Производство сорбентов на основе фрезерного торфа
Производство
сорбентов на основе фрезерного торфа
Оглавление
Введение
Технология производства.
Общие сведения о предприятии
Расчет технологического оборудования, входящего в комплект.
Уточнение числа работы в сутки
Модель сырьевых баз предприятий
торфяной промышленности
Технологические расчёты
Список используемой
литературы
Введение
Сорбционные процессы широко применяются в промышленности для очистки и
регенерации сложных жидких и газообразных смесей, извлечения из растворов
отдельных компонентов, а также для за щиты окружающей среды от вредных
выбросов.
В настоящее время в зависимости от требований к процессу сорбции
используется широкий спектр синтетических (полипропиленовые, полиэтиленовые и
др.) и природных неорганических, органических и органоминеральных материалов
(золы, кокс, силикагели, алюмогели, глины и др.) [1]. Однако торф занимает
среди них особенное место, что связано с большим разнообразием сырьевых баз и
многообразием свойств данного материала.
Как известно, сорбционные свойства материала определяются его поровым
пространством и природой активных центров. В зависимости от механизма
заполнения поры разделяют на три основные разновидности (по Дубинину М.М.):
макропоры, мезопоры (переходные) и микропоры. Причем для торфа характерно
наличие всех вышеуказанных видов пор [2]. Торфяные системы обладают большим
числом функциональных групп, что обусловлено сложностью их состава. Такими
функциональными группами как-ОН,-СООН и др., в той или иной мере обладают
водорастворимые и легкогидролизуемые соединения, целлюлоза, гуминовые кислоты и
лигнин [3].
Анализ физико-химических свойств торфа как природного сорбента
гидрофильного типа был выполнен в ряде работ [2, 3]. Вопросам практического
использования ионообменных свойств данного материала посвящено довольно большое
количество исследований. Кроме того, были изучены методы химического и
термического [А, 5] модифицирования торфяных систем. Актуальность
исследований получения торфяных сорбентов также подтверждается большим
количеством патентов, полученных как в России, так и за рубежом (обзор
представлен в работе [6]).
Следует отметить, что такая остро стоящая проблема как загрязнение
окружающей среды нефтепродуктами ставит весьма жесткие требования к сорбентам
для сбора разливов с поверхности суши и водных акваторий. Анализ различных
работ показал, что торфяные сорбенты характеризуются рядом преимуществ, которые
позволяют конкурировать им с другими материалами (табл. 1).
Среди неорганических сорбентов большую часть составляют глины и диатомиты
в силу их низкой стоимости и возможности крупнотоннажного производства. Также
используется кварцевый песок для засыпки небольших разливов. Однако качество
неорганических сорбентов неприемлемо с точки зрения экологии, поскольку они
имеют очень низкую емкость 10,5...1,5 г нефти/г), совершенно не удерживая
легкие фракции, а при ликвидации разливов на воде неорганические сорбенты тонут
вместе с нефтепродуктами.
Синтетические сорбенты чаще всего изготавливают из полипропиленовых
волокон, формируемых в нетканые рулонные материалы. Кроме того, используют
полиуретан в различных видах, формованный полиэтилен с полимерными
наполнителями и другие пластики. В то же время применение их в виде тонких
порошков для повышения эффективности использования на тонких пленках недопустимо
из-за опасности нанесения вреда здоровью людей.
Природные органические и органоминеральные сорбенты являются наиболее
перспективным видом сорбентов для ликвидации нефтяных загрязнений. Чаще всего
применяют отходы зернопродуктов и древесины, торф, шерсть и др. Отличительными
особенностями сорбентов на основе торфа являются низкая стоимость и простота
производства (например, в соответствии с [7], торфяные сорбенты приобретают
гидрофобные свойства при температуре 120°С).
При проведении литературного обзора было отмечено, что торфяные сорбенты
и методы их получения довольно сильно различаются (учитывая то, что торф может
быть использован как гидрофильный или гидрофобный материал в зависимости от
технологии переработки). Зафиксировано сильное различие и в технологических
подходах. Вследствие этого была поставлена задача выполнить анализ работ,
имеющихся в данном направлении, выделить основные виды продукции и
технологические операции.
Первоначальной задачей, которую необходимо решить при разработке технологии
производства сорбентов, является выбор сырьевой базы. Поскольку основными
технологическими показателями, определяющими свойства сырья, являются тип
залежи и степень разложения, поэтому оценка сорбционных свойств проводилась по
данным показателям. Однако на практике возможны и другие подходы (по составу
растений торфообразователей, компонентному составу и др.).
Как следует из экспериментального анализа поглотительной способности
торфа, максимальное значение показателя В48 для всех видов растворов
соответствует образцам с наименьшей степенью разложения, что обусловлено
большим значением порового пространства (рис. 1). Опыт создания и применения
торфяных сорбентов для поглощения нефти и продуктов ее переработки
свидетельствует о том, что наиболее подходящим видом сырья является верховой
сфагновый торф малой степени разложения.
Так как для получения качественной продукции следующим этапом является
сушка, то режим сушки должен быть подобран таким образом, чтобы обеспечить
требуемые усадочные свойства (выражающиеся в плотности и пористости сорбентов)
и заданную гидрофильность/гидрофобность материала (смачиваемость различными
жидкостями). Управление процессом сушки заключается в варьировании режима
подвода тепла, температуры, времени обработки. Как следует из анализа графиков
для композиционных материалов (рис. 5) при повышении температуры сушки
снижается поглощение влаги, что свидетельствует о протекании процессов
гидрофобизации в структуре данных материалов.
Одним из направлений последующего изменения свойств сорбентов является
термическое модифицирование
При этом во всех вариантах возможно модифицирование (термическое или
химическое). Необходимо обратить внимание на то, что также можно вводить
дополнительный технологический прием - внесение добавок, повышающих
смачиваемость, набухание, гранулируемосгъ и т. д., то есть получать
композиционные сорбционные материалы.
Таким образом, результаты данной работы отражают многообразие видов
продукции для сорбции жидких загрязнений различной природы (нефтепродукты,
загрязнение на водной основе) и могут быть использованы при разработке
технологической схемы производства сорбентов с заданными качественными
показателями.
Технология
производства. Общие сведения о предприятии
Технологический процесс и прессовое оборудование для получения сорбентов
в качестве тепличного субстрата внедрены на торф предприятие «Экоторф» с
проектной мощность 125 тыс. т в год и установкой в нем трёх прессов.
Для приготовления торфяных сорбентов используется верховой фрезерный торф
моховой группы степенью разложения не более 15%, влагой не более 60%, обменной
кислотностью (рН солевой суспензии) - 2,5÷3,5, зольностью не более 10% с примесью
частиц очёса и древесных включений размером свыше 25 мм не более 10% (ТУ
214РСФСР9-86).
Торфяные сорбенты согласно ТУ, должны отвечать следующим требованиям:
масса каждой гранулы- не более 4 г, массовая доля влаги 16% до 30%, кислотность
рНсол - 5,5÷6,5, влагоёмкость не менее 5.
Торфяные сорбенты укладываются на полиэтиленовую плёнку сплошной полосой
в один или два ряда (в зависимости от выращиваемой культуры). Между пакетами
следует оставлять зазор от 3 до 5 см., так как при увлажнении линейные их
размеры увеличиваются. Перед высадкой рассады торфяные плиты увлажняются до
содержания массовой доли влаги 65…70%.
С точки зрения обеспечения оптимального водно-воздушного режима грунтов
следует придавать большое значение подготовке исходного сырья, поэтому в
проекте предусматриваются технологические мероприятия по классификации
высушенного торфа, направленные на снижение содержания частиц размером менее 1
мм в конечном продукте, что увеличивает воздухоёмкость и коэффициент набухания.
Отсев может быть использован для подготовки теплоносителя. А так же для большой
механической прочности после увлажнения вводить в торф связующие вещества.
Расчет технологического оборудования, входящего в комплект.
Уточнение числа работы в сутки
Для двух схем производства фрезерного торфа - бункерными уборочными
машинами МТФ-43А и подборщиками-погрузчиками МТТ-17 по установленному
количеству уборочных машин определяется размер и число комплектов оборудования.
Расчет технологического оборудования для бункерных уборочных машин
Так как количество уборочных машин равно четырем, то в работе на
торфопредприятии будет находиться один участок с одним рабочим комплектом
машин.
В комплект оборудования будут входить следующие марки машин: МТФ-14,
ВФ-18СЗА, МТФ-33Б, МТП-43, МТФ-72.
Установив количество уборочных машин на участке определим площадь нетто,
закрепленную за одним комплектом:
где
Sуб -
цикловая производительность уборочной машины, га/ч;
Nуб - число машин в комплекте, шт.
Уточняем
время работы одной машины по следующей формуле:
где
Fнк -
производственная площадь, закрепленная за одним комплектом, га;
n -
повторность операции в цикле;
Si -
производительность машины, задействованной на i-ой
операции, га/ч;
Ni
- количество машин в комплекте, шт;
τц -
длительность цикла уборки, сут.
Уточняем
время работы одной уборочной машины:
Количество
фрезеров МТФ-14:
Уточняем
время работы одного фрезера:
Количество
ворошилок ВФ-18СЗА:
Уточняем
время работы одной ворошилки:
Количество
валкователей МТФ-33Б:
Уточняем
время работы одного валкователя:
Количество
штабелирующих машин МТФ-72:
где
kшт
- коэффициент штабелирования
(принимается равным 0,82);
V0 - часовая производительность штабелера, м3/ч;
kц - коэффициент использования циклового времени
(принимается 0,81);
kп.в. -
коэффициент использования полезного времени (принимается 0,89).
Уточняем
время работы одной штабелирующей машины:

Расчетное количество подборщиков-погрузчиков - 1машина, поэтому на торфопредприятии
при раздельной схеме уборке будет располагаться один производственный участок.
В комплект оборудования будут входить следующие марки машин: МТФ-96,
ВФС-1, МТТ-17, МТП-24В-1, БШР-1.
Согласно расчетам, представленным в пункте 5.1 число подборщиков-погрузчиков
равно одному.
Количество машин на один погрузчик:
где
Qпп -
эксплуатационная производительность подборщика-погрузчика МТТ-17, га/ч;
Qi
- эксплуатационная производительность сопутствующих машин, т/ч.
Количество
прицепов МТП-24В-1:
Количество
бульдозеров-штабелеров БШР-1:
Количество
фрезеров-валкователей МТФ-96 определяется согласно формуле (5.13) (площадь
нетто принимается из пункта 5.1):
Уточняем
время работы одного фрезера-валкователя:
Количество
ворошилок ВФС-1:
Уточняем
время работы одной ворошилки:
Рисунок 1. Технологическая схема производства торфяных сорбентов.
Модель
сырьевых баз предприятий торфяной промышленности
Нормально распределенные случайные числа xI N(0;1)
Таблица 1
|
1,3218
|
-0,0462
|
-0,4425
|
-0,4242
|
-0,2262
|
|
-1,1151
|
-1,0693
|
0,6225
|
-0,1829
|
0,5359
|
|
-0,1427
|
0,3218
|
0,4315
|
-1,6073
|
0,3652
|
|
-2,8253
|
0,4652
|
-0,3266
|
-1,3831
|
-0,3667
|
|
0,1832
|
0,0908
|
-0,3838
|
-0,7423
|
-1,0309
|
|
-0,5306
|
1,9205
|
0,9578
|
-0,1862
|
0,2366
|
|
-0,0458
|
1,4802
|
1,0649
|
0,492
|
0,2331
|
|
0,0268
|
0,1975
|
0,5489
|
-0,3296
|
-1,6659
|
|
0,8323
|
1,0311
|
-0,6656
|
0,1874
|
-0,1103
|
|
-0,0536
|
-0,9835
|
0,4387
|
0,5809
|
0,1141
|
0,6766
|
-0,4216
|
-0,5808
|
1,6457
|
|
0,4233
|
0,5377
|
-0,4567
|
0,8654
|
0,0041
|
|
0,6522
|
-1,238
|
0,0799
|
2,2063
|
-1,794
|
|
1,6455
|
1,3158
|
-0,4059
|
-0,2182
|
0,5613
|
|
-0,4061
|
-0,3856
|
-0,3196
|
1,2782
|
0,8861
|
|
-1,1904
|
-1,0826
|
0,6221
|
1,2503
|
0,535
|
|
-0,9849
|
0,5611
|
-2,4114
|
-0,17
|
0,2808
|
|
0,3867
|
0,7169
|
0,4146
|
-1,4411
|
0,5494
|
|
-1,2946
|
0,7888
|
0,1988
|
1,7599
|
-0,4398
|
|
1,7918
|
0,1337
|
-0,3885
|
0,9388
|
-1,0146
|
Реализация
значений Ri представим в таблице 2. Значение Ri для модели с параметрами 
Таблица
2
|
31,8
|
22,1
|
19,4
|
19,5
|
20,9
|
|
14,7
|
15
|
26,8
|
21,2
|
26,25
|
|
21,5
|
24,7
|
25,5
|
11,2
|
25
|
|
2,7
|
25,7
|
20,2
|
12,8
|
|
23,7
|
23,1
|
19,8
|
17,3
|
15,2
|
|
18,7
|
33,8
|
29,2
|
21,1
|
24,1
|
|
22,1
|
32,8
|
29,9
|
25,9
|
24,1
|
|
22,6
|
23,8
|
26,3
|
20,1
|
10,8
|
|
28,3
|
29,7
|
17,8
|
23,8
|
21,7
|
|
22,1
|
15,6
|
25,5
|
26,5
|
23,2
|
|
22,8
|
27,2
|
19,5
|
16,5
|
34
|
|
25,4
|
26,2
|
19,3
|
28,5
|
22,5
|
|
27
|
13,8
|
23
|
37,9
|
9,94
|
|
34
|
31,7
|
19,6
|
20,9
|
26,4
|
|
19,6
|
19,8
|
20,2
|
31,4
|
28,7
|
|
14,1
|
14,9
|
26,8
|
31,2
|
26,2
|
|
15,6
|
26,4
|
5,62
|
21,3
|
24,4
|
|
25,2
|
27,5
|
25,4
|
12,4
|
26,3
|
28
|
23,8
|
34,8
|
19,4
|
|
35
|
23,4
|
19,7
|
29
|
15,3
|
Интервал группировки рассчитываем по формуле
Статистическое распределение показателей степени разложения торфа и
расчет его числовых характеристик.
Таблица 3
|
Интервалы
|
Среднее Ri
|
Частоты
|
Ui
|
niUi
|
niUi2
|
f(R)*102
|
|
|
подсчёт
|
ni
|
|
|
|
|
|
0,22-5,22
|
2,72
|
|
1
|
-5
|
-5
|
25
|
0,2
|
|
5,22-10,22
|
7,72
|
|
2
|
-4
|
-8
|
32
|
0,4
|
|
10,22-15,22
|
12,72
|
|
10
|
-3
|
-30
|
90
|
2
|
|
15,22-20,22
|
17,72
|
|
21
|
-2
|
-42
|
84
|
4,2
|
|
20,22-25,22
|
22,72
|
|
28
|
-1
|
-28
|
28
|
5,6
|
|
25,22-30,22
|
27,72
|
|
27
|
0
|
0
|
0
|
5,4
|
|
30,22-35,22
|
32,72
|
|
10
|
1
|
10
|
10
|
|
35,22-40,22
|
37,72
|
|
1
|
2
|
2
|
4
|
0,2
|
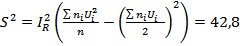
1. Среднее:

. Дисперсия:

. Стандартное
отклонение и коэффициент вариации
Вариация R - сильная.
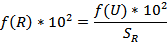
Ординаты кривой нормального распределения
Таблица 4
|
|
|
f(U)
|
f(R)*102
|
|
2,72
|
-3,05
|
0
|
0
|
|
7,72
|
-2,29
|
0,0290
|
0,44
|
|
12,72
|
-1,53
|
0,1238
|
1,89
|
|
17,72
|
-0,76
|
0,2989
|
4,57
|
|
22,72
|
0
|
0,3989
|
6,09
|
|
27,72
|
0,76
|
0,2989
|
4,57
|
|
32,72
|
1,53
|
0,1238
|
1,89
|
|
37,72
|
2,29
|
0,0290
|
0,44
|
Гистограмма распределения R
(графическое изображение модели) приведено на листе к технологическому разделу.
Технологические
расчёты
Режим работы предприятия и баланс рабочего времени.
Принимаем, что чистое время работы цеха - 252 дня, график работы трех
сменный, тогда чистое время работы в часах:
Материальный баланс цеха торфяного прессованного грунта.
Исходные данные:
w = 55% - влажность исходного торфяного сырья.
Q =
125 000 т - мощность завода.
Выработка товарной продукции:
Проектная мощность цеха с учётом потерь при складировании и погрузке
сорбентов:
гдеmскл = 0,995 - коэффициент сохранности
продукции при складировании и погрузке (потери составляют 0,5%)
Производительность сушильного отделения по высушенному торфу с учетом
потерь при сушки

Производительность
сушильного отделения по исходному материалу

Производительность
подготовительного отделения с учетом потерь при грохочении, а также расхода на
топливо
Часовая
потребность завода в сырье
Годовая
с учетом коэффициента резерва сырья
тыс.
т/год
Бункер
- накопитель
где
Vб - вместимость = 250 м3.
yб - коэффициент
использования объема бункеров = 0,75÷0,85.
Ленточный
конвейер.
Производительность
каждого конвейера соответствует 100% - ной потребности завода в исходном
материале
Определяем
ширину ленты конвейера
где
С =550 - при угле наклона боковых роликов 30° и угол откоса торфа
на ленте 15°; V = 1 м/с
Принимаем
ширину ленты конвейера В = 800 мм и уточняем необходимую скорость ленты.
Расчёт
скребкового конвейера
Производительность
скребкового конвейера.
При
известной производительности устанавливаем ширину его желоба.
где V
= 0,1÷0,4 м/с -
скорость перемещения материала в конвейере с низкими скребками.
r1 -
плотность торфа r1 = 0,22
кг/м3
yс = 0,8÷0,85 - коэффициент, учитывающий объём зажимаемой цепью и скребками.
Максимально возможная высота слоя груза
Принимаем к установке скребковый конвейер с размерами желоба 400×190 мм.
Грохот.
Общая производительность грохотов равняется производительности
подготовительного отделения.
Производительность барабанного грохота ГБ-1А определяется по формуле
где

где
L = 4,2 м - длина грохота.
где
Кр = 1,5 - коэффициент резерва грохотов по нормам технологического
проектирования ТБЗ.
Производительность
циклона должна соответствовать производительности грохота с учетом потерь
торфяной сорбент промышленность оборудование
Список используемой литературы
1. Горфин О.С., Зайцев В.С. Технология переработки торфа:
Учебн. пособие для вузов. - М.: Недра, 2003. 248 с.
2. ТОРФ И БИЗНЕС №3(9) 2009 «Анализ разнообразных
подходов к получению и применению сорбентов на основе торфа»