Основные приемы анализа финансовой отчетности
Государственное
образовательное бюджетное учреждение высшего профессионального образования
Государственный университет
Факультет
экономики
Кафедра
бухгалтерского учета, анализа и аудита
Курсовая
работа
Основные
приемы анализа финансовой отчетности
Введение
Для налоговых органов, инвесторов, кредиторов,
руководства компании, бухгалтеров важно знать имущественное и финансовое
состояние организации на конкретный момент времени, чтобы иметь возможность
планировать и/или представлять перспективы ее развития в будущем. Оценку этих
изменений проводят на основании анализа и интерпретации, данных отчетности
организации. Так как для принятия решений, связанных с дальнейшей деятельностью
организации принципиально важно получение объективных и достоверных данных для
чего должны использоваться адекватные целям и задачам приемы анализа и
обобщения данных.
Существование рыночной экономики в Российской
Федерации на данный момент, жесткая конкуренция, проблемы связанные с
экономическим кризисом последних лет, необходимость оптимизации расходов и
возможность получения стабильных доходов требует высокой квалификации
сотрудников компании, отвечающих за анализ и обработку первичных документов, а
так же принятия своевременных управленческих решений. Развитие современной
экономической науки дает достаточно широкий спектр способов и методов обработки
и анализа финансовой деятельности. Вместе с тем, в каждом конкретном случае
может эффективно применяться лишь ограниченный спектр приемов для решения
поставленных задач. То есть, существует много вариантов, но для каждой компании
можно выбрать какой-то оптимальный. В связи с чем, актуальным является оценка
основных приемов анализа финансовой отчетности, на основании которой
специалисты в той или иной области могут принимать решения об экономическом
развитии организации.
Объект: система финансовой отчетности.
Предмет: приемы анализа финансовой отчетности.
Целью данной курсовой работы является изучение
основных приемов анализа финансовой отчетности.
Задачи, которые необходимо решить в ходе
исследования:
Определить понятие, формы и виды финансовой
отчетности предприятия.
Охарактеризовать цель, принципы, основные приемы
анализа финансовой отчетности, перечислить его пользователей.
Проанализировать применение приемов анализа на
практических материалах конкретной организации.
В курсовой работе рассматриваются методы,
приемы, способы финансового анализа. Проведен практический расчет и анализ
бухгалтерской отчетности ООО «Метролюкссервис» за 2007, 2008 гг. В работе
использованы научные и методические работы следующих ученых - экономистов: Е.С.
Стояновой, А. Гагена, М.Л. Пятова, Т.А. Пожидаевой, Т.В. Федосовой. Курсовая
работа состоит из трех глав, пяти параграфов, и двух приложений.
ГЛАВА 1. ПОНЯТИЕ ФИНАНСОВОЙ ОТЧЕТНОСТИ
ОРГАНИЗАЦИИ
.1 Понятие, формы и виды финансовой отчетности
предприятия
Для проведения финансового анализа, основанного
на аналитической работе с финансовой отчетностью, необходимо понимать, что
представляет собой финансовая отчетность, ее формы и виды. В научных работах
наиболее часто встречается определение финансовой отчетности, сформулированное
Е.С. Стояновой: «финансовая отчетность - это совокупность форм отчетности,
составленных на основе данных финансового учета с целью представления
пользователям обобщенной информации о финансовом положении и деятельности
предприятия, а также изменениях в его финансовом положении за отчетный период в
установленной форме для принятия этими пользователями определенных деловых
решений».
По мнению Антон Гагена, «финансовая отчетность -
это совокупность показателей бухгалтерского учета, отраженных в форме
определенных таблиц, которые отражают движение имущества, обязательств и
финансовое положение предприятия за отчетный период. Финансовая отчетность
представляет собой единую систему данных о финансовом положении организации,
финансовых результатах ее деятельности и изменениях в ее финансовом положении и
составляется на основе данных бухгалтерского учета».
Ученые, говоря о финансовой отчетности,
употребляют термин - бухгалтерская отчетность. Так, М.Л. Пятов считает, что
бухгалтерская отчетность - это комплекс моделей ее финансового положения. И что
целью формирования бухгалтерской отчетности является формирование
информационной базы, которая может обеспечить принятие управленческих решений
компетентными лицами компании.
Т.А. Пожидаева говорит, что «бухгалтерская
отчетность - единая система данных об активах, капитале, обязательствах и
финансовых результатах хозяйственной деятельности организации, формируемых на
основе данных бухгалтерского учета по утвержденным формам». Т.В. Федосова
предлагает следующее определение: «Бухгалтерская отчетность - система
показателей, отражающая имущественное и финансовое положение организации на
отчетную дату, а также финансовые показатели ее деятельности за отчетный
период».
Большинство авторов не разделяют понятие
финансовой и бухгалтерской отчетности, в то время как финансовая отчетность
включает в себя «… бухгалтерский и управленческий учет, бизнес-планы
предприятия, стратегию развития, отраслевые и макроэкономические прогнозы». То
есть, бухгалтерская отчетность показывает положение компании по факту ее
деятельности за отчетный период, а финансовая дает информацию для дальнейшего
планирования экономики компании с помощью анализа бухгалтерской отчетности.
Таким образом, анализ определений финансовой
отчетности в литературе позволяет сделать вывод, что финансовая отчетность
представляет собой совокупность документов, которые отражают деятельность
организации и дают представление о ее финансовом положении, на основе
бухгалтерского учета и составляется на конец отчетного года. Дата составления
финансового отчета для организации является фиксированной в соответствии с
п.12, п.13 положении о бухгалтерском учете ПБУ 4/99.
Цель финансовой отчетности заключается в
представлении информации о финансовом положении, финансовых результатах
деятельности и движении денежных средств компании, необходимой для широкого
круга пользователей для принятия оптимальных экономических решений. Финансовая
отчетность также показывает результаты управления ресурсами, которыми управляет
руководство компании.
Для проведения финансового анализа наиболее
важным источником информации является бухгалтерская отчетность. Рассмотрим,
какие формы существуют в бухгалтерской отчетности. Согласно Федеральному закону
«О бухгалтерском учете» от 21.11.96 г. № 129-ФЗ, Приказу Минфина РФ от 22 июля
2003 г. N 67н «О формах бухгалтерской отчетности организаций», в отчетность
входят формы:
Бухгалтерский баланс (Форма 1).
Отчет о прибылях и убытках (Форма 2).
Отчет об изменениях капитала (Форма 3).
Отчет о движении денежных средств (Форма 4).
Приложение к бухгалтерскому балансу (Форма 5).
Отчет о целевом использовании полученных средств
(Форма 6).
А так же:
Пояснительная записка.
Аудиторское заключение.
Рассмотрим эти формы подробнее. Почти для каждой
формы существует образец, которые приведены в приложении к Приказу Минфина РФ
от 22 июля 2003 г. N 67н «О формах бухгалтерской отчетности организаций». В
состав бухгалтерского баланса входит информация об отчетной дате или об
отчетном периоде; наименовании юридического лица; идентификационного номера
налогоплательщика (ИНН); виде деятельности; организационно-правовой форме
(форме собственности); единицах измерения; местонахождении (юридический адрес);
информация о дате утверждения (указать установленную дату для годовой
бухгалтерской отчетности) и дате отправки/принятия.
В отчет о прибылях и убытках входят данные о
доходах, расходах и финансовых результатах, которые представлены нарастающим
итогом, то есть в виде суммы с начала года до отчетной даты. В этом отчете
указаны: прибыль/убытки от реализации продукции; операционные доходы и расходы
(поступления и платежи других организаций, за определенный период времени);
доходы и расходы от прочей внереализационной деятельности (штрафы, безнадежные
долги); затраты организации на производство реализованной продукции;
коммерческие, управленческие расходы; выручка от реализации продукции; сумма
налога на прибыль и отложенные налоговые обязательства.
Пояснения к бухгалтерскому балансу, отчету о
прибылях и убытках необходимо представлять в виде отдельных отчетных форм:
отчете об изменениях капитала (форма № 3), отчете о движении денежных средств
(форма № 4), приложения к бухгалтерскому балансу (форма № 5) и пояснительной записки.
Пользователи обеспечиваются дополнительными данными, находящимися в
пояснительной записке. Эти пояснения включать в бухгалтерский баланс и отчет о
прибылях и убыток нецелесообразно, но они являются необходимыми для достоверной
оценки финансового положения организации, финансово-хозяйственных результатов
ее деятельности, а так же изменений ее финансового положения.
В отчете об изменении капитала, соответственно,
мы найдем информацию о собственном капитале организации. Этот отчет состоит из
трех частей: изменение капитала резервы и справки. В отчете должны быть данные
о капитале на конец предыдущего отчетного периода, чистая прибыль, дивиденды,
отчисления в резервный фонд, так же информация о резервах, образованных в
соответствии с законодательством, с учредительными документами, оценочные и
резервы предстоящих расходов. В разделе справки, указывается информация о
чистых активах, расходах по обычным видам деятельности и капитальные вложения
во внеоборотные активы как на начало, так и на конец отчетного периода.
В отчете о движении денежных средств находятся
сведения об остатке денежных средств организации на начало и на конец отчетного
периода. Мы можем найти информацию о движении денежных средств по текущей
деятельности, полученных от покупателей, по налогам и сборам. Мы также найдем
информацию о выручки организации, о полученных дивидендах, процентах, о
погашенных займах и о финансовой деятельности организации.
В отличие от других форм отчетности, у
пояснительной записки нет шаблонов, как у форм 1-6. Она составляется в
свободной форме, но все же существуют некоторые требования к ее заполнению. Они
изложены в пункте 4 статьи 13 Закона о бухгалтерском учете. Пояснительная
записка к годовой бухгалтерской отчетности должна содержать информацию об
организации, ее финансовом положении, сопоставимости данных за отчетный и
предшествующий ему годы, методах оценки и существенных статьях бухгалтерской
отчетности.
Приложение к бухгалтерскому балансу дает
сведения о нематериальных активах компании, основных средств, доходных
вложениях в материальные ценности, финансовых вложениях, дебиторской и
кредиторской задолженностях. В приложении мы найдем данные об амортизации
активов, ценностях и финансовых вложений.
Аудиторское заключение - это официальный
документ, который предназначен для пользователей бухгалтерской (финансовой)
отчетности аудируемых лиц, содержащим выраженное в установленной форме мнение
аудиторской организации, индивидуального аудитора о достоверности бухгалтерской
(финансовой) отчетности аудируемого лица.
В бухгалтерской отчетности выделяют три
основанных группы:
по периодичности составления,
по объему содержащихся в отчетах сведениях,
по назначению.
По периодичности составления разделяют
внутригодовую и годовую отчетности. Внутригодовая отчетность называется
промежуточной бухгалтерской отчетностью и может охватывать день, декаду, месяц,
квартал и полугодие. Эти отчетности являются более краткими и содержат меньше
информации и включают в себя составление бухгалтерского баланса и отчета о
прибылях и убытках. Годовая отчетность создается на конец года и в ней
описывается деятельность организации за прошедший период времени. Исключение
делается для вновь созданных или реорганизованных предприятий. По объему
содержащихся в отчетах сведений существуют частные и общие отчетности. Частная
- включает в себя информацию о делах организации на отдельном участке ее
деятельности, а общая - информирует внешних заинтересованных пользователей об
имущественном и финансовом состоянии организации. По назначению отчетность
разделяют на внутреннюю и внешнюю. Внутренняя отчетность дает сведения для
внутренних пользователей информации для целей оперативного управления
организацией. В то время как внешняя отчетность создается для информирования
внешних пользователей о деятельности организации, ее имущественном положении и
доходности. Внутрихозяйственная отчетность выполняет управленческие и
информационные функции внутри предприятия, отражает состояние отдельных
участков предприятия. Она используется для разработки и оценки текущих и перспективных
планов развития предприятия и принятия на этой основе оперативных и
стратегических управленческих решений. Внешняя отчетность отражает
хозяйственную деятельность предприятия в целом и предназначена для
удовлетворения потребностей внешних пользователей исходя из разнообразия их
интересов: инвесторов - сведениями о доходности и риске инвестиций, ценности и
перспективности акций предприятия и его способности выплачивать дивиденды;
кредиторов - о способности возвратить займы и выплачивать проценты; поставщиков
- о платежеспособности предприятия; клиентов - о жизнеспособности предприятия;
правительственные учреждения - об эффективности деятельности предприятия,
налоговых поступлениях и др.; общественные организации - о тенденциях развития
экономики предприятия и т. д. Так же различают отчетности по степени обобщения
отчетных данных отчетность предприятия: первичную и сводную
(консолидированную).
.2 Цель, принципы и пользователи анализа
финансовой отчетности
Основываясь на вышеизложенном, можно сказать,
что финансовая отчетность дает представление о финансовом положении организации
на конец отчетного периода. Однако, важно не только составлять финансовую
отчетность, но и уметь правильно анализировать полученные данные. Если
финансовая отчетность представляет собой совокупность нужных пользователям
данных, то анализ помогает получить эти сведения. Для этого и используется
анализ финансовой отчетности.
«Целью анализа финансовой отчетности является
получение ключевых (наиболее информативных) параметров, дающих объективную и
наиболее точную картинку финансового состояния и финансовых результатов
деятельности предприятия. Цель анализа достигается в результате решения
определенного взаимосвязанного набора аналитических задач».
Рассмотрим подробнее данное определение. Целью
анализа финансовой отчетности является определение финансового состояния
организации на конкретный момент времени. Для организаций в той или иной мере
важны финансовые, информационные, технические и технологические вложения, таким
образом, организации заинтересованы в опубликовании финансовых отчетов в
привлекательной для инвесторов форме. «Организации обязаны публиковать свою
годовую финансовую отчетностью. Публичность финансовой отчетности заключается в
ее опубликовании в газетах и журналах, доступных пользователям финансовой
отчетности, либо распространении среди брошюр, буклетов и других изданий,
содержащих бухгалтерскую отчетность, а также в ее передаче территориальным
органам статистики по месту регистрации организации для предоставления заинтересованным
пользователям».
При проведении анализа финансовой отчетности
необходимо учитывать ряд принципов:
. Принцип целевой ориентированности
подразумевает, что необходимо сначала сформулировать цели анализа, в
соответствии с которой будет выполняться анализ.
. Принцип осторожности означает возможность
искажения анализируемых данных, отсутствие достоверной информации.
. Принцип программирования говорит о
необходимости иметь четкую программу анализа, до начала его проведения.
. Принцип развертывания означает, что построение
схемы анализа должно быть построено «от общего к частному», при этом выделяя
наиболее важные моменты.
. Принцип оценки аномалий обращает внимание на
необходимость тщательного анализа значимых отклонений от средних значений
показателей, в том числе и случае их положительного характера.
. Принцип приемлемой точности в расчетах
подчеркивает целесообразность выявления тенденций и закономерностей, как
представляющих наибольшую ценность.
. Принцип акцентированности выводов говорит о
завершении анализа в виде обобщения полученных результатов и сформулированных
выводов и рекомендаций, имеющих оптимальное ограниченное количество.
. Принцип критичности предлагает исходить из
принципа осторожности и рассматривать результаты финансового анализа как
субъективные оценки, и понимать, что они не являются неоспоримым аргументом при
принятии важных решений.
Так как пользователи информации различны, то и
их цели также отличаются друг от друга. Пользователем финансовой
(бухгалтерской) отчетности и результатов его анализа может быть как
юридическое, так и физическое лицо, которое заинтересованно в информации об
организации. Существует деление на группы: внутренние и внешние пользователи.
Внутренние пользователи отчетности включают в себя руководителей организации
(администрации), учредителей, участников и собственников имущества организации.
Внешние пользователи отчетности включают в себя, инвесторов, кредиторов,
контрагентов организации, а также заинтересованных государственных органов
(например, органы налоговой инспекции).
У каждой группы пользователей финансовой
(бухгалтерской) отчетности разные цели использования информации. Внутренние
пользователи организации заинтересованы данными, которые помогут при принятии
экономических, управленческих решений, связанных с дальнейшим существованием
компании.
Реальные и потенциальные инвесторы, а так же их
представители в первую очередь желают знать о рискованности и доходности,
предполагаемых или осуществленных ими инвестиций, о способности организации
выплачивать дивиденды. Кредиторы хотят быть уверенными, что организация,
которой предоставляют займ, сможет в обещанное время погасить кредит и
выплатить проценты. Поставщики и подрядчики нуждаются в информации о том, будут
ли оплачены вовремя счета, за поставленные товары и услуги. Покупатели и
заказчики заинтересованы в продолжительности существования и деятельности
организации. Государственные органы с помощью отчетности следят за законностью
деятельности организации. К внутренним пользователям информации относятся
менеджеры, бухгалтеры, акционеры; к внешним - банки, налоговые органы,
аудиторские, информационные и консалтинговые фирмы, юристы и другие. Количество
пользователей отчетности постоянно меняется и может значительно варьироваться в
зависимости от конкретных экономических условий, тогда как интересы
пользователей в отношении информационного содержания достаточно постоянны.
Внешних пользователей можно разделить на 3
группы:
) первая группа - пользователи, которым
бухгалтерская (финансовая) отчетность передается в обязательном порядке в:
налоговые службы; органы статистики; аудиторские фирмы, если отчетность
субъекта хозяйствования проходит обязательную ежегодную аудиторскую проверку;
) вторая группа - которые используют
бухгалтерскую (финансовую) отчетность для последующей ее обработки и
применения: профсоюзы, которые изучают ее при подготовке и заключении
коллективных договоров с целью защиты интересов работников, для получения
информации об экономической жизнеспособности организации, для оценки занятости
работников, оплаты труда, условий образования и использования пенсионных
фондов, фондов потребления; информационные и консультационные фирмы, которые
используют информацию для выработки рекомендаций своим клиентам относительно
размещения капиталов в то или иное предприятие; пресса и информационные
агентства, использующие информацию для подготовки экономических обзоров, для
публикации отчетности в целях ознакомления с нею широких кругов общественности;
торгово-производственные ассоциации, которые на основе отчетности проводят
сравнительный анализ и оценку результатов деятельности на отраслевом уровне;
Комиссия по ценным бумагам и фондовому рынку при Правительстве РФ, использующая
отчетность акционерных обществ для оценки финансового положения,
платежеспособности, уровня рентабельности и перспектив развития акционерных
обществ, так как этот орган создан для защиты прав акционеров и регулирует
выпуск, продажу, покупку ценных бумаг и т. д.;
) третья группа - особая группа пользователей
составляют дочерние и зависимые общества, которые заинтересованы в данных
бухгалтерской (финансовой) отчетности, поскольку основное общество имеет
возможность влиять на решения, которые они принимают, и диктовать им свою волю
(условия признания общества дочерним и зависимым и последствия такого признания
определены Гражданским кодексом РФ и Федеральным законом «Об акционерных
обществах»). Эту группу называют партнерами и их интересует вся информация о
финансово-хозяйственной деятельности предприятия; деловые партнеры (кредиторы,
поставщики, покупатели), нуждающиеся в информации о платежеспособности
организации, качестве продукции, надежности поставок; инвесторы, которые
анализируют бухгалтерскую отчетность, делают выводы о том, каковы финансовые
перспективы организации в будущем, стоит ли вкладывать в нее средства.
Таким образом, анализ финансовой отчетности
представляет собой основной инструмент, который помогает обнаружить проблемы в
текущем управлении организации и выбрать центральные направления для
инвестирования капитала и, используя специфические методы и приемы, позволяет
определить параметры, дающие возможность объективно оценивать финансовое
состояние предприятия. Результаты анализа позволяют заинтересованным лицам и
предприятиям принимать управленческие решения на основе оценки текущего
финансового положения, деятельности предприятия за предшествующие годы и
проекции финансового состояния на перспективу, т.е. ожидаемые параметры
финансового положения.
ГЛАВА 2. ПРИЕМЫ АНАЛИЗА ФИНАНСОВОЙ ОТЧЕТНОСТИ
ОРГАНИЗАЦИИ
.1 Содержание основных приемов финансовой
отчетности
Выполняя анализ бухгалтерской (финансовой)
отчетности можно использовать как общенаучный и специальные методы. При
использовании общенаучного диалектического метода предполагается проведение
анализа отчетности, учитывая динамику развития организации, «последовательного
накопления количественных изменений и их перехода в новое качество, единства
отчетности и возникновения противоречий между составителями и пользователями
отчетности, между отчетностью разных уровней и направлений». Использование
динамического метода (основополагающего для всех экономических наук)
подразумевает, что любой анализируемый процесс находится в динамике и
взаимосвязан с другими явлениями. Таким образом анализ отчетности
рассматривается как целенаправленный процесс, где цель определяет направление
анализа, его масштабы, использование нужной информации, подходы к оценке
показателей отчетности.
Метод детализации применяется в анализе
содержания отчетности - последовательное раскрытие комплексных статей и
показателей через частные. Данный метод служит выявлению внутренней
противоречивости и взаимосвязи всех составляющих объекта анализа, метод
сочетает анализ и синтез.
Дедуктивный метод анализа подразумевает: от
общего - к частному, то есть анализ начинаем с обобщающих показателей
деятельности. Так же существует метод индукции, при применении которого,
показатели рассматриваются в пределах отдельных подразделений, а затем
обобщаются. Поэтому в процессе аналитического изучения деятельности организации
эти вида анализа сочетаются.
Метод анализа - это использование системного
комплексного подхода к изучению результатов деятельности организации, включая
выявление и измерение различного влияния отдельных факторов, приведение выводов
и рекомендаций, полученных в результате обработки информации специальными
приемами. Существуют несколько типов моделей, с помощью которых проводится
финансовый анализ. Выделяют три основных типов моделей: дескриптивные,
предикативные и нормативные.
. С помощью нормативных моделей сравнивают
фактические и ожидаемые результаты деятельности организации. Ожидаемые
результаты рассчитывают по бюджету. Такие модели используют во внутреннем
финансовом анализе, так как их сущность заключается в установлении нормативов
для каждой статьи расходов и в анализе отклонений фактических данных от этих
нормативов.
. Предикативные модели носят прогностический
характер и используются для прогноза доходов организации и ее будущего
финансового состояния. Чаще всего встречаются: расчет точки критического объема
продаж, моделей динамического анализа, строение прогноза финансовых отчетов,
моделей ситуационного характера.
. Дескриптивные модели носят описательный
характер, и является основными при оценке финансового состояния организации.
Включают в себя горизонтальный, трендовый, вертикальный анализ
(структурно-динамический), коэффициентный, сравнительный анализ, факторный
анализ.
Вертикальный (структурный) анализ дает
представление о структуре итоговых финансовых показателей с выявлением влияния
каждой позиции на результат. Данный метод финансового анализа применяется для
изучения структуры баланса. Расчеты производятся в процентном соотношении от
общей суммы средств организации. Важным моментом вертикального анализа является
представление структуры показателей в динамике, что позволяет отслеживать и
прогнозировать структурные изменения в составе активов и пассивов баланса.
Использование относительных показателей сглаживает инфляционные процессы.
Для интерпретации финансовых документов широко
используется вертикальный финансовый анализ. Данный вид аналитической
деятельности представляет собой широко известный вид финансового анализа,
ориентированный на «определение структуры итоговых финансовых показателей с
выявлением влияния каждой позиции отчетности на результат в целом». Согласно
этому методу каждая статья финансового документа рассчитывается в процентах к
самой крупной величине этого документа. Метод вертикального анализа достаточно
прост, но в ходе использования оказывается полезным и, главное, удобным в понимании.
В управлении вертикальный анализ является
заключительным по степени детализации этапом диагностики, использующим
системный подход в исследовании взаимосвязи и взаимодействия элементов системы,
их функциональной роли и определения коммуникаций в целом организме.
С помощью вертикального анализа можно
анализировать отчет о прибылях и убытках, а также баланс. Рассмотрим отчет о
прибылях и убытках. Самая большая величина в счете прибылей - продажи. Поэтому
все остальные компоненты счета устанавливаются в процентах от объема продаж.
Например, если стоимость проданных товаров составляет 40% от объема продаж, то
валовая прибыль будет равна 60% от объема продаж.
Баланс. Самая крупная величина в балансе -
совокупные активы или совокупный капитал, а потому все компоненты баланса
выражаются в процентах к совокупным активам или совокупному капиталу, которые
равны между собой, поэтому можно использовать в расчетах и то, и другое.
Вертикальный анализ позволяет высветить
взаимосвязь всех компонентов финансовых документов, и особенно полезен в двух
случаях: когда сравнивается деятельность компании за два года, или сравниваются
две компании, разные по размеру. В первом случае изменение относительных
величин делает очевидным для аналитика ситуацию, сложившуюся за два года.
Например, если вырос объем продаж, аналитик вряд ли сможет заметить подъем на
несколько процентов валовой прибыли или резкий скачок издержек, связанных с
реализацией товара. Но с помощью вертикального анализа эти изменения делаются
очевидными.
Вертикальный финансовый анализ можно представить
в виде таблицы:
Таблица 1. Вертикальный анализ
|
Статья
отчетности (1)
|
Период
N, % (2)
|
Период
N+1, % (3)
|
|
|
|
Таким образом, вертикальный анализ - определяет
структуру итоговых финансовых показателей, выявляя влияние каждой строки
отчётности на результат в целом, может употребляться для исследования структуры
актива и пассива.
При горизонтальном (временном) анализе
абсолютные показатели дополняются относительными, как правило, темпами роста
или снижения. На основе горизонтального анализа дается оценка изменений
основных показателей бухгалтерской (финансовой) отчетности. Чаще всего
горизонтальный анализ применяется при изучении баланса. Недостатком метода
является несопоставимость данных в условиях инфляции. Устранить этот недостаток
можно путем пересчета данных.
Горизонтальный анализ заключается в сравнении
статьи баланса текущего периода с базисным периодом в относительном и
абсолютном выражении, при его помощи определяются абсолютные и относительные
изменения, с помощью сопоставления с началом отчетного периода;
Горизонтальный анализ весьма популярен в
аналитической практике и призван отвечать на следующие вопросы:
. Увеличивается или уменьшается за период
времени объем продаж, валовая прибыль, расходы, чистый доход?
. Как изменился объем продаж по сравнению с
прошлым годом?
. Как изменился объем денежной наличности за
последние два года?
Горизонтальный финансовый анализ можно так же
представить в виде следующей таблице:
Таблица 2. Горизонтальный анализ
|
Статья
отчетности (1)
|
Период
N (2)
|
Период
N+1 (3)
|
Абсолютное
изменение (4)
|
Относительное
изменение (5)
|
|
|
|
(3)-(2)
|
((2)-(3))/(2)
|
Трендовый анализ является разновидностью
горизонтального анализа, он используется в тех случаях, когда сравнение
показателей производится более чем за три года. При этом долгосрочные сравнения
обычно проводятся с использованием индексов. Каждая позиция отчетности
сравнивается с рядом предыдущих периодов для определения тренда. Анализ
тенденций или трендовый анализ, характеризует изменение показателей
деятельности организации на протяжении длительного отрезка времени по сравнению
с базовым показателем, который равен 100. Расчет серии индексных чисел требует
выбора базисного года для всех показателей. Поскольку базисный год будет выступать
основой для всех сравнений, лучше всего выбрать год, который в смысле
предпринимательских условий является самым нормальным или типичным. При
использовании индексных чисел процентные изменения могут трактоваться только в
сравнении с базисным годом. Этот вид анализа носит характер перспективного
прогнозного анализа, используется в тех случаях, когда необходимо составить
прогноз по отдельным финансовым показателям или по финансовому состоянию
предприятия в целом. Целью такого анализа является оценка работы финансовых
менеджеров за прошедший период времени и прогнозирование их поведения в
будущем.
Анализ финансовых коэффициентов основан на
существовании определенных соотношений между статьями отчетности. Коэффициенты
позволяют определить круг сведений, который важен для пользователей информации
о финансовом состоянии предприятия с точки зрения принятия решений.
Коэффициенты дают возможность выяснить основные симптомы изменения финансового
положения и определить тенденции его изменения. При правильном анализе
коэффициентов можно определить области, требующие дальнейшего изучения. У этого
анализа существует большое преимущество, так как он сглаживает негативное
влияние инфляции, которая существенно искажает абсолютные показатели.
«Анализ коэффициентов (коэффициентный анализ) -
расчет отношений статей отчетности, определение взаимосвязей показателей. Эти
коэффициенты представляют большой интерес, так как они, во-первых, позволяют
определить тот круг сведений, который важен для пользователей финансовой отчетности
с точки зрения принятия решений; во-вторых, предоставляют возможность глубже
оценить положение данной отчетной единицы в системе хозяйствования и тенденции
его изменения. Большим преимуществом коэффициентов является также и то, что они
сглаживают негативное влияние инфляционных процессов, которые могут существенно
искажать абсолютные показатели финансовой отчетности и тем самым затруднять их
сопоставление в динамике. Этот метод наиболее удобен в силу его простоты и
оперативности. Его суть заключается в сопоставлении рассчитанных по данным
отчетности коэффициентов с общепринятыми стандартными коэффициентами,
среднеотраслевыми нормами или соответствующими коэффициентами, и с численными
по данным деятельности предприятия за предшествующие годы».
Сравнительный анализ применяется для проведения
внутрихозяйственных и межхозяйственных сравнений по отдельным финансовым
показателям. Его цель заключается в выявлении сходства и различий однородных
объектов. С помощью сравнения устанавливаются изменения в уровне экономических
показателей, изучаются тенденции и закономерности их развития, измеряется
влияние отдельных факторов, осуществляются расчеты для принятия решений,
выявляются резервы и перспективы развития.
Факторный анализ применяется для изучения и
измерения воздействия факторов на величину результативного показателя.
Факторный анализ может быть прямым, когда результативный показатель
расчленяется на составные части, и обратным, когда отдельные элементы
соединяются в общий результативный показатель. Он может быть и одноступенчатым,
когда для анализа используются факторы только одного уровня и многоступенчатым,
когда производится детализация факторов на составные элементы для изучения их
поведения. Так же может быть ретроспективным, когда изучаются «причины изменения
результативных показателей за прошлые периоды», и перспективным, когда
исследуют поведение факторов и их воздействие на результативные показатели в
будущем; статическим, для изучения влияния факторов на результативные
показатели на определенную дату, и динамическим, когда причинно-следственные
связи изучаются в динамике.
Одним из важных инструментов финансового анализа
является расчет потока денежных средств. Представленный в форме годового
финансового прогноза, он показывает ожидаемое ежемесячное получение денежных
средств и совершение ежемесячных платежей в погашение долга. Такой расчет
позволяет оценить пик потребности предприятия в дополнительных средствах и его
способность заработать достаточно денежных средств для погашения краткосрочной
задолженности в течение операционного цикла. Расчет позволяет определить,
является ли потребность в дополнительных средствах долгосрочной или
краткосрочной. Это важно для предприятий сезонного характера.
К специфическим методам анализа можно отнести:
анализ текущих инвестиций, который позволяет
оценить влияние роста продаж на потребность в финансировании и способность
предприятия увеличивать реализацию;
анализ устойчивого роста, который помогает
определить способность предприятия расширять продажи без изменения доли
заимствованных средств;
анализ чувствительности, который использует
однотипные сценарии для выявления наиболее уязвимых мест предприятия;
отраслевой фактор, который учитывает
непостоянство потоков наличности предприятия-заемщика в сравнении с движением
средств других предприятий данной отрасли.
Эти методы имеют большое значение для углубления
финансового анализа и оценки потенциала роста организации. Специфический анализ
получил наибольшее распространение в зарубежной учетно-аналитической практике
финансового анализа.
Использование всех методов финансового анализа
позволяет более точно оценить финансовую ситуацию, сложившуюся на предприятии,
спрогнозировать ее на перспективу и принять более обоснованное управленческое
решение».
Но так как все приемы для анализа финансовой
отчетности в одной организации не применяют, мы рассмотрим лишь некоторые из
них для дальнейшего практического анализа финансовой отчетности организации ООО
«Метролюкссервис».
.2 Факторный анализ как метод экономического
анализа, понятие,
методы
Факторный анализ рассматривается не только в
модели, но в экономическом анализе. Явления и факторы в процессе хозяйственной
деятельности организаций взаимосвязаны и взаимообусловлены. Поэтому актуальным
вопросом при проведении экономического анализа является изучение и измерение
влияния этих факторов на исследуемые экономические показатели.
Экономический факторный анализ - это постепенный
переход от исходной к конечной факторной системе, определение полного набора
количественно измеримых факторов, которые оказывают влияние на результат (его
изменение).
Применяя балансовый метод, сравнивают два
комплекса показателей, которые стремятся к равновесию. Этот метод эффективно
используется при анализе движения запасов, денежных средств, дебиторской и кредиторской
задолженности, при определении остатков на конец года, учитывая остатки на
начало года, поступление и списание резервов в течение года, с его помощью
можно выявить новый аналитический показатель.
Индексный метод основан на относительных показателях,
которые выражают отношение уровня данного явления к его уровню, взятому в
качестве базы сравнения. В статистике существуют различные виды индексов,
применяемые при анализе: агрегатные, арифметические, гармонические и т.д.
Использование индексных пересчетов позволяет анализировать динамические
явления.
Способ цепных подстановок заключается в
вычислении ряда промежуточных значений обобщающего показателя с помощью
последовательной замены базисных значений факторов на отчетные. Данный способ
основан на исключении воздействия всех факторов на величину результативного
показателя, кроме одного. При этом все факторы изменяются независимо друг от
друга, т.е. сначала изменяется один фактор, а все остальные остаются без
изменения, потом изменяются два при неизменности остальных и т.д. В общем виде
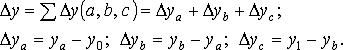
применение способа цепных постановок можно описать следующим образом:
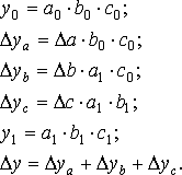
где
a0, b0, c0 - базисные значения факторов,
оказывающих влияние на обобщающий показатель у; a1, b1, c1 - фактические
значения факторов; ya, yb, - промежуточные изменения результирующего
показателя, связанного с изменением факторов а, b.
Общее изменение Dу = у1-у0 складывается из суммы
изменений результирующего показателя за счет изменения каждого фактора при
фиксированных значениях остальных факторов:
Одним из вариантов способа цепной подстановки
является способ абсолютных разниц. «Изменение результативного показателя за
счет каждого фактора способом разниц определяется как произведение отклонения
изучаемого фактора на базисное или отчетное значение другого фактора в
зависимости от выбранной последовательности подстановки»:
Способ относительных разниц применяют для того,
чтобы измерить влияние факторов на изменение результативного показателя в
мультипликативных и смешанных моделях. Его применяют в тех случаях, когда
начальные данные содержат определенные ранее относительные отклонения факторных
показателей в процентах.
Интегральный метод позволяет избежать
недостатков, присущих методу цепной подстановки, т.к. в нем действует
логарифмический закон перераспределения факторных нагрузок. Интегральный метод
позволяет достигнуть полного разложения результативного показателя по факторам
и носит универсальный характер, т.е. применим к мультипликативным, кратным и
смешанным моделям. Операция вычисления определенного интеграла решается с
помощью ПЭВМ и сводится к построению подынтегральных выражений, которые зависят
от вида функции или модели факторной системы».
ГЛАВА 3. ПРАКТИЧЕСКОЕ ПРИМЕНЕНИЕ ПРИЕМОВ АНАЛИЗА
ФИНАНСОВОЙ ОТЧЕТНОСТИ
В данной работе были рассмотрены методики Н.А.
Соколовой, В.В. Ковалева, В.А. Щербакова, Н.А. Щербаковой. Наиболее ясной и
понятной является методика Н.А. Соколовой, поэтому для расчетов вертикального и
горизонтального анализа будем использовать именно этот способ. В качестве
примера для расчетов будем использовать из финансовой отчетности фирмы ООО
«Метролюкссервис» ее годовые балансы за 2007 и 2008 года.
Эта организации ООО «Метролюкссервис» существует
с 1994 года. Она осуществляет уборку помещений любого уровня, продажу моющих
средств, предоставление уборочного оборудования и клининговых услуг. Моющие
средства и профессиональная химия произведены по передовым технологиям и
сертифицированы для применения в России. Официальный сайт компании -
http://www.metroluxservice.ru/.
.1 Вертикальный анализ годовой отчетности
Проведем анализ годового баланса компании за
2007 и 2008 г.г. с помощью вертикального анализа. Сравним сумму в строках с
наибольшей суммой средств в балансе, то есть с активом или пассивом, как мы
помним, они должны быть равны, эти соотношения будут измеряться в процентах.
Таблица 2.1. Вертикальный анализ за 2007 год
|
АКТИВ
|
Код
строки
|
На
начало отчет. Года
|
На
конец отчет. Года
|
|
I.
ВНЕОБОРОТНЫЕ АКТИВЫ
|
|
|
|
|
Нематериальные
активы
|
110
|
0.45%
|
0.11%
|
|
Основные
средства
|
120
|
8.54%
|
14.82%
|
|
Незавершенное
строительство
|
130
|
4.56%
|
|
|
Отложенные
налоговые активы
|
145
|
|
0.06%
|
|
Итого
по разделу I
|
190
|
13.55%
|
15.00%
|
|
II.
ОБОРОТНЫЕ АКТИВЫ
|
|
|
|
|
Запасы
|
210
|
16.53%
|
25.72%
|
|
в том числе:
|
|
|
|
|
сырье, материалы и другие аналогичные ценности
|
211
|
9.92%
|
3.51%
|
|
готовая продукция и товары для перепродажи
|
214
|
5.71%
|
21.40%
|
|
товары отгруженные
|
215
|
|
|
|
расходы будущих периодов
|
216
|
0.92%
|
0.80%
|
|
Налог
на добавленную стоимость по приобретенным ценностям
|
220
|
0.82%
|
|
|
Дебиторская
задолженность (платежи по которой ожидаются в течение 12 месяцев после
отчетной даты)
|
240
|
30.83%
|
56.75%
|
|
в том числе:
|
|
|
|
|
покупатели и заказчики
|
241
|
26.60%
|
55.70%
|
|
Краткосрочные
финансовые вложения
|
250
|
|
|
|
Денежные
средства
|
260
|
38.27%
|
2.12%
|
|
Прочие
оборотные активы
|
270
|
|
0.41%
|
|
Итого
по разделу II
|
290
|
86.45%
|
85.00%
|
|
БАЛАНС
(сумма строк 190 + 290)
|
300
|
100.00%
|
100.00%
|
|
ПАССИВ
|
Код
строки
|
На
начало отчет. года
|
На
конец отчет. Года
|
|
III.
КАПИТАЛ И РЕЗЕРВЫ
|
|
|
|
|
Уставный
капитал
|
410
|
0.13%
|
1.88%
|
|
Нераспределенная
прибыль (непокрытый убыток)
|
470
|
17.53%
|
8.02%
|
|
Итого
по разделу III
|
490
|
17.65%
|
9.90%
|
|
IV.
ДОЛГОСРОЧНЫЕ ОБЯЗАТЕЛЬСТВА
|
|
|
|
|
Займы
и кредиты
|
510
|
|
|
|
Отложенные
налоговые обязательства
|
515
|
|
0.01%
|
|
Итого
по разделу IV
|
590
|
|
0.01%
|
|
V.
КРАТКОСРОЧНЫЕ ОБЯЗАТЕЛЬСТВА
|
|
|
|
|
Кредиторская
задолженность
|
620
|
74.88%
|
87.52%
|
|
в
том числе:
|
|
|
|
|
поставщики
и подрядчики
|
621
|
65.79%
|
80.18%
|
|
задолженность
перед персоналом организации
|
622
|
2.18%
|
2.89%
|
|
задолженность
перед государственными внебюджетными фондами
|
623
|
1.03%
|
1.73%
|
|
задолженность
по налогам и сборам
|
624
|
3.65%
|
2.25%
|
|
прочие
кредиторы
|
625
|
2.23%
|
0.47%
|
|
Задолженность
участникам (учредителям) по выплате доходов
|
630
|
7.47%
|
2.49%
|
|
Прочие
краткосрочные обязательства
|
660
|
|
0.08%
|
|
Итого
по разделу V
|
690
|
82.35%
|
90.09%
|
|
БАЛАНС
(сумма строк 490 + 590 + 690)
|
700
|
100.00%
|
100.00%
|
Таблица 2.2. Вертикальный анализ за 2008 год
|
АКТИВ
|
Код
строки
|
На
начало отчет. Года
|
На
конец отчет. Года
|
|
I.
ВНЕОБОРОТНЫЕ АКТИВЫ
|
|
|
|
|
Нематериальные
активы
|
110
|
0.11%
|
0.06%
|
|
Основные
средства
|
120
|
14.82%
|
16.66%
|
|
Отложенные
налоговые активы
|
145
|
0.06%
|
0.17%
|
|
Итого
по разделу I
|
190
|
15.00%
|
16.88%
|
|
II.
ОБОРОТНЫЕ АКТИВЫ
|
|
|
|
|
Запасы
|
210
|
25.72%
|
31.33%
|
|
в том числе:
|
|
|
|
|
сырье, материалы и другие аналогичные ценности
|
211
|
3.51%
|
|
готовая продукция и товары для перепродажи
|
214
|
21.40%
|
23.91%
|
|
расходы будущих периодов
|
216
|
0.80%
|
2.31%
|
|
прочие запасы и затраты
|
217
|
|
|
|
Дебиторская
задолженность (платежи по которой ожидаются в течение 12 месяцев после
отчетной даты)
|
240
|
56.75%
|
31.09%
|
|
в том числе:
|
|
|
|
|
покупатели и заказчики
|
241
|
55.70%
|
31.09%
|
|
Краткосрочные
финансовые вложения
|
250
|
|
|
|
Денежные
средства
|
260
|
2.12%
|
20.28%
|
|
Прочие
оборотные активы
|
270
|
0.41%
|
0.41%
|
|
Итого
по разделу II
|
290
|
85.00%
|
83.12%
|
|
БАЛАНС
(сумма строк 190 + 290)
|
300
|
100.00%
|
100.00%
|
|
ПАССИВ
|
Код
строки
|
На
начало отчет. года
|
На
конец отчет. Года
|
|
III.
КАПИТАЛ И РЕЗЕРВЫ
|
|
|
|
|
Уставный
капитал
|
410
|
1.88%
|
1.09%
|
|
Резервный
капитал
|
430
|
|
0.06%
|
|
в том числе:
|
|
|
|
|
резервы, образованные в соответствии с учредительными
|
432
|
|
0.06%
|
|
Нераспределенная
прибыль (непокрытый убыток)
|
470
|
8.02%
|
7.83%
|
|
Итого
по разделу III
|
490
|
9.90%
|
8.98%
|
|
IV.
ДОЛГОСРОЧНЫЕ ОБЯЗАТЕЛЬСТВА
|
|
|
|
|
Займы
и кредиты
|
510
|
|
|
|
Отложенные
налоговые обязательства
|
515
|
0.01%
|
0.01%
|
|
Прочие
долгосрочные обязательства
|
520
|
|
|
|
Итого
по разделу IV
|
590
|
0.01%
|
0.01%
|
|
V.
КРАТКОСРОЧНЫЕ ОБЯЗАТЕЛЬСТВА
|
|
|
|
|
Займы
и кредиты
|
610
|
|
0.01%
|
|
Кредиторская
задолженность
|
620
|
87.52%
|
89.08%
|
|
в
том числе:
|
|
|
|
|
поставщики
и подрядчики
|
621
|
80.18%
|
80.18%
|
|
задолженность
перед персоналом организации
|
622
|
2.89%
|
0.96%
|
|
задолженность
перед государственными внебюджетными фондами
|
623
|
1.73%
|
1.36%
|
|
задолженность
по налогам и сборам
|
624
|
2.25%
|
5.96%
|
|
прочие
кредиторы
|
625
|
0.47%
|
0.62%
|
|
Задолженность
участникам (учредителям) по выплате доходов
|
630
|
2.49%
|
1.92%
|
|
Доходы
будущих периодов
|
640
|
|
|
|
Резервы
предстоящих расходов
|
650
|
|
|
|
Прочие
краткосрочные обязательства
|
660
|
0.08%
|
|
|
Итого
по разделу V
|
690
|
90.09%
|
91.01%
|
|
БАЛАНС
(сумма строк 490 + 590 + 690)
|
700
|
100.00%
|
100.00%
|
В активе баланса как в 2007, так и в 2008 году,
во внеоборотных активах большую долю занимают основные средства, заметим, что в
течение двух лет они увеличиваются: в 2007 примерно на 6%, а в 2008 - примерно
на 2%. Доля оборотных активов гораздо больше, чем внеоборотных, в основном за
счет дебиторской задолженности, т.е. покупатели и заказчики не оплатили услуги
ООО «Метролюкссервис». Однако мы видим, что в 2007 году дебиторская задолженность
увеличилась, а 2008 году она уменьшилась за счет оплаты услуг и товара
покупателями и заказчиками. То есть инвестирование происходит не в
долгосрочные, а в оборотные активы. Наиболее крупными группами в составе
оборотных активов являются следующие статьи: запасы (готовая продукция) и
дебиторская задолженность. Доля готовой продукции изменялась за 2007 и 2008
года от 5,71% до 23,91%. Доля незавершенного строительства составляет
незначительный процент: 2007 - 4,56% и 2008 - 0%.
Следует отметить изменения, которые происходили
с другой крупной статьей оборотных активов - дебиторской задолженностью.
Дебиторская задолженность росла в 2007 году с 30,83% до 56,75%, а в 2008
наблюдается снижение с 56,75% до 31,09%. То есть к концу 2008 году уменьшилась
на четверть. При этом наибольший рост задолженности связан с неуплатой денежных
средств покупателями и заказчиками. Следовательно, необходим более глубокий
анализ причин ее образования и принятия оптимальных решений для ее погашения.
В пассиве баланса хорошо видно, что у
организации большая кредиторская задолженность в частности перед поставщиками и
подрядчиками. К концу периода по сравнению с началом, в обоих годах
кредиторская задолженность увеличилась.
Анализируя структуру пассива, оценим соотношение
собственного и заемного капитала. В 2007 году произошел рост уставного капитала
с 0,13% до 1,88%, а в 2008 году абсолютная величина не изменилась, в процентном
соотношении уменьшился - с 1,88% до 1,09%. Наблюдается снижение процентного
показателя по нераспределенной прибыли в 2007 году - с 17,52% до 8,02%, а в
2008 году - с 8,02% до 7,83%. Таким образом, уставный капитал и
нераспределенная прибыль составляют основную часть собственного капитала.
За два года доля собственного капитала снизилась
с 17,52% до 7,83%, то есть на 9,69%. Долгосрочные обязательства у организации
отсутствуют, но следует обратить внимание на рост краткосрочной кредиторской
задолженности в 2007 году - с 74,88% до 87,52%, в 2008 году - с 87,52% до
89,08%, то есть за два года на 14,2%. В том числе перед поставщиками и
подрядчиками в 2007 году - увеличилась с 65,79% до 80,18%, в то время как в
2008 осталась неизменной - 80,18%. Краткосрочные займы и кредиты у организации
также отсутствуют, то есть внешнего финансирования нет.
За два рассматриваемых нами года выявлена
тенденция превышения кредиторской задолженности над дебиторской. Так в 2007
году - кредиторская задолженность составила 87,52%, а дебиторская - 56,75%. В
2008 - кредиторская задолженность - 89,08%, а дебиторская была снижена до
31,09%, что вызывает опасения в связи с возможными трудностями для погашения
кредиторской задолженности.
.2 Горизонтальный анализ годовой отчетности
При проведении горизонтального анализа
сравнивают статьи баланса текущего периода с базисным периодом, принимая базисный
за 100. Полученные результаты можно увидеть в двух таблицах ниже, за 2007 и
2008 года.
Таблица 2.3. Горизонтальный анализ за 2007 год
|
АКТИВ
|
Код
стро-ки
|
На
начало отчет. года
|
На
конец отчет. года
|
Абсо-лютное
изме-нение
|
Относи-тельное
изме-нение
|
|
I.
ВНЕОБОРОТНЫЕ АКТИВЫ
|
|
|
|
|
|
|
Нематериальные
активы
|
110
|
100%
|
89%
|
-4
|
-0.1143
|
|
Основные
средства
|
120
|
100%
|
601%
|
3355
|
5.0075
|
|
Незавершенное
строительство
|
130
|
100%
|
0%
|
-358
|
-1.0000
|
|
Отложенные
налоговые активы
|
145
|
|
|
17
|
|
|
Итого
по разделу I
|
190
|
100%
|
383%
|
3010
|
2.8316
|
|
II.
ОБОРОТНЫЕ АКТИВЫ
|
|
|
|
|
|
|
Запасы
|
210
|
100%
|
538%
|
5686
|
4.3840
|
|
в том числе:
|
|
|
|
3010
|
2.8316
|
|
сырье, материалы и другие аналогичные ценности
|
211
|
100%
|
122%
|
175
|
0.2249
|
|
готовая продукция и товары для перепродажи
|
214
|
100%
|
1297%
|
5686
|
4.3840
|
|
расходы будущих периодов
|
216
|
100%
|
301%
|
145
|
2.0139
|
|
Налог
на добавленную стоимость по приобретенным ценностям
|
220
|
100%
|
0%
|
-64
|
-1.0000
|
|
Дебиторская
задолженность (платежи по которой ожидаются в течение 12 месяцев после
отчетной даты)
|
240
|
100%
|
637%
|
12990
|
5.3700
|
|
в том числе:
|
|
|
|
|
|
|
покупатели и заказчики
|
241
|
100%
|
725%
|
13037
|
6.2468
|
|
Денежные
средства
|
260
|
100%
|
19%
|
-2425
|
-0.8078
|
|
Прочие
оборотные активы
|
270
|
|
|
111
|
|
|
Итого
по разделу II
|
290
|
100%
|
340%
|
16298
|
2.4031
|
|
БАЛАНС
(сумма строк 190 + 290)
|
300
|
100%
|
346%
|
19308
|
2.4612
|
|
ПАССИВ
|
Код
стро-ки
|
На
начало отчет. года
|
На
конец отчет. Года
|
Абсо-лютное
изме-нение
|
Относи-тельное
изме-нение
|
|
III.
КАПИТАЛ И РЕЗЕРВЫ
|
|
|
|
|
|
|
Уставный
капитал
|
410
|
100%
|
5100%
|
500
|
50.0000
|
|
Нераспределенная
прибыль (непокрытый убыток)
|
470
|
100%
|
158%
|
802
|
0.5833
|
|
Итого
по разделу III
|
490
|
100%
|
194%
|
1302
|
0.9401
|
|
IV.
Долгосрочные обязательства
|
|
|
|
|
|
|
Отложенные
налоговые обязательства
|
|
|
|
3
|
|
|
Итого
по разделу IV
|
|
|
|
3
|
|
|
V.
КРАТКОСРОЧНЫЕ ОБЯЗАТЕЛЬСТВА
|
|
|
|
|
|
|
Кредиторская
задолженность
|
620
|
100%
|
405%
|
17890
|
3.0456
|
|
в
том числе:
|
|
|
|
|
|
|
поставщики
и подрядчики
|
621
|
100%
|
422%
|
16609
|
3.2182
|
|
задолженность
перед персоналом организации
|
622
|
100%
|
458%
|
613
|
3.5848
|
|
задолженность
перед государственными внебюджетными фондами
|
623
|
100%
|
580%
|
389
|
4.8025
|
|
задолженность
по налогам и сборам
|
624
|
100%
|
214%
|
326
|
1.1399
|
|
прочие
кредиторы
|
625
|
100%
|
-47
|
-0.2686
|
|
Задолженность
участникам (учредителям) по выплате доходов
|
630
|
100%
|
116%
|
91
|
0.1553
|
|
Прочие
краткосрочные обязательства
|
660
|
|
|
22
|
|
|
Итого
по разделу V
|
690
|
100%
|
379%
|
18003
|
2.7868
|
|
БАЛАНС
(сумма строк 490 + 590 + 690)
|
700
|
100%
|
346%
|
19308
|
2.4612
|
Таблица 2.4. Горизонтальный анализ за 2008 год
|
АКТИВ
|
Код
стро-ки
|
На
нач. отчет. года
|
На
конец отчет. года
|
Абсо-лютное
изме-нение
|
Относи-тельное
изме-нение
|
|
I.ВНЕОБОРОТНЫЕ
АКТИВЫ
|
|
|
|
|
|
|
Нематериальные
активы
|
110
|
100%
|
87%
|
-4
|
-0.1290
|
|
Основные
средства
|
120
|
100%
|
193%
|
3737
|
0.9284
|
|
Отложенные
налоговые активы
|
130
|
100%
|
459%
|
61
|
3.5882
|
|
Итого
по разделу I
|
190
|
100%
|
193%
|
3794
|
0.9315
|
|
II.
ОБОРОТНЫЕ АКТИВЫ
|
|
|
|
|
|
|
Запасы
|
210
|
100%
|
209%
|
7620
|
1.0912
|
|
в том числе:
|
|
|
|
|
|
|
сырье, материалы и другие аналогичные ценности
|
211
|
100%
|
250%
|
1432
|
1.5026
|
|
готовая продукция и товары для перепродажи
|
214
|
100%
|
192%
|
5330
|
0.9171
|
|
расходы будущих периодов
|
216
|
100%
|
495%
|
858
|
3.9539
|
|
Налог
на добавленную стоимость по приобретенным ценностям
|
220
|
100%
|
0%
|
-920
|
-0.0597
|
|
Дебиторская
задолженность (платежи по которой ожидаются в течение 12 месяцев после
отчетной даты)
|
240
|
100%
|
94%
|
|
|
|
в том числе:
|
|
|
|
-635
|
-0.0420
|
|
покупатели и заказчики
|
241
|
100%
|
96%
|
|
|
|
Денежные
средства
|
260
|
100%
|
1638%
|
8876
|
15.3830
|
|
Прочие
оборотные активы
|
270
|
100%
|
173%
|
81
|
0.7297
|
|
Итого
по разделу II
|
290
|
100%
|
168%
|
15656
|
0.6783
|
|
БАЛАНС
(сумма строк 190 + 290)
|
300
|
100%
|
172%
|
19450
|
0.7163
|
|
ПАССИВ
|
Код
стро-ки
|
На
нач. отчет. года
|
На
конец отчет. года
|
Абсо-лютное
изме-нение
|
Относи-тельное
изме-нение
|
|
III.
КАПИТАЛ И РЕЗЕРВЫ
|
|
|
|
|
|
|
Уставный
капитал
|
410
|
100%
|
100%
|
0
|
0.0000
|
|
Собственные
акции, выкупленные у акционеров
|
411
|
|
|
|
|
|
Добавочный
капитал
|
420
|
|
|
|
|
|
Резервный
капитал
|
430
|
|
|
26
|
|
|
в том числе:
|
|
|
|
|
|
|
резервы, образованные в соответствии с учредительными
|
432
|
|
|
26
|
|
|
Нераспределенная
прибыль (непокрытый убыток)
|
470
|
100%
|
168%
|
1471
|
0.6757
|
|
Итого
по разделу III
|
490
|
100%
|
156%
|
1497
|
0.5571
|
|
IV.
Долгосрочные обязательства
|
|
|
|
|
|
|
Отложенные
налоговые обязательства
|
515
|
100%
|
167%
|
2
|
0.6667
|
|
Итого
по разделу IV
|
590
|
100%
|
167%
|
2
|
0.6667
|
|
V.
КРАТКОСРОЧНЫЕ ОБЯЗАТЕЛЬСТВА
|
|
|
|
|
|
|
Займы
и кредиты
|
610
|
|
|
6
|
|
|
Кредиторская
задолженность
|
620
|
100%
|
175%
|
17750
|
0.7469
|
|
в
том числе:
|
|
|
|
|
|
|
поставщики
и подрядчики
|
621
|
100%
|
172%
|
15598
|
0.7165
|
|
задолженность
перед персоналом организации
|
622
|
100%
|
57%
|
-336
|
-0.4286
|
|
задолженность
перед государственными внебюджетными фондами
|
623
|
100%
|
135%
|
163
|
0.3468
|
|
задолженность
по налогам и сборам
|
624
|
100%
|
454%
|
2164
|
3.5359
|
|
прочие
кредиторы
|
625
|
100%
|
226%
|
161
|
1.2578
|
|
Задолженность
участникам (учредителям) по выплате доходов
|
630
|
100%
|
132%
|
218
|
0.3220
|
|
Прочие
краткосрочные обязательства
|
660
|
|
|
-22
|
-1.0000
|
|
Итого
по разделу V
|
690
|
100%
|
173%
|
17952
|
0.7338
|
|
БАЛАНС
(сумма строк 490 + 590 + 690)
|
700
|
100%
|
172%
|
19450
|
0.7163
|
В результате проведенного анализа активы за 2007
и 2008гг. увеличились на 246% или в 2,5 раза, а в 2008 - на 72% или в 0,7 раз.
Активы за 2007 год увеличились на 19 308 руб. или в 2,5 , а за 2008 год на 19
450 руб. или в 0,72 раза, в том числе за счет увеличения основных средств в
2007 году на 3355 руб. или в 5 раз, а в 2008 году на 3737 руб. или в 0,93 раза
и за счет увеличения оборотных активов в том числе готовая продукция и товары в
2007 - 5364 руб. или в 11, 97 раза, а за 2008 - на 5330 руб. или 0,92 раза.
Следовательно, имущество организации увеличилось в основном за счет оборотных
активов. Прирост оборотных активов связан в первую очередь с увеличением
запасов в 2007 году - 5686 руб. или 4, 38 раза, а в 2008 году - 7620 руб. или в
1,1 раза. Нельзя не обратить внимание на рост дебиторской задолженности в 2007
году - 12 990 руб. или 5,37 раза, а в 2008 году дебиторская задолженность
снижается на 920 руб. или в 0,06 раза.
В пассиве мы можем наблюдать, что в 2007 году в
уставный капитал поступили денежные средства и 2008 уставный капитал остался
неизмененным. При анализе пассивной части баланса выявлено, что кредиторская
задолженность перед поставщиками и подрядчиками за 2007 год увеличилась на 16
609 руб. или в 3,22 раза, а в 2008 - 15598 руб. или 0,72 раза. Что относится к
краткосрочным обязательствам организации, внешнее финансирование в виде
долгосрочных обязательств у организации отсутствует.
Таким образом, за два года (2007 и 2008 гг.)
произошел прирост имущественной массы организации, что связано с увеличением
запасов и дебиторской задолженности. Одновременно с этим происходит и рост
кредиторской задолженности.
.3 Коэффициентный анализ годовой отчетности
Как мы поняли из теории, на данный момент
существует много коэффициентов, которые можно рассчитать, использую данные
баланса, поэтому мы рассчитаем лишь некоторые из них. При проведении
коэффициентного анализа, мы использовали следующие коэффициенты.
Оценка имущественного положения
Сумма хозяйственных средств, находящихся в
расположении организации (стр. 300).
С помощью этого показателя мы получим обобщенную
стоимостную оценку активов, которые числятся на балансе организации. Рост
данного показателя говорит о том, что организации наращивает свой имущественный
потенциал:
Таблица 2.5.
|
2007
|
2008
|
|
На
начало года
|
7845
|
27153
|
|
На
конец года
|
27153
|
46603
|
Мы видим, что имущественное состояние
организации на конец 2008 года увеличилось по сравнению с началом 2007 года.
Доля основных средств в активах.
Отражает удельный вес долгосрочных активов
организации.
Кдоли ос = стр. 120 / стр. 300
К07нач = 670 / 7845 = 0.0854
К07кон = 4025 / 27153 = 0.1482
К08нач = 4025 / 27153 = 0.1482
К08кон = 7762 / 46603 = 0.1666
Оценка ликвидности.
Данные показатели дадут информацию о способности
организации трансформироваться в денежные средства и погашать краткосрочные
долговые обязательства.
.Величина собственных оборотных средств (СОС,
функционирующий капитал).
СОС - величина оборотных средств организации
после выплат краткосрочных обязательств перед всеми кредиторами. Недостаток СОС
говорит о неспособности организации своевременно погасить свои краткосрочные
обязательства, если значительный избыток - о нерациональном использовании
ресурсов организации.
КСОС = собственный капитал + долгосрочные
обязательства - основные средства и вложения
КСОС = стр. 490 + стр. 590 - стр. 190
К07нач = 1385 + 0- 1063 =322
К07кон = 2687 + 3 - 4073 = -1383
К08нач = 2687 + 3 - 4073 = -1383
К08кон = 4184 + 5- 7867 = -2322
Эти показатели говорят о том, что организация не
имеет средств для своевременного погашения краткосрочной кредиторской
задолженности к концу 2008 года.
Коэффициент покрытия (текущей ликвидности)
Коэффициент показывает, достаточно ли у
организации средств для погашения краткосрочных обязательств. Он показывает
количество рублей текущих активов, которые приходятся на один рублю текущих
обязательств.
Кт.л. = текущие активы / текущие обязательства
Кт.л. = (стр. 290 - стр. 250 - стр. 240 - стр.
230) / стр. 690
К07нач = (6782 - 0 - 2419 - 0) / 6460 = 0.6754
К07кон = (23080 - 0 - 15409 - 0) / 24463 =
0.3136
К08нач = (23080 - 0 - 15409 - 0) / 24463 =
0.3136
К08кон = (38736 - 0 - 14489 - 0) / 42415 =
0.5717
Мы видим, что на начало 2007 года на один рубль
текущих обязательств приходится 68 копеек, на конец 2007 года и начало 2008
года - 31 копейка и на конец 2008 года - 57 копеек.
Коэффициент быстрой ликвидности (общей
платежеспособности, срочной ликвидности)
Показывает, какие средства могут быть
использованы, если срок погашения всех или некоторых текущих обязательств
наступит немедленно и не будет возможности продать наименее ликвидную часть -
запасы.
К б.л. = денежные средства, расчеты и прочие
активы / текущие обязательства
К б.л. =
(стр.290-стр.250-стр.240-стр.210-стр.220-стр.230) / стр. 690
К07нач = (6782 - 0 - 2419 - 1297 - 64) / 6460 =
0.4647
К07кон = (232080 - 0 - 15409 - 6983 - 0) / 24463
= 0.0281
К08нач = (232080 - 0 - 15409 - 6983 - 0) / 24463
= 0.0281
К08кон = (38736 - 0 - 14489 - 14603 - 0) / 42415
= 0.2274
Наилучшее значение коэффициента - больше 1,
однако для российских организаций допускается значение более 0,7, в розничной
торговле - 0,3. Начиная с 2007 года, у организации стала уменьшаться ее
ликвидность, это означает, что организация может не суметь погасить свои задолженности.
Коэффициент абсолютной ликвидности
(платежеспособности)
Данный коэффициент показывает, какая доля
краткосрочных обязательств может быть покрыта за счет практически абсолютно
ликвидных активов (денежных средств и их эквивалентов в виде рыночных ценных
бумаг и депозитов). Наилучшими значениями считаются: 0,2 - 0,5.
К а.л. = (денежные средства + краткосрочные
финансовые вложения) / текущие обязательства
К а.л. = (стр. 260 + стр. 250) / стр. 690
К07нач = (3002 + 0) / 6460 = 0.4647
К07кон = (577 + 0) / 24463 = 0.0236
К08нач = (577 + 0) / 24463 = 0.0236
К08кон = (9453 + 0) / 42415 = 0.2229
На начало 2007 года организация имела
возможности оплатить свои задолженности максимально быстро по требованию
кредитора, однако, к концу 2007 года организация утратила эту возможность,
однако к концу 2008 года способность организации погашать свои задолженности
вновь появилась.
Оценка платежеспособности или структуры капитала
Коэффициент концентрации собственного капитала
Характеризует зависимость организации от внешних
займов. Он показывает, могут ли обязательства организации быть покрыты
собственными средствами. Увеличение этого коэффициента означает рост
независимости организации. Чем ниже значение данного коэффициента, тем больше
займов у организации и тем выше риск неплатежеспособности и опасность
возникновении у предприятия дефицита денежных средств.
К с.к. = Собственный капитал / всего
хозяйственных средств
К с.к. = стр. 490 / стр. 300
К07нач = 1385 / 7845 = 0.1765
К07кон = 2687 / 27153 = 0.099
К08нач = 2687 / 27153 = 0.099
К08кон = 2687 / 46603 = 0.0898
Коэффициент маневренности собственного капитала.
Данный показатель описывает, на сколько мобильны
собственные источники средств с финансовой точки зрения, чем выше значение
коэффициента, тем лучше финансовое состояние организации.
К м.к. = собственные оборотный средства /
собственный капитал
К м.к. = (стр. 290 - стр. 690) / (стр. 490+ стр.
590)
К07нач = (6782 - 6469) / (1385 + 0) = 0.2325
К07кон = (23080 - 24463) / (2687 + 3) = -0.514
К08нач = (23080 - 24463) / (2687 + 3) = -0.514
К08кон = (38736 - 42415) / (4184 + 5) = -0.8783
Это означает низкую мобильность собственных
источников средств организации и к концу 2008 года она становиться гораздо
меньше, чем в начале 2007 года.
Коэффициент концентрации привлеченного капитала.
Демонстрирует, какая доля активов организации
финансируется за счет долгосрочных займов. Наилучшим значением является: 0,2 -
0,5.
К к.к. = заемный капитал / всего хозяйственных
средств
К к.к. = (стр. 590 + стр. 690) / стр. 300
Рассчитывать этот коэффициент в данном примере не
имеет смысла, так как организация не имеет долгосрочных займов, но имеет
отложенные налоговые обязательства.
Коэффициент заемных и собственных средств
Коэффициент показывает, сколько заемных средств
приходится на один рубль вложенных в активы собственных средств. Следовательно,
чем больше коэффициент превышает единицу, тем больше организация зависимость.
Кф = заемный капитал / собственный капитал
Кф = (стр. 590 + стр. 690) / стр. 490
К07нач = (0 + 6460) / 1385 = 4.6643
К07кон = (3 + 24463) / 2687 = 9.1053
К08нач = (3 + 24463) / 2687 = 9.1053
К08кон = (5 + 42415) / 4184 = 10.1386
В обоих годах этот коэффициент гораздо больше
единицы, следовательно, предприятие существует за счет заемных средств.
Оценка деловой активности.
Коэффициент оборачиваемости капитала
Показывает, насколько эффективно организация
использует инвестиции в оборотный капитал и как это влияет на рост продаж. Чем
больше значение данного показателя, тем более эффективно используется чистый
оборотный капитал.
К о.к. = выручка от реализации / чистый
оборотный капитал
К о.к. = стр. 010 / (стр. 290 - стр. 250 - стр.
240 - стр. 230 - стр. 690)
К07нач = 52061 / (6782 - 0- 2419 - 0 - 6460) =
-24.826
К07кон = 106179/ (23080 - 0 - 15409 - 0 - 24463)
= -6.323
К08нач = 106179/ (23080 - 0 - 15409 - 0 - 24463)
= -6.323
К08кон = 197385 / (38736 - 0 - 14469 - 0 -
42415) = -10.864
Это означает, что организация в течение двух лет
неэффективно использовала свой чистый оборотный капитал, наиболее эффективное
использование было замечено в течение 2007 года, а за 2008 год оно снова
ухудшилось.
Оборачиваемость дебиторской задолженности.
Показывает изменение объемов коммерческого
кредита, представляемого организацией. Если коэффициент рассчитывается по
выручке от реализации, формируемой по мере оплаты счетов, рост показателей
означает сокращение продаж в кредит. Снижение показателя в этом случае
свидетельствует об увеличении объема предоставляемого кредита.
К о.д.з. = выручка от реализации / среднюю
дебиторскую задолженность
К о.д.з. = стр. 010 / стр. 240
К07нач = 520619 / 2419 = 21.522
К07кон = 106179 / 15409 = 6.891
К08нач = 106179/ 15409 = 6.891
К08кон = 197385 / 14469 = 13.623
В течение 2007 года объем коммерческого кредита
увеличивался, а за 2008 год - произошло снижение этого показателя. По сравнению
с началом 2007 году в 2008 году коэффициент снизился почти в 1,58 раз, это
говорит о том, что организация предоставляет свои услуги в кредит.
Коэффициент оборачиваемости готовой продукции.
Показывает скорость оборота готовой продукции.
Рост данного показателя означает рост спроса на продукцию организации, а
снижение - затоваривание готовой продукции в связи со снижением спроса.
К о.г.п. = выручка от реализации / средняя за
период величина готовой продукции
К о.г.п. = стр. 010 / стр. 214
К07нач = 52061 / 448 = 116.21
К07кон = 106179 / 5812 = 18.269
К08нач = 106179 / 5812 = 18.269
К08кон = 197385 / 11142 = 17.715
Данные результаты коэффициентов говорят о том,
что по сравнению с началом 2007 года в 2008 году снизился спрос в 6,56 раза.
Коэффициент оборачиваемости материальных
оборотных средств
Отражает число оборотов запасов и затрат
организации за период анализа. Снижение показателей свидетельствует об
относительном увеличении производственных запасов и незавершенного производства
или о снижении спроса на готовую продукцию (в случае уменьшения коэффициента
оборачиваемости готовой продукции).
К о.г.п. = выручка от реализации / средняя за
период величина запасов и затрат по балансу
К о.г.п. = стр. 010 / (стр. 210 + стр. 220)
К07нач = 52061 / (1297 + 64) = 0.886
К07кон = 106179 / (6983 + 0) = 0.266
К08нач = 106179 / (6983 + 0) = 0.266
К08кон = 197385 / (14603 + 0) = 0.283
Можно сделать вывод, что у организации
увеличилось количество запасов и, возможно, снизился спрос на услуги
организации, так как на начало 2007 года коэффициент был равен 0.886, а в 2008
году он снизился в 3,13 раза.
Коэффициент оборачиваемости мобильных средств.
Показатель показывает скорость оборота всех
мобильных средств организации (и материальных, и нематериальных). Рост
показателя характеризуется положительно, если сочетается с ростом коэффициента
оборачиваемости материальных средств, и отрицательно, если коэффициент
оборачиваемости оборотных средств уменьшается.
К о.м.с. = выручка от реализации / средняя за
период величина запасов и затрат + средняя за период величина денежных средств,
расчетов и прочих активов
К о.м.с. = стр. 010 / (стр. 210 + стр. 220 +
стр. 260 + стр. 270)
К07нач = 52061 / (1297 + 64 + 3002 + 0) = 11.932
К07кон = 106179 / (6983 + 0 + 577 + 111) = 13.842
К08нач = 106179 / (6983 + 0 + 577 + 111) =
13.842
К08кон = 197385 / (14603 + 0 + 9453 + 192) =
8.140
Этот коэффициент характеризуется отрицательно в
связи с тем, что как мы выявили прежде, коэффициент оборачиваемости
материальных оборотных средств уменьшается, и одновременно с ним уменьшается и
коэффициент оборачиваемости мобильных средств.
Коэффициент погашаемости дебиторской
задолженности.
Показывает среднее число дней, которое требуется
для взыскания задолженности. Чем меньше это число дней, тем быстрее дебиторская
задолженность обращается в денежные средства, и, следовательно, повышается
ликвидность оборотных средств. Большое значение коэффициента может
свидетельствовать о трудностях со взысканием средств по счетам дебиторов.
К п.д.з. = средняя дебиторская задолженность /
выручка от реализации
К п.д.з. = стр. 240 / стр. 010
К07нач = 2419 / 52061 = 0.0465
К07кон = 15409 / 106179 = 0.1451
К08нач = 15409 / 106179 = 0.1451
К08кон = 14489 / 197385 = 0.0734
По сравнению с началом 2007 года, к концу 2008 -
срок взыскания дебиторской задолженности увеличился в 1,58 раза.
Оборачиваемость собственного капитала
(оборачиваемость активов).
Показывает скорость роста собственного капитала.
Резкий рост показателя отражает повышение уровня продаж, которое должно обеспечиваться
кредитами. Существенное снижение показателя отражает тенденцию к бездействию
части собственных средств.
К о.с.к. = выручка от реализации / итог среднего
баланса
К о.с.к. = стр. 010 / стр. 300
К07нач = 52061 / 7845 = 6.636
К07кон = 106179 / 27153 = 3.910
К08нач = 106179 / 27153 = 3.910
К08кон = 197385 / 46603 = 4.236
Скорость оборота капитала к концу 2008 года
стала снижаться, это говорит о том, что организация мало инвестирует свои
средства в собственный бизнес, эти инвестиции «съедаются» инфляцией.
Оценка рентабельности
Данные показатели будут характеризовать прибыль,
которую получает организация с одного рубля собственных и заемных средств,
вложенных в организацию.
Для расчета данных коэффициентов одного
бухгалтерского баланса не достаточно, поэтому мы будем использовать и отчет о
прибылях и убытках.
Рентабельность продукции (продаж)
Демонстрирует долю чистой прибыли в объеме
продаж организации.
К р.п. = прибыль (результат) от реализации /
выручку от реализации
К р.п. = стр. 050 / стр. 010
К07нач = 397 / 52061 = 0.0076
К07кон = 1544 / 106179 = 0.0145
К08нач = 1544 / 106179 = 0.0145
К08кон = 3151 / 197385 = 0.016
Доля чистой прибыли в объеме продаж организации
увеличивается, к концу 2008 года вырастает в 2,09 раз по сравнению с началом
2007 года.
Рентабельность основных средств и прочих
внеоборотных активов.
Характеризует эффективность использования
основных средств и прочих внеоборотных активов, которые измеряются величиной
прибыли, приходящейся на единицу стоимости средств. Рост данного показателя при
снижении рентабельности всего капитала говорит об избыточном увеличении
мобильных средств, что может быть следствием образования излишних запасов
товарно-материальных ценностей, затоваренности готовой продукцией в результате
снижения спроса, чрезмерного роста дебиторской задолженности.
К р.о.с. = прибыль от реализации (или
балансовая) / средняя за период величина основных и прочих внеоборотных активов
К р.о.с. = стр. 050 / стр. 190
К07нач = 1063 / 52061 = 0.374
К07кон = 4073 / 106179 = 0.379
К08нач = 4073 / 106179 = 0.379
К08кон = 7867 / 197385 = 0.401
Результаты расчета этого коэффициента
подтверждают низкую эффективность использования основных средств для развития
бизнеса.
Коэффициент рентабельности оборотных активов.
Данный коэффициент показывает возможность
обеспечения организацией достаточного объема прибыли по отношению к
используемым оборотным средствам компании. Чем выше значение коэффициента, тем
более эффективно используются оборотные средства.
К р.о.с. = чистая прибыль / текущие активы
К р.о.с. = (стр. 140 - стр. 150 (форма 2)) /
стр. 290 (форма 1)
К07нач = (187 - 85) / 6782 = 0.015
К07кон = (1233 - 353) / 23080 = 0.038
К08нач = (1233 - 353) / 23080 = 0.038
К08кон = (2578 - 741) / 38736 = 0.047
Организация увеличивает эффективность использования
оборотных средств. По сравнению с 2007 годом она возросла к концу 2008 года в
3,15 раза.
Коэффициент рентабельности внеоборотных средств.
Данный коэффициент показывает возможность
обеспечения организацией достаточного объема прибыли по отношению к основным
средствам. Эффективнее используются основные средства при более высоких
значениях коэффициента.
К р.вн.с. = чистая прибыль / долгосрочные активы
К р.вн.с. = (стр. 140 - стр. 150 (форма 2)) /
стр. 190 (форма 1)
К07нач = (187 - 85) / 1063 = 0.096
К07кон = (1233 - 353) / 4073 = 0.216
К08нач = (1233 - 353) / 4073 = 0.216
К08кон = (2578 - 741) / 7867 = 0.234
Мы видим, что с течением времени организация
увеличивает эффективность использования основных средств. По сравнению с 2007
годом она возросла к концу 2008 года в 2,43 раза.
Выводы по результатам коэффициентного анализа:
В состав краткосрочных обязательств включены:
кредиторская задолженность, задолженность участникам (учредителям), а так же
прочие обязательства. В ходе анализа мы выявили, что организация не имеет
средств для своевременного погашения краткосрочной кредиторской задолженности,
как в начале 2007 года ,так и конце 2008.
По данным бухгалтерских балансов оборотные
активы за прошедший период возросли в 1,88 раза. Рост оборотных активов
потребовал значительного объема источников. Недостаточность собственного
оборотного капитала говорит о необходимости увеличения заемного финансирования,
которое может быть привлечено на краткосрочной основе. В этом периоде
отмечается рост кредиторской задолженности и отсроченных налоговых платежей. За
прошедший период произошло замедление оборачиваемости активов. Так, коэффициент
оборачиваемости мобильных средств уменьшился в 1,47 раза в конце 2008, по
сравнению с началом 2007 года, это говорит о нестабильном финансовом состоянии
организации. Рассмотрение отчета о прибылях и убытках позволяет увидеть
значительное увеличение объема продаж в 2008 году по сравнению с прошлым годом.
Заключение
В ходе нашей работы были проанализированы
определения понятия финансовой отчетности, ее формы и виды; выявлены цель,
принципы, пользователи анализа финансовой отчетности; рассчитаны с помощью
выбранных приемов проведен анализ финансовой отчетности ООО «Меторолюкссервис»
за 2007 и 2008 гг.
В результате анализа научной и
учебно-методической литературы, можно сделать следующие выводы:
С научной точки зрения под финансовой
отчетностью понимают - совокупность документов, которые отражают деятельность
организации и дают представление о ее финансовом положении, на основе
бухгалтерского учета и составляется на конец отчетного года. Существует
следующие формы финансовой отчетности: бухгалтерский баланс, отчет о прибылях и
убытках, отчет об изменениях капитала, отчет о движении денежных средств,
приложение к бухгалтерскому балансу, отчет о целевом использовании полученных
средств, пояснительная записка, аудиторское заключение. В бухгалтерской
отчетности используются следующие виды финансовой отчетности: по периодичности
составления - внутригодовая, годовая; по объему содержащихся в отчетах сведений
- частная, общие; по назначению - внутренняя, внешняя.
Для проведения анализа финансовой отчетности в
большинстве случаев используется бухгалтерская отчетность, целью анализа
финансовой отчетностью является определение финансового состояния и финансовых
результатов деятельности организации. При проведении анализа финансовой
отчетности учитываются следующие принципы: целевой ориентированности,
осторожности, программирования, развертывания, оценки аномалий, приемлемой
точности в расчетах, акцентированности выводов, критичности.
Существуют внутренние и внешние пользователи
финансовой отчетности. Внутренними пользователями отчетности являются
руководители организации, учредители, участники и собственники имущества
организации, менеджеры, бухгалтера. Внешними пользователями являются инвесторы
кредиторы, контрагенты организации (банки, аудиторские информационные,
консалтинговые фирмы и другие), заинтересованные государственные органы.
. Для практических расчетов была использована
бухгалтерская отчетность ООО «Метролюкссервис» за 2007 и 2008 годы. В
результате изучения литературы, были выявлены наиболее употребляемые при
анализе финансовой отчетности приемы: горизонтальный, вертикальный,
коэффициентный. По результатам проведения анализа, было выявлено, что
организация существует за счет заемных средств. Причем в 2008 году, что
количество кредиторской задолженности по сравнению с 2007 годом увеличилось.
Идентичность полученных выводов при использовании всех трех приемов анализа
финансовой отчетности говорит о достоверности сделанных выводов.
отчетность финансовый анализ
факторный
Список литературы
1.
О бухгалтерском учете: федеральный закон РФ от 21.11 96 № 129-ФЗ //.в ред.
Федерального закона от 30.06.2003 N 86-ФЗ. (принят ГД ФС РФ 23.02.1996) (с изм.
и доп., вступающими в силу с 01.01.2004) [электронныйф ресурс] -
http://www.consultant.ru/
.
О формах бухгалтерской отчетности организаций: федеральный закон РФ от 21.11.96
г. № 129-ФЗ [электронный ресурс]- http://www.garant.ru/
.
О формах бухгалтерской отчетности организаций: приказ Минфина РФ от 22.07.2003
г. N 67н [электронный ресурс]- http://www.garant.ru/
.
Грищенко О.В. Анализ и диагностика финансово-хозяйственной деятельности
предприятия: Учебное пособие. Таганрог: ТРТУ, 2000. -112 с.
.
Кисилев А.Ю. Модели прогнозирования стоимости предприятий (бизнеса) в условиях
российской экономики: автореф. дис. канд. экон. наук: 2008. - М., 26 с.
.
Пожидаева Т.А. Анализ финансовой отчетности. -М. : КНОРУС, 2010. - 320 с.
.
Стоянова Е.С. Финансовый менеджмент: теория и практика - М.: Перспектива, 1996.
- 266 с.
.
Сугаипова И.В. Бухгалтерская (финансовая) отчетность. Ростов-на-Дону: Феникс,
2005. - 252 с.
.
Анализ финансовой отчетности. Донцова Л.В., Никифорова Н.А. -М: Дело и сервис,
2004. - 336 c.
.
Анализ финансовой отчетности / О.В. Ефимовой, М.В. Мельник, Е.М. Бородина и
другие - М : Омега-Л, - 2006. - 408 с.
.
Оценка стоимости предприятия (бизнеса). Щербаков В.А., Щербакова Н.А. - М:
ОМЕГА-Л, 2009. - 299 с.
.
Перечень терминов и определений, используемых в правилах (стандартах)
аудиторской деятельности. (утв. Комиссией по аудиторской деятельности при
Президенте РФ) [электронный ресурс]- http://www.consultant.ru/.
.
Гаген А. Финансовая отчетность. Анализ финансовой отчетности [электронный
ресурс]- http://www.financial-lawyer.ru/.
.
Ионова А.Ф., Селезнева Н.Н. Методы анализа в финансовом менеджменте
[электронный ресурс]- http://www.garant.ru/
.
Новопашина Е.А. Практика оценки финансового состояния хозяйствующего субъекта с
учетом мирового опыта. [электронный ресурс]- http://www.unilib.org/
.
Пятов М.Л. Содержание бухгалтерского баланса и возможности его анализа
[электронный ресурс]- http://www.garant.ru/.
.
Титаева А. Методика анализа финансового состояния [электронный ресурс] -
http://www.gaap.ru/
.
Федосова Т.В. Бухгалтерский учет [электронный ресурс] -http://www.aup.ru/
Приложения
Приложение 1.
Таблица. Бухгалтерский баланс, 2007 год
|
АКТИВ
|
Код
строки
|
На
начало отчет. года
|
На
конец отчет. года
|
|
I.
ВНЕОБОРОТНЫЕ АКТИВЫ
|
|
|
|
|
Нематериальные
активы
|
110
|
35
|
31
|
|
Основные
средства
|
120
|
670
|
4025
|
|
Незавершенное
строительство
|
130
|
358
|
|
|
Доходные
вложения в материальные ценности
|
135
|
|
|
|
Долгосрочные
финансовые вложения
|
140
|
|
|
|
Отложенные
налоговые активы
|
145
|
|
17
|
|
Прочие
внеоборотные активы
|
150
|
|
|
|
Итого
по разделу I
|
190
|
1063
|
4073
|
|
II.
ОБОРОТНЫЕ АКТИВЫ
|
|
|
|
|
Запасы
|
210
|
1297
|
6983
|
|
в том числе:
|
|
|
|
|
сырье, материалы и другие аналогичные ценности
|
211
|
778
|
953
|
|
животные на выращивании и откорме
|
212
|
|
|
|
затраты в незавершенном производстве
|
213
|
|
|
|
готовая продукция и товары для перепродажи
|
214
|
448
|
5812
|
|
товары отгруженные
|
215
|
|
|
|
расходы будущих периодов
|
216
|
72
|
217
|
|
прочие запасы и затраты
|
217
|
|
|
|
Налог
на добавленную стоимость по приобретенным ценностям
|
220
|
64
|
|
|
Дебиторская
задолженность (платежи по которой ожидаются более чем через 12 месяцев после
отчетной даты)
|
230
|
|
|
|
в том числе:
|
|
|
|
|
покупатели и заказчики
|
231
|
|
|
|
Дебиторская
задолженность (платежи по которой ожидаются в течение 12 месяцев после
отчетной даты)
|
240
|
2419
|
15409
|
|
в том числе:
|
|
|
|
|
покупатели и заказчики
|
241
|
2087
|
15124
|
|
Краткосрочные
финансовые вложения
|
250
|
|
|
|
Денежные
средства
|
260
|
3002
|
577
|
|
Прочие
оборотные активы
|
270
|
|
111
|
|
Итого
по разделу II
|
290
|
6782
|
23080
|
|
БАЛАНС
(сумма строк 190 + 290)
|
300
|
7845
|
27153
|
|
ПАССИВ
|
Код
строки
|
На
начало отчет. года
|
На
конец отчет. года
|
|
III.
КАПИТАЛ И РЕЗЕРВЫ
|
|
|
|
|
Уставный
капитал
|
410
|
10
|
510
|
|
Собственные
акции, выкупленные у акционеров
|
411
|
|
|
|
Добавочный
капитал
|
420
|
|
|
|
Резервный
капитал
|
430
|
|
|
|
в том числе:
|
|
|
|
|
резервные фонды, образованные в соответствии с законодательством
|
431
|
|
|
|
резервы, образованные в соответствии с учредительными
|
432
|
|
|
|
Нераспределенная
прибыль (непокрытый убыток)
|
470
|
1375
|
2177
|
|
Итого
по разделу III
|
490
|
1385
|
2687
|
|
IV.
ДОЛГОСРОЧНЫЕ ОБЯЗАТЕЛЬСТВА
|
|
|
|
|
Займы
и кредиты
|
510
|
|
|
|
Отложенные
налоговые обязательства
|
515
|
0
|
3
|
|
Прочие
долгосрочные обязательства
|
520
|
|
|
|
Итого
по разделу IV
|
590
|
0
|
3
|
|
V.
КРАТКОСРОЧНЫЕ ОБЯЗАТЕЛЬСТВА
|
|
|
|
|
Займы
и кредиты
|
610
|
|
|
|
Кредиторская
задолженность
|
620
|
5874
|
23764
|
|
в
том числе:
|
|
|
|
|
поставщики
и подрядчики
|
621
|
5161
|
21770
|
|
задолженность
перед персоналом организации
|
622
|
171
|
784
|
|
задолженность
перед государственными внебюджетными фондами
|
623
|
81
|
470
|
|
задолженность
по налогам и сборам
|
624
|
286
|
612
|
|
прочие
кредиторы
|
175
|
128
|
|
Задолженность
участникам (учредителям) по выплате доходов
|
630
|
586
|
677
|
|
Доходы
будущих периодов
|
640
|
|
|
|
Резервы
предстоящих расходов
|
650
|
|
|
|
Прочие
краткосрочные обязательства
|
660
|
|
22
|
|
Итого
по разделу V
|
690
|
6460
|
24463
|
|
БАЛАНС
(сумма строк 490 + 590 + 690)
|
700
|
7845
|
27153
|
Приложение 2.
Таблица. Бухгалтерский баланс, 2008 год
|
АКТИВ
|
Код
строки
|
На
начало отчет. года
|
На
конец отчет. года
|
|
I.
ВНЕОБОРОТНЫЕ АКТИВЫ
|
|
|
|
|
Нематериальные
активы
|
110
|
31
|
27
|
|
Основные
средства
|
120
|
4,025
|
7762
|
|
Незавершенное
строительство
|
130
|
|
|
|
Доходные
вложения в материальные ценности
|
135
|
|
|
|
Долгосрочные
финансовые вложения
|
140
|
|
|
|
Отложенные
налоговые активы
|
145
|
17
|
78
|
|
Прочие
внеоборотные активы
|
150
|
|
|
|
Итого
по разделу I
|
190
|
4073
|
7867
|
|
II.
ОБОРОТНЫЕ АКТИВЫ
|
|
|
|
|
Запасы
|
210
|
6983
|
14603
|
|
в том числе:
|
|
|
|
|
сырье, материалы и другие аналогичные ценности
|
211
|
953
|
2385
|
|
животные на выращивании и откорме
|
212
|
|
|
|
затраты в незавершенном производстве
|
213
|
|
|
|
готовая продукция и товары для перепродажи
|
214
|
5812
|
11142
|
|
товары отгруженные
|
215
|
|
|
|
расходы будущих периодов
|
216
|
217
|
1075
|
|
прочие запасы и затраты
|
217
|
|
|
|
Налог
на добавленную стоимость по приобретенным ценностям
|
220
|
|
|
|
Дебиторская
задолженность (платежи по которой ожидаются более чем через 12 месяцев после
отчетной даты)
|
230
|
|
|
|
в том числе:
|
|
|
|
|
покупатели и заказчики
|
231
|
|
|
|
Дебиторская
задолженность (платежи по которой ожидаются в течение 12 месяцев после
отчетной даты)
|
240
|
15409
|
14489
|
|
в том числе:
|
|
|
|
|
покупатели и заказчики
|
241
|
15124
|
14489
|
|
Краткосрочные
финансовые вложения
|
250
|
|
|
|
Денежные
средства
|
260
|
577
|
9453
|
|
Прочие
оборотные активы
|
270
|
111
|
192
|
|
Итого
по разделу II
|
290
|
23080
|
38736
|
|
БАЛАНС
(сумма строк 190 + 290)
|
300
|
27153
|
46603
|
|
ПАССИВ
|
Код
строки
|
На
начало отчет. года
|
На
конец отчет. года
|
|
III.
КАПИТАЛ И РЕЗЕРВЫ
|
|
|
|
|
Уставный
капитал
|
410
|
510
|
510
|
|
Собственные
акции, выкупленные у акционеров
|
411
|
|
|
|
Добавочный
капитал
|
420
|
|
|
|
Резервный
капитал
|
430
|
|
26
|
|
в том числе:
|
|
|
|
|
резервные фонды, образованные в соответствии с законодательством
|
431
|
|
|
|
резервы, образованные в соответствии с учредительными
|
432
|
|
26
|
|
Нераспределенная
прибыль (непокрытый убыток)
|
470
|
2177
|
3648
|
|
Итого
по разделу III
|
490
|
2687
|
4184
|
|
IV.
ДОЛГОСРОЧНЫЕ ОБЯЗАТЕЛЬСТВА
|
|
|
|
|
Займы
и кредиты
|
510
|
|
|
|
Отложенные
налоговые обязательства
|
515
|
3
|
5
|
|
Прочие
долгосрочные обязательства
|
520
|
|
|
|
Итого
по разделу IV
|
590
|
3
|
5
|
|
V.
КРАТКОСРОЧНЫЕ ОБЯЗАТЕЛЬСТВА
|
|
|
|
|
Займы
и кредиты
|
610
|
|
6
|
|
Кредиторская
задолженность
|
620
|
23764
|
41514
|
|
в
том числе:
|
|
|
|
|
поставщики
и подрядчики
|
621
|
21770
|
37368
|
|
задолженность
перед персоналом организации
|
622
|
784
|
448
|
|
задолженность
перед государственными внебюджетными фондами
|
623
|
470
|
633
|
|
задолженность
по налогам и сборам
|
624
|
612
|
2776
|
|
прочие
кредиторы
|
625
|
128
|
289
|
|
Задолженность
участникам (учредителям) по выплате доходов
|
630
|
677
|
895
|
|
Доходы
будущих периодов
|
640
|
|
|
|
Резервы
предстоящих расходов
|
650
|
|
|
|
Прочие
краткосрочные обязательства
|
660
|
22
|
|
|
Итого
по разделу V
|
690
|
24463
|
42415
|
|
БАЛАНС
(сумма строк 490 + 590 + 690)
|
700
|
27153
|
46603
|
Приложение 3.
Таблица. Отчет о прибылях и убытках на конец
2007 года
|
Показатели
|
Код
|
За
предыдущий период
|
За
отчетный период
|
|
1
|
2
|
3
|
4
|
|
Доходы и расходы по обычным видам деятельности
|
010
|
52,061
|
106,179
|
|
Выручка
(нетто) от продажи товаров, продукции, работ, услуг (за минусом налога на
добавленную стоимость, акцизов и аналогичных обязательных платежей)
|
020
|
40,794
|
94,559
|
|
Себестоимость
проданных товаров, продукции, работ, услуг
|
029
|
11,267
|
11,620
|
|
Валовая
прибыль
|
030
|
7327
|
2148
|
|
Коммерческие
расходы
|
040
|
3543
|
7928
|
|
Управленческие
расходы
|
050
|
397
|
1,544
|
|
Прибыль
(убыток) от продаж
|
|
|
|
|
Прочие
доходы и расходы
|
|
|
|
|
Проценты
к получению
|
060
|
|
|
|
Проценты
к уплате
|
070
|
|
|
|
Доходы
от участия в других организациях
|
080
|
|
|
|
Прочие
доходы
|
090
|
2
|
376
|
|
Прочие
расходы
|
100
|
212
|
687
|
|
Прибыль
(убыток) до налогообложения
|
140
|
187
|
1,233
|
|
Отложенные
налоговые активы
|
141
|
|
17
|
|
Отложенные
налоговые обязательства
|
142
|
|
3
|
|
Текщий
налог на прибыль
|
150
|
85
|
353
|
|
|
180
|
|
|
|
Чистая
прибыль (убыток) отчетного периода
|
190
|
102
|
894
|
|
СПРАВОЧНО:
|
|
|
|
|
Постоянные
налоговые обязательства (активы)
|
200
|
|
43
|
|
Базовая
прибыль (убыток) на акцию
|
201
|
|
|
|
Разводненная
прибыль (убыток) на акцию
|
202
|
|
|
Приложение 4.
Таблица. Отчет о прибылях и убытках на конец
2008 года
|
Показатели
|
Код
|
За
предыдущий период
|
За
отчетный период
|
|
1
|
3
|
4
|
|
Доходы и расходы по обычным видам деятельности
|
010
|
106,179
|
197,385
|
|
Выручка
(нетто) от продажи товаров, продукции, работ, услуг (за минусом налога на
добавленную стоимость, акцизов и аналогичных обязательных платежей)
|
020
|
94559
|
179064
|
|
Себестоимость
проданных товаров, продукции, работ, услуг
|
029
|
11,620
|
18,321
|
|
Валовая
прибыль
|
030
|
2148
|
3492
|
|
Коммерческие
расходы
|
040
|
798
|
11678
|
|
Управленческие
расходы
|
050
|
1,544
|
3,151
|
|
Прибыль
(убыток) от продаж
|
|
|
|
|
Прочие
доходы и расходы
|
|
|
|
|
Проценты
к получению
|
060
|
|
|
|
Проценты
к уплате
|
070
|
|
|
|
Доходы
от участия в других организациях
|
080
|
|
|
|
Прочие
доходы
|
090
|
376
|
241
|
|
Прочие
расходы
|
100
|
687
|
814
|
|
Прибыль
(убыток) до налогообложения
|
140
|
1,233
|
2,578
|
|
Отложенные
налоговые активы
|
141
|
17
|
61
|
|
Отложенные
налоговые обязательства
|
142
|
3
|
2
|
|
Текщий
налог на прибыль
|
150
|
353
|
741
|
|
|
180
|
|
|
|
Чистая
прибыль (убыток) отчетного периода
|
190
|
894
|
1,896
|
|
СПРАВОЧНО:
|
|
|
|
|
Постоянные
налоговые обязательства (активы)
|
200
|
43
|
61
|
|
Базовая
прибыль (убыток) на акцию
|
201
|
|
|
|
Разводненная
прибыль (убыток) на акцию
|
202
|
|
|