Модели анализа безубыточности

  • Вид работы:
    Дипломная (ВКР)
  • Предмет:
    Эктеория
  • Язык:
    Русский
    ,
    Формат файла:
    MS Word
    240,87 kb
  • Опубликовано:
    2012-03-15
Вы можете узнать стоимость помощи в написании студенческой работы.
Помощь в написании работы, которую точно примут!

Модели анализа безубыточности


КУРСОВАЯ РАБОТА

«Модели анализа безубыточности»

Введение

Основная задача управленческого учета состоит в обеспечении финансовой информацией руководителей предприятия. Правильно подобранная и проанализированная информация, представленная своевременно и в необходимом объеме, поможет менеджерам принять оптимальное решение по управлению предприятием. Конечно, разные по сложности решения требуют подготовки информации разного уровня. Для принятия краткосрочных решений о приобретении тех или иных хозяйственных материалов, отпуске продуктов со склада в производство, выплате отличившемуся работнику премии за высокое качество работы, поощрительной скидке покупателю за оптовую закупку и прочее компетентному руководителю достаточно краткой, иногда устной информации. Такие решения принимаются с учетом имеющихся трудовых, материальных и финансовых ресурсов предприятия в данный период и с расчетом перспективной выгоды от принятого решения. Краткосрочные решения - это в основном решения «стереотипные», повторяющиеся; опытный менеджер знает, что нужно делать в тех или иных обстоятельствах, и принимает такие решения «не задумываясь». При этом необходимо подчеркнуть, что автоматически принятое решение может быть обеспечено только в случае, если менеджер владеет необходимой оперативной и достоверной информацией, подготовка которой часто является весьма сложным процессом. Решения перспективного характера, касающиеся капиталовложений в новое оборудование, изменений производственного цикла, освоения новых видов продукции, возникают при особых обстоятельствах, предполагают отвлечение собственных средств из оборота, в ряде случаев требуют долгосрочного привлечения заемных ресурсов. Такие решения, как правило, принимаются на основе тщательно подготовленной финансовой информации. Разработка информации для принятия долгосрочных решений требует значительных усилий: большого количества времени, профессиональной подготовки и т.д. Подготовка информации для принятия долгосрочных и краткосрочных управленческих решений базируется на методиках и технологиях управленческого учета, внедрение которых в практическую деятельность дает предприятию безусловные преимущества по сравнению с традиционным управлением. Все вышесказанное делает тему курсовой работы: «Анализ безубыточности производства» очень актуальной. Основными методиками управленческого учета для принятия краткосрочных решений являются: модель безубыточности, метод релевантных издержек, концепция маржинальной прибыли, функционально-стоимостный анализ. Решения о долгосрочных вложениях базируются на понятиях: «чистая дисконтированная стоимость», «внутренний коэффициент окупаемости капиталовложений» и прочее. Цель анализа-безубыточности - установить, что произойдет с финансовыми результатами, если определенный уровень производительности или объем производства изменится. Эта информация имеет весьма существенное значение для руководства, так как одной из наиболее важных переменных, влияющих на совокупный доход от продаж, совокупные издержки и прибыль, является выход продукции или объем производства. По этой причине выходу продукции уделяется особое внимание, поскольку знание этой зависимости позволяет руководству определить критические уровни выпуска, например, уровень, при котором прибыль будет максимальной, или уровень, при котором не будет ни прибыли, ни убытков (т.е. точку безубыточности). Анализ безубыточности основан на зависимости между доходами от продаж, издержками и прибылью в течение короткого периода, когда выход продукции фирмы ограничен уровнем имеющихся в настоящее время в ее распоряжении действующих производственных мощностей. В этот период ввод некоторых ресурсов может возрасти, ввод других - нет. Например, можно быстро организовать дополнительные поставки материалов и привлечь неквалифицированную рабочую силу, но для увеличения производственных мощностей машин или оборудования понадобится время. Таким образом, в течение короткого периода выпуск продукции ограничен, потому что не могут быть увеличены производственные мощности предприятия. Для сокращения производственных мощностей также необходимо время, поэтому весь короткий период фирма должна работать на постоянных запасах производственных ресурсов. Более того, большинство затрат и цены на продукцию фирмы также будут определены заранее, и основной областью неопределенности является объем продаж. Таким образом, краткосрочная прибыльность будет наиболее чувствительна к объему реализации. Анализ безубыточности придает большое значение влиянию динамики объема продаж на уровень прибылей. Цель данной работы - изучить методику анализа безубыточности путем определения маржинального дохода, точки безубыточности и производственного левериджа, а также наметить пути увеличения объема производства и продаж. Задачами работы явились: - изучить модель анализа безубыточности; - раскрыть анализ безубыточности производства; - предложить пути по увеличению объема производства и продаж

1. Модели анализа безубыточности

1.1 Экономическая модель безубыточности

безубыточность рентабельность леверидж учет

Как известно, существует две модели анализа безубыточности: экономическая и бухгалтерская. При помощи теоретической зависимости выручки от реализации, затрат и прибыли от объёма производства строится экономическая модель, позволяющая создать основы бухгалтерской модели и выяснить механизм её действия.

Экономическая модель поведения затрат, объёма производства и прибыли представлена на рис. 1. В соответствии с данной моделью предприятие может наращивать объемы продаж только путём уменьшения цены реализации единицы продукции, в результате чего линия выручки от реализации, возрастающая вначале, постепенно замедляет подъём, а затем опускается вниз. Это связано с тем, что в определённый момент положительный эффект от увеличения объёма продаж оказывается ниже отрицательного влияния снижения цен.

Как видно линия выручки от реализации пересекает линию общих затрат в двух точках. Это означает, что в экономической модели безубыточности существует два уровня выпуска и реализации продукции, при которых общие затраты равны выручке от реализации, т.е. две точки безубыточности. На поведение совокупных затрат в этой модели наиболее сильное влияние оказывают переменные издержки, изменяющиеся в соответствии с известным эффектом масштаба.

Экономическая модель поведения затрат, объема производства и прибыли представлена на рис. 1. Кривая совокупного дохода указывает, что фирма может реализовывать возрастающие количества выпускаемой продукции только путем уменьшения цены реализации одной единицы, поэтому совокупный доход не возрастает пропорционально выпуску продукции. Для увеличения объема продаж требуется снизить цену реализации продукции, в результате чего линия совокупного дохода будет подниматься не так круто и в конце концов пойдет вниз. Происходит это из-за того, что отрицательное влияние снижения цен превалирует над эффектом от увеличения объема.

Единицы продукции и объем реализации

Рис. 1. График затрат и объема производства по экономической модели

Кривая совокупных издержек АВ показывает, что между точками. А и. В совокупные издержки сначала резко возрастают на низких уровнях объема производства. Это говорит о трудностях эффективного управления предприятием, которое рассчитано на гораздо более высокий уровень объема производства. Между точками В и С линия совокупных издержек начинает выравниваться и поднимается не так круто. Это свидетельствует, что теперь фирма в состоянии эксплуатировать оборудование в экономически эффективных масштабах производства и может использовать преимущества специализации труда, серийного производства и непрерывных графиков основного производственного процесса. Ближе к верхней границе диапазона объема производства кривая совокупных издержек между точками С. В поднимается все круче, так как издержки на единицу продукции возрастают. Происходит это потому, что выпуск продукции за один час работы основных производственных рабочих уменьшается, когда предприятие эксплуатируют выше его проектного уровня: возникает нехватка ресурсов, графики основного производственного процесса становятся более сложными, возникают кризисные ситуации. Общий результат такой, что издержки на единицу выпущенной продукции увеличиваются, вызывая резкий подъем линии совокупных издержек.

Горизонтальная пунктирная линия отражает затраты на обеспечение основных действующих производственных мощностей и является экономической интерпретацией валовых постоянных издержек фирмы. Кривая совокупного дохода пересекает кривую совокупных издержек в двух точках. Другими словами, существуют два уровня выпуска продукции, при которых совокупные издержки равны совокупным доходам, или еще проще, есть две точки безубыточности.

Именно функция переменных расходов в экономической модели оказывает наиболее сильное влияние на функцию совокупных издержек, что показано на рис. 2.

Объем производства

Рис. 2. Функция переменных расходов экономической модели

Экономисты предполагают, что средние переменные издержки на единицу продукции сначала снижаются. Это говорит о том, что по мере расширения выпуска продукции фирма может получать крупные скидки при закупке и экономию от разделения труда. В результате этого снижаются затраты на рабочую силу в расчете на единицу продукции. Экономисты указывают на такую ситуацию, как возрастающий эффект масштаба. То, что переменные издержки на единицу продукции выше при более низких уровнях производства, влечет за собой резкий подъем линии совокупных издержек между точками А и В на рис. 1. Из рис. 2 видно, что переменные издержки на единицу продукции выравниваются между СЬ и Р2, а затем постепенно начинают возрастать. Происходит это потому, что фирма работает при наиболее эффективном уровне выпуска продукции и дальнейшая экономия за счет оптимизации масштаба производства за короткий период невозможна. Однако за пределами 2 предприятие эксплуатируется на уровне, более интенсивном, чем тот, на котором оно должно работать, возникают нехватка ресурсов и критические ситуации. В результате почасовая производительность производственных рабочих снижается, вызывая рост переменных издержек на единицу продукции. Экономисты описывают такую ситуацию, как отрицательный эффект масштаба. Именно вид функции переменных издержек влияет на линию совокупных издержек, как на рис. 1. Между точками В и С линия совокупных издержек поднимается более круто, так как переменные издержки на единицу продукции увеличиваются в связи с возрастающим эффектом масштаба.

.2 Бухгалтерская модель безубыточности

Бухгалтерская модель отличается от экономической модели безубыточности тем, что предполагает неизменность переменных издержек и цены продукции в течение рассматриваемого периода, поэтому между совокупными издержками и доходом формируется линейная прямая зависимость - с увеличением объема производства совокупные доходы растут, и рост прибыли ограничен только объемом производства.

Бухгалтерская модель менее точно отражает реальную взаимозависимость дохода от продаж, издержек и прибыли, чем экономическая, но на практике применения бухгалтерской модели безубыточности бывает достаточно для принятия оперативных управленческих решений.

Обычно предприятия не планируют производство продукции выше проектной производственной мощности, поэтому анализ зависимости между объемами производства, себестоимостью и прибылью, принятие оперативных решений по установлению цены реализации, изменению объемов продаж продукции, увеличение или экономия по отдельным статьям затрат можно осуществить с помощью бухгалтерской модели безубыточности. Модель подлежит пересмотру в случае изменения цены единицы продукции, затрат, эффективности производства.

Анализ зависимости «затраты - объем - прибыль» проводят также с помощью математики - методом уравнений. При этом также допускают, что цена реализации и расходы на единицу продукции - величины неизменные и прибыль от реализации продукции меняется в зависимости от произведенного объема. Это допущение касается цены производимой продукции и переменных издержек, но важно помнить, что постоянные расходы не изменяются с изменением объемов производства, а являются постоянной величиной и могут изменяться при изменении объемов производства в расчете на единицу продукции. Например, постоянные расходы предприятия равны 10 000 руб., тогда при объеме производства в 1000 единиц продукции постоянные расходы составят 10 тг. за единицу продукции. Если объем производства вырастет до 2000 единиц продукции, постоянные расходы составят 5 тг. на единицу, т.е. прибыль в расчете на единицу продукции не будет при разных объемах производства величиной постоянной, значит, при изучении зависимости прибыли, объемов и себестоимости правильнее будет принимать во внимание постоянные расходы полностью, а не в расчете на единицу продукции.

Диаграмма для бухгалтерской модели представлена на рис. 3. Заметьте, что пунктирная кривая - функция совокупных издержек в экономической модели, которую можно сравнить с функцией совокупных издержек в бухгалтерской модели.

Единицы продукции и объем реализации

Рис. 3. Диаграмма безубыточности по бухгалтерской модели

При построении бухгалтерской модели предполагают, что переменные издержки и цена реализации на единицу продукции неизменны; в результате этого зависимость совокупного дохода и совокупных издержек от изменения объема имеет линейный характер. Таким образом, на диаграмме есть лишь одна точка безубыточности, а зона прибыли с увеличением объема расширяется. Поэтому наиболее прибыльным производство будет при максимальном использовании производственных мощностей. Очевидно, что экономическая модель представляется более реалистичной, так как допускается, что кривая совокупных издержек не линейна.

Приемлемый (возможный) диапазон объемов производства

Бухгалтерская диаграмма не дает точного представления совокупных издержек и совокупного дохода для всех уровней производства. Необходимо показать изменение совокупных издержек и доходов притом уровне производства, который фирма предполагает достичь в будущем. Уровень производства представлен на рис. 9.3 между точками X и У. Возможный диапазон объемов производства относится к этому уровню производства. Этот диапазон также примерно отражает тот уровень производства, который фирма обычно поддерживала в прошлом и по которому есть информация об издержках.

Из рис. 3 можно видеть, что между точками X и У линия совокупных издержек бухгалтерской модели очень похожа на линию, совокупных издержек модели экономической. Линия совокупных издержек дает лишь хорошее приближение в возможном диапазоне объема производства. Бухгалтер предполагает, что в этом диапазоне переменные издержки на единицу продукции не изменяются, и поэтому линия совокупных издержек прямая. Существуют эмпирические данные, которые позволяют говорить о том, что переменные издержки на единицу продукции приблизительно линейны в этом диапазоне объемов производства. Однако было бы неразумно принимать данное допущение для уровней производства вне этого диапазона. Правильнее, чтобы линия совокупных издержек бухгалтерской модели была представлена только для возможного диапазона объемов производства, а не продлевалась по вертикальной оси или до уровней производства за пределами. У (на рис. 3).

Функция постоянных издержек

Функция постоянных издержек бухгалтерской модели на рис. 3 встречается с вертикальной осью не в той же точке, что и линия совокупных издержек экономической модели. Причину этого можно объяснить, изучив рис. 4. Уровень постоянных издержек ОА может относиться, скажем, к уровню производства от СЬ до СЬ, но в случае продолжительного экономического спада производство продукции могло упасть ниже уровня 01, что могло бы в свою очередь привести к закрытию предприятий и увольнениям. Таким образом, постоянные издержки могут быть снижены до ОВ, в случае продолжительного и существенного падения производства. В альтернативной ситуации могут иметь место дополнительные постоянные издержки, если объем реализации продукции в долгосрочном плане превысит Оз. В долгосрочном плане линия постоянных издержек была бы скорее ступенчатой, нежели прямой горизонтальной линией, аналогичной той, что приведена на рис. 3. Однако, поскольку в обозримом будущем фирма предусматривает, что объем производства будет находиться в пределах 02 - Оз.> то и постоянные издержки будут ограничены линией ОА (рис. 4.). Но вы должны помнить, что в случае продолжительного экономического спада постоянные издержки могут снизиться до ОВ.

Линия постоянных издержек для уровней производства ниже 01 (т.е. ОВ) представляет собой затраты на обеспечение функционирования основных действующих производственных мощностей. Эта линия отражает те же условия, что и точка, в которой линия совокупных издержек экономической модели встречается с вертикальной осью на рис. 3. Так как бухгалтер предполагает, что фирма будет работать в диапазоне объемов производства между р2 и Оз., то линия ОА постоянных издержек бухгалтерской модели на рис. 9.4 отражает постоянные издержки только для того диапазона объемов производства, который имеет место в настоящий период и не отражает затрат на обеспечение функционирования основных действующих производственных мощностей.

Рис. 4. Постоянные издержки по бухгалтерской модели

Функция совокупного дохода

Теперь сравним линии совокупного дохода бухгалтерской и экономической моделей. Как мы видим, бухгалтеры предполагают, что цена реализации остается постоянной в возможно диапазоне объемов производства, поэтому линия совокупного дохода прямая. Бухгалтерское предположение относительно линии доходов реалистично с точки зрения большинства фирм, которые работают в отраслях, где цены за короткие периоды не отличаются эластичностью в относительном диапазоне производства. Еще одним доводом в пользу этого допущения о фиксированной цене реализации является то, что конкуренция может принять скорее неценовую, чем ценовую форму. Например, фирмы могут предпринять попытку увеличить объем реализации при помощи рекламы, а не путем изменения цены реализации. Более того, за пределами возможного диапазона увеличить объем производства можно, только значительно снизив уровень цен. Поскольку фирмы не планируют свою работу вне его, то при создании бухгалтерской модели не предпринимают никаких попыток для построения функции дохода вне этого предела. На рис. 9.3 она была бы более точной, если бы линия совокупного дохода была представлена для уровней производства X и У в возможном диапазоне, а не продолжена влево и вправо от этих точек.

1.3 Математический подход к анализу безубыточности

Для проведения анализа безубыточности производства можно использовать математические подходы или метод уравнений. В этом случае так же, как и при построении бухгалтерской графической модели, принимается допущение, что цена реализации и расходы (издержки) на единицу продукции являются величинами неизменными. В результате прибыль от реализации продукции будет меняться в зависимости от произведенного объема. Такое допущение распространяется на переменные издержки и цену производимой продукции. При этом не следует забывать, что постоянные расходы не изменяются с изменением объемов производства, а являются величиной постоянной. Они обладают способностью изменяться в расчете на единицу продукции при изменении объемов производства. Соответственно, прибыль на единицу продукции не будет величиной постоянной при разных объемах производства, и при изучении зависимости прибыли, объемов и себестоимости следует принимать во внимание постоянные расходы полностью, а не в расчете на единицу продукции.

Для представления информации по издержкам, объему производства и прибыли вместо диаграммы можно использовать математические зависимости. Математический подход - более гибкий метод получения надлежащей информации, чем графический метод, и особенно подходит для ввода данных в компьютерную финансовую модель.

При разработке математической формулы для получения информации по издержкам, объему производства и прибыли следует иметь в виду, что цена реализации и издержки на единицу продукции считаются постоянными. Такое допущение может быть реальным для цены реализации единицы продукции и переменных издержек, однако необходимо помнить: в гл. 2 отмечалось, что постоянные издержки представляют собой постоянную совокупную величину, а издержки на единицу продукции изменяются в зависимости от уровня производства. В результате прибыль на единицу продукции также изменяется в зависимости от объема производства. Например, если постоянные издержки составляют $ 10 000 за определенный период, а выпуск продукции равен 10 000 ед., то постоянные издержки - $ 1 на единицу продукции. С другой стороны, если выпуск продукции составляет 5 000 ед., то постоянные издержки равны $ 2 на единицу продукции. То есть прибыль на единицу продукции не будет постоянной при разных уровнях производства. Поэтому подсчитывать постоянные издержки на единицу продукции для того, чтобы делать выводы об издержках по данным анализа объема производства и прибыли, неправильно.

Математическую формулу можно вывести из зависимости:

Чистая прибыль = (Количество проданных единиц продукции * Цена реализации единицы) - [(Количество проданных единиц продукции * Переменные издержки на единицу) + Совокупные постоянные издержки].

Введем в это уравнение соответствующие обозначения: КР - чистая прибыль; Х - количество проданных единиц продукции; Р - цена реализации; Ъ - переменные издержки на единицу продукции; а - совокупные постоянные издержки. Получим формулу:

NР = Рх - (а + bх).

Теперь, используя данные из примера 1, можно ответить на вопросы.

1. При каком уровне производства Thatcher Ltd. работает безубыточно (т.е. без прибыли и без убытков)?

. Сколько единиц продукции необходимо продать для получения
$ 30 000 000 прибыли?

. Какая будет прибыль в результате сокращения переменных издержек
на 10% и постоянных издержек на $ 10 000 000 при допущении, что
текущий объем реализации можно сохранить прежним?

. Какую цену реализации следовало бы установить для получения при-
были в размере $ 30 000 от реализации 8 000 ед. продукции?

5. Какой дополнительный объем продаж необходим для покрытия добавочных постоянных издержек в размере $ 8 000 в связи с предложенным расширением предприятия?

Пример 1

Тhatcher Ltd.: данные для примера анализа безубыточности.

Постоянные издержки за год, $             60 000

Цена реализации единицы продукции, $ 20

Переменные издержки на единицу продукции, $ 10

Текущий объем реализации, ед.             8 000

Возможный диапазон объемов производства, ед.     4 000-12 000

1. Точка безубыточности в единицах продукции

Поскольку NР = Рх - + bх), точка безубыточности будет на том уровне производства (x), на котором

 

а + bх = Рх - NР.

Используя данные примера 1, получим:

000 + 10х = 20x - 0;

000 = 10х;

х = 6 000 ед.

Можно также использовать альтернативный метод, называемый методом валовой прибыли. Валовая прибыль равняется объему реализации за вычетом переменных издержек. В связи с тем, что переменные издержки на единицу продукции и цена реализации единицы продукции считаются постоянными, доля валовой прибыли в цене единицы продукции также считается постоянной. Из примера 1 видно, что каждая проданная единица продукции дает выручку в $ 10, которая может пойти на покрытие постоянные издержек, а после - на увеличение прибыли. Когда получена достаточная совокупная выручка для покрытия постоянных издержек, достигается точка безубыточности, и альтернативная формула будет иметь вид:

Точка безубыточности в единицах продукции = Постоянные издержки /Выручка на единицу продукций.

Метод валовой прибыли можно соотнести с математическим подходом. Рассмотрим предпоследнюю строку согласно формуле

= 10х;

Х =60000/10

что дает формулу валовой прибыли:

Постоянные издержки

Выручка на единицу продукции

Таким образом, метод валовой прибыли - другое выражение математической формулы. Можно выбрать любой из этих методов по желанию.

2.      Количество единиц продукции, которое необходимо
реализовать для получения прибыли в размере & 30.000

Используя уравнение NР = Рх - + bх) и данные примера 1, получим:

000 = 20х - (60 000 + 10х);

000 = 10х;

х = 9 000 ед.

Если прибегнуть к методу валовой прибыли и поставить целью выйти на желаемый ее уровень, то необходимо добиться достаточно высокой выручки для покрытия постоянных издержек (т.е. достичь точки безубыточности), а также дополнительной выручки для обеспечения желаемой прибыли. Поэтому уравнение по методу валовой прибыли будет выглядеть так:

Количество реализованных единиц продукции для получения желаемой прибыли = Постоянные издержки *. Желаемая прибыль

Выручка на единицу продукции

Это лишь другое выражение предпоследней строки формулы

=10x;

X= 90000/10

3.      Сокращение постоянных издержек на $ 10 000 и 10%-ное сокращение переменных издержек

Произведя замены в уравнении NР = Рх - (а + bх), получим:

NP = 20 (8 000) - [50 000 + 9 (800)];

NP= 160 000 - (50 000 + 72 000);

NР = $38 000.

4.      Необходимая цена реализации для получения прибыли в размере

$ 30000 при реализации 8000 ед. продукции

30 000 = 8000 P - (60 000+10 * 8 000);

000 = 8000Р - 140 000;

P = 170 000;

Р= $ 21,25. (т.е. увеличение в размере $ 1,25 на единицу продукции).

5.      Дополнительный объем реализации для покрытия
дополнительных постоянных издержек в размере $ 8 000

Выручка на единицу продукции составляет $ 10, постоянные издержки увеличатся на $8 000. Следовательно, необходимо дополнительно реализовать 800 ед. продукции для покрытия дополнительных постоянных издержек в размере $ 8 000.

Соотношение прибыли и объема реализации

Это соотношение представляет собой выручку в процентах от объема реализации:

Соотношение прибыли и объема реализации = Валовая прибыль / Доход от реализаций * 100

В примере 1 валовая прибыль составляет $10 за единицу продукции, а цена реализации - $20 за единицу продукции; соотношение прибыли и объема реализации равно 50%. Это значит, что на каждый фунт стерлингов реализации валовой доход составляет $0,50. Так как мы считаем, что цена реализации и валовая прибыль на единицу продукции постоянны, то соотношение прибыли и объема реализации также постоянно. Если известна оценка совокупного дохода от реализации, то можно использовать соотношение прибыли и объема реализации для оценки валового дохода. Например, если совокупный доход от реализации оценивается в ^ 200 000, то валовая прибыль составит $100 000 (50% от $200 000). Для расчета прибыли вычитаем сумму постоянных издержек в размере $ 60 000 из валовой прибыли; таким образом, в совокупном доходе от реализации в размере $ 200 000 прибыль будет составлять $ 40 000.

Возможный диапазон объемов производства

Необходимо помнить, что приведенные в этом разделе формулы подходят только для тех решений, которые принимаются в пределах возможного диапазона. Вне этого диапазона цена реализации единицы продукции и переменные издержки на единицу продукции уже не считаются постоянными, и любые результаты, полученные из этих формул, которые находятся не в приемлемом диапазоне производства, будут неправильны.

2. Анализ безубыточности производства

.1 Определение точки безубыточности (порога рентабельности) в системе бухгалтерского управленческого учета

Точка безопасности

Точка безопасности (так называемая «мертвая точка» - примеч. ред.) показывает, насколько может сократиться объем реализации, прежде чем компания понесет убытки, принимая во внимание данные примера 1, в котором цена реализации единицы продукции и переменные издержки на единицу продукции составляли соответственно $ 20 и $ 10, а постоянные издержки равны $ 60 000. Мы отмечали, что точка безубыточности находится на уровне 6 000 ед. продукции, или $120 000 стоимости объема реализации. Если объем реализации ожидается в размере 8 000 ед. продукции, или $160 000, то точка безопасности будет на уровне 2 000 ед. продукции, или $40 000. С другой стороны, уровень точки безопасности можно выразить в процентах исходя из следующего соотношения:

Точка безопасности (%) =

Объем ожидаемой реализации - Объем безубыточной реализации =
~~                        Объем ожидаемой реализации      ~~

= $160 000 - $ 120 000 =25%

$ 160 000

Построение графика безубыточности

По данным примера 1 можно построить график безубыточности для Тhatcher Ltd. (рис. 5). Переменные издержки в размере $ 10 на единицу продукции прибавляют к постоянным издержкам для построения линии совокупных издержек. Линия совокупного дохода наносится из расчета $20 на единицу продукции. Затем добавляются ограничения возможного диапазона объемов производства в виде двух вертикальных линий; вероятность того, что за пределами этих линий соотношения издержек, объема производства и прибыли правильны, невелика.

Точка, в которой линия совокупного дохода от реализации пересекает линию совокупных издержек, является точкой, где Thatcher Ltd не получает прибыли, но и не несет убытков. Это точка безубыточности на уровне 6 000 ед. продукции, или $ 120 000 совокупного дохода от реализации. Область между линией совокупного дохода от реализации и линией совокупных издержек при объеме производства ниже точки безубыточности отражает убытки, которые будут иметь место при различных уровнях производства ниже 6 000 ед. продукции. Подобным образом, если уровень объема производства компании выше точки безубыточности, область между линиями совокупного дохода и совокупных издержек показывает прибыль, получаемую в результате работы компании на уровнях производства выше 6 000 ед. продукции.

Альтернативное представление данных анализа безубыточности производства

График выручки

На рис. 5 линия постоянных издержек проведена параллельно горизонтальной оси, а переменные издержки равны расстоянию между линиями совокупных и постоянных издержек. Альтернативный по сравнению с рис. 5 вариант представления данных, содержащихся в примере 1, приведен на рис. 5.

Рис. 9.5. Точка безубыточности для примера 9.1

Такое альтернативное представление данных называется графиком валовой прибыли. На рис. 6 линия переменных издержек сначала проведена на уровне $10 на единицу объема производства. Постоянные издержки равны разнице расстояний между линиями совокупных и переменных издержек. Так как постоянные издержки считаются постоянной величиной для всего диапазона объема производства, то неизменяющаяся сумма постоянных издержек в размере $60 000 прибавляется к переменным издержкам, в результате чего линия совокупных издержек проводится параллельно линии переменных издержек. Преимущество этой формы представления данных в том, что валовая прибыль на графике выделена и равна расстоянию между линией совокупного дохода от реализации и линией совокупных переменных издержек.

Рис. 6. График валовой прибыли для примера 1

График прибыли и объема производства

На графиках безубыточности и валовой прибыли не показаны прибыли и убытки при различных уровнях производства. Для установления размеров прибыли или убытков по графику безубыточности необходимо определить расстояние между линиями совокупных издержек и совокупного дохода. График прибыли и объема производства - более удобный метод показа влияния изменений объема производства на прибыль. Этот график представлен на рис. 7.

Горизонтальная ось представляет различные уровни объема производства и реализации, а прибыль и убытки за этот период отмечаются по вертикальной оси. Из рис. 7 видно, что прибыль или убытки наносятся на график для каждого из уровней производства и реализации и что эти точки соединены линией прибыли. Точка безубыточности находится там, где линия прибыли пересекает горизонтальную линию на уровне производства 6 000 ед. продукции. Если объем реализации равен нулю, то максимальные убытки будут составлять сумму постоянных издержек, так как убытки компании не должны быть больше суммы постоянных издержек. Каждая единица реализованной продукции дает валовую прибыль сверх постоянных издержек в размере $ 10, а точка безубыточности находится на уровне 6 000 ед. тогда, когда совокупная валовая прибыль точно равняется сумме совокупных постоянных издержек. Каждая дополнительная единица продукции, реализованная сверх 6 000 ед., дает излишек прибыли в размере $10. Если реализовано 10 000 ед. продукции, то прибыль составит $ 40 000 (4 000 ед. по $ 10). Это соотношение между объемом реализации и прибылью показано пунктирной линией на рис. 7.

Рис. 7. График прибыли и объема для примера 1

Допущения, принятые при анализе безубыточности производства

При подготовке или использовании информации о безубыточности необходимо знать принятые допущения, на основании которых эта информация подготовлена. Если эти допущения не учитывать, то можно сделать серьезные ошибки и неправильные выводы при анализе. Вот эти важные допущения.

1.   Все другие переменные остаются постоянными

2.   Единственное изделие или постоянная номенклатура реализуемых изделий

3.   Прибыль рассчитывается по переменным издержкам

4.   Совокупные издержки и совокупный доход являются линейными функциями объема производства

5.   Анализируется только возможный диапазон объемов производства

1.      Все другие переменные остаются постоянными

Предполагается, что все другие переменные, кроме той, которая анализируется, оставались без изменений. Другими словами, предполагается, что объем производства - единственный фактор, который может вызвать изменения издержек и доходов от реализации. Однако изменения других переменных, например, производительности, номенклатуры реализуемых изделий, уровней цен и технологий могут оказывать большое влияние на доходы от реализации и издержки. Если переменные существенно изменяются, то анализ безубыточности будет неправильным. Если переменные существенно изменяются, то анализ безубыточности ^удет неправильным.

2.      Единственное изделие иди постоянная номенклатура
реализуемых изделий

При анализе безубыточности предполагается, что или реализуется единственное изделие, или в случае реализации ряда изделий реализация изделий будет происходить в соответствии с заранее определенной номенклатурой. В последнем случае реализация может быть показана в анализе безубыточности путем принятия средних доходов и средних переменных издержек для данной номенклатуры изделий. Рассмотрим это положение на примере 9.1.

Пример 1

Компания реализует изделия X и У. Планируемый объем реализации делится поровну между изделиями. Согласно оценке выручка от реализации одной единицы изделия X составляет $ 12, а от реализации изделия У - $ 8. Анализ фактического объема реализации за этот период показал, что 75% пришлось на изделие У и 25% - на изделие X. Каковы будут точки безубыточности для планируемых и фактических объемов реализации, если годовые постоянные издержки составляют $180 000? Фактические издержки и цены реализации считаем идентичными сметным.

На этапе составления финансовой сметы анализ безубыточности будет базироваться на данных о средней валовой прибыли на единицу продукции в размере $ 10 (50% х $12 + 50% х $ 8), но в связи с тем, что фактическая номенклатура реализуемых изделий меняется, фактическая средняя валовая прибыль на единицу продукции составит $ 9 (25% х ^ 12 +75% х $ 8). Посмотрим, каковы точки безубыточности:

по смете = $180000/$10 =18 000 ед. продукции (9 000 изделий X и 9 000 изделий У);

фактически = $180000/$9 = 20 000 ед. продукции (5000 изделий X и 15 000 изделий У).

Из этих расчетов видно, что точка безубыточности не выражается единственным в своем роде числом; она изменяется в зависимости от номенклатуры реализуемых изделий. Так как фактически номенклатура реализуемых изделий отличается от сметной, то фактическая средняя валовая прибыль на единицу продукции отличается от той, что фигурирует в сметном расчете безубыточности. Таким образом, точка безубыточности и ожидаемые прибыль и убытки при различных уровнях производства также будут изменяться. Поэтому если первоначальные допущения относительно номенклатуры изделий не учитываются, то к интерпретации любых данных анализа безубыточности следует подходить с осторожностью.

3.      Прибыль рассчитывается по переменным издержкам

При анализе предполагается, что постоянные издержки, имевшие место за данный период, учитываются как расходы этого периода. Поэтому используется расчет прибыли по переменным издержкам. Если прибыль рассчитывают исходя из полного распределения издержек, то необходимо ввести допущение: объем производства равен объему реализации. В противном случае уровни запасов изменятся, и постоянные накладные расходы, учтенные за этот период, будут отличаться от фактических. При полном распределении издержек только тогда, когда объем производства равен объему реализации, сумма фактических постоянных накладных расходов будет равна сумме учтенных постоянных накладных расходов.

4.      Совокупные издержки и совокупный доход являются
линейными функциями объема производства

При анализе предполагается, что переменные издержки на единицу продукции и цена реализации постоянны. Очевидно, что это допущение действительно только в пределах возможного диапазона объемов производства, о котором мы говорили ранее.

5.      Анализируется только возможный диапазон
объемов производства

Уже отмечалось, что анализ безубыточности проводится только для тех решений, которые принимаются в возможном диапазоне объема

производства. Распространение данных об издержках и доходах за возможный диапазон приведет к неправильным результатам.

6. Издержки можно точно разделить на постоянные и переменные составляющие

При анализе безубыточности предполагается, что издержки можно точно разграничить на постоянные и переменные составляющие. Для полупеременных издержек это сделать крайне трудно. Точность анализа безубыточности зависит от точности разделения издержек на постоянные и переменные составляющие.

Анализ безубыточности и применение компьютера

Правильность выходных данных модели безубыточности зависит от того, насколько точны входные данные. При анализе делаются допущения о номенклатуре реализуемых изделий, производительности, уровнях цен, совокупных постоянных и переменных издержках, ценах реализации продукции. Очевидно, что степень неопределенности наших оценок этих переменных будет разной.

Анализ чувствительности является одним из подходов к учету изменений значений переменных. При анализе чувствительности внимание акцентируется на том, как изменится результат, если изменятся первоначальные оценки или допущения. В отношении анализа безубыточности анализ чувствительности позволяет получить ответы, например, на такие вопросы.

1. Какова будет прибыль, если номенклатура реализуемых изделий изменится по сравнению с той, которая предусматривалась первоначально?

2. Какова будет прибыль, если постоянные издержки на 10% увеличатся,
а переменные на 5% сократятся?

Широкое распространение пакетов программ электронных таблиц, применение которых не требует специальных знаний в программировании, позволило бухгалтерам-аналитикам создать компьютеризованные модели анализа безубыточности. Теперь менеджер может рассмотреть альтернативные варианты, вводя эту информацию в персональный компьютер, который быстро покажет все изменения как графически, так и в цифровом выражении. Таким образом, менеджер может изучить различные комбинации изменений цен реализации, постоянных и переменных издержек, номенклатур изделий и быстро принять решение, не ожидая официальных отчетов бухгалтера-аналитика. Кроме того, персональные компьютеры дают менеджеру возможность определить изменения программ и внести эти изменения, когда становится очевидно, что первоначальные оценки неправильны.

Разделение полупеременных издержек

При анализе безубыточности предполагается, что издержки можно точно разделить на постоянные и переменные составляющие. Затраты на основные материалы обычно считаются переменными издержками, амортизация же, которая связана со временем, а не с эксплуатацией активов, - постоянными издержками. Однако полупеременные издержки включают в себя как постоянные, так и переменные составляющие. Расходы на ремонт и обслуживание представляют собой полупеременные издержки, состоящие из расходов на плановый ремонт, который проводят независимо от интенсивности эксплуатации, и элементы переменных издержек, которые непосредственно связаны с загрузкой оборудования. На практике точно разделить полупеременные издержки на постоянные и переменные составляющие крайне сложно, но необходимо для анализа безубыточности.

Для точного разделения издержек на постоянные и переменные составляющие следует использовать математические методы. Описание этих методов приводится в работе Друри (1992). При изучении учета затрат и управленческого учета иногда требуется разделять постоянные и переменные издержки, применяя нематематический метод, который называется методом минимума и максимума.

Суть этого метода состоит в изучении издержек и производительности за прошедший период, выборе наиболее высокого и наиболее низкого уровней производительности и сравнении изменений в издержках, произошедших в результате производства на этих двух уровнях. Предположим, что получены следующие данные об уровнях производства и издержках.

Объем                                                          Постоянные

производства, ед. издержки, $

Минимальная производительность 5 000      22 000

Максимальная производительность 10 000   32 000

Если переменные издержки на единицу продукции постоянны, а постоянные издержки остаются без изменений, то рост издержек произойдет исключительно за счет роста переменных издержек. Поэтому переменные издержки на единицу продукции рассчитываются следующим образом:

Разница в издержках / Разница в уровнях производительности =$100000 / 5 000 ед. продукции = $ 2 переменных издержек на единицу продукции.

Постоянные издержки можно оценить при любом уровне производительности, вычитая долю переменных издержек из совокупных издержек. При уровне производства 5 000 ед. продукции совокупные издержки составляют $ 22 000, а совокупные переменные издержки - $ 10 000 (5 000 ед. по $2 за 1 ед.). Остаток в сумме $ 12 000 считается постоянными издержками.

2.2 Производственный леверидж

Процветающее предприятие - это предприятие, получающее устойчивую прибыль от своей деятельности. Это задача может быть реализована на стабильной основе, если предприятие постоянно изучает спрос на рынке, имеет четкую ценовую политику, а также применяет эффективные методы планирования, учета, анализа, контроля и управления объемами производства, качеством продукции и затратами. Всем этим требованиям всецело отвечает управленческий учет, целью которого является обеспечение информацией менеджеров предприятия, ответственных за конкретные сферы и виды деятельности.

Одним из эффективных методов управленческого учета является методика анализа соотношения «затраты - объем - прибыль» («Cost - Volume - Profit» или «CVP-анализ»), которая позволяет определить точку безубыточности (порог рентабельности), т.е. момент, начиная с которого доходы предприятия полностью покрывают его расходы. Проведение данного анализа невозможно без такого важного показателя как производственный леверижд (leverage в дословном переводе - рычаг). С его помощью можно прогнозировать изменение результата (прибыли или убытка) в зависимости от изменения выручки предприятия, а также определить точку безубыточной деятельности (порог рентабельности).

Необходимым условием применения механизма производственного левериджа является использование маржинального метода, основанного на подразделении затрат предприятия на постоянные и переменные. Как известно, постоянные затраты не зависят от объема производства, а переменные - изменяются с ростом (снижением) объема выпуска и продаж. Чем ниже удельный вес постоянных затрат в общей сумме затрат предприятия, тем в большей степени изменяется величина прибыли по отношению к темпам изменения выручки предприятия.

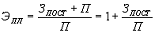
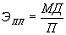
Производственный леверидж определяется с помощью следующей формулы:

 (1)

либо,  (2)

где ЭПЛ - эффект производственного левериджа;

МД - маржинальный доход;

З пост - постоянные затраты;

П - прибыль.

Найденное с помощью формулы 1 значение эффекта производственного левериджа в дальнейшем используется для прогнозирования изменения прибыли в зависимости от изменения выручки предприятия. Для этого используют следующую формулу:

 (3)

где DП - изменение прибыли, в%;В - изменение выручки, в%.

Производственный леверидж является показателем, помогающим менеджерам выбрать оптимальную стратегию предприятия в управлении затратами и прибылью. Величина производственного левериджа может изменяться под влиянием:

·              цены и объема продаж;

·              переменных и постоянных затрат;

·              комбинации любых перечисленных факторов.

В терминах финансов взаимосвязь между прибылью и стоимостной оценкой затрат активов или фондов, понесенных для получения данной прибыли, характеризуется с помощью показателя «леверидж», это некоторый фактор, небольшое изменение которого может привести к существенному изменению ряда результативных показателей.

В финансовом менеджменте различают следующие виды левериджа: финансовый, производственный (операционный), производственно-финансовый.

Финансовый леверидж характеризует взаимосвязь между изменением чистой прибыли и изменением прибыли до выплаты процентов и налогов. Сложившийся в компании уровень финансового левериджа - это характеристика потенциальной возможности влиять на чистую прибыль коммерческой организации путем изменения объема и структуры долгосрочных пассивов.

Производственный леверидж характеризует взаимосвязь структуры себестоимости, объема выпуска и продаж и прибыли. Он показывает изменение прибыли в зависимости от изменения объемов продаж.

Производственно-финансовый леверидж оценивает совокупное влияние производственного и финансового левериджа
1. Оценка производственного левериджа. Производственный леверидж является весьма важной характеристикой деятельности компании; в частности, его высокий уровень говорит о том, что даже незначительное изменение в объемах производства может привести к существенной финансовой нестабильности. Иными словами, относительно больший уровень производственного левериджа влечет за собой и большую колеблемость прибыли. Известны три основные меры производственного левериджа: 1) доля постоянных производственных расходов в общей сумме расходов, или, что равносильно, соотношение постоянных и переменных расходов; 2) отношение чистой прибыли к постоянным производственным расходам; отношение темпа изменения прибыли до вычета процентов и налогов к темпу изменения объема реализации в натуральных единицах. Как следует из определения, показатель может быть рассчитан по формуле. Экономический смысл показателя - показывает степень чувствительности прибыли до вычета процентов и налогов коммерческой организации к изменению объема производства в натуральных единицах. А именно, для коммерческой организации с высоким уровнем производственного левериджа незначительное изменение объема производства может привести к существенному изменению прибыли до вычета процентов и налогов. В заключение можно отметим, что уровень производственного левериджа - достаточно инерционный показатель, его резкие изменения практически крайне редки, поскольку часто связаны с радикальными изменениями в структуре материально-технической базы предприятия, ориентированной на специфику производственной деятельности.

. Оценка финансового левериджа. По аналогии с производственным уровень финансового левериджа может измеряться несколькими показателями; наибольшую известность получили два из них: 1) соотношение заемного и собственного капитала; 2) отношение темпа изменения чистой прибыли к темпу изменения прибыли до вычета процентов и налогов. Относительно изменения этих показателей для конкретной компании можно сделать вывод: при прочих равных условиях их рост в динамике неблагоприятен (в смысле увеличения финансового левериджа, т.е. повышения финансового риска). Как следует из определения, значение может быть рассчитано по формуле.

Коэффициент имеет весьма наглядную интерпретацию - он показывает, во сколько раз прибыль до вычета процентов и налогов превосходит налогооблагаемую прибыль. Нижней границей коэффициента является единица. Чем больше относительный объем привлеченных предприятием заемных средств, тем больше выплачиваемая по ним сумма процентов, выше уровень финансового левериджа, более вариабельна чистая прибыль. Таким образом, повышение доли заемных финансовых ресурсов в общей сумме долгосрочных источников средств, что по определению равносильно возрастанию уровня финансового левериджа, при прочих равных условиях приводит к большей финансовой нестабильности, выражающейся в определенной непредсказуемости величины чистой прибыли.


Заключение

Целью анализа безубыточности является соотношение между изменениями объемами производства и совокупного дохода и издержек. В этой главе мы сравнили экономическую и бухгалтерскую модели поведения издержек, объема производства и прибыли. Основные различия между ними заключается в том, что функции совокупных издержек и совокупных дохода в экономической модели нелинейны, а в бухгалтерской, напротив, считаются линейными. Однако было отмечено что назначение бухгалтерской модели в том, чтобы предсказать изменения издержек, объема производства и прибыли только в возможном диапазоне объемов производства, в котором фирма, вероятнее всего, будет работать с неизмененном эффектом масштаба. Сравнение этих двух моделей позволяет сделать вывод о том, что в возможном диапазоне объемов производство функции совокупных издержек и дохода идентичны. Эмпирические исследования также подтверждают, что в определенном диапазоне производство продукции функции обычно линейные.

Было показано, что для принятия решений цифровое представление данных позволяет получить более точную информацию, чем графическое. Если считать, что функции издержек и дохода уже определены на этапе принятия решения, то самым неопределенным моментом будет фактически уровень выпуска продукции. Графический метод дает хорошее представление о том, как издержки, доходы и прибыль будут изменяться в зависимости от различных вариантов уровней производства, которые могут иметь место в действительности.

При интерпретации данных анализа безубыточности необходимо знать о следующих важных допущениях, на которых базируется анализ:

Ø  все другие переменные остаются постоянными;

Ø  анализируются данные о единственном изделии или постоянной номенклатуре реализуемых изделий;

Ø  прибили рассчитываются по данным о переменных издержках;

Ø  совокупные издержки и доходы являются линейными функциями объема производства;

Ø  анализ касается только возможного диапазона объема производства;



Список использованной литературы

1. Конституция Республики Казахстан. Алматы 2006 год;

2.       Гражданский кодекс РК. От 27 декабря 1994 г.;

.        Кодекс «О налогах и других обязательных платежах в бюджет»;

.        Назарбаев Н.А. Казахстан - 2030. процветание, безопасность и улучшения благосостояния всех казахстанцев. Послание Президента страны народу Казахстана;

.        Сейдахметова Ф.С. Современный бухгалтерский учет. Учебное пособие, издание 2-е перепечатанное и дополненное. Алматы: ТОО «Издательство LEM», 2007 г.;

.        Назарова Бухгалтерский учет хозяйствующих субъектов: учебник под редакцией Н.К. Мамырова. Алматы, экономика 2005 г.;

.        о государственной программе развития и совершенствования бухгалтерского учета и аудита в РК на 1998-2000 гг. указ Президента РК от 28.01.1998 г.;

.        Савицкая Г.В. анализ хозяйственной деятельности предприятия. учебное пособие Савицкая Г.В. - 6-е издание, переработано и дополнено. Новое знание, 2001 г.;

.        Шеремет А.Д., Негашев Е.В.методика финансового анализа - М: ИНФРА - М 1999 г.;

.        Ковалев Финансовый анализ: методы и процедуры - М: финансы и статистика, 2002 г.;

.        Радостовец В.В., Шмидт О.И. теории и отраслевые особенности бухгалтерского учета - Алматы: «Центраудит Казахстан», 2000 г.;

.        Бухгалтерский учет в организациях Э.О. Нурсеитов Алматы 2006. ТОО «Издательство LEM», 2007 г.

Похожие работы на - Модели анализа безубыточности

 

Не нашли материал для своей работы?
Поможем написать уникальную работу
Без плагиата!
Без нейросетей!