Экономический рост: сущность, факторы, типы, модели
БЕЛОРУССКИЙ
РЕСПУБЛИКАНСКИЙ СОЮЗ ПОТРЕБИТЕЛЬСКИХ ОБЩЕСТВ
«Белорусский
торгово-экономический университет потребительской кооперации»
Курсовая
работа
По
дисциплине «Макроэкономика»
На
тему: Экономический рост: сущность, факторы, типы, модели
Выполнила: студентка Михайлова
Кристина Михайловна
Научный руководитель: асс.
Машевская Оксана Владимировна
Гомель
2011
Содержание
Введение
.
Понятие, показатели, типы и факторы экономического роста
.
Сравнительный анализ неоклассических и неокейнсианских моделей экономического
роста
.
Проблемы и перспективы экономического роста в Республике Беларусь в период
формирования социально ориентированной экономики (с 2000 по 2010 гг.)
Заключение
Приложение
Введение
экономический рост неокейнсианский социальный
По мере стабилизации и постепенного отхода на
второй план тактических задач, вновь всё более актуальными становится проблемы
из разряда стратегических, формирующих в конечном итоге проблемное поле
экономических интересов граждан, общества и государства. Одна из этих проблем-
экономический рост, так как развертывание рыночных отношений не означает
автоматического роста производств, уровня жизни и благо состояния граждан.
Решение этой проблемы- чрезвычайно сложная задача, требующая совершенствования
системы регулирования и стимулирования экономического производства на основе
научно-технического прогресса, эффективных капиталовложений и т.д. Всё это и
определяет актуальность темы курсовой работы.
Изучение теоретических основ экономического
роста позволяет дать его научно обоснованную оценку. Выявить его факторы, типы
и проблемы, с учётом сложившихся тенденций в экономике.
Характер и динамика экономического развития
страны являются предметом самого пристального внимания экономистов и политиков.
От того, какие процессы происходят в динамике и уровне развития, какие при этом
происходят структурные изменения в национальной экономике, зависит очень многое
в жизни страны и ее перспективах.
Цель данной курсовой работы состоит в изучении
сущности, факторов, типов, понятий экономического роста. Для реализации цели
были установлены следующие задачи:
· рассмотреть сущность экономического
роста;
· определить показатели, факторы и
типы экономического роста;
· сравнить неоклассические и
неокейнсианские модели экономического роста;
· рассмотреть проблемы и перспективы
экономического роста Республики Беларусь.
Объектов исследования является изучение
экономического роста, его понятий, сущности, факторов и типов. Таким образом,
предметом исследования данной темы является выявление проблем и перспектив
экономического роста в Республике Беларусь.
Данная тема хорошо освещена в литературе. Так в
учебном издании «Макроэкономика: учебное пособие для вузов, А.В. Бондарь, В. А.
Воробьев, Л. Н. Новикова и др.» хорошо описано понятие экономического роста,
его типы, показатели и факторы.
Данная тема также достаточно хорошо освещена в
периодических изданиях.
В статье Ярского, М. Что ждёт белорусов впереди?
(перспективы развития белорусской экономики) сделан анализ
социально-экономического развития страны, выявлен ряд положительных и
отрицательных тенденций, а также его последствия.
1. Понятие, показатели, типы и
факторы экономического роста
Экономический рост тесно связан с проблемами
расширенного воспроизводства, более того, экономический рост является
концентрированным выражением и способом разрешения проблем воспроизводства.
Последнее положение очень важно для стран СНГ, где в течение ряда лет падает
производство, развиваются и углубляются кризисные процессы.
Экономический рост - это тенденция изменения
совокупных показателей развития национальной экономики за определенный
промежуток времени, обычно за год. [7, с. 531]. Для характеристики
экономического роста используются как общие, так и частные показатели. Общим
показателем динамики экономического роста обычно считается увеличение валового
национального продукта, чистого национального продукта или национального дохода
за определенный период времени или их увеличение на душу населения. В качестве
частных показателей используются производительность труда, эффективность
производства и т.д. Посредством общих и частных показателей выявляются динамизм
развития общественного производства, количественные изменения в экономике.
Вместе с тем данные показатели не' всегда позволяют судить о качественной
стороне экономического роста. Для этого необходимо сопоставить темпы
экономического развития с темпами прироста населения. Это особенно значимо для
показателей развития народного хозяйства отсталых государств, отличающихся
низкими темпами прироста производства, но высокими темпами увеличения
численности населения.
Существует множество теорий экономического
роста, но из них наиболее выделяются неокейнсианская и неоклассическая.
Кейнсианство возникло в середине 30-х гг. и было реакцией на катастрофические
потрясения экономики мировым экономическим кризисом 1929-1933 гг. Английский
экономист Дж.М.Кейнс, базируясь на статистических данных, предпринял попытку
анализа условий возникновения ситуаций "равновесия в условиях неполного
использования ресурсов", т.е. ситуаций, характерных для хронической
недогрузки производственных мощностей и безработицы, и пришел к выводу, что
падение темпов развития экономики было связано с отсутствием заинтересованности
в капиталовложениях в экономику и осуществлении технического прогресса. Им были
разработаны принципы государственного вмешательства в экономику с целью
стимулирования инвестиций. Современные кейнсианцы акцент исследования
переместили из сферы статики в область динамики. Они сконцентрировали внимание
на выяснении усилий, необходимых для поддержания высоких и стабильных темпов
экономического роста, при которых достигается полная загрузка производственных
мощностей при наиболее высокой занятости трудоспособного населения.
С середины 50-х гг. проблемами потенциально возможных
темпов экономического роста и факторов, их определяющих, занялось
неоклассическое направление экономической науки, использовавшее
микроэкономический уровень анализа. В отличие от неокейнсианства, для которого
решающее значение имели изучение условий реализации продукции, создание
эффективного спроса, неоклассическое направление на передний план выдвинуло
производственный принцип, анализ отдельных факторов экономического роста
основного капитала, уровня подготовки рабочей силы, организации труда, технического
прогресса и т.д.
Комплексный анализ экономических процессов
позволил государствам осуществить мероприятия по переходу к значительным
структурным преобразованиям в экономике, повысить в ней удельный вес ключевых,
новейших отраслей, развитие которых тесно связано с научно-техническим
прогрессом. В свою очередь переориентация экономики потребовала изменений в
соотношении капиталовложений. Изменяется и технологическая структура
инвестиций. Переориентация части инвестиций в производственную сферу позволила
обеспечить относительное равновесие экономической и социальной сферы жизни
общества.[2, с. 532-534]
Рост, очевидно, является многосторонним
процессом. Хотя ни одна отдельно взятая цифра не может отразить разнообразные
величины общего роста, все же лучшим единым показателем является реальный
национальный продукт (чистый или валовой). Данные о валовом национальном
продукте и чистом национальной продукте страны показывают в значительной мере
аналогичную картину. [8, с. 765]
Общими показателями экономического роста
являются:
· увеличение реального ВВП за
определенный период времени (прирост экономического потенциала);
· увеличение реального ВВП на душу
населения за определенный период времени (прирост уровня жизни).[1¸
с.220]
Реальный ВВП
тренд
Время
Рис. 1.1 - Линия тренда отражает долгосрочную
тенденцию увеличения реального ВВП. [5].
Графически экономический рост может быть
представлен тремя способами:
)линия тренда отражает долгосрочную тенденцию
увеличения реального ВВП (см. рис. 1.1);
) через кривую производственных возможностей
(КПВ). Переход из точки, лежащей на КПВ1 в точку, лежащую на другой, более
высокой - КПВ2, т. е. переход на новый уровень производственных возможностей
(см. рис. 1.2);.
Инвестиционные товары
КПВ2
КПВ1
Потребительские
товары
Рис. 1.2 - Экономический рост через КВП.[5].
) с помощью модели совокупного спроса -
совокупного предложения (модели АД - АS). Поскольку экономический рост
представляет собой увеличение реального ВВП в долгосрочном периоде, то
графически его можно представить как сдвиг вправо кривой совокупного
предложения АS и рост объема выпуска от Y1 до Y2 (см. рис. 1.3).
Рис. 1.3 - Модель совокупного спроса для
экономического роста
Экономический рост измеряется двумя способами:
а) годовыми темпами роста ВВП;
б) годовыми темпами роста ВВП на душу населения.
В качестве основных показателей измерения
экономического роста используются:
а) коэффициент роста - отношение показателя ВВП
изучаемого периода к показателю ВВП базисного периода;
б) темп роста - коэффициент роста, умноженный на
100 %;
в) темп прироста - темп роста минус 100 %.
Дискутируется вопрос о том, какие темпы роста
(прироста) выгоднее: высокие темпы, нулевые темпы, отрицательные темпы,
оптимальные темпы.
На первый взгляд, кажется, что выгоднее иметь
высокие темпы. Но следует учитывать, во-первых, качество продукции - высокие
темпы роста за счет производства товаров низкого качества - это плохо;
во-вторых, важна структура прироста продукции - при неоправданно большом
удельном весе в ВВП военной продукции и снижении удельного веса в его приросте
предметов потребления, жизненный уровень населения снижается, что тоже плохо.
[5]
Также следует различать как количественные, так
и качественные показатели экономического роста. Общепринятой количественной
мерой экономического роста являются показатели абсолютного прироста или темпов
прироста реального объема выпуска в целом или на душу населения:
ΔВВП = ВВП1 -
ВВП1-t;
(1.1)
где t - индекс времени.
Оба показателя дополняют друг друга. Динамика и
темпы роста реального ВВП характеризуют общие масштабы национальной экономики,
изменение ее доли в системе мирового хозяйства, но ничего не говорят о
жизненном уровне населения. Показатель реального ВВП, деленный на численность
населения (ВВП на душу населения) даст представление и о темпах экономического
роста, и об изменении в этой связи благосостояния населения. Сведения о динамике
производства в расчете на душу населения применяются для характеристики уровня
жизни и его сравнения с уровнем жизни в других странах.
Кроме общих показателей экономического роста
(ВВП и ВВП на душу населения) используют ряд частных показателей. Важнейший
частный показатель экономического роста - производительность труда, чаше всего
измеряемая как производство продукции за один час. Производительность труда в
общем виде характеризуется соотношением объема произведенной продукции и
затратами трудовых ресурсов. Измеряется она отношением выпуска продукции (в
масштабах страны - национального дохода) к затратам живого труда. Показатель,
обратный производительности Труда, - Трудоемкость продукции. Трудоемкость -
затраты рабочего времени на производство единицы продукции. Изменение
трудоемкости тесно связано с производительностью труда, что описывается
следующими формулами:
ΔПТ =
(1.2)
где ΔПТ
- прирост производительности труда к базовому уровню, %; ΔТ
- изменение трудоемкости продукции по сравнению с базовым уровнем, %.
Для характеристики экономического роста
используется также показатель фондоотдачи, характеризующий производительность
капитала. Фондоотдача - отношение произведенного продукта к затратам капитала.
Показатель, обратный фондоотдаче, - капиталоемкость продукции. Капиталоемкость
- соотношение, показывающее, какое дополнительное количество капитала
необходимо для производства единицы продукции.
Кроме количественных, используются и
качественные показатели экономического роста, характеризующие его социальную
направленность. Это показатели динамики свободного времени населения, степени
социальной защиты населения, развитости социальной инфраструктуры, роста
инвестиций в человеческий капитал и пр.
Следует иметь в виду, что между темпами
экономического роста и повышением его качества существуют определенные
противоречия. Так, например, темпы роста окажутся выше, если будет увеличена
продолжительность рабочего дня или рабочей недели. Но при этом сокращаются
ресурсы свободного времени населения. С другой стороны, скажем, улучшение
условий труда требует дополнительных затрат на совершенствование эргономических
характеристик рабочих мест, установку средств очистки воздуха в
производственных помещениях от пыли и газа, снижение чрезмерного шума и
вибрации и т. д. И хотя подобные меры, как правило, способствуют определенному
повышению производительности труда, однако в целом связанные с этим издержки
не дают немедленной экономической отдачи и сдерживают темпы экономического
роста [5].
К факторам экономического роста относятся:
1 труд
(labour) - количество
часов рабочего времени, отработанного всеми рабочими в экономике. Чем выше
уровень квалификации рабочих, качество рабочей силы, тем больше продукции они
производят;
2 физический
капитал (physicalcapital)
- запас оборудования, зданий и сооружений, которые используются для
производства товаров и услуг. Заметим, что физический капитал сам является
результатом процесса производства. Чем более совершенным и современным он является,
тем больше товаров (в том числе инвестиционных, т.е. нового оборудования) и
услуг можно произвести с его помощью;
3 человеческий
капитал (humancapital)
- знания и трудовые навыки, которые получают рабочие в процессе обучения (в
школе, колледже, университете, на курсах профессиональной подготовки и
повышения квалификации) и в процессе трудовой деятельности (так называемоеlearning-by-doing).
Заметим, что человеческий капитал, как и физический, также является результатом
производственных процессов и также повышает возможности общества производить
новые товары и услуги;
4 природные
ресурсы (naturalresources)
- факторы, обеспечиваемые природой, такие, как земля, реки и полезные
ископаемые. Природные ресурсы делятся на воспроизводимые (например, лесные
ресурсы, так как взамен вырубленных деревьев можно посадить новые) и
невоспроизводимые (например, нефть, уголь, железная руда и др., на образование
которых в природных условиях уходят тысячи и даже миллионы лет). Хотя запасы
природных ресурсов - важный фактор экономического процветания, но их наличие
отнюдь не является главным условием высоких темпов роста и высокой
эффективности экономики. Так, быстрые темпы развития экономики США поначалу
были связаны с обилием свободных земель, пригодных для сельскохозяйственного
использования, а Кувейт и Саудовская Аравия стали богатейшими государствами
мира благодаря огромным разведанным запасам нефти. Однако, например, Япония
превратилась в одну из ведущих стран мира, обладая весьма незначительными
сырьевыми запасами. Быстрые темпы экономического роста в странах Юго-Восточной
Азии (так называемых "азиатских драконах", включающих Гонконг,
Тайвань, Южную Корею и Сингапур) обусловлены вовсе не обилием природных
ресурсов. Природные ресурсы являются единственным фактором, который не
производится человеком. Из-за того, что количество невоспроизводимых природных
ресурсов ограничено, большое распространение получили идеи о существовании
пределов роста мировой экономики, однако проблему расширения этих пределов
позволяют решить технологические достижения;
• технологические знания (technologicalknowledge)
- понимание наилучших способов (методов) производства товаров и услуг. Отличие
технологических знаний от человеческого капитала состоит в том, что
технологические знания представляют собой саму разработку и понимание этих
наилучших методов (отвечают на вопрос, как производить - "knowhow"),
а под человеческим капиталом понимают степень овладения людьми (рабочей силой)
этими методами, превращение знаний в трудовые навыки. Новые технологии делают
труд более эффективным и позволяют увеличить производство товаров и услуг.
Технологические знания являются главным фактором ускорения темпов
экономического роста, основой совершенствования качества (роста
производительности) ресурсов. Основная причина того, что сегодняшний уровень
жизни выше, чем был 100 лет назад, заключается в новых технологических знаниях.
Телефон, компьютер, двигатель внутреннего сгорания, конвейер относятся к тем
тысячам технических новшеств, которые увеличили возможности производства
товаров и услуг [6, с. 8-9].
Мировая экономическая история выделяет три
основных вида динамики экономического роста.
Если под воздействием факторов экономического
роста произойдет одновременный правосторонний сдвиг кривых совокупного спроса,
кратко- и долгосрочных кривых совокупного предложения, то долгосрочное
макроэкономического равновесия переместится из точки Е1в точку Е2,
уровень естественного объема произвонстваYf
увеличится с Yf1
до
Yf2.
При таком типе экономического роста с AD1
до AD2
влечет за собой увеличение совокупного предложения с AS1
до
AS2,
поэтому равновесные цены не изменяются. В данном случае наблюдается
экономический рост при стабильном уровне цен (сбалансированный экономический
рост), соединение точек краткосрочного равновесия образует линию долгосрочного
тренда, параллельного горизонтальной оси. Это отражается на рис. 1.4. [1, с.
221]
Рис. 1.4 - Сбалансированный (равновесный)
экономический рост. [1, с. 221].
Если в краткосрочном периоде совокупное
предложение увеличивается, т.е. кривая совокупного предложения сдвигается
вправо от AS1
до AS2
(например, по причине перенакопления капитала), но происходит менее
значительное увеличение совокупного спроса, то увеличение объема производства
свыше спроса влечет падение цен и безработицу. Соединение точек равновесия E1
и
Е2 дает нисходящий тренд. Экономическая система на долгосрочном
временном интервале начинает перемещаться вдоль совокупного спроса из
предложения Е1в точку Е2. Уровень равновесного объема
производства увеличивается с Yf1
до Yf2,
и в точке E2
норма безработицы превышает свое естественное значение, несмотря на то что
увеличивается уровень реального объема производства.
Будет происходить экономический рост,
сопровождающийся падением уровня цен с Р1 до Р2. (рис.
1.5).
Если рост совокупного спроса ADпо
какой-либо причине (рис.1.6изображен сдвиг спроса вправо с AD1
до
AD2и
затем до AD3)
опережает рост совокупного объема производства (сдвиг кривой совокупного спроса
с AS1до
AS2и
AS3),
будет происходить рост цен. Экономический рост в данном случае не
сбалансирован, сопровождается инфляцией спроса. При этом норма безработицы при
переходе из точки Е1 в точку Е2 и в точку Е3
сохраняется на меньшем уровне, чем естественный, а темп инфляции ускоряется [1,
с. 222].
При экстенсивном типе рост достигается за счет
использования большего количества факторов производства при сохранении их
прежней технической основы. Прирост продукции получается за счет
количественного роста численности и изменения квалификационного состава
работников, за счет увеличения мощности предприятия. Однако производительность
труда остается прежней.
Интенсивный тип экономического роста
характеризуется увеличением выпуска продукции в результате использования более
эффективных и качественно совершенных факторов производства и технологии,
повышения квалификации работников. Результатом такого роста является не только
увеличение объема продукции, но и повышение ее качества.
Интенсивный и экстенсивный типы экономического
роста не существуют в чистом виде. Всегда имеет место их сочетание с
преобладанием какого-либо одного. Отнесение экономического роста к тому или
иному типу зависит от величины удельного веса прироста производства,
полученного за счет изменения качественного или количественного факторов [1,
с.223].
Рис. 1.5 - Экономический рост, сопровождающийся
увеличением безработица (неравновесный рост) [1, с.222].
Рис. 1.6 - Экономический рост, сопровождающийся
ростом уровня цен (неравновесный рост) [1, с.223].
Для Республики Беларусь характерен
преимущественно экстенсивный тип экономического роста. Специфической чертой
экономики Беларуси является постоянное и одновременное сопровождение динамики
экономического роста как инфляцией, так и безработицей [1, с. 223].
2. Сравнительный анализ
неоклассических и неокейнсианских моделей экономического роста
Различают два основных типа моделей
экономического роста - неокейсианский и неоклассический.
Неокейсианский тип построен на следующих
принципах:
.Основу экономического роста составляет рост
совокупного спроса, вызванный ростом инвестиций. Благодаря мультипликативному
эффекту прирост объема национального производства происходит в более высокой
степени, чем рост инвестиций.
.Государство может активно воздействовать на
темпы экономического роста, регулируя совокупный спрос с помощью фискальных
рычагов (дотаций, субсидий, государственных инвестиций, социальных трансфертов)
и денежно - кредитных рычагов, прежде всего политики «дешевых денег».
.Цены малоэластичны, поэтому преобладает
сбалансированный тип экономического роста при наращивании объема загрузки
производственных мощностей. В экономике возможна неполная занятость даже в
условиях роста.
.Цикличность развития являются неотъемлемой
чертой экономической динамики. Долгосрочный период выявляет тренд, вокруг
которого происходят краткосрочные циклические колебания конъектуры, вызванные
взаимодействием мультипликатора и акселератора.
Неоклассические модели экономического роста базируются
на следующих принципах:
.Экономический рост обуславливается расширением
совокупного предложения. В свою очередь расширение предложения возможна
благодаря либо увеличению денежной массы (монетаризм), либо снижению налогового
бремени (теория предложения).
.Экономическая система саморегулируется.
Возникший временный дисбаланс между совокупным предложением и совокупным
спросом восстанавливается через механизм гибких цен. В связи с этим преобладают
несбалансированные типы экономического роста, сопровождающиеся либо дефляцией,
либо инфляцией.
.Экономика использует полностью свои мощности,
безработица находится на естественном уровне.
.Технический прогресс является важнейшим
фактором не только долгосрочных колебаний, но и краткосрочных технологических
изменений, распространяющихся во времени неравномерно.
.Труд и капитал взаимозаменяемы. Каждый фактор
производства обеспечивает соответствующую долю производимого продукта. [7, с.]
Сущность неокейнсианской модели экономического
роста. Первые концепции экономического роста возникли на базе кейнсианской
теории макроэкономического равновесия. Поскольку теория Дж. Кейнса базировалась
на статическом равновесии, он не учитывал технический прогресс и все внимание
сосредотачивал на эффективности спроса в краткосрочном периоде. Однако после
второй мировой войны исследования экономики перешли от статики к динамике. На
этой основе формировалась теория экономического роста, основывающаяся на двух
предпосылках: во-первых, в основе роста лежит норма накопления капитала; во-вторых,
капиталоемкость определяется только техническими условиями производства.
Модель экономического роста Е.Домара. Это
наиболее простая модель, предложенная в конце 40-х годов. Ее предпосылки:
прирост инвестиций является экзогенной переменной и рассматривается как
единственный фактор роста совокупного спроса и совокупного предложения. Модель
Домара исходит из того, что на рынке труда существует избыточное предложение,
что обуславливает постоянство уровня цен. Выбытие капитала отсутствует,
отношение K/Y
и
норма сбережений - постоянны. Выпуск зависит фактически от одного ресурса -
капитала.
Совокупный спрос увеличивается в результате
прироста инвестиций и действия мультипликатора m:
(2.1)
Увеличение совокупного предложения составит:
(2.2)
где - предельная производительность
капитала (по условию - постоянна).
В условиях равновесного роста спрос и
предложение должны совпадать, т.е. должно соблюдаться равенство: (2.1)=(2.2).
Отсюда следует что:
(2.3)
Поскольку в условиях равновесия инвестиции равны
сбережениям, I=S,
aS=sY
при s=const,
уровень дохода является величиной пропорциональной уровню инвестиций, и тогда:
(2.4)
Таким образом, согласно теории Домара,
существует равновесный тип прироста реального дохода в экономике, при котором
полностью используются имеющиеся производственные мощности. Он прямо
пропорционален норме сбережений и предельной производительности капитала, или
приростной капиталоотдаче (Y/K).
Инвестиции доход растут с постоянным одинаковым во времени темпом.
Такое динамическое равновесие может оказаться
неустойчивым, как только темп роста плановых инвестиций частного сектора
отклоняется от уровня, заданного моделью.
Модель Е. Домара не претендовала на роль теории
роста. Это была попытка расширить условия краткосрочного кейнсианского
равновесия на более длительный период и выяснить, какими будут эти условия для развивающейся
системы.
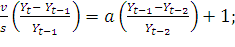
Модель экономического роста Р.Харрода. Харрод
построил специальную модель экономического роста (1939г.), включив в нее
эндогенную функцию инвестиций (в отличие от экзогенно заданных инвестиций у
Домара) на основе принципа акселератора и ожиданий предпринимателей. Совокупный
спрос задается с помощью акселератора (ѵ)
и коэффициента сбережения (s):
(2.5)
Предприниматели планируют объем собственного
производства, исходя из сложившейся ситуации в предшествующий период: если их
прошлые прогнозы относительно спроса оказались верными и спрос полностью
уравновесил предложение, то в данном периоде предприниматели оставят темпы
роста объема выпуска неизменными; если спрос в экономике был выше предложения,
они увеличат темпы расширения производства; если предложение превышало спрос в
предшествующем периоде, они снизят темпы роста. Формализовать это можно
следующим образом:
(2.6)
Где а=1, если спрос в предшествующем периоде (t-1)
был равен предложению; а>1, если спрос превысил предложение и а<1,если
спрос был ниже предложения, Отсюда получим объем предложения в экономике:
Для определения совокупного спроса используется
модель акселератора (а также условие равенства I=S):
(2.7)
Равновесный экономический рост предлагает
равенство совокупного спроса и предложения:
(2.8)
После небольшого преобразования получим:
(2.9)
Предположим, что в предшествующем периоде спрос
был равен предложению, т.е. а=1. Тогда, в соответствии с принятыми условиями
поведения, предприниматели и в текущем периоде сохранят темпы роста
производства такими же, как и предшествующем периоде, т.е.
; (2.10)
Тогда предыдущее выражение можно представить
следующим образом:
(2.11)
Отсюда равновесный темп прироста объема выпуска
составит:
(2.12)
Харрод назвал выражение «гарантированным» темпом
роста: поддерживая его, предприниматели будут полностью удовлетворенны своими
решениями, поскольку спрос будет равен предложению и их ожидания будут
сбываться. Такой темп роста обеспечивает полное использование производственных
мощностей (капитала), но полная занятость при этом не всегда достигается.
Анализ соотношений между гарантированным и
фактическим темпами роста позволил сделать следующий вывод: если фактически
запланированный предпринимателями темп роста предложения отличается от
гарантированного темпа роста (превышает или не достигает его), то система
постепенно отдаляется от состояния равновесия .
Помимо гарантированного темпа роста Харрод
вводит понятие «естественного» темпа роста. Это максимальный темп допускаемый
ростом активного населения и техническим прогрессом. При таком темпе
достигается полная занятость факторов - труда и капитала. Если гарантированный
темп роста, удовлетворяющий предпринимателей, выше естественного, то вследствие
недостатка трудовых ресурсов фактический темп окажется ниже гарантированного:
производители будут разочаровываться в своих ожиданиях, снизят объем выпуска и
инвестиции, в результате чего система будет находиться в состоянии депрессии.
Если гарантированный темп роста ниже
естественного, то фактический темп может превысить гарантированный, поскольку
существующий избыток трудовых ресурсов дает возможность увеличить инвестиции.
Фактический темп роста может быть также равен гарантированному и тогда
экономика будет развиваться в условиях динамического равновесия, вполне
удовлетворяющих предпринимателей, но при наличии вынужденной безработицы.
Идеальное развитие экономической системы достигается при равенстве
гарантированного, естественного и фактического темпов роста в условиях полной
занятости ресурсов.
Но поскольку всякое отклонение инвестиций от
условий гарантированного темпа как известно выводит систему из равновесия и
сопровождается все более увеличивающимся расхождением между спросом и
предложением, динамическое равновесие в модели Харрода также оказываются
неустойчивым.
Часто обе модели объединяют в одну модель
Харрода - Домара. Обе модели приводят к выводу, что при данных технических
условиях производства темп экономического роста определяется величиной
предельной склонности к сбережению, а динамическое равновесие может
существовать в условиях не полной занятости.
Ограниченность данных моделей задано уже
предпосылками их анализа. Например, используемая в них производственная функция
Леонтьева характеризуется отсутствием и взаимозаменяемости факторов
производства - труда и капитала, что в современных условиях не всегда
соответствует действительности.
Модели Харрода и Домара неплохо описывали
реальные процессы экономического роста 1920 - 1950 гг., но для более поздних
наблюдений наиболее успешно использовалась неоклассическая модель Р. Солоу.
Неоклассические модели роста преодолевали ряд
ограничений кейнсианских моделей и позволяли более точно описать особенности
макроэкономических процессов. Р.Солоу показал, что нестабильность динамического
равновесия в кейнсианских моделях была следствием не взаимозаменяемости
факторов производства. Вместо функции Леонтьева он использовал в своей модели
производственную функцию Кобба-Дугласа, в которой труд и капитал являются
субститутами. Другими предпосылками анализа в модели Солоу являются: убывающая
предельная производительность капитала, постоянная отдача от масштаба,
постоянная норма выбытия, отсутствие инвестиционных лагов. Взаимозаменяемость
факторов (изменение капиталовооруженности) объясняется не только
технологическими условиями, но и неоклассической предпосылкой о совершенной
конкуренции на рынках факторов.
Необходимым условием равновесия экономической
системы является равенство совокупного спроса и предложения. Предложение описывается
производственной функцией с постоянной отдачей от масштаба: Y=F(K,L) и для
любого положительного z верно: zF(K,L)= F(zK, zL). Тогда если z=1/L,
тоY/L=F(K/L,1). Обозначим (Y/L) через у, а (K/L) через к и перепишем исходную
функцию в форме взаимосвязи между производительностью и фондовооруженностью
(капиталовооруженностью): у=ƒ(k)
(см. рис. 2.1). Тангенс утла наклона данной производственной функции
соответствует предельному продукту капитала (МРК), который убывает по мере
роста фондовооруженности (k).
Совокупный спрос в модели Солоу определяется
инвестициями и потреблением: у=i+с, где i и с - инвестиции и потребление в
расчете на одного занятого. Доход делится между потреблением и сбережениями в
соответствии с нормой сбережения, так что потребление можно представить как
с=(1-s)y, где s -норма сбережения (накопления), тогда у=с+i=(1-s)y+i ,откуда
i=sy.
Условия равенства спроса и предложения могут
быть представлены как ƒ(k)= с+i или
ƒ(k)=
i/s. Производственная функция определяет предложение на рынке товаров, а
накопление капитала - спрос на произведенный продукт.
Динамика объёма выпуска зависит от объёма
капитала (в нашем случае- капитала в расчете на одного занятого, или
капиталовооруженности). Объём капитала меняется под воздействием инвестиций и
выбытия: инвестиции увеличивают запас капитала, выбытие - уменьшает.
Инвестиции зависят от фондовооруженности и нормы
накопления, что следует из условия равенства спроса и предложения в экономике:
i=sƒ(k).
Норма накопления определяет деление продукта на инвестиции и потребление при
любом значении k (рис. 1): у=ƒ(k),
i=sƒ(k),
с=(1-s)ƒ(k).
Рис.2.1 - Производство y
и спрос c+I
на одного работника. [7, с. 198]
Амортизация учитывается следующим образом: если
приять, что ежегодно вследствие износа капитала выбывает его фиксированная
часть d (норма выбытия), то величина выбытия будет пропорциональна объёму
капитала и равна dk. На графике эта связь отражается прямой, выходящей из точки
начала координат, с угловым коэффициентом d (рис. 2.2).
Рис. 2.2 - Инвестиции, выбытие и устойчивый
уровень капиталовооруженности.[7, с. 198].
Влияние инвестиций и выбытия на динамику запасов
капитала можно представить уравнением: Δk=i-dk, или,
используя равенство инвестиций и сбережений, Δk=sƒ(k)-dk.
Запас
капитала (k) будет увеличиваться (Δk>0) до
уровня, при котором инвестиции будут равны величине выбытия, т.е. sƒ(k)=dk.
После этого запас капитала на одного занятого (фондовооруженность) не будет
меняться во времени, поскольку две действующие на него силы уравновесят друг
друга (Δk=0).
Уровень
запаса капитала, при котором инвестиции равны выбытию, называется равновесным
(устойчивым) уровнем фондовооруженности труда и обозначается k*. При достижении
k* экономика находится в состоянии долгосрочного равновесия.
Равновесие является устойчивым, поскольку
независимо от исходного значения к экономика будет стремиться к равновесному
состоянию, т.е. к k*. Если начальное k1 ниже k*, то валовые инвестиции (sƒ(k)
будут больше выбытия (dk) и запас капитала будет возрастать на величину чистых
инвестиций. Если k2>k*, это означает, что инвестиции меньше, чем износ, а
значит запас капитала будет сокращаться, приближаясь к уровню k* (см. рис.
2.2).
Норма накопления (сбережения) непосредственно
влияет на устойчивый уровень фондовооруженности. Рост нормы сбережения с s1 до
s2 сдвигает кривую инвестиций вверх из положения s1ƒ(k)
до s2(k) (см. рис. 2.3).
Рис. 2.3 - Влияние нормы сбережений на
равновесное состояние в экономике. [7, с. 199]
В исходном состоянии экономика имела устойчивый
запас катала k1*, при котором инвестиции равнялись выбытию. После повышения
нормы сбережения инвестиции выросли на(i′1-i1) , а запас капитала (k1*) и
выбытие (dk1) остались прежними. В этих условиях инвестиции начинают превышать
выбытие, что вызывает рост запаса капитала
до уровня нового равновесия k2*, которое
характеризуется более высокими знаниями фондовооруженности и производительности
труда (выпуск на одного занятого, у).
Таким образом, чем выше норма сбережения
(накопления), тем более высокий уровень выпуска и запаса капитала может быть
достигнут в состоянии устойчивого равновесия. Однако повышение нормы накопления
ведёт к ускорению экономического роста в краткосрочном периоде, до тех пор,
пока экономика не достигнет точки нового устойчивого равновесия.
Очевидно, что ни сам процесс накопления, ни
увеличение нормы сбережения не могут объяснить механизм непрерывного
экономического роста. Они показывают лишь переход от одного состояния
равновесия к другому.
Для дальнейшего развития модели Солоу поочередно
снимаются две предпосылки: неизменность численности населения и его занятой
части (их динамика предполагается одинаковой) и отсутствие технического
прогресса.
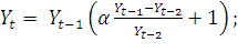
Предположим, население растёт с постоянным
темпом n. Это новый фактор, влияющий вместе с инвестициями и выбытием на
фондовооруженность. Теперь уравнение, показывающее изменение запаса капитала на
одного работника, будет выглядеть как:
∆k=i-dk-nkили
∆k=i-(d+n)k; (2.13)
Рост населения аналогично выбытию снижает
фондовооруженность, хотя и по-другому - не через уменьшение наличного запаса
капитала, а путем распределения его между возросшим числом занятых. В данных
условиях необходим такой объем инвестиций, который не только бы покрыл выбытие
капитала, но и позволил бы обеспечить капиталом новых рабочих в прежнем объёме.
Произведение nk показывает, сколько требуется дополнительного капитала в
расчете на одного занятого, чтобы капиталовооруженность новых рабочих была на
том же уровне, что и старых.
Рис. 2.4 - Рост населения в модели Солоу. [3, с.
267]
Условие устойчивого равновесия в экономике при
неизменной фондовооруженности k* можно будет записать теперь так:
∆k=sƒ(k)-(d+n)k=0
или sƒ(k)=(d+n)k;
(2.14)
Данное состояние характеризуется полной
занятостью ресурсов (рис.2.4).
В устойчивом состоянии экономики капитал и
выпуск на одного занятого, т.е. фондовооруженность (k) и производительность (у)
труда остаются неизменными. Но, чтобы фондовооруженность оставалась постоянной
и при росте населения, капитал должен возрастать с тем же темпом, что и
население, т.е.:
∆Y/Y=∆L/L=∆K/K=n; (2.15)
Таким образом, рост населения становится одной
из причин непрерывного экономического роста в условиях равновесия.
Отметим, что с увеличением темпа роста населения
возрастает угловой коэффициент кривой (d+n)k , что приводит к уменьшению
равновесного уровня фондовооруженности (k′*), следовательно, к падению у.
Учет в модели Солоу технологического прогресса
видоизменяет исходную производственную функцию. Предполагается трудосберегающая
форма технологического прогресса, Производственная функция будет представлена
как Y=F(K,LE), где E- эффективность труда, а LE - численность условных единиц
труда с постоянной эффективностью Е. Чем выше Е, тем больше продукции может
быть произведено данным числом работников. Предлагается, что технологический
прогресс осуществляется путем роста эффективности труда Е с постоянным темпом
g. Рост эффективности труда в данном случае аналогичен по результатам росту
численности занятых: если технологический прогресс имеет темп g=2%, то,
например, 100 рабочих могут произвести столько же продукции, сколько ранее
производили 102 рабочих. Если теперь численность занятых (L) растет с темпом n,
а Е растет с темпом g, то (LЕ) будет увеличиваться с темпом (n+g).
Рис. 2.5-Технологический прогресс в модели
Солоу. [3, с.268]
Включение технологического прогресса несколько
меняет и анализ состояния устойчивого равновесия, хотя ход рассуждений
сохраняется. Если определить k" как количество капитала в расчете на
единицу труда с постоянной эффективностью, т.е. k"=K/LE, а y"=Y/LE, то
результаты роста эффективных единиц труда аналогичны росту численности занятых
(увеличение количества единиц труда с постоянной эффективностью снижает
величину капитала, приходящегося на одну такую единицу). В состоянии
устойчивого равновесия (рис.2.5) уровень фондовооруженности k"*
уравновешивает, с одной стороны, влияние инвестиций, повышающих
фондовооруженность, а, с другой стороны, воздействие выбытия, роста числа
занятых и технологического прогресса, снижающих уровень капитала в расчете на
эффективную единицу труда:
ƒ(k′)=(d+n+g)k′;
(2.16)
В устойчивом состоянии (k′*) при наличии
технологического прогресса общий объём капитала (К) и выпуска (У), будут расти
с темпом (n+g). Но в отличие от случая роста населения, теперь будут расти с
темпом g фондовооруженность (K/L) и выпуск (Y/L) в расчете на одного занятого;
последнее может служить основой для повышения благосостояния населения.
Технологический прогресс в модели Солоу является, следовательно, единственным
условием непрерывного роста уровня жизни, поскольку лишь при его наличии
наблюдается устойчивый рост выпуска на душу населения (у).
Таким образом в модели Солоу найдено объяснение
механизма непрерывного экономического роста в режиме равновесия при полной
занятости ресурсов.
Как известно, в кейнсианских моделях норма
сбережения задавалась экзогенно и определяла величину равновесного темпа роста
дохода. В неоклассической модели Солоу при любой норме сбережения рыночная
экономика стремится к соответствующему устойчивому уровню фондовооруженности
(k*) и сбалансированному росту, когда доход и капитал растут с темпом (n+g).
Величина нормы сбережения (накопления) является объектом экономической политики
и важна при оценке различных программ экономического роста.
Поскольку равновесный экономический рост совместим
с различными нормами сбережения (как мы видели, увеличение s лишь на короткое
время ускоряло рост экономики, в длительном периоде экономика возвращалась к
устойчивому равновесию и постоянному темпу роста в зависимости от значения n и
g), возникает проблема выбора оптимальной нормы сбережения.
Оптимальная норма накопления, соответствующая
"золотому правилу" Э. Фелпса, обеспечивает равновесный экономический
рост с максимальным уровнем потребления. Устойчивый уровень фондовооруженности,
соответствующий этой норме накопления, обозначим k**, а потребления - с**.
Уровень потребления в расчете на одного занятого
при любом устойчивом значении фондовооруженности k* определяется путем ряда
преобразований исходного тождества: у=с+i. Выражаем потребление с через у и i и
подставляем значения данных параметров, которые они принимают в устойчивом
состоянии:
с=у-i, с*=ƒ(k*)-dk*;
(2.17)
где с* - потребление в состоянии устойчивого
роста, а i=sƒ(k)=dk по
определению устойчивого уровня фондовооруженности. Теперь из различных
устойчивых уровней фондовооруженности (k*), соответствующих разным значениям s,
необходимо выбрать такой, при котором потребление достигает максимума
(рис.2.6).
Рис. 2.6 - Устойчивый уровень потребления по
золотому правилу. [7, с. 202]
Выбрано k*k** увеличение объема выпуска меньше
роста выбытия, т.е. потребление падает. Рост потребления возможен лишь до точки
k**, где оно достигает максимума (производственная функция и кривая dk* имеют
здесь одинаковый наклон). В этой точке увеличение запаса капитала на единицу
даст прирост выпуска, равный предельному продукту капитала (МРК), и увеличит
выбытие на величину d (износ на единицу капитала). Роста потребления не будет,
если весь прирост выпуска будет использован на увеличение инвестиций для
покрытия выбытия. Таким образом, при уровне фондовооруженности, соответствующем
"золотому правилу" (k**), должно выполняться условие: МРК=d
(предельный продукт капитала равен норме выбытия), а с учетом роста населения и
технологического прогресса:
МРК=d+n+g; (2.18)
Если экономика в исходном состоянии имеет запас
капитала больший, чем следует по "золотому правилу", необходима
программа по снижению нормы накопления. Эта программа обусловливает увеличение
потребления и снижение инвестиций. При этом экономика выходит из состояния
равновесия и вновь достигает его при пропорциях, соответствующих "золотому
правилу".
Если экономика в исходном состоянии имеет запас
капитала меньше, чем k**, необходима программа, направленная на повышение нормы
сбережения. Эта программа первоначально приводит к росту инвестиций и падению
потребления, но по мере накопления капитала с определенного момента потребление
вновь начинает расти. В результате экономика достигает нового равновесия, но
уже в соответствии с "золотым правилом", где потребление превышает
исходный уровень. Данная программа обычно считается непопулярной в связи с
наличием "переходного периода", характеризующегося падением
потребления, поэтому её принятие зависит от межвременных предпочтений политиков,
их ориентации на краткосрочный или долгосрочный результат.
Рассмотренная модель Солоу позволяет описать
механизм долгосрочного экономического роста, сохраняющий равновесие в экономике
и полную занятость факторов. Она выделяет технический прогресс как единственную
основу устойчивого роста благосостояния и позволяет найти оптимальный вариант
роста, обеспечивающий максимум потребления.
Представленная модель не свободна и от
недостатков. Модель анализирует состояния устойчивого равновесия, достигаемые в
длительной перспективе, тогда как для экономической политики важна и
краткосрочная динамика производства и уровня жизни. Многие экзогенные
переменные модели Солоу - s, d, n, g - было бы предпочтительнее определять
внутри модели, поскольку они тесно связаны с другими ее параметрами и могут
видоизменять конечный результат. Модель не включает также целый ряд
ограничителей роста, существенных в современных условиях - ресурсных,
экологических, социальных. Используемая в модели функция Кобба-Дугласа, описывая
лишь определенный тип взаимодействия факторов производства, не всегда отражает
реальную ситуацию в экономике. Эти и другие недостатки пытаются преодолеть
современные теории экономического роста.
В неоклассической модели роста объём выпуска в
устойчивом состоянии растет с темпом (n+g), а выпуск на душу населения - с
темпом g, т.е. устойчивый темп роста определяется экзогенно. Современные теории
эндогенного роста пытаются определить устойчивый темп роста в рамках модели,
эндогенно, связывая его со всеми возможными количественными и качественными
факторами: ресурсными, институциональными и др.
Сторонники концепции "экономики
предложения" полагают, что увеличение темпов роста при полной занятости
возможно прежде всего путём сокращения регулирующего вмешательства извне в
рыночную систему.
В теоретических моделях экономического роста
главной задачей является определение условий, обеспечивающих равенство
совокупного спроса и совокупного предложения в развивающейся экономике и
совместить динамического равновесия с полной занятостью. Они основываются на
двух основных источниках: классической теории и кейнсианской теории
макроэкономического равновесия. В зависимости от приверженности тому или иному
направлению ученые с помощью существующих моделей пытаются описать факторы,
определяющие динамику совокупного спроса (неокейнсианцы) или совокупного
предложения (неоклассики). Неокейнсианские и неоклассические модели приводят к
противоположным выводам относительно устойчивости равновесного роста и
факторов, определяющих его темпы.
Модели Е.Домара и Р.Харрода сходны по
содержанию. В модели Харродв норма уравновешенного роста также зависит от
определенного соотношения национального дохода и инвестиций. Однако между ними
существуют и важные различия. В модели Домара для определения нормы роста
инвестиций, обеспечивающей необходимый рост национального дохода, используется
мультипликатор. Модель Харрода включает эндогенную функцию инвестиций (в
отличие от экзогенно заданных инвестиций у Домара) и определяет норму
сбалансированного роста на основе принципа акселератора и ожиданий
предпринимателей. Неустойчивость экономического роста в модели Харрода-Домара
вытекает из трех ее исходных предпосылок: невзаимозаменяемости факторов
производства, жесткости цен на них и экзогенно заданной нормы сбережений. В
неоклассических моделях устойчивый рост при экзогенной норме сбережений
существует в результате взаимозаменяемости факторов производства и гибкости их
цен[3, с. 246].
Недостатком моделей Харрода и Домара явился не
учет причин средних и длинных волн циулических колебаний. Сущностный подход
В модели Р. Солоу показано, как связаны между
собой рост запасов капитала, рабочей силы и улучшение технологии и как они
воздействует на объем выпуска. При этом темп экономического роста в отсутствие
технического прогресса определяется темпом прироста трудовых ресурсов.
Изменение нормы сбережений меняет только капиталовооруженность и
производительность труда, оставляя в длинном периоде темп равновесного роста
постоянным. При отсутствии технического прогресса максимальный рост потребления
на душу населения достигается тогда, когда предельная склонность к сбережению
равна эластичности выпуска по капиталу. [3, с.264]
3. Проблемы и перспективы
экономического роста в Республике Беларусь в период формирования социального
ориентирования экономики (с 2000 по 2010 гг.)
С обретением суверенитета в Республике Беларусь
взят курс на постарение социально ориентированной рыночной экономики.
Концептуальная идея белорусской экономической модели реализована в национальной
стратегии устойчивого социально-экономического развития Республики Беларусь до
2020 года. Ее главные составляющие - человек, окружающая среда, экономика.
Приоритетным направлением
социально-экономического развития Республики Беларусь в перспективе становится
выработка и реализация эффективной социальной политики государства. В качестве
ее главных целей выступают обеспечение устойчивого роста уровня и качества
жизни населения, создание условий для развития человеческого потенциала.
Предполагается постепенное повышение реальных денежных доходов как важнейшего
показателя уровня жизни народа и снижение уровня малообеспеченности населения,
создание условий и предоставление гражданам равных возможностей для достижения
материального и социального благополучия. Рост денежных доходов и заработной
платы рассматривается как фактор экономического роста и расширения внутреннего
потребительского спроса. С 2000 года и по настоящее время осуществляется
политика ускоренного роста доходов и заработной платы.
Табл. 3.1 - Внутренний валовой продукт
Республики Беларусь в период с 2000 по 2010 гг.
|
ВВП
|
2000
|
2001
|
2002
|
2003
|
2004
|
2005
|
2006
|
2007
|
2008
|
2009
|
2010
|
|
В
текущих ценах, млрд. руб
|
9134
|
17173
|
26138
|
36565
|
49992
|
65067
|
79267
|
97165
|
129791
|
137442
|
162964
|
|
В
сопоставимых ценах, в процентах к предыдущему году
|
105,8
|
104,7
|
105,0
|
107,0
|
111,4
|
109,4
|
110,0
|
108.6
|
110,2
|
100,2
|
107,6
|
|
ВВП
на душу населения, тыс. руб
|
913
|
1722
|
2634
|
3703
|
5088
|
6656
|
8145
|
10015
|
13407
|
14457
|
17171
|
В табл. 3.1 представлены данные ВВП в период с
2000 по 2010 год. Наиболее высокий уровень ВВП в текущих ценах был достигнут в
2010 году (162964 млрд. руб). Самый низкий уровень был в 2000 году, который
составил 9134 млрд. руб. В сопоставимых ценах наиболее высокий процент к
предыдущему году был в 2004 году (111,4 %), наиболее низкий - в 2008 году
(100,2 %). ВВП на душу населения за последние 10 лет возросло более чем в 18
раз. Если в 2000 году ВВП на душу населения составлял всего 913 тыс. руб, то
уже к 2005 году он возрос в 7 раз, а к 2010 составил 17171 тыс. руб.
Приоритетными направлениями политики в области
оплаты труда являются: кардинальное повышение уровня заработной платы
работников как основного источника формирования денежных доходов населения и
важного стимула трудовой активности, повышение производительности труда и эффективности
хозяйствования во всех звеньях экономики, рост инновационного потенциала
населения, снижение налоговой нагрузки на фонд заработной платы субъектов
хозяйствования всех форм собственности, что будет способствовать созданию новых
рабочих мест, легализации теневых доходов населения.
Устойчиво развивающаяся национальная экономика
предполагает также повышение ее эффективности и конкурентоспособности. В этом
направлении в Республике Беларусь предусматривается обеспечение дальнейшего
роста ВВП (табл. 3.1), развитие межотраслевых комплексов и отраслей народного
хозяйства. В структуре экономики страны предполагается последовательное
снижение доли производства товаров до 37-38% в 2020 г. и возрастание доли сферы
услуг до 50-52%.
Реализация основных направлений повышения
конкурентоспособности направлена на формирование необходимых условий для
устойчивого экономического роста, развития и повышения уровня жизни населения и
предполагает создание общесистемных условий и институциональных преобразований,
что включает меры по углублению рыночных реформ и формированию
предпринимательства, развитие человеческого потенциала, совершенствование
бюджетно-налоговой, денежно-кредитной политики, дальнейшую либерализацию
ценообразования.
Таковы основные составляющие формирующейся
модели социально ориентированной рыночной экономики в Республике Беларусь.
К 2000 году кризисные тенденции, связанные с
трансформационным спадом в экономике, были в основном преодолены и начался этап
постепенного экономического роста. В 2000 г. уровень 1990 г. по объему
промышленного производства был превышен на 1%, потребительских товаров - на 10;
однако ВВП составил только 89% от него, продукция сельского хозяйства - 71%.
В период 2001-2008 гг. происходит формирование
факторов устойчивого экономического роста, активизация
инновационно-инвестиционной деятельности. В данном периоде в экономике были
намечены следующие ключевые приоритеты:
· формирование эффективной системы
здравоохранения;
· активизация инновационной и
инвестиционной деятельности;
· наращивание экспорта товаров и
услуг;
· дальнейшее развитие жилищного
строительства на безэмиссионной основе с использованием внебюджетных источников
финансирования;
· развитие агропромышленного комплекса
и сопряженных отраслей.
Важнейшей составляющей макроэкономической
политики был определен социальный вектор развития. В сфере социальной защиты
населения предусматривалось усиление государственной поддержки его наиболее
уязвимых слоев и групп, улучшение системы минимальных социальных гарантий,
повышение эффективности социальных программ.
Выбранные приоритеты развития, реализуемая
социально-экономическая политика, применение адекватных переходной экономике
методов мотивации и регулирование хозяйственной жизни страны, последовательное
развитие институциональных и правовых основ функционирования рыночной экономики
позволили в 2000-2008 гг. обеспечить положительную динамику основных
макроэкономических показателей.
В 2000-2008 гг. (до наступления
финансово-экономического кризиса) страна превзошла уровень 1990 г. по производству
ВВП (на 27%), промышленной продукции (на 53%), производству потребительских
товаров (на 66%), реальным денежным доходам населения (на 75%). Значительно
выросло инвестирование в основной капитал - на 84% по отношению к 2000 г., что
позволило довести его значение до 95% уровня 1990 г..
Произошли также существенные подвижки в аграрном
секторе экономики. Его производство на начало 2009 г. составило 90% от уровня
1990 года.
Одной из основных задач социально-экономического
развития является создание действенного механизма инвестирования экономики,
прежде всего на основе стимулирования высокоэффективных вложений, обеспечения
условий для привлечения частного капитала, а также предотвращения утечки
капитала за границу.
В настоящее время инвестиции в экономику
Беларуси составляют значительную долю в ВВП. Однако сравнение темпов их роста и
увеличения расходов на конечное потребление показывает, что доля накопления
основного капитала значительно отстает от потребления ВВП. Это нормально для
зрелой рыночной экономики, однако представляется чрезмерным при реализации
стратегии высоких темпов экономического роста. При прочих равных условиях в
экономиках других государств это означает замедление инвестиционной активности.
Объем инвестиций в основной капитал начиная с
1992 г. катастрофически падал (в 1995 г. он составил к 1990 г. лишь 39%). С
1997 г. инвестиционная деятельность в государстве активизировалась. В 2009 г.
объем инвестиций в основной капитал вырос в 3,7 раза к уровню 1995 г. и в 2,6
раза к уровню 2000 г. (табл. 3.2).
Таблица 3.2- Темпы роста инвестиций, расходов на
конечное потребление, валового накопления основного капитала.
|
Инвестиции
в основной капитал
|
Расходы
на конечное потребление
|
Валовое
накопление основного капитала
|
|
Год
|
%
к:
|
%
к:
|
%
к:
|
|
Пред.
году
|
1990
г.
|
1995
г.
|
2000
г.
|
Пред.
году
|
1990г.
|
1995
г.
|
2000
г.
|
Пред.
году
|
1990
г
|
1995
г.
|
2000г.
|
|
2000
|
102
|
52
|
133
|
100
|
107,4
|
94,2
|
148,9
|
100
|
102,3
|
60.9
|
127,5
|
100
|
|
2001
|
97
|
50
|
129
|
97
|
113,7
|
107,1
|
169,3
|
113,7
|
97,7
|
59,5
|
124,6
|
97,7
|
|
2002
|
106
|
54
|
137
|
103
|
108,2
|
115,9
|
183,2
|
123,0
|
106,7
|
63,5
|
132,9
|
104,2
|
|
2003
|
121
|
66
|
166
|
124
|
105,7
|
122,5
|
193,6
|
130,0
|
120,6
|
76.6
|
160,3
|
125,7
|
121
|
80
|
201
|
150
|
107,5
|
131,7
|
208,2
|
139,8
|
119,9
|
91,8
|
192,2
|
150,7
|
|
2005
|
120
|
96
|
241
|
180
|
112,0
|
147,5
|
233,1
|
156,5
|
119,5
|
109,7
|
229,7
|
180,1
|
|
2006
|
132
|
127
|
318
|
229
|
110,2
|
162,5
|
256,9
|
172,5
|
126,5
|
138,8
|
290,6
|
227,8
|
|
2007
|
116
|
134
|
351
|
236
|
109,4
|
171,1
|
263,2
|
182,3
|
123,4
|
149,5
|
346,7
|
254,8
|
|
2008
|
124
|
145
|
365
|
263
|
110,1
|
179,0
|
282,8
|
189,9
|
124,8
|
173,2
|
362,6
|
284,3
|
|
2009
|
105
|
146
|
371
|
268
|
102,3
|
180,5
|
291,2
|
192,4
|
113,6
|
179,2
|
370,1
|
289,0
|
|
2010
|
107
|
149
|
374
|
270
|
103,1
|
181,2
|
192,3
|
194,5
|
104,3
|
180,2
|
373,5
|
990,1
|
В 1995-2000 гг. рост валового накопления
равнялся в среднем за год 19,4%, а расходы па конечное потребление - 26,6%, в
2001 - 2005 гг. - соответственно 31,7 и 32,6%. Для преодоления дефицита
инвестиций потребовалось сокращение расходов па конечное потребление, в том
числе расходов государственного бюджета. В 2010 г. использование ВВП на
конечное потребление увеличилось по отношению к 2005 г. на 21,3%, а валовое
накопление основного капитала - на 57,9%.
Серьезным препятствием для роста валового
накопления основного капитала является то, что значительная часть населения еще
имеет низкий уровень потребления материальных благ и услуг. В 2010 г. 5,4%, или
более полумиллиона человек, жили за чертой бедности, уровень располагаемых ими
ресурсов был ниже бюджета прожиточного минимума. В таких условиях сокращение
потребления ради роста инвестиций означает поиск трудного компромисса между
поддержанием стабильности в обществе сегодня и обеспечением экономической
устойчивости в долгосрочной перспективе.
Тем не менее, экономический рост, достигнутый в
последнем десятилетии позволил реализовать масштабные социальные задачи(табл.
3.3, табл. 3.4): в 2000-2010 гг. наблюдается рост реальных доходов населения,
оптимизация структуры потребления, сокращение бедности.
Таблица 3.3 - Динамика доходов населения
Республики Беларусь.
|
Денежные
доходы
|
2001
|
2002
|
2003
|
2004
|
2005
|
2006
|
2007
|
2008
|
2009
|
2010
|
|
Денежные
доходы в расчете на душу населения, тыс. руб. в мес.
|
96,2
|
143,5
|
192,4
|
250,8
|
329,3
|
416,9
|
503,9
|
648,2
|
755,3
|
952,4
|
|
Реальные
денежные доходы населения, в % к предыдущему году
|
128,1
|
104,1
|
103,9
|
109,8
|
118,4
|
117,8
|
113,2
|
111,8
|
102,9
|
115,1
|
|
Реальные
располагаемые денежные доходы населения, в % к предыдущему году
|
128,1
|
104,0
|
100,7
|
109,3
|
118,1
|
115,9
|
113,1
|
111,8
|
103,8
|
114,8
|
|
Номинальная
начисленная среднемесячная заработная плата одного работника, тыс. руб.
|
123,0
|
189,2
|
250,7
|
347,5
|
463,7
|
582,2
|
694,0
|
868,2
|
998,3
|
1217,3
|
|
Реальная
начисленная заработная плата, в % к предыдущему году
|
129,6
|
107,9
|
103,2
|
117,4
|
120,9
|
117,3
|
110,0
|
109,0
|
99,6
|
115,0
|
|
Средний
размер назначенной пенсии, тыс. руб.
|
65,0
|
89,6
|
113,9
|
172,6
|
211,0
|
277,6
|
328,2
|
389,4
|
429,5
|
584,7
|
|
Реальный
размер назначенной пенсии, в % к предыдущему году
|
122,1
|
102,3
|
101,4
|
132,4
|
113,2
|
123,4
|
105,4
|
104,7
|
100,2
|
123,9
|
Исходя из табл. 3.3, в которой представлена
динамика доходов населения Республики Беларусь, можно выделить, что денежные
доходы населения возрастали с каждым годом. Так на 2000 год денежные доходы в
расчете на душу населения составили 46,5 тыс. руб. в месяц, к 2010 году они
увеличились уже до 952,4 тыс. руб. в месяц. В сопоставлении реальных денежных
доходов и располагаемых денежных доходов можно сказать, что самый низкий
уровень доходов был в 2003 году (114,1% и 113,8% соответственно), а наиболее
значимо высокий в 2005 году (118,4% и 118,1%), а к 2010 году реальные и
располагаемые доходы снизились на 3.3%. Номинальная среднемесячная заработная
плата одного работника в 2010 году составляла 1217,3 тыс. руб., что является
самым высоким уровнем в период 2000-2010 гг., а реальная заработная плата в
этом же году составила 115,0 % к предыдущему году. В среднем за последние 10
лет средний размер назначенной пенсии составляет 245,3 тыс. руб., а реальный
размер - 115,7%.
Таблица 3.4 - Уровень жизни в Республике
Беларусь
|
Показатель
|
1995
г.
|
2000
г.
|
2005
г.
|
2010
г.
|
|
Численность
населения, тыс. чел.
|
10177
|
9957
|
9697
|
9481
|
|
Ожидаемая
продолжительность жизни при рождении, лет
|
68,6
|
69,0
|
68,8
|
70,4
|
|
Валовой
внутренний продукт на душу населения (в фактически действующих ценах), тыс.
руб.
|
11909
|
913
|
6656
|
17171
|
|
Численность
населения с уровнем располагаемых ресурсов ниже минимального потребительского
бюджета, %
|
80,4
|
76,8
|
42,6
|
20,7
|
|
Численность
населения с уровнем располагаемых ресурсов ниже прожиточного минимума, %
|
38,4
|
41,9
|
12,7
|
5,2
|
|
Денежные
расходы на покупку продуктов питания, %
|
-
|
58,0
|
42,4
|
36,8
|
|
Сбережения
населения, % от общих расходов
|
-
|
11,0
|
15,0
|
4,4
|
|
Жилищный
фонд - всего, млн.м2 общей площади
|
200,5
|
212,1
|
220,7
|
232,9
|
Рост денежных доходов населения сопровождался и
повышением их покупательной способности. Благодаря активной социальной
поддержке наиболее уязвимых групп населения, в стране не допущено значительного
социально-экономического расслоения общества по уровню материального достатка.
Среднедушевые располагаемые доходы 10% наиболее обеспеченной группы населения
были в 5,2 раза выше, чем 10% наименее обеспеченной группы (при
предельно-критическом значении этого показателя - 10 раз).
Беларусь избежала социальных потрясений благодаря
эволюционному подходу к экономическим реформам. Однако результатом явилось
сокращение сбережений и, которые в 2010 году составили 48% от 1990 года, что
стало сдерживающим фактором экономического роста.
Основные статистические показатели,
характеризующие количественную сторону развития сферы образования и
здравоохранения в Республике Беларусь приведены в табл. 3.5,табл. 3.6. Как
видно из приведённых таблиц, в стране сокращается количество учреждений
среднего и высшего образования, что можно объяснить существенным падением
рождаемости. В сфере здравоохранения видим неуклонное сокращения количества
больничных организаций и рост амбулаторно-поликлинических организаций при
незначительном увеличении числа медицинского персонала. Если принимать во
внимание огромную разницу в качестве технического оснащения и медицинского
обслуживания больниц и поликлиник, можно говорить об ухудшении ситуации с не
обеспечением в целом по стране.
Таблица 3.5 - Основные социально-экономические
показатели образования
|
2003/04
|
2004/05
|
2005/06
|
2006/07
|
2007/08
|
2008/09
|
2009/10
|
2010/11
|
|
Число
учреждений, общего среднего образования
|
4408
|
4298
|
4187
|
4063
|
3927
|
3821
|
3719
|
3654
|
|
В
них учащихся, тыс.
|
1369,0
|
1303,4
|
1240,9
|
1179,3
|
1134,9
|
1083,2
|
1006,8
|
961,6
|
|
Число
учреждений, среднего специального образования
|
204
|
206
|
204
|
205
|
204
|
206
|
211
|
214
|
|
В
них учащихся, тыс.
|
162,3
|
158,4
|
154,1
|
152,5
|
155,0
|
157,3
|
166,6
|
167,6
|
|
на
10 000 человек населения, учащихся
|
165
|
162
|
158
|
157
|
160
|
163
|
172
|
177
|
|
Число
учреждений, высшего образования
|
59
|
55
|
55
|
55
|
53
|
53
|
53
|
55
|
|
В
них студентов, тыс.
|
337,8
|
362,9
|
383,0
|
396,9
|
413,7
|
420,7
|
430,4
|
442,9
|
|
на
10 000 человек населения, студентов
|
343
|
370
|
393
|
409
|
427
|
435
|
445
|
467
|
Таблица 3.6 - Основные показатели
здравоохранения
|
2002
|
2003
|
2004
|
2005
|
2006
|
2007
|
2008
|
2009
|
2010
|
|
Численность
врачей всех специальностей, всего, тыс. человек
|
44,8
|
45,0
|
45,3
|
45,6
|
46,4
|
47,0
|
48,1
|
49,4
|
50,8
|
|
на
10 000 человек населения
|
45,3
|
45,7
|
46,2
|
46,8
|
47,7
|
48,5
|
49,8
|
52,0
|
53,6
|
|
Численность
среднего медицинского персонала: всего, тыс. чел.
|
123,5
|
117,0
|
117,3
|
118,5
|
118,3
|
118,2
|
122,2
|
122,4
|
|
на
10 000 человек населения
|
124,8
|
118,8
|
119,7
|
121,5
|
121,8
|
121,9
|
124,7
|
128,7
|
129,1
|
|
Число
больничных организаций
|
781
|
729
|
704
|
711
|
725
|
792
|
773
|
661
|
661
|
|
Число
больничных коек: всего, тыс. человек
|
118,5
|
112,0
|
105,3
|
108,8
|
108,8
|
108,9
|
107,7
|
107,0
|
108,7
|
|
на
10 000 человек населения
|
119,7
|
113,7
|
107,4
|
111,6
|
112,0
|
112,4
|
111,3
|
112,6
|
114,6
|
|
Число
амбулаторно-полилитических организаций
|
1862
|
1918
|
1983
|
2005
|
2022
|
2027
|
2208
|
2205
|
2228
|
Заработная плата в условиях экономической
трансформации перестала выполнять воспроизводственную, стимулирующую и
регулирующую функции, стала играть роль социального вспомоществования и
значительно оторвалась от сферы непосредственно трудовых отношений. В контексте
же социальной политики заработная плата должна стимулировать опору на
собственные силы и способствовать сокращению бедности. Ни одну из этих функций
она в республике полностью не выполняет.
Рисунок 3.1 показывает снижение доли заработной
платы и трансфертов в денежных доходах населения и незначительность доходов от
собственности, что иллюстрирует замороженный процесс приватизации собственности
в республике. Минимальная заработная плата не выполняет роли социальных
гарантий. К 2011 году соотношение МЗП и средней заработной платы по сравнению с
2001 годом, уменьшилось с 26 % до 6%. Одновременно отношение минимальной
заработной платы к минимальному потребительскому бюджету снизилось почти в 10
раз. Таким образом, бедность продолжает оставаться важной социальной проблемой.
Рис. 3.1 - Структура денежных
доходов населения в 2010 году(в процентах к итогу) [4].
Еще одной проблемой являются различия в уровне
оплаты между производственной сферой и непроизводственной, отраслями,
регионами. Социальная политика в республике направлена на снижение
дифференциации в оплате. Так если в 2001 году коэффициент межотраслевой
дифференциации составил - 5,1, то к 2011 году он сократился в 1,9 раза и стал
равен - 3,5. Приняты решения, направленные на повышение заработной платы
отраслей бюджетной сферы. Установлена ставка первого разряда для оплаты
работников организаций, финансируемых из бюджета. Введены корректирующие
коэффициенты, позволяющие обеспечить приоритетный рост заработной платы
низкооплачиваемых категорий работников. Таким образом, в социальной политике
сохраняется тенденция на уравнительность, что характеризует ее инерционность.
Таким образом, период трансформации экономики с
2000 по 2008 г., за исключением сельского хозяйства, характеризуется
положительной динамикой основных макроэкономических показателей, что
свидетельствует о выходе из экономического кризиса, но еще не означает перехода
к устойчивому экономическому росту. Об этом свидетельствуют высокий уровень
износа активной части основных производственных фондов (до 80 %), низкие коэффициенты
их обновления, невысокий уровень использования современных технологий и
недостаточный уровень конкурентоспособности отечественной продукции.
Вместе с тем рост экономических показателей
позволил в определенной мере стабилизировать положение на внутреннем
потребительском рынке, восстановить систему управления экономикой, отвечающую
реалиям переходного периода, несколько улучшить систему социальной защиты
населения. Определились новые подходы и принципы проведения экономических
реформ.
Со второй половины 2008 года существенное
влияние на экономический рост Беларуси оказал мировой финансово-экономический
кризис. Особенности его воздействия на экономику Беларуси обусловлены
конструкцией экономической системы, спецификой белорусской модели развития, степенью
открытости экономики и характером взаимоотношений с мировой экономикой, ее
международными структурами и институтами.
В силу переходного характера экономики, слабого
развития рыночных институтов, финансового, фондового рынков, высокой доли
госсобственности и преобладающей роли государства в регулировании экономических
процессов влияние мировою кризиса не носит масштабного, всеобъемлющего
характера, как в высокоразвитых странах. Белорусские банки и граждане
практически не имели «плохих» ценных бумаг, обесценившихся в результате обвала
на зарубежных фондовых рынках. Невелик, кроме того, и объем отечественного
фондового рынка. В связи с этим представляется, что последствия проявятся в
основном косвенным образом, за счет возможного сокращения внешнего спроса на
нашу продукцию и снижения загрузки крупных предприятий. В зависимости от
масштаба этих процессов они могут быть весьма серьезными и в экономической, и в
социальной сферах (проблемы ликвидности, занятости, инфляции и др.).
Установлено, что наиболее явно мировой кризис
отразился на динамике производства промышленной продукции республики во втором
полугодии 2008 г. и в начале нынешнего года. В промышленном комплексе в целом и
большинстве его отраслей наблюдалось замедление темпов роста производства, а с января
2009 г. - ежемесячный спад выпуска продукции.
Серьезнее всего кризис затронул предприятия
белорусского машиностроения и металлообработки. Снижение производства продукции
в этой отрасли в сравнении с 2008 г. составило 26,7%. Выпуск основных видов отечественной
машиностроительной продукции существенно уменьшился: по результатам 2010 г.:
производство тракторов сократилось на 24,9%; грузовых автомобилей - на 58,9;
металлорежущих станков - на 23,5%. Произошли изменения и в динамике
производства в промышленности строительных материалов (кризисный спад здесь
составил 32,7%) [12, с. 83].
Основная причина замедления динамики
производства - снижение темпов роста экспорта товаров на 41%.
В Беларуси прямым последствием финансового
кризиса стал рост товарных запасов у производителей. Их объемы с 2008 г. по
2010 г. увеличились на 2323,9 млрд. руб., или на 45%. Соотношение товарных
запасов и среднемесячного объема производства в январе 2011 г. составило 91,3%
и возросло по сравнению с уровнем января 2008 г. на 41,9%. Наиболее высокими
значения этого показателя оказались в легкой промышленности (196,0%) и в
машиностроении (167,7%); наименьшими - в топливной промышленности (6,4%) и в
черной металлургии (61,2%) [12, с. 90].
Увеличение запасов связано с опережающим в сравнении
с реализацией промышленной продукции ростом производства. Снижение объемов
реализации коснулось всех отраслей, кроме электроэнергетики и топливной
промышленности. Если в течение первых трех кварталов 2008 г. удавалось
поддерживать товарные запасы в пределах установленных значений за счет
увеличения дебиторской задолженности, то в октябре-декабре в дебиторской
задолженности и товарных запасах скопилась значительная часть оборотных
средств, и промышленные предприятия вынуждены были снизить объемы производства.
В промышленности Республики Беларусь наряду с
достаточно очевидными последствиями финансового кризиса - уменьшением выпуска
продукции, ростом товарных запасов и увеличением дебиторской задолженности -
наблюдалось снижение уровня рентабельности реализованной продукции и рост доли
не денежных форм прекращения обязательств. Доля оплаченной выручки в общем ее
объеме в 2010 г. составила 89,7% против 96,4% за 2007 г. [12, с.97]
Недостаток оборотных средств, вызванный
накоплением товарных запасов и дебиторской задолженности, вынудил белорусские
предприятия увеличить объем займов. Именно кредитование промышленных
предприятий во втором полугодии 2008-2010 г. было основным способом их
поддержки, помощью в преодолении финансового кризиса. Однако сегодня применение
только лишь этого способа не позволяет преодолеть последствия кризиса и
приводит в значительной мере к дополнительному росту товарных запасов.
По сравнению с 2008 г. сумма остатков по
кредитам промышленным предприятиям возросла к началу 2011 г. в 2,73 раза. В
этих условиях увеличение средней процентной ставки заметно сказывается на
рентабельности реализованной промышленной продукции.
Изучение ситуации, сложившейся в реальном
секторе Беларуси, позволяет сделать следующие выводы.
В конце 2008 г. - начале 2009 г., т.е. в период
разрастания мирового экономического кризиса, Правительство Республики Беларусь
предприняло меры по обеспечению стабильной работы валообразующих и иных
организаций реального сектора экономики. Действие их было направлено на
стимулирование экспорта продукции этих предприятий посредством отмены пошлин на
товары, вывозимые за пределы ЕврАзЭС; улучшение их финансового состояния за
счет возмещения части процентов за пользование банковскими кредитами; снижение
себестоимости выпускаемой продукции через разрешение уценки запасов сырья и
материалов, а также тарифов на железнодорожные перевозки и ряд других.
Реализация этих мер позволила отсрочить начало спада промышленного производства
и замедлить его в первом полугодии 2009 г., остановить падение рентабельности
реализуемой продукции в, сохранить способность предприятий рассчитываться по
заработной плате и текущим обязательствам, дала возможность им адаптироваться к
падению мировых цен на промышленную продукцию.
Однако глубина и продолжительность кризисного
периода будут зависеть от тенденций развития основных торговых партнеров -
России, Украины, стран Европейского союза, а также от направлений и
интенсивности реформирования экономики Беларуси.
Учитывая неблагоприятную внешнюю конъюнктуру,
необходимо переходить от создания условий для наращивания производства к мерам
по сохранению производственного потенциала валообразующих предприятий;
проведению модернизации и реструктуризации промышленных предприятий с целью
повышения их эффективности; к разработке комплекса мер по стимулированию как
внутреннего, так и внешнего спроса. В связи с тем, что более половины
белорусской промышленной продукции реализуется на экспорт, подобные меры должны
разрабатываться совместно со странами - основными торговыми партнерами
Таким образом, можно заключить, что в условиях
нарастания мирового финансово-экономического кризиса, темпы экономического
роста в Республике Беларусь замедлились. Это замедление нельзя назвать
катастрофическим, поскольку в стране был принят ряд мер, направленных на
поддержание экономической безопасности и дальнейшего развития страны, однако
глубокие структурные реформы, направленные на обеспечение устойчивого
экономического роста до сих пор не осуществлены.
Заключение
В экономике происходит рост естественного уровня
реального ВВП под воздействием долгосрочных факторов. Экономический рост - это
процесс не только количественного, но и качественного совершенствования и
создания благ и услуг. Если ранее различали экстенсивный и интенсивный
экономический рост, то в последнее время наиболее важным являются такие типы
роста, как сбалансированный (равновесный) и несбалансированный.
Из трех вариантов динамики экономического роста
предпочтительнее всего сбалансированный рост при стабильном уровне цен. Одним из
главных факторов экономического роста является накопление капитала. Чем выше
капиловооруженность производства, тем больше объем производства и инвестиций на
одного работника.
Устойчивый уровень капиталовооруженности,
являющийся оптимальным с точки зрения максимизации потребления, будет тот, при
котором предельный продукт капитала равен норме выбытия (амортизации).
Модели Е.Домара и Р.Харрода сходны по
содержанию. В модели Харрода норма уравновешенного роста также зависит от
определенного соотношения национального дохода и инвестиций. Однако между ними
существуют и важные различия. В модели Домара для определения нормы роста
инвестиций, обеспечивающей необходимый рост национального дохода, используется
мультипликатор. Модель Харрода включает эндогенную функцию инвестиций (в
отличие от экзогенно заданных инвестиций у Домара) и определяет норму
сбалансированного роста на основе принципа акселератора и ожиданий
предпринимателей. Неустойчивость экономического роста в модели Харрода-Домара
вытекает из трех ее исходных предпосылок: невзаимозаменяемости факторов
производства, жесткости цен на них и экзогенно заданной нормы сбережений. В
неоклассических моделях устойчивый рост при экзогенной норме сбережений
существует в результате взаимозаменяемости факторов производства и гибкости их
цен.
В модели Р. Солоу показано, как связаны между
собой рост запасов капитала, рабочей силы и улучшение технологии и как они
воздействует на объем выпуска. При этом темп экономического роста в отсутствие
технического прогресса определяется темпом прироста трудовых ресурсов.
Изменение нормы сбережений меняет только капиталовооруженность и
производительность труда, оставляя в длинном периоде темп равновесного роста
постоянным. При отсутствии технического прогресса максимальный рост потребления
на душу населения достигается тогда, когда предельная склонность к сбережению
равна эластичности выпуска по капиталу
В условиях нарастания мирового
финансово-экономического кризиса, темпы экономического роста в Республике
Беларусь замедлились. Это замедление нельзя назвать катастрофическим, поскольку
в стране был принят ряд мер, направленных на поддержание экономической
безопасности и дальнейшего развития страны, однако глубокие структурные
реформы, направленные на обеспечение устойчивого экономического роста до сих
пор не осуществлены.
Приложение
ДИНАМИКА ОСНОВНЫХ ПОКАЗАТЕЛЕЙ
СОЦИАЛЬНО-ЭКОНОМИЧЕСКОГО РАЗВИТИЯ РЕСПУБЛИКИ БЕЛАРУСЬ
|
2000
|
2001
|
2002
|
2003
|
2004
|
2005
|
2006
|
2007
|
2008
|
2009
|
2010
|
|
Численность
населения (на конец года), тыс. человек
|
9990
|
9951
|
9899
|
9849
|
9800
|
9751
|
9714
|
9690
|
9672
|
9480
|
9481
|
|
Среднегодовая
численность занятых в экономике, тыс. человек
|
4441
|
4417
|
4381
|
4339
|
4316
|
4350
|
4402
|
4477
|
4594
|
4621
|
4705,1
|
|
Численность
зарегистрированных безработных, в процентах к экономически активному
населению
|
2,1
|
2,3
|
3,0
|
3,1
|
1,9
|
1,5
|
1,2
|
1,0
|
0,8
|
0,9
|
0,7
|
|
Денежные
доходы населения, млрд. руб.
|
5577
|
11506
|
17087
|
22795
|
29565
|
38622
|
48685
|
58670
|
75707
|
87605
|
952,4
|
|
Реальные
денежные доходы населения, в процентах к предыдущему году
|
114,1
|
128,1
|
104,1
|
103,9
|
109,8
|
118,4
|
117,8
|
113,2
|
111,8
|
102,9
|
114,8
|
|
Номинальная
начисленная среднемесячная заработная плата работающих в экономике, тыс. руб.
|
58,9
|
123,0
|
189,2
|
250,7
|
347,5
|
463,7
|
582,2
|
694,0
|
868,2
|
998,3
|
1217,3
|
|
Реальная
начисленная заработная плата, в процентах к предыдущему году
|
112,0
|
129,6
|
107,9
|
103,2
|
117,4
|
120,9
|
117,3
|
110,0
|
109,0
|
99,6
|
115,0
|
|
Средний
размер назначенной месячной пенсии (на конец года), тыс. руб.
|
36,4
|
65,0
|
89,6
|
113,9
|
172,6
|
211,0
|
277,6
|
328,2
|
389,4
|
429,5
|
584,7
|
|
Реальный
размер назначенной месячной пенсии (на конец года), в % к соответствующему
периоду пред.года
|
143,2
|
122,1
|
102,3
|
101,4
|
132,4
|
113,2
|
123,4
|
105,4
|
104,7
|
100,2
|
123,9
|
|
Валовой
внутренний продукт
|
|
|
|
|
|
|
|
|
|
|
|
|
млрд.
руб.
|
9134
|
17173
|
26138
|
36565
|
49992
|
63679
|
79267
|
97165
|
128829
|
136790
|
162964
|
|
в
процентах к предыдущему году
|
105,8
|
104,7
|
105,0
|
107,0
|
111,4
|
109,2
|
110,0
|
108,6
|
110,0
|
100,2
|
107,6
|
|
Продукция
промышленности
|
|
|
|
|
|
|
|
|
|
|
|
|
млрд.
руб.
|
10501
|
18612
|
24912
|
33387
|
48530
|
62545
|
77267
|
95515
|
130830
|
123225
|
165214
|
|
в
процентах к предыдущему году
|
107,8
|
105,9
|
104,5
|
107,1
|
115,9
|
110,5
|
111,4
|
108,7
|
111,5
|
97,2
|
112,0
|
|
Продукция
сельского хозяйства
|
|
|
|
|
|
|
|
|
|
|
|
|
млрд.
руб.
|
2734
|
4539
|
6521
|
7814
|
10545
|
12826
|
15544
|
18102
|
25052
|
26538
|
27135
|
|
в
процентах к предыдущему году
|
109,3
|
101,8
|
100,7
|
106,6
|
112,6
|
101,7
|
106,0
|
104,4
|
108,6
|
101,3
|
101,9
|
|
Инвестиции
в основной капитал
|
|
|
|
|
|
|
|
|
|
|
|
|
млрд.
руб.
|
1809,0
|
3049,3
|
4484,6
|
7131,2
|
10783,4
|
15095,8
|
20374,1
|
26053,3
|
37202,3
|
43065,6
|
55380,8
|
|
в
процентах к предыдущему году
|
102,1
|
96,5
|
106,0
|
120,8
|
120,9
|
120,0
|
132,2
|
116,2
|
123,5
|
108,6
|
115,8
|
|
Ввод
в действие общей площади жилых домов, тыс. м2
|
3528
|
3009
|
2811
|
3019
|
3501
|
3786
|
4087,6
|
4665,1
|
5102,8
|
5831,0
|
6984,0
|
|
Розничный
товарооборот
|
|
|
|
|
|
|
|
|
|
|
|
|
млрд.
руб.
|
4197
|
8171
|
11910
|
15170
|
19452
|
25230
|
31062
|
38168
|
50651
|
55913
|
69732
|
|
в
процентах к предыдущему году
|
111,8
|
128,2
|
111,5
|
110,3
|
111,5
|
120,0
|
117,4
|
114,8
|
119,2
|
103,0
|
117,1
|
|
Платные
услуги населению
|
|
|
|
|
|
|
|
|
|
|
|
|
млрд.
руб.
|
633
|
1367
|
2496
|
4049
|
5212
|
6776
|
8307
|
9988
|
12608
|
15690,8
|
|
в
процентах к предыдущему году
|
104,9
|
109,0
|
108,7
|
111,2
|
112,9
|
115,3
|
111,2
|
111,5
|
113,9
|
102,8
|
111,5
|
|
Индекс
потребительских цен (декабрь к декабрю предыдущего года; в процентах)
|
207,5
|
146,1
|
134,8
|
125,4
|
114,4
|
108,0
|
106,6
|
112,1
|
113,3
|
110,1
|
109,9
|
|
Индекс
цен производителей промышленной продукции (декабрь к декабрю предыдущего
года; в процентах)
|
268,0
|
139,1
|
142,6
|
128,1
|
118,8
|
110,0
|
109,0
|
116,8
|
116,4
|
111,1
|
119,3
|