Устройства по очистке воздуха от среднедисперсной и мелкодисперсной глиненной и стекольной пыли
МОСКОВСКИЙ
ГОСУДАРСТВЕННЫЙ УНИВЕРСИТЕТ
ПУТЕЙ
СООБЩЕНИЯ
КУРСОВОЙ ПРОЕКТ
ПО ДИСЦИПЛИНЕ
«Процессы и аппараты защиты окружающей среды»
Проверил:
Преподаватель:
Крошечкина. И. Ю.
Выполнил:
Студент 5 курса
Ежов.Е.А.
Шифр: 0863-п/ЭК- 1182
РОАТ
2011 г.
Введение
воздух очитка стекольная глиняная пыль
Загрязнение воздуха
производственными предприятиями, оказывает неблагоприятное воздействие на
окружающую среду и здоровье населения. Эффективная очистка воздуха позволяет
организовать в ряде случаев замкнутый воздушный цикл и за счет снижения
выбросов загрязняющих веществ, улучшить экологическую обстановку в некоторых
технологических процессах. Очистка воздуха дает возможность возвратить в
производство или использовать для других полезных целей вещества, содержащиеся
в выбросах. Этим обеспечивается частичное ресурсосбережение и частичная или
полная компенсация затрат на очистку.
Выбор очистного оборудования зависит
как от его технико-экономических показателей, так и от размеров частиц и
физических свойств пыли, (влажность, гигроскопичность, липкость) подлежащей
удалению. При выборе пылеочистителя необходимо учитывать начальную концентрацию
пыли в запыленном потоке и требуемую степень очистки.
Работа пылеочистительных установок
характеризуется эффективностью очистки, производительностью по воздуху или
газу, аэродинамическим сопротивлением, расходом электроэнергии и стоимостью
очистки.
Стоимость очистки запыленного потока
является показателем, определяющим экономичность работы пылеочистителя. Она
зависит от капитальных затрат на оборудование, эксплутационных расходов и
других факторов.
При определении стоимости очистки
следует также учитывать предотвращенный экологический ущерб, наносимый
окружающей среде и здоровью людей выбросами неочищенного воздуха. В зависимости
от токсичности выбрасываемых вредных веществ, стоимость предотвращенного ущерба
окружающей среде может превосходить дополнительные затраты на повышение
эффективности очистки.
Производственные сточные воды
железнодорожных предприятий представляют собой сложные системы, содержащие
минеральные и органические вещества, состав и количество которых, как правило,
определяется характером технологических процессов.
Качество вод рек, озер и
водохранилищ определяется в соответствии с «Санитарными правилами и нормами
охраны поверхностных вод от загрязнений», согласно которым устанавливается две
категории водоемов: 1 - водоемы питьевого и культурно-бытового назначения и 2 -
водоемы рыбохозяйственного назначения.
Для определения содержания в сточных
водах токсичных примесей с целью выбора метода очистки, возврата в оборот,
слива в канализацию, а также возможности их сброса в водоем необходим анализ
химического состава. Вредные и ядовитые вещества разнообразны по своему составу
и свойствам. В связи с этим, их содержание нормируют по принципу лимитирующего
показателя вредности (ЛПВ), под которым понимают наиболее вероятное
неблагоприятное воздействие каждого вещества. При нормировании качества воды в
водоемах питьевого и культурно-бытового назначения используют три вида ЛПВ:
санитарно-токсилогический, общесанитарный и органолептический.
Очистка сточных вод может
осуществляться различными методами: механическими, физико-химическими,
химическими, биологическими и др.
Из-за сложного состава сточных вод
при их очистке используются, как правило, комбинации различных методов. Во всех
случаях первой стадией является механическая очистка, способствующая удалению
грубодисперсных примесей.
В данном курсовом проекте
предлагаются устройства по очистке воздуха от среднедисперсной и
мелкодисперсной глиненной и стекольной пыли, а также устройства по очистке
сточных вод от нефтепродуктов и взвешенных веществ.
.
Очистка газовоздушных потоков
При производстве кирпича на
предприятии образуется средне и мелкодисперсная глиненная пыль и
мелкодисперсная стекольная в результате осуществления производственного
процесса, кирпичный завод активно воздействует на окружающую среду, и
необходимым элементом его комплектации является система очистки воздуха.
В целях нейтрализации и очистки
газов и улавливания пыли на предприятии необходимо установить систему очистки
воздуха т.е. система улавливания пыли. Данные системы предназначаются для
защиты окружающей среды от вредного воздействия. Система очистки воздуха должна
удовлетворять следующие требования:
· Так как
глиненная пыль на предприятии имеет среднюю и мелкую дисперсность, обладает
свойством слипаемость. Она способна образовывать конгломераты между собой и
поверхностью очистного оборудования. А стекольная, мелкодисперсная, обладает
хорошо выраженными электрическими свойствами, следовательно хорошо
злектролизуется. Эффективность очистки воздуха должна составлять не менее чем
95% с целью соблюдения санитарной нормы кирпичного завода.
· Обладать
возможностью приема газов с большой начальной запыленностью (40-300г/
) и обладать высокой производительностью.
· Система
очистки воздуха на кирпичном заводе при не стабильном режиме технологического
оборудования должна обеспечить устойчивую работу, раздельно осаждая мелкие и
средние фракции пыли.
Учитывая эти свойства и факторы
выбор системы очистного оборудования очевиден.
На начальной стадии очистки
предлагаем использовать циклон. Предназначение данного оборудования на 1 этапе
- очистка сухих воздушных потоков от различных видов неслипающейся
среднедисперсной пыли. Монтируется горизонтально либо вертикально,
непосредственно в вентиляционный канал и, как правило, применяется в качестве
фильтра грубой (предварительной) очистки.
Воздушный поток на входе
закручивается специальной осевой розеткой, в результате чего под действием
центробежных сил крупные частицы пыли отбрасываются к стенкам корпуса и
направляются через боковой патрубок в пылесборник. Жалюзийные решетки
цилиндрической формы (внутри корпуса) дополнительно очищают воздух от пыли.
Производительность - от 300 до 3000 м³\ч. Эффективность очистки от среднедисперсной пыли - до 88%,
крупнодисперсной - до 99%
На следующем этапе используем
рукавный фильтр, эффективность которого давно доказана в практических условиях.
Рукавный фильтр представляет из себя
разделенный на части перегородками металлический корпус. В каждой из частей
разделенного корпуса находится несколько подвешенных на монтажных решетках
фильтрационных рукавов. В низу рукавный фильтр имеет бункер в котором собирается
пыль. Ее выгрузку и герметичность бункера обеспечивается шнеком и шлюзовым
питателем.
Для улавливания мелкодисперсных
частиц стекла, используем электрофильтр. Электрофильтр состоит из корпуса,
системы коронирующих и осадительных электродов, системы встряхивания
электродов, системы газораспределения, диффузора и конфузора. Электрофильтр
комплектуется агрегатами питания и шкафами управления
Газ, содержащий взвешенные частицы,
проходит через систему, состоящую из заземленных осадительных электродов и размещенных
на некотором расстоянии от них, называемом межэлектродным промежутком,
коронирующих электродов, к которым подводится выпрямленный электрический ток
высокого напряжения. При достаточно большом напряжении, приложенном к
межэлектродному промежутку, у поверхности коронирующего электрода происходит
интенсивная ударная ионизация газа, сопровождающаяся возникновением, так
называемого коронного разряда (короны), который, однако, не распространяется на
весь межэлектродный промежуток и затухает по мере уменьшения напряженности
электрического поля в направлении осадительного электрода. Образующие в зоне
короны газовые ионы различной полярности движутся под действием сил
электрического поля к соответствующим разноименным электродам, вследствие чего
в межэлектродном промежутке возникает электрический ток, называемый током
короны.
Улавливаемые частицы вследствие
адсорбции на их поверхности ионов приобретают в межэлектродном промежутке
соответствующий электрический заряд, под влиянием сил электрического поля движутся
к электродам и осаждаются на них. Основное количество частиц осаждается на
развитой поверхности осадительных электродов, а меньшая их часть попадает на
коронирующие электроды. По мере накопления на электродах осажденных частиц они
удаляются путем встряхивания электродов.
В результате кирпичного производства
на предприятии образуется средне и милкодисперстная гнлиненная
имелкодисперстная стекольная .Для соблюдения экологических требований,
необходимо предложить аппараты очистки газовоздушных потоков с высокой
эффективностью для каждого вида пыли. Финансовые возможности предприятия
позволяют установить три очистных сооружения.
Исходные данные циклона:
Тип циклона: СДКЦН-
Диаметр частицы пыли,
мкм
Объём очищаемого гада,
Запылённость
газа,
Плотность частиц,
Глина
Температура,
Диаметр циклона, СДК
Коэффициент сопротивления циклона,
Поправочный
на
диаметр циклона 1
Поправочный
Класс пылеуловителя
Группа пыли по дисперсности 4
Исходные данные рукавного фильтра:
,4
Способ регенерации И-импульсная продувка
Период единиц измерения мин
час
Марка фильтра
Площадь фильтрующей поверхности
Количество секций, шт.
Количество рукавов в секции, шт.
Диаметр рукава, мм.
Высота рукава , м.
Пропускная способность,
гидравлическое сопротивление, Па
Фильтрующая ткань лавсан
Характеристика пыли цементная, кварц (глина)
Динамическая вязкость газа,
п
Исходные данные электрофильтра:
Напряжение поля осаждения,
Скорость газов в электрическом поле,
Температура очищаемых газов,
Объём газов на входе в электрофильтр,
Радиус чистоты,
Расстояние между плоскостями осадительных
и координирующих электродов,
Тип электрофильтра
Активная высота электродов,
Активная длина поля,
Количество полей, шт.
Площадь активного сечения 1 фильтра
Общая площадь осаждения,
Длина электрофильтра,
Ширина электрофильтра по осям,
Высота электрофильтра,
Динамическая вязкость газа,
1.1 Расчёт циклона
Работа циклонов основана на использовании силы
инерции. Газ поступает в патрубок со скоростью 20 - 25 м/с. Будучи подведен
тангенциально, газ получает вращательное движение и разворачивается вниз,
одновременно совершает вращательное и поступательное движение. Приближенно
можно считать, что все частицы газа движутся с постоянной угловой скоростью.
Статическое давление по диаметру цилиндра непостоянно. В центре создается
разрежение. Пыль вследствие инерции отжимается к стенкам цилиндра. Частицы,
касаясь стенок, теряют скорость и выпадают из потока. По мере движения к
вершине конуса внутренние слои газа поворачивают к оси циклона и начинают
двигаться в сторону выхлопной трубы, образуя по центру трубы восходящий
вращающийся вихрь. Пыль осаждается в нижней части, входя в золоспускную трубу.
Работа циклона может происходить при любом его геометрическом положении.
Дисперсионный состав пыли и ее удельный вес
влияют на КПД улавливания. Чем крупнее частицы, тем лучше они улавливаются.
В обычных циклонах с увеличением концентрации
степень очистки повышается. Так по опытам Кирпичева Е. Ф. с увеличением
концентрации с 10 до 75 г/м3 КПД увеличивается с 65 до 70 %. Концентрация пыли
может колебаться в широких пределах. Предельно допустимые концентрации зависят
от слипаемости пыли, формы и строения ее частиц, влажности, температуры и
давления транспортируемого газа, а также размеров циклона и, в первую очередь,
размеров пылевыпускного патрубка.
Циклоны, изготавливаемые из обычных сталей,
могут быть применены для температуры не выше 400 °С, а с литыми чугунными
корпусами - до 500 °С. Циклоны из специальных сталей могут использоваться до
температуры 750 °С, а в случае наличия при этом жаростойких внутренних покрытий
соответствующей толщины - до 1000 °С и больше.
Влажность газов сильно влияет на очистку от
пыли, в особенности, если возможна конденсация влаги на поверхности частиц. Для
устранения отложения пыли на стенках циклона температура за циклоном должна
быть на 15-20 °С выше точки росы.
Скорость поступления газов сильно влияет на КПД
циклона. Теоретически с увеличением скорости КПД должен расти. Практически рост
возможен только до определенного предела, а затем начинается падение. Наилучшая
скорость от 20 до 29 м/с.
Абсолютные размеры циклона, вне зависимости от
его конструктивных особенностей, существенно влияют на степень очистки газа.
При геометрически подобном уменьшении размеров циклона КПД растет, при
увеличении - падает. Исходя из принципа улавливания наиболее тонкой пыли,
рекомендуется применять единичные циклоны и блоки параллельно включенных
одинаковых циклонов диаметром до 800 мм, но не более 1000 мм. Для малых
расходов газа диаметр циклона может быть принят менее 300 мм. При уменьшении
размеров уменьшается ширина входного патрубка, а следовательно, и расстояние,
которое частицы должны пройти, чтобы достигнуть стенки; с уменьшением диаметра цилиндра
увеличивается угловая скорость газов, а следовательно, увеличиваются и силы,
действующие на частички. Это свойство используется при проектировании
мультициклонов.
Экспериментально установлено, что при уменьшении
отношения диаметра выхлопной трубы к диаметру цилиндрической части циклона КПД
растет, но растет и сопротивление циклона. Большей частью это отношение
поддерживается от 0,55 до 0,65. Опытами установлено оптимальное отношение
диаметра пылеотводящего патрубка к диаметру циклона от 0,16 до 0,18. Уменьшение
угла раскрытия конуса несколько увеличивает степень очистки газа. Так, при
изменении угла с 60 до 30° КПД изменяется от 74 до 78 %. При увеличении высоты
цилиндрической части циклона степень очистки газов незначительно возрастает.
Своевременный отвод из циклона уловленного уноса - непременное условие
нормальной работы аппарата.
Максимальная часовая производительность
единичных циклонов рекомендуемых диаметров, при проходе газов с плотностью р =
1,32 кг/м3 и поддержании гидравлических сопротивлений 500 - 850 Па приведена в
табл. 1.1.
При компоновке в блоках эти циклоны могут быть
использованы на производительность (по газам) до 50000 - 60000 м/ч.
Таблица 1.1 - Максимальная тяговая
производительность единичных циклонов
|
Диаметр
циклона, мм
|
300
|
400
|
500
|
600
|
700
|
800
|
|
Q, м/ч, при Р = 500 Па
|
650
|
1200
|
1850
|
2650
|
3600
|
4700
|
|
Q, м/ч, при Р = 850 Па
|
850
|
1550
|
2400
|
3450
|
4700
|
6200
|
- цилиндрическая часть аппарата;
- входной патрубок с осью, перпендикулярной оси
цилиндра, присоединенный тангенциально к цилиндрической части аппарата;
- крышка, закрывающая верхнюю часть цилиндра;
- выхлопная труба;
- коническая часть корпуса;
- выходная улитка;
- пылевыпускное отверстие;
- бункер;
- пылевой затвор
Рисунок 1.1- Устройство циклона и
схема движения в нем газового потока
. Необходимая
площадь сечения циклона, м:
. Диаметр
циклона, (м)
D
=
. Действительная
скорость газа в циклоне,
:
D2
. Коэффициент
гидравлического сопротивления одиночного циклона. Индекс «с» означает, что
циклон работает в гидравлической сети, т.е не прямой выброс в атмосферу:
𝜁ц
=
. Потери давления в
циклоне, Па:
ц
(
r
2)
,
. Диаметр частиц,
улавливаемых в аппарате на 50% при рабочих условиях:
7. Коэффициент
очистки:
характер X
. Перевод в проценты:
. Класс пылеуловителя
2
Вывод:
Расчетные показатели эффективности работы
циклона удовлетворяются условию задания.
Данный аппарат можно использовать в очистке
газовоздушных потоков от средне и мелкодисперстной пыли. Но в связи с тем, что
имеются отклонения с оптимальной скоростью, нужно внести коррективу в начальные
технологические данные.
Например: изменить объем газовоздушного потока
на очистные сооружения.
1.2 Расчёт рукавного фильтра
Конструктивно гибкая фильтрующая перегородка
выполняется в виде рукава, поэтому и фильтры с гибкими фильтрующими
перегородками получили название «рукавные». В нормально работающих рукавных
фильтрах концентрация пыли на выходе из аппарата обычно не превышает 20 мг/м3.
При использовании высокоэффективных фильтровальных материалов и улавливании
волокнистых пылей концентрация на выходе может снижаться до 1 мг/м3 и менее.
Общий вид рукавного фильтра показан на рис. 1.3
Регенерация фильтровальной ткани рукавов
производится путем механического или аэродинамического воздействия на
фильтровальную ткань с целью разрушения и удаления слоя осевшей пыли. При
выборе способа регенерации имеют значение вид ткани, конструкция аппарата,
характеристики пыли и технологического процесса, другие факторы.
Механическое встряхивание может выполняться
несколькими способами. Нестойкие на изгиб ткани (например, из стекловолокна)
регенерируют быстрым покачиванием из стороны в сторону без изменения натяжения.
Фильтры из более эластичных и нетолстых тканей можно отряхивать, придавая
материалу волнообразные колебания.
- соленоидный клапан;
- труба для ввода сжатого воздуха;
- сопло;
- струя сжатого воздуха;
- прибор автоматического управления;
- рукав;
- каркас;
- бункер
Рисунок 1.2 - Каркасный рукавный
фильтр с импульсной продувкой.
Широко используемые для обработки
газовых выбросов рукавные фильтры (аппараты с вертикальными фильтрующими
элементами в виде тканевых рукавов) встряхивают волнообразным изменением
натяжения ткани, поднимая и опуская вверх рукава. Большинство встряхивающих
устройств снабжается электроприводом. Иногда встряхивание комбинируют с продувкой
тканей.
В ряде рукавных фильтров регенерация
фильтровальной ткани осуществляется путем обратной струйной и импульсной
продувки рукавов. Обратной продувкой регенерируют ткани при улавливании легко
сбрасываемых пылей. Для этого изменяют направление дутья, подавая на
регенерацию свежий или очищенный воздух. Последний вариант предпочтительней,
так как не увеличивается количество воздуха в системе. Для выполнения обратной
продувки фильтр может отключаться посекционно или полностью. Расход воздуха на
обратную продувку принимают до 10% от количества очищаемого газа. При
отложениях пыли на внутренней поверхности рукавов осуществляют струйную
продувку, подавая воздух из щели кольцевой трубки-каретки, одеваемой на рукав и
медленно движущейся вдоль него. В полость кольца подается воздух от
высоконапорного вентилятора или воздуходувки по гибкому шлангу. Воздух истекает
из кольца через щель. Слой осевшей пыли разрушается в результате воздействия на
него перемещающегося кольца и выдувания пыли струей воздуха, вытекающей из
кольца со скорость 10… 30 м/с. Пыль падает в бункер.
Другая разновидность выдувания пыли - импульсная
регенерация - используется в рукавных фильтрах при схеме подачи загрязненного
воздуха снаружи внутрь рукава и отложениях пыли на его внешней поверхности. При
импульсной продувке струя сжатого воздуха, исходящая из сопла распределительной
трубы, подсасывает очищенный газ (воздух) и поступает в рукав. Под воздействием
избыточного давления рукав раздувается, происходит разрушение слоя осевшей пыли
и ее выпадение в бункер. Типичным рукавным фильтром с механической регенерацией
и обратной продувкой является Г4-БФМ (ФВ). Изготовляются четыре типоразмера
фильтра ФВ: ФВ-30, ФВ-45, ФВ-60, ФВ-90. Фильтрующая поверхность соответственно
30, 45, 60, 90 м2. Технические данные фильтра приведены в табл. 4.
Металлический шкаф фильтра разделен перегородками на секции с фильтрующей
поверхностью каждой 15 м2. Таким образом, фильтры ФВ-30, ФВ-45, ФВ-60, ФВ-90
имеют соответственно две, три, четыре и шесть секций. В каждой секции
расположено 18 рукавов из фильтровальной ткани (3Ч6 рядов). Рукава подвешены к
раме встряхивающего устройства. В фильтре предусмотрена регенерация рукавов
через 3,5 мин продолжительностью 30 с. Регенерация осуществляется встряхиванием
и обратной продувкой и производится посекционно. В настоящее время выпускается
и эксплуатируется множество разнообразных конструкций тканевых фильтров. По
форме фильтровальных элементов и тканей они могут быть рукавные и плоские
(полотняные), по виду опорных устройств каркасные, рамные и т.д., по наличию
корпуса и его форме цилиндрические, прямоугольные, открытые (бескамерные), по
числу секций - одно- и многосекционные. Фильтры могут также различаться по
способу регенерации и ряду других признаков. Однозначных или научно обоснованных
критериев выбора типа фильтра среди этого многообразия конструкций нет.
Рекомендуется, по возможности, использовать
фильтры, разработанные для соответствующих отраслей промышленности. Краткие
сведения о характеристиках отечественных конструкций рукавных фильтров,
приведенные далее в тексте, могут оказать определенную помощь в ориентации
среди множества типов аппаратов и быть полезными в качестве первоначальной
информации.
Фильтры ФР-6П, ФТ-2М, ФТНС-М предназначены для
очистки аспирационного воздуха от волокнистой пыли текстильных и других
предприятий легкой промышленности. Регенерация рукавов производится посредством
встряхивания ручным или механизированным способами.
Удельные газовые нагрузки для фильтров ФР-6П,
ФТ-2М и ФТНС-М составляют 0,056,0,1 и 0,057 м3/(м2с) соответственно.
В химической и нефтехимической технологии
наибольшее распространение получили рукавные фильтры следующих типов: ФРКИ,
ФРКДИ, ФРО, ФРУ, ФР, ГЧ-БФМ, ФРОС. Каждый из типов имеет, как правило,
несколько типоразмеров. Из указанной серии можно подобрать фильтр с
поверхностью фильтрования от нескольких квадратных метров до нескольких тысяч
квадратных метров, способных работать при температурах от нескольких десятков
градусов до 500 °С.
Фильтры ФР-6П, ФТ-2М, ФТНС-М предназначены для
очистки аспирационного воздуха от волокнистой пыли текстильных и других
предприятий легкой промышленности. Регенерация рукавов производится посредством
встряхивания ручным или механизированным способами. Удельные газовые нагрузки
для фильтров ФР-6П, ФТ-2М и ФТНС-М составляют 0,056, 0,1 и 0,057 м3/(м2с)
соответственно.
Фильтр ЦА-3804 предназначен для улавливания
асбестовой пыли. Регенерация рукавов производится механическим встряхиванием.
Фильтры ФРУ разработаны для систем аспирации взрывоопасных химических
производств, ФРВ-20 и ФРН-30
для различных технологических процессов
химических производств, ФР-250 - для аспирационных систем сажевых производств и
предприятий по производству минеральных удобрений;
СМЦ-для технологических процессов предприятий
стройматериалов;
РФГ и УРФМ - для предприятий цветной
металлургии;
Г4-БФМ (ранее - ФВ) - для предприятий пищевой
промышленности. Регенерация производится механическим встряхиванием и
одновременной обратной посекционной продувкой.
Привод систем встряхивания электромеханический,
за исключением фильтров УРФМ с пневмоприводом. Удельные газовыенагрузки для
фильтров ФРУ составляют: 0,02 м3/(м2с), УРФМ-(0,012...0,02) м3/(м2с), Г4 - БФМ
- (0,025...0,033) м3/(м2с).
Фильтры ФР-518, ФР-650,ФР-5000,ФРДО-6500со
стеклотканями используются для очистки взрывоопасных газовых смесей с
температурой до 240 °С от сажи. Их регенерацию осуществляют обратной
посекционной продувкой. Удельная нагрузка для фильтров ФР-518 и ФР-650
составляет (0,004...0,005) м3/(м2с), для фильтра ФР-5000 - (0,005...0,006)
м3/(м2с).
Фильтры ФРО имеют пропускную способность более
14 м3/с и 3 типоразмера. Фильтры снаряжаются лавсановыми или стеклотканями и
предназначены для улавливания пылей и возгонов из газовых выбросов
металлургических и машиностроительных предприятий при температурах до 230 °С.
Регенерация осуществляется обратной продувкой. Удельная нагрузка для лавсановой
ткани (0,008...0,015) м3/(м2с), для стеклоткани (0,005...0,008) м3/(м2с).
Фильтры типа РФОСП, РФСП-И, РФСП-1580
разработаны для улавливания возгонов свинца и других тяжелых металлов на
предприятиях цветной металлургии при концентрации загрязнителей на входе
порядка (500... 1000) мг/м3. Конечные концентрации находятся в пределах
нескольких мг/м3. Фильтры снаряжаются двухслойным лавсаном, оборудованы
системой струйной продувки и работают с удельными нагрузками до 0,08 м3/(м2с)
для тонких и 0,15 м3/(м2с) для грубых пылей.
Фильтры общего назначения типа ФРКИ разработаны
НИИОГаз. Регенерация фильтровальной ткани производится без отключения секций фильтра
импульсной верхней подачей внутрь рукавов сжатого воздуха с давлением 0,3 или
0,6 МПа. Фильтрующий материал - лавсан или войлоки из синтетических волокон.
Удельная газовая нагрузка для фильтров ФРКИ составляет 0,03 м3/(м2с). Фильтры
ФРКН-В и ФРКН-Н-В, предназначенные для улавливания электризующихся пылей, имеют
такие же характеристики, как и фильтры ФРКИ соответствующих типоразмеров.
Фильтры ФРКДИ отличаются от фильтров ФРКИ большей длиной рукавов. Поэтому в них
предусмотрена двухсторонняя импульсная продувка с установкой дополнительных
сопл для подачи сжатого воздуха в нижней части каждого рукава. Удельная газовая
нагрузка для фильтров ФРДКИ составляет 0,027 м3/(м2с).
Расчет рукавного фильтра 1. Определяем удельную
газовую нагрузку, м3/(м2 · мин).
Рисунок 1.3 - Зависимость
коэффициента с2 от концентрации пыли на входе в фильтр.
1. удельная газовпя нагрузка,
.поверхность фильтрования, м
. модификация фильтра:
количество секций
рукавов в
секции
. гидравлическое сопротивление
фильтровпльной перегородки,
. скорость во входном патрубке,
6. гидравлическое сопротивление
корпуса аппарата,
. гидравлическое сопротивление
фильтра,
. общее гидравлическое сопротивление
фильтра,
9. из полученого расчёта следует, что
гидравлическое сопротивление фильтра не привышает рекомендованое.
Вывод:
По проведенным расчетам получаем, что расчетные
показатели удовлетворяют паспортным данным. Модификация фильтра выбрана
правильно.
.3 Расчет электрофильтра
Конструкции и принцип работы электрофильтров
Способ электрической очистки газов от взвешенных частиц основан на явлении
ионизации газовых молекул электрическим зарядом в электрическом поле. Газы как
диэлектрики не проводят электрический ток. Однако при определенных условиях
электропроводность газов наблюдается. Это связано с тем, что атомы или молекулы
газа становятся электрически заряженными. Незначительное количество заряженных
частиц всегда имеется в газе. Их появление связано с воздействием
ультрафиолетовых и космических лучей, радиоактивных газов, высокой температуры
и т. д. Если такой газ, содержащий некоторое количество носителей зарядов,
поместить между электродами, соединенными с источником тока высокого
напряжения, то ионы и электроны начнут двигаться в газе по силовым линиям поля.
Направление движения каждого носителя заряда будет определяться величиной
заряда, а скорость движения - напряженностью электрического поля. При
достаточно большой напряженности поля (например, около 16 кВ/см для воздуха при
атмосферном давлении и комнатной температуре) движущийся носитель заряда
приобретает столь высокую скорость, что, столкнувшись на своем пути с
нейтральной газовой молекулой, способен выбить из нее один или несколько
внешних электронов, превращая молекулу в положительный ион и свободный
электрон. Вновь образовавшиеся ионы также приходят в движение под действием
поля, производя дальнейшую ионизацию газа. Такая ионизация называется ударной
ионизацией. Число образующихся при этом ионов и электронов возрастает
лавинообразно, а при дальнейшем усилении поля ими заполняется все пространство
между электродами, благодаря чему создаются условия для электрического разряда.
Наиболее распространенными и важными для
электрической очистки газа являются искровой, дуговой и коронный разряды.
Первые два вида разрядов могут возникать как в
однородном, так и в неоднородном электрическом поле, являясь помехой в работе
электрофильтра. Коронный разряд может возникать только в неоднородном
электрическом поле и при определенных форме и расположении электродов. Коронный
разряд используют для электрической очистки. В электрофильтрах применяют два
типа электродов:
а) электроды трубчатого электрофильтра (провод в
цилиндрической трубе;
б) электроды пластинчатого электрофильтра (ряд
проводов между пластинами).
Густота силовых линий поля, а следовательно, и
напряженность поля намного больше у провода, чем у пластины или стенки трубы.
Вследствие указанной неоднородности поля ударная ионизация, а затем и
электрический разряд могут возникнуть у поверхности провода, когда
напряженность поля в этой области достаточно высока, но не распространяется до
другого электрода. По мере удаления от провода напряженность поля уменьшается и
скорость движения электронов в газе становится уже недостаточной для
поддержания лавинообразного процесса образования новых ионов. Электрический
разряд такого незавершенного характера носит название коронного разряда. В
результате образуются новые ионы, внешним проявлением чего являются
голубовато-фиолетовое свечение вокруг провода, негромкое потрескивание и запах
окислов азота и озона. Коронный разряд в зависимости от знака заряда на проводе
может быть положительным или отрицательным. Внешне они различаются между собой
характером свечения. Установлено, что при подаче на коронирующий электрод
отрицательной полярности постоянного тока удается достичь улавливания пыли до
99 %, а при положительной - только до 70 %.
При отрицательной полярности представляется
возможным держать напряжение до момента наступления искрового пробоя выше, чем
при положительной полярности. Это позволяет иметь большой диаметр короны и
более высокую напряженность поля, а следовательно, лучшую зарядку и осаждение
частиц пыли.
Электрод, вокруг которого возникает коронный
разряд, называется коронирующим электродом, второй электрод - осадительным
электродом.
Установка электрофильтров состоит из двух
частей: из собственно электрофильтра или осадительной камеры, через которую
пропускается подлежащий очистке газ, и высоковольтной аппаратуры,
предназначенной для питания электрофильтра выпрямленным током высокого
напряжения.
Питающий электроагрегат состоит из регулятора
напряжения, высоковольтного трансформатора, преобразующего переменный ток
напряжением 220 - 380 В в ток напряжения до 10000 кВ, и механического
высоковольтного выпрямителя, преобразующего переменный ток в выпрямленный.
Последний с помощью высоковольтного кабеля подается на электроды
электрофильтра.
В осадительной части электрофильтра смонтированы
осадительные и коронирующие электроды. Осадительные электроды могут быть
пластинчатыми (из волнистой стали с выштампованными карманами, из угольных
пластин и др.) или трубчатыми (из труб круглого или шестиугольного сечения).
Коронирующие электроды изготавливают из круглой профилированной проволоки.
Осадительные электроды соединены с положительным
контактом механического выпрямителя и заземлены; коронирующие электроды
изолированы от земли и соединены с отрицательным контактом механического
выпрямителя. При пропускании через межэлектродное пространство электрофильтра
очищаемого газа, содержащего твердые либо жидкие взвешенные частицы, происходит
зарядка частиц ионами, которые под действием электрического поля двигаются к
электродам и оседают на них. Основная масса взвешенных частиц осаждается на
осадительных электродах. При этом жидкие взвешенные частицы стекают с
электродов, пылевидные частицы удаляют, встряхивая или обстукивая электроды.
Уловленные частицы собираются в установленном под электрофильтром бункере,
откуда удаляются. В зависимости от того, какие частицы улавливаются, различают
сухие и мокрые электрофильтры.
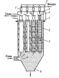
Электрофильтры также различают по направлению
движения газов: вертикальные и горизонтальные. Обычно электрофильтры
устанавливают параллельно по несколько аппаратов. Электрофильтр может состоять
из нескольких параллельных секций, чтобы при эксплуатации отключать часть
секций (для осмотра, ремонта, встряхивания), не останавливая всю газоочистную
установку. Иногда электрофильтры имеют несколько последовательно расположенных
по ходу газа ячеек, или, как их иначе называют, электрических полей. По числу
электрических полей такие электрофильтры называют двухпольными, трехпольными и
т. д. (рис. 1.5).
Кроме описанных однозонных электрофильтров
применяются еще и двухзонные. Если в первых ионизация газа с помощью коронного
разряда и осаждение заряженных частиц происходит в одном электрическом поле
(одной зоне). В ионизаторе должно быть исключено осаждение пыли, поэтому он
состоит из одного ряда электродов и запыленный газ находится в этой зоне
недолго, чтобы пыль успела зарядиться, но не успела осесть.
а) 1 - форкамера;
- камера для размещения электродов;
и 4 - бункера форкамеры и электрофильтра;
- изоляторная коробка;
- горловина люка обслуживания;
б) 1 - фартук форкамеры;
и 3 - передняя и задняя газораспределительные
решетки;
- боковые газоотсекающие листы;
- защитные листы;
- фактура бункера;
-поперечные листы бункера
Рисунок 1.4 - Корпус (а) и
газораспределяющие устройство (б) горизонтального пластинчатого электрофильтра
Скорость перемещения частиц летучей
золы в электрическом поле зависит от их размера и величины заряда. Для частиц
радиусом меньше 1 микрона величина заряда пропорциональна размерам частицы пыли
и не зависит от напряженности электрического поля. Наоборот, величина заряда,
который приобретают частицы радиусом больше 1 микрона, зависит главным образом
от величины напряженности поля и радиуса частицы (в квадрате).
Время пребывания газов в
электрофильтре сильно влияет на качество очистки. Многолетний опыт работы
показал, что скорость газов в электрофильтрах невелика (в пределах от 0,5 до 2
м/с), а время пребывания в фильтре значительно (от 2 до 9 с). Поэтому электрофильтры
достаточно громоздки. Но гидравлическое сопротивление их невелико (от 50 до 200
Па). Коэффициент очистки, особенно при мелкой пыли, высок (95 - 99 %). Они
хорошо улавливают частицы мельче 10 микрон. Основные недостатки
электрофильтров: высокая стоимость и необходимость в высококвалифицированном
обслуживающем персонале.
На качество очистки в
электрофильтрах оказывают влияние температура и влажность газов. При повышении
температуры газа снижается напряжение на коронирующих электродах, которое можно
поддерживать без пробоя. Это снижает и степень очистки. Влияние влажности газа
на напряжение в электрофильтрах обратно влиянию температуры: повышение
влажности способствует повышению пробойного напряжения и, кроме того,
благоприятно сказывается на поведении слоя пыли на осадительных электродах.
Степень совершенства технического
устройства по преобразованию энергии из одной формы в другую характеризует
безразмерная величина - коэффициент полезного действия (КПД). Из-за различных
неизбежных потерь энергии КПД любого реального технического устройства меньше
единицы. КПД выражается в процентах. КПД некоторых устройств:
простейший рычаг - 99 %;
механический блок - 94 - 98 %;
электрический трансформатор большой
мощности - 98 %;
двигатель внутреннего сгорания
(дизельный) - 45 %;
лучшие тепловые электростанции - 40
%.
1. необходимая площадь активного
сечения электрофильтра,
. количество параллельно отключённых
электрофильтров,
. Для подсчёта КПД, вводится
понятие: удельная поверхность осаждения
. Средняя напряжённость
электрического поля,
. Скорость дрейфа заряженых частиц
пыли: диаметром более
в
электрическом поле,
. КПД, %
Вывод:
Достаточно высокая эффективность
очистки.
Методику нахождения скорости дрейфа
проиллюстрируем цифровым примером. Напряженность поля осаждения
, расстояние
между плоскостями осадительных и коронирующих электродов
м.Тогда
средняя напряженность поля,
.
Температура очищаемых газов
По таблице динамическая вязкость
воздуха,
Н:
Из приведенных формул следует, что
для частиц диаметром более 1 мкм скорость их движения к осадительным электродам
прямо пропорциональна размеру частицы и квадрату значения напряженности поля.
Частицы диаметром менее
движутся со
скоростью, не зависящей от их размера и определяемой напряженностью поля.
Значения
составляют
несколько десятков сантиметров в секунд.
2.
ОЧИСТКА СТОЧНЫХ ВОД:
Промывочно-пропарочная станция представляет
собой комплекс сооружений и устройств, для пропарки цистерн и промывки их от
остатков нефтепродуктов и подготовки под налив различных жидких горючих и
пищевых продуктов. Данное сооружение располагается в закрытом строении с
двухсторонней эстакадой и имеет открытые эстакады для установки цистерн,
оснащена вакуумными установками для удаления остатков светлых нефтепродуктов и
производственных вод, системой подачи холодной и горячей воды, установкой для
дегазации, системой водоочистки.
Производственные сточные воды данного
предприятия представляют собой сложные системы, содержащие минеральные и
органические вещества, состав и количество которых, как правило, определяются
характером технологических процессов.
Для очистки таких сточных вод, предприятие
оснащено комплексом очистных сооружений, с механическими, физико-химическими, и
биологическими методами очистки.
Одним из физико-химических методов очистки
является усреднитель-отстойник, который производит выравнивания колебаний
расхода, концентрации загрязняющих веществ или температуры сточных вод.
Экономичнее иметь усреднитель в начале цепи, чем
завышать объем и производительность каждого из последующих звеньев очистки.
Усреднение расхода и концентрации загрязнений позволяют рассчитывать все
последующие звенья очистки не на максимальные, а на некоторые средние значения
параметров потока.
Так как концентрация примесей в стоках и их
температура не постоянны, а характеристика примесей содержит нефтепродукты и
взвешенные вещества, то очистные на данном предприятии должны включать в себя:
нефтеловушку, флотационную камеру и биологический пруд.
На дальнейшем этапе очистки, на данных очистных
сооружениях целесообразно установить нефтеловушку. Нефтеловушки применяют в
качестве первой ступени очистных сооружений для удаления из сточных вод
примесей с плотностью, меньше чем плотность воды, т. е. всплывающих примесей
(нефть, смолы, масло, жиры и другие)
По направлению движения воды они разделяются на
горизонтальные, вертикальные и радиальные. Эффективность нефтеловушек
составляет 60%. Количество нефти в осадке обычно составляет 20%. Удаление
нефтепродуктов и осадка из таких нефтеловушек полностью механизировано. Сточная
вода подается по трубопроводу, расположенному под днищем нефтеловушки. Внутри
нефтеловушки трубопровод заканчивается раструбом. Вода в нем движется от центра
к периферии. Нефтепродукты удаляются через нефтесборные трубы. Работа
нефтеловушки основывается главным образом на разделении нефтепродукта, воды и
твердых минеральных загрязнений отстаиванием вследствие их разных удельных
весов с последующей декантацией нефти. Устройство нефтеловушки не требует
никаких источников энергии, а его эксплуатация заключается в периодическом
удалении нефтепродуктов. Нефтепродукт удаляется вручную по мере заполнения
объёма накопителя.
Наиболее эффективным методом для удаления из
сточных вод нерастворимых диспергированных примесей, а также нефтепродуктов,
является флотация. Достоинством флотации является непрерывность процесса,
широкий диапазон применения, небольшие капитальные и эксплуатационные затраты,
простота аппаратуры, селективность выделения примесей по сравнению с
отстаиванием, большая скорость процесса, высокая степень очистки (95 - 98%),
возможность рекуперации удаляемых веществ.
Флотация сопровождается аэрацией сточных вод,
снижением концентрации поверхностно-активных веществ (ПАВ), легкоокисляемых
веществ, бактерий и микроорганизмов. Все это способствует успешному проведению
последующих стадий очистки сточных вод. Процесс, на котором основана флотация,
состоит в том, что при сближении поднимающегося в воде пузырька воздуха с твердой
гидрофобной частицей разделяющая их прослойка воды при некоторой критической
толщине прорывается и происходит слипание пузырька с частицей. Затем комплекс
«пузырек-частица» поднимается на поверхность воды, где пузырьки собираются, и
возникает пенный слой с более высокой концентрацией частиц, чем в исходной
сточной воде. Эффект разделения флотацией зависит от размера и количества
пузырьков. На величину смачиваемости поверхности взвешенных частиц влияют
адсорбционные явления и присутствие в воде примесей ПАВ, электролитов и др.
Наиболее распространены напорные установки. Они просты и надежны в
эксплуатации. Напорная флотация позволяет очищать сточные воды с концентрацией
взвеси до 4 - 5 г/л. Для увеличения степени очистки в воду добавляют
коагулянты. Процесс напорной флотации осуществляется в две стадии: насыщение
воды воздухом под давлением и выделение растворенного газа под атмосферным
давлением. Напорные флотационные установки имеют производительность от 5 до
2000 м3/ч.
Аэробные процессы биохимической очистки могут
протекать в природных условиях и в искусственных сооружениях. В естественных
условиях очистка происходит на полях орошения, полях фильтрации и биологических
прудах. Искусственными сооружениями являются аэротенки и биофильтры разной
конструкции. Тип сооружений выбирают с учетом местоположения предприятия,
климатических условий, источника водоснабжения, объема промышленных и бытовых
сточных вод, состава и концентрации загрязнений. В искусственных сооружениях
процессы очистки протекают с большей скоростью, чем в естественных условиях.
Биологические пруды представляют собой каскад
прудов, состоящий из 3 - 5 ступеней, через которые с небольшой скоростью
протекает осветленная или биологически очищенная сточная вода. Пруды
предназначены для биологической очистки и для доочистки сточных вод в комплексе
с другими очистными сооружениями. Различают пруды с естественной и
искусственной аэрацией. Пруды с естественной аэрацией имеют небольшую глубину
(0,5-1 м), хорошо прогреваются солнцем и заселены водными организмами. Бактерии
используют для окисления загрязнений кислородом, выделяемым водорослями в
процессе фотосинтеза, а также кислородом из воздуха. Водоросли, в свою очередь,
потребляют углекислый газ, фосфаты и аммонийный азот, выделяемые при биохимическом
разложении органических веществ. Для нормальной работы биологических прудов
необходимо соблюдать оптимальные значения рН и температуры сточных вод.
Температура должна быть не менее 6°С. В зимнее время пруды не работают.
При расчете прудов определяют их размеры,
обеспечивающие необходимую продолжительность пребывания в них сточных вод.
Целесообразность устройства биологических прудов определяется климатическими
условиями, расходом сточных вод и концентрацией загрязнений в них, а также
наличием земельных участков для их размещения.
Спроектировать очистные сооружения для очистки
стоков промывочно - пропарочной станции. Концентрация примесей в стоках и их
температура не постоянны. Характеристика примесей: нефтепродукты, взвешенные
вещества. Финансовые возможности предприятия позволяют установить три очистных
сооружения.
Исходные данные уксреднителя.
Исходные данные нефтеловушки:
л
Глубина проточной части нефтеловушки,
• для радикальной нефтеловушки 
Коэффициент часовой неравномерности сброса
Перевод единиц измерения (сутки → с)
Влажность осадка ρ, %
Годовая нагрузка песка на песковые площадки
Согласно СНиП,
Число песковых площадок,
Количество суток в году
Исходные данные фдотационной установки:
Расход сточных вод поступающих
на один флотатор
Начальное содержание взвешенных
веществ в сточной воде
Конечное содержание взвешенных
веществ в сточной воде
Начальное содержание нефтепродуктов
в сточной воде
Конечное содержание нефтепродуктов
в сточной воде
Содержание нефтепродуктов в пене
Концентрация СПАВ поступающая на
станцию аэрации
Эффективность удаления СПАВ в процессе
биологической очистки Б,
Эффективность удаления СПАВ в процессе
доочистки сточных вод в установках пенной
флотации
Исходные данные биологического пруда:
Концентрация органическихческих веществ
до очистки
Концентрация органическихческих веществ
после очистки
Определение константы скорости реакции
Коэффициент испарения объёма пруда
для средней полосы России,
.1 Расчёт усреднителя и график зависимости
Для обеспечения нормальной работы очистных
сооружений необходимо усреднение поступающих сточных вод по концентрации ЗВ или
по расходу воды, а иногда и по обоим показателям одновременно. В зависимости от
этих требований назначается тип усреднителя. Исключение пиковых расходов воды,
поступающей на очистку, позволяет более экономично и надежно проводить процесс
очистки.
Усреднение проводят в контактных и проточных
усреднителях. Контактные усреднители используют при небольших расходах сточной
воды, в периодических процессах и для обеспечения высоких степеней выравнивания
концентраций. В большинстве случаев применяют проточные усреднители, которые
представляют собой многокоридорные (многоходовые) резервуары или емкости,
снабженные перемешивающими устройствами. Многокоридорные усреднители могут быть
прямоугольные (рис. 2.1) и круглые (рис. 2.2). Усреднение в них достигается
смешиванием струй сточной воды разной концентрации. Усреднение расхода воды
достигается также при перекачке ее насосами. В этом случае усреднитель
представляет собой простую емкость. Перемешивание жидкости может быть
обеспечено и механическими мешалками или барботажем воздуха.
Изменение концентрации в сточной воде может
произойти в результате ее залпового сброса или вследствие циклических колебаний
состава вод. При отсутствии цикличности изменения состава сточных вод период
усреднения устанавливают в соответствии с требованиями к выравниванию
концентрации.
- распределительный лоток;
- водоотводный канал;
- сборные лотки;
- глухая перегородка;
- вертикальные перегородки;
- подвод воды
Рисунок 2.1 - Прямоугольный
усреднитель сточных вод
- распределительный лоток;
- перегородки;
- сборный лоток;
- подвод воды
Рисунок 2.2 - Круглый усреднитель
сточных вод
В усреднителе перемешивание жидкости
происходит в процессе барботажа воздуха через перфорированные трубы
(барботеры). Барботеры укладывают горизонтально вдоль усреднителя на подставках
высотой 7 - 10 см от дна. Расстояние между барботерами
принимают
равным двойной высоте слоя жидкости в усреднителе
; пристенные
барботеры находятся от стенки на расстоянии Н. Максимальное расстояние между
барботерами не должно превышать
где
- удельный расход воздуха для
перемешивания воды, его принимают равным 4 - 6
на 1 м длины барботера, для
пристенных барботеров (отдельный циркуляционный поток) - равным 2 - 3
/ч; Н-
высота слоя жидкости в усреднителе.
. Коэффициент подавления,
. Объём усреднения
для
погашения залпового выброса
. Отрезок времени, по которому
ведётся расчёт:
. Зависимость приращения
концентрации загрязняющих веществ,
на выход из усреднителя в каждый
отрезок времени,
где
- приток сточных вод,
/ ч;
-концентрация ЗВ в воде поступающей
в усреднитель в указанный отрезок времени и выходящей из него в предшествующий
отрезок времени,
.
Построим график зависимости
приращения концентрации загрязняющих веществ от притока сточных вод. По оси
абсцисс показать изменение приращения концентрации, а по оси ординат количество
сточных вод, поступающих на очистку.
Вывод. Концентрация загрязнения от
притока сточных вод увеличивается по прямой, что отображено на графике. С
увеличением объема сточных вод увеличивается прирост концентрации примесе
2.2 Расчёт нефтеловушки
Отстойники нефтеловушки применяют в
качестве первой ступени очистных сооружений для удаления из сточных вод
примесей с плотностью, меньше чем плотность воды, т. е. всплывающих примесей
(нефть, смолы, масло, жиры и другие). По направлению движения воды они
разделяются на горизонтальные, вертикальные и радиальные. Эффективность
нефтеловушек составляет 60%. Количество нефти в осадке обычно составляет 20%.
Удаление нефтепродуктов и осадка из таких нефтеловушек полностью
механизировано. Сточная вода подается по трубопроводу, расположенному под
днищем нефтеловушки. Внутри нефтеловушки трубопровод заканчивается раструбом.
Вода в нем движется от центра к периферии. Нефтепродукты удаляются через
нефтесборные трубы.
Горизонтальный отстойник (рис.2.3,
а) представляет собой прямоугольный резервуар, разделенный вертикальными
стенками на ярусы, имеющий два или более одновременно работающих отделения. Вода
движется от одного конца отстойника к другому, поступая поочередно в каждую
секцию. Равномерное распределение сточной воды достигается с помощью
поперечного лотка. Горизонтальные отстойники обычно применяются при расходах
сточных вод свыше 15000 м3/сут. Эффективность отстаивания достигает 60%.
Горизонтальная скорость движения воды в отстойнике не превышает 0,01 м/с.
Продолжительность отстаивания составляет 1 - 3 часа.
Принцип действия горизонтальных
нефтеловушек основан на разной плотности нефтепродуктов и механических
примесей. Всплывающую нефть собирают щелевыми поворотными трубами, а осадок
удаляют через донный клапан или гидроэжектором. Для обогрева всплывающего слоя
нефтепродуктов в зимнее время предусмотрен паровой подогреватель. Полнота
очистки сточных вод от нефтепродуктов в горизонтальных нефтеловушках составляет
60 - 70%, а в многополочных достигает 98%.
Вертикальный отстойник (рис. 2.3, б)
представляет собой цилиндрический или кубический резервуар диаметром 4 - 9 м с
коническим днищем и применяется на станциях производительностью до 20 тыс.
м3/сут.
Различают отстойники нескольких
конструкций: с нисходяще-восходящим потоком (НИКТИ ГХ), с периферийным впуском
жидкости (ВНИИ ВОДГЕО) и с центральной трубой. В последних, сточная вода
подводится по центральной трубе и движется снизу вверх к желобу со скоростью не
более 30 мм/с. Расстояние между щитом и раструбом выбирается таким образом,
чтобы скорость поступления воды в отстойную зону была не более 20 мм/с.
Осаждение происходит в восходящем потоке, скорость которого равна 0,5 - 0,6
мм/с. Высота зоны осаждения составляет 4 - 5 м. Эффективность осаждения в
вертикальных отстойниках меньше, чем в горизонтальных на 10 - 20%.
Они различаются лишь конструкцией
впускных и выпускных устройств. Однако имеют в 1,3 - 1,5 раза большую
производительность, чем отстойники с центральной трубой. Первые имеют впускное
устройство в виде кольцевого распределительного лотка переменного сечения с
зубчатым водосливом. Осветленная вода удаляется через лоток, расположенный по периметру
отстойника.
- горизонтальный;
- входной лоток;
- отстойная камера;
- выходной лоток;
- приямок.
б - вертикальный:
- цилиндрическая часть;
- центральная труба;
- желоб;
- коническая часть.
в - радиальный:
- корпус;
- желоб;
- распределительное устройство;
- успокоительная камера;
- скребковый механизм.
Рисунок 2.3 Отстойники
Радиальный отстойник (рис. 2.3, в)
представляет собой круглый в плане резервуар. Типовые нефтеловушки имеют
диаметр 24 и 30 м. Материал - сборный железобетон. Такой отстойник применяется
при расходе сточных вод свыше 20 тыс. м3/сут он имеет некоторые преимущества
перед горизонтальными: простота и надежность эксплуатации, экономичность.
Возможность строительства сооружений большой производительностью. Недостаток -
наличие подвижной фермы со скребками.
. Среднесуточный расход сточных вод,
определяется с учётом количества цистерн N
обрабатываемых на предприятии в течении суток,
. Длина проточной части
нефтеловушки, м
3. Ширина отделения нефтеловушки, м
. Требуемый эффект очистки сточных
вод от нефтепродуктов, %
. Количество улавливаемых
нефтепродуктов,
. Коэффициент очистки сточных вод от
взвешенных веществ, %
. Объём задерживаемых в воде осадка
взвешенных веществ,
. Площадь песочной площадки,
.3 Расчёт радиальной флотационной
установки
Наиболее эффективным методом для
удаления из сточных вод нерастворимых диспергированных примесей, а также
нефтепродуктов, является флотация. Достоинством флотации является непрерывность
процесса, широкий диапазон применения, небольшие капитальные и эксплуатационные
затраты, простота аппаратуры, селективность выделения примесей по сравнению с
отстаиванием, большая скорость процесса, высокая степень очистки (95 - 98%),
возможность рекуперации удаляемых веществ.
Флотация сопровождается аэрацией
сточных вод, снижением концентрации поверхностно-активных веществ (ПАВ),
легкоокисляемых веществ, бактерий и микроорганизмов. Все это способствует
успешному проведению последующих стадий очистки сточных вод. Процесс, на
котором основана флотация, состоит в том, что при сближении поднимающегося в
воде пузырька воздуха с твердой гидрофобной частицей разделяющая их прослойка
воды при некоторой критической толщине прорывается и происходит слипание
пузырька с частицей. Затем комплекс «пузырек-частица» поднимается на
поверхность воды, где пузырьки собираются, и возникает пенный слой с более
высокой концентрацией частиц, чем в исходной сточной воде. Эффект разделения
флотацией зависит от размера и количества пузырьков. На величину смачиваемости
поверхности взвешенных частиц влияют адсорбционные явления и присутствие в воде
примесей ПАВ, электролитов и др. Наиболее распространены напорные установки.
Они просты и надежны в эксплуатации. Напорная флотация позволяет очищать
сточные воды с концентрацией взвеси до 4 - 5 г/л. Для увеличения степени
очистки в воду добавляют коагулянты. Процесс напорной флотации осуществляется в
две стадии: насыщение воды воздухом под давлением и выделение растворенного
газа под атмосферным давлением. Напорные флотационные установки имеют
производительность от 5 до 2000 м3/ч. Схема установки напорной флотации
показана на рис. 2.3.
- емкость;
- насос;
- напорный бак;
- флотатор
Рисунок 2.4 - Схема установки
флотации
Для повышения эффективности
флотационной очистки применяют коагулянты в виде растворов сернокислого
алюминия, сернокислого и хлорного железа, образующих в щелочной среде
нерастворимые гели гидроксидов металлов. Остаточное содержание нефтепродуктов в
сточных водах после механической или физико-химической очистки составляет 10 -
20 мг/л, поэтому дальнейшую очистку проводят химическими или биохимическими
методами.
Различают более тонкие виды
флотационных установок, выбор которых обусловлен спецификой примесей -
импеллерная и пневматическая флотации.
Импеллеры - турбинки насосного типа.
При вращении импеллера в жидкости возникает большое число мелких вихревых
потоков, которые разбиваются на пузырьки, выносящие на водную поверхность
флотационной камеры загрязнителя. Для такой флотации требуется высокая степень
насыщения воды воздухом. Диаметр импеллера составляет 600 - 700 мм (рис. 2.5).
Широко используется для процессов
обогащения сырья и очистки сточных вод от веществ, легко переходящих в пену.
Недостатком этого вида флотации является невозможность использования
коагулянтов, так как при турбулентном перемешивании воды происходит разрушение
хлопьев коагулянта. Продолжительность флотации зависит от свойств воды и
примесей и определяется экспериментально (примерно 15 - 20 мин).
Установки по пневматической флотации
применяются для очистки сточных вод, содержащих растворенные примеси,
агрессивные по отношению к механизмам, имеющим движущиеся части (насосы). При
флотации с помощью пористых пластин воздух пропускается через пористые керамические
пластины или колпачки. В результате такой операции образуются мелкие пузырьки,
поднимающие вверх загрязнители, которые вместе с пеной переливаются в кольцевой
желоб и удаляются из него. Этот способ флотации по сравнению с другими имеет
следующие преимущества: простота конструкции флотационной камеры и меньшие
затраты энергии (отсутствуют насосы, импеллеры). Производительность такого
флотатора зависит от величины отверстий, пористого материала, давления воздуха,
расхода воздуха, продолжительности флотации, уровня во флотаторе.
- камера;
- труба;
- вал;
- импеллер
Рисунок 2.5 - Фильтр с импеллером
. Диаметр флотационной камеры, м:
. Высота флотатора,
. Диаметр флотатора,
4. Расход сточных вод поступающих на
один флотатор,
5. Количество выпавшего осадка по
сухому веществу,
. Количество нефтесодержащей пены,
. Концентрация СПАВ, поступающих на
станцию аэрации,
. Концентрация СПАВ в воде, после
биологической доочистки,
Вывод:
Был проведен расчет флотационной
установки, в воде которой была определена концентрация СПАВ в сточных водах
после очистки. Рассчитаны размеры флотационной установки.
.4 Расчёт биологических прудов
Аэробные процессы биохимической
очистки могут протекать в природных условиях и в искусственных сооружениях. В
естественных условиях очистка происходит на полях орошения, полях фильтрации и
биологических прудах. Искусственными сооружениями являются аэротенки и биофильтры
разной конструкции. Тип сооружений выбирают с учётом местоположения
предприятия, климатических условий, источников водоснабжения, объёма
промышленных и бытовых сточных вод, состава и концентраций загрязнения. В
искусственных сооружениях процессы очистки протекают с большей скоростью, чем в
естественных условиях.
Биологические пруды представляют
собой каскад прудов состоящий из 3 - 5 ступеней, через которые с небольшой
скоростью протекает осветлённая или биологически очищенная сточная вода. Пруды
предназначены для биологической очистки и для доочистки сточных вод в комплексе
с другими очистными сооружениями. Различают пруды с естественной и
искусственной аэрацией. Пруды с естественной аэрацией имеют небольшую глубину
(0,5 - 1м), хорошо прогреваются солнцем и заселены водными организмами.
Бактерии используют для окисления
загрязнений кислородом, выделяемым водорослями в процессе фотосинтеза, а так же
кислородом из воздуха. Водоросли, в свою очередь, потребляют углекислый газ,
фосфаты и аммонийный азот, выделяемые при биологическом разложении органических
веществ. Для нормальной работы биологических прудов, необходимо соблюдать
оптимальные значения pH и температуры сточных вод.
Температура должна быть не менее 6 С. В зимнее время пруды не работают.
При расчёте прудов определяют их
размеры, обеспечивающие необходимую продолжительность пребывания в них сточных
вод. Целесообразность устройства биологических прудов определяется
климатическими условиями, расходом сточных вод и концентрацией загрязнений в
них, а так же наличием земельных участков для их размещения.
. Константа скорости реакции,
. Продолжительность очистки в
биологических прудах, сут:
Вывод:
Вода в биологических прудах
соответствует всем санитарно - биологическим нормам.
Заключение
В данном курсовом проекте представлена схема
очистки газовоздушных потоков и схема очистки сточных вод. По условиям задания
был проведен расчет эффективности каждого очистного сооружения.
Для очистки воздушных потоков от
среднедисперсной и мелкодисперсной глиненной и стекольной пыли, а также от
взвеси химических компонентов были выбраны следующие очистные оборудования:
циклон, рукавный фильтр и электрофильтр.
Циклоны просты в устройстве, надежны в
эксплуатации и сравнительно дешевы по капитальным и эксплутационным затратам.
Они изготавливаются на большую и малую производительность по воздуху. В первом
случае они обладают эффективностью очистки до 80 %, а во втором до 97 %. В
нашем варианте расчет показал, что эффективность циклона высокая и составляет
56 %.
Из проведенного расчета очистки электрофильтра
видно, что эффективность очистки высокая и составляет более 90%.
Для очистки сточных вод от нефтепродуктов и
взвешенных частиц были предложены следующие очистные сооружения: усреднитель,
нефтеловушка, флотатор, биологический пруд.
Для обеспечения нормальной работы очистных
оборудований необходимо усреднение поступающих сточных вод по концентрации
загрязняющих веществ или по расходу воды, а иногда по обоим показателям
одновременно. Усреднитель - это блок, позволяющий провести усреднение. Из
расчета видно, что при увеличении притока сточных вод увеличивается приращение
концентрации загрязняющих веществ на выходе из усреднителя и в каждый отрезок
времени.
Для очистки сточных вод от основной массы
нефтепродуктов применяются нефтеловушки преимущественно горизонтального типа.
Принцип их действия основан на разной плотности нефтепродуктов и механических
примесей. Полнота очистки сточных вод от нефтепродуктов составило 87,5 %.
Наиболее эффективным методом для удаления из
сточных вод нефтепродуктов и взвешенных веществ, которые самопроизвольно плохо
отстаиваются, является флотация. Достоинством флотации является неисправность
процесса, широкий диапазон применения, небольшие капитальные и эксплутационные
затраты, простота аппаратуры, высокая степень очистки (95 - 98 %), возможность
рекуперации удаляемых веществ. Флотация сопровождается аэрацией сточных вод,
снижением концентрации ПАВ, легкоокисляемых веществ, бактерий и
микроорганизмов. По расчетам концентрация ПАВ снизилась до 1,14 мг/л.
Список используемых источников.
1 Байгулова Т.М. Зубрева Н.П Теория
и практика защиты окружающей среды. Зубрев Н.И. Желдориздат, М. 2004
Тищенко Н.Ф.Охрана атмосферного
воздуха. Расчет содержания вредных веществ и их распределение в воздухе.
Справочник.
Кузнецов Ю.П. Соловьев Г.С. Защита
биосферы от промышленных выбросов. Родионов А.И.2005
Проектирование сооружений для
очистки сточных вод. Справочное пособие к СНиП
. Методика расчета выделений
(выбросов) загрязняющих веществ в атмосферу при механической обработке металлов
(на основе удельных показателей). Фирма «Интеграл». 1997
. Методика проведения инвентаризации
выбросов загрязняющих веществ в атмосферу на предприятиях железнодорожного
транспорта (расчетным методом). Минтранс РФ НИИАТ. М. 1992
. Методика проведения инвентаризации
выбросов загрязняющих веществ в атмосферу для авторемонтных предприятий
(расчетным методом). М.1998
. Методика проведения инвентаризации
выбросов загрязняющих веществ в атмосферу для автотранспортных предприятий
(расчетным методом). НИИАТ. М.1998
.Методика расчета выделений
(выбросов) загрязняющих веществ в атмосферу при нанесении лакокрасочных
материалов (по величинам удельных выделений). Фирма «Интеграл». С.-Пб. 1997
. Методика расчета выделений
(выбросов) загрязняющих веществ в атмосферу при сварочных работах (на основе
удельных показателей). Фирма «Интеграл». С.-Пб. 1997.