов, руб.;

фп - первоначальная или восстановительная стоимость ОПФ, руб.;

Зк - затраты на капитальный ремонт за весь срок службы ОПФ, руб.;

А - норма амортизации, %;

Т - срок, в течение которого используются ОПФ, годы. Среднегодовая стоимость основных фондов определяется на основе первоначальной стоимости с учетом их ввода и выбывших ОПФ по следующей формуле (2):

                             (2)

где Сл - стоимость выбывших ОПФ в рассматриваемый период руб.;

N-число месяцев функционирования ОПФ, вводимых в рассматриваемом году;

Ni - число месяцев функционирования ОПФ, выбывающих в рассматриваемом году.

Основные фонды занимают, как правило, основной удельный вес в общей сумме основного капитала предприятия. От их количества, стоимости, технического уровня, эффективности использования во многом зависят конечные результаты деятельности предприятия: выпуск продукции, ее себестоимость, прибыль, рентабельность, устойчивость финансового состояния.

Анализ основных фондов может проводиться по нескольким направлениям, разработка которых в комплексе позволяет дать оценку структуры, динамики и эффективности использования основных средств и долгосрочных инвестиций.

Основные направления анализа основных средств и сопутствующие задачи, решаемые в рамках каждого направления представлены в таблице 1.

Таблица 1 - Направления анализа основных средств (ОС)

Основные направления анализа

Задачи анализа

Анализ структурной динамики ОС

Оценка размера и структуры вложений капитала в ОС Определение характера и размера влияния изменения стоимости ОС на финансовое положение предприятия и структуру баланса

Анализ эффективности использования ОС

Анализ движения ОС Анализ показателей эффективности использования ОС Анализ использования времени работы оборудования Интегральная оценка использования оборудования

Анализ эффективности затрат по содержанию и эксплуатации оборудования

Анализ затрат на капитальный ремонт Анализ взаимосвязи объема производства, прибыли и затрат по эксплуатации оборудования

Анализ эффективности инвестиций в ОС

Оценка эффективности капитальных вложений


Выбор направления анализа и решаемых аналитических задач определяется потребностями управления. Анализ структурной динамики основных средств, инвестиционный анализ составляют содержание финансового анализа. Оценка эффективности использования основных средств и затрат по их эксплуатации относятся к управленческому анализу, однако четкой границы между этими видами анализа, как выше уже отмечалось, нет.

Анализ затрат по содержанию и эксплуатации оборудования является составной частью анализа себестоимости продукции.

Методика проведения анализа основных средств нацелена на выбор наилучшего варианта их использования. Поэтому главными особенностями анализа являются: вариантность решений по использованию основных средств и нацеленность на перспективу.

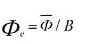
Результатом лучшего использования основных фондов является, прежде всего, увеличение объема производства. Поэтому обобщающий показатель эффективности основных фондов должен строиться на принципе соизмерения производственной продукции со всей совокупностью примененных при ее производстве основных фондов. Это и будет показатель выпуска продукции, приходящейся на 1 рубль стоимости основных фондов, - фондоотдача. Для расчета величины фондоотдачи используется формула 3:

фо = В/Ф                                                     (3)

где Ф - среднегодовая стоимость ОПФ, руб.;

В-среднегодовая стоимость основных производственных фондов предприятия, руб.

Фондоотдача - важнейший показатель использования основных фондов. Повышение фондоотдачи - важнейшая народнохозяйственная задача в период перехода страны к рынку. Следует отметить, что в условиях научно-технического прогресса значительное увеличение фондоотдачи осложнено быстрой сменой оборудования, нуждающегося в освоении, а также увеличением капитальных вложений, направляемых на улучшение условий труда, охрану природы и т.п. Факторы, повышающие фондоотдачу, показаны на рисунке 1.

Рисунок 1 - Факторы роста фондоотдачи

Фондоемкость продукции - величина, обратная фондоотдаче. Она показывает долю стоимости основных фондов, приходящуюся на каждый рубль выпускаемой продукции. Если фондоотдача должна иметь тенденцию к увеличению, то фондоемкость - к снижению. Фондоемкость продукции есть величина, обратная фондоотдаче, которая определяется по формуле 4:

                                                  (4)

Ф - среднегодовая стоимость, руб.;

В - годовая выручка от реализации продукции, руб.

Фондоемкость - очень важный показатель, который органически связан с экономией капиталовложений или с их увеличением. При снижении фондоемкости продукции, но при росте или постоянной выручке от ее реализации наблюдается лучшее использование ОПФ, а, следовательно, появляются условия экономии капиталовложений. Это определяется по формуле 5:

                                         (5)

где Эк - экономия капиталовложений, руб./выручка;

Фе изменения фондоемкости продукции в отчетном году по

сравнению с прошлым, руб.;

В1 прирост выручки за отчетный период, руб.

Показатель фондоотдачи связан с производительностью труда и его фондовооруженностью, которая показана в формуле 6:

                                             (6)

где В - годовая выручка от реализации, руб.;

П - производительность труда, руб./чел.;

Np - среднегодовая численность работников, чел.;

Фво - фондовооруженность труда, руб./чел.

Основным условием роста фондоотдачи, как следует из формулы 3, является превышение темпов роста производительности над темпами роста фондовооруженности труда.

Таким образом, можно сделать вывод о том, что правильного учета основных средств необходим единый принцип их денежной оценки. Различают первоначальную (балансовую) восстановительную, остаточную, ликвидационную и среднегодовую стоимости основных фондов.

1.3 Амортизация и формы воспроизводства основные средств

Под влиянием времени, воздействием сил природы и в процессе эксплуатации основные средства постепенно изнашиваются. Они утрачивают свои первоначальные свойства, физические качества, снижаются их технико-эксплуатационные возможности, в результате уменьшается реальная балансовая стоимость основных средств. По экономическому содержанию различают два вида износа основных средств: физический и моральный.

Под физическим износом понимают постепенную утрату основными фондами своей первоначальной потребительной стоимости, происходящую не только в процессе их функционирования, но и при их бездействии (разрушение от внешних воздействий, атмосферного влияния, коррозии).

Моральный износ - это уменьшение стоимости машин и оборудования под влиянием сокращения общественно необходимых затрат на их воспроизводство (моральный износ первой формы); уменьшение их стоимости в результате внедрения новых, более прогрессивных и экономически эффективных машин и оборудования (моральный износ второй формы). Под влиянием этих форм морального износа основные фонды становятся отсталыми по своей технической характеристике и экономической эффективности. Он встречается в двух видах. Первый связан с тем, что из-за роста производительности труда и совершенствования производства цены на рынке на аналогичное оборудование, используемое на предприятии, снижаются. Его применение становится экономически невыгодным, так как конкурентоспособность снижается по сравнению с подобным оборудованием, но меньшей стоимости, используемым на другом предприятии [3; с. 26].

Второй вид морального износа возникает в связи с тем, что под влияние технического процесса появляются новые, более совершенные производственные и экономические машины, оборудование и т.п. Использование устаревших фондов на предприятии становится не выгодным, так как оно сдерживает рост производительности труда.

Основным источником покрытия затрат, связанных с обновлением основных фондов, в условиях перехода к рыночным отношениям, самофинансирования предприятий являются собственные средства предприятий. Они накапливаются в течение всего срока службы основных фондов в виде амортизационных отчислений.

Амортизация - это денежное возмещение износа основных фондов путем включения части их стоимости в затраты на выпуск продукции. Следовательно, амортизация есть денежное выражение физического и морального износа основных фондов. Амортизация осуществляется в целях полной замены основных фондов при их выбытии. Сумма амортизационных отчислений зависит от стоимости основных фондов, времени их эксплуатации, затрат на модернизацию.

Амортизацию (износ) начисляют ежемесячно по вновь принятым на учет основным средствам начиная с 1-го числа месяца, следующего за месяцем поступления. По выбывшим объектам начисление амортизации прекращают с 1-го числа месяца, следующего за месяцем выбытия из эксплуатации. Расчет производится исходя из 1/12 годовой нормы амортизации по выбывшим и вновь поступившим основным фондам. Техника начисления амортизации основных средств зависит от уровня механизации и автоматизации обработки учетной информации [2; с. 85]

Отношение годовой суммы амортизации к стоимости основных фондов, выраженное в процентах, называется нормой амортизации. Исчисленная в процентах норма амортизации показывает, какую долю своей балансовой стоимости ежегодно переносят средства труда на создаваемую ими продукцию. По установленным нормам амортизационные отчисления включаются в себестоимость готовой продукции.

Важную роль в инвестировании средств в основные фонды играет прибыль. Это обусловливается тем, что в условиях рынка целью соблюдения независимости предприятия желательно использовать собственные средства. Характер распределения средств в основные фонды показан на рисунке 2.

Рисунок 2 - Кругооборот стоимости основных фондов

Основной признак предприятия наличия в его собственности, хозяйственном ведении или оперативном управлении обособленного имущества. Именно оно обеспечивает материально - техническую возможность функционирования предприятия, его экономическую самостоятельность и надежность. Без определенного имущества не могут осуществлять свою деятельность не крупные, не малые предприятия, не индивидуальные предприниматели.

Управление воспроизводством основного капитала является составной частью общей стратегии фирмы по обновлению ресурсов. В основе такой стратегии должен лежать принцип поддержания в рабочем состоянии ресурсов операционной производственной системы. Применительно к основному капиталу этот принцип предусматривает восстановление основных средств посредством ремонта, реконструкции и модернизации. При определении стратегии их проведения необходимо определить и выбрать оптимальное сочетание возможных инвестиционных проектов с учетом финансовых возможностей предприятия.

Существуют различные формы простого и расширенного воспроизводства основных фондов. Формы простого воспроизводства - замена устаревшего средства труда и капитальный ремонт. Предприятия имеют право создавать ремонтный фонд. Годовая сумма отчислений в ремонтный фонд определяется предприятием по самостоятельно утвержденным им нормативам. Этот фонд используется для финансирования всех видов ремонта основных фондов [3; с. 28].

Процесс простого и расширенного воспроизводства основных производственных фондов, представлен на рисунке 3.

Рисунок 3 - Модель простого и расширенного воспроизводства основных средств

К формам расширенного воспроизводства основных фондов относятся новое строительство, расширение действующих предприятий, их реконструкция и техническое перевооружение, модернизация оборудования.

Новое строительство - это процесс расширения производства на новых площадях. Расширение предприятия - строительство дополнительных производств на действующем предприятии, либо строительство или расширение существующих цехов. Реконструкция - это процесс, сочетающий обновление техники и переустройство пассивной части основных средств. В процессе реконструкции могут быть внесены существенные изменения в производственные ресурсы предприятия. Техническое перевооружение - процесс совершенствования производства на новой технической основе, приводящей к существенному повышению технического уровня производства и коренному улучшению экономических результатов производственной деятельности [3; с. 28].

Каждая из этих форм решает определенные задачи, имеет преимущества и недостатки. За счет нового строительства вводятся в действие новые предприятия, на которых все элементы основных фондов соответствуют современным требованиям технического прогресса, решается проблема правильного размещения производительных сил по территории страны.

Формой расширенного воспроизводства основных фондов является и модернизация оборудования, под которой понимается его обновление в целях полного или частичного устранения морального износа второй формы и повышения технико-экономических характеристик до уровня аналогичного оборудования более совершенных конструкций.

Модернизация оборудования может проводиться по нескольким направлениям:

усовершенствование конструкций действующих машин, повышающее их режимные характеристики и технические возможности;

механизация и автоматизация станков и механизмов, позволяющие увеличить производительность оборудования;

перевод оборудования на программное управление. Модернизация оборудования экономически очень эффективна, если в результате ее проведения возрастает годовой объем производства, увеличивается производительность труда и снижается себестоимость продукции. При этом необходимо, чтобы рентабельность производства повышалась. Последнее может быть достигнуто, если относительный прирост прибыли будет больше, чем увеличение стоимости производственных фондов в результате затрат на модернизацию.

Существующие формы воспроизводства основных средств представлены на рисунке 4.

Рисунок 4 - Формы воспроизводства основных средств

Таким образом, из рисунка 4 видно, что существуют различные формы воспроизводства, каждой из которой соответствуют определенные мероприятия.

Повышение эффективности общественного производства зависит от лучшего использования основных фондов.

Процесс простого и расширенного воспроизводства основных средств осуществляется с помощью долгосрочных инвестиций.

Расширенное воспроизводство предполагает обновление основных средств в размерах, превышающих начисленную сумму износа. Источники воспроизводства основных средств представлены на рисунке 7.

Рисунок 7 - Источники воспроизводства основных средств

Источниками долгосрочных инвестиций могут быть: - собственные средства хозяйствующего субъекта;

привлеченные денежные средства, полученные от эмиссии ценных бумаг, паевых и иных взносов юридических и физических лиц;

денежные средства, поступающие в порядке перераспределения из централизованных инвестиционных, ассоциаций и других объединений;

долгосрочные кредиты банков;

средства иностранных инвесторов;

средства внебюджетных фондов;

средства федерального бюджета и бюджетов субъектов РФ.

Собственные средства хозяйствующего субъекта включают первоначальные взносы учредителей и часть денежных средств, полученных в результате финансово-хозяйственной деятельности - амортизационные отчисления и прибыль. Собственные средства предприятия являются основным источником финансирования воспроизводства основных средств. Основной собственный источник капитальных вложений - амортизация. По своей экономической сущности амортизация - это процесс постепенного перенесения стоимости средств труда по мере их износа на производимую продукцию, превращения в денежную форму и накопления ресурсов для последующего воспроизводства основных средств.

Другим важным источником финансирования воспроизводства основных средств является прибыль, остающаяся в распоряжении предприятия. Величина прибыли, направляемая на финансирование инвестиций, определяются предприятием самостоятельно.

Привлеченные финансовые средства включают денежные средства, полученные от размещения акций, взносов членов трудовых коллективов, юридических и физических лиц.

К заемным средствам относятся долгосрочные ссуды коммерческих банков, приобретение основных средств на основе финансового лизинга и инвестиционный налоговый кредит.

Под прочими источниками финансовых ресурсов понимаются другие доходы, отражаемые в финансовом плане предприятия, помимо вышерассмотренных. К прочим доходам предприятия могут относиться: средства ремонтного фонда; мобилизация ресурсов в капитальном строительстве; прибыль и экономия от снижения себестоимости строительно-монтажных работ, выполняемых хозяйственным способом; экономия от снижения цен на оборудование; временно свободные остатки фондов накопления и социального назначения; средства планируемые к получению по перераспределению финансовых ресурсов в системе и другие.

Таким образом, можно сделать вывод о том, что амортизация это денежное возмещение износа основных фондов путем включения части их стоимости в затраты на выпуск продукции. Сумма амортизационных отчислений зависит от стоимости основных фондов, времени их эксплуатации, затрат на модернизацию. Управление воспроизводством основного капитала является составной частью общей стратегии фирмы по обновлению ресурсов.

2. Оценка использования основных средств ОАО «ЛЗПМ» за 2006-2008 года

.1 Общая характеристика деятельности предприятия

В 1992 году в соответствии с Указом Президента РФ от 01.07.1992 года №21 «Ливенский машиностроительный завод» включен в реестр предприятий, подлежащих обязательному преобразованию в акционерное общество открытого типа. На общем собрании трудового коллектива 17 сентября 1992 года было принято решение о приватизации предприятия, а 25 июня 1993 года собрание приняло первый Устав.

С 01.01.2003 года завод был переименован в «Ливенский завод противопожарного машиностроения (ЛЗПМ)». Основным видом деятельности предприятия ОАО «ЛЗПМ» является производство пожарно-технической продукции, насосного оборудования, а также выполнение работ и оказание услуг в области пожарной безопасности.

ОАО «ЛЗПМ» имеет гражданские права и несет обязанности, необходимые для осуществления любых видов деятельности, не запрещенных федеральным законом.

Полное фирменное наименование предприятия - Открытое Акционерное Общество «Ливенский завода противопожарного машиностроения» - зарегистрировано органом инспекции МНС России по городу Ливны Орловской области. Основной государственный регистрационный номер №1025700517842 от 31 декабря 2003 года.

Наименования на иностранном языке не предусмотрено. Идентификационный номер налогоплательщика: ИНН 5702006570.

Отраслевая принадлежность: Код ОКНХ -14541. Местонахождения, почтовый адрес и контактные телефоны: Россия, 303800, город Ливны Орловской области, улица Гражданская 23, код (08677), телефон 2 -23 - 86, 2 - 24 - 86, Email: pompa@liv.orel.ru,

Структура управления ОАО «ЛЗПМ» является линейно-функциональной. Органами управления предприятия являются:

Общее собрание акционеров;

Совет директоров;

Генеральный директор.

Высшим органом Общества является Общее собрание акционеров, которое избирает членов Совета директоров общества, а также назначает генерального директора. Председатель Совета директоров общества избирается членами Совета директоров. Совет директоров общества состоит из 9 человек, руководство текущей деятельностью общества осуществляется генеральным директором, который избирается сроком на 5 лет. В непосредственном подчинении генерального директора находятся: заместитель генерального директора, помощник генерального директора по кадрам и быту, главный бухгалтер и главный инженер, отдел технического контроля, отдел труда и заработной платы, отдел экономического анализа и. др. Управление производством на ОАО «ЛЗПМ» осуществляет заместитель директора по производству.

ОАО «ЛЗПМ» осуществляет следующие виды деятельности: производство пожарно-технической продукции; производство насосного оборудования; производство товаров народного потребления и др.

ОАО «ЛЗПМ» имеет гражданские права и обязанности, необходимые для осуществления любых видов деятельности, не запрещенных федеральным законом. Завод относится к отрасли «Машиностроение и металлообработка».

В номенклатуру выпускаемой предприятием продукции входят порошковые и углекислотные огнетушители, пожарные лафетные стволы, пожарные насосы. В настоящее время завод выпускает: мотонасосы МН-7/60, насосы пожарные ПН-40УВ, стволы пожарные лафетные СШЖ-С60, огнетушители порошковые ОП-2, ОП-3, ОП-4, ОП-8. колонки пожарные, линии напорные, насосы шестеренные НШ-32, НШ-50, насосы для поливомоечных машин НЦ - 60 / 125, углекислотные огнетушители ОУ-2, ОУ-3, ОУ-5. (Приложение Б)

Для производства продукции основными материалами являются алюминиевые сплавы, лист, порошок огнетушащий, латунь, РТИ, химикаты, краски, пластмассы.

ОАО «ЛЗПМ» действует на рынке монополистической конкуренции, состоящего из большого числа независимо действующих продавцов и покупателей данного товара, совершающих сделки не по единой рыночной цене, а в широком диапазоне цен. Наличие диапазона цен связано с предложением потребителям разных вариантов товаров, отличающихся друг от друга качеством, свойствами, внешним оформлением.

Контроль за деятельностью ОАО «Ливенский машиностроительный завод» осуществляют следующие организации: Казначейство, Пенсионный фонд, Государственная налоговая инспекция города Ливны, Орловский центр стандартизации и сертификации - на предмет качества выпускаемой продукции и её соответствия нормативно-технической документации, Областная метрология, Областной комитет по охране окружающей среды и природных ресурсов, Областная инспекция по труду.

У ОАО «ЛЗПМ» имеются свои постоянные поставщики, потребители, конкуренты. Продукция предприятия применяется во всех отраслях промышленности. Изготовление и отгрузка готовой продукции производилось в соответствии с заявками потребителей при условии предварительной оплаты.

Товарный знак предприятия известен по всему миру. Совершались поставки насосов ПН-УВ в Италию, Кубу. По мировым меркам качество выпускаемой продукции находится на среднем уровне. По российским меркам качество выпускаемой продукции находится на высоком уровне.

Конкурентные преимущества:

выгодное географическое положение (центр России);

достаточно низкие цены при хорошем качестве (поставка пускозапорных устройств для огнетушителей из Китая);

гибкая система скидок;

транспортные связи (автомобильные дороги, железнодорожный транспорт);

сеть коммуникации (факс, телефон, телетайп, Интернет).

Производство противопожарной техники в Ливнах становится рентабельным. По результатам участия в III Международной выставке «Пожарная безопасность в XXI веке» ливенское предприятие награждено серебряной медалью за лучшее техническое решение в области изготовления пожарной техники. Мотонасос МН - 7/60, выпускаемый предприятием с 2001 года стал лауреатом конкурса «Сто лучших товаров России».

ОАО «Ливенский завод противопожарного машиностроения стал дипломантом 4-ой Международной специализированной выставки «Пожарная безопасность XXI века», а новинка предприятия - многофункциональный мотонасос прицепной ММП 2400 награжден золотой медалью.

Таким образом, можно сделать вывод о том, что продукция предприятия применяется во всех отраслях промышленности. Изготовление и отгрузка готовой продукции производилось в соответствии с заявками потребителей при условии предварительной оплаты.

2.2 Анализ производственно-хозяйственной деятельности предприятия

Действенным средством выявления внутрихозяйственных резервов, основой разработки научно-обоснованных планов и управленческих решений являются показатели анализа хозяйственной деятельности предприятия, представленные в Приложении В.

Анализа хозяйственной деятельности предприятия ОАО «ЛЗПМ» за последние три года проведен по данным бухгалтерской отчетности (Приложение Г).

Объем производства продукции является важнейшим показателем работы предприятия, оказывающим решающее влияние на формирование других показателей хозяйственной деятельности. На его основе предприятие рассчитывает количество и стоимость сырья, материалов, топлива и электроэнергии, используемых для технологических целей, обосновывает потребность в численности рабочих, фонд заработной платы, определяет себестоимость продукции. Объем производства продукции оказывает непосредственное влияние на показатель объема ее реализации, обусловливает сумму прибыли, получаемой предприятием в результате реализации продукции. Рассмотрим анализ выпуска продукции в таблице 2

Таблица 2 - Анализ выпуска продукции

Показатель

2006 г

2007 г.

2008 г.

Абсолютное изменение

Относительное изменение Тпр, %





06/07

07/08

06/07

07/08

1 Товарная продукциядыс. руб.

103131

134646

125956

31515

-8690

130,6

93,5

2 Реализовано продукции, тыс. руб

106144

124864

135479

18720

10615

117,6

108,5

3 Материальные затраты, тыс. руб

58621

67814

72583

9193

4769

115,7

107,0

4 Чистая продукция, тыс. руб

44510

67063

53373

22553

-13690

150,7

79,6


Из таблицы 2 видно, что в 2008 году объем выпущенной товарной продукции составил 125956 тыс. руб., что на 8690 тыс. руб. меньше в сравнении с 2007 годом и на 31515 тыс. руб., то есть на 130,6% больше по сравнению с 2006 годом. Снижение этого показателя в 2008 году связано со снижением объёма производства. Реализованная продукция в отличие от товарной увеличилась в 2008 г. в сравнении с 2007 г., прирост составил 10615 тыс. руб., то есть 108,5%. Чистая продукция в 2007 году составила 67063 тыс. руб., что на 22553 тыс. руб. больше в сравнении с 2006 годом, но в 2008 году составила 53373 тыс. руб., что на 13690 тыс. руб. меньше с сравнении с 2007 годом или на 79,6%. Уменьшение этого показателя связано со снижением объёма товарной продукции. Материальные затраты в товарной продукции в 2008 году составили 72583 тыс. руб., что на 4769 тыс. руб. больше по сравнению с 2007 годом. Это связано с увеличением затрат на сырье, материалы и полуфабрикаты.

Динамика изменения объёма реализованной продукции рассмотри в таблице 3.

Таблица 3 - Динамика изменения объёма реализованной продукции

Показатель

2006 г

2007 г.

2008 г.

Абсолютное изменение

Относи изме Тп

[тельное нение р, %





06/07

07/08

06/07

07/08

Остатки нереализованной продукции на складе, тыс. руб








- на начало года

10506

9112

17748

-1394

8636

86,7

194,8

- на конец года

9112

17748

10643

Г 8636

-7105

194,8

60,0

Объем реализованной продукции, тыс. руб

106144

124864

135479

18720

10615

117,6

108,5


По данным таблицы 3 видно, что остатки нереализованной продукции в 2007 год в сравнении с 2006 годом увеличились на 8636 тыс. руб. и составили 17748 тыс. руб. В 2008 году остатки нереализованной продукции составили 10643 тыс. руб., что 7105 тыс. руб. меньше в сравнении с 2007 годом, а относительное изменение составило 60%. Объем реализованной продукции в 2008 году в сравнении с 2006 и 2007 годами составил максимальное значение - 135479 тыс. руб., что свидетельствует о повышенном покупательском спросе на продукцию завода ОАО «ЛЗПМ».

Эффективность использования оборотных средств проанализируем по данным таблицы 4.

Таблица 4 - Анализ эффективности использования оборотных средств

Показатель

2006 г

2007 г.

2008 г.

Абсолютное изменение

Относительное изменение Тпр, %





06/07

07/08

06/07

07/08

1 Среднегодовые остатки оборотных средств, тыс. руб.

29170

34991,5

36742,5

5822

1751

120,0

105,0

2 Объём реализованной продукции, тыс. руб.

106144

124864

135479

18720

10615

117,6

108,5

3 Коэффициент загрузки средств в обороте

0,27

0,28

0,27

0,005426

-0,009

102,0

96,8

4 Коэффициент оборачиваемости оборотных средств

3,64

3,57

3,69

-0,07046

0,11885

98,1

103,3

5 Длительность 1 оборота

99

101

98

1,953455

-3,2517

102,0

96,8


Среднегодовые остатки оборотных средств с каждым годом возрастают: в 2007 году в сравнении с 2006 годом увеличились на 5822 тыс. руб., в 2008 году в сравнении с 2007 годом на 1751 тыс. руб. и составили 36742,5 тыс. руб. Коэффициент загрузки средств в обороте на протяжении трех лет остается почти неизменным и составляет 0,27.

Коэффициент оборачиваемости оборотных средств имеет свое максимальное значение в 2008 году и составляет 3,69, что на 103,3% больше, чем в 2007 году.

Для проведения оценки эффективности использования трудовых ресурсов рассмотрим следующие показатели: среднесписочную численность, производительность труда, среднемесячную заработную плату.

Изменение среднесписочной численности работников и производительности труда в динамике можно рассмотреть в таблице 5.

Таблица 5 - Динамика изменения среднесписочной численности работников и производительности труда

Показатель

2006 г

2007 г.

2008 г.

Абсолютное

Относительное





изменение

изменение Тпр, %





06/07

07/08

06/07

07/08

1 Товарная про-








дукция, тыс. руб.

103131

134646

125956

31515

-8690

130,6

93,5

2Среднесписочн








численность, чел.

482

510

514

28

4

105,8

100,8

-ППП

476

505

513

29

8

106,1

101,6

-рабочих

347

379

387

32

8

109,2

102,1

3 Доля рабочих в








общей








численности, %

72,0

74,3

75,3

2,322024

0,9781

103,2

101,3

4 Производитель-








ность труда,








руб./чел.








ППП

216,7

266,6

245,5

49,96398

-21,097

123,1

92,1

- рабочих

297,2

355,3

325,5

58,059

-29,799

119,5

91,6


Среднесписочная численность работников ОАО «ЛЗПМ», также как и доля рабочих в общей численности на протяжении трех лет растет и составила в 20078 году 514 человек, в том числе ППП - 513 человек, рабочих - 387 человек. Производительность труда ППП в 2007 году имеет свое максимальное значение - 266,6 руб./чел. В 2008 году производительность труда в сравнении с 2007 годом снизилась на 21,097 руб./чел., или на 8,4%.

Темп роста производительности труда должен опережать темп роста заработной платы, поэтому в таблице 6 рассмотрим показатели среднемесячной заработной платы.

Таблица 6 - Анализ использования фонда оплаты труда

Показатель

2006 г

2007 г.

2008 г.

Абсолютное изменение

Относительное изменение Тпр, %





06/07

07/078

06/067

07/08

1 Товарная продукция, тыс. руб

103131

134646

125956

31515

-8690

130,6

93,5

2 Среднесписочная численность работников, чел.

482

510

514

28

4

105,8

100,8

3 ФОТ работников

29857

40832,1

46116,9

10974,9

5284,8

136,8

112,9

4 Фонд потребле-ниядыс. руб

30008

40992,3

46297,3

10984,8

5305

136,6

112,9

5 Среднемесячная зарплата 1 работнике

5162

6672

7477

1509,9

804,9

129,2

112,1


В связи с увеличением прожиточного минимума, минимальной оплаты труда, тарифов на все виды платных услуг в 2008 году были увеличены должностные оклады, тарифная сетка. Фонд оплаты труда списочного состава в 2008 году составил 46116,9 тыс. руб., что на 5 5284,8 тыс. руб. больше 2007 года. Среднемесячная заработная плата одного работника списочного состава возросла в сравнении с 2007 годом на 804,9 руб. и составила 7477 руб.

Для оценки структуры затрат в таблице 7 рассмотрим удельный вес каждой позиции в ведомости сводной суммы затрат (Приложение Г).

Таблица 7 - Динамика структуры затрат ОАО «ЛЗПМ» за 2005-2007 гг.

Затраты

2006 г.

2007 г.

2008 г.


Тыс. руб.

удельный вес в с/б, %

Тыс. руб.

удельный вес в с/б, %

Тыс. руб.

удельный вес в с/б, %

Материальные затраты

58621

56

67814

53

72583

52

Затраты на оплату труда

29820

29

40285

31

45479

33

Отчисления на социальные нужды

7822

8

10862

8

12151

9

Амортизация

2238

2

2101

2

1945

1

Прочие затраты

5477

5

7003

5

6730

5

Итого по элементам затрат

103978

100

128065

100

138888

100


Как правило, наибольший удельный вес в себестоимости промышленной продукции занимают затраты на сырье и материалы. Из данных таблицы 7 видно, что доля материальных затрат в полной себестоимости валовой продукции в 2008 году снизилась в сравнении с 2007 и 2006 годами и составила 52%, но возросла доля затрат на оплату труда и составила 33%.

Рентабельность производства, то есть отношение прибыли от реализации производства к выручке от продаж проанализируем в таблице 8.

Таблица 8 - Анализ рентабельности деятельности

Показатель

2006 г

2007 г.

2008 г.

Абсолютное изменение

Относительное изменение Тпр, %





06/07

07/08

06/07

07/08

1 Выручка от реализации, с НДС

106144

124864

135479

18720

10615

117,6

108,5

2 Косвенные налоги

16191

19047,1

20666,3

2855,593

1619,24

117,6

108,5

3 Выручка от реализации без НДС

89953

105817

114813

15864,41

8995,76

117,6

108,5

4 Себестоимость продукции, тыс. руб

103978

128065

138888

24087

10823

123,2

108,5

5 Уровень рентабельности затрат, %

3,23

0,46

-6,11

-2,76396

-6,5774

14,4

-1315,7

6 Прибыль от реализации, тыс. руб

4072

2757

-7212

-1315

-9969

67,7

-261,6

7 Внереализационные доходы

2541

3289

2867

748

-422

129,4

87,2

8 Внереализационные расходы

3256

5451

4145

2195

-1306

167,4

76,0

9 Балансовая прибыльные. руб

3357

595

-8490

-2762

-9085

17,7

-1426,9

10 Уровень рентабельности реализации продукции, %

3,84

2,21

-5,32

-1,6283

-7,5313

57,6

-241,1

11 Рентабельность производства, %

7,47

6,52

-3,50

-0,95698

-10,018

87,2

-53,7



Рентабельность производства в 2008 году имеет отрицательное значение и составляет - 3,5%. Наибольшее положительное значение - 7,47% рентабельность составляет в 2007 году.

Конечным показателем деятельности любой организации, в том числе, и ОАО «ЛЗПМ» является прибыль, которая в 2006 году составляла - 3357 тыс. руб. Прибыль представляет собой реализованную часть дохода, созданного прибавочным трудом. Значение прибыли обусловлено тем, что с одной стороны, она зависит от качества работы предприятия, повышает экономическую заинтересованность его работников в наиболее эффективном использовании ресурсов, так как прибыль - основной источник производственного и социального развития предприятия, а с другой - она служит важнейшим источником формирования государственного бюджета.

Если рассмотреть последние 3 года, то можно сделать вывод, что с каждым годом убыток снижался и в 2008 году достиг своего минимального значения, убыток составил - 8490 тыс. руб.

Анализ финансового состояния является важным элементом в системе управления производством. Содержание, и основная целевая установка финансового анализа - оценка финансового состояния и выявление возможности повышения эффективности функционирования хозяйствующего субъекта, с помощью рациональной финансовой политики. Финансовое состояние хозяйствующего субъекта - это характеристика его финансовой конкурентоспособности (т.е. платежеспособности, кредитоспособности), использования финансовых ресурсов и капитала, выполнения обязательств перед государством и другими хозяйствующими субъектами.

В традиционном понимании финансовый анализ представляет собой метод оценки и прогнозирования финансового состояния предприятия на основе его бухгалтерской отчетности. В связи с этим, важное значение приобретает описание показателей, характеризующих финансовое состояние ОАО «ЛЗПМ». Проведём финансовый анализ ОАО «ЛЗПМ» на основе форм бухгалтерской отчётности (Приложение Г).

Финансовое состояние организации характеризуется системой показателей, отражающих наличие, размещение и использование финансовых ресурсов организации. Финансовые показатели ОАО «ЛЗПМ» представлены в Приложении Д.

Первый этап финансового анализа - экспресс-анализ. Экспресс-анализ позволяет проводить самооценку финансового состояния с целью прогноза результата при принятии решений. Это позволяет заблаговременно принимать необходимые меры для предотвращения неплатежеспособности. Экспресс-анализ финансового состояния рассмотрим в таблице 9.

Таблица 9 - Экспресс-анализ финансового состояния

Показатель

2006

2007

2007

Норматив

1 Коэффициент текущей ликвидности

1,81

1,75

1,25

1.0-2.0

2 Коэффициент обеспеченности собственными средствами

0,45

0,43

0,20

0.6-0.8


Коэффициент текущей ликвидности показывает, какая часть текущих обязательств может быть погашена за счет денежных средств. В 2008 году коэффициент ликвидности при нормативном значении 1,0-2,0 имеет свое значение 1.25.

Коэффициент обеспеченности собственными средствами показывает, какая часть оборотного капитала сформирована из собственных средств. При нормативном значении 0,6 - 0,8 в 2008 году коэффициент обеспеченности собственными средствами составляет 0,2, что свидетельствует о том, что собственных средств у ОАО «ЛЗПМ» недостаточно для деятельности предприятия.

Оценить платежеспособность предприятия ОАО «ЛЗПМ» можно по таблице 10.

На анализируемом предприятии ОАО «ЛЗПМ» показатель величины собственного капитала (рабочего капитала) в 2008 году составляет 7293 тыс. руб., что по сравнению с 2007 и 2006 годом собственный капитал уменьшился на 50%.

Таблица 10 - Оценка платежеспособности

Показатели

2006

2007

2008

1 Величина собственного капитала (рабочий капитал), тыс. руб

14889

15691

7293

2 Маневренность собственного капитала, %

44

47

31

3 Коэффициент текущей ликвидности

1,81

1,75

1,25

4 Коэффициент абсолютной ликвидности

0,02

0,01

0,02

5 Доля оборотного капитала в активах, %

0,64

0,67

0,69

6 Доля запасов в оборотном капитале, %

0,73

0,84

0,73

7 Доля собственного оборотного капитала в покрытии запасов, %

0,45

0,43

0,20

основной средство воспроизводство амортизация

Такие показатели, как маневренность собственного капитала, коэффициент текущей ликвидности в 2008 году имеют свои минимальные значения соответственно 31% и 1,25. Коэффициент абсолютной ликвидности, доля оборотного капитала в активах, доля запасов в оборотном капитале на протяжении трех лет приблизительно остаются на одном уровне неизменными.

Доля собственного оборотного капитала в покрытии запасов в 2008 году имеет свое минимальное значение и составляет 0,2, что на 50% меньше 2007 и 2006 гг. Финансовая устойчивость характеризуется соотношением собственного и заемного капитала, что можно видеть в таблице 11.

Показатели

2006

2007

2008

1 Коэффициент концентрации собственного капитала

0,64

0,61

0,45

2 Коэффициент финансовой устойчивости

0,64

0,61

0,45

3 Коэффициент маневренности собственного капитала

0,44

0,47

0,31

4 Коэффициент концентрации заемного капитала

0,03

0,05

0,02

5 Коэффициент соотношения собственного и заемного капитала

0,55

0,63

1,24

6 Коэффициент обеспеченности собственными средствами

0,45

0,43

0,20



Анализируя финансовую устойчивость ОАО «ЛЗПМ» в таблице 11, можно сделать вывод о том, что снижение коэффициента финансовой устойчивости снижается с 2006 по 2008 год (0,64; 0,61; 0,45), в то же время увеличивается коэффициент соотношения собственного и заемного капитала с 2006 по 2008 год (0,55; 0,63; 1,24), что свидетельствует об увеличении зависимости предприятия от кредиторов.

Коэффициент концентрации собственного капитала в 2008 г.составил 0,45, что в сравнении с 20067 и 2006 гг. наблюдается снижение (0,64; 0,61). Снижение коэффициента концентрации собственного капитала в обороте предприятия трактуется как отрицательная тенденция, так как в формировании средств доля заемных средств увеличивается, а доля собственных средств снижается.

Анализ коэффициента маневренности позволяет сделать вывод о том, что предприятие ОАО «ЛЗПМ» не может относительно свободно маневрировать собственными средствами, так как фактические значения ниже оптимального значению этого коэффициента, равного0,5 (коэффициент маневренности равнялся 0,44; 0,47 и 0,31 соответственно в 2006, 2007 и 2008 гг.). К тому же коэффициента маневренности собственного капитала с каждым годом снижается.

Показатели рентабельности в таблице 12 характеризуют эффективность работы предприятия в целом, доходность различных направлений деятельности, окупаемость затрат и т.д. Они более полно, чем прибыль характеризуют окончательные результаты хозяйствования, потому что их величина показывает соотношение эффекта с наличными и использованными ресурсами.

Таблица 12 - Показатели рентабельности

Показатели

2006

2007

2008

Рентабельность активов

6,03

-

-

Рентабельность оборотных активов

0,06

-

-

Рентабельность инвестиций

251

-

-

Рентабельность собственного капитала

0,12

-

-

Рентабельность основной деятельности

4,15

2,36

-


Рентабельность активов показывает, какую прибыль получит предприятие с каждого рубля, вложенного в активы. Активы были рентабельны в 2006 году - 6,03, но в 2007 и 2008 году рентабельность активов имеет отрицательное значение (-0,18; -35,84). Рентабельность оборотных активов показывает, какую прибыль получит предприятие с каждого рубля оборотных активов. В 2008 году рентабельность оборотных активов также имеют отрицательное значение - 0,36. Рентабельность инвестиций показывает, какую прибыль получит предприятие с каждого рубля, вложенного в инвестиции. В 2008 году денежные средства в инвестиции не были вложены.

Рентабельность собственного капитала показывает величину прибыли, полученную с каждого рубля, вложенного в предприятие собственниками. Рентабельность основной деятельности показывает, какую прибыль получит предприятие с каждого рубля, вложенного в себестоимость. Рентабельность собственного капитала, также как и рентабельность основной деятельности имеют в 2008 году отрицательное значение (-1,31; -5,14).

Проанализировав технико-экономическую и финансовую деятельность предприятия ОАО «ЛЗПМ» можно сделать вывод о том, что в 2008 году предприятие ОАО «ЛЗПМ» не рентабельно. Это произошло в результате того, что предприятие получило за отчетный период 2008 года убыток в размере -9584 тыс. руб. Получение прибыли - это основная цель предпринимательской деятельности. Но в силу определенных обстоятельств или упущений в работе - невыполнение договорных обязательств, незнание нормативных документов, реализующих финансовую деятельность предприятия, запущенность бухучета и прочее - предприятие может понести убытки. Убыток - это тоже конечный финансовый результат хозяйственной деятельности предприятия.

2.3 Анализ эффективности использования основных средств ОАО «ЛЗПМ»

Анализ основных средств может проводиться по нескольким направлениям, разработка которых в комплексе позволяет дать оценку структуры, динамики, и эффективности использования основных средств.

Основная задача анализа основных средств - определение состояния, движения и выявление основных источников финансирования воспроизводства.

Данные о наличие, износе и движения основных средств служит основным источником для оценки производственного потенциала ОАО «ЛЗПМ».

Оценка движения основных фондов проводится на основе следующих показателей - коэффициентов поступления, обновления, выбытия. Для характеристики технического состояния основных фондов рассчитываются коэффициенты годности, износа, замены, а так же оценка эффективности их использования основанная на применении общей для всех видов ресурсов технологии оценки.

В процессе анализа использования производственных фондов предприятия ОАО «ЛЗПМ» необходимо установить, какие изменения произошли с производственными фондами предприятия.

Анализ производственных фондов обычно начинается с изучения объема основных средств, их динамики и структуры, так как одним из важнейших факторов увеличения объема производства продукции на промышленных предприятиях является обеспеченность их основными фондами. Данные о наличие, износе и движения основных средств служит основным источником для оценки производственного потенциала ОАО «ЛЗПМ».

Оценка движения основных фондов проводится на основе следующих показателей - коэффициентов поступления, обновления, выбытия. Для характеристики технического состояния основных фондов рассчитываются коэффициенты годности, износа, замены, а так же оценка эффективности их использования основанная на применении общей для всех видов ресурсов технологии оценки, которая предполагает расчет и анализ показателей фондоотдачи, фондоемкости, фондовооруженности.

Для анализа движения основных средств на ОАО «ЛЗПМ», рассчитаем выше названные показатели за 2006-2008 гг. по данным, представленным в таблице 13 (Приложение Г)

Таблица 13 - Движение основных фондов

Наименование показателя

Значение показателя, тыс. руб.


2006

2007

2008

Наличие на начало отчетного года

24128

24875

23507

Поступило (введено)

801

477

2840

Выбыло

54

1845

25

Наличие на конец отчетного периода

24875

23507

26322


Для характеристики состояния основных фондов, динамики и технического состояния рассчитывают: коэффициент выбытия основных фондов, определяемый по формуле:

Квыб.=                                (8)

где В-стоимость выбывающих основных фондов за определенный период;

фиач - стоимость основных фондов на начало того же периода.

г.: Квыб.=  100% = 0,2%

г.: Квыб.=  100% = 7,4%

г.: Квыб.=  100% = 0,11%

Динамика коэффициента выбытия основных средств представлена на рисунке 5

Рисунок 5 - Динамика коэффициента выбытия основных средств за 2006-2008 гг.

Таким образом, на основании произведенных выше расчетов можно сделать следующие выводы, что в 2006 и 2008 годах коэффициент выбытия имел небольшие и практически одинаковые значения (0,22% и 0,11%), а в 2008 году коэффициента выбытия основных средств возрос до максимального значения и составил 7,4%.

Коэффициент обновления основных фондов, определяем по формуле:

Кобн. =                                                            (9)

где Пн - стоимость введенных основных фондов за определенный период;

Фк - стоимость основных фондов на конец года того же периода.

г.: Кобн=  * 100% = 3,2%

г.: Кобн =  * 100% = 2,0%

г.: Кобн=  * 100% = 10,8%

Динамика коэффициента обновления основных средств за 2006-2008 гг. представлена на рисунке 6

Рисунок 6 - Динамика коэффициента обновления за 2006-2008 гт.

За исследуемый период коэффициент обновления основных фондов в 2006 и 2007 годах снижался, но в 2008 году произошло обновление основных фондов и коэффициент обновления составил 10,8%. А это для предприятия ОАО «ЛЗПМ» положительный фактор, так как значение основных средств - снижение расходов по содержанию, эксплуатации оборудования, снижению простоев, рост производительности труда, повышение качества продукции.

Для анализа эффективности использования активной части основных производственных фондов предприятия необходимо рассмотреть следующие показатели: фондовооружённость, фондоотдачу, фондоёмкость, техническую вооруженность.

Показатель фондовооружённости труда рабочего показывает стоимость основных средств, приходящаяся на одного рабочего:

Ob=OC/R, (10)

где ОС - среднегодовая стоимость основных средств;

R - среднегодовая численность рабочих.

Фво6= 17934/347 = 51,47

Фво7= 14560/379 = 47,9

Фво8= 15456/387 = 48,57

Показатель фондовооруженности активной части производственных фондов снизился в 2007 году на 3,57 в сравнении с 2006 годом, и увеличился на 0,66 или на 101,4% в 2008 году по сравнению с 2006 годом. Снижение этого показателя свидетельствует о том, что стоимость основных средств, приходящихся на одного рабочего в 2007 г. и 2008 г. меньше, чем в 2007 году.

Показатель фондоотдачи показывает, какая сумма выручки от продажи приходится на единицу стоимости основных средств.

Фо= Q /ОС, (11)

где Q - объем продукции.

Фо06= 106144/17934 = 4,33

Фо07= 124864/14560 = 5,16

Фо08= 135479/15456 = 5,44

Динамика фондоотдачи ОАО «ЛЗПМ» представлена на рисунке 7.

Рисунок 7 - Показатель фондоотдачи ОАО «ЛЗПМ» за 2006-2008 гг.

Данный показатель увеличился в 2007 г. на 0,83 в сравнении с 2006 годом и в 2008 году на 0,28 в сравнении с 2007 годом, что свидетельствует об увеличении роста выпуска продукции.

Другой показатель эффективности использования средств - фондоемкость-показатель, обратный фондоотдаче.

Фв=1 / Фо = ОС/Q (12)

Фв06 = 1 / 4,33 = 0,23

ФвО7= 1/5,16 = 0,19

ФвО8= 1/5,44 = 0,18

Из расчетных данных следует, что этот показатель снижается в 2007 году на 0,04 в сравнении с 2006 году и в 2008 году на 0,01 в сравнении с 2007 годом.

Это свидетельствует о том, что стоимость основных средств, приходящаяся на каждый рубль выручки от реализации продукции (работ, услуг) с каждым годом снижается.

Расчетные данные анализа эффективности использования основных средств предприятия занесем в таблицу 14.

Таблица 14 - Анализ эффективности использования основных средств

Показатель

2006 г

2007 г.

2008 г.

Абсолютное изменение

Относительное изменение Тпр, %





06/07

07/08

06/07

07/08

1 Объём реализованной продукции, тыс. руб.

106144

124864

135479

18720

10615

117,6

108,5

2 Среднегодовая стоимость основных производственных фондов - активная частьдыс. руб.

18680

16247

15008

-2433

-1239

87,0

92,4

3 Балансовая прибыльдыс. руб.

3357

595

-8490

-2762

-9085

17,7

-1426,9

4 Среднесписочная численность, чел

347

379

387

32

8

109,2

102,1

5 Фондовооруженность

51,47

47,90

48,57

-3,57

0,66

93,1

101,4

6 Фондоотдача

4,33

5,16

5,44

0,83

0,28

119,1

105,4

8 Фондоемкость

0,23

0,19

0,18

-0,04

-0,01

83,9

94,9


Для характеристики степени использования пассивной части фондов рассчитывают показатель выхода продукции на 1 м2 производственной площади, который в некоторой степени дополняет характеристику использования производственных мощностей предприятия. Повышение уровня данного показателя способствует увеличению производства продукции и снижению ее себестоимости. Данные для анализа использования производственной площади предприятия представлены в таблице 15. (Приложение Е)

Таблица 15 - Данные для анализа использования производственной площади предприятия ОАО «ЛЗПМ»

Показатель

2007 год

2008 год

Изменение

Объем производства продукции, тыс. руб. Производственная площадь, м2

134646 57350

125956 57368

-8690 + 18

В том числе площадь цехов, м2

17272

17290

+18

Удельный вес площади цехов в

0,30

0,30

-

общей производственной площади Выпуск продукции на 1 м2, тыс. руб.:




производственной площади

2,35

2,19

-0,16

площади цехов

7,8

7,28

-0,40


В 2008 году произошло увеличение площади цехов на 18 м2 и соответственно всей производственной площади за счет ввода в действие покрасочного участка огнетушителей. Из таблицы 15 следует, что объем производства на анализируемом предприятии ОАО «ЛЗПМ» в отчетном 2008 году снизился на 8690 тыс. руб., в том числе за счет увеличения:

производственной площади предприятия

∆ВП = (57368 - 57350) х 0,3 х 7,8 = +7528 тыс. руб.;

удельного веса площади цехов в общей производственной площади

∆ВП = 57368 х (0,3 - 0,3) х 7,8 = 0 тыс. руб.;

выпуска продукции на 1 м2 цехов

∆ВП = 57368 х 0,3 х (7,28 - 7,8) = -134233,8 тыс. руб.

Таким образом, можно сделать вывод, о том, что предприятие недостаточно полно использует не только активную, но и пассивную часть фондов. Неполное использование производственной мощности приводит к снижению объема выпуска продукции, росту ее себестоимости, так как больше постоянных расходов приходится на единицу продукции.

3. Разработка мероприятий по эффективному использованию основный средств ОАО «ЛЗПМ»

.1 Основные направления повышения эффективности производственных фондов предприятия

В годовых планах каждого предприятия предусматривается улучшение использования основных производственных фондов, увеличение производственного потенциала на основе расширения, обновления и повышения технического уровня средств производства. Поэтому предприятие ОАО «ЛЗПМ» должно разрабатывать комплексные мероприятия, обеспечивающие повышение эффективности использования производственных мощностей и основных фондов.

Экономическая сущность основных производственных фондов как средств труда, используемых при создании продукции и услуг, определяет значение улучшения их использования для наиболее полного удовлетворения потребностей. Основные фонды, участвуя в производственном процессе, интенсифицируют труд, делают его более производительным, способствуют экономии трудовых ресурсов, и издержек производства. Являясь материально - вещественной основой реализации достижений научно-технического прогресса, основные фонды обеспечивают решение одной из важнейших задач отрасли - они создают условия для повышения качества продуктов и услуг. В период становления рыночной экономики и развития конкуренции именно этот фактор часто является определяющим условием стабильного развития, расширения рынков сбыта, повышения конкурентоспособности и эффективности работы предприятий.

Наиболее полная реализация потенциала, заложенного в основных производственных фондах, возможна при условии комплексного использования всех резервов повышения эффективности их применения в процессе создания продукции и услуг. Наиболее общие и значимые направления улучшения использования ОПФ представлены на рисунке 8.

Рисунок 8 - Важнейшие резервы улучшения использования ОПФ

Повышение эффективности использования основных производственных фондов ОАО «ЛЗПМ» можно достичь в первую очередь за счет:

) технического перевооружения и реконструкции предприятий, внедрения новой техники и технологии, экономически целесообразной модернизации и замены морально устаревшего оборудования;

) устранения внутриотраслевых и внутрипроизводственных диспропорций;

) роста коэффициента сменности работы оборудования, машин и механизмов, значительного снижения внутрисменных потерь рабочего времени, сокращения сроков капитального ремонта; увеличения в отраслях с прерывным характером производства продолжительности работы оборудования;

) более рационального использования оборудования, находящегося во вспомогательных цехах и производствах, вовлечения в производство бездействующего и неустановленного оборудования;

) ускорения освоения вновь введенных в действие мощностей и достижения проектных технико-экономических показателей в установленные нормативные либо более короткие сроки [9, с. 220].

В мероприятиях по повышению эффективности использования производственных фондов должны быть полностью учтены производственные возможности ОАО «ЛЗПМ» по дальнейшему углублению специализации, повышению уровня концентрации производства и развитию эффективных кооперированных связей. Наряду с указанными при разработке планов, следует предусматривать реализацию других направлений повышения эффективности использования производственных мощностей и основных фондов, с учетом отраслевых особенностей производства.

Одним из важнейших направлений повышения эффективности использования основных промышленно-производственных фондов ОАО «ЛЗПМ» является обеспечение их наилучшей фондоотдачей. Уровень фондоотдачи характеризуется обобщающим показателем - объемом производства чистой, товарной (валовой) продукции на рубль среднегодовой стоимости фондов.

В объединениях, на предприятиях и в цехах промышленного производства мероприятия, направленные на повышение фондоотдачи разрабатываются с учетом влияния на ее уровень следующих факторов: повышения коэффициента сменности работы оборудования, сокращения сроков освоения производственных мощностей, снижения стоимости единицы мощности, увеличения доли активной части основных фондов в их общей сумме, улучшения использования трудовых ресурсов, сырья и материалов, возрастания технико-экономических показателей загрузки производственных мощностей и т.д. [4, с. 78].

На повышение эффективности производства значительное влияние оказывает ускорение оборачиваемости нормируемых оборотных средств. С этой целью в цехах ОАО «ЛЗПМ» необходимо проводить работу по:

снижению затрат сырья, материалов, топлива и других затрат на единицу продукции;

сокращению длительности технологического цикла производства продукции;

ликвидации сверхнормативных остатков сырья, материалов, топлива и т.д.

Основными показателями ускорения оборачиваемости оборотных средств являются: увеличение количества оборотов, оборачиваемость в днях и снижение уровня затрат нормируемых оборотных средств.

На предприятии ОАО «ЛЗПМ», а также в их структурных подразделениях особое внимание нужно уделять разработке и внедрению мероприятий, направленных на повышение эффективности капитальных вложений. Это, в свою очередь, позволяет получить максимальный прирост производства продукции на каждый рубль вложенных средств. Поэтому капитальные вложения следует направлять, прежде всего, на техническое перевооружение и реконструкцию основных фондов, внедрение мероприятий, позволяющих повысить технико-огранизационный уровень подготовки и развития производства в цехах. Повышение эффективности капитальных вложений зависит от срока их окупаемости [4, с. 79].

Таким образом, можно сделать вывод о том, что наиболее полная реализация потенциала, заложенного в основных производственных фондах, возможна при условии комплексного использования всех резервов повышения эффективности их применения в процессе создания продукции и услуг.

3.2 Улучшение использования производственных фондоф за счет переоснащения оборудования

В условиях расширенного воспроизводства и технического прогресса происходит постоянное пополнение и обновление основных средств, что происходит и в ОАО «ЛЗПМ». Оно осуществляется в порядке капитальных вложений (строительства, монтажа, приобретения основных средств), безвозмездной передачи сторонними предприятиями и лицами, а также в результате дополнительных взносов по решению учредителей.

Производственные фонды не есть нечто постоянное. С изменением факторов, их определяющих, меняются и производственные фонды промышленного предприятия, поэтому они периодически должна пересматриваться. Однако для устойчивости планирования основные производственные фонды должны рассчитываться на более или менее продолжительный срок. [4, с. 105].

Интенсивный путь улучшения использования производственных фондов заключается в увеличении производительности оборудования в единицу времени и связан с совершенствованием технологических процессов. В различных цехах ОАО «ЛЗПМ» имеются свои пути интенсификации производственных процессов: в литейном производстве интенсификации процесса выплавки чугуна и алюминия способствует внедрение машин литья под давлением, в механических цехах - внедрение силового и скоростного резания металла и т.д.

Экстенсивный путь улучшения использования производственных фондов заключается в увеличении времени работы оборудования в течение года, суток и смены. Прежде всего, должны быть ликвидированы внеплановые простои оборудования, связанные с авариями, поломками, отсутствием материалов и другими организационными недостатками. Во многих случаях время работы оборудования может быть увеличено за счет повышения сменности работы.

Большое значение имеет увеличение сроков межремонтного периода работы оборудования, которое достигается за счет более качественного ремонта, улучшения ухода за оборудованием и проведения профилактического осмотра и ремонта в то время, когда оборудование не работает. Увеличение времени работы оборудования обеспечивается сокращением времени ремонта без ухудшения его качества [4, с. 112].

Выявив разницу в производительности передового и имеющегося на ОАО «ЛЗПМ» оборудования, устанавливают возможное увеличение производственной мощности за счет внедрения новой техники, модернизации оборудования и списания старого оборудования.

Учет поступления и выбытия основных средств ведется в разрезе классификационных групп и инвентарных объектов. При поступлении основных фондов в эксплуатацию комиссией, назначаемой директором (управляющим) предприятия, оформляется акт приемки-передачи (Приложение Ж, И).

В акте приемки-передачи основных средств указываются характеристика объекта, его местонахождение, источник финансирования приобретения, год выпуска или постройки, дата ввода в эксплуатацию, результаты испытания объекта, его соответствие техническим условиям и др. Акт приемки-передачи основных средств составляют на каждый объект в отдельности. По общему акту, оформляющему приемку нескольких объектов, рекомендуется приходовать лишь хозяйственный инвентарь, инструменты, станки, если они однотипны, одинаковой стоимости и приняты одновременно. К акту приемки-передачи прилагается необходимая техническая документация (паспорта, спецификации, рабочие инструкции и т.п.

Каждому объекту основных средств, принятому на учет, присваивается инвентарный номер. Он сохраняется на все время эксплуатации объекта и обозначается на нем путем прикрепления металлического жетона, нанесения краски, насечки и т. и. Объекты основных средств обычно нумеруются по порядково-серийной системе, и номер указывается во всех первичных документах и регистрах бухгалтерского учета. Инвентарными номерами транспортных средств (электровозов, тепловозов, локомотивов) обычно служат номера, полученные на заводах-изготовителях, а у автомобильного транспорта и прицепов - знаки, присвоенные им госавтоинспекцией. Присваивать вновь поступившим основным средствам инвентарные номера выбывших объектов нельзя так как это может привести к путанице и ошибкам в учете.

Акт приемки-передачи основных средств с сопроводительными документами передается в бухгалтерию предприятия. На основании акта бухгалтерия открывает инвентарную карточку, где указывает инвентарный номер объекта и основные данные о нем (первоначальная или восстановительная стоимость, норма амортизационных отчислений, величина износа на момент оприходования и др.) [2, с. 76].

Резервы мощности могут быть также приведены в действие за счет включения в работу всего имеющегося на предприятии парка машин, лучшей организации труда, снижающей внеплановые простои оборудования (своевременная подача материалов, инструмента, энергии и т.п.), улучшения качества и состава сырья, повышения технического и общекультурного уровня кадров.

Таким образом можно сделать вывод о том, что уровень использования производственной мощности является важнейшей характеристикой напряженности плановых заданий объединений (предприятий) и их внутренних подразделений. Поэтому ввод в действие в ОАО «ЛЗПМ» нового оборудования следует рассматривать как фактор их перспективного совершенствования.

3.3 Экономическая эффективность предложенного мероприятия

Разработка производственной программы предприятия связана с расчетом его производственной мощности. Производственная программа, как правило, предусматривает выпуск продукции в меньшем объеме, чем это позволяют производственные мощности. Последние, следовательно, показывают возможности увеличения выпуска продукции, что особенно важно для разработки перспективных планов [5, с. 105].

Ввод в действие нового оборудования следует рассматривать как фактор перспективно возможного увеличения производственной мощности за счет внедрения новой техники и модернизации оборудования.

Годовой тоннаж (входной) выработки 1 литьевой машины рассчитываем для агрегатов прерывного действия. Для агрегатов прерывного действия полезное время определяется числом календарных суток в году (без выходных и праздничных дней и дней остановки оборудования в связи с ремонтом), умноженным на число часов работы в сутки при установленной сменности и умноженным на суточный тоннах литьевой машины по формуле:

Мвх= [(К - Вв - Р) х С х Д - Н] х (1 - Т/100) х Q, (13)

где Мвх - Годовой тоннаж одной литьевой машины прерывного действия.

К = 366 - календарное количество дней в году;

Вв = 116 - число выходных и праздничных дней (Приложение К);

Р - число дней остановки оборудования на ремонт;

С - число смен в сутки;

Д - длительность смены в часах;

Н= 7 - число нерабочих часов в предпраздничные и предвыходные дни;

Т - процент ожидаемых текущих простоев;

Q = 0,7 - тоннаж литья в смену 1 машины.

Определим годовой тоннаж выработки 1 литьевой машины прерывного действия для Литейного цеха ОАО «ЛЗПМ». Литьевая машина прерывного действия, работает в две смены продолжительностью по 7 часов, время на капитальный ремонт составляет 15 суток в году, а текущие простои - 10%. Полезный годовой фонд времени пресса определим по формуле 7:

Мвх= [(366 - 116 - 15) х 2 х 7 - 7] х (1 - 10/100) х 0,7 = 2068,3 тонн.

Определив годовой (входной) тоннаж выработки 1 литьевой машины, определим возможное увеличение производственной мощности за счет внедрения новой машины и списания старой. Среднегодовая мощность рассчитывается с учетом времени работы оборудования в течение года по формуле:

                                         (14)

где Мср - среднегодовая мощность,

Мвх - входная мощность (на начало планового периода),

Мвыб = (Мвхх k) - выбывающая мощность;

к = 0,3 - коэффициент остаточной мощности оборудования;

Мввод - вводимая мощность,

П] = 8 - количество месяцев, в течение которых в плановом периоде не используется выбывающая мощность,

п2 = 9 - количество месяцев, в течение которых в плановом периоде используется вводимая мощность,

- число месяцев в году [5, с. 106].

Среднегодовую мощность литейного производства определяем по формуле 14:

Мср - 2068,3 - (2068,3 х 0,3 х 8 / 12) + (2068,3 х 9 / 12) -2068,3 - 413,6 + 2070,3 = 3725 (тонн)

Таким образом, можно сделать вывод о том, что за счет внедрения новой литьевой машины в апреле месяце и списания старого оборудования в мае месяце произойдет улучшение использования производственных фондоф за счет переоснащения оборудования и нарастание производственной мощности литейного производства с 2068,3 тонны до 3725 тонн.


Заключение

Основные средства (фонды) представляют собой совокупность материально-вещественных объектов и ценностей, действующих в неизменной натуральной форме в течение длительного периода. Это средства, создающие материально-техническую основу и условия производственно-хозяйственной деятельности предприятия. Основные средства подразделяются на производственные и непроизводственные.

Отличительной особенностью основных средств является их многократное. использование в процессе производства, сохранение первоначального внешнего вида (формы) в течение длительного периода. Под воздействием производственного процесса и внешней среды они постепенно изнашиваются и переносят свою первоначальную стоимость на затраты производства путем начисления износа (амортизации) по установленным нормам, чтобы за срок полезного использования эту стоимость возместить.

К основным средствам относятся: здания, сооружения, рабочие и силовые машины и оборудование, измерительные и регулирующие приборы и устройства, вычислительная техника, транспортные средства, инструмент, производственный и хозяйственный инвентарь и принадлежности, рабочий, продуктивный и племенной скот, многолетние насаждения, внутрихозяйственные дороги и прочие соответствующие объекты.

Различают первоначальную (балансовую) восстановительную, остаточную, ликвидационную и среднегодовую стоимости основных фондов.

Оценка движения основных средств на ОАО «ЛЗПМ» проводится на основе следующих показателей - коэффициентов поступления, обновления, выбытия.

В результате анализа на предприятии ОАО «ЛЗПМ» недостаточно полно использует не только активную, но и пассивную часть фондов. Неполное использование производственной мощности приводит к снижению объема выпуска продукции, росту ее себестоимости, так как больше постоянных расходов приходится на единицу продукции.

Наиболее полная реализация потенциала, заложенного в основных производственных фондах ОАО «ЛЗПМ», возможна при условии комплексного использования всех резервов повышения эффективности их применения в процессе создания продукции и услуг. Поэтому ввод в действие в ОАО «ЛЗПМ» нового оборудования следует рассматривать как фактор их перспективного совершенствования.

За счет внедрения новой литьевой машины в апреле месяце и списания старого оборудования в мае месяце произойдет улучшение использования производственных фондов за счет переоснащения оборудования и нарастание производственной мощности литейного производства с 2068,3 тонны до 3725 тонн.


Список используемой литературы

1. Баканов, М.И. Теория анализа хозяйственной деятельности: Учебник./ М.И. Баканов, А.Д. Шеремет - М.: Финансы и статистика, 2000.

. Бухгалтерский учет: Учебник/П.С. Безруких, Н.П. Кондраков, В.Ф. Палий и др.; Под ред. П.С. Безруких. М.: Бухгалтерский учет, 1994. - 528 с.

. Лукин, В.П., Дудник, Т.А. Экономика предприятия: Курс лекций - Орел ГТУ, 2000. - с. 58-63

. Основы экономики и планирования: Учебник / Под ред. Проф. Г.Я. Кипермана - М.: Статистика, 1998.

. Положение по бухгалтерскому учету «Учет основных средств» ПБУ 6/01 (в ред. Приказов Минфина РФ от 18.05.2002 №45н, от 12.12.2005 №147н, от 18.09.2006 N116h, от 27.11.2006 №156н)

. Савицкая, Г.В. Анализ хозяйственной деятельности предприятия: Учебное пособие /6-е изд. перераб. и доп. - М.: Новое знание, 2001.-е. 342-354

. Уткин, Э.А. Финансовый менеджмент: учебник для вузов - М: Зерцало, 1998.-256 с.

. Финансовый учет: Учебник / Под ред. проф. В.Г. Гетьмана - М: Финансы и статистика, 2002. - с. 288 - 323

. Экономика, организация и планирование промышленного производства: Учеб. для экон. вузов / М.Н. Грункин, А.П. Жевтяк, Ю.А. Санамов и др.; - М: Высш. шк., 1985, с

Похожие работы на - Амортизация основных средств предприятия

 

Не нашли материал для своей работы?
Поможем написать уникальную работу
Без плагиата!
Без нейросетей!